
Keywords: Migration, Business Cycles
Abstract:
The views in this paper do not reflect those of the Board of Governors of the Federal Reserve System or its staff. We thank Chris Foote for providing the IRS data on state-to-state migration flows. The authors also thank seminar participants at the University of Notre Dame, McGill University, Western Michigan University, the Upjohn Institute, Michigan State University, and the US Bureau of Labor Statistics for helpful comments.
I. Introduction
Recent developments in business cycle theory as well as improved empirical evidence have emphasized changes in worker reallocation as a fundamental feature of business cycle fluctuations. In this paper, we examine long-distance migration patterns - defined as a move across state, metropolitan area, or county boundaries - to provide new evidence on worker reallocation in the US economy. Because long-distance migration is frequently accompanied by a new employer-employee match or a change in labor force status, the cyclicality of geographic churning may help to shed light on the cyclicality of worker reallocation more generally.1
Evidence based on migration patterns has distinct advantages over previously explored measures of reallocation in the labor market.2 First, migration theory offers a simple and well developed framework for isolating the effect of national conditions from those of changes in the array of local market conditions over the cycle.3 Migration theory tells us that holding the cost of migration fixed, workers move between local markets either to arbitrage spatial differences in economic opportunity (real wages, unemployment rates) or for personal reasons related to the lifecycle or preferences. Assuming that migration decisions for personal reasons are unrelated to the business cycle, cyclical migration in response to national economic conditions - over and above the effect of changes in the distribution of local economic opportunities - suggests accompanying cyclical fluctuations in the net benefits to moving. In turn, changes in the benefits to spatial worker reallocation can shed light on the reasons for cyclical worker reallocation more generally.
A second advantage of studying worker reallocation through the lens of migration is that, unlike some other measures of worker reallocation, migration rates are available over a long period of time spanning many business cycles. Our longest series encompasses ten recessions over six decades, providing much more variation to identify cyclical effects than other data sources. With, this long series we can also determine whether the cycles of reallocation documented in more recent data characterized earlier periods. Moreover, migration data do not suffer from the same degree of composition bias that challenges researchers studying wage cyclicality (Barsky, Parker and Solon, 1994).
Our goal in this paper is to empirically establish the relationship between rates of internal migration and the business cycle in the United States. We carefully distinguish two potential sources of correlation between migration rates and the aggregate business cycle. The first is correlation that would result from systematic changes in the dispersion of relative local labor demand over the course of the business cycle. The second is correlation with national economic conditions, which we define as shocks common to all locations. This correlation is our parameter of interest because cyclical variation in national economic conditions may change the net cost of moving, altering the location choices of individuals even when opportunities for relative wage or employment gains across local markets are unchanged. These costs could be related to a number of factors including cyclical variation in the productivity of a worker-firm match, the cost of job search, or adjustment costs in the housing market, and distinguishing between these factors can shed light on the determinants of other types of worker reallocation.
To assess the cyclical behavior of migration, we use several nationally-representative datasets that span ten recessions over more than fifty years. We find that migration is strongly procyclical, even after accounting for relative variation in local economic conditions over the cycle.4 These results suggest that the net cost of moving changes systematically over the business cycle. We explore the nature of migration costs in more detail by examining the characteristics of individuals for whom migration is most procyclical. The procyclicality of migration does not differ significantly across most major demographic groups, with the notable exception of younger workers who are markedly more procyclical,. In particular, education, employment status, and homeownership are uncorrelated with cyclical fluctuations in the probability of having moved in the past year. Finally, the procyclicality of migration is more closely related to labor markets than housing market cycles, providing further evidence that household relocation decisions are related to churning in the labor market.
Our work has implications for two important literatures. First is the search for microeconomic factors that can explain aggregate business cycle fluctuations, an area in which advances have come from both labor and macroeconomists. This research has examined the cyclical properties of a number of labor market measures in detail, but geographic flows of workers have so far received little attention.5 This omission is surprising since internal migration flows often correspond to a new worker-firm match, suggesting useful implications for theories of job search and worker flows. Ultimately, the cyclicality of migration patterns may provide insight into the micro-foundations of business cycles, making these flows an attractive empirical tool in macro-labor research.
Our work also has implications for the local adjustment literature and for other lines of research in which spatial arbitrage and the background effects of migration are potentially important, like local program evaluation. Migration is usually considered a means for local economies to adjust following shocks, although estimates of its importance vary (Blanchard and Katz 1992; Bartik 1993). Our work sheds light on why local adjustment in the US is generally incomplete, even in the face of substantial migration flows (Lkhagvasuren 2006), because national conditions may offset the influence of spatial arbitrage.
Our work also raises the possibility that estimates of program treatment effects may be misleading if the effects of national conditions on migration are not considered. For example, Meyer (2000) reports higher levels of interstate welfare migration for the portion of his sample observed in the late-70s as compared to that observed in the late-80s. Both were periods of declining national unemployment rates but the declines in the late-70s were larger. Because migration is procyclical, the greater improvement in national economic conditions in the earlier period should have led to a greater increase in interstate migration. Meyer was unable to model business cycle effects in his data, so it is unclear how much of his results may be due to these cyclical influences.
The paper proceeds in six sections. In Section II we discuss additional related literature and incorporates national conditions into the traditional migration choice framework. We present evidence on migration cyclicality using aggregate migration rates from published reports of the CPS in Section III and assess the role of changing sets of local conditions for our findings using IRS data in Section IV. In Section V we examine differences in procyclicality across groups of workers using microdata, and we make concluding remarks in Section VI.
II. Background on the Relationship between Internal Migration and the Business Cycle
A. Related Research
A high degree of geographic mobility is a well-known characteristic of labor markets in the United States. Population flows between states far surpass net changes in state populations, suggesting a large degree of churning in geographic relocation patterns. (Census Bureau 2003). Many factors influence migration including the age distribution of the population, heterogeneous preferences for local amenities, and changes in local housing markets. Spatial differences in local labor demand also contribute to worker relocation, although evidence suggests that labor markets explain only a small portion of total migration flows (Wozniak 2006, Bound and Holzer 2000, Gabriel, Shack-Marquez and Wascher 1993).6
This paper asks whether internal migration is correlated with fluctuations in the national business cycle, as opposed to regional differences in local business cycles. Although this question has yet to be answered satisfactorily, a related literature has found that churning in the US labor market along other dimensions is procyclical. For example, Caballero and Hammour (2005) show that job restructuring, defined as the sum of job creation and job destruction, falls during national recessions. Fallick and Fleischman (2004) document that the number of workers who change employers is also procyclical.
Although the existing evidence on the cyclical properties of migration is far from conclusive, a number of researchers have observed that these flows are positively correlated with the national business cycle (Greenwood 1997). However, these studies are based on data from relatively short time periods that span few business cycles. For example, Pissarides and Wadsworth (1989) document that migration between regions in Great Britain was lower in a year when aggregate unemployment was high compared with another year when unemployment was low. Milne (1993) shows that a procyclical cyclical pattern holds for internal migration in Canada, although again the result is based on data from a more limited number of years and pertains to a country with historically lower migration rates than the US.
Stronger evidence is presented by Greenwood, Hunt and McDowell (1986), who use annual data on migration between metropolitan areas in the United States from 1958 to 1975 to examine net local population responses to MSA-level employment growth. They find that the local population is more responsive to employment growth during national upswings; however, this result is confounded by a shift from positive economic conditions in the early part of their sample to a severe recession in later years. Their study leaves open the question of whether the result would pertain to other time periods after accounting for a secular trend in migration.
Indeed, what is striking about the literature is that the cyclicality in migration patterns has escaped a thorough examination for so long. In a 1968 paper, Milton Friedman pointed to the costs of migration as one of the factors that determine the natural rate of unemployment. However, compared to other items in his list, mobility costs and migration patterns have received little attention from business cycle researchers.7
B. Theoretical Framework
Migration is a means for workers to arbitrage the total cost and benefit of residence in different locations. The emphasis on arbitrage in standard migration models deflects attention away from aggregate factors that may facilitate or hinder migration and towards local factors, which may be a
reason for the long-standing neglect of aggregate factors in migration research However, the traditional model can easily accommodate aggregate conditions as well as location-specific factors. Consider an individual
who lives in location
but is considering a move to location
. In the traditional migration model, this individual weighs the present value of the benefit to moving from
to
against the costs, moving only if the net benefit is positive:
(1)

where
is the net benefit to
from moving to
from
at time
.
Net benefits, or
, are therefore a function of all factors that influence the benefits and costs from migration:
(2)
![]()
Here, ![]()
and ![]()
are time-varying benefits and costs, respectively, associated with moving between the specific markets
and
. They may include benefits and costs that depend either on the
destination-origin pair or on the destination or origin only. Hence ![]()
=
{b
, b
, b
} and ![]()
= {c
, c
, c
}. Examples of time-varying benefits and costs include the components of earnings, employment opportunities, and housing costs arising from local economic conditions. Time-varying benefits and costs that are specific to the location pair might arise if there is a
history of migration between two locations, giving migrants from one labor market an advantage in securing jobs in another market. Other costs, indicated by ![]()
, depend on features of
and
but do not vary over time, and would primarily include distance-related costs like truck rental and the time and labor costs of moving.
![]()
, ![]()
, and
represent costs and benefits that do not depend on an individual's origin and destination locations. Some of these costs, represented by
, are similar for all movers at all times; these
include organizational costs like discontinuing and establishing new relationships with service providers. Other costs and benefits are similar for all movers only at a point in time and may be influenced by the business cycle. For example, the costs of searching for a new job in any location may
vary over the cycle, particularly if swings in job creation are an important component of the cycle or if firm restructuring is procyclical.8 If the costs of
searching for a new home or selling an existing home vary over the cycle, this too will affect the net benefits to moving at a point in time. Aggregate fluctuations in wages and employment will also alter the cost of moving through changes in the cost of leaving a current job.
Net benefits to migration also depend on time-varying personal characteristics ![]()
, like age, and amenities differentials across locations, represented by an average over a vector of differentials ![]()
with individual-specific weights ![]()
. 9
In this framework, the relationship between the migration and aggregate shocks will hinge on cyclical variation in the relative benefits and costs to worker relocation. In an economic environment with heterogeneous workers and locations, the existence of migration costs means that at any given time there are individuals who would find it desirable to live in a different location if migration were less costly.
More prescisely, in equilibrium
0 for every individual. Equalization of utility across locations, as in Roback (1982), guarantees that in equilibrium there is a group of individuals on the margin of moving
and not. These individuals will have ![]()
= 0 or very close, ![]()
= 0 -
. In this case, small changes in any of the time-varying factors could push the value of ![]()
above zero. The corresponding increase in the migration rate is:
(3)
![]()
where N is the size of the population. Thus, fluctuations in the time-varying economy-wide costs and benefits could lead to changes in the geographic distribution of the population even when local amenity, labor market, and housing market differentials remain the same.
III. The Cyclical Behavior of Internal Migration: Time Series Evidence from the Current Population Survey
Our main goal is to establish the correlation between internal migration rates and national economic conditions, and thus our primary empirical challenge is finding data with which to most credibly estimate this correlation. In order to observe migration over the largest possible number of business cycles, we construct a time series on aggregate migration in the United States based on the Current Population Survey (CPS). To our knowledge, this survey provides the longest nationally-representative data on migration rates in the US.10 Measurement of business cycle conditions is a bit more complicated because no single variable best reflects these fluctuations. Therefore, we use a variety of measures of the national business cycle.
Figure 1 presents simple visual evidence on the cyclicality of migration rates. We calculate these rates as the number of individuals age 14 and up who moved between states or counties during the previous 12 months relative to the total population of the same age group. From 1948 to 1976, the data are taken from historical CPS reports published by the Bureau of Labor Statistics. For 1980 onwards, we tabulate the fraction of migrants from CPS microdata.11 The years 1972-75, 1977-79, 1990 and 1995 are missing because in those years the CPS did not ask respondents where they were living in the previous year. All data are from the March CPS, so the migration rates reflect geographic reallocation from April of the preceding year to March of the current year.
Ideally, we would like to observe migration between local labor markets, a concept most closely approximated by metropolitan areas since these areas are designed to delineate a single local labor and housing market. A count of only inter-state moves will understate the degree of geographic churning that may occur in large states with multiple metropolitan areas. On the other hand, some inter-county movers (and even some inter-state movers) remain in the same local labor and housing market, which means that this measure will overstate inter-metropolitan migration.12 Despite these drawbacks, county and state-level analyses have the advantage that they cover the entire geographic area of the U.S. By contrast, inter-MSA migration rates will not account for migration between metropolitan and rural areas. In this paper we will examine inter-state, inter-metropolitan area and inter-county flows, depending on data availability.
The shaded regions of the Figure 1 show recession periods as defined by the NBER. The figure strongly suggests that migration declines during a recession, whether it is measured as all inter-county moves or only state-to-state relocation. With the exception of the recessions in 1957 and 1960, inter-state migration is lower at the end of the recession than it was prior to when the recession began. Although it is difficult to asses the timing more precisely without monthly migration data, it appears that migration is lowest near the end of a recession or during the year after a trough has been reached.
The NBER's designation is the most widely-used measure of recessions, but it does not reflect the amplitude of fluctuations in national economic activity. Therefore, we calculate three different measures of the magnitude of the business cycle, which we will rely on throughout our empirical
analysis. The first is the "employment gap," which we define as the logarithm of aggregate employment relative to its trend, where this trend is estimated from a Hodrick-Prescott filter. To be consistent with the timing of the migration data, we define the annual employment gap as the average
monthly gap from April of the previous year to March of the current year. The second variable we consider is the national unemployment rate, which has been used to measure business cycles in a number of prior studies such as Barsky et. al (1989) and Solon et al. (1994). Again to be consistent with
the timing of the CPS, we calculate the unemployment rate for each year as the average from April in the previous year to March in the current year. One disadvantage of the unemployment rate is that state-level data are only available starting in the mid-1970s, making it difficult to decompose the
national cycle into contributions from aggregate and reallocation shocks for the entire CPS sample period. Therefore we also calculate the "UI claims rate," which we define as the number unemployment insurance claimants relative to total covered employment.13 The UI data are only available as annual averages prior to 1971, so we associate the number of migrants in March of year
with the average claims rate in year
.
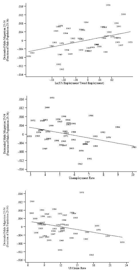
The top panel of Figure 2 plots the employment gap against the share of individuals age 14 and up who moved between counties in the previous year, where the migration rate has been detrended using an HP filter. The slope of the regression line is 0.06, which implies that when national employment falls 4 percent relative to trend (a drop corresponding to two standard deviations), migration declines by about 0.24 percentage points. Compared with an average migration rate of about 6.1 percent over our sample period and a standard deviation of 0.42 percent, this change in migration is small but not inconsequential.14 The bottom two panels show similar relationships for the other measures of the business cycle, although the sign of the correlation is reversed since unemployment rises during recessions.
In Table 1, we estimate these correlations for men in separate age groups.15 The procyclicality of migration declines with age and disappears entirely for men older than 45. Results are similar when migration is defined as inter-state relocation.
The cyclicality of migration has not changed appreciably over time. When we interact our business cycle measures with a dummy variable for the post-1980 period, these interactions are small and insignificantly different from zero. We find similar results when we interact the business cycle measures with a linear time trend. Thus, the factors shaping the cyclical component of geographic reallocation in recent years appear to have been similar throughout the entire post-World War II era.
IV. The Roles of Aggregate and Reallocation Shocks in Explaining Migration
A. Aggregate Time-Series Evidence from the CPS
As we discussed in section II, fluctuations in migration can be caused by either aggregate shocks to the net benefit of moving or by changes in the dispersion of relative local conditions. Thus, one explanation for procyclical migration would be increasing dispersion of local economic conditions as national conditions improve.
A simple look at the dispersion of economic conditions across states suggests that reallocation shocks are not likely to be the primary explanation for procyclical migration patterns. In the top panel of Figure 3, we show a kernel density estimate of the distribution of state employment gaps for all the years in which the national employment gap was in the top quartile of its 1948-2004 range, compared to a kernel density estimate in years when the national employment gap was in its bottom quartile.16 The dispersion of state employment gaps appears to be invariant to the national cycle. Similar results for the unemployment rate and UI claims rate are shown in the bottom two panels of Figure 3.17 If anything, the dispersion of state-level unemployment seems to increase when national conditions are worse, suggesting that internal migration should be countercyclical.
To investigate further, we include measures of the dispersion of state level conditions in the simple time-series regressions reported in the first row of Table 1.18 Whether dispersion is measured as the standard deviation across states, the difference between the 90th and 10th percentiles, or the difference between the 75th and 25th percentiles, controlling for dispersion does not qualitatively alter the procyclical correlation of migration with the national employment gap. Controlling for variation in state unemployment rates strengthens the procyclical relationship of migration with the national unemployment rate, although the measures of dispersion themselves are not significantly related to migration. Differences in state UI claims rates also appear to be unrelated to migration patterns, but in this case including these measures makes the procyclical correlation between migration and national conditions more imprecise.
Because large states that encompass multiple labor market areas may not accurately reflect the economic conditions considered by households when making their migration decisions, we also calculated the dispersion in economic conditions across metropolitan areas. We measure local conditions as the employment gap, relative income per capita (both available annually from the BEA's Regional Economic Information System from 1969 onward) or relative house prices (the OFHEO house price index multiplied by median house values in 2005 from the American Community Survey, limiting the sample to 122 metropolitan areas with house price indexes available since 1980). Although controlling for these conditions shortens the sample period in some specifications, in no case does controlling for dispersion in these conditions change the procyclical correlation between migration and the national employment gap. In summary, we find no evidence that procyclical migration patterns in the CPS are driven by changes in the dispersion of economic conditions across locations.
B. State-level Evidence from the IRS
The CPS provides a national time series on internal migration that spans the largest possible number of business cycles in the postwar United States. However, national data may obscure features of local labor market dynamics that may be important for explaining cyclical fluctuations in migration. In particular, regional differences that accompany the national cycle may cause migration between two locations to change even if aggregate measures of relative differences in economic conditions remain the same.
For example, suppose booms are characterized by the emergence of regional leaders--states that are doing particularly well but are not concentrated in a single geographic region. This pattern would make it easier for migrants to move from nearby states to these "leader" states during booms. Alternatively, better-performing states in recessions may be concentrated in certain areas like the coasts, raising the distance the typical economic migrant would have to move during recessions. In these scenarios, it is not the national cycle itself that affects migration but geographic features of the distribution of state conditions. Because simple measures of geographic dispersion are inadequate to capture the myriad of ways that local conditions may impact migration, we turn to data on migration flows between pairs of states to flexibly control for relative economic conditions in a migrant's origin and destination locations.
The IRS tabulates information on migration between every pair of states in each year from 1975 to 2005. Specifically, they report the total number of tax exemptions that moved out of each of the 48 continental United States and moved into each of the other 47 states. The IRS data represent a narrower population than the CPS in that they only reflect individuals in households who filed tax returns in two consecutive years. On the other hand, these data comprise the total universe of tax filers, and so they are less susceptible to measurement error than the CPS. Similar to the CPS, the IRS reports the number of migrants from the first quarter of one year to the first quarter of the following year. Therefore we maintain the same timing of our business cycle measures that was described earlier: the employment gap and unemployment rate are averages from April in the previous year to March in the current year, and the UI claims rate is the rate in the previous calendar year. We estimate the following regression of migration on national and local economic conditions:
(4)
We define migration, flow
, between each pair of states as the total number of tax exemptions that moved from state
to state
in year
, relative to
the initial number of exemptions in state
(defined as the number of non-moving exemptions plus the total number of exemptions that moved out of state
in that year). The IRS reports both the number of migrants moving from state
to state
as well as the number of migrants moving from state
to state
, so these data reflect gross migration patterns across states. ![]()
represents national business cycle conditions, which we measure using each of the three variables discussed earlier: the employment gap, the unemployment rate, or the UI claims rate.19
We control for a wide variety of differences in relative economic opportunities across locations by including local business cycle, labor market and housing market conditions in both the origin and destination state. The variables ![]()
and ![]()
represent relative business cycle conditions in the origin and destination states, computed as the difference between the equivalent state-level business cycle measure and ![]()
. The variables i
and i
represent relative income per capita in the origin and destination states, and p
and p
represent relative house prices in the origin and destination states. House prices are measured using the OFHEO house price
indexes. Both income per capita and house prices are measured in logarithms and are lagged 1 year in order to mitigate endogeneity problems associated with a contemporaneous effect of migrants on wages and house prices. We also include a separate fixed-effect and time trend for each origin and
destination state.20 These dummy variables capture smooth changes in migration flows between states over time, such as increased migration to Sunbelt
states, as well as the numerous stable sending-receiving relationships between states.
Because this specification directly accounts for reallocative shocks, the coefficient on the national business cycle, ![]()
, will reflect purely the influence of aggregate shocks common across all locations. Table 3 reports the coefficients on the national and state economic conditions. The coefficients on state economic conditions all have the expected signs:
migration is higher when relative employment opportunities and income are better in the destination state and lower when these conditions are better in the origin state. Relative house prices have the opposite sign. The correlation of aggregate conditions with migration is significant but small,
corresponding to about a 0.03 standard deviation increase in migration for a 2 standard deviation improvement in aggregate employment relative to trend. The right-hand panel of Table 3 uses the natural logarithm of the number of migrants as the dependent variable instead of the migration rate.
These results suggest that a 2 standard deviation increase in the national employment gap is associated with a 4.5 percent increase in migration flows.
It is important to keep in mind that these regressions reveal the simple correlations of migration with aggregate and local labor market fluctuations. Because employment and the population of a state may partly depend on the number of workers flowing in and out, the coefficients on local economic conditions should not be interpreted as a causal effect of local labor and housing market conditions on migration. The UI claims rate is less susceptible to this concern than the other two business cycle measures because unemployment insurance claimants receive benefits from the state where they were last employed as opposed to the state where they currently reside. Thus, the UI claims rate is not a direct function of migration. The estimated effect of national economic conditions on migration is about the same using this measure of the business cycle, as a two standard deviation improvement in the national UI claims rate corresponds to a 4.3 percent (or 0.04 standard deviation) increase in migration.
We interpret the correlation between migration and the national business cycle as evidence that the net cost of migration is higher during economic downturns. Although many of these costs are related to reallocation in the labor market, the cost of buying or selling a home might also play a role in restraining migration when the housing market is soft. To distinguish between these two channels, we include the change in national house prices along with each of our labor-market based business cycle measures.21 In every specification, the coefficient on the labor-market cycle is unchanged and the coefficient on national house prices changes is small and insignificantly different from zero. Thus, cyclical migration patterns appear to be more closely tied to labor markets than to national housing cycles.
While these regressions allow for an assessment of the correlation of migration with the local conditions in the state that a migrant has chosen ex post, they do not explicitly account for the range of opportunities facing potential migrants ex ante. To proxy for the range of opportunities facing a potential migrant, we calculate a distance-weighted average of relative state-level conditions, excluding conditions in the origin state. Then we estimate the following function of migration flows either into or out of each state from all of the other 47 states:
(5)
![]()
As before, ![]()
reflects the national business cycle and ![]()
reflects the local business cycle conditions in each state, while ![]()
and ![]()
reflect income per capita and house prices. The variables
reflect the distance-weighted averages of each of these state economic conditions in all other states.22 This specification offers an advantage over the point-to-point model in that it can be estimated for inter-MSA migration (inflows and outflows) as well as inter-state migration.
Table 4 shows the coefficient estimates from this specification. Migration into a state increases and migration out of a state falls when local cyclical conditions improve. In-migration is also positively related to relative income per capita and negatively related to relative house prices in a state, while the reverse correlations hold for out migration. The coefficients on the weighted averages of conditions in other states are frequently insignificant, although generally migration into a state increases when conditions in nearby states improve--a result that is unexpected and somewhat puzzling.23 Nevertheless, migration displays a clear procyclical relationship with national economic conditions. The effect of a two standard deviation improvement in national conditions ranges from a 0.1 to 0.2 standard deviation, or equivalently a 4 to 8 percent, increase in both inmigration and outmigration. These results show that yet another method of controlling for differences in relative local economic conditions points to a significant role for the national business cycle in explaining internal migration.
C. MSA-level Evidence from the IRS
Although state-to-state migration patterns capture long-distance moves, they do not allow us to observe migration between labor or housing market areas within a state. Moreover, local economic conditions are arguably better reflected by conditions in the metropolitan area in which a household in located, rather than those of the entire state. Therefore, next we use data from the IRS's county-to-county migration files to calculate total migration into and out of each metropolitan area in the United States. Because these files only report migration between pairs of counties with at least a moderate population flow between the two locations, we cannot calculate migration between pairs of metropolitan areas to estimate a regression analogous to the state-pair regressions shown in Table 3. However, the files do report total migration into and out of each county, so we are able to aggregate the data into total infows and total outflows for each metropolitan area.24 The files are available for tax returns filed in 1981 and 1984-2005.
We estimate the cyclical behavior of migration into and out of metropolitan areas using a specification similar to equation (2). Unemployment rates for individual counties or MSAs are not available prior to 1990, so in all equations we use the employment gap to proxy for the local business cycle. We calculate this gap from annual employment estimates by county from the BEA, which are available from 1969-2005. An additional difference between these specifications and equation 2 is that we do not include distance-weighted averages of conditions in other locations, because we do not have data on the distance between each pair of metropolitan areas. Our state-level results suggest that this omission should not have a large impact on the results.25 The regressions also include income per capita and the OFHEO house price index in the previous year. The OFHEO did not start calculating house price indexes for many of these metropolitan areas until 1985 or even later, so the sample is an unbalanced panel as more areas with non-missing house price values are included over time. Results are similar when we limit the sample to a balanced panel of 122 metropolitan areas with non-missing house price information in 1980.
We report coefficient estimates from this specification in Table 5. As with the state-level results, both in-migration and out-migration are positively correlated with the national business cycle. A 2 standard deviation improvement in national economic conditions is associated with a 1 to 3 percent (or 0.02 to 0.06 standard deviation) increase in migration. For the most part, local economic conditions are statistically significant and have the expected sign. One interesting exception is that out-migration does not appear to be related to local business cycle conditions, even though more individuals move into the area when local conditions improve.26
V. Migration Choices of Individual Households: Results from Microdata
Age, education, and family composition are all highly correlated with long-distance migration propensity, and the cost of migration is likely to vary considerably across demographic groups (Greenwood 1997).27 Therefore, we now turn to individual-level data to determine which segments of the population are most influenced by aggregate business cycle conditions in making their migration decisions. Our primary source of data for this analysis is individual-level data from the Current Population Survey (CPS), which provides the largest nationally representative sample that covers a considerable number of business cycles. However, the CPS is a cross section and does not provide information on migrants prior to their move. Therefore, we also use the Panel Study of Income Dynamics (PSID) to test for cyclical differences across individual and household characteristics--like employment or marital status--that may change during a move.
A. Current Population Survey Data and Baseline Specification
Our CPS microdata come from the March surveys from 1964 to 2003, again excluding the years in which CPS respondents were not asked whether they resided in their current county one year ago (Ruggles et al. 2004). Our sample is restricted to household heads, ages 18 to 65, since household heads are most likely to make migration decisions for a family. We control for family structure characteristics that may influence migration costs, like the presence of children. We exclude minors since they are unlikely to make migration decisions independently, and we exclude those over the age of 65 since migration during retirement years is likely to be qualitatively different from migration during the prime years of employment. Because our sample is restricted to household heads, women are significantly underrepresented in our data.
We compute linear probability models in which the dependent variable migrant
is equal to one if a respondent currently residing in state
moved across county lines in the previous year (and zero otherwise):
(6)
![]()
As in our earlier specifications, ![]()
represents one of our three measures of the
national cycle, while ![]()
represents local economic conditions in the individual's
current state of residence (i.e. a migrant's destination state). 28 Unfortunately, the CPS does not identify a migrant's state of origin, nor does it provide information on an individual's personal characteristics in the previous year. Therefore, we cannot control for local economic conditions in the origin state or for any more
sophisticated measures of the ex ante array of state conditions facing a potential migrant. However, our previous analysis suggests that neither controls for local conditions nor for the dispersion in local economic conditions play a large role in explaining national cyclical fluctuations
in migration, even though they may be important predictors of migration themselves. Therefore, it is unlikely that the omission of these variables will bias our estimates of the effect of the national business cycle.
Our linear probability models also include controls for basic demographic characteristics, ![]()
. These include dummy variables for six age groups, four educational attainment categories, race, ethnicity, gender, marital status, the presence of children, and three categories of employment status (employed, unemployed, or not in the labor force). It is important to keep in
mind that for migrants, these characteristics are all observed after the change in location has been made. A later section will analyze prior-move characteristics using the PSID. We also control for a quadratic time trend to capture smooth long-term changes in the population's propensity to
migrate.29
B. Baseline results
Table 6 presents results of our baseline specification estimated using our CPS microdata sample. As was the case in the aggregate data, the migration choices of households are procyclical, even after controlling for important demographic correlates of long-distance migration. All three business cycle measures are positively related to inter-county migration among household heads, although the UI claims rate measure is not significantly different from zero.
As before, procyclical changes in migration lead to modest shifts in overall migration levels. The coefficient of -0.21 on the annual unemployment rate implies that a percentage point change in the national unemployment rate reduces an individual's probability of moving between counties by 0.21 percentage points. Thus, a two standard deviation change in the national unemployment rate would lead to decrease in the annual internal migration rate of roughly 0.63 percentage points, a ten percent decline from the average annual inter-county migration rate of 6 percent.
The positive coefficient on the employment gap shows that internal migration increases when employment growth is above trend. In this case, a two standard deviation swing in employment around its trend generates a change in the probability of inter-county migration of 0.4 percentage points, a bit smaller than the change generated by a similar swing in the national unemployment rate. The third column shows that the UI claims rate has an imprecise correlation with migration, although its sign is in the expected direction.30
The state level controls also have the expected signs. Respondents in states experiencing unemployment rates above the national level or employment gaps below the national average are less likely to have moved across counties in the previous year. This result makes sense because the CPS samples physical household locations. Individuals living in states experiencing relatively worse economic conditions are less likely to be in-migrants than individuals in other states as long as poor local conditions discourage in-migration. As we found with the IRS data, the impact of national business cycle conditions on migration is unaffected by the inclusion of state level controls.31
The coefficients on individual characteristics all have the expected relationships to inter-county migration; results are shown in Appendix Table 1. Black, Hispanic and female household heads are less likely to have migrated in the previous year, as are married household heads and those with children. Older individuals have a lower propensity to move between counties. More educated household heads, those with some college education and above, are more likely to move between counties on average, as are those who are unemployed or not in the labor force. The time trends were not significant.
The results in Table 6 are robust to a variety of specification changes. Omitting time trends makes no difference, while omitting employment status (which is the most likely characteristic to be a function of migration) dampens but does not eliminate procyclicality. Examining inter-state migration, rather than inter-county migration, leads to similar but less precise estimates; this result is probably because than 3% of our sample moves across state lines in a given year while 6% move across state or county lines. Finally, including leads and lags of one year in the state and national business cycle measures does not substantially alter the point estimates on current-year business cycle conditions, although it greatly reduces their precision. The exception to this result is the UI claims rate, which is more sensitive to the inclusion of leads and lags.32
C. Results by demographic group
To examine whether the national business cycle impacts the migration choices of certain individuals more than others, we interact the business cycle measures with dummy variables for various demographic groups according to the following specification:
(7)
![]()
In this specification,
represents a vector of dummy variables for a particular group characteristic, and
is the vector of all other control variables. Note that this specification allows for both national and local state economic conditions to vary by demographic group.
Table 7 shows the results of interacting business cycle measures with the following demographic groups: age, gender, education, and race/ethnicity. We focus first on these groups since they are the major exogenous characteristics of individuals in our sample, and should not change during the one-year reference period.33 For the sake of brevity, the coefficients on state-level conditions and other personal characteristics have been omitted from Table 7. Although estimating these interactions leads to less precise estimates, we still find that the migration choices of most individuals are at least moderately procyclical.
The largest and most robust result in Table 7 is that migration becomes less procyclical with age, confirming the aggregate time-series evidence presented earlier. The effect of business cycle conditions on the youngest individuals in our sample--those 18 to 25--is shown by the level effect of the NEC variables. These coefficient estimates are much larger in magnitude than the estimates for the entire sample, shown in Table 6. The interaction terms of these measures with dummy variables for older age groups show that the responsiveness of migration to business cycle conditions declines with age. This result may indicate that the net benefit to moving is larger for younger individuals, which would be the case if younger workers have less local- or firm-specific human capital. Lower migration costs might also make younger workers particularly sensitive to changes in the benefits to migration, since they have a longer time horizon over which to accumulate rewards.
Panel B shows a striking difference between the migration propensity of men and women, as inter-county migration among female-headed households is much more procyclical than migration among male-headed households. Interestingly, the two gender groups are similarly responsive to relative state conditions (results unreported). In Panel C we also find that the migration decisions of both blacks and Hispanics are significantly more procyclical than for whites, at least with respect to the unemployment rate and UI claims rate. These differences are surprising, since there is no obvious a priori reason why race or gender should be related to the costs or benefits of moving. It may be that since women and minorities are less attached to the labor force, the relationship between their migration choices and the cycle in part reflects re-employment that accompanies a move; this correlation may amplify the cyclicality of migration among these groups.34
Finally, we test for differences in the procyclicality of migration across education groups. An individual's educational level may be related to the costs and benefits of migration through a number of channels, but on balance, it is not clear whether we should expect the cyclicality of migration to increase or decrease with education. For example, less educated workers may not be able to afford to move when wages are low or may not be able to sustain a period of unemployment while they look for work in a new location, leading to more procyclical migration among this group. On the other hand, more educated workers may be the targets of firm restructuring efforts, leading to more migration among the highly educated during periods of substantial restructuring.
Our estimates of differences in the cyclicality of migration across education groups are not easy to interpret (see Panel D of Table 7). When national conditions are measured using the employment gap, workers with more education, particularly college graduates, make more procyclical migration choices than high school graduates (the omitted category). However, this result is reversed when national conditions are measured using the unemployment rate and the UI claims rate. In those cases, migration choices of more educated workers are insulated from the effects of the national cycle.35
Because many of the characteristics shown in Table 7 may be correlated with one another, in Table 8 we show results from estimating a fully interacted version of the model where national and state economic conditions are allowed to vary with all personal characteristics simultaneously. In this model, the coefficient on national economic conditions reflects the cyclicality of currently-employed, young, white male high school graduates who are unmarried and have no children.
Using the employment gap to measure business cycle conditions, younger individuals and college graduates remain more sensitive to the national cycle, while racial and gender differences become unimportant. On the other hand, women and non-whites remain significantly more procyclical than the baseline group when national conditions are measured using the unemployment rate and the UI claims rate.36 The finding that more educated workers are insulated from national conditions as measured by these rates is also robust.
Taken together, we conclude that the most pronounced differences in cyclical migration patterns occur across age groups, as these results are the most robust across specifications and business cycle measures. We also conclude that cyclical differences in migration patterns among other demographic groups are sensitive to the way national conditions are measured. Groups that are characterized by weaker labor force attachment (women, non-whites) are more sensitive to unemployment-based measures of cyclical conditions, while more attached (college graduates) are more sensitive to conditions as measured by the employment gap. Thus it appears that our measures of the national cycle proxy for subtly different sets of economic conditions, even though they are highly correlated.37
We believe that migration decisions are primarily made at the household level, which lead to our choice of prime-aged household heads as the unit of analysis. Nevertheless, it is useful to examine the effect of this sample restriction on our estimates. Appendix Tables 2 through 4 reproduce the estimates in Tables 5 through 7 using a sample of all CPS respondents ages 18 to 65.38 The baseline estimates in Table 6 are little affected by the inclusion of non-heads, although it is clear from the lower R-squareds that the model does not explain migration choices of non-heads as well as it does for heads.
One noticeable difference between household heads and the full sample is that the migration patterns of female-headed households are different from the average woman in the CPS (see Appendix Table 3). The cyclical differences between men and women are much smaller in the full sample than the estimates for household heads, a result that is not surprising if the migration decisions of spouses are highly correlated. Interactions with age are also considerably smaller in the full sample. One interpretation of this result is that the economic opportunities of secondary household members may be less relevant to the household's migration decision than those of the head. Because household members are likely to differ greatly by age, this variation obscures the differential migration choices made by younger household heads.
D. Characteristics that change over time
Finally, we use the PSID to examine characteristics that may change during the course of an individual's migration period. Unlike the CPS, the PSID allows us to observe employment and homeownership both pre- and post-move.39 Our major categories of interest are labor force status and homeownership, because both renters and the unemployed face lower migration costs relative to individuals who must either sell their homes or give up their current job.
The PSID provides annual information on an individual's state of residence from 1968 to 1993.40 We again limit the sample to households heads between the ages of 18 and 65, for a total of about 130,000 observations (roughly 1/10 the size of the CPS). The regressions do not include state-level controls because the sample is too small to separately identify so many interactions, but point estimates are similar when these controls are included.
Baseline estimates of the cyclicality of state to state migration in the PSID are similar to those obtained in the CPS; to highlight the influence of age on the cyclicality of migration patterns, we split the sample into household heads age 18-35 and heads age 36-64 (see Table 9). The next four rows show how the cyclicality of migration varies for workers making three different types of employment status transitions. We define job finders as individuals who are currently employed but were unemployed or not-in-the-labor-force in the previous period. Job seekers were either unemployed or not-in-the-labor-force in the previous period and unemployed in the current period. Job separators were employed in the previous period and currently unemployed or not-in-the-labor-force.41 The omitted group includes individuals who were employed in both periods as well as those not in the labor force in either period and those who transitioned out of the labor force from unemployment.
For the younger age group, job finders and job seekers have more procyclical migration propensities than individuals in the omitted category. However, these transitions cannot completely account for the cyclical migration behavior of young workers, as even the migration patterns of the baseline group are also somewhat procyclical. By contrast, none of the employment transitions of older household heads are cyclical. These results suggest that young individuals migrate to take advantage of new job opportunities more than older people, perhaps because they have less location-specific capital to lose and a longer horizon over which to reap the benefits of investing in a new location. Job separations are not correlated with the cyclical component of either age group.
Thus, while an improvement in national economic conditions appears to encourage young people to move across state lines in order to start or look for a new job, it does not change the migration propensity of workers who lose or quit their job. These results are particularly interesting in light of the findings of Fujita and Ramey (2006), who show that the job finding rate dominates the cyclical employment fluctuations for young workers, while job separations are more important in explaining the cyclicality of employment fluctuations of prime-age individuals. Because migration patterns are more cyclical for young job finders, the lower migration cost of young workers may partly explain why hiring is more cyclically sensitive for this group.
The last two rows of Table 9 show that the cyclicality of migration does not vary by prior-year homeownership status once the correlation between homeownership and the presence of children is taken into account. Therefore, national fluctuations in the net cost of moving are unlikely to be related to the adjustment costs associated with selling a home, providing further evidence that these cyclical migration patterns are more closely related to labor markets than to housing markets.
VI. Conclusion
This paper has shown that internal migration is positively correlated with the national business cycle in the United States. References to the cyclicality of internal migration have appeared before in the literature, but none have undertaken a thorough investigation of this relationship over multiple business cycles in a large economy widely known for its mobile labor force. We constructed a long time series on internal migration rates from published reports of the Current Population Survey, which spans five decades and ten recessions. We found that migration has been procyclical throughout the post-World War II era using three different measures of the business cycle: employment growth, unemployment rates, or unemployment insurance claims, migration. This relationship is strongest for individuals younger than 35.
Supplementary data sets allowed a more detailed look at migration over several more recent business cycles. Using information on inter-state and inter-metropolitan population flows from IRS tax return data, we showed that the procyclicality of migration remains after controlling for variation in the geographic dispersion of economic opportunity over the business cycle. Hence, cyclical worker flows across locations are not driven by changes in relative local economic conditions but rather by factors that are common to all locations.42 We interpret these results to imply that the net benefit of moving fluctuates systematically over the business cycle.
Finally, we use the CPS microdata and the PSID to assess whether migration rates of certain demographic groups are more procyclical than others. As in the aggregate CPS statistics, younger workers exhibit the most procyclical migration rates in the microdata. Otherwise, the cyclicality of migration rates is strikingly similar across other demographic groups: we do not find robust differences by gender, race or education. The procyclical migration rates of younger households are strongest for job finders and labor-force entrants, but are similar for homeowners and renters. Thus, these cyclical patterns appear to be more closely related to labor markets than to housing markets.
Because the cyclical properties of migration are similar to those of other types of labor reallocation, migration rates provide a useful new tool for exploring labor market churning. Our findings suggest that migration may be a particularly good proxy for the job search or hiring rates of young workers. To date, empirical business cycle researchers have had to either content themselves with a limited number of cyclical measures in order to obtain long time series (Shimer, 2005a) or with short time series for which detailed data on job creation, destruction and worker turnover are available (see Davis, Faberman and Haltiwanger, 2006, for a survey of available data sets.) By contrast, migration rates in the United States are easily available back to 1947, providing a long history and many more business cycles over which to study cyclical worker flows.
In conclusion, fluctuations in long-distance migration rates add to the growing body of evidence that labor market churning is procyclical (Darby et al. 1986, Caballero and Hammour 2005, Fallick and Fleischman 2004). Because the impact of the business cycle is much stronger on the migration propensity of younger workers, differences in migration costs between the young and the old may help to explain cyclical variation in labor reallocation. Our results also imply that the timing and efficacy of local economic adjustment may differ between national booms and recessions. A fruitful area of future research would incorporate migration into microfounded models of the business cycle with an eye towards matching the patterns documented here.43 In particular, such models should allow the business cycle to affect the optimal spatial allocation of workers independent of any heterogeneous impacts on local markets, with a stronger cyclical sensitivity of migration for younger workers.
Barsky, Robert and Solon, Gary. "Real Wages over the Business Cycle." NBER Working Paper #2888 (March 1989).
Bartik, Timothy J. "Who Benefits from Local Job Growth: Migrants or the Original Residents?" Regional Studies 27(4): 297-311.
Blanchard, Olivier and Katz, Lawrence. "Regional Evolutions." Brookings Papers on Economic Activity. 1(1992):1-75.
Bound, John and Holzer, Harry J. "Demand Shifts, Population Adjustments, and Labor Market Outcomes during the 1980s." Journal of Labor Economics. 18(2000): 20-53.
Caballero, Ricardo and Hammour, Mohamad (2005) "The Cost of Recessions Revisited: A Reverse-Liquidationist View" Review of Economic Studies 72: 313-41.
Darby, Michael R.; Haltiwanger, John C.; and Plant, Michael W. "The Ins and Outs of Cyclical Unemployment: The Ins Win." NBER Working Paper #1997 (1986).
Davis, Steven J.; Faberman, R. Jason; and Haltiwanger, John. "The Flow Approach to Labor Markets: New Data Sources and Micro-Macro Links." NBER Working Paper #12167 (April 2006).
Elsby, Michael; Michaels, Ryan; and Solon, Gary. "The Ins and Outs of Cyclical Unemployment." NBER Working Paper #12853 (January 2007).
Fallick, Bruce and Fleischman, Charles A. "Employer-to-Employer Flows in the US Labor Market: The Complete Picture of Gross Worker Flows." Federal Reserve Board Working Paper (May 2004).
Foote, Christopher and Kahn, Matthew. "Are Recessions Reallocations? Evidence from the Migration of U.S. Taxpayers, 1975-1998." Unpublished manuscript (2000).
Friedman, Milton. "The Role of Monetary Policy." The American Economic Review. 58(Mar. 1968): 1-17.
Fujita, Shigeru and Garey Ramey. 2006. "The Cyclicality of Job Loss and Hiring." Federal Reserve Bank of Philadelphia Working Paper 06-17.
Gabriel, Stuart, Janice Shack-Marquez and William Wascher. 1993. "The Effects of Regional House Price and Labor Market Variability on Interregional Migration: Evidence from the 1980s." in Housing Markets and Residential Mobility, G. Thomas Kingsley and Margery Austin Turner, eds. Washington, DC: The Urban Institute Press: 31-51.
Greenwood, Michael J. "Internal Migration and Developed Countries." Handbook of Population and Family Economics. Eds. M.R. Rosenzweig and O. Stark. Elsevier Science: 1997.
Greenwood, Michael J.; Hunt, Gary L.; and McDowell, John M. "Migration and Employment Change: Empirical Evidence on the Spatial and Temporal Dimensions of the Linkage." Journal of Regional Science. 26(1986): 223-234.
Hall, Robert. "Modern Theory of Unemployment Fluctuations: Empirics and Policy Applications." AER Papers and Proceedings, May 2003, 93(2), pp. 145-150.
Hall, Robert. "Job Loss, Job Finding, and Unemployment in the U.S. Economy over the Past Fifty Years." NBER Macroeconomics Annual, 2005, pp. 101-137.
Lkhagvasuren, Damba. "Big Locational Differences in Unemployment Despite High Labor Mobility." Manuscript, University of Rochester (2005).
Meyer, Bruce. "Do the Poor Move to Receive Higher Welfare Benefits?" University of Chicago, unpublished manuscript (2000).
Milne, William J. "Macroeconomic Influences on Migration." Regional Studies. 27(1993): 365-373.
[Perry, Motty and Solon, Gary. "Wage Bargaining, Labor Turnover, and the Business Cycle: A Model with Asymmetric Information." Journal of Labor Economics. 3(1985): 421-433.]
Pingle, Johnathan. 2006. Economics Letters. Forthcoming.
Pissarides, Christopher A. and Wadsworth, Jonathan. "Unemployment and the Interregional Mobility of Labour." The Economic Journal. 99(1989): 739-755.
Pries, Michael J. "Worker Heterogeneity and Labor Market Volatility in Matching Models." Journal of Economic Dynamics and Control. Forthcoming.
Roback, Jennifer. "Wages, Rents, and the Quality of Life." Journal of Political Economy. 90(Dec. 1982):1257-1278.
Rogerson, Richard; Shimer, Robert; and Wright, Randall. "Search-Theoretic Models of the Labor Market: A Survey." Journal of Economic Literature. (December 2005): 959-988.
Ruggles, Steven; Matthew Sobek, Trent Alexander, Catherine A. Fitch, Ronald Goeken, Patricia Kelly Hall, Miriam King, and Chad Ronnander. Integrated Public Use Microdata Series: Version 3.0 [Machine-readable database]. Minneapolis, MN: Minnesota Population Center [producer and distributor], 2004. Http://usa.ipums.org/usa/.
Shimer, Robert. "The Cyclical Behaviour of Unemployment and Vacancies." The American Economic Review. 95(2005): 25-49.
Shimer, Robert. "Mismatch." NBER Working Paper #11888. (December 2005).
Solon, Gary; Barsky, Robert; and Parker, Johnathan A. "Measure in the Cyclicality of Real Wages: How Important is Composition Bias?" The Quarterly Journal of Economics. 109(1994): 1-25.
Wozniak, Abigail. "Why Are College Graduates More Responsive to Distant Labor Market Opportunities?" Manuscript, University of Notre Dame (2006).
United States Bureau of the Census. "State-to-State Migration Flows: 1995 to 2000." Census 2000 Special Reports. (August, 2003.) URL: http://www.census.gov/prod/2003pubs/censr-8.pdf
Ziliak, James; Wilson, Beth A.; and Stone, Joe A. "Spatial Dynamics in the Cyclicality of Real Wages." The Review of Economics and Statistics. 81(1999): 227-236.

| Age Group | Employment gap | Unemployment rate | UI claims rate |
|---|---|---|---|
| Migrants 14+ / Population 14+ | 0.060**
(0.015) |
-0.037
(0.023) |
-0.016*
(0.009) |
| Male Migrants / Population | |||
| Age 14+ | 0.060**
(0.018) |
-0.042
(0.026) |
-0.018*
(0.011) |
| Age 18-24 | 0.205**
(0.054) |
-0.147*
(0.082) |
0.067**
(0.033) |
| Age 25-34 | 0.108**
(0.037) |
-0.108**
(0.052) |
-0.040*
(0.021) |
| Age 35-44 | 0.076**
(0.026) |
-0.050
(0.037) |
-0.029*
(0.015) |
| Age 45-64 | 0.020
(0.017) |
-0.014
(0.023) |
0.002
(0.009) |
| Age 65+ | -0.005
(0.021) |
0.012
(0.025) |
-0.009
(0.012) |
Note. Each cell shows the result of a separate regression where the dependent variable is the migration rate for the age group named in the row. All migration rates are detrended using a Hodrick-Prescott filter. Regressions are based on annual data from 1948-2003 with missing data in 1972-75, 1977-80 and 1995(46 total observations). The employment gap is defined as the logarithm of employment relative to a Hodrick-Prescott trend, averaged from April to March. The unemployment rate is also an average from April to March, while the UI claims rate is the annual average during the previous calendar year.
| Employment Gap (sample period = 1948-2004) |
(1) | (2) | (3) | (4) |
|---|---|---|---|---|
| National employment gap | 0.060**
(0.015) |
0.060**
(0.015) |
0.058**
(0.015) |
0.060**
(0.015) |
| Standard deviation of state employment gaps | -0.002
(0.051) |
|||
| 90th - 10th percentile of state employment gaps | -0.016
(0.019) |
|||
| 75th - 25th percentile of state employment gaps | -0.031
(0.039) |
| Unemployment Rate (sample period = 1976-2004) |
(1) | (2) | (3) | (4) |
|---|---|---|---|---|
| National unemployment rate | -0.046
(0.033) |
-0.106*
(0.057) |
-0.093*
(0.053) |
-0.100**
(0.047) |
| Standard deviation of state unemployment rates | 0.229
(0.181) |
|||
| 90th - 10th percentile of unemployment rates | 0.082
(0.072) |
|||
| 75th - 25th percentile of unemployment rates | 0.170
(0.112) |
| UI Claims Rate (sample period = 1948-2004) |
(1) | (2) | (3) | (4) |
|---|---|---|---|---|
| National UI claims rate | -0.016*
(0.009) |
-0.022
(0.015) |
-0.010
(0.018) |
-0.003
(0.018) |
| Standard deviation of state UI claims rates | 0.020
(0.037) |
|||
| 90th - 10th percentile of state UI claims rates | -0.008
(0.020) |
|||
| 75th - 25th percentile of state UI claims rates | -0.031
(0.037) |
Note. Table 2 (a, b, c). Each column of each panel shows the result of a separate regression where the dependent variable is migration for males aged 25-34. Regressions are based on annual data from 1948-2003 with missing data in 1972-75, 1977-80 and 1995(46 observations). Aggregate and state employment gaps are defined as the logarithm of employment relative to a Hodrick-Prescott trend, and the values for each year are averages from April to March. All regresions using the unemployment rate are limited to 1976-2003 due to the availability of state unemployment rate data.
| Conditions | Migrants / Initial Population Gap |
Migrants / Initial Population Rate |
Migrants / Initial Population Rate |
Ln(Migrants Gap |
Ln(Migrants Rate |
Ln(Migrants Rate |
|---|---|---|---|---|---|---|
| Aggregate BC conditions |
0.826**
(0.114) |
-1.235**
(0.293) |
-0.816**
(0.114) |
1.13**
(0.16) |
-1.98**
(0.37) |
-0.765**
(0.246) |
| Relative BC conditions in origin state |
-1.163**
(0.172) |
2.115**
(0.160) |
0.884**
(0.156) |
-1.84**
(0.32) |
4.43**
(0.46) |
2.01**
(0.27) |
| Relative BC conditions in destination state |
1.693**
(0.186) |
-2.337**
(0.231) |
-0.985**
(0.170) |
3.65**
(0.24) |
-5.12**
(0.46) |
2.44**
(0.35) |
| Relative house prices in origin state |
0.236**
(0.018) |
0.207**
(0.021) |
0.199**
(0.022) |
0.491**
(0.031) |
0.421**
(0.035) |
0.408**
(0.036) |
| Relative house prices in destination state |
-0.186**
(0.030) |
-0.148**
(0.036) |
-0.122**
(0.035) |
-0.330**
(0.039) |
-0.231**
(0.039) |
-1.77**
(0.43) |
| Relative income in origin state |
-0.137*
(0.079) |
-0.254**
(0.089) |
-0.363**
(0.088) |
-0.191
(0.134) |
-0.163
(0.124) |
-0.394**
(0.114) |
| Relative income in destination state |
0.679**
(0.133) |
0.995**
(0.154) |
1.121**
(0.153) |
0.877**
(0.136) |
1.480**
(.145) |
1.694**
(0.162) |
Note. Migration is defined as the number of exemptions moving from state
to state
in year
. Initial population is the total number of non-migrants plus out-migrants in the origin state. Regressions include a separate fixed-effect and time trend for each origin and
destination state and are estimated on annual data from 1976 to 2005. Standard errors are clustered by year.
| Employment Gap | Migrants / Initial Population |
Migrants / Initial Population |
Ln(Migrants |
Ln(Migrants |
|---|---|---|---|---|
| Aggregate BC conditions |
0.047**
(0.010) |
0.037**
(0.007) |
1.325**
(0.219) |
1.278**
(0.222) |
| Relative BC conditions in own state |
0.088**
(0.012) |
-0.050**
(0.010) |
2.600**
(0.231) |
-1.382**
(0.241) |
| Average BC conditions in other states |
0.089**
(0.029) |
0.015
(0.022) |
2.712**
(0.603) |
-0.079
(0.650) |
| Relative house prices in own state |
-0.012**
(0.002) |
-0.011**
(0.001) |
-0.244**
(0.034) |
0.442**
(0.037) |
| Average house prices in all other states |
-0.009**
(0.003) |
-0.005**
(0.003) |
-0.172*
(0.100) |
-0.250**
(0.087) |
| Relative income per capita in own state |
0.044**
(0.007) |
-0.011**
(0.003) |
0.874**
(0.139) |
-0.334**
(0.108) |
| Average income per capita in all other states |
0.018
(0.020) |
0.046**
(0.017) |
0.201
(0.431) |
1.311**
(0.526) |
| Unemployment Rate | Migrants / Initial Population |
Migrants / Initial Population |
Ln(Migrants |
Ln(Migrants |
|---|---|---|---|---|
| Aggregate BC conditions |
-0.108**
(0.019) |
-0.047**
(0.015) |
-2.798**
(0.459) |
-1.538**
(0.430) |
| Relative conditions in own state |
-0.114**
(0.012) |
0.094**
(0.008) |
-3.542**
(0.314) |
3.471**
(0.255) |
| Average conditions in other states |
-0.092
(0.056) |
-0.034
(0.031) |
-3.419**
(1.416) |
-0.221
(0.936) |
| Relative house prices in own state |
-0.010**
(0.001) |
0.009**
(0.001) |
-0.190**
(0.037) |
0.368**
(0.029) |
| Average house prices in all other states |
-0.010**
(0.005) |
-0.002
(0.003) |
-0.103
(0.142) |
-0.117
(0.103) |
| Relative income per capita in own state |
0.062**
(0.007) |
-0.015**
(0.004) |
1.377**
(0.163) |
-0.292**
(0.113) |
| Average income per capita in all other states |
0.049**
(0.024) |
0.037**
(0.015) |
0.588
(0.639) |
0.953*
(0.506) |
| UI Claims Rate | Migrants / Initial Population |
Migrants / Initial Population |
Ln(Migrants |
Ln(Migrants |
|---|---|---|---|---|
| Aggregate BC conditions |
-0.027**
(0.013) |
-0.039**
(0.008) |
-0.682**
(0.286) |
-1.137**
(0.274) |
| Relative BC conditions in own state |
-0.070**
(0.009) |
0.039**
(0.007) |
-1.605**
(0.246) |
1.378**
(0.185) |
| Average BC conditions in other states |
-0.083**
(0.027) |
0.039*
(0.021) |
-2.600**
(0.701) |
-1.231**
(0.592) |
| Relative house prices in own state |
-0.008**
(0.001) |
0.008**
(0.001) |
-0.144
(0.036) |
0.324**
(0.032) |
| Average house prices in all other states |
0.001
(0.005) |
-0.003
(0.003) |
0.113
(0.123) |
-0.128
(0.135) |
| Relative income per capita in own state |
0.063**
(0.007) |
-0.022**
(0.004) |
1.553**
(0.158) |
-0.535**
(0.114) |
| Average income per capita in all other states |
0.003
(0.027) |
0.057**
(0.016) |
-0.346
(0.595) |
1.726**
(0.604) |
Note. Table 4 (a, b, c). The dependent variable is the total number of migrants entering or leaving state
in year
from all other 47 continental states. Average conditions in other states are weighted by the inverse of the distance between states. Regressions include a separate fixed-effect and time trend for each state and are estimated on annual data from 1976 to 2003.
Standard errors are clustered by year.
| Employment Gap | Migrants / Initial Population |
Migrants / Initial Population |
Ln(Migrants |
Ln(Migrants |
|---|---|---|---|---|
| Aggregate BC conditions |
0.028**
(0.010) |
0.017
(0.011) |
1.004**
(0.225) |
0.739**
(0.240) |
| Relative employment gap in own MSA |
0.045**
(0.011) |
-0.006
(0.005) |
1.312**
(1.141) |
0.133
(0.103) |
| Relative house prices in own MSA |
-0.015**
(0.002) |
0.018**
(0.002) |
-0.206**
(0.033) |
0.419**
(0.036) |
| Relative income per capita in own MSA |
0.061**
(0.008) |
-0.021**
(0.004) |
0.852**
(0.099) |
-0.471**
(0.069) |
| Unemployment Rate | Migrants / Initial Population |
Migrants / Initial Population |
Ln(Migrants |
Ln(Migrants |
|---|---|---|---|---|
| Aggregate BC conditions |
-0.038**
(0.018) |
-0.037**
(0.018) |
-1.209**
(0.365) |
-1.079**
(0.369) |
| Relative employment gap in own MSA |
0.044**
(0.011) |
-0.006
(0.005) |
1.277**
(0.149) |
0.114
(0.093) |
| Relative house prices in own MSA |
-0.015
(0.002) |
0.018**
(0.002) |
-0.213**
(0.036) |
0.411**
(0.034) |
| Relative income per capita in own MSA |
0.060**
(0.008) |
-0.020**
(0.004) |
0.817**
(0.106) |
-0.484**
(0.068) |
| UI Claims Rate | Migrants / Initial Population |
Migrants / Initial Population |
Ln(Migrants |
Ln(Migrants |
|---|---|---|---|---|
| Aggregate BC conditions |
-0.025*
(0.013) |
-0.028**
(0.010) |
-0.566**
(0.268) |
-0.566**
(0.220) |
| Relative employment gap in own MSA |
0.044**
(0.011) |
-0.007
(0.005) |
1.254**
(0.160) |
0.095
(0.087) |
| Relative house prices in own MSA |
-0.015**
(0.002) |
0.018**
(0.002) |
-0.206**
(0.039) |
0.415**
(0.035) |
| Relative income per capita in own MSA |
0.060**
(0.008) |
-0.020**
(0.004) |
0.786**
(0.111) |
-0.507**
(0.073) |
Note. Table 5 (a, b, c). The dependent variable is the total number of migrants entering or leaving MSA
in year
from all other 358 continental MSAs (defined using the 2005 Census definitions). Regressions include a separate fixed-effect and time trend for each MSA and are estimated on annual data from 1981 and 1984-2005. Standard errors are clustered by year.
| Business Cycle Measure: | Employment Gap (a) | Employment Gap (b) | Unemployment Rate (a) | Unemployment Rate (b) | UI Claims Rate (a) | UI Claims Rate (B) |
|---|---|---|---|---|---|---|
| Aggregate Business Cycle Conditions | 0.072 | 0.076 | -0.043 | -0.185 | -0.030 | -0.030 |
| Aggregate Business Cycle Conditions: Standard Errors | [0.033863]* | [0.033501]* | [0.0489] | [0.0709]** | [0.029339] | [0.028184] |
| Relative Conditions in Residence State | 0.064 | -0.276 | -0.099 | |||
| Relative Conditions in Residence State: Standard Errors | [0.042643] | [0.0382]** | [0.020996]** | |||
| Observations | 1268966 | 1268966 | 1268966 | 980322 | 1268966 | 1268966 |
| R-squared | 0.04 | 0.04 | 0.04 | 0.04 | 0.04 | 0.05 |
| Business Cycle Measure: | Employment Gap (a) | Employment Gap (b) | Unemployment Rate (a) | Unemployment Rate (b) | UI Claims Rate (a) | UI Claims Rate (B) |
|---|---|---|---|---|---|---|
| Aggregate Business Cycle Conditions | 0.058 | 0.060 | -0.066 | -0.126 | -0.036 | -0.036 |
| Aggregate Business Cycle Conditions: Standard Errors | [0.026188]* | [0.026136]* | [0.0372] | [0.0557]* | [0.021729] | [0.021383] |
| Relative Conditions in Residence State | 0.034 | -0.246 | -0.055 | |||
| Relative Conditions in Residence State: Standard Errors | [0.035130] | [0.0298]** | [0.016737]** | |||
| Observations | 1268966 | 1268966 | 1268966 | 980322 | 1268966 | 1268966 |
| R-squared | 0.02 | 0.02 | 0.02 | 0.02 | 0.02 | 0.02 |
Notes: Table 6 (a, b). Data are from March CPS, 1964 to 2004. Includes only household heads ages 18-65. Standard errors, in brackets, are clustered at the state-year level. * indicates significance at the 5% level, ** at the 1% level. All specifications include controls for age, education, race and ethnicity, marital status, number of children, employment status, and a quadratic time trend. Observations are unweighted. Unemployment rate expressed as rate x 100. Construction of employment gap and UI claims rate given in text.
| Measure of National Economic Conditions | Employment Gap | Unemployment Rate | UI Claims Rate |
|---|---|---|---|
| Non-Interacted Point Estimate (Table 5) | 0.076 | -0.19 | -0.03 |
| Measure of National Economic Conditions | Employment Gap | Unemployment Rate | UI Claims Rate |
|---|---|---|---|
| National Economic Conditions | 0.356 | -0.341 | -0.114 |
| National Economic Conditions [standard errors] | [0.091177]** | [0.1288]** | [0.066745] |
| NEC x Age 25 to 30 | -0.124 | 0.067 | 0.028 |
| NEC x Age 25 to 30 [standard errors] | [0.077261] | [0.1093] | [0.051529] |
| NEC x Age 31 to 35 | -0.315 | 0.184 | 0.106 |
| NEC x Age 31 to 35 [standard errors] | [0.079235]** | [0.1065] | [0.052926]* |
| NEC x Age 36 to 45 | -0.324 | 0.198 | 0.118 |
| NEC x Age 36 to 45 [standard errors] | [0.080898]** | [0.1039] | [0.056125]* |
| NEC x Age 46 to 55 | -0.378 | 0.232 | 0.117 |
| NEC x Age 46 to 55 [standard errors] | [0.085726]** | [0.1083]* | [0.060213] |
| NEC x Age 56 to 65 | -0.323 | 0.115 | 0.077 |
| NEC x Age 56 to 65 [standard errors] | [0.086786]** | [0.1129] | [0.062336] |
| Measure of National Economic Conditions | Employment Gap | Unemployment Rate | UI Claims Rate |
|---|---|---|---|
| National Economic Conditions | 0.046 | -0.092 | 0.007 |
| National Economic Conditions [standard errors] | [0.033554] | [0.0710] | [0.027996] |
| NEC x Female | 0.107 | -0.306 | -0.155 |
| NEC x Female [standard errors] | [0.031004]** | [0.0405]** | [0.023446]** |
| Measure of National Economic Conditions | Employment Gap | Unemployment Rate | UI Claims Rate |
|---|---|---|---|
| National Economic Conditions | 0.062 | -0.103 | 0.003 |
| National Economic Conditions [standard errors] | [0.034889] | [0.0726] | [0.029331] |
| NEC x Black | 0.049 | -0.439 | -0.220 |
| NEC x Black [standard errors] | [0.049927] | [0.0660]** | [0.034865]** |
| NEC x Hispanic | 0.083 | -0.274 | -0.096 |
| NEC x Hispanic [standard errors] | [0.065889] | [0.0780]** | [0.042660]* |
| Measure of National Economic Conditions | Employment Gap | Unemployment Rate | UI Claims Rate |
|---|---|---|---|
| National Economic Conditions | 0.066 | -0.283 | -0.071 |
| National Economic Conditions [standard errors] | [0.039256] | [0.0762]** | [0.032246]* |
| NEC x Dropout | -0.060 | 0.047 | 0.073 |
| NEC x Dropout [standard errors] | [0.032101] | [0.0444] | [0.022523]** |
| NEC x Some College | 0.036 | 0.124 | 0.016 |
| NEC x Some College [standard errors] | [0.038085] | [0.0514]* | [0.026093] |
| NEC x College | 0.071 | 0.248 | 0.088 |
| NEC x College [standard errors] | [0.042315] | [0.0548]** | [0.029074]** |
Notes: Table 7 (a, b, c, d). Dependent variable is a indicator for moving across county or state lines in the previous year. Data are household heads from March CPS, 1964 to 2004. Includes only household heads ages 18-65. N is given in Table 5; R-squared ranges from 0.04 to 0.06. standard errorss, in brackets, are clustered at the state-year level. * indicates significance at the 5% level, ** at the 1% level. All specifications include controls for the level of state relative business cycle conditions and interactions of the relevant group dummies with state conditions. Controls for age, education, race and ethnicity, marital status, number of children, employment status, and a quadratic time trend are included unless one of them is the selected group dummy. Observations are unweighted. Unemployment rate expressed as rate x 100. Construction of employment gap and UI claims rate given in text.
| Measure of National Economic Conditions: | Employment Gap | Unemployment Rate | UI Claims Rate |
|---|---|---|---|
| NEC | 0.324 [0.101006]** | 0.235 [0.1374] | 0.062 [0.073960] |
| State EC | 0.163 [0.121510] | 0.892 [0.1265]** | 0.300 [0.059606]** |
| Spouse x NEC | 0.052 [0.041552] | 0.038 [0.0475] | 0.014 [0.030418] |
| Age 25 to 30 x NEC | 0.130 [0.077580] | 0.023 [0.1100] | 0.017 [0.052120] |
| Age 31 to 35 x NEC | 0.322 [0.079427]** | 0.124 [0.1072] | 0.093 [0.053737] |
| Age 36 to 45 x NEC | 0.328 [0.080280]** | 0.133 [0.1033] | 0.102 [0.056288] |
| Age 46 to 55 x NEC | 0.368 [0.084049]** | 0.170 [0.1067] | 0.091 [0.059584] |
| Age 56 to 65 x NEC | 0.295 [0.084975]** | 0.074 [0.1108] | 0.046 [0.061713] |
| Kids x NEC | 0.038 [0.038092] | 0.038 [0.0379] | 0.009 [0.025405] |
| Female x NEC | 0.059 [0.034281] | 0.266 [0.0438]** | 0.134 [0.027840]** |
| Black x NEC | 0.034 [0.051155] | 0.364 [0.0678]** | 0.201 [0.036913]** |
| Hispanic x NEC | 0.071 [0.065342] | 0.250 [0.0809]** | 0.100 [0.043052]* |
| Dropout x NEC | 0.053 [0.032852] | 0.108 [0.0449]* | 0.097 [0.022835]** |
| Some College x NEC | 0.025 [0.037616] | 0.126 [0.0513]* | 0.016 [0.025823] |
| College Grad x NEC | 0.094 [0.043340]* | 0.208 [0.0563]** | 0.064 [0.030265]* |
| Observations Rsquared | 1268966 0.05 | 980322 0.04 | 1268966 0.05 |
Notes: For sample details, see previous table. Levels of all interacted variables and interactions of all
individual characteristics with state economic conditions included in all regressions but not reported. A quadratic time
trend and controls for employment status were also included. Standard errors clustered at state year level in brackets. * significant at 5%
** significant at 1%. Unemployment rate expressed as rate x 100.
Construction of employment gap and UI claims rate given in text.
| Combination | Household Heads Age 18-35: Gap |
Household Heads Age 18-35: UR |
Household Heads Age 18-35: Claims |
Household Heads Age 36-64: Gap |
Household Heads Age 36-64: UR |
Household Heads Age 36-64: Claims |
|
|---|---|---|---|---|---|---|---|
| Baseline estimates: NEC | 0.104
(0.066) |
-0.270**
(0.130) |
-0.221**
(0.049) |
0.019
(0.026) |
-0.074
(0.054) |
-0.056
(0.033) |
|
| Employment status interactions: NEC | 0.077
(0.054) |
-0.211*
(0.114) |
-0.185**
(0.040) |
0.021
(0.023) |
-0.085*
(0.048) |
-0.045
(0.028) |
|
| Employment status interactions: Job Finders*NEC | 0.294
(0.191) |
-0.819**
(0.237) |
-0.261*
(0.131) |
-0.122
(0.161) |
0.383*
(0.194) |
-0.022
(0.118) |
|
| Employment status interactions: Job Seekers*NEC | 0.330**
(0.150) |
-0.057
(0.281) |
-0.188
(0.121) |
-0.051
(0.033) |
0.183
(0.210) |
0.016
(0.108) |
|
| Employment status interactions: Job Separations*NEC | -0.153
(0.215) |
0.140
(0.271) |
-0.086
(0.183) |
0.007
(0.103) |
-0.048
(0.227) |
-0.129
(0.115) |
|
| Homeownership interaction: NEC | 0.287**
(0.123) |
-0.762**
(0.177) |
-0.398**
(0.063) |
0.057
(0.060) |
-0.003
(0.094) |
-0.102
(0.064) |
|
| Homeownership interaction: Homeowner*NEC | -0.085
(0.051) |
0.034
(0.077) |
0.053
(0.050) |
0.034
(0.069) |
-0.191*
(0.097) |
-0.006
(0.065) |
|
| Homeownership interaction: Kids*NEC | -0.237**
(0.110) |
0.747**
(0.153) |
0.246**
(0.094) |
-0.113**
(0.046) |
0.105*
(0.058) |
0.090**
(0.036) |
|
Note. Regressions are based on household heads in the PSID from 1968-1993 (60541 observations of young heads and 70471 observations of older heads). All regressions include controls for age, gender, marital status, presence of kids, number of kids, race, ethnicity, education, current and previous year employment status, current and previous year homeownership and a quadratic time trend. Job finders are defined as either an unemployed-to-employed or not-in-the-labor-force-to-employed transition. Job seekers are defined as either a not-in-the-labor-force-to-unemployed transition or a household head who was unemployed both the in the previous and current year. Job separations are defined as an employed-to-unemployed or employed-to-not-in-the-labor-force transition. The omitted category includes individuals who were employed in both periods, not-in-the-labor-force in both periods, or who transitioned from unemployment to not-in-the-labor force.