(a) Operational criteria for traditional securitizations. A [bank] that transfers exposures it has originated or purchased to an SPE or other third party in connection with a traditional securitization may exclude the exposures from the calculation of its risk-weighted assets only if each of the conditions in this paragraph (a) is satisfied. A [bank] that meets these conditions must hold risk-based capital against any securitization exposures it retains in connection with the securitization. A [bank] that fails to meet these conditions must hold risk-based capital against the transferred exposures as if they had not been securitized and must deduct from tier 1 capital any after-tax gain-on-sale resulting from the transaction. The conditions are:
(1) The transfer is considered a sale under GAAP;
(2) The [bank] has transferred to third parties credit risk associated with the underlying exposures; and
(3) Any clean-up calls relating to the securitization are eligible clean-up calls.
(b) Operational criteria for synthetic securitizations. For synthetic securitizations, a [bank] may recognize for risk-based capital purposes the use of a credit risk mitigant to hedge underlying exposures only if each of the conditions in this paragraph (b) is satisfied. A [bank] that fails to meet these conditions must hold risk-based capital against the underlying exposures as if they had not been synthetically securitized. The conditions are:
(1) The credit risk mitigant is financial collateral, an eligible credit derivative from an eligible securitization guarantor, or an eligible guarantee from an eligible securitization guarantor;
(2) The [bank] transfers credit risk associated with the underlying exposures to third parties, and the terms and conditions in the credit risk mitigants employed do not include provisions that:
(i) Allow for the termination of the credit protection due to deterioration in the credit quality of the underlying exposures;
(ii) Require the [bank] to alter or replace the underlying exposures to improve the credit quality of the pool of underlying exposures;
(iii) Increase the [bank]�s cost of credit protection in response to deterioration in the credit quality of the underlying exposures;
(iv) Increase the yield payable to parties other than the [bank] in response to a deterioration in the credit quality of the underlying exposures; or
(v) Provide for increases in a retained first loss position or credit enhancement provided by the [bank] after the inception of the securitization;
(3) The [bank] obtains a well-reasoned opinion from legal counsel that confirms the enforceability of the credit risk mitigant in all relevant jurisdictions; and
(4) Any clean-up calls relating to the securitization are eligible clean-up calls.
(a) Hierarchy of approaches. Except as provided elsewhere in this section:
(1) A [bank] must deduct from tier 1 capital any after-tax gain-on-sale resulting from a securitization and must deduct from total capital in accordance with paragraph (c) of this section the portion of any CEIO that does not constitute gain-on-sale.
(2) If a securitization exposure does not require deduction under paragraph (a)(1) of this section and qualifies for the Ratings-Based Approach in section 43, a [bank] must apply the Ratings-Based Approach to the exposure.
(3) If a securitization exposure does not require deduction under paragraph (a)(1) of this section and does not qualify for the Ratings-Based Approach, the [bank] may either apply the Internal Assessment Approach in section 44 to the exposure (if the [bank] and the relevant ABCP program qualify for the Internal Assessment Approach) or the Supervisory Formula Approach in section 45 to the exposure (if the [bank] and the exposure qualify for the Supervisory Formula Approach).
(4) If a securitization exposure does not require deduction under paragraph (a)(1) of this section and does not qualify for the Ratings-Based Approach, the Internal Assessment Approach, or the Supervisory Formula Approach, the [bank] must deduct the exposure from total capital in accordance with paragraph (c) of this section.
(b) Total risk-weighted assets for securitization exposures. A [bank]�s total risk-weighted assets for securitization exposures is equal to the sum of its risk-weighted assets calculated using the Ratings-Based Approach in section 43, the Internal Assessment Approach in section 44, and the Supervisory Formula Approach in section 45, and its risk-weighted assets amount for early amortization provisions calculated in section 47.
(c) Deductions. (1) If a [bank] must deduct a securitization exposure from total capital, the [bank] must take the deduction 50 percent from tier 1 capital and 50 percent from tier 2 capital. If the amount deductible from tier 2 capital exceeds the [bank]�s tier 2 capital, the [bank] must deduct the excess from tier 1 capital.
(2) A [bank] may calculate any deduction from regulatory capital for a securitization exposure net of any deferred tax liabilities associated with the securitization exposure.
(d) Maximum risk-based capital requirement. Regardless of any other provisions of this part, unless one or more underlying exposures does not meet the definition of a wholesale, retail, securitization, or equity exposure, the total risk-based capital requirement for all securitization exposures held by a single [bank] associated with a single securitization (including any risk-based capital requirements that relate to an early amortization provision of the securitization but excluding any risk-based capital requirements that relate to the [bank]�s gain-on-sale or CEIOs associated with the securitization) may not exceed the sum of:
(1) The [bank]�s total risk-based capital requirement for the underlying exposures as if the [bank] directly held the underlying exposures; plus
(2) The total ECL of the underlying exposures.
(e) Amount of a securitization exposure. (1) The amount of an on-balance sheet securitization exposure is:
(i) The [bank]�s carrying value, if the exposure is held-to-maturity or for trading; or
(ii) The [bank]�s carrying value minus any unrealized gains and plus any unrealized losses on the exposure, if the exposure is available-for-sale.
(2) The amount of an off-balance sheet securitization exposure is the notional amount of the exposure. For a commitment, such as a liquidity facility extended to an ABCP program, the notional amount may be reduced to the maximum potential amount that the [bank] currently would be required to fund under the arrangement�s documentation. For an OTC derivative contract that is not a credit derivative, the notional amount is the EAD of the derivative contract (as calculated in section 32).
(f) Overlapping exposures - (1) ABCP programs. If a [bank] has multiple securitization exposures to an ABCP program that provide duplicative coverage of the underlying exposures of a securitization (such as when a [bank] provides a program-wide credit enhancement and multiple pool-specific liquidity facilities to an ABCP program), the [bank] is not required to hold duplicative risk-based capital against the overlapping position. Instead, the [bank] may apply to the overlapping position the applicable risk-based capital treatment that results in the highest risk-based capital requirement.
(2) Mortgage loan swaps. If a [bank] holds a mortgage-backed security or participation certificate as a result of a mortgage loan swap with recourse, and the transaction is a securitization exposure, the [bank] must determine a risk-weighted asset amount for the recourse obligation plus the percentage of the mortgage-backed security or participation certificate that is not covered by the recourse obligation. The total risk-weighted asset amount for the transaction is capped at the risk-weighted asset amount for the underlying exposures as if they were held directly on the [bank]�s balance sheet.
(g) Securitizations of non-IRB exposures. Regardless of paragraph (a) of this section, if a [bank] has a securitization exposure where any underlying exposure is not a wholesale exposure, retail exposure, securitization exposure, or equity exposure, the [bank] must:
(1) If the [bank] is an originating [bank], deduct from tier 1 capital any after-tax gain-on-sale resulting from the securitization and deduct from total capital in accordance with paragraph (c) of this section the portion of any CEIO that does not constitute gain-on-sale;
(2) If the securitization exposure does not require deduction under paragraph (g)(1), apply the RBA in section 43 to the securitization exposure if the exposure qualifies for the RBA; and
(3) If the securitization exposure does not require deduction under paragraph (g)(1) and does not qualify for the RBA, deduct the exposure from total capital in accordance with paragraph (c) of this section.
(h) Implicit support. If a [bank] provides support to a securitization in excess of the [bank]�s contractual obligation to provide credit support to the securitization (implicit support):
(1) The [bank] must hold regulatory capital against all of the underlying exposures associated with the securitization as if the exposures had not been securitized and must deduct from tier 1 capital any after-tax gain-on-sale resulting from the securitization; and
(2) The [bank] must disclose publicly:
(i) That it has provided implicit support to the securitization; and
(ii) The regulatory capital impact to the [bank] of providing such implicit support.
(i) Eligible servicer cash advance facilities. Regardless of any other provisions of this part, a [bank] is not required to hold risk-based capital against the undrawn portion of an eligible servicer cash advance facility.
(j) Interest-only mortgage-backed securities. Regardless of any other provisions of this part, the risk weight for a non-credit enhancing interest-only mortgage-backed security may not be less than 100 percent.
(k) Small-business loans and leases on personal property transferred with recourse. (1) Regardless of any other provisions of this appendix, a [bank] that has transferred small-business loans and leases of personal property (small-business obligations) with recourse must include in risk-weighted assets only the contractual amount of retained recourse if all the following conditions are met:
(i) The transaction is a sale under GAAP.
(ii) The [bank] establishes and maintains, pursuant to GAAP, a non-capital reserve sufficient to meet the [bank]'s reasonably estimated liability under the recourse arrangement.
(iii) The loans and leases are to businesses that meet the criteria for a small-business concern established by the Small Business Administration under section 3(a) of the Small Business Act.
(iv) The [bank] is well capitalized, as defined in the [AGENCY]�s prompt corrective action regulation -- 12 CFR part 6 (for national banks), 12 CFR part 208, subpart D (for state member banks or bank holding companies), 12 CFR part 325, subpart B (for state nonmember banks), and 12 CFR part 565 (for savings associations). For purposes of determining whether a [bank] is well capitalized for purposes of paragraph (k) of this section, the [bank]�s capital ratios must be calculated without regard to the preferential capital treatment for transfers of small-business obligations with recourse specified in paragraph (k)(1) of this section.
(2) The total outstanding amount of recourse retained by a [bank] on transfers of small-business obligations receiving the preferential capital treatment specified in paragraph (k)(1) of this section cannot exceed 15 percent of the [bank]�s total qualifying capital.
(3) If a [bank] ceases to be well capitalized or exceeds the 15 percent capital limitation, the preferential capital treatment specified in paragraph (k)(1) of this section will continue to apply to any transfers of small-business obligations with recourse that occurred during the time that the [bank] was well capitalized and did not exceed the capital limit.
(4) The risk-based capital ratios of the [bank] must be calculated without regard to the preferential capital treatment for transfers of small-business obligations with recourse specified in paragraph (k)(1) of this section as provided in 12 CFR part 3, Appendix A (for national banks), 12 CFR part 208, Appendix A (for state member banks), 12 CFR part 225, Appendix A (for bank holding companies), 12 CFR part 325, Appendix A (for state nonmember banks), and 12 CFR 567.6(b)(5)(v) (for savings associations).
(l) Consolidated ABCP programs - (1) A [bank] that qualifies as a primary beneficiary and must consolidate an ABCP program as a variable interest entity under GAAP may exclude the consolidated ABCP program assets from risk-weighted assets if the [bank] is the sponsor of the ABCP program. If a [bank] excludes such consolidated ABCP program assets from risk-weighted assets, the [bank] must hold risk-based capital against any securitization exposures of the [bank] to the ABCP program in accordance with this part.
(2) If a [bank] either is not permitted, or elects not, to exclude consolidated ABCP program assets from its risk-weighted assets, the [bank] must hold risk-based capital against the consolidated ABCP program assets in accordance with this appendix but is not required to hold risk-based capital against any securitization exposures of the [bank] to the ABCP program.
(m) Nth-to-default credit derivatives - (1) First-to-default credit derivatives - (i) Protection purchaser. A [bank] that obtains credit protection on a group of underlying exposures through a first-to-default credit derivative must determine its risk-based capital requirement for the underlying exposures as if the [bank] synthetically securitized the underlying exposure with the lowest risk-based capital requirement (K) (as calculated under Table 2) and had obtained no credit risk mitigant on the other underlying exposures.
(ii) Protection provider. A [bank] that provides credit protection on a group of underlying exposures through a first-to-default credit derivative must determine its risk-weighted asset amount for the derivative by applying the RBA in section 43 (if the derivative qualifies for the RBA) or, if the derivative does not qualify for the RBA, by setting its risk-weighted asset amount for the derivative equal to the product of:
(A) The protection amount of the derivative;
(B) 12.5; and
(C) The sum of the risk-based capital requirements (K) of the individual underlying exposures (as calculated under Table 2), up to a maximum of 100 percent.
(2) Second-or-subsequent-to-default credit derivatives - (i) Protection purchaser. (A) A [bank] that obtains credit protection on a group of underlying exposures through a nth-to-default credit derivative (other than a first-to-default credit derivative) may recognize the credit risk mitigation benefits of the derivative only if:
(1) The [bank] also has obtained credit protection on the same underlying exposures in the form of first-through-(n-1)-to-default credit derivatives; or
(2) If n-1 of the underlying exposures have already defaulted.
(B) If a [bank] satisfies the requirements of paragraph (m)(2)(i)(A) of this section, the [bank] must determine its risk-based capital requirement for the underlying exposures as if the [bank] had only synthetically securitized the underlying exposure with the nth lowest risk-based capital requirement (K) (as calculated under Table 2) and had obtained no credit risk mitigant on the other underlying exposures.
(ii) Protection provider. A [bank] that provides credit protection on a group of underlying exposures through a nth-to-default credit derivative (other than a first-to-default credit derivative) must determine its risk-weighted asset amount for the derivative by applying the RBA in section 43 (if the derivative qualifies for the RBA) or, if the derivative does not qualify for the RBA, by setting its risk-weighted asset amount for the derivative equal to the product of:
(A) The protection amount of the derivative;
(B) 12.5; and
(C) The sum of the risk-based capital requirements (K) of the individual underlying exposures (as calculated under Table 2 and excluding the n−1 underlying exposures with the lowest Ks), up to a maximum of 100 percent.
(a) Eligibility requirements for use of the RBA - (1) Originating [bank]. An originating [bank] must use the RBA to calculate its risk-based capital requirement for a securitization exposure if the exposure has two or more external ratings or an inferred rating based on two or more external ratings (and may not use the RBA if the exposure has fewer than two external ratings or an inferred rating based on fewer than two external ratings).
(2) Investing [bank]. An investing [bank] must use the RBA to calculate its risk-based capital requirement for a securitization exposure if the exposure has one or more external or inferred ratings (and may not use the RBA if the exposure has no external or inferred rating).
(b) Ratings-based approach. (1) A [bank] must determine the risk-weighted asset amount for a securitization exposure by multiplying the amount of the exposure (as defined in paragraph (e) of section 42) by the appropriate risk weight provided in the tables in this section.
(2) The applicable rating of a securitization exposure that has more than one external or inferred rating is the lowest rating.
(3) A [bank] must apply the risk weights in Table 6 when the securitization exposure�s external or inferred rating represents a long-term credit rating, and must apply the risk weights in Table 7 when the securitization exposure�s external or inferred rating represents a short-term credit rating.
(i) A [bank] must apply the risk weights in column 1 of Table 6 or 7 to the securitization exposure if:
(A) N (as calculated under paragraph (e)(6) of section 45) is 6 or more (for purposes of this section 43 only, if the notional number of underlying exposures is 25 or more or if all of the underlying exposures are retail exposures, a [bank] may assume that N is 6 or more unless the [bank] knows or has reason to know that N is less than 6); and
(B) The securitization exposure is a senior securitization exposure.
(ii) A [bank] must apply the risk weights in column 3 of Table 6 or 7 to the securitization exposure if N is less than 6, regardless of the seniority of the securitization exposure.
(iii) Otherwise, a [bank] must apply the risk weights in column 2 of Table 6 or 7.
| Column 1 | Column 2 | Column 3 | |
| Applicable rating (Illustrative rating example) | Risk weights for senior securitization exposures backed by granular pools | Risk weights for non-senior securitization exposures backed by granular pools | Risk weights for securitization exposures backed by non-granular pools |
| Highest investment grade (for example, AAA) | 7% | 12% | 20% |
| Second highest investment grade (for example, AA) | 8% | 15% | 25% |
| Third-highest investment grade positive designation (for example, A+) | 10% | 18% | 35% |
| Third-highest investment grade (for example, A) | 12% | 20% | |
| Third-highest investment grade negative designation (for example, A−) | 20% | 35% | |
| Lowest investment grade-positive designation (for example, BBB+) | 35% | 50% | |
| Lowest investment grade (for example, BBB) | 60% | 75% | |
| Lowest investment grade negative designation (for example, BBB−) | 100% | ||
| One category below investment grade positive designation (for example, BB+) | 250% | ||
| One category below investment grade (for example, BB) | 425% | ||
| One category below investment grade-negative designation (for example, BB−) | 650% | ||
| More than one category below investment grade | Deduction from tier 1 and tier 2 capital | ||
| Column 1 | Column 2 | Column 3 | |
| Applicable
Rating (Illustrative rating example) |
Risk
weights for senior securitization exposures backed by granular pools |
Risk weights for non-senior securitization exposures backed by granular pools | Risk weights for securitization exposures backed by non-granular pools |
| Highest investment grade (for example, A1) | 7% | 12% | 20% |
| Second highest investment grade (for example, A2) | 12% | 20% | 35% |
| Third highest investment grade (for example, A3) | 60% | 75% | 75% |
| All other ratings | Deduction from tier 1 and tier 2 capital | ||
(a) Eligibility requirements. A [bank] may apply the IAA to calculate the risk-weighted asset amount for a securitization exposure that the [bank] has to an ABCP program (such as a liquidity facility or credit enhancement) if the [bank], the ABCP program, and the exposure qualify for use of the IAA.
(1) [Bank] qualification criteria. A [bank] qualifies for use of the IAA if the [bank] has received the prior written approval of the [AGENCY]. To receive such approval, the [bank] must demonstrate to the [AGENCY]�s satisfaction that the [bank]�s internal assessment process meets the following criteria:
(i) The [bank]�s internal credit assessments of securitization exposures must be based on publicly available rating criteria used by an NRSRO.
(ii) The [bank]�s internal credit assessments of securitization exposures used for risk-based capital purposes must be consistent with those used in the [bank]�s internal risk management process, management information reporting systems, and capital adequacy assessment process.
(iii) The [bank]�s internal credit assessment process must have sufficient granularity to identify gradations of risk. Each of the [bank]�s internal credit assessment categories must correspond to an external rating of an NRSRO.
(iv) The [bank]�s internal credit assessment process, particularly the stress test factors for determining credit enhancement requirements, must be at least as conservative as the most conservative of the publicly available rating criteria of the NRSROs that have provided external ratings to the commercial paper issued by the ABCP program.
(A) Where the commercial paper issued by an ABCP program has an external rating from two or more NRSROs and the different NRSROs� benchmark stress factors require different levels of credit enhancement to achieve the same external rating equivalent, the [bank] must apply the NRSRO stress factor that requires the highest level of credit enhancement.
(B) If one of the NRSROs that provides an external rating to the ABCP program�s commercial paper changes its methodology (including stress factors), the [bank] must consider the NRSRO�s revised rating methodology in evaluating whether the internal credit assessments assigned by the [bank] to securitization exposures must be revised.
(v) The [bank] must have an effective system of controls and oversight that ensures compliance with these operational requirements and maintains the integrity and accuracy of the internal credit assessments. The [bank] must have an internal audit function independent from the ABCP program business line and internal credit assessment process that assesses at least annually whether the controls over the internal credit assessment process function as intended.
(vi) The [bank] must review and update each internal credit assessment whenever new material information is available, but no less frequently than annually.
(vii) The [bank] must validate its internal credit assessment process on an ongoing basis and at least annually.
(2) ABCP-program qualification criteria. An ABCP program qualifies for use of the IAA if the ABCP program meets the following criteria:
(i) All commercial paper issued by the ABCP program must have an external rating.
(ii) The ABCP program must have robust credit and investment guidelines (that is, underwriting standards).
(iii) The ABCP program must perform a detailed credit analysis of the asset sellers� risk profiles.
(iv)The ABCP program�s underwriting policy must establish minimum asset eligibility criteria that include the prohibition of the purchase of assets that are significantly past due or defaulted, as well as limitations on concentration to individual obligor or geographic area and the tenor of the assets to be purchased.
(v) The aggregate estimate of loss on an asset pool that the ABCP program is considering purchasing must consider all sources of potential risk, such as credit and dilution risk.
(vi) The ABCP program must incorporate structural features into each purchase of assets to mitigate potential credit deterioration of the underlying exposures. Such features may include wind-down triggers specific to a pool of underlying exposures.
(3) Exposure qualification criteria. A securitization exposure qualifies for use of the IAA if the [bank] initially rated the exposure at least the equivalent of investment grade.
(b) Mechanics. A [bank] that elects to use the IAA to calculate the risk-based capital requirement for any securitization exposure must use the IAA to calculate the risk-based capital requirements for all securitization exposures that qualify for the IAA approach. Under the IAA, a [bank] must map its internal assessment of such a securitization exposure to an equivalent external rating from an NRSRO. Under the IAA, a [bank] must determine the risk-weighted asset amount for such a securitization exposure by multiplying the amount of the exposure (as defined in paragraph (e) of section 42) by the appropriate risk weight in the RBA tables in paragraph (b) of section 43.
(a) Eligibility requirements. A [bank] may use the SFA to determine its risk-based capital requirement for a securitization exposure only if the [bank] can calculate on an ongoing basis each of the SFA parameters in paragraph (e) of this section.
(b) Mechanics. Under the SFA, a [bank] must determine the risk-weighted asset amount for a securitization exposure by multiplying the SFA risk-based capital requirement for the exposure (as determined in paragraph (c) of this section) by 12.5. If the SFA risk weight for a securitization exposure is 1,250 percent or greater, however, the [bank] must deduct the exposure from total capital under paragraph (c) of section 42 rather than risk weight the exposure. The SFA risk weight for a securitization exposure is equal to 1,250 percent multiplied by the ratio of the securitization exposure�s SFA risk-based capital requirement to the amount of the securitization exposure (as defined in paragraph (e) of section 42).
(c) The SFA risk-based capital requirement. The SFA risk-based capital requirement for a securitization exposure is UE multiplied by TP multiplied by the greater of:
(1) 0.0056 * T; or
(2) S[L+T] − S[L].
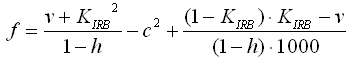
(d) The supervisory formula:
(10)
d = 1 − (1 − h) • (1 − β[KIRB;a,b])
(11) In these expressions, β[Y; a, b] refers to the cumulative beta distribution with parameters a and b evaluated at Y. In the case where N=1 and EWALGD=100 percent, S[Y] in formula (1) must be calculated with K[Y] set equal to the product of KIRB and Y, and d set equal to 1− KIRB.
(e) SFA Parameters - (1) Amount of the underlying exposures (UE). UE is the EAD of any underlying wholesale and retail exposures (including the amount of any funded spread accounts, cash collateral accounts, and other similar funded credit enhancements) plus the amount of any underlying exposures that are securitization exposures (as defined in paragraph (e) of section 42) plus the adjusted carrying value of any underlying equity exposures (as defined in paragraph (b) of section 51).
(2) Tranche percentage (TP). TP is the ratio of the amount of the [bank]�s securitization exposure to the amount of the tranche that contains the securitization exposure.
(3) Capital requirement on underlying exposures (KIRB). (i) KIRB is the ratio of:
(A) The sum of the risk-based capital requirements for the underlying exposures plus the expected credit losses of the underlying exposures (as determined under this appendix as if the underlying exposures were directly held by the [bank]); to
(B) UE.
(ii) The calculation of KIRB must reflect the effects of any credit risk mitigant applied to the underlying exposures (either to an individual underlying exposure, a group of underlying exposures, or to the entire pool of underlying exposures).
(iii) All assets related to the securitization are treated as underlying exposures, including assets in a reserve account (such as a cash collateral account).
(4) Credit enhancement level (L). (i) L is the ratio of:
(A) The amount of all securitization exposures subordinated to the tranche that contains the [bank]�s securitization exposure; to
(B) UE.
(ii) [Bank]s must determine L before considering the effects of any tranche-specific credit enhancements.
(iii) Any gain-on-sale or CEIO associated with the securitization may not be included in L.
(iv) Any reserve account funded by accumulated cash flows from the underlying exposures that is subordinated to the tranche in question may be included in the numerator and denominator of L to the extent cash has accumulated in the account. Unfunded reserve accounts (that is, reserve accounts that are to be funded from future cash flows from the underlying exposures) may not be included in the calculation of L.
(v) In some cases, the purchase price of receivables will reflect a discount that provides credit enhancement (for example, first loss protection) for all or certain tranches of the securitization. When this arises, L should be calculated inclusive of this discount if the discount provides credit enhancement for the securitization exposure.
(5) Thickness of tranche (T). T is the ratio of:
(i) The amount of the tranche that contains the [bank]�s securitization exposure; to
(ii) UE.
(6) Effective number of exposures (N). (i) Unless the [bank] elects
to use the formula provided in paragraph (f), ![]()
,
where EADi represents the EAD associated with the ith
instrument in the pool of underlying exposures.
(ii) Multiple exposures to one obligor must be treated as a single underlying exposure.
(iii) In the case of a re-securitization (that is, a securitization in which some or all of the underlying exposures are themselves securitization exposures), the [bank] must treat each underlying exposure as a single underlying exposure and must not look through to the originally securitized underlying exposures.
(7) Exposure-weighted average loss given default (EWALGD). EWALGD is calculated
as: ![]()
, where LGDi represents the average LGD associated with all exposures
to the ith obligor. In the case of a re-securitization, an LGD of 100 percent
must be assumed for the underlying exposures that are themselves securitization
exposures.
(f) Simplified method for computing N and EWALGD. (1) If all underlying exposures of a securitization are retail exposures, a [bank] may apply the SFA using the following simplifications:
(i) h = 0; and
(ii) v = 0.
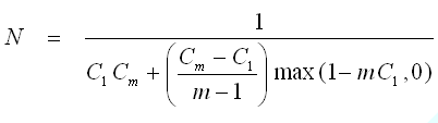
(2) Under the conditions in paragraphs (f)(3) and (f)(4), a [bank] may employ a simplified method for calculating N and EWALGD.
(3) If C1 is no more than 0.03, a [bank] may set EWALGD=0.50 and N equal
to the following amount: ![]()
, where:
(i) Cm is the ratio of the sum of the amounts of the �m� largest underlying exposures to UE; and
(ii) The level of m is to be selected by the [bank].
(4) Alternatively, if only C1 is available and C1 is no more than 0.03, the [bank] may set EWALGD=0.50 and N=1/C1.
(a) General. An originating [bank] that has obtained a credit risk mitigant to hedge its securitization exposure to a synthetic or traditional securitization that satisfies the operational criteria in section 41 may recognize the credit risk mitigant, but only as provided in this section. An investing [bank] that has obtained a credit risk mitigant to hedge a securitization exposure may recognize the credit risk mitigant, but only as provided in this section. A [bank] that has used the RBA in section 43 or the IAA in section 44 to calculate its risk-based capital requirement for a securitization exposure whose external or inferred rating (or equivalent internal rating under the IAA) reflects the benefits of a particular credit risk mitigant provided to the associated securitization or that supports some or all of the underlying exposures may not use the credit risk mitigation rules in this section to further reduce its risk-based capital requirement for the exposure to reflect that credit risk mitigant.
(b) Collateral - (1) Rules of recognition. A [bank] may recognize financial collateral in determining the [bank]�s risk-based capital requirement for a securitization exposure as follows. The [bank]�s risk-based capital requirement for the collateralized securitization exposure is equal to the risk-based capital requirement for the securitization exposure as calculated under the RBA in section 43 or the SFA in section 45 multiplied by the ratio of adjusted exposure amount (E*) to original exposure amount (E), where:
(i) E* = max {0, [E − C × (1 − Hs − Hfx)]};
(ii) E = the amount of the securitization exposure calculated under paragraph (e) of section 42;
(iii) C = the current market value of the collateral;
(iv) Hs = the haircut appropriate to the collateral type; and
(v) Hfx = the haircut appropriate for any currency mismatch between the collateral and the exposure.
(2) Mixed collateral. Where the collateral is a basket of
different asset types or a basket of assets denominated in different currencies,
the haircut on the basket will be ![]()
, where ai is the current market value
of the asset in the basket divided by the current market value of all assets
in the basket and Hi is the haircut applicable to that asset.
(3) Standard supervisory haircuts. Unless a [bank] qualifies for use of and uses own-estimates haircuts in paragraph (b)(4) of this section:
(i) A [bank] must use the collateral type haircuts (Hs) in Table 3;
(ii) A [bank] must use a currency mismatch haircut (Hfx) of 8 percent if the exposure and the collateral are denominated in different currencies;
(iii) A [bank] must multiply the supervisory haircuts obtained in paragraphs (b)(3)(i) and (ii) by the square root of 6.5 (which equals 2.549510); and
(iv) A [bank] must adjust the supervisory haircuts upward on the basis of a holding period longer than 65 business days where and as appropriate to take into account the illiquidity of the collateral.
(4) Own estimates for haircuts. With the prior written approval of the [AGENCY], a [bank] may calculate haircuts using its own internal estimates of market price volatility and foreign exchange volatility, subject to the provisions of paragraph (a)(2)(iii) of section 32. The minimum holding period (TM) for securitization exposures is 65 business days.
(c) Guarantees and credit derivatives - (1) Limitations on recognition. A [bank] may only recognize an eligible guarantee or eligible credit derivative provided by an eligible securitization guarantor in determining the [bank]�s risk-based capital requirement for a securitization exposure.
(2) ECL for securitization exposures. When a [bank] recognizes an eligible guarantee or eligible credit derivative provided by an eligible securitization guarantor in determining the [bank]�s risk-based capital requirement for a securitization exposure, the [bank] must also:
(i) Calculate ECL for the exposure using the same risk parameters that it uses for calculating the risk-weighted asset amount of the exposure as described in paragraph (c)(3) of this section; and
(ii) Add the exposure�s ECL to the [bank]�s total ECL.
(3) Rules of recognition. A [bank] may recognize an eligible guarantee or eligible credit derivative provided by an eligible securitization guarantor in determining the [bank]�s risk-based capital requirement for the securitization exposure as follows:
(i) Full coverage. If the protection amount of the eligible guarantee or eligible credit derivative equals or exceeds the amount of the securitization exposure, then the [bank] may set the risk-weighted asset amount for the securitization exposure equal to the risk-weighted asset amount for a direct exposure to the eligible securitization guarantor (as determined in the wholesale risk weight function described in section 31), using the [bank]�s PD for the guarantor, the [bank]�s ELGD and LGD for the guarantee or credit derivative, and an EAD equal to the amount of the securitization exposure (as determined in paragraph (e) of section 42).
(ii) Partial coverage. If the protection amount of the eligible guarantee or eligible credit derivative is less than the amount of the securitization exposure, then the [bank] may set the risk-weighted asset amount for the securitization exposure equal to the sum of:
(A) Covered portion. The risk-weighted asset amount for a direct exposure to the eligible securitization guarantor (as determined in the wholesale risk weight function described in section 31), using the [bank]�s PD for the guarantor, the [bank]�s ELGD and LGD for the guarantee or credit derivative, and an EAD equal to the protection amount of the credit risk mitigant; and
(B) Uncovered portion. (1) 1.0 minus (the protection amount of the eligible guarantee or eligible credit derivative divided by the amount of the securitization exposure); multiplied by
(2) The risk-weighted asset amount for the securitization exposure without the credit risk mitigant (as determined in sections 42-45).
(4) Mismatches. For any hedged securitization exposure, the [bank] must make applicable adjustments to the protection amount as required in paragraphs (d), (e), and (f) of section 33.
(a) General. (1) An originating [bank] must hold risk-based capital against the sum of the originating [bank]�s interest and the investors� interest in a securitization that:
(i) Includes one or more underlying exposures in which the borrower is permitted to vary the drawn amount within an agreed limit under a line of credit; and
(ii) Contains an early amortization provision.
(2) For securitizations described in paragraph (a)(1) of this section, an originating [bank] must calculate the risk-based capital requirement for the originating [bank]�s interest under sections 42-45, and the risk-based capital requirement for the investors� interest under paragraph (b) of this section.
(b) Risk-weighted asset amount for investors� interest. The originating [bank]�s risk-weighted asset amount for the investors� interest in the securitization is equal to the product of the following four quantities:
(1) The investors� interest EAD;
(2) The appropriate conversion factor in paragraph (c) of this section;
(3) KIRB (as defined in paragraph (e)(3) of section 45); and
(4) 12.5.
(c) Conversion factor. To calculate the appropriate conversion factor discussed in paragraph (b)(2) of this section, a [bank] must use Table 8 for a securitization that contains a controlled early amortization provision and must use Table 9 for a securitization that contains a non-controlled early amortization provision. A [bank] must use the �uncommitted� column of Tables 8 and 9 if all or substantially all of the underlying exposures of the securitization are unconditionally cancelable by the [bank] to the fullest extent permitted by Federal law. Otherwise, a [bank] must use the �committed� column of the tables. To calculate the trapping point described in the tables, a [bank] must divide the three-month excess spread level of the securitization by the excess spread trapping point in the securitization structure.10
| Uncommitted | Committed | |
| Retail Credit Lines | 3-month
average excess spread Conversion Factor (CF) |
90% CF |
| 133.33%
of trapping point or more 0% CF |
||
| less
than 133.33% to 100% of trapping point 1% CF |
||
| less
than 100% to 75% of trapping point 2% CF |
||
| less
than 75% to 50% of trapping point 10% CF |
||
| less
than 50% to 25% of trapping point 20% CF |
||
| less
than 25% of trapping point 40% CF |
||
| Non-retail Credit Lines | 90% CF | 90% CF |
| Uncommitted | Committed | |
| Retail Credit Lines | 3-month
average excess spread Conversion Factor (CF) |
100% CF |
| 133.33%
of trapping point or more 0% CF |
||
| less
than 133.33% to 100% of trapping point 5% CF |
||
| less
than 100% to 75% of trapping point 15% CF |
||
| less
than 75% to 50% of trapping point 50% CF |
||
| less
than 50% of trapping point 100% CF |
||
| Non-retail Credit Lines | 100% CF | 100% CF |
- In securitizations that do not require excess spread to be trapped, or that specify trapping points based primarily on performance measures other than the three-month average excess spread, the excess spread trapping point is 4.5 percent. Return to text






