
Board of Governors of the Federal Reserve System
International Finance Discussion Papers
Number 863, June 2006-Screen Reader Version*
NOTE: International Finance Discussion Papers are preliminary materials circulated to stimulate discussion and critical comment. References to International Finance Discussion Papers (other than an acknowledgment that the writer has had access to unpublished material) should be cleared with the author or authors. Recent IFDPs are available on the Web at http://www.federalreserve.gov/pubs/ifdp/. This paper can be downloaded without charge from the Social Science Research Network electronic library at http://www.ssrn.com/.
Abstract:
This paper studies the transmission of volatility and trading activity in the foreign exchange market across trading regions for the euro-dollar and dollar-yen currency pairs, using high-frequency intraday data from Electronic Broking Services (EBS). In contrast with previous studies that use indicative quote frequency to proxy for trading activity, we use actual regional trading volume to identify five distinct trading regions in the foreign exchange market: Asia Pacific, the Asia-Europe overlap, Europe, the Europe-America overlap, and America. Based on realized volatility computed from high-frequency data and a regional volatility model, we find statistically significant evidence for volatility spillovers at both the own-region and the inter-region levels, but the economic significance of own-region spillovers is much more important than that of inter-region spillovers. We also examine the transmission of trading activity (trading volume and number of transactions) across the five trading regions and find similar results to those for volatility, but the economic significance of own-region spillovers is even more dominant.
Keywords: Exchange rate, volatility, trading volume, high-frequency data
JEL classification: F31, G15
The informational linkages across financial markets have received increasing attention in the international finance literature. Such linkages across markets are mostly manifested by the transmission of both volatility and trading activity. In this study, we examine volatility and trading activity transmission in the global interdealer foreign exchange market. This paper uses a dataset of trading volume and prices in spot euro-dollar and dollar-yen trading from Electronic Broking Services (EBS) covering the period from January 1999 to February 2004. This EBS dataset has several important advantages. First, the EBS dataset consists of transactable quotes, as opposed to indicative quotes from Reuters used in previous studies, as well as actual trading volume which was previously not available. Second, EBS has become the major trading platform for the two most traded currency pairs, the yen and the euro, making the results based on this dataset a true representation of the behavior of global interdealer foreign exchange markets.
We investigate volatility and trading activity (measured by both trading volume and number of transactions) spillovers across three major trading areas (centered in Tokyo, London, and New York) for two currency pairs (euro-dollar and dollar-yen). We are interested in the extent to which changes in foreign exchange volatility in one market influence that in the next market, and whether changes in trading activity in one market are positively related to changes in trading activity in the next market. Specifically, this paper explores several issues as follows.
First, this paper uses a new dataset from EBS on regional trading volume to classify different trading regions in the global foreign exchange market for the euro-dollar and dollar-yen currency pairs. Trading volume is a better measure of trading activity than quote frequency used in previous studies (e.g., Melvin and Yin (2000) and Melvin and Melvin (2003)). EBS records regional trading volume by transactions that occur between pairs of the three physical locations of the EBS computer centers: Tokyo, London, and New York. These computer centers are linked together in real time, and EBS classifies the origin of each trade from the physical location of the computer center that serves each region.1 Based on our assessment, we define five distinct trading regions: Asia Pacific, the Asia-Europe overlap, Europe, the Europe-America overlap, and America.
Second, we test two competing hypotheses on volatility clustering as first studied in Engle, Ito, and Lin (1990): the heat wave hypothesis refers to volatility clustering at a regional level--a high (low) volatility in a region today tends to be followed by a high (low) volatility in the same region on the following day. The competing meteor shower hypothesis refers to volatility clustering at a global level--a high (low) volatility in one region today tends to be followed by high (low) volatility in the next trading region. Engle, Ito, and Lin (1990) find support for the meteor shower effect, while Baillie and Bollerslev (1990), Hogan and Melvin (1994), and Melvin and Melvin (2003) report evidence for the heat wave effect. These conflicting results may reflect differences in their sample period, mostly very short, and sampling frequency. This paper contributes to this research area by using high-frequency intraday data with a longer and more recent sample period to test the heat wave and meteor shower hypotheses. In addition, our measure of volatility is based on high-frequency data, thus allowing us to treat volatility as observable as opposed to latent (Andersen, Bollerslev, Diebold and Labys (2001)), which make our results independent of statistical models for volatility (e.g., GARCH and stochastic volatility models).
Third, we explore the spillovers of trading activity across regions for the two currency pairs. To our knowledge, this paper is the first to study trading activity transmission in the foreign exchange market. We use both trading volume and number of transactions to measure trading activity. Previous studies have attempted to proxy for actual transaction volume data by using futures exchange volume data (e.g., Chaboud and LeBaron (2001)) or the frequency of indicative quotes on Reuters data screens (e.g., Melvin and Yin (2000)), but these measures have already been shown to be poor proxies. Since informational linkages are manifested by both volatility and trading activity, we use trading activity as a robustness check for the information transmission dynamics. We also repeat the test with number of transactions, as Jones, Kaul, and Lipson (1994) find that in the case of equity markets the key information in trading volume is captured by number of transactions.
We estimate a regional volatility model by allowing each region's volatility to depend on its own past volatility and other regions' past volatilities, similar to Melvin and Melvin (2003). We find statistically significant evidence for both the heat wave and meteor shower effects for both currency pairs, but the heat wave effect is much more important economically than the meteor shower effect. We also estimate a regional model for trading activity similar to that of volatility. Consistent with results on volatility, we find statistically significant evidence for both the heat wave and the meteor shower effects. Again, we find that the heat wave effect is much more important economically than the meteor shower effect. The similarity of our results based on a longer and more recent sample period for both volatility and trading activity confirms the robustness of our findings.
The remainder of the paper is organized as follows. Section 2 describes data sources. Empirical models and empirical results are in Section 3. Section 4 presents conclusions of this paper.
The EBS system operates 24 hours a day and is widely used by dealers in all major foreign exchange trading centers. The electronic limit order book allows speedy transactions between dealers, usually completed within one second. We study the euro-dollar and dollar-yen currency pairs. The sample period is from January 4, 1999 through February 19, 2004. Our dataset is proprietary and confidential. It consists of minute-by-minute foreign exchange mid-quotes, minute-by-minute trading volume (expressed in base currency), and minute-by-minute number of transactions.2 The quotes are all firm, i.e., they are transactable prices, rather than indicative quotes which do not present a binding commitment to trade at these prices. The data used in this paper present an aggregate and purely numerical picture of the EBS system, and do not contain any information on the identity of any market participants. To preserve data confidentiality, we show trading volume and number of transactions data in index form rather than the actual values. For each currency pair, trading volume and number of transactions are normalized by their respective average values over the whole sample period such that the average values are set at 100.
Although the FX market is a 24-hour market, previous studies have documented strong intraday pattern of volatility and proxies for trading activity, reflecting the distinct opening and closing times in the major trading centers (e.g., Baillie and Bollerslev (1990), Melvin and Melvin (2003), and Ito and Hashimoto (2004)). The two panels in Figure 1 show trading volume by region for euro-dollar and dollar-yen respectively (indexed to average total trading volume across all regions), as reported in the EBS data. EBS records regional trading volume by transactions that occur between pairs of the three physical locations of the EBS computer center: Tokyo (TY), London (LN), and New York (NY). These computer centers are linked together in real time, and EBS classifies the origin of each trade from the physical location of the computer center that serves each region. All dealers located in the Asia Pacific area are served by the computer center in Tokyo and all trades are recorded as originating from Tokyo. The computer center in London serves dealers that are located in Europe, the Middle East, and Africa, and the computer center in New York serves dealers that are located in both North and South America. Dealers that are served by one of these three computer centers observe the same information simultaneously and can trade with any dealers, independent of the region that is served by the computer center. If a transaction is executed between two counterparties with London origin, it is recorded as a LN_LN transaction. If the two counterparties are from London and New York origins, it is recorded as a LN_NY transaction, and so on. Since EBS defines 5 p.m. New York time as the end of a trading day, we use New York time zone (EST) as the base time zone throughout the paper.
In both currency pairs, the patterns of trading volume are characterized by sharp spikes. For euro-dollar as shown in Panel A, the two spikes occur around 8:30 a.m. (New York time) when most U.S. macroeconomic data are released, and 10 a.m. (New York time) when most foreign exchange options expire. Another spike occurs at 11 a.m. (4 p.m. London time), the time of the Reuters fixing often used to express international bond and stock indices in dollars. For dollaryen in Panel B, the same three spikes in volume occur as in euro-dollar. The tallest spike in dollar-yen trading volume occurs around 7:55 p.m. New York time (9:55 a.m. Tokyo time), however, marks the daily fixing in Tokyo by Bank of Tokyo Mitsubishi.
To identify geographic opening and closing periods, we use 24-hour regional mean trading volume as a threshold signaling the open and close. We identify five distinct time periods: three periods when only Asian or European or American traders are actively trading, plus two trading overlap periods, the Asia-Europe overlap trading as well as the Europe-America overlap trading. Therefore, we classify daily trading hours into five different regions: Asia Pacific (Tokyo), the Asia-Europe overlap (Tokyo/London), Europe (London), the Europe-America overlap (London/New York), and America (New York).3 Our method is similar to Melvin and Melvin (2003), but there are two important improvements. First, we use real trading volume in determining the opening and closing hours for each region while they use frequency of indicative quotes as a proxy for trading volume and liquidity supply.4 Another improvement we make over the method used in Melvin and Melvin (2003) is that we consider both regional time series and cross-sectional mean trading volume in determining opening and closing hours. Specifically, we calculate the time series average trading volume for each 30-minute interval for each region, and compare it with the 24-hour mean trading volume (mean of the 30-minute mean volume) for each region. In order to control for the regional differences in trading volume, we divide the difference between the time series average trading volume and 24-hour mean trading volume by the 24-hour mean trading volume. At any particular point in time, the region with the largest positive ratio is considered open. Figure 2 summarizes our assessment of reasonable opening and closing hours for each of the five geographic trading regions, taking into account the daylight saving time shifts in Europe and America.
The work by Andersen, Bollerslev, Diebold and Labys (2001) shows that a low-frequency volatility measure can directly be computed from high-frequency data (realized volatility). Realized volatility has several advantages over the existing methods to estimate volatility. First, it can be treated as an observable variable as opposed to a latent variable estimated from the GARCH-type models, which makes it easier to model the dynamics of volatility, especially in a multivariate setting. Second, it does not rely on any volatility models (e.g., GARCH and stochastic volatility models), making the volatility measure more robust.
To compute realized volatility (variance) for each trading region, we sum the squared five-minute exchange rate returns (logarithmic changes in exchange rates) over each trading region, as shown in Figure 2. Because the five regions have different trading time lengths, we normalize realized volatility by the number of five-minute intervals within each region to make the volatility estimates comparable across regions. We use the logarithm of normalized realized volatility as our volatility measure as previous research has shown that log volatility is closer to normality and can reduce outlier observations (Andersen, Bollerslev, Diebold, Labys (2001, 2003)). Figures 3 through 5 show the average five-minute intraday and regional mean absolute returns, trading volume and numbers of transactions, respectively. Not surprisingly, absolute returns, trading volume and numbers of transactions are almost always highest during the Europe-America overlap region. The Asia-Europe overlap region also appears highly active, especially for dollar-yen.
We model the dynamics of volatility measures by allowing each region's volatility to depend on its past volatility and other regions' past volatilities (Melvin and Melvin (2003)). Specifically, we estimate the following five-equation (one for each region) system of equations:
(1) |
|---|
where
is a
vector of regional volatility at day
,
is a
vector of dummy variables to control for day of the week and
holidays in Japan, the United Kingdom, and the United States and
for large movements in exchange rate due to foreign exchange
interventions5, and
is a vector
of innovations. The vector of volatility contains volatility
measures for five trading ``regions'': Asia Pacific, the
Asia-Europe overlap, Europe, the Europe-America overlap, and
America. Because of the time-zone difference, the timing convention
of the vector of volatility measures differs across the five
trading regions. For example, the first lag for the Asian region
regression is the previous day's volatility of the Asian region and
other regions, whereas the first lag for the American region
regression is the previous day's volatility for the American region
but the same day volatility for other regions. The lag length of
the system of equations is chosen by the Akaike information
criterion.6 We
estimate this system of equations by using seemingly unrelated
regressions (SUR), as the dating convention used results in
different (calendar time) lags on other region's volatility for
each equation (different right-hand side variables across
equations), making the SUR more efficient than ordinary least
squares.
To study the transmission of trading activity across different trading regions, the joint dynamics of trading activity across the five trading regions must be modeled. Following the same modeling strategy used for volatility, we model each regional trading activity to depend on its past trading activity and other region's past activities. The timing convention for other region's past activities follows that used for volatility. As noted earlier, we use two measures of daily regional trading activity. First, trading volume denominated in base currency within each region is used to measure trading activity. Second, we use the number of transactions that occurs within each region to measure trading activity. Figure 4 shows average five-minute intraday and regional trading volume. All trading volumes are index to the average trading volume where the index equals to 100 for average five-minute trading volume over the whole sample. Figure 5 shows the average five-minute intraday and regional number of transactions, also indexed to the average number of transactions.
To conserve space, we do not report all coefficient estimates
from the five-equation system of equations. We only report Wald
test statistics for blocks of coefficients representing heat wave
and meteor shower hypotheses. The null hypothesis for heat wave
effect is that each regional volatility (trading activity) depends
on its past volatility (trading activity), while the null
hypothesis for meteor shower effect is that each regional
volatility (trading activity) depends on other region's past
volatilities (trading activities). Tables 1 through 6 report Wald
test statistics for euro-dollar and dollar-yen exchange rate
volatilities and trading activities. All tables have similar format
in that columns show dependent variables for each regression and
rows show independent variables for each regression. The diagonals
of each table show Wald test statistic for the heat wave
hypothesis, and the off-diagonals show the test statistic for
meteor shower hypothesis. The
-value for the Wald test statistic is shown in
bracket. All test statistics that are significant at the 95 percent
level are in bold, and those that are significant at the 90 percent
level are underlined. Adjusted R-squared statistic for each
regression is shown at the bottom of the table. In addition, the
-values for the
test-statistic of residual autocorrelation for 5 and 35 lags are
reported in the last two rows.
Table 1 reports Wald test statistics for heat wave and meteor
shower effects for euro-dollar exchange rate volatility. Inspecting
the diagonals, there is statistically significant evidence of heat
wave effect. Examining the off-diagonals, there is also
statistically significant evidence of meteor shower effect. These
findings are similar to results documented in Melvin and Melvin
(2003) based on indicative quotes and a shorter, earlier sample
period. The system of equations captures the joint dynamics of
volatilities rather well, indicating by the adjusted R-squared
between 0.3 and 0.4. In addition, the
-values for residual autocorrelation
for 5 and 35 lags show that there is not much persistence left in
the residuals. The results for dollar-yen exchange rate volatility
are shown in Table 2. Similar to the results on euro-dollar
volatility, there is statistically significant evidence of both
heat wave and meteor shower effects.
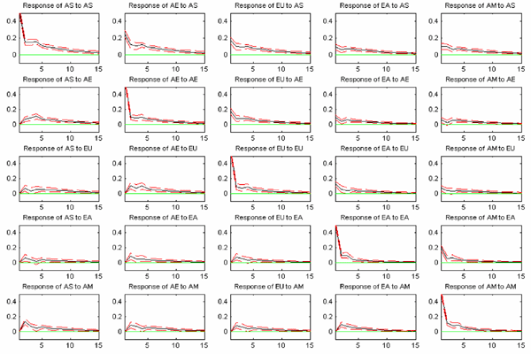
To evaluate the economic importance of the heat wave effect (own-region past volatility) and the meteor shower effect (other region's past volatility) in explaining each region volatility persistence, we simulate our system of equations to examine the impact of a one-standard deviation shock to the innovations of volatility in each region on current and future values of itself and other regions. The ordering of our endogenous variables follows the actual starting of trading time for each region, with Asia Pacific starting first and America starting last. Figures 6 and 7 show the impulse response functions for euro-dollar and dollar-yen volatilities for 15 days (3 weeks). Columns of each figure represent dependent variables, while rows represent shocks of a one-standard deviation to independent variables. For example, the impact of a one-standard deviation shock from the Asia-Europe overlap trading region to Europe trading region is shown in the third column of the second row. The impulse response functions are shown in solid lines, and the two-standard error band is shown in dashed line. The two-standard error band is computed from a bootstrap with replacement for 2,000 repetitions. Consistent with results on the Wald test statistics for heat wave and meteor shower hypotheses shown in Tables 1 and 2, Figures 6 and 7 provide evidence for both heat wave and meteor shower effects. The meteor shower effect is most pronounced between the originator of a shock region and the consecutive region, as shown in the boxes to the right of the diagonals. The heat wave effect, however, is economically much more important than the meteor shower effect, indicating by the size and the persistent of the responses on the diagonals as compared to the off-diagonals, similar to results in Melvin and Melvin (2003).
It is well established that information affects both volatility and trading volume. Thus, we use test results for trading volume as a robustness check of the results for volatility. In addition, studying trading volume sheds light on the role of information in resolving heterogeneity in agents' beliefs (e.g., Harris and Raviv (1993) and Shalen (1993)). Results on statistical tests of heat wave and meteor shower hypotheses for euro-dollar and dollar-yen trading volumes are shown in Tables 3 and 4 and the results based on the number of transactions are shown in Tables 5 and 6. The results on euro-dollar trading volume and the number of transactions show that there is statistically significant evidence of both the heat wave and meteor shower effects, while the results based on the number of transactions showing stronger evidence. Similar to the results on euro-dollar trading activity, the results on the dollar-yen trading activity show statistically significant evidence of both heat wave and meteor shower effects. For the meteor shower effect, most of trading activity spillover originates from Asia Pacific and the Asia-Europe overlap regions. This finding may be attributable to the fact that most information that drive dollar-yen exchange rate originates from Japan.
The economic importance of heat wave and meteor shower effects for trading activity is evaluated in Figures 8 and 10 for euro-dollar. The results are similar to those based on volatility in that the heat wave effect is more important economically than the meteor shower effect. However, the relative magnitude of economic importance between heat wave and meteor shower effects based on trading activity is much larger than that based on volatility. Figures 9 and 11 show results for dollar-yen trading activity. The results are similar to those of euro-dollar trading activity.
Overall, we find statistically significant evidence of heat wave and meteor shower effects for both volatility and trading activity for both currency pairs. However, the heat wave effect is more important economically than the meteor shower effect for both volatility and trading volume, especially for trading volume. The fact that results from both volatility and trading activity are similar confirms the robustness of empirical results documented in this paper.7
This study uses a model-free volatility measure computed from high frequency data to explore the transmission of volatility in the foreign exchange market. Our results are based on a dataset from EBS, which represents most of the global interdealer trading activity in the euro-dollar and the dollar-yen exchange rates and contains a longer and more recent sample period than previous studies (e.g., Engle, Ito, and Lin (1990), Baillie and Bollerslev (1990), Hogan and Melvin (1994), and Melvin and Melvin (2003)). In addition, our realized volatility is based on transactable quotes as opposed to indicative quotes used in existing studies. These advantages of our data should give us a better understanding of the sources of volatility clustering. Based on our regional volatility model, we find statistically significant evidence for both the heat wave and the meteor shower effects. The heat wave effect, however, dominates the meteor shower effect in economic significance.
Unlike previous studies, which only investigate the transmission of volatility across trading regions, this paper is the first to study the transmission of trading activity across trading regions. Similar to results for volatility, we find statistically significant evidence supporting both the heat wave and the meteor shower effects, and the heat wave effect is much more important economically than the meteor effect. The similarity of our results for both volatility and trading activity confirms the robustness of our findings.
Andersen, T., T. Bollerslev, F.X. Diebold, P. Labys, 2001, ``The Distribution of Realized Exchange Rate Volatility,'' Journal of the American Statistical Association, 96, 42-55.
Andersen, T., T. Bollerslev, F.X. Diebold, P. Labys, 2003, ``Modeling and Forecasting Realized Volatility,'' Econometrica, 71, 529-626.
Baillie, R., and T. Bollerslev, 1990, ``Intra-day and Inter-market Volatility in Foreign Exchange Rates,'' Review of Economics Studies, 58, 565-585.
Chaboud, A., and B. LeBaron, 2001, ``Foreign Exchange Market Trading Volume and Federal Reserve Intervention'', Journal of Futures Markets, 21, 851-860.
Chaboud, A., S. Chernenko, E. Howorka, R.S. Krishnasami Iyer, D. Liu, and J. Wright, 2004, ``The High-Frequency Effects of U.S. Macroeconomic Data Releases on Prices and Trading Activity in the Global Interdealer Foreign Exchange Market,'' Federal Reserve Board's International Finance Discussion Papers Number 823.
Daníelsson, J., and R. Payne, 2002, ``Real Trading Patterns and Prices in Spot Foreign Exchange Markets,'' Journal of International Money and Finance, 21, 203-222.
Engle, R.F., T. Ito, and W. Lin, 1990, ``Meteor Showers or Heat Waves? Heteroscedastic Intra- daily Volatility in the Foreign Exchange Market,'' Econometrica, 59, 525-542.
Goodhart, C., T. Ito, and R. Payne, 1996, ``One Day in June 1993: A Study of the Working of the Reuters 2000-2 Electronic Foreign Exchange Trading System,'' The Microstructure of Foreign Exchange Markets, The University of Chicago Press.
Harris, M., and A. Raviv, 1993, ``Difference of Opinion Make a Horse Race,'' Review of Financial Studies, 6, 473-506.
Hogan Jr., K.C., and M. T. Melvin, 1994, ``Sources of Meteor Showers and Heat Waves in the Foreign Exchange Market,'' Journal of International Economics, 37, 239- 247.
Ito, T., and Y. Hashimoto, 2004, ``Microstructure of the Yen/Dollar Foreign Exchange Market: Patterns of Intra-Day Activity Revealed in the Electronic Broking System,'' NBER Working Paper 10856.
Jones, C.M., G. Kaul, and M.L. Lipson, 1994, ``Transactions, Volume, and Volatility,'' Review of Financial Studies, 7, 631-651.
Melvin, M., and B. Melvin, 2003, ``The Global Transmission of Volatility in the Foreign Exchange Market,'' Review of Economics and Statistics, 85, 670-679.
Melvin, M., and X. Yin, 2000, ``Public Information, Exchange Rate Volatility, and Quote Frequency,'' Economic Journal, 110, 644-661.
Omrane, W., and A. Heinen, 2004, ``The Foreign Exchange Quoting Activity as An Informative Signal,'' working paper, Catholic University of Louvain.
Shalen, C.T., 1993, ``Volume, Volatility, and the Dispersion of Beliefs,'' Review of Financial Studies, 6, 405-434.
Table 1. Wald Tests for Heat Wave and Meteor Shower Effects for Euro-Dollar Volatility Persistence
This table shows Wald test-statistics for block of coefficients representing heat wave effect (own-region volatility persistence) and meteor shower effect (interregional volatility spillover persistence). Chi-squared statistics and associated p-values (in brackets) are reported for each blocks of coefficients. Dependent variables are in columns and independent variables are in rows. The five regions are AS (Asia), AE (Asia-Europe overlap), EU (Europe), EA (Europe-America overlap), and AM (America). For each equation, adjusted R-squared and p-values of Q-statistics for residual autocorrelation are reported for 5 lags and 35 lags.
| Independent Regions | Dependent Regions - AS | Dependent Regions - AE | Dependent Regions - EU | Dependent Regions - EA | Dependent Regions - AM |
|---|---|---|---|---|---|
AS | 59.50, [0.00] |
96.02, [0.00] |
2.45, [0.48] |
12.42, [0.01] |
16.91, [0.00] |
AE | 11.51, [0.01] |
30.19, [0.00] |
203.00, [0.00] |
3.79, [0.29] |
3.07, [0.38] |
EU | 22.73, [0.00] |
34.50, [0.00] |
29.59, [0.00] |
36.70, [0.00] |
2.55, [0.47] |
EA | 7.53, [0.06] |
25.56, [0.00] |
7.87, [0.05] |
39.68, [0.00] |
112.81, [0.00] |
AM | 52.55, [0.00] |
8.36, [0.04] |
9.35, [0.03] |
18.02, [0.00] |
55.14, [0.00] |
Adj. R-sq | 0.32 |
0.37 |
0.36 |
0.39 |
0.35 |
p-value, Q(5) | 0.23 |
0.09 |
0.34 |
0.35 |
0.49 |
p-value, Q(35) | 0.07 |
0.08 |
0.21 |
0.10 |
0.12 |
Table 2. Wald Tests for Heat Wave and Meteor Shower Effects for Dollar-Yen Volatility Persistence
This table shows Wald test-statistics for block of coefficients representing heat wave effect (own-region volatility persistence) and meteor shower effect (interregional volatility spillover persistence). Chi-squared statistics and associated p-values (in brackets) are reported for each blocks of coefficients. Dependent variables are in columns and independent variables are in rows. The five regions are AS (Asia), AE (Asia-Europe overlap), EU (Europe), EA (Europe-America overlap), and AM (America). For each equation, adjusted R-squared and p-values of Q-statistics for residual autocorrelation are reported for 5 lags and 35 lags.
| Independent Regions | Dependent Regions - AS | Dependent Regions - AE | Dependent Regions - EU | Dependent Regions - EA | Dependent Regions - AM |
|---|---|---|---|---|---|
AS | 77.06, [0.00] |
217.20, [0.00] |
32.75, [0.00] |
8.79, [0.03] |
24.27, [0.00] |
AE | 27.74, [0.00] |
6.43, [0.09] |
111.87, [0.00] |
16.93, [0.00] |
2.71, [0.44] |
EU | 12.56, [0.01] |
21.38, [0.00] |
14.37, [0.00] |
77.84, [0.00] |
1.99, [0.57] |
EA | 4.19, [0.24] |
10.09, [0.02] |
3.33, [0.34] |
26.19, [0.00] |
149.84, [0.00] |
AM | 80.45, [0.00] |
3.45, [0.33] |
4.70, [0.20] |
21.94, [0.00] |
32.55, [0.00] |
Adj. R-sq | 0.44 |
0.35 |
0.33 |
0.36 |
0.29 |
p-value, Q(5) | 0.31 |
0.12 |
0.26 |
0.65 |
0.37 |
p-value, Q(35) | 0.21 |
0.09 |
0.22 |
0.26 |
0.09 |
Table 3. Wald Tests for Heat Wave and Meteor Shower Effects for Euro-Dollar Trading Volume Persistence
This table shows Wald test-statistics for block of coefficients representing heat wave effect (own-region trading volume persistence) and meteor shower effect (interregional trading volume spillover persistence). Chi-squared statistics and associated p-values (in brackets) are reported for each blocks of coefficients. Dependent variables are in columns and independent variables are in rows. The five regions are AS (Asia), AE (Asia-Europe overlap), EU (Europe), EA (Europe-America overlap), and AM (America). For each equation, adjusted R-squared and p-values of Q-statistics for residual autocorrelation are reported for 5 lags and 35 lags.
| Independent Regions | Dependent Regions - AS | Dependent Regions - AE | Dependent Regions - EU | Dependent Regions - EA | Dependent Regions - AM |
|---|---|---|---|---|---|
AS | 18.68, [0.00] |
26.02, [0.00] |
6.24, [0.10] |
4.71, [0.19] |
4.98, [0.17] |
AE | 6.87, [0.08] |
22.63, [0.00] |
5.89, [0.12] |
6.22, [0.10] |
7.81, [0.05] |
EU | 2.48, [0.48] |
7.99, [0.05] |
5.55, [0.14] |
11.46, [0.01] |
3.03, [0.39] |
EA | 2.11, [0.55] |
3.42, [0.33] |
9.37, [0.02] |
12.33, [0.01] |
7.18, [0.07] |
AM | 3.84, [0.28] |
3.13, [0.37] |
7.47, [0.06] |
8.89, [0.03] |
6.53, [0.09] |
Adj. R-sq | 0.25 |
0.27 |
0.24 |
0.25 |
0.23 |
p-value, Q(5) | 0.88 |
0.91 |
0.77 |
0.67 |
0.67 |
p-value, Q(35) | 0.26 |
0.74 |
0.16 |
0.60 |
0.21 |
Table 4. Wald Tests for Heat Wave and Meteor Shower Effects for Dollar-Yen Trading Volume Persistence
This table shows Wald test-statistics for block of coefficients representing heat wave effect (own-region trading volume persistence) and meteor shower effect (interregional trading volume spillover persistence). Chi-squared statistics and associated p-values (in brackets) are reported for each blocks of coefficients. Dependent variables are in columns and independent variables are in rows. The five regions are AS (Asia), AE (Asia-Europe overlap), EU (Europe), EA (Europe-America overlap), and AM (America). For each equation, adjusted R-squared and p-values of Q-statistics for residual autocorrelation are reported for 5 lags and 35 lags.
| Independent Regions | Dependent Regions - AS | Dependent Regions - AE | Dependent Regions - EU | Dependent Regions - EA | Dependent Regions - AM |
|---|---|---|---|---|---|
AS | 19.81, [0.00] |
8.16, [0.04] |
4.50, [0.21] |
2.64, [0.45] |
0.66, [0.88] |
AE | 25.51, [0.00] |
1.73, [0.63] |
24.30, [0.00] |
11.42, [0.01] |
2.76, [0.43] |
EU | 1.12, [0.77] |
1.84, [0.61] |
1.97, [0.58] |
1.55, [0.67] |
5.77, [0.12] |
EA | 1.47, [0.69] |
7.10, [0.07] |
2.65, [0.45] |
1.70, [0.64] |
16.32, [0.00] |
AM | 4.81, [0.19] |
2.27, [0.52] |
3.95, [0.27] |
5.09, [0.17] |
50.76, [0.00] |
Adj. R-sq | 0.24 |
0.22 |
0.23 |
0.22 |
0.28 |
p-value, Q(5) | 0.77 |
0.54 |
0.52 |
1.00 |
0.49 |
p-value, Q(35) | 0.18 |
0.27 |
0.26 |
0.95 |
0.15 |
Table 5. Wald Tests for Heat Wave and Meteor Shower Effects for Euro-Dollar Number of Transactions Persistence
This table shows Wald test-statistics for block of coefficients representing heat wave effect (own-region number of deals persistence) and meteor shower effect (interregional number of deals spillover persistence). Chi-squared statistics and associated p-values (in brackets) are reported for each blocks of coefficients. Dependent variables are in columns and independent variables are in rows. The five regions are AS (Asia), AE (Asia-Europe overlap), EU (Europe), EA (Europe-America overlap), and AM (America). For each equation, adjusted R-squared and p-values of Q-statistics for residual autocorrelation are reported for 5 lags and 35 lags.
| Independent Regions | Dependent Regions - AS | Dependent Regions - AE | Dependent Regions - EU | Dependent Regions - EA | Dependent Regions - AM |
|---|---|---|---|---|---|
AS | 27.24, [0.00] |
28.91, [0.00] |
12.29, [0.01] |
5.85, [0.12] |
6.66, [0.08] |
AE | 11.02, [0.01] |
16.62, [0.00] |
9.66, [0.02] |
9.27, [0.03] |
10.80, [0.01] |
EU | 2.98, [0.39] |
12.11, [0.01] |
9.98, [0.02] |
13.71, [0.00] |
4.40, [0.22] |
EA | 4.04, [0.26] |
4.10, [0.25] |
10.97, [0.01] |
11.97, [0.01] |
13.08, [0.00] |
AM | 3.87, [0.28] |
2.43, [0.49] |
6.86, [0.08] |
9.81, [0.02] |
10.28, [0.02] |
Adj. R-sq | 0.26 |
0.28 |
0.25 |
0.26 |
0.24 |
p-value, Q(5) | 0.51 |
0.61 |
0.55 |
0.47 |
0.31 |
p-value, Q(35) | 0.21 |
0.20 |
0.14 |
0.43 |
0.12 |
Table 6. Wald Tests for Heat Wave and Meteor Shower Effects for Dollar-Yen Number of Transactions Persistence
This table shows Wald test-statistics for block of coefficients representing heat wave effect (own-region number of deals persistence) and meteor shower effect (interregional number of deals spillover persistence). Chi-squared statistics and associated p-values (in brackets) are reported for each blocks of coefficients. Dependent variables are in columns and independent variables are in rows. The five regions are AS (Asia), AE (Asia-Europe overlap), EU (Europe), EA (Europe-America overlap), and AM (America). For each equation, adjusted R-squared and p-values of Q-statistics for residual autocorrelation are reported for 5 lags and 35 lags.
| Independent Regions | Dependent Regions - AS | Dependent Regions - AE | Dependent Regions - EU | Dependent Regions - EA | Dependent Regions - AM |
|---|---|---|---|---|---|
AS | 30.83, [0.00] |
10.71, [0.01] |
5.81, [0.12] |
3.74, [0.29] |
1.86, [0.60] |
AE | 23.87, [0.00] |
2.14, [0.54] |
23.42, [0.00] |
12.06, [0.01] |
0.59, [0.90] |
EU | 2.60, [0.46] |
3.07, [0.38] |
3.34, [0.34] |
2.93, [0.40] |
9.07, [0.03] |
EA | 1.98, [0.58] |
9.26, [0.03] |
3.21, [0.36] |
2.36, [0.50] |
5.75, [0.12] |
AM | 3.11, [0.38] |
3.31, [0.35] |
2.92, [0.40] |
4.31, [0.23] |
28.34, [0.00] |
Adj. R-sq | 0.37 |
0.23 |
0.27 |
0.22 |
0.24 |
p-value, Q(5) | 0.42 |
0.16 |
0.69 |
1.00 |
0.12 |
p-value, Q(35) | 0.12 |
0.10 |
0.80 |
0.93 |
0.10 |
Figure 1. Regional Trading Volume
This figure shows regional trading volume among three financial centers. All trading volumes are indexed to the average overall trading volume where the index equals to 100 for average overall trading volume per one-minute period over the whole sample (separate index for each currency). Regional mnemonics are LN_LN (London and London), NY_NY (New York and New York), TY_TY (Tokyo and Tokyo), LN_NY (London and New York), LN_TY (London and Tokyo), and NY_TY (New York and Tokyo).

Figure 2. Regional Time Zones Based on Trading Volume
This figure defines time zones (in New York time) for each region based on regional trading volume, adjusted for Daylight Saving Time (DST) whenever it is applicable. Day(t) = 17:01 NY time (t-1) - 17:00 NY time (t) where t is a calendar date. Local times are shown for three major financial centers: New York (NY), London (LN) and Tokyo (TY), and regional open hours (in three cases with or without GST) are marked by color bars.

Figure 3. Average Five-Minute Intraday and Regional Mean Absolute Returns
This figure shows means of five-minute intraday and regional mean absolute return. Regional means are Asia, the Asia-Europe overlap, Europe, the Europe-America overlap, and America. The regional mean for Asia appears both at the first and the last sections (from 17:01 through 2:30).

Figure 4. Average Five-Minute Intraday and Regional Mean Trading Volumes
This figure shows means of five-minute intraday and regional mean trading volumes. All trading volumes are indexed to the average trading volume where the index equals 100 for the mean global five-minute trading volume over the whole sample (seperate index for each currency). Regional means are Asia, the Asia-Europe overlap, Europe, the Europe-America overlap, and America. The regional mean for Asia appears both at the first and the last means (from 17:01 through 2:30).

Figure 5. Average Five-Minute Intraday and Regional Mean Number of Transactions
This figure shows means of five-minute intraday and regional mean number of transactions. All number of transactions are indexed to the average number of transactions where the index equals 100 for the mean global five-minute number of transactions over the whole sample (seperate index for each currency). Regional means are Asia, the Asia-Europe overlap, Europe, the Europe-America overlap, and America. The regional mean for Asia appears both at the first and the last means (from 17:01 through 2:30).

Figure 6. Response of Euro-Dollar Volatilities to One-Standard Deviation Shocks
This figure shows the effect of a one-standard deviation shock to the innovations in volatility of one region on day t on itself and the other regions for days t+1 through t+15 (3 weeks). The impulse response functions are shown in solid lines, and the two-standard error bands are shown in dashed lines. The two-standard error band is computed from a bootstrap with replacement for 2,000 repetitions. The ordering of the system of equations is Asia (AS), the Asia-Europe overlap (AE), Europe (EU), the Europe-America overlap (EA), and America (AM).

Figure 7. Response of Dollar-Yen Volatilities to One-Standard Deviation Shocks
This figure shows the effect of a one-standard deviation shock to the innovations in volatility of one region on day t on itself and the other regions for days t+1 through t+15 (3 weeks). The impulse response functions are shown in solid lines, and the two-standard error bands are shown in dashed lines. The two-standard error band is computed from a bootstrap with replacement for 2,000 repetitions. The ordering of the system of equations is Asia (AS), the Asia-Europe overlap (AE), Europe (EU), the Europe-America overlap (EA), and America (AM).

Figure 8. Response of Euro-Dollar Trading Volumes to One-Standard Deviation Shocks
This figure shows the effect of a one-standard deviation shock to the innovations in trading volume of one region on day t on itself and the other regions for days t+1 through t+15 (3 weeks). The impulse response functions are shown in solid lines, and the two-standard error bands are shown in dashed lines. The two-standard error band is computed from a bootstrap with replacement for 2,000 repetitions. The ordering of the system of equations is Asia (AS), the Asia-Europe overlap (AE), Europe (EU), the Europe-America overlap (EA), and America (AM).

Figure 9. Response of Dollar-Yen Trading Volumes to One-Standard Deviation Shocks
This figure shows the effect of a one-standard deviation shock to the innovations in trading volume of one region on day t on itself and the other regions for days t+1 through t+15 (3 weeks). The impulse response functions are shown in solid lines, and the two-standard error bands are shown in dashed lines. The two-standard error band is computed from a bootstrap with replacement for 2,000 repetitions. The ordering of the system of equations is Asia (AS), the Asia-Europe overlap (AE), Europe (EU), the Europe-America overlap (EA), and America (AM).

Figure 10. Response of Euro-Dollar Number of Transactions to One-Standard Deviation Shocks
This figure shows the effect of a one-standard deviation shock to the innovations in the number of transaction of one region on day t on itself and the other regions for days t+1 through t+15 (3 weeks). The impulse response functions are shown in solid lines, and the two-standard error bands are shown in dashed lines. The two-standard error band is computed from a bootstrap with replacement for 2,000 repetitions. The ordering of the system of equations is Asia (AS), the Asia-Europe overlap (AE), Europe (EU), the Europe-America overlap (EA), and America (AM).

Figure 11. Response of Dollar-Yen Number of Transactions to One-Standard Deviation Shocks
This figure shows the effect of a one-standard deviation shock to the innovations in the number of transaction of one region on day t on itself and the other regions for days t+1 through t+15 (3 weeks). The impulse response functions are shown in solid lines, and the two-standard error bands are shown in dashed lines. The two-standard error band is computed from a bootstrap with replacement for 2,000 repetitions. The ordering of the system of equations is Asia (AS), the Asia-Europe overlap (AE), Europe (EU), the Europe-America overlap (EA), and America (AM).

** Cai and Wongswan are at the Division of International Finance of the Federal Reserve Board, Washington, D.C., 20551. Cai can be reached at [email protected] or (202) 452-3540. Wongswan can be reached at [email protected] or (202) 452-2953. Howorka is at EBS, 535 Madison Avenue, New York, NY 10022. We thank David Berger for excellent research assistance. We are grateful to Mark Carey, Alain Chaboud, Mico Loretan, Jonathan Wright, and participants in the IF Tuesday Group for helpful discussions. The views in this paper are solely the responsibility of the authors and should not be interpreted as reflecting the views of the Board of Governors of the Federal Reserve System or any other person associated with the Federal Reserve System. Return to text
1. All dealers located in the Asia Pacific area are served by the computer center in Tokyo and all trades are recorded as originating from Tokyo. The computer center in London serves dealers that are located in Europe, the Middle East, and Africa, and the computer center in New York serves dealers that are located in both North and South America. Return to text
2. See Chaboud et al (2004) for a more detailed discussion of the EBS data. Return to text
3. We do not consider the New York/Tokyo overlap period since it is very short (half an hour or so) and trading is very light. Return to text
4. It is still debatable whether frequency of indicative quotes is a good proxy for trading activity. Goodhart, Ito, and Payne (1996) finds it dubious to infer transactions frequency from indicative quote data, Daníelsson and Payne (2002) and Omrane and Heinen (2004) suggest that quote frequency is a fair proxy for volumes and liquidity supply. Return to text
5. During our sample period, U.S. monetary authorities intervened in the foreign exchange market once on September 22, 2000. Japanese monetary authorities intervened for 142 days; all dates are available on the Ministry of Finance's webpage (http://www.mof.go.jp/english/e1c021.htm). Return to text
6. All empirical results are qualitatively similar when we allow either longer or shorter lags. Results are available on request. Return to text
7. We also estimated the regional model for exchange rate returns. Because the model could not capture the dynamic of exchange rate return well, judging from low adjusted R-squared around 0.02, we did not test the heat wave and meteor shower effects. Return to text
This version is optimized for use by screen readers. A printable pdf version is available.