
This paper addresses the relationship between family wealth and income, as viewed through the Survey of Consumer Finances (SCF).1 Although wealth and income are often viewed as comparable indicators of the economic status of a family, they may differ greatly in that regard for a variety of reasons. Obviously, the most fundamental distinction between the two concepts is that wealth is a stock and income is a flow, where the stock has a fundamental dependence on the flow and future flow has a dependence on the stock.
When wealth and income are defined in compatible ways, in the very short run they are related by the basic accounting identity
(where ![]()
is net worth of unit
at time
, ![]()
is a rate of return between periods
1 and
, ![]()
is all non-capital income and ![]()
is compatibly defined consumption). But as discussed at length in this paper, specification of compatible components for that simple equation can involve very complicated decisions. Clearly, the particular specifications chosen can have a
powerful influence on estimates dependent on the relationships between the two. The broader evolution of the components over time is determined by a variety of factors: motives, expectations, information, constraints, opportunities, abilities, endowments, choices, and what are effectively random
outcomes external to the family--all of which may differ over families in complex systematic (possibly endogenous) or idiosyncratic ways. Wealth is an integral over all past decisions and circumstances of a household that may affect rates of return, labor supply, consumption and any initial wealth
endowment. Given the enormous possible range for such factors, the great wonder is that the level of the consistency in patterns over time and people is as large as it is for the most typical measures of wealth and income.
The behavioral dimensions of wealth accumulation and income generation are of great interest, but they are not the focus of the work presented here. Although the paper is largely descriptive, a variety of points emerge in the paper that bear on the set of plausible underlying behavioral structures. Descriptive discussions of wealth and income sometimes focus on narrow and controversial distributional aspects of these variables, such as inequality of distribution. "Inequality" may seem a simple term, but operationally it may mean many different things, depending on the point of view. The approach taken in this paper is to attempt to look at wealth and income neutrally and as broadly as possible, within the limits of this format, to characterize a range of what appear to be the most important distributional properties of wealth and income and their changes over the 18 years from 1989 to 2007.
Wolff [1995 and 2004] and Kennickell [2003 and 2006] provide discussion of the distribution of wealth in earlier SCFs and Kopczuk and Saez [2004] look at a time series of wealth patterns implied by estate tax returns. Picketty and Saez [2003] use data from income tax returns to examine the history of income distribution in the U.S. Gordon and Dew-Becker [2008] discuss recent work on sources of income inequality. Reynolds [2006] gives a discussion of some of the issues involved in describing the distributions of income and wealth.
Usually, some assumptions and compromises are necessary in order to make sense of the data it is feasible to observe. This paper is no exception to that rule. For the sake of clarity in the limits of the work presented here, the following section deals in some detail with the nature of the data used, the construction of the wealth and income variables considered in the remainder of the paper and the most important empirical limitations. The next section characterizes the distributions of wealth and income and their changes, including discussions of their levels, shifts in observed concentration, and their joint relationship. The third section considers the composition of net worth and income. The final section concludes.
The main data used in this paper derive from the SCF, a household survey covering detailed components and attributes of wealth and income, as well as other variables intended to support analysis of these data.2 This section provides a brief overview of the elements of the technical design necessary to understand the results presented in the paper. It also provides a discussion of the issues involved in defining the measures of wealth and income used in the analysis.
1a. Overview of the Design of the SCF
The SCF was first conducted in 1983.3 There was a highly abridged re-interview with a sample of 1983 participants in 1986 and a much more extensive re-interview as a part of a 1989 survey, which included both pure cross-sectional and panel components. From 1989, the SCF has continued on a triennial basis as a cross-sectional survey with comparable methodologies.
The SCF employs a dual-frame sample to provide a sufficient basis for collecting data for the major purposes of the survey (see Kennickell and Woodburn [1997]). An area-probability sample (see Tourangeau et al. [1993] and O'Muircheartaugh et al. [2002]) is used to provide robust coverage of characteristics broadly distributed in the population. A list sample (see Kennickell [2007a] and references therein) is selected from statistical records derived from tax returns, using a stratification scheme to over-sample wealthy families. 4 This over-sampling helps to address two important issues. First, because wealth is very concentrated and some items important for research and policy apply to only a relatively wealthy part of the population (e.g., tax-exempt bonds), it is necessary to take specific action in order to have a sufficient number of cases to analyze; the list sample is an efficient means (both statistically and fiscally) of addressing this problem. Second, because nonresponse in surveys often appears to be higher among wealthy families, some means of recognizing and correcting for such systematic nonresponse is needed to avoid bias in estimates that are strongly influenced by the upper tail of the distribution (such as means or concentration estimates for wealth); the stratification scheme for the list sample in the SCF provides a straightforward means of making such adjustments.
Nonresponse to individual items in a survey is also a common problem in surveys, such as the SCF, that collect sensitive information. Beginning with the 1989 survey, missing data in the SCF have been multiply imputed (see Kennickell [1998]); as implemented, this method yields 5 imputations for each missing value. The approach provides a statistically more efficient way of making point estimates than single imputations, and it is much less complex than proper full-information estimation involving no direct imputation for missing data. Importantly, the variation in values across imputations provides a systematic means of incorporating the uncertainty about what is actually known; typically, analysis of singly imputed data treats imputations are if they were values known without error.
The design of the SCF sample includes sufficient information to allow the estimation of sampling variability associated with estimates made with the data. Because the survey does not have a classical sample design, sampling variability for the surveys beginning with 1989 is simulated using a series of pre-defined bootstrap replicates selected from the actual sample according to the key dimensions of the original selection, where each replicate is weighted according to the SCF protocol used to compute the full-sample weights. Most of the estimates reported in this paper are given with an associated standard error, which incorporates components attributable to both imputation and sampling.5
Underlying any complex measurement process, particularly those involving human subjects, there is almost always a variety of simplifying assumptions which may affect estimates made from the resulting data. Thus, methodological consistency is very important for the comparability of measurements over time. Beginning in 1989, the SCF methodology was substantially revised, and a vigorous effort has been made since that time to avoid changes that would render the surveys incomparable. Although the 1983 SCF used a questionnaire similar in scope to that used beginning in 1989, there are important differences in organization and content. Probably even more important are differences in the sample designs and protocols used to weight the sets of completed interviews to represent the population.6 These sample and weighting differences are likely to have their greatest effect on estimates that are strongly affected by the upper tail of the wealth distribution. Because this paper focuses on distributional issues, which might reasonably be expected to be affected by such differences, only results derived from the 1989 and later surveys are presented here.
1b. Defining Measures of Wealth and Income for the Analysis
For income, there is a broad review of the underlying concepts in the final report of the Canberra Group (Canberra Group [2000]), a group operated under the auspices of the United Nations Statistical Commission; of course, one must still make choices to assemble the concepts in a way that accommodates the empirical realities and is relevant to the question at hand. For wealth there is not yet such a compendium. Table 1 provides one possible set of decompositions of the components of income, debt and assets, which are spelled out in more detail below.
In the SCF, the elements of income directly available are wages and salaries; self-employment and farm income; tax-exempt interest; taxable interest; dividends; returns from real estate, partnerships, subchapter s corporations, trusts and estates; realized capital gains and losses; payments from unemployment insurance or workmen's compensation; pension (including pension account withdrawals), Social Security, annuity and disability payments; various types of welfare; alimony and child support; and miscellaneous income. All of the values are requested as annual amounts for the calendar year preceding the survey, gross of taxes and any other deductions. Most of the items correspond to an entry on the U.S. individual income tax return, and the relevant references to that form are available during the interview. Thus, in principle, the categories are defined with relatively little ambiguity.
Depending on the desired conceptual framework, there are other sources that might also be treated as income; of particular note are unrealized capital gains cumulated within a period, returns on tax-deferred retirement accounts (which are not realized for tax purposes until withdrawals are made), employer contributions (explicit or implicit) to retirement plans and other types of employee benefits, service flows from durables and owned housing, inheritances and gifts received, and material received as payment in kind or produced directly by personal effort. These sources are measured by the SCF in varying degrees, as noted in the table. One might also consider broader forms of "psychic income" from the environment, social structure, family, or personal qualities, but in most such cases the balance between assumptions and data would likely be sharply tilted toward assumptions.
The wealth variables available in the survey are much more numerous and detailed, but still they do not directly encompass every possibility.7 The debt data include measurements as of approximately the time of the interview of the outstanding balances on credit cards, lines of credit and other revolving accounts; mortgages on a primary residence as well as second homes and investment properties not owned by a business; installment loans and similar loans for vehicles, education and other purposes; loans against pensions and insurance policies; money owed to a business owned at least in part by the family; personal loans taken out by the family for such a business; and miscellaneous other personal loans. For each item there are a number of attributes that might be used for more detailed classification. Other items available in the survey for potential inclusion in debts measures are regular contractual obligations such as rent, lease, and condominium- or community-association payments. Although the survey does not provide respondents with as specific an external reference to define the debt items as is the case with income, the debt questions are organized around the concepts that are most commonly used and definitions are available during the interview for each of the debt concepts. Further candidates for inclusion, but unmeasured in the survey, are outstanding bills that are not past due, known future obligations, and "psychic debts" of various sorts.8
The asset values are requested in the survey as of the time of the interview or the most recent account statement, if that is easier for the respondent. Assets are often taken to be composed of financial and nonfinancial assets, though one could choose an alternative taxonomy.9 The financial assets measured in the SCF include current values and characteristics of deposits and cash accounts, such as transaction accounts and various types of savings accounts, money market accounts and call accounts; securities traded on exchanges, such as stock, bonds, exchange-traded funds, futures contracts, etc.; mutual funds and hedge funds; annuities; cash-value life insurance; tax-deferred retirement accounts, such as IRAs, Keoghs and 401(k) accounts; loans made to other people; and miscellaneous other such assets. The measured nonfinancial assets include current values and characteristics of principal residences (farms, mobile homes, apartments, condominiums, co-ops, houses, etc.); other real estate not owned by a business; corporate and non-corporate private businesses; a selection of durables including cars, trucks, motorcycles, boats, airplanes, and miscellaneous other vehicles; and miscellaneous valuables, such as antiques, jewelry, precious metals, etc.10 The survey also captures trusts from which the family draws at least some benefits; these may have been established by the family or by someone else, and because they may be invested in virtually any item of wealth, they might be considered a financial or nonfinancial asset. In some cases, the family may have rights only to a current and/or future stream of income from the trust, or to the use of items owned by the trust. Such income could be taken to have a present value. Items of intellectual property, such as patents and royalty-generating assets, raise similar problems. Some types of contingent assets, which are partly captured in the survey, are very hard to value; this is particularly problematic in the case of rights to benefits under defined-benefit pension plans, or trusts or annuities where the only ownership claim is to income.11 Some people may have expectations--sometimes quite strong ones--of transfers (such as inheritances or trust funds) from other people in the future. As in the case of debt, the survey does not offer a single standard external reference for assets, but it uses categories that are conventional and definitions are available for each one. There are also potential forms of "psychic wealth" that correspond to the similar measures already discussed for income and debt, but as in those cases little information is available to assign them a value.
As messy as this discussion of income and wealth components may be, it only summarizes the most mentionable details.12 Many a fine argument could turn on almost any of the individual items. But because further such discussion would be largely tangential to the interest of this paper, such arguments are not pursued here.
Having reviewed the possibilities for inclusion, ideally one would take the set of components and assemble defensible sets of income and wealth concepts that also could be related to each other through an equation of motion like that given in the introduction. The measures adopted for this paper comprise the components listed in black in table 1. The overall motivation was to create broad measures of income and wealth that reflect wealth and income close to the control of the family and that do not require extraordinary assumptions to make operational. Although there are intuitive justifications for these choices, the result falls short of the ideal in several ways and some included items may seem questionable. A selection of the most important such issues is discussed below.
It would be convenient for characterizing income if all of its components were on the same temporal basis and there were also a close connection with the wealth measures. Some assets realize a regular return from period to period--as is the case with a savings account--but others may pay no regular returns or pay out only a part of the total return. Two important potentially irregularly received payments are capital gains, and returns on formal retirement accounts and other such tax-deferred assets. In the case of the former, any unpaid return may be the result of a decision by the managers of the asset to pay owners through increased valuation (currently tax-preferred in the U.S.) or it may be incidental to the operation. Realized capital gains will very often be much lumpier than the underlying accumulation of gains. In the case of retirement accounts, it is a social policy in the U.S to delay the taxation of all returns (and some of the contributions) until money is withdrawn from the account. What these two cases have in common is the deferral of gains and the (generally) choice-driven nature of realization. The underlying regular incomes exist in an accounting sense, but may be barely known, if at all, to a family asked to report its income sources in a survey. In the results presented in this paper, only realized capital gains and pension account withdrawals are included as income.
Non-cash employee benefits (such as payments for health insurance or contributions to a defined-benefit pension plan), gifts and inheritances, in-kind income and unpaid work for oneself--are also omitted on grounds of questions about the reliability or existence of relevant data. Service flows (imputed rent) from housing and durables are hypothetical incomes, based on assumptions about the rate at which such assets are consumed through use; because of the somewhat arbitrary (and controversial) nature of the assumptions required for household-level estimates and because of limitations on the data required for such a calculation, this income source is also excluded.
Given these limitations in the income construct, it would still be desirable to have a compatible wealth measure, if it conveyed a broad enough sense of welfare. But it is immediately clear that there are problems along that path as well. For instance, excluding housing from wealth because the parallel service flow is excluded from income would dramatically understate what most people think of as wealth. Inclusion of labor income could be taken to call for the inclusion of a measure of human capital, the valuation of which is fraught with many assumptions and uncertainties. Two items, defined-benefit pensions and vehicles, deserve particular additional attention.
Among contingent assets, defined-benefit pension plans are arguably the most difficult for an individual family to value. Although such plans have declined in importance in terms of the coverage of workers in the U.S. over the past two decades, they remain important assets for many families. Failure to account for them, particularly in earlier years, may give a misleading impression of the net effects on the wealth distributions of the concurrent rise in account-type pensions, which are measured directly in the survey. Wolff [2007] attempts to compute a household-level estimate of defined-benefit and Social Security wealth as of retirement (discounted to a given time) to add to a measure of more conventional wealth. That paper and commentary on it in Kennickell [2007b] make clear the large conceptual and technical issues involved in making such estimates for individual families. Moreover, assumptions that might be quite reasonable in an actuarial sense may be so questionable for individual families as to render the real precision of estimates of the value very low. The basic problems can be summarized briefly. For benefits conditional on stopping work at the moment of the survey, a concept that seems most nearly compatible with other family wealth measures observed in the SCF, it would be necessary to have a value of the current termination benefit under the plan, which may be a lump sum distribution or a stream of payments starting possibly in the future and running until death of the last beneficiary under the plan. If the benefit is a payment amount other than an immediate lump sum, then assumptions are needed about the appropriate discount rate and survival probabilities to bring forward the payment stream in an accounting sense. But it could be argued that a current termination value misses a sizeable part of the value of most defined-benefit plans under which a worker expects to continue working until a later time and where the final benefit is based on the average of some number of highest years of income. However, to make such a work-until-retirement estimate would require assumptions about the future paths of work and earnings (as well as work, earnings and pension coverage on future jobs); and to place the measure on a common footing with other assets would require either a projection of all future contributions by the employer and the employee or projection of all future saving and returns in other assets. Unfortunately, there is no agreed upon set of standards for such calculations. Even worse, because SCF respondents express a relatively high degree of uncertainty about their pension benefits, the computed value of even a termination value based on reported data could be noisier than might be apparent from the data. An additional reason to have some question about the inclusion of a measure of defined-benefit wealth is that it is neither fungible nor under the control of the family. For the sum of all these reasons, only account-type pensions over which the family has some degree of control are included in the final wealth measure.13
Some (e.g., Wolff [2004]) have argued that vehicles should not be treated as a part of wealth for purposes of studying distributional questions. The argument, as I understand it, generally turns on the idea that vehicles have their greatest role in their use, not as an asset, and that used vehicle markets do not properly reflect the current value. But this argument can be questioned on a number of grounds. (1) Houses are arguably even more important in terms of their use than vehicles, for which public transportation is usually available as a substitute, yet few would argue to exclude houses. (2) As shown in the third section of the paper, where vehicles are included as a component of wealth, they are a particularly important item for low-wealth and low-income families; thus their omission would make such families look disproportionately poorer than other groups.14 (3) Typically, researchers include borrowing for vehicles as debt, even when the corresponding asset is excluded; because poor families are also relatively likely to borrow for a car purchase, excluding the asset value tends to make them appear yet less wealthy. (4) Vehicle debt is included but the asset value is excluded, then one could argue that in order to avoid asymmetry in the treatment of obligations of owners and lessees, there should be a parallel adjustment for the remaining obligations for leased vehicles and even leased homes. (5) Unlike some items that are customarily excluded for reasons of questionable data quality, the SCF vehicle values appear reliable, since they are estimated by using make, model and model-year values given by respondents to match values in market data on used vehicle prices. (6) Well developed markets for used cars have long existed, but with the advent of EBay and other such forums, it is difficult to argue that vehicles are less easy to liquidate than many other items routinely treated as assets. In sum, the preponderance of "reasonableness" seems to me to argue for the inclusion of vehicles as wealth, particularly given the desire in this paper to characterize the situation at the bottom of the wealth distribution.
Any choice of wealth and income definitions has an inevitable arbitrary element which may reflect something of the constraints on measurement as well as a point of view about the most meaningful items to include. The goal in this paper is to create the broadest definitions possible without incurring excessive measurement error. Probably the most important omissions in the working definitions used in the analysis presented later in this paper are the following:
For income: information on the value of non-wage benefits through employers, a measure of service flow from homes and durables, and a smoother measure of capital gains;
For wealth: information on the values of defined-benefit pension plans, income streams from annuities or trusts, and human capital.
The main failings of congruity between the wealth and income measures are in the lack of measures of human capital, and service flow from homes and durables. Finally, because defined-benefit pensions became less important over the time covered by this paper while account-type plans, which are included in the wealth measure, became more important, there is a time-series inconsistency in the coverage of the wealth measure.
One final complication is worth noting: all wealth and income values considered are pre-tax. Accounting for income taxes would usually reduce, approximately progressively, the total amount of income, except in cases where a taxpayer is entitled to a refundable tax credit. Some debt payments are deductable against income; the consequence could be viewed either as additional income for a given family or co-ownership of the debt. Assets that have a tax-deferred feature, such as special retirement and health saving accounts, and assets whose values embody unrealized capital gains could also be thought of as being co-owned with government. It would be reasonably straightforward to adjust the reported income using a program such as TAXSIM, though it is unlikely that there would be sufficient data to allow for estimates of the complex adjustments that sophisticated taxpayers sometimes make.15 The case for wealth is much more complex, because any adjustment would turn on the future tax structure as well as a set of systematic assumptions to discount the effects to a present value.
This section considers net worth and income first as separate distributions and then various measures of their joint relationship. It is tempting to summarize information on distributional dispersion and changes in dispersion compactly, and this section will present a number of possibilities for doing so. But it is important to note that interpretation of any given measure of dispersion within a distribution as an indicator of inequality requires an assumption (explicit or implicit) about the importance weight of each part of the distribution. Summary measures of difference across distributions amplify the problem: not only must a given measure be judged appropriate in two situations, but the weighting of change must be similarly appropriate. Nonetheless, a number of measures examined together may provide helpful insights into the distribution of such important variables as wealth and income.16
2a. Net Worth
Mean net worth is estimated to have been $556,000 in 2007 and the median $120,300 (table 2, top panel). These values are significantly higher than the corresponding values in each of the surveys dating back to 1989; these differences reflect a series of significant upward shifts starting in the 1998 survey and continuing in each survey through 2007, except for a pause observed in the 2004 survey.17 From 1989 to 2007, the 10th percentile did not change significantly. The 25th percentile in 2007 was significantly higher than only the corresponding values in 1989 and 1992; 1995 marks the last and only notable increase over the full period at this percentile. The 75th and 90th percentiles moved up significantly in 1998 and 2001, but were not significantly different either earlier or later. Thus, the data show a picture of varying growth across the distribution, suggesting that some measures of inequality might show significant change.
One common set of simple indicators of inequality is based on the ratio of two simple distributional statistics. Three such possibilities are considered here: the ratios of the 75th percentile to the 25th, the 90th to the 25th, and the mean to the median. The first two are, obviously, comparisons of specific points in the distribution. For wealth, the "75/25" ratio was 26.4 in 2007 and the "25/90" ratio was 64.4. Both of the ratios turned down in 1992, probably reflecting the aftermath of the 1990-91 recession. They declined significantly in 1995, when only the 25th percentile increased significantly and both the 75th and 90th percentile values were below their 1989 levels. In other words, by these measures there was a more "equal" distribution in 1992 and 1995 because wealth stagnated for the upper part of the distribution and grew at the 25th percentile. Neither measure in 2007 was significantly different from its 1989 value.
In contrast, the "mean/median" ratio does show significant change over the 1989-2007 period. Obviously, the ratio of the mean to the median is simply the amount that would be available (in principle) if all wealth were split evenly, divided by the wealth value for the unit at the middle of the distribution. In a highly skewed distribution like that of wealth, the mean will tend to be reflective of the tail of the distribution well above the 90th percentile. This measure of "inequality" was approximately constant from 1989 until the 2001 survey. Both the mean and the median moved up in 2001, but the mean rose faster, driving the ratio higher to a level not significantly different from the 4.6 value in 2007.
The Gini coefficient is another summary measure, generally used as a broader measure of inequality. It is defined in terms of the difference between the Lorenz curve for a variable and the hypothetical Lorenz curve that would apply under equality of distribution; a Gini coefficient of zero represents equality of distribution and a value of one represents the opposite pole.18 The estimated Gini coefficient for wealth in 2007 is 0.8121, a level significantly above the estimates for the 1989-98 surveys (table 3); since 2001, the estimated value has not changed significantly. The measure appears to change relatively slowly, as evidenced by the fact that none of the year-to-year changes are statistically significant.
Concentration ratios--the proportions of the total held by a various groups--are another common device for describing inequality of distributions. The top half of table 4 shows the amount of net worth and the percent of total net worth held by each of five subdivisions of the distribution of net worth, for the surveys from 1989 to 2007. Although there is a significant pattern of at least some gains in the amounts held by all the groups over the 18-year period, changes in the shares of the total are much less clear. In 2007, the wealthiest 1 percent of families owned 33.8 percent of total family wealth, the next wealthiest 9 percent owned 37.7 percent, and the rest owned 28.5 percent. The only statistically significant difference in ownership shares over the full period is that for the 50-90 group, whose share fell from 29.9 percent of total family net worth in 1989 to 26.0 percent in 2007. Logically, this decline must have been counterbalanced by net increases for the remaining groups; although none of the other changes are precisely enough estimated to claim significance, the estimated rise for each of the top two groups and declines for the rest is at least suggestive of a shift toward the top 5 percent of the wealth distribution.
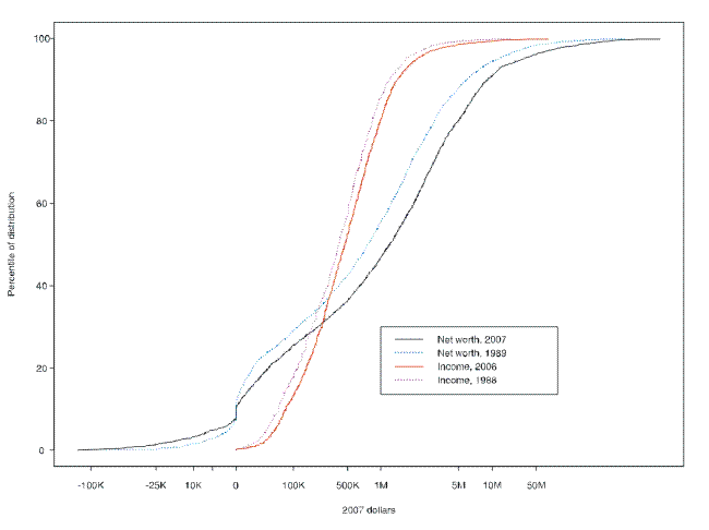
There are other possible summary measures, but a point that the varying signals so far should make clear is that, absent a particular structural or theoretical motivation, such measures are of limited use in describing changes in the distribution of a variable over time, or even in meaningfully gauging the distribution at a single time. Another possibility is to look directly at distributions. This approach does not offer a neat summary of a given cross-section result, but it can make the nature of changes far more transparent than is the case with summary measures. Moreover, the context provided by broad comparisons of a given distribution with many others may provide a sufficient basis to understand the nature of the distribution. One possible such tool is a relative quantile-difference plot (Kennickell [1999]), a graph of the difference between the values of a variable at each percentile of its distribution and the corresponding values of another distribution, as a percent of the values for one of the distributions. This method is straightforward to implement and it makes clear where areas of a distribution may complicate the interpretation of summary statistics.
Figure 1 shows a set of relative quantile-difference plots for net worth in 2007 relative to net worth in 1989, in 1992 and in 2004--along with 95-percent confidence intervals for selected points of each plot. For each plot, the region below about the 15th percentile is so noisy that it is quite difficult to interpret; the great majority of this group has zero or very small absolute holdings, and the remainder has relatively large absolute negative holdings.19 For the former group, quite small changes in dollar terms are either highly amplified or not computable because the denominator is close to or equal to zero. The group with large absolute negative wealth consists predominantly of families with large amounts of assets but even larger amounts of debt, and young families with large amounts of education loans; estimates of short run changes for this group may be meaningful, but tend to have relatively large sampling variability.
From 1989 to 2007 (the red line), the distribution of wealth rose on the order of 50 percent all across the broad center--from about the 20th percentile to the 75th percentile. This near uniformity stands in contrast to the two tails of the distribution. At the upper end, there is a "bump" around the 80th percentile followed by a spike leading up from about the 90th percentile. The bump does not appear to be an artifact of an anomaly in the 2007 or 1989 wealth distributions; a similar pattern is also seen in comparisons of the 2004 and 1989 data (see Kennickell [2006]) and in the 1992-2007 plot also shown in figure 1. At the very bottom of the distribution, wealth became significantly more negative over this period.20 The plot for the 1992-2007 period shows increasingly larger gains above about the 20th percentile than is the case for the change from a 1989 base; as shown by the gold line in figure 2, this result is a result of a decline for this group between 1989 and 1992. For the more recent period, the 2004-07 plot shows significant gains only in a narrower middle range and among the approximately the top 5 percent of the distribution.
The pair-wise comparisons of distributions across the surveys, shown in figure 2, reveal considerable variability in the shifts across years as well as across the wealth distribution, beyond what might be expected from sampling error. Indeed, a plot of the coefficient of variation (standard deviation divided by the mean) of the growth rate of the quantile values across the survey years (black line, figure 3) shows a minimum in the vicinity of the 45th to the 55th percentile of the wealth distribution with sharply rising values on either side of that interval; variability by this measure turns down again around the 90th percentile.21
2b. Income
In the 2007 SCF, mean income for the calendar year preceding the survey was $66,000 and the median was $41,500 (table 2, bottom panel). These values and those of all the other quantiles shown in the table for 2006 were significantly higher than their corresponding values in any of the surveys from 1989 to 1998. Like the values for the wealth distribution, the mean and the quantiles of the income distribution turned down in 1991 survey and then moved up in 1994 or 1997 through 2000. By 2006, only the mean had risen significantly since 2000. Neither the "75/25" nor the "90/25" ratio is significantly different from its 2006 value in any of the earlier surveys. Reflecting the more consistent growth of mean income, the data show a significantly higher level of the "mean/median" ratio in 2006 than in all the earlier surveys except 2000, when there were broad increases in the distribution. Thus, the data suggest that income became more "unequally" distributed over the 1988-2006 period, because growth above the 90th percentile was faster than growth elsewhere in the distribution. Note that all of the ratios for income are far smaller than their counterparts for net worth.
The Gini coefficient for income was 0.575 in the 2007 survey, about 30 percent smaller than the corresponding value for wealth (table 3). In further contrast to net worth, the measure for each survey before 2007 is significantly different from the 2007 value, and each value is significantly different from the value for the preceding survey. The estimates show a decline in inequality in 1992 relative to 1989 and increases since then that were only interrupted in 2004. These results give a stronger image of increased inequality than the ratio estimates for income shown in table 2.
Concentration ratios for income exhibit less of a tilt toward the upper tail of the distribution than is the case for wealth. As shown in the bottom half of table 4, the top 1 percent of the income distribution received 21.4 percent of total income in 2007, the next lowest 9 percent received 35.8 percent, and the remainder received 52.8 percent. As in the case of wealth, the income data show a decline in the income share of the 50-90 percentile group from 1989 to 2007 and a similarly diffuse picture of how the shift was absorbed in the remainder of the distribution; however, also as in the case of wealth, the estimated values do at least suggest that the offset was among the top 5 percent of the distribution.
The relative quantile-difference plot for income over the 1989-2007 surveys shows a similar shape to that for net worth (figure 4) .22 But there are a few notable differences. Although there is a relatively flat region of growth between about the 20th and 90th percentiles, the rate of growth is much smaller--under 20 percent. The spike at the top of the distribution is a little sharper than in the case of income. Year by year (figure 5) , the data show that the turn-down observed in the 1992 survey was shared broadly equally in percentage terms, between about the 40th and 90th percentiles of the income distribution; lower in the distribution, changes were mixed; higher in the distribution, the losses tended to be progressively larger. Both the 1998 and 2001 surveys showed broad gains, with very large gains at the top. Over the most recent period, 2004-07, the data show virtually no change for the great majority of the distribution, but particularly large proportional gains at the bottom and the top.
The variability of the growth rate of income is much greater across the distribution than is the case for net worth (figure 6) --the coefficient of variation is almost entirely between 1 and 4, as opposed to between about 0.85 and 1 for net worth. Particularly for people with more than minimal wealth, it seems not unreasonable that the value of the stock of wealth would be less variable than their income. The plot of variability is also much spikier than is the case of net worth, perhaps as an artifact of the heaping of income values at round numbers in nominal form.
For a particular family in a given period, income may differ from a routinely expected level for a variety of reasons--changes in work or compensation, capital gains or losses, better or worse sales, etc. According to the 2007 SCF, 23.7 percent of families had income for the preceding year that was either unusually high (9.2 percent of families) or unusually low (14.5 percent of families).23 As expected, when families are arrayed by the distribution of their reported incomes, those with income above the median are relatively more likely to report unusually high income than low income, and vice versa for those with income below the median (figure 7) . These X-shaped lines for unusually low or high incomes flatten considerably when families are sorted by the distribution of their usual incomes. From about the 20th to the 90th percentile of the distribution of usual income, families are nearly equally likely to have income that deviates in either direction. Below the 20th percentile, the likelihood of any deviation diminishes, but positive deviations are somewhat more likely than negative ones. Above the 90th percentile, the likelihood of negative deviations falls while that of positive ones rises. All of the surveys for which there is information on such income variability show a very similar pattern (see appendix figures A2 and A3).
2c. Net Worth and Income
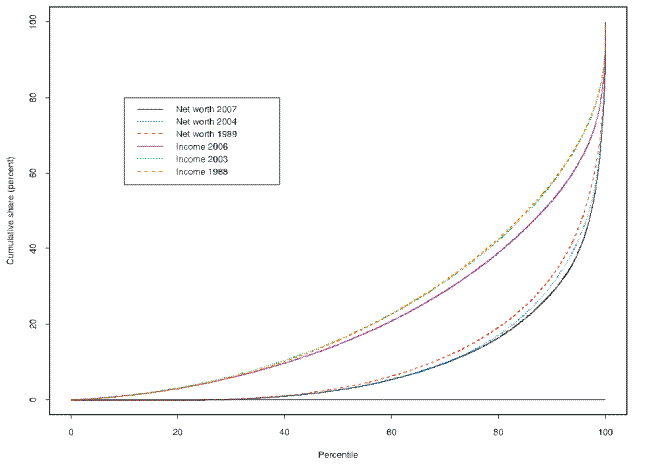
As is clear from the discussion above, net worth and income are very differently scaled. But the distributions are quite differently shaped as well. Whereas the net worth distribution has a substantial mass closely clustered around zero net worth, the income distribution is more smoothly increasing, as shown in figure 8.24 This general pattern has been relatively stable since at least the 1989 survey, though the degree of clustering at zero net worth has diminished. To gain a sense of the difference in shape of the two distribution, figure 9 shows a relative quantile-difference plot of net worth and income ((net worth - income)/income). Across the surveys from 1989 to 2007, the distributions reach the same value between the 40th and 60th percentiles of the distributions. Although there appears to be no clear trend across the period, a general pattern holds: There is an approximately linear upwardly sloped range around the center of the distributions and negative and positive spikes at the bottom and top, respectively. The upward-slowing linear range reflects the higher degree of variation in the distribution of net worth than in the distribution of income. The spikes reflect the much greater dispersion in the tails of the wealth distribution.
To this point, the analysis has treated net worth and income as independent distributions. Because the SCF measures the net worth and income of each observation, it is possible to look at joint measures. To provide insight into the nature of these two highly skewed distributions, the paper takes two approaches. First it looks at the wealth-income ratio distributed over both wealth and income. Then it considers an ordinalized version of the joint distribution of wealth and income. The former gives a picture of the relative variations in scale and the latter gives a picture of the relative coherence of the two distributions.
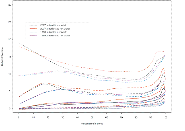
Figure 10 shows selected percentiles of the distribution of the ratio of net worth to income, conditional on the percentile of the net worth distribution. In the figure, the lower (upper) dotted line represents the conditional 10th (90
percentile of the ratio, the lower (upper) dashed line represents the conditional 25th (75
percentile and the solid line represents the conditional median. With wealth generally rising more quickly than
income across the wealth distribution, all of the conditional quantiles are upward sloping--and increasingly so at the top of the wealth distribution. Moreover, from the early surveys--1989 and 1992--to the more recent ones--2004 and 2007--the ratio appears to have increased across most of the
distribution. Because the distribution of the ratio is conditioned on wealth, it might be expected that the contours of upper quantiles of the conditional distribution would slope upward; it is more surprising that the pattern is clear across almost the entire conditional distribution.
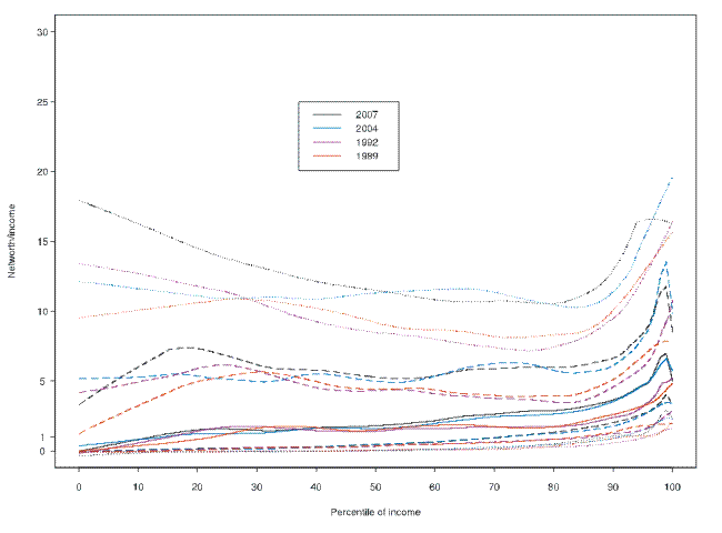
Viewed across the distribution of income (figure 11) , the conditional distribution of the ratio is much flatter, but the distribution does twist upward in approximately the top quintile. The upward shift across the years is clear only above about the 40th percentile of the income distribution. Given the ordering by income, one might expect some tendency for the conditional distribution to slope downward at higher levels of income.
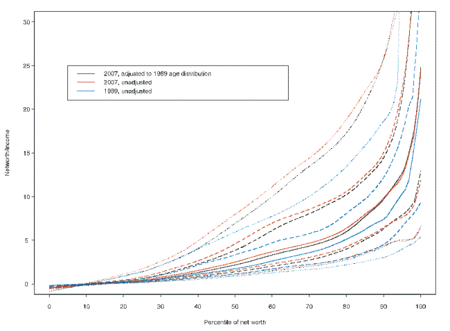
In a steady state, life-cycle theory suggests that the aggregate ratio of wealth to permanent income should be a function of the rate of population growth: A population with faster population growth (and thus, relatively many younger people) would have a lower ratio than a slower-growing one (with relatively many older people). In this framework, wealth and age should be correlated. In the actual data, there are many potential sources of systematic and random deviations from this simple model. One factor cited often is the movement of the baby-boom generation through the age structure of the population. Although it is not possible with the available data to unwind the entire general-equilibrium effects of the changing age distribution, it is possible to reweight the 2007 SCF to have the same age distribution as the 1989 survey. Doing so and replotting the conditional distribution of the ratio by net worth (figure 12) and income (figure 13) yields only minimal changes, mainly a relatively small reduction in the changes seen between 1989 and 2007.
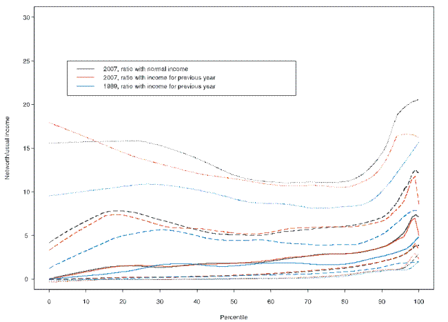
Another source of potential confounding in the estimates of the conditional distributions of the ratio is the income measure used. Theory calls for a long-run measure of income, but the estimates of the ratio presented so far use only income for the year preceding the surveys. Although the data show that there is variation around the level of usual income reported in the SCF, it is unclear a priori what should be the net effect of using usual income in the estimates of the conditional distributions of the ratio by net worth or income. As shown in figure 14, the actual effect is to make the upper part of the conditional quantiles of the ratio even steeper at the top end of the distribution and to have a more limited counter-effect elsewhere. For income, the change in the story from using usual income as the denominator and as the distributing variable is similarly modest (figure 15) . Whatever effect the use of actual, rather than longer-term, income may have, there is no reason to think it would have a strongly differential effect across years of the SCF.
Some part of the general rise in the conditional ratio over the 1989-2007 period may be explained by the defects in the definitions of net worth and income. Of particular note over this time is the rise of account-type pension plans--which are included in the measure of wealth used here--and the decline of defined-benefit plans--which are not included in the wealth measure. Unfortunately, it is very difficult to address the importance of these shifts. As noted earlier, valuation of defined-benefit plans at the individual level is fraught with difficulties. Assuming that account-type pension plans are an exact substitute for the previously more common defined-benefit plans, one could simply ignore all types of pensions--the defined-benefit type as well as the account-types that are included in the wealth measure used so far. The risk in this approach is that the account-type plans may represent both "replaced" defined-benefit wealth and wealth that would have been accumulated in some other non-tax-preferred form in earlier years; thus, it seems likely to understate wealth by a greater proportion in later years. Figures 16 and 17 show the effect of the extreme adjustment of excluding all tax-deferred retirement accounts from the value of net worth used in the conditional distribution of the ratio across the distributions of net worth and income, respectively. As expected, the elimination of the retirement assets depresses the ratio across both the wealth and income distributions, with differentially larger effects in 2007 than in 1989. Though weakened, the general conclusions based on the unadjusted data still hold even in this case.
Over the 1989-2007 period, capital gains rose more markedly than mean income, which rose about 28 percent in real terms. As an indication of the size of the capital gains, house prices, according to the OFHEO House Price Index adjusted simply using the CPI-U-RS, rose 46 percent over this time, and publicly traded shares, according to the correspondingly adjusted Wilshire 5000 Index, rose 179 percent.25 Because the SCF is not a panel, it is not possible to use the survey data to examine the distribution of these changes over individuals. But given the magnitude of these shifts, it seems likely that a substantial part of the overall upward shift of the conditional distribution of the ratio was driven by capital gains.
Looking directly at the joint distribution of wealth and income is complicated by the very great range in wealth (income) values in each range of income (wealth). One way of dealing with the range of values while making an estimated distribution visually digestible is to use a copula, a type of distribution with uniform margins. To make such a plot here, net worth and income values for each case were transformed to the equivalent percentile points of their own distributions and divided into ordered groups of 5 percent. Cases were then cross-classified by their positions in the two sets of 5-percent groups and a surface was computed over the underlying percent of all families estimated to be in each 5-by-5 group. Note that by definition, the sum of all the underlying values is 100, the sum across the income (net worth) axis for any 5-percentile group of net worth (income) is exactly 5 percent, and the maximum value for any square is 5 percent. If net worth and income were independent, each underling square would have the average mass, one-quarter percent.
Figure 18 shows an empirical copula distribution for the 2007 SCF wealth and income data. For convenience of interpretation, figure 19 provides a projection of the contours of this surface into two dimensions.26 Three things are immediately striking about the distribution. (1) The highest peak is a sharp one for the top 5 percent of both distributions (about 60 percent of the maximum density); families with high wealth are much more likely to have high income as well than are even slightly less wealthy families. (2) The second-highest peak is a substantially lower one at the opposite pole of the joint distribution; families that are income-poor are relatively likely to be wealth-poor as well, but there are also many families that are only low in one of these dimensions. (3) Between the top and the bottom (most families), the relationship is quite dispersed.
The joint distribution for the 1989 survey appears very similar (figure 20) . What seems different is a relatively greater spikiness in the region between the two poles, most likely a reflection of the higher variability associated with the smaller sample size used to estimate the surface for 1989. A direct examination of changes in the two surfaces (figure 21) shows scattered areas of gains and the offsetting declines in density. The rise at the upper pole and the decline at the lower one are clear, but otherwise it is hard to find a clear pattern in the changes. Comparisons with the intervening years (not shown) are similarly inconclusive. Thus, at this level, it appears that the relative coherence of the two distributions is fairly stable.
It is often argued that life-cycle effects complicate the interpretation of wealth and income distribution: Young people should have low wealth relative to their incomes, retirement-age people should have high wealth relative to their incomes, and older people should have progressively lower levels of wealth relative to their incomes. One way to examine the implications of these differences is to standardize income and wealth as of a given age. Here a regression of wealth and income on a fourth-order polynomial in age is used to adjust the observed values of wealth and income to their hypothetical values as of age 45.27 Figure 22 shows a plot of the copula distribution of wealth and income that results from this adjustment, along with a two-dimensional projection (figure 23) of the level of the unadjusted data minus the adjusted data. There do appear to be some meaningful changes under this scenario: The crest along the diagonal between the poles of the distribution becomes overall somewhat sharper--that is, wealth and income become more correlated. There is also some shifting of the share of families relatively low in the income distribution to have higher levels of wealth. Nonetheless, the general shape of the distribution is unchanged. The result suggests that age differences, in the crude sense modeled here, may be less important in explaining the relationship between wealth and income than is typically suggested.
The wealth and income measures used in the distributional analysis reported here are each defined as aggregations over a variety of components, as defined earlier. The relative importance of these components varies substantially for families at different levels of overall wealth or income. 28
3a. Wealth
Choices of asset and debt portfolios may have both short- and long-term consequences for overall wealth. For example, financial theory argues that risky assets should pay higher returns on average in the long run to compensate for the higher risk, but they may fluctuate in value considerably between times. Any pattern of holdings, like patterns of wealth overall, reflects many factors, including choices, information, ability, resources, engagement, macroeconomic events, luck, etc. Although the composition of wealth varies greatly across its own distribution and that of income, the general patterns of ownership and portfolio shares appear to be fairly stable over time.
Over the years of SCF data, the low point for ownership of any asset or debt across the net worth distribution occurs at about the 10th percentile (9.7th percentile in 2007), where the wealth distribution touches zero and is negative at lower percentiles; patterns of ownership on either side of that point are approximately symmetrical, except in the case of debt, which is by logical necessity held by all families with negative wealth. Figure 24 shows the patterns of ownership in 1989 and 2007 for a set of categories. Ownership of residential real estate (a principal residence or other residential real estate) in 2007 (solid line) rose sharply to about the 40th percentile, where the ownership rate was over 80 percent, and continued to rise more slowly to well over 90 percent at the top of the wealth distribution; increases in ownership from 1989 (dotted line) are clear in the region below the median of the wealth distribution. Business ownership (including all types of private businesses) has a nearly opposite profile: in 2007 it rose slowly from the zero point and it rose much more steeply at the top of the wealth distribution; from 1989 to 2007, ownership generally declined by varying amounts. Ownership of tax-deferred assets (account-type retirement accounts from which the owner could either make withdrawals or against which the owner could take out a loan, plus individual retirement accounts [IRAs], Keogh accounts, annuities with an equity interest and cash-value life insurance) rose approximately linearly across the wealth distribution in 2007; from 1989, ownership rose substantially across nearly the whole wealth distribution. Ownership of other financial assets (a broad category including checking, savings and money market accounts, stock, bonds, managed investment account, trusts with an equity interest, and all other financial assets besides tax-deferred ones) was well over 90 percent of families in the part of the wealth distribution above the 20th percentile in 2007; from 1989, the most notable change was an increase in ownership for the group from the 10th to the 25th percentile of the wealth distribution. Other assets (a category consisting mainly of vehicles including automobiles, trucks, motorcycles, airplanes, boats, etc., along with miscellaneous assets such as antiques, artwork, precious metals, etc.) were owned by over 90 percent of families across most of the wealth distribution; the data show some growth in ownership below about the 25th percentile of the wealth distribution and small decreases above that point. Debt (including all borrowing except debt on business assets, which are treated here as net values) was held by about three-fourths or more of families above the 20th percentile of the wealth distribution; the likelihood that a family had debt rose across most of the distribution from 1989.
In terms of portfolio shares (figure 25) , residential real estate and debt were the largest components by far across almost all of the wealth distribution in 2007; at the top of the wealth distribution, both declined (the latter in absolute terms) as a share of assets.29 Relative to 1989, the (absolute) share of debt rose across nearly the entire wealth distribution; residential real estate also increased its share for most of the distribution, but the increase was both largest and clearest for families below the median level of wealth. The other assets category reached its peak in 2007 in the bottom quarter of the wealth distribution and generally declined above that point, reflecting largely the relatively greater importance of vehicles in the portfolios of less wealthy families; from 1989 to 2007, the portfolio share of this asset type generally declined or held about steady. In 2007, the share of tax-deferred assets trended upward across the wealth distribution to a peak at about the 95th percentile and then turned down; from 1989, the share of this asset rose for most of the distribution, but the change is largest by far for families above the median of wealth. The share of other financial assets in 2007 was low and fairly flat until about the upper quintile, where it turned up and then spiked at the top; across most of the wealth distribution, the share of this asset type was lower in 2007 than in 1989. The share of business assets trended upward across the wealth distribution in 2007 and showed the same pattern as other financial assets at the top of the distribution; across much of the wealth distribution, the share of business assets was somewhat lower in 2007 than in 1989. Business assets and other financial assets accounted for the great majority of the assets of the wealthiest families in both years. In general, the changes in shares from 1989 roughly paralleled the changes in ownership.
Viewed across the income distribution, ownership rates and changes in those rates from 1989 to 2007 exhibited patterns very similar to those resulting from the classification by wealth above the 10th percentile (figure 26) . But the general patterns of portfolio shares were much flatter across most of the distribution (figure 27) . At the top of the income distribution, businesses and other financial assets were dominant. While the overall directions of change from 1989 to 2007 were, of necessity, the same as when the shares are organized by wealth, the change tended to be more uniform across most of the income distribution. In light of the relative diffuseness of the relationship of wealth and income across the broad middle of their joint distribution, the flattening of the patterns of the portfolio shares might be expected.
3b. Income
Income, as constructed for this paper, consists of returns to assets as well as transfers and returns to labor. Obviously, the first of these is dependent on asset choices. The other two may be indirectly affected by asset choices. Like wealth composition, the composition of income differs substantially across the distributions of income and net worth, but the relative patterns appear relatively stable over time.
At the bottom of the income distribution, the dominant sources in 2007 were labor income (wages and salaries), pension income (payments from Social Security or a defined-benefit pension, or withdrawals from any type of tax-deferred retirement account) and other income (welfare payments, alimony, child support, workman's compensation or unemployment payments, and miscellaneous income (figure 28) ; business income (income from farming, self-employment, or private businesses) and other capital income (interest, dividends and capital gains) were received by very few families. The fraction of families receiving labor income rose across the distribution and dipped somewhat at the top of the distribution. Receipt of business and other capital income trended up moderately across the distribution until approximately the 95 percentile of the income distribution, at which point the fraction increased sharply. The share of families receiving pension income or other income tended to decline across the distribution. The clearest change in receipt from 1989 was the substantial decline across most of the income distribution in the percentage of families that received other capital income.
With the exception of business and other capital incomes, the shares of each type of income in 2007 roughly mirrored the corresponding patterns and magnitudes of receipt (figure 29) . Business income was a small share of income across all of the distribution except for approximately the top 5 percent, and even there it fell far short of the rate of receipt of such income. Other capital income stands out even more; its share in 2007 was under a few percent across the entire income distribution except the top few percent. As was the case for receipt, the clearest change from 1989 to 2007 was the decline in the share of other capital income.
When viewed by the distribution of net worth, receipt of income in 2007 had a kink in the region of zero net worth with approximately symmetrical patterns on either side (figure 30) , as was the case for the ownership of various portfolio items. With one exception, the pattern of receipt across the wealth distribution mirrored that across the income distribution. The exception was receipt of pension income, which trended upward across the wealth distribution; this fact reflects the relatively greater proportion of older families in the higher ranks of the wealth distribution. Again, the most notable change was a decline in the receipt of other capital income for most families. Income shares above the kink point and below the top decile of wealth were generally flatter than the corresponding shares across in the income distribution (figure 31) . The share of labor income sloped downward in this region of the wealth distribution, in contrast to the upward slope across the income distribution.
In order to have a sensible discussion of the distribution of wealth and income, the nature of those concepts must first be clear. Much discussion treats the working definitions of wealth and income as if they were self-evident. As discussed in this paper, it is very difficult to define such measures that have a reasonable hope of being measurable in a survey, that are mutually compatible, and that come sufficiently close to a comprehensive theoretical ideal. Thus, it is generally important to be clear about how a set of measures may be flawed. The definitions used in the investigations reported here are flawed in important ways. The working definition of wealth falls short most clearly in the exclusion of rights to future income flows (e.g., defined-benefit pension and trust income where there is not an equity interest in the trust), a range of durables beyond vehicles, and human capital. The working definition of income falls short in lacking measures of current-period capital gains, a variety of non-salary job benefits (e.g., an employer's contribution to a retirement plan), and service flows from owned residences and durables. Several factors make the two measures less than fully comparable with each other--for example, the inclusion of principal residences and vehicles as wealth but the exclusion of the implied service flows as income. However, the measures do have the virtues of transparency and relatively high reliability of measurement.
The construct of wealth used in the paper gives a mixed picture of changes in summary measures of its distribution over the 1989-2007 surveys. The strongest signal among these is a 3.9 percentage point decline in the share of total wealth held by the group between the 50th and 90th percentiles of the wealth distribution, with the top 5 percent of the distribution approximately absorbing the shift. Graphical inspection of changes over the period makes the shifts clearer and gives insight into why the summary measures are as inconclusive as they are. Across the 1989-2007 period, wealth grew strongly and roughly comparably for the broad center of the wealth distribution; at the same time, wealth rose much more rapidly for the top of the distribution. Between the most recent surveys, those conducted in 2004 and 2007, wealth only rose for a narrower center of the distribution and for the top of the distribution.
Summary measures of changes in the distribution of income show clearer indications of movements toward increased inequality. The mean/median ratio and the Gini coefficient show significant shifts from the 1989 survey to the 2007 survey, while the measures focused on the core of the distribution--the 25/75 and 25/90 ratios--show no significant movement. Graphical summaries show that as in the case of wealth, income rose broadly and relatively equally for almost all of the income distribution, except for the top. Between the most recent two surveys, the only substantial and significant change was a large proportional increase for the top of the income distribution.
Over the 18-year period of the surveys, wealth as a fraction of income moved up across both the distributions of wealth and of income. The paper considered a number of means of checking the robustness of this result. Adjustments for changes in the age distribution, use of a longer-run income measure, and a severe truncation of the wealth measure to eliminate an incomparability over the period had little effect on the overall conclusion. Capital gains, which were a large factor over this time, are mooted as a possible explanation of part of the shift, but the data are insufficient to allow a direct empirical test.
Although the separate distributions of wealth and income moved in a variety of ways (not least in terms of their relative scales) over the 1989-2007 period, an ordinalized version of their joint distribution shows that their coherence over this time was remarkably stable. There is a substantial peak in the joint distribution for the group that is in the top wealth and income groups and a lesser peak at the opposite pole where both wealth and income are lowest. In between, the relationship between the two is relatively diffuse. Adjustments to account for changes in the age distribution over this time yield more concentration of mass along the diagonal between the poles (increased coherence), but the effect appears fairly small. Thus, while there is clear evidence elsewhere of age-related variation in wealth and income taken separately, the evidence here supports a claim that age variation is a relatively small factor in explaining the shape of the joint distribution of wealth and income.
While the distributions of wealth and income overall varied in complex ways over the 1989-2007 period considered in this paper, the underlying patterns of composition across groups in those distributions were relatively stable over that time. For wealth, vehicles tend to be the most common asset of the poor, owned residences tend to be more important for families in the broad middle range of wealth, and businesses and financial assets generally constitute the largest part of the assets of the wealthiest families. Holding of debt is widely spread across the wealth distribution, but the degree of leverage tends to decline with wealth. Over the 18-year period, debt increased as a share of assets across the wealth distribution; the share of principal residences rose mainly below the median of net worth; the share of tax-deferred retirement accounts rose; and the share of other financial assets declined. For income, pensions and other retirement income and transfer payments tend to be the largest part of the income of the lowest part of the income distribution, wages and salaries are the largest component of income in the broad middle range of income, and business and other capital income have large shares along with wages at the top of the distribution. Over the 18-year period, the clearest change was a general decline in the relative importance of capital income other than that from businesses.
Subsequent to the end of the collection of data for the 2007 SCF, observed prices of real estate and publicly traded stocks declined sharply; it seems very likely that there were also declines in other assets for which market prices are sparse or ambiguous. It is not the place of this paper to attempt a simulation of the possible effects of such changes, though it would be a straightforward matter to extrapolate observed wealth in 2007 to a subsequent date under a ceteris paribus assumption, using various market indexes.30 But it also seems likely that there were both changes in situations of families and their behavior that might further change the levels of wealth and income, as well as their composition. A proposed re-interview with the participants in the 2007 SCF may provide information on such additional changes.
Bucks, Brian K., Kennickell, Arthur B., Mach, Traci L. and Moore, Kevin B. [2009] "Changes in U.S. Family Finances from 2004 to 2007: Evidence from the Survey of Consumer Finances," Federal Reserve Bulletin (forthcoming).
Canberra Group [2000] "Final Report and Recommendations of the Expert Group on
Household Income Statistics," http://www.lisproject.org/links/canberra/finalreport.pdf.
Gale, W.G., Pence, K.M. [2006] "Are successive generations getting wealthier, and if so, why? Evidence from the 1990s," Brookings Papers on Economic Activity 2006 (1), pp. 155-234.
Gordon, Robert J. and Dew-Becker, Ian [2008] "Controversies about the Rise of American Inequality: A Survey," NBER Working Papers 13982, National Bureau of Economic Research.
Hurst, Erik and Ziliak, James P. [2006] "Do Welfare Asset Limits Affect Household Saving? Evidence from Welfare Reform," Journal of Human Resources 41(1): 46-71.
Kennickell, Arthur B. [1998] "Multiple Imputation in the Survey of Consumer Finances," http://www.federalreserve.gov/pubs/oss/oss2/papers/impute98.pdf.
Kennickell, Arthur B. [1999] "Using Income Data to Predict Wealth," working paper, http://www.federalreserve.gov/pubs/oss/oss2/papers/wealth.income.7.web.pdf.
Kennickell, Arthur B. [2003] "A Rolling Tide: Changes in the Distribution of Wealth in the U.S., 1989-2001," working paper, http://www.federalreserve.gov/pubs/oss/oss2/papers/concentration.2001.10.pdf.
Kennickell, Arthur B. [2006] "Currents and Countercurrents: Changes in the Distribution of Wealth, 1989-2004," working paper, http://www.federalreserve.gov/pubs/oss/oss2/papers/concentration.2004.5.pdf.
Kennickell, Arthur B. [2007a] "The Role of Over-sampling of the Wealthy in the Survey of Consumer Finances," http://www.federalreserve.gov/pubs/oss/oss2/papers/isi.2007.pdf
Kennickell, Arthur B. [2007b] "Considerations in the Estimation of Retirement Wealth: Comments on `The Retirement Wealth of the Baby Boom Generation'," Journal of Monetary Economics, Vol 54, No. 1 (January), pp. 41-48.
Kennickell, Arthur B. [2009] "Codebook for the 2007 Survey of Consumer Finances," http://www.federalreserve.gov/pubs/oss/oss2/2007/codebk2007.txt.
Kennickell, Arthur B. and Sundén, Annika E. [1997] "Pensions, Social Security, and the Distribution of Wealth," Finance and Economics Discussion Series 1997-55 (Washington: Board of Governors of the Federal Reserve System, October), www.federalreserve.gov/pubs/feds/1997/index.html.
Kennickell, Arthur B. and Woodburn, R. Louise [1997] "Consistent Weight Design for the 1989, 1992, and 1995 SCFs, and the Distribution of Wealth," http://www.federalreserve.gov/pubs/oss/oss2/papers/wgt95.pdf
Kopczuk, Wojciech and Emmanuel Saez [2004] "Top Wealth Shares in the United States, 1916-2000: Evidence from Estate Tax Returns," National Tax Journal, 57(2), Part 2, June, pp. 445-487.
Moore, Kevin B. "Programs and documentation for SCF input to TAXSIM," http://www.nber.org/
taxsim/to-taxsim/scf/.
O'Muircheartaugh, Colm, Stephanie Eckman, Charlene Weiss [2002] "Traditional and Enhanced Field Listing for Probability Sampling," Proceedings of the American Statistical Association Social Statistics Section, pp. 2563-7.
Piketty, Thomas and Emmanuel Saez [2003] "Income Inequality in the United States, 1913-1998," Quarterly Journal of Economics, 118(1), pp. 1-39.
Reynolds, Alan [2006] Income and Wealth, Greenwood Press, Westport, CT.
Tourangeau, Roger, Robert A. Johnson, Jiahe Qian, Hee-Choon Shin, and Martin R. Frankel [1993] "Selection of NORC's 1990 National Sample," working paper, National Opinion Research Center at the University of Chicago, Chicago, IL.
Wolff, Edward [1995] Top Heavy a Study of Increasing Inequality of Wealth in America, Twentieth Century Fund Press, New York.
Wolff, Edward [2004] "Changes in Household Wealth in the 1980s and 1990s in the U.S.," Levy Institute Working Paper 407 (May).
Wolff, Edward [2007] "The Retirement Wealth of the Baby Boom Generation," Journal of Monetary Economics, Vol 54, No. 1 (January), pp. 1-40.
| Measured | |
|---|---|
| Income: Wages and salaries | M |
| Income: Self-employment/farm | M |
| Income: Tax-exempt interest | M |
| Income: Taxable interest | M |
| Income: Dividends | M |
| Income: Real estate/business/trust | M |
| Income: Realized capital gains | M |
| Income: Unemployment insurance | M |
| Income: Welfare | M |
| Income: Pension and annuities | M |
| Income: Alimony and child support | M |
| Income: Misc. income | M |
| Income: Unrealized capital gains | P |
| Income: Noncash employee benefits | P |
| Income: Service flow | P |
| Income: Inheritances and gifts | P |
| Income: In-kind income | U |
| Income: Unpaid work for self | U |
| Income: "Psychic income" | U |
| Debt: Credit card debt | M |
| Debt: Lines of credit | M |
| Debt: Mortgages | M |
| Debt: Installment loans | M |
| Debt: Past-due bills | M |
| Debt: Loans against pensions | M |
| Debt: Loans against insurance | M |
| Debt: Misc. personal loans | M |
| Debt: Bills not yet due | U |
| Debt: Contractual obligations | P |
| Debt: Future obligations | P |
| Debt: "Psychic debt" | U |
| Assets: Transaction accounts | M |
| Assets: Savings/money market accounts | M |
| Assets: Stocks | M |
| Assets: Bonds | M |
| Assets: Mutual and hedge funds | M |
| Assets: Tax-deferred retirement accts. | M |
| Assets: Other exchange-traded assets | M |
| Assets: Annuities and life insurance | M |
| Assets: Trusts | M |
| Assets: Misc financial assets | M |
| Assets: Homes | M |
| Assets: Other real estate | M |
| Assets: Businesses | M |
| Assets: Vehicles | M |
| Assets: Intellectual property | M |
| Assets: Misc. valuables | M |
| Assets: Defined-benefit pension rights | P |
| Assets: Other contingent assets | P |
| Assets: Expected future transfers | M |
| Assets: Human Capital | P |
| Assets: "Psychic assets" | U |
| Year | Net worth: Mean 2007 dollars | Net worth: P10 2007 dollars | Net worth: P25 2007 dollars | Net worth: Median 2007 dollars | Net worth: P75 2007 dollars | Net worth: P90 2007 dollars | Net worth: P75/25 Percent | Net worth: P90/25 Percent | Net worth: Mean/ Median Percent |
|---|---|---|---|---|---|---|---|---|---|
| 1989 | 305.2* | 0 | 9.1* | 75.5* | 237.5* | 592.4* | 26.1 | 65.1 | 4 |
| 1989 (Standard Error) | 24.3 | 0 | 1.1 | 3.6 | 12.2 | 86.9 | 3.6 | 12.9 | 0.3 |
| 1992 | 270.3* | 0 | 10.5* | 71.7* | 213.8* | 516.3* | 20.4* | 49.2* | 3.8* |
| 1992 (Standard Error) | 8 | 0 | 0.7 | 3.7 | 7.4 | 20.6 | 1.3 | 3.6 | 0.2 |
| 1995 | 286.3* | 0.1 | 13.5+ | 77.7* | 217.2* | 515* | 16.1*+ | 38.1*+ | 3.7* |
| 1995 (Standard Error) | 7.1 | 0.1 | 1 | 2.6 | 4.7 | 18.9 | 1.3 | 3.2 | 0.1 |
| 1998 | 360.7*+ | 0 | 12.7 | 91.3*+ | 266.4*+ | 629.2*+ | 21*+ | 49.5*+ | 4* |
| 1998 (Standard Error) | 11.7 | 0 | 0.8 | 3.5 | 14 | 25 | 1.6 | 3.5 | 0.2 |
| 2001 | 467.1*+ | 0.1 | 14.9 | 101.2*+ | 336.7*+ | 871.9+ | 22.6* | 58.5 | 4.6+ |
| 2001 (Standard Error) | 7.9 | 0.1 | 0.9 | 3.6 | 11 | 38 | 1.2 | 4.3 | 0.2 |
| 2004 | 492* | 0.2 | 14.6 | 102.2* | 360.7 | 913.3 | 24.7 | 62.6 | 4.8 |
| 2004 (Standard Error) | 10.6 | 0.1 | 0.8 | 4.7 | 18.7 | 27.3 | 1.5 | 3.6 | 0.2 |
| 2007 | 556+ | 0 | 14.1 | 120.3+ | 372 | 908.2 | 26.4 | 64.4 | 4.6 |
| 2007 (Standard Error) | 9.2 | 0.1 | 0.7 | 5.6 | 11.3 | 24.8 | 1.6 | 3.7 | 0.2 |
| Year | Income: Mean 2007 dollars | Income: P10 2007 dollars | Income: P25 2007 dollars | Income: Median 2007 dollars | Income: P75 2007 dollars | Income: P90 2007 dollars | Income: P75/25 Percent | Income: P90/25 Percent | Income: Mean/ Median Percent |
|---|---|---|---|---|---|---|---|---|---|
| 1988 | 66* | 10.1* | 20.2* | 41.5* | 73.9* | 119.8* | 3.7 | 5.9 | 1.6* |
| 1988 (Standard Error) | 2.6 | 0.3 | 0.4 | 0.9 | 2.4 | 5.2 | 0.1 | 0.3 | 0.1 |
| 1991 | 57.9*+ | 9.8* | 19.4* | 38.8*+ | 69.7* | 113.2* | 3.6 | 5.8 | 1.5* |
| 1991 (Standard Error) | 0.8 | 0.4 | 0.5 | 0.8 | 1.2 | 2.3 | 0.1 | 0.2 | 0 |
| 1994 | 60.3*+ | 9.3* | 20.8*+ | 41.5*+ | 69.2* | 111* | 3.3 | 5.3+ | 1.5* |
| 1994 (Standard Error) | 0.9 | 0.3 | 0.4 | 1 | 0.8 | 1.8 | 0.1 | 0.1 | 0 |
| 1997 | 67.7*+ | 10.5*+ | 21.5* | 42.6* | 77.5*+ | 119.6*+ | 3.6+ | 5.6 | 1.6*+ |
| 1997 (Standard Error) | 1.3 | 0.3 | 0.9 | 1 | 1.3 | 3 | 0.1 | 0.2 | 0 |
| 2000 | 81.3+ | 12+ | 24+ | 46.9+ | 84.6+ | 139+ | 3.5 | 5.8 | 1.7+ |
| 2000 (Standard Error) | 2.3 | 0.2 | 0.4 | 0.9 | 1.4 | 2.1 | 0.1 | 0.1 | 0.1 |
| 2003 | 77.7* | 12.2 | 24.4 | 47.9 | 84.6 | 142.1 | 3.5 | 5.8 | 1.6*+ |
| 2003 (Standard Error) | 1.3 | 0.5 | 0.8 | 0.9 | 1.9 | 3.3 | 0.1 | 0.2 | 0 |
| 2006 | 84.2+ | 12.3 | 24.5 | 47.3 | 86 | 140.9 | 3.5 | 5.8 | 1.8+ |
| 2006 (Standard Error) | 1.3 | 0.3 | 0.5 | 0.8 | 1.7 | 4.1 | 0.1 | 0.2 | 0 |
| Survey year | Net worth | Income |
|---|---|---|
| 1989 | 0.7863* | 0.5399* |
| 1989 (Standard Error) | 0.0072 | 0.0086 |
| 1992 | 0.7808* | 0.5005*+ |
| 1992 (Standard Error) | 0.0062 | 0.0049 |
| 1995 | 0.7841* | 0.5146*+ |
| 1995 (Standard Error) | 0.0043 | 0.0042 |
| 1998 | 0.7935* | 0.5302*+ |
| 1998 (Standard Error) | 0.0051 | 0.004 |
| 2001 | 0.803 | 0.5643*+ |
| 2001 (Standard Error) | 0.0041 | 0.0037 |
| 2004 | 0.8047 | 0.5406*+ |
| 2004 (Standard Error) | 0.0049 | 0.004 |
| 2007 | 0.812 | 0.5745+ |
| 2007 (Standard Error) | 0.0034 | 0.0035 |
| Year | All Total | All Share | <50 Total | <50 Share | 50-90 Total | 50-90 Share | 90-95 Total | 90-95 Share | 95-99 Total | 95-99 Share | 99-100 Total | 99-100 Share |
|---|---|---|---|---|---|---|---|---|---|---|---|---|
| 1989 | 28395.4* | 100 | 839.2* | 3 | 8473.5* | 29.9* | 3703.9* | 13 | 6840.3* | 24.1 | 8538.5* | 30.1 |
| 1989 (Standard Error) | 2263.1 | 0 | 34.3 | 0.3 | 452.1 | 1.8 | 675.7 | 1.6 | 1087.1 | 2.3 | 876.2 | 2.3 |
| 1992 | 25938.8* | 100 | 858.2* | 3.3* | 7686.1* | 29.6* | 3253.5* | 12.5 | 6316.9* | 24.4 | 7824.1* | 30.2 |
| 1992 (Standard Error) | 768.5 | 0 | 45 | 0.2 | 217.2 | 1.1 | 192.2 | 0.7 | 395.1 | 1.3 | 520.8 | 1.4 |
| 1995 | 28356.2*+ | 100 | 1016.3*+ | 3.6* | 8119.3* | 28.6* | 3367.1* | 11.9 | 6041.6* | 21.3*+ | 9811.8*+ | 34.6+ |
| 1995 (Standard Error) | 698.7 | 0 | 36.2 | 0.2 | 166.1 | 0.7 | 176.7 | 0.6 | 291 | 0.9 | 533.6 | 1.3 |
| 1998 | 37009.8*+ | 100 | 1111.3* | 3*+ | 10502*+ | 28.4* | 4213.9*+ | 11.4 | 8635.8*+ | 23.3* | 12546.9*+ | 33.9 |
| 1998 (Standard Error) | 1203.9 | 0 | 60.8 | 0.2 | 424.2 | 0.9 | 254.2 | 0.6 | 629.6 | 1.2 | 670.5 | 1.5 |
| 2001 | 49764.6*+ | 100 | 1381.5*+ | 2.8* | 13648.2*+ | 27.4 | 6038.3*+ | 12.1 | 12443.1*+ | 25 | 16253.4*+ | 32.7 |
| 2001 (Standard Error) | 836.9 | 0 | 47 | 0.1 | 329.7 | 0.7 | 348.6 | 0.7 | 536 | 1.1 | 896.5 | 1.4 |
| 2004 | 55189.2*+ | 100 | 1404.3* | 2.5+ | 15426.3+ | 27.9 | 6617.3 | 12 | 13318.3* | 24.1 | 18423* | 33.4 |
| 2004 (Standard Error) | 1188.6 | 0 | 55 | 0.1 | 625.1 | 0.9 | 358.3 | 0.7 | 732.7 | 1.2 | 806.3 | 1.2 |
| 2007 | 64597.9+ | 100 | 1611.9+ | 2.5 | 16795.1 | 26 | 7157.4 | 11.1 | 17169.3+ | 26.6 | 21864.3+ | 33.8 |
| 2007 (Standard Error) | 1069.5 | 0 | 56.8 | 0.1 | 452.8 | 0.6 | 347.1 | 0.5 | 650.9 | 1 | 1011.3 | 1.2 |
| Year | All Total | All Share | <50 Total | <50 Share | 50-90 Total | 50-90 Share | 90-95 Total | 90-95 Share | 95-99 Total | 95-99 Share | 99-100 Total | 99-100 Share |
|---|---|---|---|---|---|---|---|---|---|---|---|---|
| 1988 | 6138.6* | 100 | 960.1* | 15.6 | 2578.2* | 42* | 656.8* | 10.7 | 895.9* | 14.6 | 1047.6* | 17.1 |
| 1988 (Standard Error) | 240.9 | 0 | 25.4 | 0.7 | 74 | 1.4 | 57.6 | 0.9 | 88.8 | 1.3 | 172.1 | 2.3 |
| 1991 | 5558.5*+ | 100 | 953* | 17.1* | 2516.4* | 45.3* | 619.8* | 11.2 | 817.3* | 14.7 | 651.9*+ | 11.7*+ |
| 1991 (Standard Error) | 75.6 | 0 | 19.3 | 0.5 | 52.2 | 0.9 | 35.4 | 0.6 | 49.7 | 0.8 | 60.3 | 1 |
| 1994 | 5970.6*+ | 100 | 1001.2* | 16.8* | 2620.7* | 43.9* | 632.7* | 10.6 | 862.7* | 14.4 | 853.3*+ | 14.3* |
| 1994 (Standard Error) | 93.9 | 0 | 16.6 | 0.4 | 57 | 1 | 37 | 0.6 | 54.2 | 0.9 | 74.5 | 1.1 |
| 1997 | 6943.9*+ | 100 | 1124.5*+ | 16.2* | 2952.9*+ | 42.5* | 701.5* | 10.1 | 998.2* | 14.4 | 1166.8*+ | 16.8* |
| 1997 (Standard Error) | 141.2 | 0 | 19.7 | 0.4 | 69.7 | 1 | 41.3 | 0.6 | 59.5 | 0.8 | 113.9 | 1.4 |
| 2000 | 8657.3*+ | 100 | 1291.4*+ | 14.9+ | 3408.8*+ | 39.4+ | 867.7+ | 10 | 1322*+ | 15.3 | 1767.5+ | 20.4 |
| 2000 (Standard Error) | 239.6 | 0 | 22.1 | 0.5 | 66.1 | 1.2 | 53.2 | 0.6 | 69 | 0.8 | 228.4 | 2.1 |
| 2003 | 8714.8* | 100 | 1381+ | 15.8* | 3608.9+ | 41.4* | 940.1 | 10.8 | 1284.1* | 14.7 | 1500.7* | 17.2* |
| 2002 (Standard Error) | 144.8 | 0 | 22.9 | 0.4 | 74.2 | 0.8 | 58.8 | 0.6 | 77.5 | 0.8 | 103.5 | 1 |
| 2006 | 9784.9+ | 100 | 1423.7 | 14.6+ | 3742.3 | 38.2+ | 980.2 | 10 | 1541.4+ | 15.8 | 2097.3+ | 21.4+ |
| 2006 (Standard Error) | 155 | 0 | 27.3 | 0.4 | 66.4 | 0.8 | 62 | 0.6 | 76.1 | 0.8 | 147.6 | 1.2 |
| Year | All Total | All Share | <50 Total | <50 Share | 50-90 Total | 50-90 Share | 90-95 Total | 90-95 Share | 95-99 Total | 95-99 Share | 99-100 Total | 99-100 Share |
|---|---|---|---|---|---|---|---|---|---|---|---|---|
| 1989 | 28395.4* | 100 | 4048.8* | 14.3 | 9264.4* | 32.6* | 3167.2* | 11.1 | 5723.7* | 20.1 | 6191.3* | 21.9 |
| 1989 (Standard Error) | 2263.1 | 0 | 374 | 1.3 | 912.4 | 1.4 | 626.3 | 1.6 | 973.9 | 2.5 | 716.5 | 2.6 |
| 1992 | 25938.8*+ | 100 | 3917.7* | 15.1* | 8615.2* | 33.2* | 2969* | 11.4 | 5151.5* | 19.9 | 5285.3* | 20.4* |
| 1992 (Standard Error) | 768.5 | 0 | 181.6 | 0.7 | 301.5 | 1.3 | 285 | 1 | 465.2 | 1.5 | 428 | 1.4 |
| 1995 | 28356.2*+ | 100 | 4655.9*+ | 16.4* | 9149.7* | 32.3* | 2850.3* | 10 | 5287.8* | 18.6* | 6412.5*+ | 22.6 |
| 1995 (Standard Error) | 698.7 | 0 | 206.7 | 0.7 | 468.1 | 1.2 | 266.1 | 0.9 | 361 | 1.1 | 381.1 | 1.4 |
| 1998 | 37009.8*+ | 100 | 5162* | 13.9+ | 11579.3*+ | 31.3 | 3427.4* | 9.3 | 8421.1*+ | 22.7+ | 8419.9*+ | 22.8 |
| 1998 (Standard Error) | 1203.9 | 0 | 282.1 | 0.8 | 614.5 | 1.2 | 362 | 0.9 | 724.5 | 1.5 | 559.8 | 1.6 |
| 2001 | 49764.6*+ | 100 | 5993.7*+ | 12 | 15335.1*+ | 30.8 | 5490.2+ | 11 | 12278.5*+ | 24.7 | 10667.2*+ | 21.4* |
| 2001 (Standard Error) | 836.9 | 0 | 279.3 | 0.6 | 634.7 | 1.2 | 475.1 | 0.9 | 771.3 | 1.4 | 719.6 | 1.3 |
| 2004 | 55189.2*+ | 100 | 6881.4 | 12.5 | 17054.4 | 30.9 | 5331.8* | 9.7 | 11574.4* | 21 | 14347.2*+ | 26+ |
| 2004 (Standard Error) | 1188.6 | 0 | 463.2 | 0.7 | 682.1 | 1.1 | 479.6 | 0.9 | 766.2 | 1.3 | 810.2 | 1.3 |
| 2007 | 64597.9+ | 100 | 7949 | 12.3 | 18276.3 | 28.3 | 7015+ | 10.9 | 14408+ | 22.3 | 16949.8+ | 26.2 |
| 2007 (Standard Error) | 1069.5 | 0 | 381.3 | 0.6 | 798 | 1.1 | 647.9 | 1 | 764.4 | 1.1 | 862 | 1.2 |
| Year | All Total | All Share | <50 Total | <50 Share | 50-90 Total | 50-90 Share | 90-95 Total | 90-95 Share | 95-99 Total | 95-99 Share | 99-100 Total | 99-100 Share |
|---|---|---|---|---|---|---|---|---|---|---|---|---|
| 1988 | 6138.6* | 100 | 1491.6* | 24.3 | 2501.2* | 40.8* | 548.3* | 8.9 | 755.7* | 12.3* | 841.8* | 13.7 |
| 1988 (Standard Error) | 240.9 | 0 | 39.1 | 1.1 | 93.2 | 1.5 | 82.5 | 1.2 | 107.8 | 1.7 | 162.8 | 2.3 |
| 1991 | 5558.5*+ | 100 | 1561.3* | 28.1*+ | 2325.5* | 41.8* | 497.7* | 9 | 702.3* | 12.6* | 471.7*+ | 8.5*+ |
| 1991 (Standard Error) | 75.6 | 0 | 38.1 | 0.7 | 72 | 1.2 | 36.6 | 0.6 | 42.9 | 0.7 | 42.4 | 0.7 |
| 1994 | 5970.6*+ | 100 | 1667*+ | 27.9* | 2424.3* | 40.6* | 543.4* | 9.1 | 649* | 10.9* | 686.9*+ | 11.5*+ |
| 1994 (Standard Error) | 93.9 | 0 | 36.7 | 0.7 | 59.8 | 0.9 | 40.6 | 0.7 | 39.9 | 0.6 | 63.9 | 1 |
| 1997 | 6943.9*+ | 100 | 1768.7* | 25.5*+ | 2854.3* | 41.1* | 540.9* | 7.8 | 925.8*+ | 13.3*+ | 854.1* | 12.3* |
| 1997 (Standard Error) | 141.2 | 0 | 38.1 | 0.7 | 80.2 | 1 | 38.7 | 0.5 | 78 | 1 | 79.9 | 1 |
| 2000 | 8657.3*+ | 100 | 1980.1*+ | 22.9+ | 3300*+ | 38.1 | 794.5+ | 9.2 | 1325.1*+ | 15.3 | 1257.6 | 14.5 |
| 2000 (Standard Error) | 239.6 | 0 | 40.6 | 0.8 | 89.7 | 1.2 | 67.3 | 0.8 | 92.4 | 1 | 213.7 | 2.1 |
| 2003 | 8714.8* | 100 | 2073.2* | 23.8 | 3487.9 | 40* | 739.8 | 8.5 | 1227.9* | 14.1* | 1186* | 13.6* |
| 2002 (Standard Error) | 144.8 | 0 | 39.4 | 0.5 | 95 | 0.9 | 56.9 | 0.7 | 78.1 | 0.8 | 82.4 | 0.9 |
| 2006 | 9784.9+ | 100 | 2195+ | 22.4 | 3551.9 | 36.3+ | 809.7 | 8.3 | 1624.6+ | 16.6+ | 1603.8+ | 16.4+ |
| 2006 (Standard Error) | 155 | 0 | 41.5 | 0.6 | 81.4 | 0.8 | 47.2 | 0.5 | 95.3 | 0.9 | 112.9 | 1 |
Figure 1: Relative quantile-difference plots of net worth; (NW2007-NWt)/NWt, for t={1989, 1992, 2004}; by percentile of net worth distribution.
Figure 2: Relative quantile-difference plots of net worth; (NWt-NWt-1)/NWt-1, for t={1992, 1995, 1998, 2001, 2004, 2007}; and (NW2007-NW1989)/NW1989; by percentile of net worth distribution.
Figure 3: Coefficient of variation of the growth rate of net worth; by percentile of the Distribution of networth; 1989-2007.
Figure 4: Relative quantile-difference plot for income; (Y2006-Yt)/Yt, for t={1988, 1991, 2003}; by percentile of the income distribution.
Figure 5: Relative quantile-difference plots for income; (Yt-Yt-1)/Yt-1, for t={1991, 1994, 1997, 2000, 2003 and 2006}; and (Y2006-Y1988)/Y1988; by percentile of the income distribution.
Figure 6: Coefficient of variation of income; by percentile of the distribution of income; 1989-2007 SCF.
Figure 7: Percent reporting income was unusually low or unusually high; 2007; by percentile of original income and percentile of usual income.
Figure 8: Cumulative distributions of 1988 and 2006 income and 1989 and 2007 net worth.
Figure 9: Relative quantile-difference plot, (net worth-total family income)/total family income; 1989-2007 SCF.
Figure 10: Conditional distribution of net worth/income by percentile of net worth; 10th, 25th, 75th, and 90th percentiles of the conditional distribution; 1989, 1992, 2004 and 2007 SCF.
Figure 11: Conditional distribution of net worth/income by percentile of income; 10th, 25th, 50th, 75th, and 90th percentiles of the conditional distribution; 1989, 1992, 2004 and 2007 SCF.
Figure 12: Conditional distribution of net worth/income by percentile of net worth; 10th, 25th, 75th, and 90th percentiles of the conditional distribution; 1989 SCF, 2007 SCF and 2007 SCF adjusted to the 1989 age distribution.
Figure 13: Conditional distribution of net worth/income by percentile of income; 10th, 25th, 50th, 75th, and 90th percentiles of the conditional distribution; 1989 SCF, 2007 SCF and 2007 SCF adjusted to the 1989 age distribution.
Figure 14: Conditional distribution of net worth/usual income by percentile of net worth for 2007 SCF and conditional distribution of net worth/previous year's income for 2007 and 1989 SCF, by percentile of the distribution of net worth; 10th, 25th, 75th and 90th percentiles of the conditional distribution.
Figure 15: Conditional distribution of net worth/usual income by percentile of usual income, 2007 SCF; conditional distribution of net worth/previous year's income by percentile of previous year's income, 1989 and 2007 SCF; 10th, 25th, 75th and 90th percentiles of the conditional distribution.
Figure 16: Conditional distribution of net worth minus account-type pensions/previous year's income by percentile of adjusted net worth for 2007 and 1989 SCF and conditional distribution of unadjusted net worth/previous year's income for 2007 and 1989 SCF, by percentile of the distribution of net worth; 10th, 25th, 75th and 90th percentiles of the conditional distribution
Figure 17: Conditional distribution of net worth minus account-type pensions/previous year's income and unadjusted net worth/previous year's income, by percentile of previous year's income 2007 and 1989 SCF; 10th, 25th, 75th and 90th percentiles of the conditional distribution.
Figure 19: Projection of copula distribution of net worth and income into two dimensions, 2007 SCF.
Figure 21: Level of copula plot for net worth and income in 2007 minus level in 1989.
Figure 22: Copula distribution of net worth and income, 2007 SCF; income and net worth separately adjusting using 4th-order polynomial in age.
Figure 23: Level of unadjusted copula distribution of net worth and income minus age-adjusted version, 2007.
| Year | Total wealth ($B) | Max. wealth ($B) | Min. wealth ($M) | Avg. top 10 ($B) | 100th value ($M) | Max./min. (pct) | Avg. top 10/ min. (pct) | 100th/min (pct) | Growth rate (ann.) total Forbes wealth (pct) | Forbes wealth/(Forbes wealth/ SCF wealth) (pct) |
|---|---|---|---|---|---|---|---|---|---|---|
| 1989 | 433.8 | 8.4 | 442.7 | 4.9 | 1,126.90 | 18.9 | 11.1 | 2.5 | 1.5 | |
| 1992 | 441.1 | 9.1 | 383.5 | 7.3 | 1,157.70 | 23.8 | 19.1 | 3 | 0.6 | 1.7 |
| 1995 | 482.7 | 20 | 459.6 | 8.9 | 1,216.70 | 43.5 | 19.3 | 2.6 | 3 | 1.7 |
| 1996 | 601 | 24.3 | 373.7 | 10.1 | 1,447.40 | 65.1 | 27 | 3.9 | 24.5 | NA |
| 1997 | 804.4 | 51.3 | 612.4 | 16.9 | 1,933.90 | 83.8 | 27.6 | 3.2 | 33.8 | NA |
| 1998 | 939.7 | 74.4 | 636.6 | 24.2 | 2,164.40 | 116.8 | 38 | 3.4 | 16.8 | 2.5 |
| 1999 | 1,284.60 | 105.5 | 775.7 | 35.2 | 2,978.80 | 136 | 45.4 | 3.8 | 36.7 | NA |
| 2000 | 1,437.60 | 75.6 | 870.2 | 35.6 | 3,120.80 | 86.9 | 41 | 3.6 | 11.9 | NA |
| 2001 | 1,106.90 | 63.2 | 701.8 | 28.1 | 2,339.20 | 90 | 40 | 3.3 | -23 | 2.2 |
| 2002 | 1,004.90 | 49.5 | 633.6 | 25.5 | 2,073.60 | 78.2 | 40.2 | 3.3 | -9.2 | NA |
| 2003 | 1,074.90 | 51.8 | 675.7 | 26.7 | 2,252.30 | 76.7 | 39.6 | 3.3 | 7 | NA |
| 2004 | 1,100.60 | 56 | 823.7 | 24.9 | 2,416.20 | 68 | 30.3 | 2.9 | 2.4 | 2 |
| 2005 | 1,180.40 | 53.5 | 944.1 | 23.7 | 2,622.50 | 56.7 | 25.2 | 2.8 | 7.3 | NA |
| 2006 | 1,288.90 | 54.5 | 1,027.50 | 23.9 | 2,877.00 | 53 | 23.3 | 2.8 | 9.2 | NA |
| 2007 | 1,539.90 | 59 | 1,300.00 | 27.1 | 3,500.00 | 45.4 | 20.9 | 2.7 | 19.5 | 2.3 |
| 2008 | 1,492.70 | 54.1 | 1,233.70 | 27 | 3,511.40 | 43.8 | 21.9 | 2.8 | -3.1 | NA |
| Item | All | <50 | 50-90 | 90-95 | 95-99 | 99-100 |
|---|---|---|---|---|---|---|
| NETWORTH | 100 | 100 | 100 | 100 | 100 | 100 |
| NETWORTH (Standard Error) | 0 | 0 | 0 | 0 | 0 | 0 |
| ASSET | 97.7 | 95.5 | 100 | 100 | 100 | 100 |
| ASSET (Standard Error) | 0.2 | 0.3 | 0 | 0 | 0 | 0 |
| FIN | 93.9 | 88 | 99.7 | 100 | 100 | 99.9 |
| FIN (Standard Error) | 0.4 | 0.7 | 0.1 | 0 | 0 | 0.1 |
| LIQ | 92.1 | 85 | 99.1 | 100 | 100 | 99.8 |
| LIQ (Standard Error) | 0.4 | 0.7 | 0.2 | 0 | 0 | 0.1 |
| CDS | 16.1 | 6.2 | 24.3 | 34.2 | 32.9 | 27 |
| CDS (Standard Error) | 0.5 | 0.4 | 1 | 2.8 | 3 | 3.7 |
| SAVBND | 14.9 | 8.5 | 20.6 | 26.7 | 20.4 | 19.3 |
| SAVBND (Standard Error) | 0.5 | 0.6 | 0.9 | 2.6 | 2.4 | 3.6 |
| BOND | 1.6 | 0.2 | 0.9 | 6.1 | 15.6 | 24.4 |
| BOND (Standard Error) | 0.2 | 0.1 | 0.2 | 1.5 | 2 | 3.1 |
| STOCKS | 17.9 | 7.2 | 22.7 | 43.7 | 59.5 | 65.4 |
| STOCKS (Standard Error) | 0.5 | 0.5 | 0.9 | 2.8 | 2.9 | 3.8 |
| NMMF | 11.4 | 2.3 | 15 | 36.5 | 47.6 | 52.7 |
| NMMF (Standard Error) | 0.4 | 0.3 | 1 | 3.3 | 2.9 | 4.6 |
| RETQLIQ | 52.6 | 33.6 | 68.3 | 83.3 | 85.3 | 87.8 |
| RETQLIQ (Standard Error) | 0.8 | 1 | 1 | 2.1 | 2.3 | 2.2 |
| CASHLI | 23 | 13.7 | 29.9 | 37.8 | 44.1 | 53 |
| CASHLI (Standard Error) | 0.5 | 0.6 | 1 | 3.1 | 3 | 4 |
| OTHMA | 5.8 | 1.1 | 8.1 | 17.7 | 21.8 | 27.7 |
| OTHMA (Standard Error) | 0.3 | 0.2 | 0.6 | 2.2 | 2.5 | 4 |
| OTHFIN | 9.3 | 8.1 | 9 | 13 | 18 | 29.1 |
| OTHFIN (Standard Error) | 0.4 | 0.6 | 0.6 | 2.4 | 2.4 | 3.8 |
| NFIN | 92 | 84.7 | 99.3 | 99.6 | 99.6 | 100 |
| NFIN (Standard Error) | 0.3 | 0.6 | 0.2 | 0.5 | 0.4 | 0 |
| VEHIC | 87 | 80.3 | 93.8 | 93.8 | 93.9 | 91 |
| VEHIC (Standard Error) | 0.5 | 0.7 | 0.5 | 1.6 | 1.2 | 3.2 |
| HOUSES | 68.6 | 42.9 | 93.7 | 96.6 | 96.9 | 98.8 |
| HOUSES (Standard Error) | 0.1 | 0.7 | 0.5 | 1.1 | 0.9 | 0.6 |
| ORESRE | 13.7 | 4.1 | 17.3 | 41.7 | 49.5 | 69.8 |
| ORESRE (Standard Error) | 0.4 | 0.4 | 0.8 | 3.1 | 2.9 | 3.9 |
| NNRESRE | 8.1 | 2 | 11 | 21.4 | 33 | 33.5 |
| NNRESRE (Standard Error) | 0.3 | 0.3 | 0.6 | 2.4 | 3 | 4 |
| BUS | 12 | 3.8 | 14 | 32 | 54.2 | 73.4 |
| BUS (Standard Error) | 0.5 | 0.4 | 0.9 | 2.8 | 3 | 3.8 |
| OTHNFIN | 7.2 | 4.4 | 7.7 | 13.8 | 19.9 | 35.5 |
| OTHNFIN (Standard Error) | 0.3 | 0.4 | 0.6 | 2.3 | 2.1 | 4.3 |
| DEBT | 77 | 75.6 | 79.1 | 75.2 | 79.4 | 66.7 |
| DEBT (Standard Error) | 0.6 | 0.8 | 1 | 2.5 | 2.1 | 4.1 |
| MRTHEL | 48.7 | 33.5 | 64.2 | 60.5 | 66.3 | 54.4 |
| MRTHEL (Standard Error) | 0.6 | 0.8 | 1.1 | 3 | 2.5 | 4.4 |
| RESDBT | 5.5 | 1.8 | 6.2 | 15.9 | 26.8 | 31.3 |
| RESDBT (Standard Error) | 0.3 | 0.3 | 0.5 | 2.1 | 2.6 | 3.7 |
| INSTALL | 46.9 | 53.2 | 43.8 | 34.6 | 22.8 | 17.7 |
| INSTALL (Standard Error) | 0.7 | 0.9 | 1.1 | 2.9 | 2.4 | 2.9 |
| OTHLOC | 1.7 | 1.9 | 1.5 | 0.7 | 1.9 | 3.8 |
| OTHLOC (Standard Error) | 0.2 | 0.2 | 0.3 | 0.4 | 0.6 | 1.6 |
| CCBAL | 46.1 | 46.9 | 49 | 36.5 | 25 | 20 |
| CCBAL (Standard Error) | 0.7 | 1 | 1.3 | 3.3 | 2.5 | 3.3 |
| ODEBT | 6.8 | 7.5 | 6 | 6.7 | 6 | 9.4 |
| ODEBT (Standard Error) | 0.3 | 0.5 | 0.4 | 1.7 | 1.3 | 2.4 |
| EQUITY | 51.1 | 29.7 | 68.2 | 86.9 | 92 | 92.8 |
| EQUITY (Standard Error) | 0.9 | 1.1 | 1.1 | 1.9 | 1.6 | 2.6 |
| Item | All | <50 | 50-90 | 90-95 | 95-99 | 99-100 |
|---|---|---|---|---|---|---|
| NETWORTH | 100 | 100 | 100 | 100 | 100 | 100 |
| NETWORTH (Standard Error) | 0 | 0 | 0 | 0 | 0 | 0 |
| ASSET | 97.9 | 95.9 | 100 | 100 | 100 | 100 |
| ASSET (Standard Error) | 0.2 | 0.4 | 0 | 0 | 0 | 0 |
| FIN | 93.8 | 87.9 | 99.6 | 100 | 100 | 100 |
| FIN (Standard Error) | 0.4 | 0.7 | 0.1 | 0 | 0 | 0 |
| LIQ | 91.3 | 83.8 | 98.6 | 100 | 100 | 100 |
| LIQ (Standard Error) | 0.5 | 0.9 | 0.3 | 0 | 0 | 0 |
| CDS | 12.7 | 4.4 | 19 | 29.8 | 28.7 | 26.3 |
| CDS (Standard Error) | 0.5 | 0.4 | 0.9 | 3.8 | 3.2 | 3.9 |
| SAVBND | 17.6 | 9.7 | 24.8 | 29.1 | 30 | 17.8 |
| SAVBND (Standard Error) | 0.6 | 0.6 | 0.9 | 3.3 | 3 | 3 |
| BOND | 1.8 | 0.1 | 1.2 | 7.3 | 15.2 | 30.6 |
| BOND (Standard Error) | 0.2 | 0.1 | 0.3 | 2.2 | 1.9 | 3.9 |
| STOCKS | 20.7 | 6.5 | 27.8 | 56.2 | 68.8 | 69.6 |
| STOCKS (Standard Error) | 0.7 | 0.6 | 1.3 | 3.7 | 2.9 | 4 |
| NMMF | 15 | 4.6 | 20 | 39.5 | 57.3 | 44.9 |
| NMMF (Standard Error) | 0.6 | 0.4 | 1.2 | 3.7 | 3.6 | 4.5 |
| RETQLIQ | 49.7 | 28.7 | 67.7 | 80.3 | 84.4 | 82.7 |
| RETQLIQ (Standard Error) | 0.9 | 0.9 | 1.5 | 4.2 | 2.8 | 3.4 |
| CASHLI | 24.2 | 13.5 | 32.6 | 43.6 | 42.4 | 48.1 |
| CASHLI (Standard Error) | 0.7 | 0.7 | 1.2 | 3.3 | 3.2 | 4.4 |
| OTHMA | 7.3 | 1.2 | 11.4 | 19.7 | 20.7 | 26.3 |
| OTHMA (Standard Error) | 0.4 | 0.2 | 0.7 | 3.3 | 3.2 | 3.5 |
| OTHFIN | 10 | 8.2 | 10.5 | 14.1 | 16.6 | 28.3 |
| OTHFIN (Standard Error) | 0.5 | 0.6 | 0.8 | 2.9 | 2.3 | 4 |
| NFIN | 92.5 | 85.6 | 99.3 | 99.9 | 100 | 100 |
| NFIN (Standard Error) | 0.3 | 0.6 | 0.2 | 0.2 | 0 | 0 |
| VEHIC | 86.3 | 79.5 | 93.2 | 94.7 | 90.8 | 94.2 |
| VEHIC (Standard Error) | 0.5 | 0.9 | 0.6 | 2.2 | 2.2 | 2.4 |
| HOUSES | 69.1 | 43.2 | 94.3 | 97.3 | 96.3 | 97.5 |
| HOUSES (Standard Error) | 0.1 | 0.7 | 0.4 | 1 | 1.2 | 1.2 |
| ORESRE | 12.5 | 2.7 | 16.5 | 37.6 | 51.4 | 64.7 |
| ORESRE (Standard Error) | 0.5 | 0.3 | 0.8 | 3.7 | 3.3 | 4.2 |
| NNRESRE | 8.3 | 2.1 | 10.9 | 24.9 | 27.9 | 49.7 |
| NNRESRE (Standard Error) | 0.3 | 0.3 | 0.7 | 3.3 | 2.8 | 4.1 |
| BUS | 11.5 | 3.2 | 14.5 | 30.6 | 45.3 | 72.1 |
| BUS (Standard Error) | 0.5 | 0.3 | 0.9 | 3.5 | 2.9 | 4.3 |
| OTHNFIN | 7.8 | 4.1 | 9.5 | 13.3 | 23.5 | 27.8 |
| OTHNFIN (Standard Error) | 0.4 | 0.4 | 0.7 | 2.8 | 3.2 | 3.7 |
| DEBT | 76.4 | 74.4 | 80 | 74.8 | 70.5 | 67.9 |
| DEBT (Standard Error) | 0.5 | 0.9 | 0.8 | 3.3 | 3 | 4.1 |
| MRTHEL | 47.9 | 32.7 | 64.3 | 60.7 | 56.8 | 51.5 |
| MRTHEL (Standard Error) | 0.5 | 0.8 | 1 | 3.6 | 3.3 | 4.4 |
| RESDBT | 4 | 0.7 | 5 | 11.5 | 21.1 | 23.1 |
| RESDBT (Standard Error) | 0.2 | 0.2 | 0.4 | 2.1 | 2.4 | 3.2 |
| INSTALL | 46 | 50 | 45.7 | 28.5 | 25.3 | 26.1 |
| INSTALL (Standard Error) | 0.7 | 1.2 | 1 | 3.7 | 2.9 | 3.6 |
| OTHLOC | 1.6 | 1.5 | 1.7 | 0.3 | 2.1 | 4.1 |
| OTHLOC (Standard Error) | 0.2 | 0.2 | 0.3 | 0.2 | 0.7 | 1.5 |
| CCBAL | 46.2 | 49.2 | 48.2 | 25.9 | 22.6 | 12.8 |
| CCBAL (Standard Error) | 0.7 | 1.1 | 1.1 | 3.3 | 3.1 | 3.1 |
| ODEBT | 7.6 | 7.8 | 7.1 | 8.7 | 8.8 | 11.6 |
| ODEBT (Standard Error) | 0.4 | 0.6 | 0.5 | 2.4 | 2.4 | 3 |
| EQUITY | 50.2 | 27.7 | 68.3 | 87.8 | 94 | 93.3 |
| EQUITY (Standard Error) | 1 | 1.3 | 1.3 | 2.1 | 1.6 | 2.1 |
| Item | All | <50 | 50-90 | 90-95 | 95-99 | 99-100 |
|---|---|---|---|---|---|---|
| NETWORTH | 100 | 100 | 100 | 100 | 100 | 100 |
| NETWORTH (Standard Error) | 0 | 0 | 0 | 0 | 0 | 0 |
| ASSET | 96.7 | 93.5 | 100 | 100 | 100 | 100 |
| ASSET (Standard Error) | 0.2 | 0.5 | 0 | 0 | 0 | 0 |
| FIN | 93.4 | 87.4 | 99.3 | 100 | 100 | 100 |
| FIN (Standard Error) | 0.3 | 0.7 | 0.2 | 0 | 0 | 0 |
| LIQ | 91.4 | 84 | 98.7 | 99.6 | 99.6 | 100 |
| LIQ (Standard Error) | 0.4 | 0.7 | 0.3 | 0.4 | 0.3 | 0 |
| CDS | 15.7 | 5.3 | 25.9 | 29.5 | 26.4 | 14.1 |
| CDS (Standard Error) | 0.5 | 0.4 | 1 | 3.1 | 2.5 | 3 |
| SAVBND | 16.7 | 8.6 | 24.3 | 27.6 | 26.6 | 20.9 |
| SAVBND (Standard Error) | 0.5 | 0.5 | 1 | 3.5 | 2.6 | 3.2 |
| BOND | 3 | 0.2 | 2.6 | 15 | 19.6 | 31.8 |
| BOND (Standard Error) | 0.2 | 0.1 | 0.4 | 2.9 | 2.4 | 3.8 |
| STOCKS | 21.3 | 7.3 | 28.1 | 57.3 | 69.7 | 75.4 |
| STOCKS (Standard Error) | 0.6 | 0.5 | 1.3 | 5.1 | 3.5 | 3.5 |
| NMMF | 17.7 | 4.9 | 24.5 | 56.3 | 52.5 | 51.7 |
| NMMF (Standard Error) | 0.5 | 0.3 | 0.9 | 4.1 | 3.1 | 4.1 |
| RETQLIQ | 52.7 | 32.5 | 69.1 | 87.6 | 87.2 | 89.4 |
| RETQLIQ (Standard Error) | 0.7 | 1 | 1.1 | 2.2 | 2.1 | 2.3 |
| CASHLI | 28 | 16.5 | 37.2 | 46.4 | 52.1 | 48.6 |
| CASHLI (Standard Error) | 0.7 | 0.8 | 1 | 3.3 | 3 | 4 |
| OTHMA | 6.7 | 0.8 | 9.1 | 24.4 | 28 | 29.7 |
| OTHMA (Standard Error) | 0.3 | 0.1 | 0.7 | 2.9 | 2.8 | 4.2 |
| OTHFIN | 9.4 | 8.4 | 9 | 13.3 | 19.2 | 20.9 |
| OTHFIN (Standard Error) | 0.4 | 0.5 | 0.7 | 2.4 | 2.8 | 3.5 |
| NFIN | 90.7 | 82.3 | 99 | 99.5 | 99.8 | 100 |
| NFIN (Standard Error) | 0.3 | 0.5 | 0.2 | 0.4 | 0.2 | 0 |
| VEHIC | 84.8 | 75.8 | 93.7 | 95.5 | 94.1 | 87.5 |
| VEHIC (Standard Error) | 0.5 | 0.8 | 0.6 | 1.5 | 1.3 | 2.8 |
| HOUSES | 67.7 | 42 | 92.7 | 95.7 | 95.7 | 97.5 |
| HOUSES (Standard Error) | 0 | 0.7 | 0.7 | 1.4 | 1.4 | 1.1 |
| ORESRE | 11.4 | 2.7 | 15.4 | 28.5 | 45.7 | 62.6 |
| ORESRE (Standard Error) | 0.4 | 0.3 | 0.9 | 3.2 | 3.3 | 4.1 |
| NNRESRE | 8.2 | 1.9 | 10.7 | 27.3 | 31.4 | 38 |
| NNRESRE (Standard Error) | 0.3 | 0.3 | 0.8 | 3.1 | 2.7 | 4.5 |
| BUS | 11.9 | 2.6 | 15.7 | 32.9 | 47.2 | 71.8 |
| BUS (Standard Error) | 0.4 | 0.3 | 0.8 | 3.2 | 3.1 | 3.8 |
| OTHNFIN | 7.5 | 4 | 8 | 17.4 | 26 | 35.3 |
| OTHNFIN (Standard Error) | 0.3 | 0.4 | 0.6 | 2.9 | 2.6 | 4 |
| DEBT | 75.1 | 74.8 | 76.8 | 68.6 | 71.7 | 66.6 |
| DEBT (Standard Error) | 0.5 | 1 | 0.8 | 3 | 2.2 | 4 |
| MRTHEL | 44.6 | 30.4 | 59.8 | 54.2 | 56.6 | 54 |
| MRTHEL (Standard Error) | 0.5 | 0.8 | 1.1 | 3.4 | 3 | 4.1 |
| RESDBT | 4.6 | 1.3 | 6.3 | 11.2 | 16.3 | 19.7 |
| RESDBT (Standard Error) | 0.3 | 0.2 | 0.5 | 2.3 | 2.4 | 3.3 |
| INSTALL | 45.1 | 50.1 | 44 | 29.5 | 22 | 15.7 |
| INSTALL (Standard Error) | 0.9 | 1.2 | 1.2 | 3.9 | 2.7 | 3.4 |
| OTHLOC | 1.5 | 1.9 | 1 | 1.9 | 2 | 3.2 |
| OTHLOC (Standard Error) | 0.1 | 0.2 | 0.2 | 1.1 | 0.7 | 1.3 |
| CCBAL | 44.4 | 50.2 | 42.6 | 24.8 | 20.8 | 14.8 |
| CCBAL (Standard Error) | 0.7 | 1 | 1.2 | 3.4 | 2.7 | 3 |
| ODEBT | 7.2 | 7.8 | 6.3 | 7.3 | 7.4 | 15.2 |
| ODEBT (Standard Error) | 0.4 | 0.6 | 0.6 | 1.8 | 1.4 | 3.2 |
| EQUITY | 52.2 | 31.4 | 68.6 | 88.4 | 93.5 | 95 |
| EQUITY (Standard Error) | 0.8 | 0.9 | 1.3 | 2.7 | 1.3 | 1.7 |
| Item | All | <50 | 50-90 | 90-95 | 95-99 | 99-100 |
|---|---|---|---|---|---|---|
| NETWORTH | 100 | 100 | 100 | 100 | 100 | 100 |
| NETWORTH (Standard Error) | 0 | 0 | 0 | 0 | 0 | 0 |
| ASSET | 96.8 | 93.7 | 100 | 100 | 100 | 100 |
| ASSET (Standard Error) | 0.3 | 0.5 | 0 | 0 | 0 | 0 |
| FIN | 93.1 | 86.6 | 99.4 | 100 | 100 | 100 |
| FIN (Standard Error) | 0.5 | 0.8 | 0.2 | 0 | 0 | 0 |
| LIQ | 90.6 | 82.1 | 99 | 100 | 100 | 99.8 |
| LIQ (Standard Error) | 0.5 | 0.9 | 0.2 | 0 | 0.1 | 0.4 |
| CDS | 15.3 | 6.4 | 23.5 | 30 | 24 | 26.4 |
| CDS (Standard Error) | 0.5 | 0.5 | 0.9 | 3.3 | 3.3 | 3.8 |
| SAVBND | 19.3 | 11.6 | 25.5 | 37.2 | 30.8 | 21.7 |
| SAVBND (Standard Error) | 0.6 | 0.8 | 0.9 | 3.6 | 3.4 | 3.1 |
| BOND | 3 | 0.4 | 2.7 | 10.5 | 19.9 | 36.7 |
| BOND (Standard Error) | 0.2 | 0.1 | 0.4 | 2.3 | 2.7 | 4 |
| STOCKS | 19.2 | 6.3 | 25.4 | 50 | 64.1 | 81.4 |
| STOCKS (Standard Error) | 0.6 | 0.7 | 1.2 | 4.1 | 3.1 | 3.6 |
| NMMF | 16.5 | 5.4 | 22.9 | 42.3 | 50.7 | 48.7 |
| NMMF (Standard Error) | 0.6 | 0.5 | 1.1 | 3.1 | 3.9 | 4.5 |
| RETQLIQ | 48.9 | 31.5 | 62.2 | 80.3 | 85.2 | 83.4 |
| RETQLIQ (Standard Error) | 0.9 | 1 | 1.2 | 2.7 | 2.8 | 3.1 |
| CASHLI | 29.6 | 17.2 | 39.4 | 52.2 | 51.5 | 59 |
| CASHLI (Standard Error) | 0.7 | 0.8 | 1.4 | 4.2 | 4.3 | 3.9 |
| OTHMA | 6 | 1.4 | 7.5 | 15.9 | 27.5 | 33.4 |
| OTHMA (Standard Error) | 0.4 | 0.3 | 0.7 | 2.6 | 3.6 | 4.1 |
| OTHFIN | 9.4 | 8.9 | 8.9 | 6.5 | 18.4 | 26.5 |
| OTHFIN (Standard Error) | 0.4 | 0.6 | 0.7 | 1.8 | 2.7 | 3.9 |
| NFIN | 89.9 | 80.6 | 99.2 | 99.8 | 99.2 | 100 |
| NFIN (Standard Error) | 0.4 | 0.8 | 0.2 | 0.7 | 0.9 | 0 |
| VEHIC | 82.8 | 74.9 | 90.5 | 95.4 | 87.4 | 93.1 |
| VEHIC (Standard Error) | 0.6 | 1 | 0.8 | 1.7 | 2.4 | 2 |
| HOUSES | 66.3 | 40.6 | 91.1 | 95.3 | 94.6 | 97 |
| HOUSES (Standard Error) | 0 | 0.8 | 0.6 | 2.6 | 1.4 | 1.7 |
| ORESRE | 12.8 | 3.5 | 17.3 | 33.9 | 46.1 | 60.2 |
| ORESRE (Standard Error) | 0.6 | 0.4 | 1.1 | 3.3 | 3.5 | 3.6 |
| NNRESRE | 8.5 | 2 | 11.3 | 25.4 | 31 | 49 |
| NNRESRE (Standard Error) | 0.4 | 0.3 | 0.8 | 2.9 | 3 | 4.2 |
| BUS | 11.5 | 3.9 | 13.3 | 34 | 44.7 | 66.5 |
| BUS (Standard Error) | 0.5 | 0.4 | 1 | 3.6 | 3.4 | 3.9 |
| OTHNFIN | 8.5 | 5.3 | 9.9 | 13.3 | 22.7 | 28.9 |
| OTHNFIN (Standard Error) | 0.4 | 0.5 | 0.7 | 2.9 | 2.7 | 3.6 |
| DEBT | 74 | 73.4 | 74.4 | 73.4 | 79.9 | 68.7 |
| DEBT (Standard Error) | 0.6 | 0.9 | 0.9 | 2.8 | 3.1 | 3.7 |
| MRTHEL | 43.1 | 29.2 | 56.5 | 58.1 | 61.8 | 50.3 |
| MRTHEL (Standard Error) | 0.6 | 0.9 | 1.1 | 3.6 | 3.2 | 3.8 |
| RESDBT | 5 | 1.9 | 6.4 | 11.2 | 18.1 | 18 |
| RESDBT (Standard Error) | 0.3 | 0.3 | 0.6 | 2.2 | 2.1 | 2.9 |
| INSTALL | 43.7 | 48.6 | 41.8 | 31 | 24.9 | 17.6 |
| INSTALL (Standard Error) | 0.7 | 1 | 1.1 | 3.5 | 2.9 | 3 |
| OTHLOC | 2.3 | 2.7 | 1.8 | 2 | 3.8 | 1 |
| OTHLOC (Standard Error) | 0.2 | 0.3 | 0.3 | 0.8 | 0.9 | 0.3 |
| CCBAL | 44.1 | 47.1 | 44.3 | 31.4 | 28.8 | 10.9 |
| CCBAL (Standard Error) | 0.7 | 1 | 1.2 | 3.6 | 3.4 | 2.8 |
| ODEBT | 8.8 | 9.3 | 7.6 | 10.2 | 11.5 | 11 |
| ODEBT (Standard Error) | 0.4 | 0.6 | 0.7 | 2.5 | 1.9 | 2.2 |
| EQUITY | 48.9 | 29.7 | 63.1 | 84.4 | 90.9 | 94.1 |
| EQUITY (Standard Error) | 0.9 | 1.1 | 1.4 | 2.3 | 1.9 | 2.2 |
| Item | All | <50 | 50-90 | 90-95 | 95-99 | 99-100 |
|---|---|---|---|---|---|---|
| NETWORTH | 100 | 100 | 100 | 100 | 100 | 100 |
| NETWORTH (Standard Error) | 0 | 0 | 0 | 0 | 0 | 0 |
| ASSET | 96.4 | 92.8 | 100 | 100 | 100 | 100 |
| ASSET (Standard Error) | 0.3 | 0.7 | 0 | 0 | 0 | 0 |
| FIN | 91.2 | 83.5 | 98.7 | 100 | 99.9 | 100 |
| FIN (Standard Error) | 0.6 | 1.1 | 0.3 | 0 | 0.1 | 0 |
| LIQ | 87.4 | 77.2 | 97.2 | 99.9 | 99.4 | 99.9 |
| LIQ (Standard Error) | 0.6 | 1 | 0.4 | 0.2 | 0.3 | 0.1 |
| CDS | 14.3 | 5.2 | 21.2 | 32.2 | 34.1 | 24.3 |
| CDS (Standard Error) | 0.5 | 0.5 | 0.9 | 3.3 | 3.7 | 2.9 |
| SAVBND | 22.8 | 14.1 | 30.2 | 39.8 | 34.2 | 28.5 |
| SAVBND (Standard Error) | 0.6 | 0.7 | 1.1 | 3.4 | 2.6 | 3.3 |
| BOND | 3.1 | 0.4 | 2.7 | 15.5 | 18 | 31.3 |
| BOND (Standard Error) | 0.2 | 0.1 | 0.4 | 2.5 | 2.8 | 2.9 |
| STOCKS | 15.2 | 5.8 | 19.4 | 42.2 | 44.9 | 65.4 |
| STOCKS (Standard Error) | 0.5 | 0.5 | 0.9 | 3 | 3.5 | 3.5 |
| NMMF | 12.3 | 3.6 | 15.8 | 36.7 | 47.8 | 44.1 |
| NMMF (Standard Error) | 0.4 | 0.4 | 0.9 | 3.5 | 3 | 3.4 |
| RETQLIQ | 45.2 | 28.4 | 57.3 | 81 | 80 | 78.6 |
| RETQLIQ (Standard Error) | 0.8 | 0.9 | 1.3 | 2.8 | 2.8 | 3 |
| CASHLI | 32 | 19.2 | 41.8 | 60 | 50.7 | 60.3 |
| CASHLI (Standard Error) | 0.8 | 0.8 | 1.3 | 2.8 | 4.7 | 3.4 |
| OTHMA | 3.9 | 1.4 | 4.5 | 11.5 | 17.5 | 17.2 |
| OTHMA (Standard Error) | 0.3 | 0.2 | 0.4 | 2.3 | 1.9 | 2.5 |
| OTHFIN | 11.1 | 9.8 | 11.2 | 16.4 | 16.6 | 25.2 |
| OTHFIN (Standard Error) | 0.4 | 0.6 | 0.7 | 2.5 | 2.4 | 3 |
| NFIN | 90.9 | 82.3 | 99.3 | 100 | 99.8 | 99.8 |
| NFIN (Standard Error) | 0.4 | 0.9 | 0.2 | 0 | 0.5 | 0.3 |
| VEHIC | 84.1 | 76.5 | 91.5 | 93.2 | 91.7 | 89.8 |
| VEHIC (Standard Error) | 0.6 | 1 | 1 | 1.7 | 1.6 | 2.5 |
| HOUSES | 64.7 | 38.8 | 89.8 | 92.4 | 94.4 | 96.1 |
| HOUSES (Standard Error) | 0 | 0.8 | 0.7 | 2 | 1.6 | 1.9 |
| ORESRE | 11.8 | 3.1 | 14.9 | 37.7 | 45.2 | 54.9 |
| ORESRE (Standard Error) | 0.4 | 0.3 | 0.9 | 3 | 3.1 | 3.8 |
| NNRESRE | 9.2 | 2.7 | 11.3 | 26.6 | 39.7 | 45.7 |
| NNRESRE (Standard Error) | 0.4 | 0.4 | 0.7 | 2.7 | 2.7 | 3.8 |
| BUS | 11.1 | 3.6 | 13.9 | 26.2 | 41.3 | 73.9 |
| BUS (Standard Error) | 0.4 | 0.4 | 0.8 | 2.9 | 3.4 | 2.9 |
| OTHNFIN | 9 | 5 | 11.2 | 18.5 | 20.6 | 28.4 |
| OTHNFIN (Standard Error) | 0.4 | 0.4 | 0.9 | 2.4 | 2.2 | 2.9 |
| DEBT | 74.5 | 74 | 76.1 | 71.8 | 70.3 | 67.9 |
| DEBT (Standard Error) | 0.7 | 1.1 | 1.1 | 2.6 | 2.8 | 3.1 |
| MRTHEL | 41 | 28.5 | 53.2 | 51.8 | 58.5 | 53.1 |
| MRTHEL (Standard Error) | 0.5 | 0.8 | 0.9 | 3.1 | 3 | 3.8 |
| RESDBT | 4.7 | 1.6 | 5.1 | 17.1 | 19.5 | 22.1 |
| RESDBT (Standard Error) | 0.3 | 0.2 | 0.5 | 2.1 | 2.5 | 2.6 |
| INSTALL | 46 | 51.8 | 43.1 | 35.2 | 22.4 | 13.2 |
| INSTALL (Standard Error) | 0.7 | 1 | 1.1 | 3 | 2.5 | 2.1 |
| OTHLOC | 1.9 | 2.3 | 1.1 | 3.6 | 1.8 | 6.6 |
| OTHLOC (Standard Error) | 0.2 | 0.3 | 0.2 | 1.1 | 0.6 | 2.2 |
| CCBAL | 47.3 | 48.4 | 50.7 | 32.4 | 26 | 12.6 |
| CCBAL (Standard Error) | 0.8 | 1.2 | 1.2 | 3.2 | 3.5 | 2.3 |
| ODEBT | 8.5 | 9.5 | 7.4 | 7 | 6.7 | 11.7 |
| ODEBT (Standard Error) | 0.5 | 0.7 | 0.7 | 1.7 | 2.1 | 2.4 |
| EQUITY | 40.4 | 24.1 | 50.8 | 75.8 | 84.4 | 84.2 |
| EQUITY (Standard Error) | 0.7 | 0.9 | 1.2 | 2.7 | 2.1 | 2.6 |
| Item | All | <50 | 50-90 | 90-95 | 95-99 | 99-100 |
|---|---|---|---|---|---|---|
| NETWORTH | 100 | 100 | 100 | 100 | 100 | 100 |
| NETWORTH (Standard Error) | 0 | 0 | 0 | 0 | 0 | 0 |
| ASSET | 95.8 | 91.7 | 100 | 100 | 100 | 100 |
| ASSET (Standard Error) | 0.3 | 0.6 | 0 | 0 | 0 | 0 |
| FIN | 90.3 | 81.7 | 98.5 | 100 | 99.7 | 100 |
| FIN (Standard Error) | 0.6 | 1 | 0.3 | 0 | 0.3 | 0 |
| LIQ | 86.9 | 76.3 | 97 | 99.9 | 99.4 | 100 |
| LIQ (Standard Error) | 0.7 | 1.1 | 0.6 | 0.2 | 0.4 | 0 |
| CDS | 16.7 | 5.6 | 26 | 37.6 | 33.4 | 31.5 |
| CDS (Standard Error) | 0.5 | 0.5 | 1.1 | 3.5 | 3.4 | 4.6 |
| SAVBND | 22.3 | 14.1 | 30.7 | 28.9 | 33.2 | 19.1 |
| SAVBND (Standard Error) | 0.7 | 0.9 | 1 | 3.8 | 3.4 | 3.1 |
| BOND | 4.3 | 0.4 | 4.2 | 16 | 28.5 | 40.9 |
| BOND (Standard Error) | 0.3 | 0.1 | 0.5 | 2.6 | 3.3 | 5 |
| STOCKS | 17 | 5.4 | 22.4 | 45.5 | 58.9 | 68.8 |
| STOCKS (Standard Error) | 0.7 | 0.5 | 1.3 | 3.7 | 3.4 | 3.7 |
| NMMF | 10.4 | 2.4 | 14.5 | 28.3 | 38.4 | 46 |
| NMMF (Standard Error) | 0.4 | 0.3 | 1 | 3.3 | 3.7 | 4.9 |
| RETQLIQ | 39.6 | 22 | 53.1 | 70.5 | 78.2 | 76.2 |
| RETQLIQ (Standard Error) | 0.9 | 1 | 1.1 | 3.5 | 3.1 | 5 |
| CASHLI | 34.9 | 22.3 | 44.2 | 64.6 | 56.2 | 58.2 |
| CASHLI (Standard Error) | 0.8 | 0.9 | 1.3 | 3.1 | 2.8 | 4.9 |
| OTHMA | 4 | 0.7 | 5.7 | 13.7 | 12.8 | 17.7 |
| OTHMA (Standard Error) | 0.3 | 0.2 | 0.6 | 2.2 | 2.1 | 3.4 |
| OTHFIN | 10.8 | 8.9 | 11.7 | 11 | 20.7 | 30.1 |
| OTHFIN (Standard Error) | 0.4 | 0.5 | 0.6 | 2.1 | 2.5 | 4.5 |
| NFIN | 90.8 | 82 | 99.5 | 100 | 99.8 | 100 |
| NFIN (Standard Error) | 0.4 | 0.7 | 0.2 | 0 | 0.2 | 0 |
| VEHIC | 86.1 | 77.3 | 94.5 | 95.9 | 96.2 | 97.8 |
| VEHIC (Standard Error) | 0.5 | 0.9 | 0.6 | 1.7 | 1.2 | 0.9 |
| HOUSES | 63.9 | 37.6 | 89.3 | 94.2 | 94.2 | 93.1 |
| HOUSES (Standard Error) | 0 | 0.9 | 0.7 | 1.9 | 2 | 2.4 |
| ORESRE | 12.7 | 3.2 | 16.2 | 43.2 | 45.1 | 63.6 |
| ORESRE (Standard Error) | 0.5 | 0.4 | 1 | 3.4 | 3.9 | 5.1 |
| NNRESRE | 9.5 | 2.1 | 12.3 | 27.1 | 39.5 | 57.8 |
| NNRESRE (Standard Error) | 0.4 | 0.3 | 0.8 | 2.8 | 3 | 5 |
| BUS | 12 | 3.8 | 14 | 31.4 | 54 | 70.6 |
| BUS (Standard Error) | 0.5 | 0.4 | 0.9 | 3.5 | 3.2 | 5.3 |
| OTHNFIN | 8.3 | 4.2 | 10.3 | 16.2 | 23.2 | 36.3 |
| OTHNFIN (Standard Error) | 0.4 | 0.4 | 0.7 | 2.6 | 2.8 | 5.7 |
| DEBT | 73.2 | 72 | 75.1 | 65.9 | 78.7 | 76.4 |
| DEBT (Standard Error) | 0.6 | 1.1 | 1.1 | 3.1 | 2.5 | 4.3 |
| MRTHEL | 39.1 | 25.4 | 52.3 | 52.9 | 59.2 | 52.9 |
| MRTHEL (Standard Error) | 0.5 | 0.8 | 1.2 | 3.3 | 3.7 | 4.6 |
| RESDBT | 5.7 | 1.7 | 6.8 | 18.2 | 22 | 29.8 |
| RESDBT (Standard Error) | 0.3 | 0.3 | 0.6 | 2.4 | 2.5 | 4.6 |
| INSTALL | 46 | 54.3 | 40.7 | 23.2 | 29 | 22.4 |
| INSTALL (Standard Error) | 0.7 | 1.1 | 1.2 | 2.8 | 3 | 3.6 |
| OTHLOC | 2.4 | 2.1 | 2.4 | 2.8 | 2.4 | 8.2 |
| OTHLOC (Standard Error) | 0.2 | 0.3 | 0.4 | 1.4 | 1.4 | 2.4 |
| CCBAL | 43.7 | 45.6 | 45.7 | 28.9 | 24.9 | 16.9 |
| CCBAL (Standard Error) | 0.8 | 1.2 | 1.4 | 3.6 | 2.5 | 4 |
| ODEBT | 8.4 | 8 | 7.5 | 10.8 | 16.5 | 21.9 |
| ODEBT (Standard Error) | 0.5 | 0.8 | 0.5 | 2.5 | 2.6 | 4.2 |
| EQUITY | 36.7 | 18.3 | 50 | 71.8 | 79.4 | 81.6 |
| EQUITY (Standard Error) | 0.8 | 1 | 1.4 | 3.4 | 2.9 | 3.7 |
| Item | All | <50 | 50-90 | 90-95 | 95-99 | 99-100 |
|---|---|---|---|---|---|---|
| NETWORTH | 100 | 100 | 100 | 100 | 100 | 100 |
| NETWORTH (Standard Error) | 0 | 0 | 0 | 0 | 0 | 0 |
| ASSET | 94.7 | 89.3 | 100 | 100 | 100 | 100 |
| ASSET (Standard Error) | 0.5 | 0.9 | 0 | 0 | 0 | 0 |
| FIN | 88.9 | 78.8 | 98.7 | 100 | 100 | 100 |
| FIN (Standard Error) | 0.7 | 1.3 | 0.4 | 0 | 0 | 0 |
| LIQ | 85.6 | 73 | 97.7 | 100 | 100 | 100 |
| LIQ (Standard Error) | 0.8 | 1.5 | 0.5 | 0 | 0 | 0 |
| CDS | 19.9 | 7.7 | 28.9 | 43.6 | 48.3 | 32.5 |
| CDS (Standard Error) | 0.9 | 0.9 | 1.6 | 5.3 | 5.5 | 6.1 |
| SAVBND | 23.9 | 14.1 | 33.8 | 35.6 | 34.3 | 18.2 |
| SAVBND (Standard Error) | 0.9 | 1.2 | 1.4 | 3.9 | 4 | 4.9 |
| BOND | 5.7 | 0.7 | 5.9 | 21.1 | 37.2 | 45.8 |
| BOND (Standard Error) | 0.6 | 0.3 | 0.7 | 5.2 | 5.3 | 5.9 |
| STOCKS | 16.9 | 5.6 | 21.3 | 46.2 | 62.4 | 72.7 |
| STOCKS (Standard Error) | 0.9 | 0.7 | 1.3 | 7.2 | 4 | 5.8 |
| NMMF | 7.3 | 1.6 | 8.8 | 25.9 | 31.4 | 39.3 |
| NMMF (Standard Error) | 0.5 | 0.5 | 0.9 | 3.7 | 4.2 | 6.9 |
| RETQLIQ | 37 | 18.8 | 51.5 | 67.3 | 72.6 | 71.6 |
| RETQLIQ (Standard Error) | 0.8 | 1 | 1.7 | 4.1 | 5.4 | 5.2 |
| CASHLI | 35.5 | 21 | 47.3 | 58.9 | 62.5 | 64.8 |
| CASHLI (Standard Error) | 1 | 1.3 | 1.5 | 5.3 | 4.3 | 5.9 |
| OTHMA | 3.7 | 0.7 | 5 | 9.9 | 14.9 | 26.6 |
| OTHMA (Standard Error) | 0.4 | 0.2 | 0.6 | 2.2 | 3 | 5.8 |
| OTHFIN | 13.8 | 12.4 | 12.2 | 26.8 | 25.6 | 32.1 |
| OTHFIN (Standard Error) | 0.7 | 0.9 | 1 | 5.2 | 3.7 | 6.4 |
| NFIN | 89.3 | 78.9 | 99.6 | 100 | 99.9 | 99.3 |
| NFIN (Standard Error) | 0.7 | 1.3 | 0.2 | 0.1 | 0.5 | 1 |
| VEHIC | 83.8 | 72.9 | 94.8 | 94.1 | 94.5 | 90.6 |
| VEHIC (Standard Error) | 0.8 | 1.4 | 0.6 | 2.1 | 2.7 | 4.1 |
| HOUSES | 63.9 | 34.9 | 92.9 | 93.6 | 92.3 | 86.5 |
| HOUSES (Standard Error) | 0 | 0.9 | 0.6 | 2.4 | 3.1 | 5.2 |
| ORESRE | 13.2 | 3.3 | 17.7 | 37.2 | 49.4 | 62.7 |
| ORESRE (Standard Error) | 0.7 | 0.5 | 1 | 5.1 | 4.6 | 5.7 |
| NNRESRE | 11.1 | 3.1 | 14.8 | 28.1 | 42.4 | 54.7 |
| NNRESRE (Standard Error) | 0.6 | 0.5 | 1.1 | 3.4 | 5 | 6.3 |
| BUS | 11.7 | 3.4 | 13.1 | 34.9 | 55.2 | 72.8 |
| BUS (Standard Error) | 0.9 | 0.6 | 1.1 | 7.8 | 4.6 | 6.3 |
| OTHNFIN | 12.4 | 7 | 14.9 | 28.6 | 28 | 41.9 |
| OTHNFIN (Standard Error) | 0.7 | 0.7 | 1 | 4.3 | 3.9 | 6.2 |
| DEBT | 72.3 | 69.4 | 76.6 | 67.9 | 71.3 | 65.3 |
| DEBT (Standard Error) | 0.7 | 1.3 | 1.2 | 4.8 | 4.3 | 6 |
| MRTHEL | 39.5 | 22.5 | 58.5 | 51.1 | 47.1 | 36 |
| MRTHEL (Standard Error) | 0.7 | 1 | 1.4 | 4.8 | 5.6 | 5.8 |
| RESDBT | 5.2 | 1.2 | 6.4 | 17.1 | 23 | 21.7 |
| RESDBT (Standard Error) | 0.5 | 0.3 | 0.8 | 4.4 | 3.8 | 5.1 |
| INSTALL | 49.4 | 53.7 | 48.2 | 33.5 | 34.8 | 17.9 |
| INSTALL (Standard Error) | 1 | 1.5 | 1.6 | 5.7 | 5 | 4.6 |
| OTHLOC | 3.2 | 3.4 | 2.6 | 3.4 | 5 | 6.6 |
| OTHLOC (Standard Error) | 0.4 | 0.6 | 0.5 | 2.1 | 2.2 | 2.5 |
| CCBAL | 39.7 | 37.9 | 46.9 | 23.7 | 16 | 14.8 |
| CCBAL (Standard Error) | 1 | 1.4 | 1.4 | 3.7 | 2.7 | 4.7 |
| ODEBT | 6.7 | 5.6 | 6.5 | 9.2 | 16.9 | 14.6 |
| ODEBT (Standard Error) | 0.6 | 0.7 | 0.9 | 2.2 | 3.2 | 3.9 |
| EQUITY | 31.8 | 13.9 | 43.1 | 69.9 | 79.3 | 86.8 |
| EQUITY (Standard Error) | 1 | 1.2 | 1.6 | 5.9 | 3.9 | 3.8 |
| Item | All Total | All Share | <50 Total | <50 Share | 50-90 Total | 50-90 Share | 90-95 Total | 90-95 Share | 95-99 Total | 95-99 Share | 99-100 Total | 99-100 Share |
|---|---|---|---|---|---|---|---|---|---|---|---|---|
| NETWORTH | 64597.9 | 100 | 1611.9 | 2.5 | 16795.1 | 26 | 7157.4 | 11.1 | 17169.3 | 26.6 | 21864.3 | 33.8 |
| NETWORTH (Standard Error) | 1069.5 | 0 | 56.8 | 0.1 | 452.8 | 0.6 | 347.1 | 0.5 | 650.9 | 1 | 1011.3 | 1.2 |
| ASSET | 75866.7 | 100 | 4625.6 | 6.1 | 22042.5 | 29 | 8022.3 | 10.6 | 18712.5 | 24.7 | 22463.8 | 29.6 |
| ASSET (Standard Error) | 1109.4 | 0 | 141.5 | 0.2 | 571.9 | 0.7 | 377 | 0.5 | 715 | 0.9 | 1034.2 | 1.1 |
| FIN | 25703.5 | 100 | 706.7 | 2.7 | 6451.1 | 25.1 | 3200 | 12.4 | 7255.4 | 28.2 | 8090.4 | 31.5 |
| FIN (Standard Error) | 664.1 | 0 | 24.5 | 0.1 | 239.5 | 0.9 | 206.1 | 0.8 | 358.8 | 1.3 | 530.6 | 1.6 |
| LIQ | 2822.5 | 100 | 182.9 | 6.5 | 930.5 | 33 | 321.6 | 11.4 | 740.9 | 26.2 | 646.6 | 22.9 |
| LIQ (Standard Error) | 107.3 | 0 | 7.7 | 0.4 | 39.1 | 1.4 | 37.3 | 1.2 | 62.1 | 1.8 | 73.8 | 2.2 |
| CDS | 1041.2 | 100 | 32.4 | 3.1 | 485 | 46.6 | 120 | 11.5 | 246.4 | 23.7 | 157.4 | 15.1 |
| CDS (Standard Error) | 65.1 | 0 | 3.6 | 0.4 | 40.1 | 2.9 | 13.9 | 1.4 | 33.4 | 2.9 | 35.9 | 3 |
| SAVBND | 113.7 | 100 | 6.9 | 6 | 63 | 55.4 | 12.8 | 11.3 | 22.4 | 19.7 | 8.6 | 7.5 |
| SAVBND (Standard Error) | 10.7 | 0 | 1 | 1 | 7.3 | 4.8 | 3.5 | 3 | 6.5 | 5 | 3.2 | 2.7 |
| BOND | 1070.5 | 100 | 0.2 | 0 | 16.4 | 1.5 | 51.7 | 4.8 | 333.9 | 31.2 | 668.2 | 62.4 |
| BOND (Standard Error) | 106.6 | 0 | 0.1 | 0 | 6.3 | 0.6 | 20.2 | 2 | 77.2 | 5.7 | 80 | 5.5 |
| STOCKS | 4597.5 | 100 | 29.8 | 0.6 | 412.3 | 9 | 368.7 | 8 | 1402.1 | 30.5 | 2384.6 | 51.9 |
| STOCKS (Standard Error) | 278.1 | 0 | 4 | 0.1 | 46 | 1.1 | 38.7 | 1 | 154 | 2.9 | 234 | 3.1 |
| NMMF | 4093 | 100 | 15.2 | 0.4 | 475.3 | 11.6 | 423.3 | 10.3 | 1266.6 | 30.9 | 1912.5 | 46.7 |
| NMMF (Standard Error) | 240.9 | 0 | 3.7 | 0.1 | 48.1 | 1.3 | 62.2 | 1.5 | 123.2 | 2.7 | 211.9 | 3.2 |
| RETQLIQ | 8904.6 | 100 | 338 | 3.8 | 3272.1 | 36.7 | 1508.9 | 16.9 | 2490.8 | 28 | 1294.8 | 14.5 |
| RETQLIQ (Standard Error) | 306.9 | 0 | 19.1 | 0.2 | 152.3 | 1.5 | 138.7 | 1.4 | 177.4 | 1.8 | 173.6 | 1.7 |
| CASHLI | 834.6 | 100 | 54.1 | 6.5 | 321 | 38.5 | 110.9 | 13.3 | 162 | 19.4 | 186.5 | 22.4 |
| CASHLI (Standard Error) | 54.7 | 0 | 4.8 | 0.7 | 21.6 | 2.6 | 30.3 | 3.1 | 23.7 | 2.6 | 30.4 | 3.1 |
| OTHMA | 1682.2 | 100 | 15.6 | 0.9 | 326.3 | 19.4 | 227.8 | 13.5 | 450.1 | 26.7 | 662.3 | 39.4 |
| OTHMA (Standard Error) | 164.1 | 0 | 4.3 | 0.3 | 47.4 | 3.2 | 59.9 | 3.4 | 88.3 | 4.6 | 127.3 | 5.4 |
| OTHFIN | 543.7 | 100 | 31.4 | 5.8 | 149.1 | 27.4 | 54.2 | 10 | 140.2 | 25.8 | 168.8 | 31 |
| OTHFIN (Standard Error) | 57.3 | 0 | 5.1 | 1.1 | 25.1 | 4.2 | 20 | 3.6 | 29.3 | 4.4 | 38.2 | 5.2 |
| NFIN | 50163.2 | 100 | 3918.9 | 7.8 | 15591.4 | 31.1 | 4822.3 | 9.6 | 11457.1 | 22.8 | 14373.4 | 28.7 |
| NFIN (Standard Error) | 1044.6 | 0 | 127.7 | 0.3 | 403.7 | 0.8 | 270.9 | 0.5 | 618.8 | 1.1 | 849.6 | 1.3 |
| VEHIC | 2224.7 | 100 | 637.3 | 28.6 | 1020.1 | 45.9 | 178.1 | 8 | 243 | 10.9 | 146.3 | 6.6 |
| VEHIC (Standard Error) | 33.8 | 0 | 15.5 | 0.8 | 26.1 | 1 | 9.5 | 0.4 | 21.1 | 0.9 | 16.9 | 0.7 |
| HOUSES | 24104.2 | 100 | 3047.4 | 12.6 | 11786.7 | 48.9 | 2651.7 | 11 | 4353.1 | 18.1 | 2265.2 | 9.4 |
| HOUSES (Standard Error) | 387.2 | 0 | 115.8 | 0.5 | 322 | 1 | 163.4 | 0.6 | 216.6 | 0.9 | 210 | 0.8 |
| ORESRE | 5358.5 | 100 | 120.4 | 2.2 | 1256.4 | 23.4 | 779.9 | 14.6 | 1885.3 | 35.2 | 1316.6 | 24.6 |
| ORESRE (Standard Error) | 251.7 | 0 | 16 | 0.3 | 97.8 | 1.7 | 77.5 | 1.4 | 199.1 | 2.8 | 139.1 | 2.3 |
| NNRESRE | 2911.3 | 100 | 33.5 | 1.1 | 496.1 | 17 | 314.9 | 10.8 | 1025.4 | 35.2 | 1041.4 | 35.8 |
| NNRESRE (Standard Error) | 256.5 | 0 | 7 | 0.3 | 50.3 | 2 | 80.4 | 3 | 188.4 | 4.6 | 197.6 | 5.7 |
| BUS | 14893.7 | 100 | 53.7 | 0.4 | 888.9 | 6 | 823.1 | 5.5 | 3792.4 | 25.5 | 9335.6 | 62.7 |
| BUS (Standard Error) | 855 | 0 | 8.2 | 0.1 | 80.6 | 0.6 | 95.8 | 0.6 | 413.9 | 2.3 | 722.9 | 2.5 |
| OTHNFIN | 670.8 | 100 | 26.6 | 3.7 | 143.2 | 20.2 | 74.7 | 10.5 | 158 | 22.3 | 268.3 | 40 |
| OTHNFIN (Standard Error) | 95.9 | 0 | 3.8 | 0.7 | 25 | 4 | 36.4 | 4.7 | 64.5 | 7.2 | 57 | 6.5 |
| DEBT | 11268.8 | 100 | 3013.7 | 26.7 | 5247.4 | 46.6 | 864.9 | 7.7 | 1543.2 | 13.7 | 599.5 | 5.3 |
| DEBT (Standard Error) | 214.8 | 0 | 117.7 | 1 | 185 | 1.3 | 61.2 | 0.5 | 129.3 | 1 | 64.4 | 0.6 |
| MRTHEL | 8418.6 | 100 | 2133.9 | 25.3 | 4218.2 | 50.1 | 637 | 7.6 | 1084.3 | 12.9 | 345.1 | 4.1 |
| MRTHEL (Standard Error) | 179.9 | 0 | 100.1 | 1.1 | 154 | 1.4 | 53.7 | 0.6 | 90 | 1 | 41.9 | 0.5 |
| RESDBT | 1140.8 | 100 | 65.9 | 5.8 | 397.1 | 34.8 | 147.3 | 12.9 | 375.4 | 32.9 | 155 | 13.6 |
| RESDBT (Standard Error) | 88 | 0 | 12 | 1.2 | 58.5 | 4 | 26 | 2.2 | 60.5 | 4.1 | 30.6 | 2.6 |
| INSTALL | 1144.8 | 100 | 603.9 | 52.8 | 406.8 | 35.5 | 49.2 | 4.3 | 36.7 | 3.2 | 48.2 | 4.2 |
| INSTALL (Standard Error) | 36.4 | 0 | 25.4 | 1.6 | 18.3 | 1.5 | 6.4 | 0.6 | 7.9 | 0.7 | 18 | 1.5 |
| OTHLOC | 49.8 | 100 | 5.4 | 10.8 | 18.3 | 36.7 | 1.5 | 3 | 8.3 | 16.7 | 16.3 | 32.8 |
| OTHLOC (Standard Error) | 10 | 0 | 1.3 | 3.2 | 5.4 | 9.5 | 1 | 2.2 | 3.7 | 6.9 | 7.5 | 10.9 |
| CCBAL | 392.3 | 100 | 169.1 | 43.1 | 179.5 | 45.8 | 21.8 | 5.6 | 17 | 4.3 | 4.8 | 1.2 |
| CCBAL (Standard Error) | 17.2 | 0 | 11.8 | 2.2 | 10.9 | 2.2 | 6.4 | 1.6 | 2.6 | 0.7 | 1.3 | 0.3 |
| ODEBT | 122.5 | 100 | 35.4 | 28.9 | 27.5 | 22.5 | 8.1 | 6.6 | 21.5 | 17.6 | 30 | 24.5 |
| ODEBT (Standard Error) | 13.2 | 0 | 4.3 | 3.6 | 5.2 | 4 | 3.2 | 2.7 | 6.7 | 4.9 | 8.5 | 5.7 |
| EQUITY | 13694.3 | 100 | 211.1 | 1.5 | 2682.4 | 19.6 | 1698.7 | 12.4 | 4173.1 | 30.5 | 4929 | 36 |
| EQUITY (Standard Error) | 463.7 | 0 | 11.6 | 0.1 | 141.1 | 1.1 | 129.9 | 1 | 255 | 1.6 | 392.1 | 2.1 |
| INCOME | 9784.9 | 100 | 2195 | 22.4 | 3551.9 | 36.3 | 809.7 | 8.3 | 1624.6 | 16.6 | 1603.8 | 16.4 |
| INCOME (Standard Error) | 155 | 0 | 41.5 | 0.6 | 81.4 | 0.8 | 47.2 | 0.5 | 95.3 | 0.9 | 112.9 | 1 |
| Item | All Total | All Share | <50 Total | <50 Share | 50-90 Total | 50-90 Share | 90-95 Total | 90-95 Share | 95-99 Total | 95-99 Share | 99-100 Total | 99-100 Share |
|---|---|---|---|---|---|---|---|---|---|---|---|---|
| NETWORTH | 55189.2 | 100 | 1404.3 | 2.5 | 15426.3 | 27.9 | 6617.3 | 12 | 13318.3 | 24.1 | 18423 | 33.4 |
| NETWORTH (Standard Error) | 1188.6 | 0 | 55 | 0.1 | 625.1 | 0.9 | 358.3 | 0.7 | 732.7 | 1.2 | 806.3 | 1.2 |
| ASSET | 64918 | 100 | 3759.8 | 5.8 | 20154.3 | 31 | 7427.4 | 11.4 | 14439.5 | 22.2 | 19137 | 29.5 |
| ASSET (Standard Error) | 1269.9 | 0 | 126.2 | 0.2 | 713.9 | 0.9 | 406.1 | 0.7 | 802.5 | 1.2 | 836.6 | 1.1 |
| FIN | 23178.5 | 100 | 581.4 | 2.5 | 6022.1 | 26 | 3160.7 | 13.6 | 6096.6 | 26.3 | 7317.7 | 31.6 |
| FIN (Standard Error) | 683.3 | 0 | 26.2 | 0.1 | 289.4 | 1.1 | 219.4 | 0.9 | 404.9 | 1.7 | 501.2 | 1.7 |
| LIQ | 3052.9 | 100 | 165.9 | 5.4 | 1016.6 | 33.3 | 342.6 | 11.2 | 823 | 27 | 704.8 | 23.1 |
| LIQ (Standard Error) | 165.3 | 0 | 9.1 | 0.4 | 50.5 | 1.9 | 43 | 1.4 | 86.8 | 2.5 | 127.6 | 3.4 |
| CDS | 856.9 | 100 | 19.7 | 2.3 | 362.9 | 42.3 | 184.3 | 21.5 | 191.4 | 22.3 | 98.5 | 11.5 |
| CDS (Standard Error) | 77 | 0 | 2.5 | 0.4 | 42.7 | 3.6 | 37 | 3.6 | 30.2 | 3.2 | 23.9 | 2.6 |
| SAVBND | 124.8 | 100 | 12.3 | 9.8 | 63.7 | 51 | 19.2 | 15.3 | 24.8 | 19.9 | 4.9 | 4 |
| SAVBND (Standard Error) | 12.3 | 0 | 2.7 | 2.3 | 8.3 | 4.9 | 7.5 | 5.4 | 5.1 | 3.8 | 1.5 | 1.2 |
| BOND | 1224.8 | 100 | 0.7 | 0.1 | 35.2 | 2.9 | 38.2 | 3.1 | 290.5 | 23.7 | 860.2 | 70.2 |
| BOND (Standard Error) | 143.4 | 0 | 0.8 | 0.1 | 12.3 | 1 | 16.4 | 1.4 | 65.4 | 5.2 | 139.6 | 5.6 |
| STOCKS | 4075.9 | 100 | 23.4 | 0.6 | 419.1 | 10.3 | 411.9 | 10.1 | 1147.9 | 28.2 | 2073.6 | 50.9 |
| STOCKS (Standard Error) | 281.2 | 0 | 3.8 | 0.1 | 47.6 | 1.3 | 70.8 | 1.7 | 111.3 | 2.9 | 249.2 | 3.4 |
| NMMF | 3406.3 | 100 | 24.7 | 0.7 | 619.7 | 18.2 | 364.7 | 10.7 | 1115.8 | 32.7 | 1281.5 | 37.6 |
| NMMF (Standard Error) | 254.9 | 0 | 3.5 | 0.1 | 55.8 | 1.9 | 62.7 | 2 | 128.5 | 3.5 | 213.9 | 4.3 |
| RETQLIQ | 7416 | 100 | 248.7 | 3.4 | 2841 | 38.3 | 1451.1 | 19.6 | 1868.5 | 25.2 | 1006.9 | 13.6 |
| RETQLIQ (Standard Error) | 276.5 | 0 | 14.5 | 0.2 | 180.3 | 2 | 139 | 1.8 | 183.1 | 2.3 | 130.3 | 1.6 |
| CASHLI | 686.7 | 100 | 44.9 | 6.5 | 248.4 | 36.2 | 73.7 | 10.7 | 171.1 | 24.9 | 148.6 | 21.6 |
| CASHLI (Standard Error) | 52.1 | 0 | 4.3 | 0.8 | 18.3 | 3 | 14.4 | 2.1 | 45.4 | 5.3 | 29.2 | 3.8 |
| OTHMA | 1849.1 | 100 | 12.7 | 0.7 | 329.5 | 17.8 | 234.9 | 12.7 | 389.4 | 21 | 882.7 | 47.8 |
| OTHMA (Standard Error) | 200.8 | 0 | 4 | 0.2 | 33.6 | 2.6 | 67.2 | 3.7 | 95.3 | 4.8 | 178.8 | 6.2 |
| OTHFIN | 485 | 100 | 28.5 | 5.9 | 86.1 | 17.8 | 40.1 | 8.3 | 74.3 | 15.4 | 256 | 52.7 |
| OTHFIN (Standard Error) | 70.8 | 0 | 5.2 | 1.4 | 13.1 | 3.5 | 11.5 | 2.7 | 51.1 | 9 | 58.1 | 9.2 |
| NFIN | 41739.5 | 100 | 3178.4 | 7.6 | 14132.2 | 33.9 | 4266.6 | 10.2 | 8343 | 20 | 11819.3 | 28.3 |
| NFIN (Standard Error) | 878.5 | 0 | 111.8 | 0.3 | 470 | 1 | 273 | 0.7 | 523.1 | 1.1 | 635.7 | 1.3 |
| VEHIC | 2136 | 100 | 573.4 | 26.8 | 1063.1 | 49.8 | 169.5 | 7.9 | 205.8 | 9.6 | 124.3 | 5.8 |
| VEHIC (Standard Error) | 35 | 0 | 14.3 | 0.7 | 30.5 | 1.1 | 17.9 | 0.8 | 18.3 | 0.8 | 11.6 | 0.5 |
| HOUSES | 20987.7 | 100 | 2460.7 | 11.7 | 10514.4 | 50.1 | 2493.9 | 11.9 | 3443.1 | 16.4 | 2075.7 | 9.9 |
| HOUSES (Standard Error) | 405.6 | 0 | 98.8 | 0.5 | 311.6 | 1.1 | 178.1 | 0.9 | 224.8 | 1 | 203.1 | 0.9 |
| ORESRE | 4127 | 100 | 62.6 | 1.5 | 909.5 | 22 | 599.5 | 14.5 | 1342.1 | 32.5 | 1213.4 | 29.4 |
| ORESRE (Standard Error) | 229.2 | 0 | 10.1 | 0.3 | 69.4 | 1.9 | 94.7 | 2.2 | 133.7 | 2.8 | 163.3 | 3 |
| NNRESRE | 3044.8 | 100 | 21.6 | 0.7 | 496.1 | 16.3 | 343.4 | 11.3 | 743.8 | 24.4 | 1439.9 | 47.3 |
| NNRESRE (Standard Error) | 260.7 | 0 | 4.8 | 0.2 | 69.2 | 2.3 | 64 | 2.2 | 114.4 | 3.4 | 209.1 | 4.3 |
| BUS | 10808.4 | 100 | 37.4 | 0.3 | 997.3 | 9.2 | 615.2 | 5.7 | 2425.1 | 22.4 | 6733.4 | 62.3 |
| BUS (Standard Error) | 576.8 | 0 | 5.7 | 0.1 | 106.8 | 1 | 91.2 | 0.9 | 301.9 | 2.5 | 483.8 | 2.7 |
| OTHNFIN | 635.5 | 100 | 22.8 | 3.6 | 151.7 | 23.9 | 45.3 | 7.1 | 183.1 | 28.8 | 232.8 | 36.6 |
| OTHNFIN (Standard Error) | 70.2 | 0 | 4 | 0.7 | 24.1 | 3.8 | 15.3 | 2.5 | 40.3 | 5.3 | 52.1 | 5.8 |
| DEBT | 9728.8 | 100 | 2355.5 | 24.2 | 4728 | 48.6 | 810.1 | 8.3 | 1121.2 | 11.5 | 714 | 7.3 |
| DEBT (Standard Error) | 216.9 | 0 | 94.6 | 0.9 | 145.2 | 1.2 | 83.6 | 0.9 | 108.1 | 1 | 94.1 | 0.9 |
| MRTHEL | 7314.9 | 100 | 1669.8 | 22.8 | 3910.7 | 53.5 | 648.9 | 8.9 | 729 | 10 | 356.5 | 4.9 |
| MRTHEL (Standard Error) | 164.6 | 0 | 79.3 | 1 | 122.9 | 1.2 | 73.3 | 1 | 63.6 | 0.9 | 52.9 | 0.7 |
| RESDBT | 824.8 | 100 | 24.4 | 3 | 211.3 | 25.7 | 104.9 | 12.7 | 297.9 | 36.1 | 186.3 | 22.5 |
| RESDBT (Standard Error) | 96.4 | 0 | 7.3 | 1 | 25.9 | 4.1 | 20.1 | 2.4 | 60.4 | 5.5 | 65.7 | 6.1 |
| INSTALL | 1066.4 | 100 | 493.1 | 46.2 | 418.6 | 39.3 | 29.9 | 2.8 | 47.8 | 4.5 | 76.9 | 7.2 |
| INSTALL (Standard Error) | 47.2 | 0 | 28.1 | 1.8 | 20 | 1.9 | 5.6 | 0.5 | 8.6 | 0.8 | 27.7 | 2.4 |
| OTHLOC | 70.4 | 100 | 7.6 | 10.9 | 17.8 | 25.1 | 1.3 | 1.9 | 10.7 | 15.3 | 33 | 46.9 |
| OTHLOC (Standard Error) | 14.4 | 0 | 2.6 | 3.9 | 6.5 | 8.3 | 2.7 | 3.9 | 5.3 | 7 | 10.8 | 10.2 |
| CCBAL | 292.2 | 100 | 133.4 | 45.7 | 137 | 46.9 | 10.7 | 3.6 | 9 | 3.1 | 2.1 | 0.7 |
| CCBAL (Standard Error) | 9.5 | 0 | 6.7 | 1.9 | 8.2 | 2.2 | 2.5 | 0.8 | 2.1 | 0.7 | 1 | 0.3 |
| ODEBT | 160.2 | 100 | 27.1 | 16.9 | 32.6 | 20.3 | 14.4 | 8.9 | 26.8 | 16.8 | 59.2 | 37 |
| ODEBT (Standard Error) | 23.9 | 0 | 5.8 | 4.4 | 5.1 | 3.9 | 4.8 | 3.1 | 9.4 | 5.9 | 20.4 | 9.1 |
| EQUITY | 11885.2 | 100 | 178.1 | 1.5 | 2587.2 | 21.8 | 1609.6 | 13.5 | 3371.9 | 28.4 | 4138.3 | 34.8 |
| EQUITY (Standard Error) | 436.2 | 0 | 12.5 | 0.1 | 160.7 | 1.3 | 146.9 | 1.3 | 236.7 | 2 | 370.5 | 2.3 |
| INCOME | 8714.8 | 100 | 2073.2 | 23.8 | 3487.9 | 40 | 739.8 | 8.5 | 1227.9 | 14.1 | 1186 | 13.6 |
| INCOME (Standard Error) | 144.8 | 0 | 39.4 | 0.5 | 95 | 0.9 | 56.9 | 0.7 | 78.1 | 0.8 | 82.4 | 0.9 |
| Item | All Total | All Share | <50 Total | <50 Share | 50-90 Total | 50-90 Share | 90-95 Total | 90-95 Share | 95-99 Total | 95-99 Share | 99-100 Total | 99-100 Share |
|---|---|---|---|---|---|---|---|---|---|---|---|---|
| NETWORTH | 49764.6 | 100 | 1381.5 | 2.8 | 13648.2 | 27.4 | 6038.3 | 12.1 | 12443.1 | 25 | 16253.4 | 32.7 |
| NETWORTH (Standard Error) | 836.9 | 0 | 47 | 0.1 | 329.7 | 0.7 | 348.6 | 0.7 | 536 | 1.1 | 896.5 | 1.4 |
| ASSET | 56558.8 | 100 | 3147.8 | 5.6 | 16909.4 | 29.9 | 6621.6 | 11.7 | 13226 | 23.4 | 16654 | 29.4 |
| ASSET (Standard Error) | 861.2 | 0 | 93.3 | 0.2 | 393.7 | 0.8 | 385.9 | 0.7 | 565.5 | 1 | 919 | 1.3 |
| FIN | 23976.4 | 100 | 603.2 | 2.5 | 6110.6 | 25.5 | 3375.4 | 14.1 | 6357.7 | 26.5 | 7529.5 | 31.4 |
| FIN (Standard Error) | 658.8 | 0 | 23.5 | 0.1 | 220.5 | 1 | 226 | 0.9 | 382 | 1.5 | 579.1 | 1.9 |
| LIQ | 2784.4 | 100 | 167.2 | 6 | 903.7 | 32.5 | 377 | 13.5 | 607 | 21.8 | 729.4 | 26.2 |
| LIQ (Standard Error) | 131.2 | 0 | 7.6 | 0.4 | 40.7 | 1.8 | 48.9 | 1.7 | 54.7 | 1.9 | 114 | 3.2 |
| CDS | 730.8 | 100 | 29.7 | 4.1 | 392.3 | 53.7 | 126.6 | 17.3 | 136.2 | 18.6 | 46 | 6.3 |
| CDS (Standard Error) | 57.7 | 0 | 4.8 | 0.7 | 37.2 | 3.8 | 30.9 | 3.7 | 28.7 | 3.3 | 13.8 | 1.7 |
| SAVBND | 163.5 | 100 | 6.8 | 4.1 | 74.3 | 45.4 | 16.4 | 10.1 | 35.7 | 21.9 | 30.3 | 18.5 |
| SAVBND (Standard Error) | 28 | 0 | 1.4 | 1.2 | 12.5 | 8 | 4.9 | 3.2 | 18.9 | 8.5 | 15.5 | 8.5 |
| BOND | 1080.9 | 100 | 2.7 | 0.3 | 43.1 | 4 | 95.2 | 8.8 | 244.1 | 22.6 | 695.7 | 64.3 |
| BOND (Standard Error) | 126.8 | 0 | 1.5 | 0.1 | 13.5 | 1.3 | 39.1 | 3.5 | 50 | 4.2 | 114.8 | 5.6 |
| STOCKS | 5124.7 | 100 | 26 | 0.5 | 581.8 | 11.4 | 515.7 | 10.1 | 1285.7 | 25.1 | 2715.5 | 53 |
| STOCKS (Standard Error) | 335.8 | 0 | 3.3 | 0.1 | 55.3 | 1.3 | 90.6 | 1.7 | 133.6 | 2.8 | 319.6 | 3.4 |
| NMMF | 2898.1 | 100 | 27.1 | 0.9 | 595.1 | 20.5 | 522.5 | 18 | 939.9 | 32.4 | 813.4 | 28.1 |
| NMMF (Standard Error) | 181.5 | 0 | 3.9 | 0.1 | 34.4 | 1.6 | 63.9 | 2 | 113.9 | 3.4 | 145.1 | 4 |
| RETQLIQ | 6861.2 | 100 | 223.3 | 3.3 | 2509.4 | 36.6 | 1201.2 | 17.5 | 1987.4 | 29 | 939.9 | 13.7 |
| RETQLIQ (Standard Error) | 261.1 | 0 | 12.6 | 0.2 | 128.1 | 1.8 | 99.3 | 1.3 | 191.3 | 2.2 | 132.6 | 1.8 |
| CASHLI | 1260.5 | 100 | 91 | 7.2 | 585.4 | 46.5 | 197.7 | 15.7 | 226.4 | 17.9 | 160 | 12.7 |
| CASHLI (Standard Error) | 71.8 | 0 | 9.2 | 0.8 | 52 | 3.4 | 44.2 | 3.4 | 48.1 | 3.5 | 30.2 | 2.3 |
| OTHMA | 2582.7 | 100 | 8.6 | 0.3 | 341.9 | 13.2 | 297.6 | 11.6 | 736.9 | 28.7 | 1197.7 | 46.2 |
| OTHMA (Standard Error) | 258.5 | 0 | 3.2 | 0.1 | 77.4 | 2.9 | 53.2 | 2.4 | 150.7 | 6.2 | 261.7 | 7.2 |
| OTHFIN | 489.7 | 100 | 20.8 | 4.3 | 83.5 | 17 | 25.5 | 5.2 | 158.4 | 32.3 | 201.5 | 41.2 |
| OTHFIN (Standard Error) | 72.3 | 0 | 2.7 | 0.8 | 14.9 | 3.3 | 6.1 | 1.4 | 38.6 | 6.3 | 54.5 | 7.2 |
| NFIN | 32582.4 | 100 | 2544.6 | 7.8 | 10798.8 | 33.1 | 3246.2 | 10 | 6868.3 | 21.1 | 9124.5 | 28 |
| NFIN (Standard Error) | 732.8 | 0 | 84 | 0.3 | 286.2 | 1 | 237.8 | 0.7 | 367.2 | 1.2 | 706.8 | 1.7 |
| VEHIC | 1937.1 | 100 | 541.5 | 28 | 935.3 | 48.3 | 182.9 | 9.4 | 179.1 | 9.2 | 98.2 | 5.1 |
| VEHIC (Standard Error) | 28 | 0 | 14.1 | 0.7 | 19.3 | 0.8 | 14 | 0.7 | 11.6 | 0.6 | 9.4 | 0.5 |
| HOUSES | 15279.1 | 100 | 1880.8 | 12.3 | 7734.7 | 50.6 | 1850.6 | 12.1 | 2438.5 | 16 | 1374.6 | 9 |
| HOUSES (Standard Error) | 257.6 | 0 | 74.4 | 0.5 | 206.9 | 1 | 146.2 | 0.9 | 132.9 | 0.8 | 133.3 | 0.8 |
| ORESRE | 2639.3 | 100 | 48.5 | 1.8 | 709.5 | 26.9 | 304.7 | 11.5 | 808.4 | 30.6 | 768.3 | 29.1 |
| ORESRE (Standard Error) | 148.8 | 0 | 6.9 | 0.3 | 54.9 | 2.4 | 52.7 | 1.9 | 92.2 | 2.8 | 94.8 | 2.9 |
| NNRESRE | 2671.2 | 100 | 15.6 | 0.6 | 385.7 | 14.5 | 241.4 | 9 | 938.7 | 35.1 | 1089.8 | 40.8 |
| NNRESRE (Standard Error) | 225.1 | 0 | 4.6 | 0.2 | 63.4 | 2.5 | 39.3 | 1.6 | 110.8 | 3.8 | 186.3 | 4.6 |
| BUS | 9530.4 | 100 | 34.6 | 0.4 | 940.1 | 9.9 | 630.6 | 6.6 | 2367 | 24.8 | 5558.1 | 58.3 |
| BUS (Standard Error) | 606.3 | 0 | 5.6 | 0.1 | 81.1 | 1 | 96 | 1 | 260.2 | 2.7 | 575.4 | 3.1 |
| OTHNFIN | 525.4 | 100 | 23.7 | 4.5 | 93.5 | 17.8 | 36 | 6.8 | 136.5 | 26 | 235.6 | 44.8 |
| OTHNFIN (Standard Error) | 85.8 | 0 | 3.2 | 0.8 | 11.1 | 3 | 14.1 | 2.6 | 35 | 5.7 | 75 | 7.7 |
| DEBT | 6794.2 | 100 | 1766.3 | 26 | 3261.2 | 48 | 583.2 | 8.6 | 782.8 | 11.5 | 400.7 | 5.9 |
| DEBT (Standard Error) | 138.3 | 0 | 70.6 | 1 | 127.5 | 1.5 | 65.4 | 1 | 61.9 | 0.9 | 47.2 | 0.7 |
| MRTHEL | 5112 | 100 | 1203.1 | 23.5 | 2640.6 | 51.7 | 463.9 | 9.1 | 566.6 | 11.1 | 237.9 | 4.7 |
| MRTHEL (Standard Error) | 126.4 | 0 | 60.9 | 1.2 | 114.2 | 1.6 | 54.9 | 1.1 | 46.7 | 0.9 | 32.6 | 0.6 |
| RESDBT | 422.9 | 100 | 18.2 | 4.3 | 174.1 | 41.2 | 45.1 | 10.7 | 117.6 | 27.8 | 67.9 | 16.1 |
| RESDBT (Standard Error) | 32 | 0 | 4 | 0.9 | 19.2 | 4.1 | 11 | 2.5 | 21.7 | 4.4 | 17.5 | 3.8 |
| INSTALL | 837.1 | 100 | 401.5 | 48 | 313 | 37.4 | 48 | 5.7 | 43.2 | 5.2 | 31.4 | 3.7 |
| INSTALL (Standard Error) | 35.6 | 0 | 18.2 | 1.8 | 15.3 | 1.7 | 14.3 | 1.6 | 13.8 | 1.6 | 9.6 | 1.1 |
| OTHLOC | 34.8 | 100 | 4.8 | 13.8 | 8.1 | 23.6 | 1.7 | 5 | 10 | 28.5 | 10.2 | 29.1 |
| OTHLOC (Standard Error) | 9.4 | 0 | 1.4 | 5.6 | 3.1 | 10.4 | 1.2 | 3.9 | 6.8 | 14 | 5.3 | 12.3 |
| CCBAL | 228.9 | 100 | 113.6 | 49.6 | 95.6 | 41.8 | 7.3 | 3.2 | 11.1 | 4.8 | 1.3 | 0.5 |
| CCBAL (Standard Error) | 9.5 | 0 | 5.7 | 2.1 | 5.7 | 2.1 | 1.6 | 0.7 | 5.4 | 2.2 | 0.4 | 0.2 |
| ODEBT | 158.5 | 100 | 25.2 | 15.9 | 29.8 | 18.8 | 17.2 | 10.8 | 34.4 | 21.7 | 52 | 32.8 |
| ODEBT (Standard Error) | 18.1 | 0 | 3.7 | 2.6 | 5.6 | 4.1 | 5.9 | 3.6 | 9.9 | 5.3 | 13.4 | 6 |
| EQUITY | 13399.7 | 100 | 192.3 | 1.4 | 2926.1 | 21.8 | 1929.8 | 14.4 | 3866.9 | 28.9 | 4484.5 | 33.5 |
| EQUITY (Standard Error) | 493.4 | 0 | 11.8 | 0.1 | 138.8 | 1.2 | 160.8 | 1.1 | 276.3 | 1.9 | 426 | 2.4 |
| INCOME | 8657.3 | 100 | 1980.1 | 22.9 | 3300 | 38.1 | 794.5 | 9.2 | 1325.1 | 15.3 | 1257.6 | 14.5 |
| INCOME (Standard Error) | 239.6 | 0 | 40.6 | 0.8 | 89.7 | 1.2 | 67.3 | 0.8 | 92.4 | 1 | 213.7 | 2.1 |
| Item | All Total | All Share | <50 Total | <50 Share | 50-90 Total | 50-90 Share | 90-95 Total | 90-95 Share | 95-99 Total | 95-99 Share | 99-100 Total | 99-100 Share |
|---|---|---|---|---|---|---|---|---|---|---|---|---|
| NETWORTH | 37009.8 | 100 | 1111.3 | 3 | 10502 | 28.4 | 4213.9 | 11.4 | 8635.8 | 23.3 | 12546.9 | 33.9 |
| NETWORTH (Standard Error) | 1203.9 | 0 | 60.8 | 0.2 | 424.2 | 0.9 | 254.2 | 0.6 | 629.6 | 1.2 | 670.5 | 1.5 |
| ASSET | 43133 | 100 | 2877.4 | 6.7 | 13274.8 | 30.8 | 4713.9 | 10.9 | 9381.4 | 21.7 | 12885.4 | 29.9 |
| ASSET (Standard Error) | 1243.6 | 0 | 95.6 | 0.3 | 484.7 | 0.9 | 283.6 | 0.6 | 658.7 | 1.2 | 684.1 | 1.4 |
| FIN | 17574 | 100 | 548.2 | 3.1 | 4648.1 | 26.4 | 2191.1 | 12.5 | 4569.8 | 26 | 5616.7 | 32 |
| FIN (Standard Error) | 696.5 | 0 | 23.7 | 0.2 | 243.4 | 1.1 | 177.2 | 0.9 | 409.3 | 1.8 | 422.9 | 2 |
| LIQ | 1991.3 | 100 | 137.3 | 6.9 | 742 | 37.3 | 265.3 | 13.3 | 431.8 | 21.7 | 414.7 | 20.8 |
| LIQ (Standard Error) | 101.5 | 0 | 6.6 | 0.4 | 51.1 | 2.6 | 77.4 | 3.5 | 48.1 | 2.5 | 62.8 | 2.7 |
| CDS | 752.8 | 100 | 33.7 | 4.5 | 391 | 51.9 | 106.5 | 14.2 | 131.2 | 17.4 | 90.4 | 12 |
| CDS (Standard Error) | 70.5 | 0 | 4.2 | 0.7 | 38.3 | 4 | 22.2 | 2.7 | 41.1 | 4.2 | 22.5 | 2.7 |
| SAVBND | 118.7 | 100 | 8.9 | 7.5 | 71.7 | 60.4 | 15.9 | 13.4 | 13.2 | 11.1 | 9 | 7.6 |
| SAVBND (Standard Error) | 10.4 | 0 | 1.5 | 1.1 | 8.7 | 4.1 | 3.2 | 2.9 | 3 | 2.4 | 3.2 | 2.5 |
| BOND | 756.1 | 100 | 0.6 | 0.1 | 48.1 | 6.4 | 46.9 | 6.2 | 225.4 | 29.7 | 435 | 57.6 |
| BOND (Standard Error) | 72.5 | 0 | 0.3 | 0 | 11.8 | 1.4 | 23.5 | 3 | 62.4 | 7.6 | 65.6 | 6.6 |
| STOCKS | 3986.8 | 100 | 21.9 | 0.5 | 407.8 | 10.2 | 299.4 | 7.5 | 1030.9 | 25.8 | 2226.8 | 55.9 |
| STOCKS (Standard Error) | 253.6 | 0 | 3.4 | 0.1 | 47 | 1.1 | 57.2 | 1.4 | 142.7 | 3.2 | 219.7 | 3.4 |
| NMMF | 2173.7 | 100 | 29.3 | 1.3 | 509.5 | 23.5 | 333.8 | 15.3 | 721.5 | 33.2 | 579.7 | 26.7 |
| NMMF (Standard Error) | 168.8 | 0 | 4 | 0.2 | 46.4 | 2.5 | 62.7 | 2.7 | 92.3 | 3.5 | 105.2 | 3.8 |
| RETQLIQ | 4822.9 | 100 | 209.6 | 4.3 | 1769.3 | 36.7 | 720.4 | 14.9 | 1260.2 | 26.1 | 863.3 | 17.9 |
| RETQLIQ (Standard Error) | 238.2 | 0 | 15.4 | 0.4 | 98.5 | 1.7 | 71 | 1.4 | 140.7 | 2.3 | 141.5 | 2.6 |
| CASHLI | 1112.9 | 100 | 69.5 | 6.3 | 473.6 | 42.5 | 245.8 | 22.1 | 210.8 | 18.9 | 113.3 | 10.2 |
| CASHLI (Standard Error) | 83.2 | 0 | 5.4 | 0.7 | 59.1 | 4.5 | 50.1 | 4.2 | 51.7 | 3.8 | 19.6 | 1.9 |
| OTHMA | 1565.8 | 100 | 13.3 | 0.9 | 143.1 | 9.2 | 126.3 | 8 | 485.1 | 31 | 798 | 51 |
| OTHMA (Standard Error) | 165.6 | 0 | 3.2 | 0.2 | 20.7 | 1.8 | 27.2 | 1.7 | 97.5 | 5.2 | 127.2 | 5.4 |
| OTHFIN | 292.9 | 100 | 24.1 | 8.2 | 92 | 31.4 | 30.7 | 10.5 | 59.5 | 20.3 | 86.5 | 29.5 |
| OTHFIN (Standard Error) | 32.5 | 0 | 4.6 | 1.7 | 18.7 | 5.8 | 11.7 | 4 | 16.6 | 5 | 20.4 | 5.7 |
| NFIN | 25559 | 100 | 2329.2 | 9.1 | 8626.7 | 33.8 | 2522.8 | 9.9 | 4811.7 | 18.8 | 7268.6 | 28.4 |
| NFIN (Standard Error) | 775.1 | 0 | 85.5 | 0.4 | 283.5 | 1.1 | 171.2 | 0.6 | 342.6 | 1.1 | 512.5 | 1.5 |
| VEHIC | 1646.7 | 100 | 452.6 | 27.5 | 785.1 | 47.7 | 148.9 | 9 | 159.1 | 9.7 | 100.9 | 6.1 |
| VEHIC (Standard Error) | 30.6 | 0 | 10.8 | 0.7 | 27.2 | 1.2 | 12.1 | 0.8 | 14.7 | 0.8 | 11.9 | 0.7 |
| HOUSES | 11996.2 | 100 | 1709.2 | 14.2 | 6149.7 | 51.3 | 1374.6 | 11.5 | 1808.5 | 15.1 | 954.2 | 8 |
| HOUSES (Standard Error) | 241.4 | 0 | 75.7 | 0.6 | 196.3 | 1.3 | 106.9 | 0.8 | 118.4 | 0.9 | 95.4 | 0.8 |
| ORESRE | 2169.4 | 100 | 89 | 4.1 | 685.1 | 31.6 | 329.4 | 15.2 | 622.1 | 28.6 | 443.9 | 20.5 |
| ORESRE (Standard Error) | 144.5 | 0 | 15.1 | 0.7 | 62.8 | 2.3 | 42.6 | 1.9 | 83 | 2.8 | 60.7 | 2.3 |
| NNRESRE | 1975.7 | 100 | 14.9 | 0.8 | 297.5 | 15.1 | 191.1 | 9.7 | 558.9 | 28.3 | 913.3 | 46.2 |
| NNRESRE (Standard Error) | 178.6 | 0 | 3.5 | 0.2 | 35.6 | 2 | 26.4 | 1.4 | 91.8 | 3.8 | 138.7 | 4.2 |
| BUS | 7324.9 | 100 | 38.5 | 0.5 | 602.2 | 8.2 | 428.6 | 5.8 | 1541.4 | 21 | 4714.2 | 64.4 |
| BUS (Standard Error) | 543.4 | 0 | 6.4 | 0.1 | 56.6 | 0.9 | 55 | 0.7 | 211 | 2.3 | 432.9 | 2.7 |
| OTHNFIN | 446.1 | 100 | 24.9 | 5.6 | 107.2 | 24 | 50.2 | 11.2 | 121.7 | 27.3 | 142.1 | 31.9 |
| OTHNFIN (Standard Error) | 42 | 0 | 3.7 | 0.9 | 14.4 | 3 | 14.4 | 3.1 | 20 | 3.7 | 30 | 4.7 |
| DEBT | 6123.2 | 100 | 1766.1 | 28.8 | 2772.8 | 45.3 | 500 | 8.2 | 745.6 | 12.2 | 338.5 | 5.5 |
| DEBT (Standard Error) | 150.5 | 0 | 86.1 | 1.2 | 106.6 | 1.3 | 49.5 | 0.8 | 59.8 | 0.9 | 39.6 | 0.6 |
| MRTHEL | 4374 | 100 | 1144.5 | 26.2 | 2175.5 | 49.7 | 359.8 | 8.2 | 509 | 11.6 | 185.2 | 4.2 |
| MRTHEL (Standard Error) | 112.4 | 0 | 62.2 | 1.4 | 93.8 | 1.6 | 35.6 | 0.8 | 43.5 | 0.9 | 27.2 | 0.6 |
| RESDBT | 459.6 | 100 | 53.4 | 11.6 | 166.7 | 36.3 | 55 | 12 | 123.7 | 26.9 | 60.7 | 13.2 |
| RESDBT (Standard Error) | 41.2 | 0 | 12.2 | 2.5 | 25.7 | 3.8 | 14.4 | 2.9 | 20.4 | 3.6 | 11.5 | 2.5 |
| INSTALL | 802.8 | 100 | 390.5 | 48.6 | 291.7 | 36.3 | 50.7 | 6.3 | 45.7 | 5.7 | 24.2 | 3 |
| INSTALL (Standard Error) | 25.2 | 0 | 17 | 1.8 | 16.7 | 1.8 | 9.3 | 1.1 | 8.8 | 1.1 | 7.8 | 0.9 |
| OTHLOC | 20.5 | 100 | 5.1 | 25.1 | 3.9 | 19 | 1.8 | 8.7 | 4.1 | 19.7 | 5.7 | 27.6 |
| OTHLOC (Standard Error) | 3.7 | 0 | 0.8 | 4.5 | 1.1 | 5.2 | 0.8 | 3.8 | 1.5 | 6.5 | 3 | 9.8 |
| CCBAL | 237.2 | 100 | 123.5 | 52.1 | 90.7 | 38.2 | 10.3 | 4.4 | 11.1 | 4.7 | 1.5 | 0.7 |
| CCBAL (Standard Error) | 9.5 | 0 | 7.7 | 2.3 | 5.6 | 2.2 | 2.4 | 1 | 2.8 | 1.2 | 0.8 | 0.4 |
| ODEBT | 229.1 | 100 | 49 | 21.2 | 44.4 | 19.4 | 22.4 | 9.8 | 52.1 | 22.8 | 61.2 | 26.7 |
| ODEBT (Standard Error) | 52.7 | 0 | 44.7 | 13.4 | 11.5 | 5.5 | 10.8 | 4.6 | 16.1 | 6.8 | 19.9 | 7.7 |
| EQUITY | 9461.9 | 100 | 169.4 | 1.8 | 1925.2 | 20.3 | 1024.5 | 10.8 | 2675.1 | 28.3 | 3667.6 | 38.8 |
| EQUITY (Standard Error) | 461.2 | 0 | 11.9 | 0.1 | 113.1 | 1.1 | 98.1 | 1.1 | 286.4 | 2.4 | 322.6 | 2.6 |
| INCOME | 6943.9 | 100 | 1768.7 | 25.5 | 2854.3 | 41.1 | 540.9 | 7.8 | 925.8 | 13.3 | 854.1 | 12.3 |
| INCOME (Standard Error) | 141.2 | 0 | 38.1 | 0.7 | 80.2 | 1 | 38.7 | 0.5 | 78 | 1 | 79.9 | 1 |
| Item | All Total | All Share | <50 Total | <50 Share | 50-90 Total | 50-90 Share | 90-95 Total | 90-95 Share | 95-99 Total | 95-99 Share | 99-100 Total | 99-100 Share |
|---|---|---|---|---|---|---|---|---|---|---|---|---|
| NETWORTH | 28356.2 | 100 | 1016.3 | 3.6 | 8119.3 | 28.6 | 3367.1 | 11.9 | 6041.6 | 21.3 | 9811.8 | 34.6 |
| NETWORTH (Standard Error) | 698.7 | 0 | 36.2 | 0.2 | 166.1 | 0.7 | 176.7 | 0.6 | 291 | 0.9 | 533.6 | 1.3 |
| ASSET | 33208.9 | 100 | 2491.6 | 7.5 | 10347.5 | 31.2 | 3784.6 | 11.4 | 6479.5 | 19.5 | 10105.7 | 30.4 |
| ASSET (Standard Error) | 713 | 0 | 80.2 | 0.3 | 206.6 | 0.7 | 198.2 | 0.6 | 307.8 | 0.8 | 538.9 | 1.2 |
| FIN | 12191.7 | 100 | 446.7 | 3.7 | 3098.5 | 25.4 | 1660.4 | 13.6 | 2961.3 | 24.3 | 4024.9 | 33 |
| FIN (Standard Error) | 447.6 | 0 | 17.2 | 0.2 | 82.6 | 0.9 | 125.7 | 1 | 171.4 | 1.2 | 350.2 | 1.9 |
| LIQ | 1698.9 | 100 | 115.7 | 6.8 | 513.7 | 30.3 | 187.1 | 11 | 298.8 | 17.6 | 583.7 | 34.3 |
| LIQ (Standard Error) | 143.9 | 0 | 5.6 | 0.6 | 22.3 | 2.3 | 18 | 1.3 | 35.9 | 2 | 130 | 4.7 |
| CDS | 686.9 | 100 | 25.1 | 3.7 | 264.7 | 38.5 | 112.4 | 16.3 | 179.3 | 26.1 | 105.4 | 15.4 |
| CDS (Standard Error) | 53.7 | 0 | 3.9 | 0.6 | 29.8 | 3.7 | 27.8 | 3.7 | 30.3 | 3.6 | 27.2 | 3.9 |
| SAVBND | 160.8 | 100 | 11.9 | 7.4 | 76.8 | 47.7 | 31.3 | 19.5 | 32.4 | 20.1 | 8.5 | 5.3 |
| SAVBND (Standard Error) | 13.6 | 0 | 1.5 | 0.9 | 7.3 | 4.5 | 7.2 | 3.7 | 8.5 | 4.3 | 3 | 1.8 |
| BOND | 763.8 | 100 | 1.5 | 0.2 | 38.5 | 5 | 51.7 | 6.8 | 139.9 | 18.3 | 532.3 | 69.7 |
| BOND (Standard Error) | 88.3 | 0 | 0.9 | 0.1 | 8 | 1.1 | 11.9 | 1.5 | 31.8 | 3.9 | 80 | 4.5 |
| STOCKS | 1905 | 100 | 15.4 | 0.8 | 169.3 | 8.9 | 129 | 6.8 | 527 | 27.7 | 1064.3 | 55.9 |
| STOCKS (Standard Error) | 158.9 | 0 | 2.3 | 0.1 | 15.3 | 1 | 28 | 1.3 | 80.5 | 4.2 | 147 | 4.6 |
| NMMF | 1547.3 | 100 | 11.9 | 0.8 | 245.4 | 15.9 | 184.2 | 11.9 | 474.6 | 30.8 | 631.2 | 40.7 |
| NMMF (Standard Error) | 202.9 | 0 | 2.5 | 0.2 | 23.9 | 2.3 | 25.2 | 1.6 | 63.4 | 4.6 | 183.2 | 6.4 |
| RETQLIQ | 3429.3 | 100 | 166.9 | 4.9 | 1161.7 | 33.9 | 702.8 | 20.5 | 856.9 | 25 | 541 | 15.8 |
| RETQLIQ (Standard Error) | 148.5 | 0 | 9.7 | 0.3 | 53.2 | 1.5 | 75.5 | 1.9 | 92.4 | 2.5 | 90.4 | 2.3 |
| CASHLI | 877.4 | 100 | 69.4 | 7.9 | 419.9 | 47.9 | 124.6 | 14.2 | 110.1 | 12.5 | 153.4 | 17.5 |
| CASHLI (Standard Error) | 53.1 | 0 | 5.4 | 0.7 | 28.5 | 2.9 | 21.6 | 2.6 | 35.8 | 3.7 | 31.6 | 3 |
| OTHMA | 714.3 | 100 | 9.7 | 1.4 | 88.8 | 12.5 | 78.4 | 11 | 222.9 | 31.2 | 314.5 | 44 |
| OTHMA (Standard Error) | 87.6 | 0 | 3 | 0.4 | 13.3 | 2.2 | 22 | 2.9 | 39.6 | 4.8 | 73.4 | 6.1 |
| OTHFIN | 408 | 100 | 19.3 | 4.7 | 119.7 | 29.3 | 59 | 14.5 | 119.3 | 29.2 | 90.7 | 22.3 |
| OTHFIN (Standard Error) | 51.7 | 0 | 2.3 | 0.8 | 15.5 | 3.9 | 18.6 | 4.7 | 48.1 | 8.2 | 17 | 4.1 |
| NFIN | 21017.2 | 100 | 2044.9 | 9.7 | 7249 | 34.5 | 2124.2 | 10.1 | 3518.2 | 16.7 | 6080.8 | 28.9 |
| NFIN (Standard Error) | 444.7 | 0 | 69.5 | 0.4 | 166.5 | 0.9 | 117.1 | 0.6 | 195.4 | 0.8 | 360.9 | 1.3 |
| VEHIC | 1497.8 | 100 | 442.6 | 29.6 | 719.5 | 48 | 134.1 | 9 | 132.7 | 8.9 | 68.9 | 4.6 |
| VEHIC (Standard Error) | 23.3 | 0 | 12.8 | 0.9 | 19.7 | 1 | 8.5 | 0.5 | 8.9 | 0.6 | 8 | 0.5 |
| HOUSES | 9972.8 | 100 | 1475.5 | 14.8 | 5331.4 | 53.5 | 1134.4 | 11.4 | 1324.1 | 13.3 | 707.4 | 7.1 |
| HOUSES (Standard Error) | 144.7 | 0 | 60.9 | 0.6 | 122.5 | 0.9 | 65.1 | 0.6 | 67.9 | 0.6 | 49.8 | 0.5 |
| ORESRE | 1675.3 | 100 | 63.6 | 3.8 | 423.1 | 25.3 | 326.6 | 19.5 | 467.7 | 27.9 | 394.4 | 23.5 |
| ORESRE (Standard Error) | 95.2 | 0 | 9.2 | 0.5 | 32.7 | 1.6 | 48 | 2.4 | 44.1 | 2.2 | 46.3 | 2.1 |
| NNRESRE | 1664 | 100 | 9.6 | 0.6 | 218.3 | 13.1 | 181.9 | 10.9 | 512.2 | 30.8 | 742.1 | 44.6 |
| NNRESRE (Standard Error) | 121.7 | 0 | 6.6 | 0.4 | 25 | 1.6 | 31.9 | 1.8 | 62.3 | 3.2 | 95.9 | 3.8 |
| BUS | 5721.5 | 100 | 33.8 | 0.6 | 444.5 | 7.8 | 301.1 | 5.3 | 968.5 | 16.9 | 3973.5 | 69.5 |
| BUS (Standard Error) | 353.5 | 0 | 5.9 | 0.1 | 41.6 | 0.8 | 48.5 | 0.8 | 130.6 | 2.1 | 312.1 | 2.4 |
| OTHNFIN | 485.8 | 100 | 19.8 | 4.1 | 112.3 | 23.1 | 46.2 | 9.5 | 113 | 23.3 | 194.6 | 40 |
| OTHNFIN (Standard Error) | 47.2 | 0 | 2.3 | 0.7 | 14.7 | 3.5 | 8.2 | 1.9 | 23.1 | 4.2 | 38.1 | 5.3 |
| DEBT | 4852.7 | 100 | 1475.3 | 30.4 | 2228.2 | 45.9 | 417.5 | 8.6 | 437.9 | 9 | 293.9 | 6.1 |
| DEBT (Standard Error) | 86.5 | 0 | 56.9 | 1.1 | 71 | 1.2 | 38.3 | 0.8 | 36.5 | 0.7 | 36.3 | 0.7 |
| MRTHEL | 3548 | 100 | 1001.7 | 28.2 | 1790 | 50.4 | 281.7 | 7.9 | 321.6 | 9.1 | 153.1 | 4.3 |
| MRTHEL (Standard Error) | 73.4 | 0 | 49.5 | 1.3 | 58.4 | 1.3 | 26.5 | 0.7 | 28.7 | 0.8 | 15.9 | 0.4 |
| RESDBT | 368.6 | 100 | 33.8 | 9.2 | 106 | 28.8 | 89.3 | 24.2 | 76.4 | 20.7 | 63.1 | 17.1 |
| RESDBT (Standard Error) | 33.2 | 0 | 10 | 2.5 | 11.8 | 3.4 | 25.6 | 5.7 | 13.3 | 3.5 | 12.8 | 3.2 |
| INSTALL | 580.8 | 100 | 311.3 | 53.6 | 210.8 | 36.3 | 25.1 | 4.3 | 21.9 | 3.8 | 11.7 | 2 |
| INSTALL (Standard Error) | 17.7 | 0 | 14.6 | 1.7 | 11 | 1.6 | 3.6 | 0.6 | 4.5 | 0.8 | 4.5 | 0.8 |
| OTHLOC | 27.8 | 100 | 6.3 | 22.7 | 5.8 | 20.9 | 2.2 | 8 | 2.1 | 7.5 | 11.4 | 41 |
| OTHLOC (Standard Error) | 5.3 | 0 | 1.4 | 5.1 | 2.1 | 6.6 | 0.7 | 2.6 | 1.1 | 3.3 | 4.1 | 8.8 |
| CCBAL | 189.1 | 100 | 88.3 | 46.7 | 87.4 | 46.2 | 7.9 | 4.2 | 4.7 | 2.5 | 0.8 | 0.4 |
| CCBAL (Standard Error) | 6.9 | 0 | 4.5 | 1.9 | 5.3 | 1.9 | 1.3 | 0.7 | 0.8 | 0.4 | 0.2 | 0.1 |
| ODEBT | 138.3 | 100 | 33.9 | 24.7 | 28.2 | 20.3 | 11.3 | 8.2 | 11.2 | 8.3 | 53.8 | 38.6 |
| ODEBT (Standard Error) | 25.3 | 0 | 4.7 | 5.3 | 8.1 | 5.1 | 4 | 2.8 | 7.8 | 5.9 | 21.5 | 10.3 |
| EQUITY | 4883.4 | 100 | 106.1 | 2.2 | 873.5 | 17.9 | 577.7 | 11.8 | 1472.9 | 30.2 | 1853.2 | 37.9 |
| EQUITY (Standard Error) | 232.4 | 0 | 7.9 | 0.2 | 41.2 | 1 | 55.7 | 1.1 | 111.6 | 2.1 | 193.7 | 2.7 |
| INCOME | 5970.6 | 100 | 1667 | 27.9 | 2424.3 | 40.6 | 543.4 | 9.1 | 649 | 10.9 | 686.9 | 11.5 |
| INCOME (Standard Error) | 93.9 | 0 | 36.7 | 0.7 | 59.8 | 0.9 | 40.6 | 0.7 | 39.9 | 0.6 | 63.9 | 1 |
| Item | All Total | All Share | <50 Total | <50 Share | 50-90 Total | 50-90 Share | 90-95 Total | 90-95 Share | 95-99 Total | 95-99 Share | 99-100 Total | 99-100 Share |
|---|---|---|---|---|---|---|---|---|---|---|---|---|
| NETWORTH | 25938.8 | 100 | 858.2 | 3.3 | 7686.1 | 29.6 | 3253.5 | 12.5 | 6316.9 | 24.4 | 7824.1 | 30.2 |
| NETWORTH (Standard Error) | 768.5 | 0 | 45 | 0.2 | 217.2 | 1.1 | 192.2 | 0.7 | 395.1 | 1.3 | 520.8 | 1.4 |
| ASSET | 30325.6 | 100 | 1986.9 | 6.6 | 9733.5 | 32.1 | 3651.4 | 12 | 6860.4 | 22.6 | 8093.3 | 26.7 |
| ASSET (Standard Error) | 810 | 0 | 70 | 0.3 | 268.8 | 1.1 | 213.2 | 0.7 | 420.5 | 1.2 | 534.4 | 1.3 |
| FIN | 9563 | 100 | 324.4 | 3.4 | 2712.5 | 28.4 | 1390.4 | 14.5 | 2608.5 | 27.3 | 2527.1 | 26.4 |
| FIN (Standard Error) | 277.8 | 0 | 14.8 | 0.2 | 116.7 | 1.4 | 97.5 | 1 | 188 | 1.7 | 200.9 | 1.7 |
| LIQ | 1666.9 | 100 | 108.3 | 6.5 | 579.8 | 34.8 | 229.4 | 13.8 | 380.3 | 22.8 | 369.1 | 22.1 |
| LIQ (Standard Error) | 67.8 | 0 | 5.6 | 0.4 | 35.4 | 2.2 | 21.9 | 1.3 | 43.6 | 2.4 | 55 | 2.7 |
| CDS | 766.2 | 100 | 29.2 | 3.8 | 365.4 | 47.7 | 188.9 | 24.7 | 117.4 | 15.3 | 65.2 | 8.5 |
| CDS (Standard Error) | 55.1 | 0 | 4.4 | 0.6 | 34.3 | 4.4 | 30.2 | 3.5 | 19.1 | 2.4 | 32.7 | 3.8 |
| SAVBND | 108.8 | 100 | 10.8 | 10 | 51.2 | 47.1 | 18.8 | 17.2 | 18.1 | 16.6 | 9.8 | 9 |
| SAVBND (Standard Error) | 10.1 | 0 | 1.6 | 1.8 | 5.4 | 4.7 | 6.8 | 5.4 | 4.2 | 3.6 | 3.5 | 3.1 |
| BOND | 804.2 | 100 | 2.3 | 0.3 | 50.7 | 6.3 | 89 | 11.1 | 244.1 | 30.3 | 418 | 52 |
| BOND (Standard Error) | 81.2 | 0 | 1.1 | 0.1 | 9.2 | 1.4 | 24.2 | 3 | 47 | 5 | 64.7 | 5.1 |
| STOCKS | 1575.3 | 100 | 12.9 | 0.8 | 181.1 | 11.5 | 142.6 | 9 | 468.1 | 29.7 | 770.5 | 48.9 |
| STOCKS (Standard Error) | 126.2 | 0 | 2 | 0.2 | 16.7 | 1.5 | 23.2 | 1.4 | 81.6 | 4 | 89.4 | 3.9 |
| NMMF | 728.5 | 100 | 9.3 | 1.3 | 169.5 | 23.3 | 113 | 15.6 | 248 | 34 | 188.8 | 25.8 |
| NMMF (Standard Error) | 76.5 | 0 | 2 | 0.3 | 20.6 | 3.2 | 22 | 3.4 | 51 | 4.8 | 36 | 3.7 |
| RETQLIQ | 2450.4 | 100 | 79.9 | 3.3 | 872 | 35.6 | 421.4 | 17.2 | 726.5 | 29.6 | 350.6 | 14.3 |
| RETQLIQ (Standard Error) | 127.5 | 0 | 7.2 | 0.3 | 47.7 | 2.5 | 39.5 | 1.4 | 78.8 | 2.6 | 83.1 | 2.9 |
| CASHLI | 583.9 | 100 | 48.3 | 8.3 | 278.2 | 47.7 | 70.6 | 12.1 | 143.9 | 24.6 | 42.9 | 7.3 |
| CASHLI (Standard Error) | 58.3 | 0 | 3.5 | 1.2 | 25.6 | 4.7 | 15.6 | 2.6 | 46.2 | 6 | 6.2 | 1.1 |
| OTHMA | 519.5 | 100 | 3.9 | 0.8 | 78.4 | 15.1 | 77.9 | 15 | 158.1 | 30.4 | 201.2 | 38.7 |
| OTHMA (Standard Error) | 71.4 | 0 | 2 | 0.4 | 14.1 | 2.5 | 19.1 | 3.7 | 40.7 | 5.4 | 47.6 | 5.2 |
| OTHFIN | 359.4 | 100 | 19.3 | 5.4 | 86.1 | 23.9 | 39 | 10.8 | 103.9 | 29 | 111.1 | 30.9 |
| OTHFIN (Standard Error) | 42.7 | 0 | 2.2 | 1 | 13.9 | 3.6 | 12.8 | 3.4 | 29.6 | 6.9 | 26 | 5.7 |
| NFIN | 20762.6 | 100 | 1662.5 | 8 | 7021 | 33.8 | 2261 | 10.9 | 4251.9 | 20.5 | 5566.2 | 26.8 |
| NFIN (Standard Error) | 663 | 0 | 63.4 | 0.4 | 195.3 | 1.3 | 153.2 | 0.7 | 302.5 | 1.2 | 472.8 | 1.6 |
| VEHIC | 1179.5 | 100 | 321.1 | 27.2 | 562.2 | 47.7 | 106.5 | 9 | 130.5 | 11.1 | 59.2 | 5 |
| VEHIC (Standard Error) | 24.5 | 0 | 10.4 | 1 | 18.5 | 1.2 | 9.1 | 0.7 | 10 | 0.7 | 7.1 | 0.6 |
| HOUSES | 9743.7 | 100 | 1212.7 | 12.4 | 5144.6 | 52.8 | 1188.7 | 12.2 | 1504.2 | 15.4 | 693.6 | 7.1 |
| HOUSES (Standard Error) | 215.2 | 0 | 53.1 | 0.6 | 152.7 | 1.4 | 94.4 | 0.9 | 115 | 1 | 82.5 | 0.8 |
| ORESRE | 1755.2 | 100 | 57.7 | 3.3 | 476.8 | 27.2 | 324.1 | 18.5 | 490 | 27.9 | 406.5 | 23.2 |
| ORESRE (Standard Error) | 97.2 | 0 | 10.7 | 0.6 | 41.9 | 2.3 | 45.7 | 2.5 | 54.8 | 2.5 | 55.6 | 2.6 |
| NNRESRE | 2269.6 | 100 | 16.2 | 0.7 | 245.8 | 10.8 | 188.4 | 8.3 | 566.9 | 25 | 1252.2 | 55.2 |
| NNRESRE (Standard Error) | 250 | 0 | 3.7 | 0.2 | 24.4 | 1.3 | 38.5 | 1.6 | 90.5 | 3 | 190.5 | 3.6 |
| BUS | 5470.2 | 100 | 39.1 | 0.7 | 488.9 | 9 | 429.6 | 7.9 | 1475.5 | 27 | 3037.1 | 55.5 |
| BUS (Standard Error) | 435.4 | 0 | 7.7 | 0.2 | 43.7 | 1 | 69.3 | 1.2 | 187.5 | 3 | 335.2 | 3.1 |
| OTHNFIN | 344.3 | 100 | 15.6 | 4.5 | 102.7 | 29.8 | 23.7 | 6.9 | 84.8 | 24.7 | 117.6 | 34.1 |
| OTHNFIN (Standard Error) | 36.8 | 0 | 2.3 | 0.8 | 16.2 | 4 | 6.1 | 1.7 | 20.4 | 5.1 | 23.7 | 5.2 |
| DEBT | 4386.7 | 100 | 1128.7 | 25.7 | 2047.4 | 46.7 | 397.8 | 9.1 | 543.5 | 12.4 | 269.2 | 6.1 |
| DEBT (Standard Error) | 128 | 0 | 58.7 | 1.3 | 88.5 | 1.6 | 46.8 | 1 | 52.4 | 1.1 | 30.7 | 0.6 |
| MRTHEL | 3156.6 | 100 | 732.3 | 23.2 | 1652.6 | 52.4 | 281.1 | 8.9 | 372.4 | 11.8 | 118.1 | 3.7 |
| MRTHEL (Standard Error) | 97.7 | 0 | 44.6 | 1.4 | 75.2 | 2 | 39.6 | 1.2 | 40.4 | 1.2 | 15.9 | 0.5 |
| RESDBT | 449.1 | 100 | 42.1 | 9.4 | 124.9 | 27.8 | 85 | 18.9 | 116.6 | 25.9 | 80.6 | 17.9 |
| RESDBT (Standard Error) | 42.2 | 0 | 16.1 | 3.2 | 20.4 | 4.1 | 20.5 | 4.1 | 20 | 3.7 | 15.1 | 3.1 |
| INSTALL | 497.4 | 100 | 264 | 53.1 | 175.6 | 35.3 | 15.3 | 3.1 | 29.2 | 5.9 | 13.3 | 2.7 |
| INSTALL (Standard Error) | 28.1 | 0 | 24.9 | 2.5 | 9.2 | 1.8 | 2.9 | 0.6 | 5.5 | 1.1 | 2.9 | 0.6 |
| OTHLOC | 36.5 | 100 | 2.7 | 7.4 | 9.5 | 26 | 3.9 | 10.6 | 1.9 | 5.2 | 18.6 | 50.8 |
| OTHLOC (Standard Error) | 8.7 | 0 | 0.5 | 2 | 3.9 | 9 | 3.1 | 8 | 1.2 | 3.1 | 7 | 11.3 |
| CCBAL | 140.3 | 100 | 66.8 | 47.6 | 60.7 | 43.3 | 6.8 | 4.8 | 4.6 | 3.3 | 1.3 | 0.9 |
| CCBAL (Standard Error) | 6.7 | 0 | 3.8 | 2.1 | 4.2 | 2.1 | 2.7 | 1.8 | 0.9 | 0.6 | 0.5 | 0.4 |
| ODEBT | 106.8 | 100 | 20.7 | 19.4 | 24.1 | 22.6 | 5.7 | 5.3 | 18.8 | 17.5 | 37.4 | 35.1 |
| ODEBT (Standard Error) | 14.8 | 0 | 4.6 | 4.9 | 4.7 | 4.9 | 2.1 | 1.9 | 6.1 | 5.4 | 12.1 | 8.1 |
| EQUITY | 3233.2 | 100 | 54.9 | 1.7 | 673.9 | 20.9 | 373.2 | 11.5 | 986.5 | 30.5 | 1144.7 | 35.4 |
| EQUITY (Standard Error) | 186.7 | 0 | 4.8 | 0.2 | 34.5 | 1.7 | 43.6 | 1.2 | 132.6 | 3 | 112.2 | 2.6 |
| INCOME | 5558.5 | 100 | 1561.3 | 28.1 | 2325.5 | 41.8 | 497.7 | 9 | 702.3 | 12.6 | 471.7 | 8.5 |
| INCOME (Standard Error) | 75.6 | 0 | 38.1 | 0.7 | 72 | 1.2 | 36.6 | 0.6 | 42.9 | 0.7 | 42.4 | 0.7 |
| Item | All Total | All Share | <50 Total | <50 Share | 50-90 Total | 50-90 Share | 90-95 Total | 90-95 Share | 95-99 Total | 95-99 Share | 99-100 Total | 99-100 Share |
|---|---|---|---|---|---|---|---|---|---|---|---|---|
| NETWORTH | 28395.4 | 100 | 839.2 | 3 | 8473.5 | 29.9 | 3703.9 | 13 | 6840.3 | 24.1 | 8538.5 | 30.1 |
| NETWORTH (Standard Error) | 2263.1 | 0 | 34.3 | 0.3 | 452.1 | 1.8 | 675.7 | 1.6 | 1087.1 | 2.3 | 876.2 | 2.3 |
| ASSET | 32308.6 | 100 | 1755.6 | 5.4 | 10488.2 | 32.5 | 4091.9 | 12.6 | 7221.8 | 22.3 | 8751.2 | 27.1 |
| ASSET (Standard Error) | 2381.5 | 0 | 62.7 | 0.4 | 516.7 | 1.8 | 754.6 | 1.6 | 1092.6 | 2.1 | 928.5 | 2.1 |
| FIN | 9972.1 | 100 | 341.9 | 3.4 | 2790.7 | 28 | 1359.3 | 13.6 | 2664.7 | 26.7 | 2815.5 | 28.3 |
| FIN (Standard Error) | 835.3 | 0 | 18 | 0.4 | 224.6 | 1.9 | 187 | 1.4 | 435.4 | 3 | 429.9 | 3.5 |
| LIQ | 1853.6 | 100 | 111.1 | 6 | 595.1 | 32.2 | 244 | 13.2 | 401.7 | 21.7 | 501.7 | 26.9 |
| LIQ (Standard Error) | 175 | 0 | 6.1 | 0.7 | 47.6 | 3.7 | 31.6 | 2.2 | 112.2 | 5.8 | 212 | 9.3 |
| CDS | 984.1 | 100 | 40.4 | 4.1 | 430.5 | 43.8 | 163.3 | 16.6 | 250.6 | 25.3 | 99.3 | 10.2 |
| CDS (Standard Error) | 89.2 | 0 | 6.3 | 0.7 | 40.6 | 4 | 26 | 2.7 | 80.3 | 6.2 | 42.6 | 4.1 |
| SAVBND | 147.2 | 100 | 9.8 | 6.7 | 70.1 | 47.6 | 27.8 | 19.1 | 28.7 | 19.3 | 10.7 | 7.3 |
| SAVBND (Standard Error) | 22.3 | 0 | 1.7 | 1.7 | 12 | 7.4 | 11.2 | 6.9 | 13.6 | 6.6 | 6.1 | 4.3 |
| BOND | 985.9 | 100 | 3.2 | 0.3 | 76.5 | 7.8 | 109.5 | 11 | 287.2 | 29.1 | 509.4 | 51.8 |
| BOND (Standard Error) | 206.5 | 0 | 1.4 | 0.1 | 13.9 | 1.8 | 42.5 | 3.7 | 82.2 | 6.2 | 163.5 | 8.3 |
| STOCKS | 1523.1 | 100 | 18.7 | 1.2 | 240.2 | 15.8 | 156 | 10.1 | 478.9 | 31.5 | 629.3 | 41.3 |
| STOCKS (Standard Error) | 201.4 | 0 | 4.9 | 0.4 | 27.1 | 2.3 | 60.2 | 3.3 | 93.8 | 5.8 | 151.3 | 6.7 |
| NMMF | 534.6 | 100 | 4.9 | 0.9 | 81.6 | 15.4 | 86.4 | 16.1 | 182.8 | 34.1 | 178.9 | 33.5 |
| NMMF (Standard Error) | 88.3 | 0 | 2.8 | 0.5 | 18.9 | 4.2 | 24.1 | 4.5 | 61.7 | 8.4 | 59.5 | 8.4 |
| RETQLIQ | 2114.5 | 100 | 71.1 | 3.4 | 854.5 | 40.5 | 317.7 | 15.1 | 559.8 | 26.3 | 311.5 | 14.8 |
| RETQLIQ (Standard Error) | 241.9 | 0 | 9.3 | 0.6 | 105.5 | 3.5 | 47.6 | 2.2 | 139.5 | 4.2 | 72.3 | 3.1 |
| CASHLI | 592.2 | 100 | 52.1 | 8.8 | 253.2 | 42.8 | 94.7 | 16 | 97.3 | 16.4 | 94.9 | 15.9 |
| CASHLI (Standard Error) | 61.2 | 0 | 7.3 | 1.7 | 26 | 4.2 | 18 | 3 | 24.3 | 3.4 | 38.5 | 5.2 |
| OTHMA | 735.5 | 100 | 2.9 | 0.4 | 98.3 | 13.3 | 86.4 | 11.4 | 210.4 | 29.4 | 337.4 | 45.5 |
| OTHMA (Standard Error) | 163.6 | 0 | 1.2 | 0.2 | 24.7 | 3 | 59.9 | 7.2 | 109.6 | 13.6 | 127.4 | 10.9 |
| OTHFIN | 501.4 | 100 | 27.7 | 5.6 | 90.7 | 18.3 | 73.5 | 14.9 | 167.3 | 33.2 | 142.3 | 28 |
| OTHFIN (Standard Error) | 112 | 0 | 4.9 | 1.5 | 15.8 | 4.3 | 27.6 | 5.4 | 67.5 | 7.7 | 56.8 | 7.6 |
| NFIN | 22336.5 | 100 | 1413.7 | 6.3 | 7697.4 | 34.5 | 2732.6 | 12.2 | 4557.1 | 20.4 | 5935.7 | 26.6 |
| NFIN (Standard Error) | 1707.4 | 0 | 59.8 | 0.5 | 324.7 | 2.1 | 604.3 | 2 | 772.6 | 2.3 | 747.9 | 2.3 |
| VEHIC | 1235.4 | 100 | 316.4 | 25.6 | 601.1 | 48.7 | 117.4 | 9.5 | 128.7 | 10.4 | 71.8 | 5.8 |
| VEHIC (Standard Error) | 51.2 | 0 | 12 | 1.3 | 24.2 | 2.2 | 13.9 | 1.1 | 19.4 | 1.4 | 42.7 | 2.9 |
| HOUSES | 10158.4 | 100 | 989 | 9.7 | 5655.4 | 55.7 | 1301.3 | 12.8 | 1541.8 | 15.2 | 670.9 | 6.6 |
| HOUSES (Standard Error) | 459.3 | 0 | 49 | 0.7 | 210.5 | 2.3 | 156.2 | 1.2 | 268.4 | 2.1 | 125 | 1 |
| ORESRE | 1815.2 | 100 | 47.2 | 2.6 | 551.2 | 30.4 | 362.5 | 19.9 | 507.1 | 27.9 | 347.2 | 19.2 |
| ORESRE (Standard Error) | 188 | 0 | 10.4 | 0.6 | 68.7 | 3.1 | 83.3 | 3.4 | 101.5 | 4.3 | 66.2 | 3.4 |
| NNRESRE | 2472.6 | 100 | 12.7 | 0.5 | 222.6 | 9 | 240.2 | 9.6 | 637.9 | 25.9 | 1359.2 | 55.1 |
| NNRESRE (Standard Error) | 461.2 | 0 | 16.5 | 0.7 | 77.6 | 3.2 | 117.7 | 4 | 139.1 | 4.5 | 336.1 | 6.2 |
| BUS | 6052 | 100 | 23.5 | 0.4 | 537.7 | 8.9 | 629.1 | 10.2 | 1636.7 | 27.1 | 3225.1 | 53.5 |
| BUS (Standard Error) | 878.1 | 0 | 7 | 0.1 | 82.4 | 1.2 | 329.5 | 4.2 | 411.8 | 4.6 | 498.8 | 5.8 |
| OTHNFIN | 602.8 | 100 | 24.8 | 4.1 | 129.3 | 21.5 | 82.1 | 13.6 | 105 | 17.4 | 261.6 | 43.4 |
| OTHNFIN (Standard Error) | 90.5 | 0 | 4.8 | 0.9 | 15.6 | 3.9 | 25.5 | 4.2 | 38.4 | 5.6 | 80.7 | 8.4 |
| DEBT | 3913.2 | 100 | 916.4 | 23.4 | 2014.7 | 51.5 | 388 | 9.9 | 381.5 | 9.8 | 212.6 | 5.4 |
| DEBT (Standard Error) | 178.3 | 0 | 47.3 | 1.6 | 107.4 | 2.2 | 93.9 | 2.1 | 60.9 | 1.6 | 86.4 | 2 |
| MRTHEL | 2684.8 | 100 | 558.3 | 20.8 | 1551.7 | 57.8 | 265.3 | 9.9 | 231.9 | 8.6 | 77.8 | 2.9 |
| MRTHEL (Standard Error) | 125.9 | 0 | 39.9 | 1.7 | 88.9 | 2.5 | 57.4 | 1.9 | 46.2 | 1.7 | 46.6 | 1.6 |
| RESDBT | 303.2 | 100 | 19.7 | 6.5 | 99.3 | 32.8 | 64.5 | 21.1 | 76.2 | 25.2 | 43.5 | 14.4 |
| RESDBT (Standard Error) | 40.8 | 0 | 6.8 | 2.2 | 17.6 | 4.4 | 24.6 | 6.6 | 20.1 | 5.8 | 13.2 | 4.2 |
| INSTALL | 652.5 | 100 | 269.3 | 41.3 | 283.6 | 43.5 | 35.9 | 5.5 | 39.8 | 6.1 | 24 | 3.7 |
| INSTALL (Standard Error) | 46.1 | 0 | 14.3 | 3 | 19.7 | 3 | 9.3 | 1.4 | 10.8 | 1.6 | 37.8 | 4.8 |
| OTHLOC | 72.3 | 100 | 5.4 | 7.7 | 7.7 | 10.9 | 8.7 | 11.6 | 6.1 | 8.6 | 44.4 | 61.3 |
| OTHLOC (Standard Error) | 27 | 0 | 1 | 4.3 | 3 | 6.9 | 6.5 | 7.9 | 4.5 | 8.9 | 24.3 | 16.7 |
| CCBAL | 110 | 100 | 47.1 | 42.8 | 53.9 | 49 | 5.6 | 5 | 3.1 | 2.8 | 0.4 | 0.3 |
| CCBAL (Standard Error) | 5.9 | 0 | 3.7 | 3 | 4.4 | 3.2 | 2.5 | 2.2 | 1 | 0.9 | 0.2 | 0.2 |
| ODEBT | 90.4 | 100 | 16.7 | 18.6 | 18.5 | 20.4 | 8.1 | 8.6 | 24.6 | 27.5 | 22.6 | 25 |
| ODEBT (Standard Error) | 17.6 | 0 | 5.7 | 6.6 | 4.8 | 5.7 | 8.6 | 8.5 | 10.6 | 10.7 | 13.7 | 11.1 |
| EQUITY | 2841 | 100 | 44.7 | 1.6 | 587 | 20.7 | 336.6 | 11.7 | 843.3 | 29.8 | 1029.3 | 36.2 |
| EQUITY (Standard Error) | 319.2 | 0 | 7.1 | 0.3 | 58.9 | 2.1 | 108.4 | 2.8 | 131.2 | 4.5 | 197.6 | 4.7 |
| INCOME | 6138.6 | 100 | 1491.6 | 24.3 | 2501.2 | 40.8 | 548.3 | 8.9 | 755.7 | 12.3 | 841.8 | 13.7 |
| INCOME (Standard Error) | 240.9 | 0 | 39.1 | 1.1 | 93.2 | 1.5 | 82.5 | 1.2 | 107.8 | 1.7 | 162.8 | 2.3 |
| Variable | Definition |
|---|---|
| NETWORTH: | ASSET-DEBT. |
| ASSET: | FIN+NFIN. |
| FIN: | LIQ+CDS+SAVBND+BOND+STOCKS+NMMF+RETQLIQ+CASHLI+OTHMA+ OTHFIN. |
| LIQ: | Holdings of checking, savings, money market, and call accounts. |
| CDS: | Holdings of certificates of deposit. |
| SAVBND: | Holdings of savings bonds. |
| BOND: | Direct holdings of bonds.* |
| STOCKS: | Direct holdings of publicly traded stocks.* |
| NMMF: | Mutual funds other than money market mutual funds, and hedge funds. |
| RETQLIQ: | IRAs, Keogh accounts, and other pension accounts where withdrawals or loans may be taken (such as 401(k) accounts). |
| CASHLI: | Cash value of life insurance. |
| OTHMA: | Equity holdings of annuities, trusts, and managed investment accounts. |
| OTHFIN: | Value of miscellaneous financial assets (e.g., futures contracts, oil leases, royalties, etc.). |
| NFIN: | VEHIC+HOUSES+ORESRE+BUS+OTHNFIN. |
| VEHIC: vehicles. | Market value of all personally owned automobiles, trucks, motor homes, campers, motorcycles, boats, airplanes, helicopters, and miscellaneous |
| HOUSES: | Market value of principal residences. |
| ORESRE: | Market value of residential real estate other than principal residences. |
| NNRESRE: | Net equity in real estate other than HOUSES and ORESRE. |
| BUS: | Net equity in closely held businesses. |
| OTHNFIN: | Value of miscellaneous nonfinancial assets (e.g., antiques, artwork, etc.). |
| DEBT: | MRTHEL+INSTALL+OTHLOC+CCBAL+ODEBT. |
| MRTHEL: | Amount outstanding on mortgages and home equity lines of credit secured by principal residences. |
| RESDBT: | Amount outstanding on mortgages secured by residential real estate other than a principal residence. |
| INSTALL: | Amount outstanding on installment debt. |
| OTHLOC: | Amount outstanding on lines of credit other than home equity lines of credit. |
| CCBAL: | Amount outstanding on credit cards. |
| ODEBT: | Amount outstanding on miscellaneous debts (e.g., debts to family members, borrowing against insurance policies or pension accounts, margin debt, etc.). |
| EQUITY: | Total value of direct and indirect stock holdings (included in STOCKS and RETQLIQ).* |
| Item | All | All | <50 | <50 | 50-90 | 50-90 | 90-95 | 90-95 | 95-99 | 95-99 | 09-100 |
|---|---|---|---|---|---|---|---|---|---|---|---|
| INCOME | 100 | 100 | 100 | 100 | 100 | 100 | 100 | 100 | 100 | 100 | 100 |
| INCOME (Standard Error) | 0 | 0 | 0 | 0 | 0 | 0 | |||||
| WAGES | 74.1 | 60.8 | 60.8 | 87.7 | 87.7 | 89.4 | 89.4 | 82.9 | 82.9 | 77.9 | 77.9 |
| WAGES (Standard Error) | 0.5 | 0.9 | 0.9 | 0.7 | 0.7 | 2 | 2 | 1.8 | 1.8 | 3.2 | 3.2 |
| SELF-EMP | 10.6 | 6.1 | 6.1 | 13.3 | 13.3 | 19.1 | 19.1 | 25.4 | 25.4 | 24.7 | 24.7 |
| SELF-EMP (Standard Error) | 0.4 | 0.5 | 0.5 | 0.6 | 0.6 | 2.5 | 2.5 | 2.3 | 2.3 | 3.8 | 3.8 |
| NONTAXINT | 2.7 | 0.7 | 0.7 | 2.2 | 2.2 | 5 | 5 | 20.3 | 20.3 | 44.6 | 44.6 |
| NONTAXINT (Standard Error) | 0.2 | 0.1 | 0.1 | 0.3 | 0.3 | 1.4 | 1.4 | 2.3 | 2.3 | 4.3 | 4.3 |
| TAXINT | 24.2 | 12.9 | 12.9 | 28.7 | 28.7 | 54.4 | 54.4 | 66.5 | 66.5 | 85.7 | 85.7 |
| TAXINT (Standard Error) | 0.7 | 0.8 | 0.8 | 1 | 1 | 3.3 | 3.3 | 2.8 | 2.8 | 3.7 | 3.7 |
| DIVIDEND | 15.7 | 7.1 | 7.1 | 17.5 | 17.5 | 38.4 | 38.4 | 59 | 59 | 83.7 | 83.7 |
| DIVIDEND (Standard Error) | 0.4 | 0.5 | 0.5 | 0.8 | 0.8 | 3.2 | 3.2 | 3 | 3 | 2.6 | 2.6 |
| GAIN_LOSS | 10.7 | 4.7 | 4.7 | 11.8 | 11.8 | 27.3 | 27.3 | 40.3 | 40.3 | 68.2 | 68.2 |
| GAIN_LOSS (Standard Error) | 0.4 | 0.5 | 0.5 | 0.8 | 0.8 | 2.9 | 2.9 | 2.9 | 2.9 | 4.4 | 4.4 |
| BUSINESS | 10 | 3.7 | 3.7 | 11.9 | 11.9 | 23.3 | 23.3 | 40.3 | 40.3 | 61.8 | 61.8 |
| BUSINESS (Standard Error) | 0.3 | 0.4 | 0.4 | 0.7 | 0.7 | 2.5 | 2.5 | 2.9 | 2.9 | 4.4 | 4.4 |
| UNEMP | 4 | 4.5 | 4.5 | 4.2 | 4.2 | 1.5 | 1.5 | 0.1 | 0.1 | 0 | |
| UNEMP (Standard Error) | 0.2 | 0.4 | 0.4 | 0.4 | 0.4 | 1 | 1 | 0.4 | 0.4 | 0 | |
| ALIMONY | 5.7 | 6.4 | 6.4 | 5.5 | 5.5 | 2.8 | 2.8 | 2.8 | 2.8 | 0.3 | 0.3 |
| ALIMONY (Standard Error) | 0.3 | 0.5 | 0.5 | 0.6 | 0.6 | 0.8 | 0.8 | 1 | 1 | 0.1 | 0.1 |
| WELFARE | 9.6 | 18.1 | 18.1 | 1.3 | 1.3 | 0.7 | 0.7 | 0.2 | 0.2 | 0 | |
| WELFARE (Standard Error) | 0.5 | 0.9 | 0.9 | 0.2 | 0.2 | 0.5 | 0.5 | 0.2 | 0.2 | 0 | |
| PENSION | 31 | 39.6 | 39.6 | 22.6 | 22.6 | 19.9 | 19.9 | 22.3 | 22.3 | 27.9 | 27.9 |
| PENSION (Standard Error) | 0.4 | 0.7 | 0.7 | 0.8 | 0.8 | 2.8 | 2.8 | 2.4 | 2.4 | 3.8 | 3.8 |
| OTHINC | 5.1 | 6.4 | 6.4 | 3.7 | 3.7 | 4.1 | 4.1 | 4.2 | 4.2 | 5.8 | 5.8 |
| OTHINC (Standard Error) | 0.3 | 0.5 | 0.5 | 0.4 | 0.4 | 1.5 | 1.5 | 1 | 1 | 1.8 | 1.8 |
| Item | All | All | <50 | <50 | 50-90 | 50-90 | 90-95 | 90-95 | 95-99 | 95-99 | 09-100 |
|---|---|---|---|---|---|---|---|---|---|---|---|
| INCOME | 100 | 100 | 100 | 100 | 100 | 100 | 100 | 100 | 100 | 100 | 100 |
| INCOME (Standard Error) | 0 | 0 | 0 | 0 | 0 | 0 | |||||
| WAGES | 75.6 | 62.8 | 62.8 | 88.3 | 88.3 | 91.9 | 91.9 | 87.2 | 87.2 | 83.5 | 83.5 |
| WAGES (Standard Error) | 0.4 | 0.9 | 0.9 | 0.8 | 0.8 | 1.8 | 1.8 | 2 | 2 | 3 | 3 |
| SELF-EMP | 10 | 5.9 | 5.9 | 12.2 | 12.2 | 15.3 | 15.3 | 28.6 | 28.6 | 22.6 | 22.6 |
| SELF-EMP (Standard Error) | 0.5 | 0.5 | 0.5 | 0.9 | 0.9 | 2.3 | 2.3 | 2.8 | 2.8 | 3.1 | 3.1 |
| NONTAXINT | 2.9 | 0.7 | 0.7 | 3 | 3 | 6.6 | 6.6 | 17.5 | 17.5 | 36.3 | 36.3 |
| NONTAXINT (Standard Error) | 0.2 | 0.2 | 0.2 | 0.4 | 0.4 | 1.6 | 1.6 | 1.9 | 1.9 | 4.3 | 4.3 |
| TAXINT | 23.6 | 12.4 | 12.4 | 30.2 | 30.2 | 42.8 | 42.8 | 60.5 | 60.5 | 73 | 73 |
| TAXINT (Standard Error) | 0.7 | 0.8 | 0.8 | 1.1 | 1.1 | 3.2 | 3.2 | 3.3 | 3.3 | 4 | 4 |
| DIVIDEND | 15.5 | 6.6 | 6.6 | 19 | 19 | 33.7 | 33.7 | 51.7 | 51.7 | 78.6 | 78.6 |
| DIVIDEND (Standard Error) | 0.5 | 0.6 | 0.6 | 0.9 | 0.9 | 3.4 | 3.4 | 3.6 | 3.6 | 3.4 | 3.4 |
| GAIN_LOSS | 10.7 | 3.9 | 3.9 | 12.6 | 12.6 | 28.4 | 28.4 | 40.7 | 40.7 | 65.6 | 65.6 |
| GAIN_LOSS (Standard Error) | 0.5 | 0.4 | 0.4 | 0.8 | 0.8 | 3 | 3 | 3.3 | 3.3 | 4.1 | 4.1 |
| BUSINESS | 7.7 | 4 | 4 | 7.8 | 7.8 | 21.2 | 21.2 | 27.3 | 27.3 | 45 | 45 |
| BUSINESS (Standard Error) | 0.4 | 0.4 | 0.4 | 0.7 | 0.7 | 2.5 | 2.5 | 2.9 | 2.9 | 4 | 4 |
| UNEMP | 5.8 | 6 | 6 | 6.5 | 6.5 | 4.5 | 4.5 | 1.2 | 1.2 | 0.6 | 0.6 |
| UNEMP (Standard Error) | 0.3 | 0.4 | 0.4 | 0.6 | 0.6 | 0.9 | 0.9 | 0.6 | 0.6 | 1.5 | 1.5 |
| ALIMONY | 5.1 | 5.9 | 5.9 | 4.6 | 4.6 | 3.3 | 3.3 | 2.3 | 2.3 | 1 | 1 |
| ALIMONY (Standard Error) | 0.3 | 0.4 | 0.4 | 0.5 | 0.5 | 1.5 | 1.5 | 0.9 | 0.9 | 0.5 | 0.5 |
| WELFARE | 7.7 | 14.5 | 14.5 | 1.1 | 1.1 | 0 | 0 | 0.1 | 0.1 | ||
| WELFARE (Standard Error) | 0.4 | 0.8 | 0.8 | 0.2 | 0.2 | 0 | 0 | 0.1 | 0.1 | ||
| PENSION | 31.2 | 39 | 39 | 24.1 | 24.1 | 18.4 | 18.4 | 22.9 | 22.9 | 19.5 | 19.5 |
| PENSION (Standard Error) | 0.4 | 0.7 | 0.7 | 0.9 | 0.9 | 2.3 | 2.3 | 3 | 3 | 3.5 | 3.5 |
| OTHINC | 3.2 | 3.8 | 3.8 | 2.4 | 2.4 | 2.7 | 2.7 | 4.1 | 4.1 | 2.5 | 2.5 |
| OTHINC (Standard Error) | 0.2 | 0.4 | 0.4 | 0.4 | 0.4 | 1.1 | 1.1 | 1.5 | 1.5 | 1.2 | 1.2 |
| Item | All | All | <50 | <50 | 50-90 | 50-90 | 90-95 | 90-95 | 95-99 | 95-99 | 09-100 |
|---|---|---|---|---|---|---|---|---|---|---|---|
| INCOME | 100 | 100 | 100 | 100 | 100 | 100 | 100 | 100 | 100 | 100 | 100 |
| INCOME (Standard Error) | 0 | 0 | 0 | 0 | 0 | 0 | |||||
| WAGES | 77.3 | 64.7 | 64.7 | 90 | 90 | 92.5 | 92.5 | 85.4 | 85.4 | 86.6 | 86.6 |
| WAGES (Standard Error) | 0.4 | 0.8 | 0.8 | 0.7 | 0.7 | 1.5 | 1.5 | 1.9 | 1.9 | 2.6 | 2.6 |
| SELF-EMP | 9.5 | 4.8 | 4.8 | 11.1 | 11.1 | 18.2 | 18.2 | 30.4 | 30.4 | 50.4 | 50.4 |
| SELF-EMP (Standard Error) | 0.4 | 0.4 | 0.4 | 0.7 | 0.7 | 2.4 | 2.4 | 3.1 | 3.1 | 5 | 5 |
| NONTAXINT | 3.4 | 1.1 | 1.1 | 3.6 | 3.6 | 8.7 | 8.7 | 16.9 | 16.9 | 33.1 | 33.1 |
| NONTAXINT (Standard Error) | 0.2 | 0.2 | 0.2 | 0.4 | 0.4 | 1.8 | 1.8 | 2.7 | 2.7 | 4.2 | 4.2 |
| TAXINT | 28.5 | 16.5 | 16.5 | 35.2 | 35.2 | 54 | 54 | 66.3 | 66.3 | 79.8 | 79.8 |
| TAXINT (Standard Error) | 0.8 | 1 | 1 | 1.1 | 1.1 | 3.8 | 3.8 | 3.6 | 3.6 | 3.6 | 3.6 |
| DIVIDEND | 16.8 | 7.4 | 7.4 | 20.2 | 20.2 | 43.7 | 43.7 | 53.3 | 53.3 | 62.3 | 62.3 |
| DIVIDEND (Standard Error) | 0.6 | 0.5 | 0.5 | 0.9 | 0.9 | 3.1 | 3.1 | 3.5 | 3.5 | 5 | 5 |
| GAIN_LOSS | 12.4 | 4.2 | 4.2 | 15 | 15 | 36.8 | 36.8 | 46.6 | 46.6 | 64.9 | 64.9 |
| GAIN_LOSS (Standard Error) | 0.5 | 0.5 | 0.5 | 0.9 | 0.9 | 4 | 4 | 3.7 | 3.7 | 4.2 | 4.2 |
| BUSINESS | 6.2 | 2.5 | 2.5 | 6.8 | 6.8 | 18 | 18 | 24.7 | 24.7 | 33.9 | 33.9 |
| BUSINESS (Standard Error) | 0.3 | 0.3 | 0.3 | 0.7 | 0.7 | 2.7 | 2.7 | 2.8 | 2.8 | 4.3 | 4.3 |
| UNEMP | 4.2 | 4.3 | 4.3 | 4.8 | 4.8 | 1.5 | 1.5 | 2.6 | 2.6 | 0 | |
| UNEMP (Standard Error) | 0.3 | 0.4 | 0.4 | 0.5 | 0.5 | 0.4 | 0.4 | 1.6 | 1.6 | 0 | |
| ALIMONY | 5.1 | 5.6 | 5.6 | 4.8 | 4.8 | 5.4 | 5.4 | 2.4 | 2.4 | 0.8 | 0.8 |
| ALIMONY (Standard Error) | 0.4 | 0.5 | 0.5 | 0.5 | 0.5 | 1.4 | 1.4 | 1.1 | 1.1 | 0.6 | 0.6 |
| WELFARE | 6.1 | 11.8 | 11.8 | 0.4 | 0.4 | 0 | 0 | 0 | |||
| WELFARE (Standard Error) | 0.3 | 0.5 | 0.5 | 0.1 | 0.1 | 0 | 0 | 0 | |||
| PENSION | 30.6 | 39.9 | 39.9 | 22 | 22 | 18.9 | 18.9 | 18.1 | 18.1 | 19.6 | 19.6 |
| PENSION (Standard Error) | 0.4 | 0.8 | 0.8 | 0.9 | 0.9 | 2.3 | 2.3 | 2.6 | 2.6 | 3.7 | 3.7 |
| OTHINC | 3 | 2.8 | 2.8 | 3.2 | 3.2 | 2.9 | 2.9 | 3.7 | 3.7 | 5.5 | 5.5 |
| OTHINC (Standard Error) | 0.5 | 0.5 | 0.5 | 0.7 | 0.7 | 0.8 | 0.8 | 1.4 | 1.4 | 2.2 | 2.2 |
| Item | All | All | <50 | <50 | 50-90 | 50-90 | 90-95 | 90-95 | 95-99 | 95-99 | 09-100 |
|---|---|---|---|---|---|---|---|---|---|---|---|
| INCOME | 100 | 100 | 100 | 100 | 100 | 100 | 100 | 100 | 100 | 100 | 100 |
| INCOME (Standard Error) | 0 | 0 | 0 | 0 | 0 | 0 | |||||
| WAGES | 75.6 | 62.2 | 62.2 | 89 | 89 | 91.4 | 91.4 | 87.4 | 87.4 | 84.7 | 84.7 |
| WAGES (Standard Error) | 0.4 | 0.8 | 0.8 | 0.7 | 0.7 | 1.9 | 1.9 | 1.8 | 1.8 | 3.1 | 3.1 |
| SELF-EMP | 10.8 | 5.8 | 5.8 | 13 | 13 | 17 | 17 | 32.9 | 32.9 | 54 | 54 |
| SELF-EMP (Standard Error) | 0.5 | 0.6 | 0.6 | 0.8 | 0.8 | 2.2 | 2.2 | 2.8 | 2.8 | 5 | 5 |
| NONTAXINT | 3.4 | 1.1 | 1.1 | 4 | 4 | 7.3 | 7.3 | 15.7 | 15.7 | 30.5 | 30.5 |
| NONTAXINT (Standard Error) | 0.3 | 0.3 | 0.3 | 0.5 | 0.5 | 1.8 | 1.8 | 2.3 | 2.3 | 4.2 | 4.2 |
| TAXINT | 30.1 | 19.2 | 19.2 | 37.4 | 37.4 | 45.1 | 45.1 | 63.3 | 63.3 | 75.3 | 75.3 |
| TAXINT (Standard Error) | 0.7 | 0.9 | 0.9 | 1.2 | 1.2 | 3.2 | 3.2 | 3.6 | 3.6 | 3.9 | 3.9 |
| DIVIDEND | 15.9 | 6.5 | 6.5 | 20 | 20 | 35.3 | 35.3 | 54.6 | 54.6 | 68.5 | 68.5 |
| DIVIDEND (Standard Error) | 0.6 | 0.6 | 0.6 | 1.1 | 1.1 | 3.5 | 3.5 | 3.7 | 3.7 | 5.2 | 5.2 |
| GAIN_LOSS | 11 | 3.8 | 3.8 | 13.9 | 13.9 | 21.6 | 21.6 | 45.2 | 45.2 | 67.2 | 67.2 |
| GAIN_LOSS (Standard Error) | 0.5 | 0.6 | 0.6 | 0.9 | 0.9 | 3.2 | 3.2 | 3.3 | 3.3 | 4.9 | 4.9 |
| BUSINESS | 6.7 | 3.3 | 3.3 | 7.9 | 7.9 | 14.2 | 14.2 | 22.4 | 22.4 | 32.2 | 32.2 |
| BUSINESS (Standard Error) | 0.3 | 0.4 | 0.4 | 0.7 | 0.7 | 2 | 2 | 2.8 | 2.8 | 4.1 | 4.1 |
| UNEMP | 4.5 | 5.4 | 5.4 | 4 | 4 | 1.9 | 1.9 | 1.6 | 1.6 | 0.5 | 0.5 |
| UNEMP (Standard Error) | 0.3 | 0.5 | 0.5 | 0.4 | 0.4 | 0.9 | 0.9 | 0.9 | 0.9 | 0.6 | 0.6 |
| ALIMONY | 5.2 | 6.4 | 6.4 | 4.3 | 4.3 | 2.8 | 2.8 | 3.3 | 3.3 | 3.3 | 3.3 |
| ALIMONY (Standard Error) | 0.3 | 0.5 | 0.5 | 0.5 | 0.5 | 1 | 1 | 1.8 | 1.8 | 1.7 | 1.7 |
| WELFARE | 7.1 | 13.6 | 13.6 | 0.7 | 0.7 | 0 | 0 | 0 | |||
| WELFARE (Standard Error) | 0.4 | 0.7 | 0.7 | 0.2 | 0.2 | 0 | 0 | 0 | |||
| PENSION | 28.9 | 37.6 | 37.6 | 20.7 | 20.7 | 16.9 | 16.9 | 18.6 | 18.6 | 19.8 | 19.8 |
| PENSION (Standard Error) | 0.4 | 0.9 | 0.9 | 0.9 | 0.9 | 2.4 | 2.4 | 3 | 3 | 3.9 | 3.9 |
| OTHINC | 3 | 2.6 | 2.6 | 3 | 3 | 4.3 | 4.3 | 4.6 | 4.6 | 8.5 | 8.5 |
| OTHINC (Standard Error) | 0.4 | 0.4 | 0.4 | 0.7 | 0.7 | 1.5 | 1.5 | 1.2 | 1.2 | 3 | 3 |
| Item | All | All | <50 | <50 | 50-90 | 50-90 | 90-95 | 90-95 | 95-99 | 95-99 | 09-100 |
|---|---|---|---|---|---|---|---|---|---|---|---|
| INCOME | 100 | 100 | 100 | 100 | 100 | 100 | 100 | 100 | 100 | 100 | 100 |
| INCOME (Standard Error) | 0 | 0 | 0 | 0 | 0 | 0 | |||||
| WAGES | 73.5 | 56.8 | 56.8 | 89.7 | 89.7 | 92.8 | 92.8 | 91.9 | 91.9 | 85.8 | 85.8 |
| WAGES (Standard Error) | 0.5 | 0.8 | 0.8 | 0.7 | 0.7 | 1.8 | 1.8 | 1.3 | 1.3 | 2.2 | 2.2 |
| SELF-EMP | 10.8 | 6.4 | 6.4 | 12.2 | 12.2 | 21.5 | 21.5 | 28.6 | 28.6 | 49.4 | 49.4 |
| SELF-EMP (Standard Error) | 0.5 | 0.5 | 0.5 | 0.8 | 0.8 | 2.6 | 2.6 | 3.7 | 3.7 | 4.4 | 4.4 |
| NONTAXINT | 4.8 | 1.5 | 1.5 | 5.4 | 5.4 | 9.1 | 9.1 | 24.5 | 24.5 | 36.9 | 36.9 |
| NONTAXINT (Standard Error) | 0.2 | 0.2 | 0.2 | 0.5 | 0.5 | 2.1 | 2.1 | 2.6 | 2.6 | 4.3 | 4.3 |
| TAXINT | 31.3 | 20 | 20 | 36.4 | 36.4 | 63.5 | 63.5 | 68.9 | 68.9 | 77.1 | 77.1 |
| TAXINT (Standard Error) | 0.9 | 1.1 | 1.1 | 1.2 | 1.2 | 3.1 | 3.1 | 3 | 3 | 4 | 4 |
| DIVIDEND | 16.6 | 8.6 | 8.6 | 19.6 | 19.6 | 36.8 | 36.8 | 50.1 | 50.1 | 58.9 | 58.9 |
| DIVIDEND (Standard Error) | 0.5 | 0.7 | 0.7 | 0.8 | 0.8 | 3.1 | 3.1 | 3.3 | 3.3 | 5.2 | 5.2 |
| GAIN_LOSS | 7.8 | 2.6 | 2.6 | 8.9 | 8.9 | 21.2 | 21.2 | 35.1 | 35.1 | 49 | 49 |
| GAIN_LOSS (Standard Error) | 0.3 | 0.3 | 0.3 | 0.7 | 0.7 | 2.9 | 2.9 | 3.2 | 3.2 | 6 | 6 |
| BUSINESS | 7.6 | 4.2 | 4.2 | 8.2 | 8.2 | 17.2 | 17.2 | 26.4 | 26.4 | 35.9 | 35.9 |
| BUSINESS (Standard Error) | 0.3 | 0.4 | 0.4 | 0.6 | 0.6 | 2.4 | 2.4 | 3.3 | 3.3 | 4 | 4 |
| UNEMP | 5.6 | 5.6 | 5.6 | 6.1 | 6.1 | 3.3 | 3.3 | 4.7 | 4.7 | 0.6 | 0.6 |
| UNEMP (Standard Error) | 0.3 | 0.5 | 0.5 | 0.6 | 0.6 | 1.3 | 1.3 | 1.2 | 1.2 | 0.4 | 0.4 |
| ALIMONY | 5.7 | 6.1 | 6.1 | 5.9 | 5.9 | 4.1 | 4.1 | 1.4 | 1.4 | 1.1 | 1.1 |
| ALIMONY (Standard Error) | 0.3 | 0.5 | 0.5 | 0.5 | 0.5 | 1.3 | 1.3 | 0.9 | 0.9 | 0.6 | 0.6 |
| WELFARE | 10.5 | 20.3 | 20.3 | 0.8 | 0.8 | 0 | 0 | 0 | |||
| WELFARE (Standard Error) | 0.4 | 0.8 | 0.8 | 0.2 | 0.2 | 0 | 0 | 0 | |||
| PENSION | 30.3 | 40.7 | 40.7 | 19.5 | 19.5 | 22.5 | 22.5 | 21.1 | 21.1 | 14.9 | 14.9 |
| PENSION (Standard Error) | 0.4 | 0.8 | 0.8 | 1.1 | 1.1 | 3.1 | 3.1 | 2.7 | 2.7 | 2.5 | 2.5 |
| OTHINC | 3.9 | 4.1 | 4.1 | 3 | 3 | 7.5 | 7.5 | 5.5 | 5.5 | 9.8 | 9.8 |
| OTHINC (Standard Error) | 0.5 | 0.5 | 0.5 | 0.8 | 0.8 | 1.8 | 1.8 | 1.7 | 1.7 | 2.3 | 2.3 |
| Item | All | All | <50 | <50 | 50-90 | 50-90 | 90-95 | 90-95 | 95-99 | 95-99 | 09-100 |
|---|---|---|---|---|---|---|---|---|---|---|---|
| INCOME | 100 | 100 | 100 | 100 | 100 | 100 | 100 | 100 | 100 | 100 | 100 |
| INCOME (Standard Error) | 0 | 0 | 0 | 0 | 0 | 0 | |||||
| WAGES | 72.8 | 56.9 | 56.9 | 88.9 | 88.9 | 89.9 | 89.9 | 86.2 | 86.2 | 86.1 | 86.1 |
| WAGES (Standard Error) | 0.6 | 1.1 | 1.1 | 0.8 | 0.8 | 1.8 | 1.8 | 2.3 | 2.3 | 2.8 | 2.8 |
| SELF-EMP | 11.6 | 6.4 | 6.4 | 14 | 14 | 20.9 | 20.9 | 32 | 32 | 51 | 51 |
| SELF-EMP (Standard Error) | 0.5 | 0.5 | 0.5 | 1 | 1 | 2.4 | 2.4 | 3.3 | 3.3 | 6 | 6 |
| NONTAXINT | 5.3 | 1.5 | 1.5 | 6.2 | 6.2 | 14.1 | 14.1 | 26.5 | 26.5 | 34.8 | 34.8 |
| NONTAXINT (Standard Error) | 0.3 | 0.3 | 0.3 | 0.7 | 0.7 | 2.1 | 2.1 | 3.1 | 3.1 | 4.5 | 4.5 |
| TAXINT | 40.2 | 26.3 | 26.3 | 48.7 | 48.7 | 68 | 68 | 83.4 | 83.4 | 83.3 | 83.3 |
| TAXINT (Standard Error) | 0.9 | 1.3 | 1.3 | 1.3 | 1.3 | 3.1 | 3.1 | 3 | 3 | 3 | 3 |
| DIVIDEND | 17.2 | 8.2 | 8.2 | 20.7 | 20.7 | 39.6 | 39.6 | 54.2 | 54.2 | 63.1 | 63.1 |
| DIVIDEND (Standard Error) | 0.7 | 0.7 | 0.7 | 1.2 | 1.2 | 3.7 | 3.7 | 3.4 | 3.4 | 4.7 | 4.7 |
| GAIN_LOSS | 8.1 | 2.8 | 2.8 | 8.9 | 8.9 | 24.4 | 24.4 | 35.2 | 35.2 | 46.4 | 46.4 |
| GAIN_LOSS (Standard Error) | 0.4 | 0.4 | 0.4 | 0.8 | 0.8 | 2.9 | 2.9 | 3.8 | 3.8 | 5.9 | 5.9 |
| BUSINESS | 9.5 | 4.4 | 4.4 | 10.9 | 10.9 | 20.7 | 20.7 | 33.9 | 33.9 | 52.4 | 52.4 |
| BUSINESS (Standard Error) | 0.4 | 0.4 | 0.4 | 0.8 | 0.8 | 2.4 | 2.4 | 3.3 | 3.3 | 6 | 6 |
| UNEMP | 6.4 | 6.4 | 6.4 | 7.3 | 7.3 | 2.4 | 2.4 | 4.2 | 4.2 | 0.8 | 0.8 |
| UNEMP (Standard Error) | 0.4 | 0.5 | 0.5 | 0.6 | 0.6 | 1.6 | 1.6 | 1.8 | 1.8 | 0.7 | 0.7 |
| ALIMONY | 3.7 | 4.4 | 4.4 | 3.1 | 3.1 | 3.6 | 3.6 | 1.6 | 1.6 | 0.7 | 0.7 |
| ALIMONY (Standard Error) | 0.3 | 0.4 | 0.4 | 0.4 | 0.4 | 1.4 | 1.4 | 1.6 | 1.6 | 0.5 | 0.5 |
| WELFARE | 8.7 | 15.6 | 15.6 | 2.2 | 2.2 | 0.4 | 0.4 | 0.6 | 0.6 | 0.4 | 0.4 |
| WELFARE (Standard Error) | 0.5 | 0.9 | 0.9 | 0.4 | 0.4 | 0.2 | 0.2 | 0.6 | 0.6 | 0.3 | 0.3 |
| PENSION | 29.9 | 40.8 | 40.8 | 20.4 | 20.4 | 15.7 | 15.7 | 11.7 | 11.7 | 11.7 | 11.7 |
| PENSION (Standard Error) | 0.5 | 0.9 | 0.9 | 1.1 | 1.1 | 2.4 | 2.4 | 1.9 | 1.9 | 2.7 | 2.7 |
| OTHINC | 4.3 | 3.9 | 3.9 | 4.6 | 4.6 | 5.4 | 5.4 | 4.9 | 4.9 | 7.3 | 7.3 |
| OTHINC (Standard Error) | 0.3 | 0.4 | 0.4 | 0.6 | 0.6 | 1.7 | 1.7 | 1.4 | 1.4 | 2.3 | 2.3 |
| Item | All | All | <50 | <50 | 50-90 | 50-90 | 90-95 | 90-95 | 95-99 | 95-99 | 09-100 |
|---|---|---|---|---|---|---|---|---|---|---|---|
| INCOME | 100 | 100 | 100 | 100 | 100 | 100 | 100 | 100 | 100 | 100 | 100 |
| INCOME (Standard Error) | 0 | 0 | 0 | 0 | 0 | 0 | |||||
| WAGES | 73.3 | 57.3 | 57.3 | 89.6 | 89.6 | 90.1 | 90.1 | 87.2 | 87.2 | 85.1 | 85.1 |
| WAGES (Standard Error) | 0.6 | 1.2 | 1.2 | 0.8 | 0.8 | 3.8 | 3.8 | 3.2 | 3.2 | 5.6 | 5.6 |
| SELF-EMP | 11.1 | 6.4 | 6.4 | 12.5 | 12.5 | 25 | 25 | 28.7 | 28.7 | 46.9 | 46.9 |
| SELF-EMP (Standard Error) | 0.6 | 0.6 | 0.6 | 1.2 | 1.2 | 4.2 | 4.2 | 4.7 | 4.7 | 7.8 | 7.8 |
| NONTAXINT | 5.1 | 1.4 | 1.4 | 5.2 | 5.2 | 16.4 | 16.4 | 26.5 | 26.5 | 46.4 | 46.4 |
| NONTAXINT (Standard Error) | 0.6 | 0.3 | 0.3 | 0.7 | 0.7 | 4 | 4 | 4.5 | 4.5 | 8.1 | 8.1 |
| TAXINT | 41.7 | 27.4 | 27.4 | 51.4 | 51.4 | 76 | 76 | 73.3 | 73.3 | 74.3 | 74.3 |
| TAXINT (Standard Error) | 1.3 | 1.4 | 1.4 | 1.9 | 1.9 | 3.7 | 3.7 | 3.9 | 3.9 | 7.4 | 7.4 |
| DIVIDEND | 16.9 | 8.4 | 8.4 | 19.2 | 19.2 | 44.8 | 44.8 | 52.4 | 52.4 | 66.2 | 66.2 |
| DIVIDEND (Standard Error) | 0.8 | 0.7 | 0.7 | 1.4 | 1.4 | 5.5 | 5.5 | 5.6 | 5.6 | 7.7 | 7.7 |
| GAIN_LOSS | 9.1 | 2.2 | 2.2 | 11.9 | 11.9 | 23 | 23 | 39.1 | 39.1 | 54.5 | 54.5 |
| GAIN_LOSS (Standard Error) | 0.7 | 0.4 | 0.4 | 1.2 | 1.2 | 4.5 | 4.5 | 4 | 4 | 6.7 | 6.7 |
| BUSINESS | 9.7 | 4.5 | 4.5 | 11.4 | 11.4 | 25.9 | 25.9 | 29.8 | 29.8 | 42.5 | 42.5 |
| BUSINESS (Standard Error) | 0.6 | 0.6 | 0.6 | 0.8 | 0.8 | 4.4 | 4.4 | 4.6 | 4.6 | 6.5 | 6.5 |
| UNEMP | 5.6 | 4.7 | 4.7 | 7.1 | 7.1 | 4.9 | 4.9 | 4.1 | 4.1 | 1.8 | 1.8 |
| UNEMP (Standard Error) | 0.4 | 0.6 | 0.6 | 0.8 | 0.8 | 2 | 2 | 2.4 | 2.4 | 1.5 | 1.5 |
| ALIMONY | 4.6 | 4.1 | 4.1 | 5.4 | 5.4 | 3.5 | 3.5 | 6.1 | 6.1 | 0.9 | 0.9 |
| ALIMONY (Standard Error) | 0.4 | 0.4 | 0.4 | 0.6 | 0.6 | 2.2 | 2.2 | 2.7 | 2.7 | 1.8 | 1.8 |
| WELFARE | 10 | 19.9 | 19.9 | 0.3 | 0.3 | 0 | 0 | 0 | |||
| WELFARE (Standard Error) | 0.7 | 1.3 | 1.3 | 0.1 | 0.1 | 0 | 0 | 0 | |||
| PENSION | 30.2 | 40.8 | 40.8 | 19.9 | 19.9 | 18.6 | 18.6 | 17.8 | 17.8 | 18.7 | 18.7 |
| PENSION (Standard Error) | 0.5 | 1 | 1 | 1 | 1 | 3.1 | 3.1 | 3.1 | 3.1 | 4.8 | 4.8 |
| OTHINC | 5.3 | 7.6 | 7.6 | 3.1 | 3.1 | 3.1 | 3.1 | 2.3 | 2.3 | 1.5 | 1.5 |
| OTHINC (Standard Error) | 0.5 | 0.9 | 0.9 | 0.6 | 0.6 | 1.5 | 1.5 | 1.4 | 1.4 | 1.2 | 1.2 |
| Item | All Total | All Share | <50 Total | <50 Share | 50-90 Total | 50-90 Share | 90-95 Total | 90-95 Share | 95-99 Total | 95-99 Share | 99-100 Total | 99-100 Share |
|---|---|---|---|---|---|---|---|---|---|---|---|---|
| NETWORTH | 64597.9 | 100 | 7949 | 12.3 | 18276.3 | 28.3 | 7015 | 10.9 | 14408 | 22.3 | 16949.8 | 26.2 |
| NETWORTH (Standard Error) | 1069.5 | 0 | 381.3 | 0.6 | 798 | 1.1 | 647.9 | 1 | 764.4 | 1.1 | 862 | 1.2 |
| INCOME | 9784.9 | 100 | 1423.7 | 14.6 | 3742.3 | 38.2 | 980.2 | 10 | 1541.4 | 15.8 | 2097.3 | 21.4 |
| INCOME (Standard Error) | 155 | 0 | 27.3 | 0.4 | 66.4 | 0.8 | 62 | 0.6 | 76.1 | 0.8 | 147.6 | 1.2 |
| WAGES | 6243.5 | 100 | 844.4 | 13.5 | 2949.9 | 47.2 | 736.6 | 11.8 | 932.8 | 14.9 | 779.7 | 12.5 |
| WAGES (Standard Error) | 121.7 | 0 | 25.3 | 0.5 | 62.1 | 1.1 | 55.5 | 0.9 | 65.3 | 1 | 96.3 | 1.4 |
| SELF-EMP | 509.7 | 100 | 35.2 | 6.9 | 174.9 | 34.3 | 59.9 | 11.7 | 141.8 | 27.8 | 97.9 | 19.2 |
| SELF-EMP (Standard Error) | 36.5 | 0 | 6.9 | 1.3 | 15 | 3 | 12.4 | 2.2 | 20.3 | 3.2 | 19.5 | 3.3 |
| NONTAXINT | 65.8 | 100 | 1.4 | 2.1 | 6.5 | 9.8 | 4.2 | 6.4 | 17.2 | 26.1 | 36.6 | 55.6 |
| NONTAXINT (Standard Error) | 6.2 | 0 | 0.4 | 0.6 | 1.8 | 2.6 | 1.4 | 2.2 | 2.9 | 3.8 | 4.7 | 4.4 |
| TAXINT | 137.2 | 100 | 11.3 | 8.2 | 30.9 | 22.5 | 14.1 | 10.3 | 28.8 | 21 | 52.2 | 38 |
| TAXINT (Standard Error) | 8.8 | 0 | 1.6 | 1.2 | 3.9 | 2.6 | 2.4 | 1.7 | 3.3 | 2.3 | 6.5 | 3.4 |
| DIVIDEND | 152.2 | 100 | 8.2 | 5.4 | 31 | 20.4 | 9 | 5.9 | 37.8 | 24.8 | 66.3 | 43.5 |
| DIVIDEND (Standard Error) | 7.5 | 0 | 1.1 | 0.7 | 3.7 | 2.3 | 2.1 | 1.4 | 3.9 | 2.4 | 6.4 | 3 |
| GAIN_LOSS | 645.3 | 100 | -7.2 | -1.1 | 41.8 | 6.5 | 47 | 7.3 | 93.9 | 14.5 | 469.9 | 72.8 |
| GAIN_LOSS (Standard Error) | 70.5 | 0 | 12 | 1.9 | 6.7 | 1.3 | 11.1 | 1.9 | 15.3 | 2.7 | 70.4 | 4.2 |
| BUSINESS | 807.4 | 100 | -3.6 | -0.4 | 80.7 | 10 | 39.7 | 4.9 | 203.5 | 25.2 | 487.1 | 60.3 |
| BUSINESS (Standard Error) | 60.2 | 0 | 12 | 1.5 | 11.1 | 1.4 | 9.5 | 1.2 | 22.9 | 2.7 | 52.7 | 3.5 |
| UNEMP | 24.5 | 100 | 12.4 | 50.4 | 12 | 49 | 0.1 | 0.5 | 0 | 0.1 | 0 | 0 |
| UNEMP (Standard Error) | 2.5 | 0 | 1.4 | 5.5 | 2.2 | 5.5 | 0.1 | 0.3 | 0.1 | 0.3 | 0 | 0 |
| ALIMONY | 45 | 100 | 18.7 | 41.6 | 22.3 | 49.7 | 2.2 | 4.8 | 1.2 | 2.7 | 0.5 | 1.2 |
| ALIMONY (Standard Error) | 4.4 | 0 | 2.3 | 4.3 | 3.1 | 4.9 | 1.1 | 2.1 | 0.5 | 1.1 | 0.6 | 1.2 |
| WELFARE | 51.2 | 100 | 48.2 | 94.2 | 2.6 | 5.1 | 0.3 | 0.6 | 0.1 | 0.1 | 0 | 0 |
| WELFARE (Standard Error) | 3.1 | 0 | 3 | 1.6 | 0.8 | 1.5 | 0.2 | 0.5 | 0 | 0.1 | 0 | 0 |
| PENSION | 802.6 | 100 | 383 | 47.7 | 323.4 | 40.3 | 37.8 | 4.7 | 40.8 | 5.1 | 17.5 | 2.2 |
| PENSION (Standard Error) | 17.6 | 0 | 11.4 | 1.6 | 17.1 | 1.7 | 7.1 | 0.9 | 6 | 0.7 | 5.1 | 0.6 |
| OTHINC | 67.2 | 100 | 24.5 | 36.4 | 19.9 | 29.7 | 3.1 | 4.6 | 15.3 | 22.8 | 4.4 | 6.6 |
| OTHINC (Standard Error) | 9 | 0 | 3.9 | 6.3 | 4 | 5.5 | 1.3 | 2.1 | 7 | 8.1 | 2.1 | 3.2 |
| Item | All Total | All Share | <50 Total | <50 Share | 50-90 Total | 50-90 Share | 90-95 Total | 90-95 Share | 95-99 Total | 95-99 Share | 99-100 Total | 99-100 Share |
|---|---|---|---|---|---|---|---|---|---|---|---|---|
| NETWORTH | 55189.2 | 100 | 6881.4 | 12.5 | 17054.4 | 30.9 | 5331.8 | 9.7 | 11574.4 | 21 | 14347.2 | 26 |
| NETWORTH (Standard Error) | 1188.6 | 0 | 463.2 | 0.7 | 682.1 | 1.1 | 479.6 | 0.9 | 766.2 | 1.3 | 810.2 | 1.3 |
| INCOME | 8714.8 | 100 | 1381 | 15.8 | 3608.9 | 41.4 | 940.1 | 10.8 | 1284.1 | 14.7 | 1500.7 | 17.2 |
| INCOME (Standard Error) | 144.8 | 0 | 22.9 | 0.4 | 74.2 | 0.8 | 58.8 | 0.6 | 77.5 | 0.8 | 103.5 | 1 |
| WAGES | 6050.4 | 100 | 884.1 | 14.6 | 2896.5 | 47.9 | 751.7 | 12.4 | 824.8 | 13.6 | 693.3 | 11.5 |
| WAGES (Standard Error) | 117.2 | 0 | 25.7 | 0.5 | 70.7 | 1.1 | 54.7 | 0.8 | 59.8 | 0.9 | 68.6 | 1.1 |
| SELF-EMP | 477.6 | 100 | 36.4 | 7.6 | 130.6 | 27.3 | 45.8 | 9.6 | 152.3 | 31.9 | 112.4 | 23.5 |
| SELF-EMP (Standard Error) | 37.2 | 0 | 4.7 | 1.1 | 17 | 3.3 | 13 | 2.6 | 22.9 | 3.9 | 19.4 | 3.2 |
| NONTAXINT | 65.1 | 100 | 1.7 | 2.6 | 9.1 | 13.9 | 4.6 | 7.1 | 15.6 | 24 | 34.1 | 52.3 |
| NONTAXINT (Standard Error) | 6.1 | 0 | 0.6 | 1 | 2.2 | 3.2 | 2.3 | 3.3 | 2.8 | 4.1 | 4.8 | 4.8 |
| TAXINT | 116.6 | 100 | 15.2 | 13.1 | 30.3 | 26 | 8.9 | 7.6 | 24.6 | 21 | 37.6 | 32.3 |
| TAXINT (Standard Error) | 6.5 | 0 | 2.1 | 1.7 | 2.8 | 2.3 | 1.6 | 1.5 | 3.5 | 2.6 | 3.8 | 2.9 |
| DIVIDEND | 120.9 | 100 | 5.6 | 4.7 | 22.7 | 18.8 | 8.7 | 7.2 | 32.1 | 26.5 | 51.8 | 42.8 |
| DIVIDEND (Standard Error) | 8.3 | 0 | 1.4 | 1.2 | 2.8 | 2.4 | 2.2 | 1.8 | 5.5 | 4.2 | 7.3 | 4.3 |
| GAIN_LOSS | 279.3 | 100 | -12 | -4.3 | 23 | 8.2 | 10.2 | 3.6 | 50.7 | 18.2 | 207.3 | 74.2 |
| GAIN_LOSS (Standard Error) | 41.1 | 0 | 7.6 | 2.9 | 6.7 | 2.5 | 4.6 | 1.7 | 10 | 3.9 | 39.3 | 5.5 |
| BUSINESS | 467.9 | 100 | -13.2 | -2.8 | 52.6 | 11.2 | 38.4 | 8.2 | 90 | 19.2 | 300 | 64.1 |
| BUSINESS (Standard Error) | 42.8 | 0 | 20.2 | 4.7 | 7.4 | 1.7 | 8.3 | 1.8 | 15.4 | 3 | 31.6 | 4.5 |
| UNEMP | 36 | 100 | 15.2 | 42.2 | 19 | 52.7 | 1.7 | 4.6 | 0.1 | 0.4 | 0 | 0.1 |
| UNEMP (Standard Error) | 2.5 | 0 | 1.5 | 3.6 | 2.1 | 3.5 | 0.4 | 1 | 0.1 | 0.2 | 0.1 | 0.2 |
| ALIMONY | 34.4 | 100 | 15.1 | 43.7 | 16.6 | 48.3 | 1.2 | 3.4 | 1.5 | 4.2 | 0.1 | 0.3 |
| ALIMONY (Standard Error) | 4 | 0 | 1.3 | 6.5 | 4.1 | 6.9 | 0.7 | 2.1 | 0.6 | 1.8 | 0.1 | 0.2 |
| WELFARE | 35.6 | 100 | 32.8 | 92.2 | 2.7 | 7.7 | 0 | 0 | 0 | 0 | 0 | 0.1 |
| WELFARE (Standard Error) | 2.2 | 0 | 2.2 | 1.5 | 0.5 | 1.5 | 0 | 0 | 0 | 0 | 0 | 0.1 |
| PENSION | 848.4 | 100 | 364.9 | 43 | 368.3 | 43.4 | 44 | 5.2 | 52 | 6.1 | 19.2 | 2.3 |
| PENSION (Standard Error) | 20.4 | 0 | 11.8 | 1.6 | 20.2 | 1.9 | 9.1 | 1 | 7.3 | 0.8 | 4.9 | 0.6 |
| OTHINC | 48 | 100 | 13.4 | 27.8 | 11.8 | 24.5 | 2.6 | 5.4 | 10.3 | 21.5 | 10 | 20.9 |
| OTHINC (Standard Error) | 11 | 0 | 2.2 | 7.4 | 2.8 | 6.9 | 1.4 | 3.2 | 5.2 | 9.7 | 9.3 | 14.8 |
| Item | All Total | All Share | <50 Total | <50 Share | 50-90 Total | 50-90 Share | 90-95 Total | 90-95 Share | 95-99 Total | 95-99 Share | 99-100 Total | 99-100 Share |
|---|---|---|---|---|---|---|---|---|---|---|---|---|
| NETWORTH | 49764.6 | 100 | 5993.7 | 12 | 15335.1 | 30.8 | 5490.2 | 11 | 12278.5 | 24.7 | 10667.2 | 21.4 |
| NETWORTH (Standard Error) | 836.9 | 0 | 279.3 | 0.6 | 634.7 | 1.2 | 475.1 | 0.9 | 771.3 | 1.4 | 719.6 | 1.3 |
| INCOME | 8657.3 | 100 | 1291.4 | 14.9 | 3408.8 | 39.4 | 867.7 | 10 | 1322 | 15.3 | 1767.5 | 20.4 |
| INCOME (Standard Error) | 239.6 | 0 | 22.1 | 0.5 | 66.1 | 1.2 | 53.2 | 0.6 | 69 | 0.8 | 228.4 | 2.1 |
| WAGES | 6017.6 | 100 | 892 | 14.8 | 2834.4 | 47.1 | 673.7 | 11.2 | 809.1 | 13.4 | 808.4 | 13.4 |
| WAGES (Standard Error) | 132.2 | 0 | 21.8 | 0.5 | 62.8 | 1.2 | 47.3 | 0.8 | 57.1 | 0.9 | 105.2 | 1.5 |
| SELF-EMP | 787.6 | 100 | 30.6 | 3.9 | 150.5 | 19.1 | 66.3 | 8.4 | 191 | 24.3 | 349.2 | 44.3 |
| SELF-EMP (Standard Error) | 61.8 | 0 | 5.6 | 0.7 | 15.9 | 2.1 | 11.4 | 1.4 | 20 | 2.6 | 54.6 | 4.2 |
| NONTAXINT | 66.2 | 100 | 3.2 | 4.9 | 14.6 | 22 | 3 | 4.5 | 20 | 30.3 | 25.3 | 38.3 |
| NONTAXINT (Standard Error) | 5.7 | 0 | 1.1 | 1.8 | 3.2 | 4.3 | 0.8 | 1.2 | 3.8 | 5 | 4.2 | 5.4 |
| TAXINT | 169.3 | 100 | 17.9 | 10.6 | 41.8 | 24.7 | 19.4 | 11.4 | 54.6 | 32.3 | 35.6 | 21 |
| TAXINT (Standard Error) | 16.6 | 0 | 2.2 | 1.7 | 6.7 | 3.6 | 4.3 | 2.5 | 13.8 | 5.8 | 5.4 | 3.1 |
| DIVIDEND | 131.1 | 100 | 11.8 | 9 | 33.9 | 25.9 | 17.2 | 13.1 | 31.7 | 24.2 | 36.4 | 27.8 |
| DIVIDEND (Standard Error) | 7 | 0 | 1.7 | 1.3 | 3.7 | 2.6 | 3.7 | 2.5 | 3.4 | 2.5 | 4.5 | 3 |
| GAIN_LOSS | 593.1 | 100 | -2.1 | -0.4 | 45.6 | 7.7 | 23.7 | 4 | 107.3 | 18.1 | 418.5 | 70.6 |
| GAIN_LOSS (Standard Error) | 165.2 | 0 | 5 | 1 | 6.7 | 2.7 | 6.7 | 1.7 | 18.5 | 6 | 163.6 | 9.1 |
| BUSINESS | 218.3 | 100 | 7.4 | 3.4 | 37 | 16.9 | 27.3 | 12.5 | 64.3 | 29.5 | 82.2 | 37.7 |
| BUSINESS (Standard Error) | 17.7 | 0 | 1.5 | 0.7 | 6.5 | 3 | 7.9 | 3.4 | 11 | 4.8 | 14.2 | 5 |
| UNEMP | 18.3 | 100 | 9 | 49.5 | 7.5 | 41.1 | 0.5 | 2.8 | 1.2 | 6.6 | 0 | 0 |
| UNEMP (Standard Error) | 1.8 | 0 | 1.4 | 6.3 | 1.3 | 6.4 | 0.2 | 1.2 | 1 | 4.9 | 0 | 0 |
| ALIMONY | 34.2 | 100 | 11.7 | 34.2 | 16.2 | 47.2 | 5.4 | 15.8 | 0.9 | 2.7 | 0 | 0.1 |
| ALIMONY (Standard Error) | 4.7 | 0 | 1.2 | 4.9 | 4.1 | 7.1 | 1.6 | 4.6 | 0.4 | 1.2 | 0 | 0.1 |
| WELFARE | 23.4 | 100 | 22.4 | 95.7 | 1 | 4.3 | 0 | 0 | 0 | 0 | 0 | 0 |
| WELFARE (Standard Error) | 2.2 | 0 | 2 | 2.2 | 0.5 | 2.2 | 0 | 0 | 0 | 0 | 0 | 0 |
| PENSION | 669.3 | 100 | 326.5 | 48.8 | 264.9 | 39.6 | 31.9 | 4.8 | 29.5 | 4.4 | 16.6 | 2.5 |
| PENSION (Standard Error) | 15.4 | 0 | 9.2 | 1.6 | 15.2 | 1.8 | 4.9 | 0.7 | 5.6 | 0.8 | 5.9 | 0.9 |
| OTHINC | 61.7 | 100 | 12 | 19.4 | 22.3 | 36.2 | 7.2 | 11.7 | 7.5 | 12.2 | 12.6 | 20.5 |
| OTHINC (Standard Error) | 12 | 0 | 2.3 | 4.2 | 4.8 | 7.3 | 2.8 | 4.5 | 3.1 | 5 | 9.3 | 11.1 |
| Item | All Total | All Share | <50 Total | <50 Share | 50-90 Total | 50-90 Share | 90-95 Total | 90-95 Share | 95-99 Total | 95-99 Share | 99-100 Total | 99-100 Share |
|---|---|---|---|---|---|---|---|---|---|---|---|---|
| NETWORTH | 37009.8 | 100 | 5162 | 13.9 | 11579.3 | 31.3 | 3427.4 | 9.3 | 8421.1 | 22.7 | 8419.9 | 22.8 |
| NETWORTH (Standard Error) | 1203.9 | 0 | 282.1 | 0.8 | 614.5 | 1.2 | 362 | 0.9 | 724.5 | 1.5 | 559.8 | 1.6 |
| INCOME | 6943.9 | 100 | 1124.5 | 16.2 | 2952.9 | 42.5 | 701.5 | 10.1 | 998.2 | 14.4 | 1166.8 | 16.8 |
| INCOME (Standard Error) | 141.2 | 0 | 19.7 | 0.4 | 69.7 | 1 | 41.3 | 0.6 | 59.5 | 0.8 | 113.9 | 1.4 |
| WAGES | 4995.2 | 100 | 810.6 | 16.2 | 2486.5 | 49.8 | 589.3 | 11.8 | 680.7 | 13.6 | 428 | 8.6 |
| WAGES (Standard Error) | 95.2 | 0 | 19.4 | 0.5 | 66.1 | 1.2 | 39 | 0.7 | 44.4 | 0.8 | 54.9 | 1 |
| SELF-EMP | 742.3 | 100 | 33 | 4.5 | 156.6 | 21.2 | 67.2 | 9 | 197.9 | 26.5 | 287.6 | 38.8 |
| SELF-EMP (Standard Error) | 87.1 | 0 | 7.5 | 1 | 21.3 | 3.2 | 19.4 | 2.3 | 42 | 4 | 48.9 | 4.7 |
| NONTAXINT | 48.8 | 100 | 2.2 | 4.6 | 10.1 | 20.8 | 3.5 | 7.1 | 14.6 | 29.9 | 18.3 | 37.6 |
| NONTAXINT (Standard Error) | 5.4 | 0 | 0.9 | 1.7 | 2.9 | 5.3 | 2 | 3.8 | 3.2 | 5 | 2.9 | 5.1 |
| TAXINT | 130.7 | 100 | 19.8 | 15.2 | 37.6 | 28.7 | 10.8 | 8.3 | 26.8 | 20.5 | 35.7 | 27.3 |
| TAXINT (Standard Error) | 8.7 | 0 | 2.2 | 1.9 | 5.9 | 3.7 | 4 | 3.1 | 4.5 | 2.9 | 4.2 | 2.8 |
| DIVIDEND | 127.2 | 100 | 9.5 | 7.5 | 30.4 | 23.9 | 16 | 12.6 | 36.6 | 28.7 | 34.7 | 27.3 |
| DIVIDEND (Standard Error) | 8.8 | 0 | 2.7 | 2 | 3.4 | 2.6 | 4.1 | 3.1 | 6.3 | 3.7 | 4.8 | 3.8 |
| GAIN_LOSS | 331.3 | 100 | 5.7 | 1.7 | 46.4 | 14 | 20 | 6 | 71.5 | 21.6 | 187.5 | 56.6 |
| GAIN_LOSS (Standard Error) | 40.1 | 0 | 2.2 | 0.7 | 5.4 | 2.1 | 7.6 | 2.2 | 16.1 | 4.6 | 37.1 | 5.5 |
| BUSINESS | 193.7 | 100 | 8 | 4.2 | 38.1 | 19.6 | 15.1 | 7.7 | 38.5 | 19.9 | 94 | 48.6 |
| BUSINESS (Standard Error) | 25.2 | 0 | 2.1 | 1.2 | 4.9 | 2.8 | 5 | 2.5 | 7.8 | 4.2 | 21.6 | 6.3 |
| UNEMP | 17.8 | 100 | 8.2 | 46.2 | 9.1 | 51 | 0.2 | 1.4 | 0.2 | 1.4 | 0 | 0.1 |
| UNEMP (Standard Error) | 1.6 | 0 | 0.9 | 4.1 | 1.3 | 4.2 | 0.1 | 0.7 | 0.1 | 0.7 | 0 | 0.1 |
| ALIMONY | 31.9 | 100 | 12.9 | 40.3 | 15.8 | 49.4 | 1.5 | 4.8 | 1.3 | 4.1 | 0.5 | 1.4 |
| ALIMONY (Standard Error) | 3.9 | 0 | 1.5 | 5.3 | 3.4 | 6.5 | 1.5 | 4.3 | 1 | 3 | 0.2 | 0.8 |
| WELFARE | 30 | 100 | 28.1 | 93.9 | 1.8 | 6.1 | 0 | 0 | 0 | 0 | 0 | 0 |
| WELFARE (Standard Error) | 2.3 | 0 | 2.1 | 2.2 | 0.7 | 2.2 | 0 | 0 | 0 | 0 | 0 | 0 |
| PENSION | 591.6 | 100 | 287.6 | 48.6 | 235.2 | 39.8 | 27.4 | 4.6 | 31.7 | 5.4 | 9.6 | 1.6 |
| PENSION (Standard Error) | 13.5 | 0 | 10.4 | 1.8 | 13.9 | 2 | 5 | 0.8 | 6.7 | 1.1 | 2.8 | 0.5 |
| OTHINC | 54.1 | 100 | 7.3 | 13.5 | 13.7 | 25.4 | 2.8 | 5.2 | 14.5 | 26.7 | 15.8 | 29.2 |
| OTHINC (Standard Error) | 11.3 | 0 | 2.4 | 4.7 | 3.8 | 7.4 | 1.2 | 2.5 | 5 | 7.8 | 9 | 11.2 |
| Item | All Total | All Share | <50 Total | <50 Share | 50-90 Total | 50-90 Share | 90-95 Total | 90-95 Share | 95-99 Total | 95-99 Share | 99-100 Total | 99-100 Share |
|---|---|---|---|---|---|---|---|---|---|---|---|---|
| NETWORTH | 28356.2 | 100 | 4655.9 | 16.4 | 9149.7 | 32.3 | 2850.3 | 10 | 5287.8 | 18.6 | 6412.5 | 22.6 |
| NETWORTH (Standard Error) | 698.7 | 0 | 206.7 | 0.7 | 468.1 | 1.2 | 266.1 | 0.9 | 361 | 1.1 | 381.1 | 1.4 |
| INCOME | 5970.6 | 100 | 1001.2 | 16.8 | 2620.7 | 43.9 | 632.7 | 10.6 | 862.7 | 14.4 | 853.3 | 14.3 |
| INCOME (Standard Error) | 93.9 | 0 | 16.6 | 0.4 | 57 | 1 | 37 | 0.6 | 54.2 | 0.9 | 74.5 | 1.1 |
| WAGES | 4522.1 | 100 | 638.3 | 14.1 | 2258.4 | 49.9 | 519.5 | 11.5 | 692.8 | 15.3 | 413.1 | 9.1 |
| WAGES (Standard Error) | 78.5 | 0 | 15.4 | 0.4 | 58.6 | 1.3 | 37.7 | 0.8 | 51 | 1 | 49 | 1 |
| SELF-EMP | 577.1 | 100 | 30.7 | 5.3 | 123.4 | 21.3 | 37.2 | 6.5 | 139.9 | 24.2 | 245.9 | 42.6 |
| SELF-EMP (Standard Error) | 78.3 | 0 | 14.2 | 2.5 | 32.3 | 5 | 10.7 | 2.2 | 27.2 | 5 | 69.6 | 6.7 |
| NONTAXINT | 79.6 | 100 | 1.8 | 2.3 | 11 | 13.8 | 5 | 6.2 | 15.4 | 19.3 | 46.4 | 58.3 |
| NONTAXINT (Standard Error) | 15.2 | 0 | 0.4 | 0.7 | 2.1 | 3.3 | 1.1 | 1.7 | 3.6 | 5 | 14.6 | 7.7 |
| TAXINT | 118.1 | 100 | 22.4 | 19 | 34.2 | 28.9 | 10.9 | 9.2 | 19.2 | 16.3 | 31.4 | 26.6 |
| TAXINT (Standard Error) | 7.7 | 0 | 3.1 | 2.3 | 3.1 | 2.4 | 2.1 | 1.7 | 2.5 | 2 | 5 | 3 |
| DIVIDEND | 127.2 | 100 | 15.4 | 12 | 26.7 | 21.4 | 9.1 | 7.2 | 15.3 | 12.1 | 60.8 | 47.2 |
| DIVIDEND (Standard Error) | 25.7 | 0 | 4.1 | 2.3 | 3.6 | 5.4 | 2 | 2.2 | 2.6 | 2.8 | 22.6 | 8.8 |
| GAIN_LOSS | 167.9 | 100 | 13.3 | 7.9 | 35.7 | 21.3 | 12 | 7.1 | 43.6 | 26 | 63.3 | 37.7 |
| GAIN_LOSS (Standard Error) | 17.1 | 0 | 7.5 | 4.3 | 6.7 | 3.7 | 4.4 | 2.7 | 11 | 5.6 | 10.4 | 4.7 |
| BUSINESS | 171.6 | 100 | 6.6 | 3.9 | 32.6 | 18.9 | 14.2 | 8.3 | 47.8 | 27.8 | 70.4 | 41.1 |
| BUSINESS (Standard Error) | 18.1 | 0 | 2.4 | 1.5 | 9.2 | 4.9 | 7.3 | 4.2 | 13.9 | 6.5 | 11.6 | 5.9 |
| UNEMP | 24.2 | 100 | 11.1 | 46.1 | 11.9 | 49.3 | 0.5 | 2 | 0.6 | 2.4 | 0 | 0.2 |
| UNEMP (Standard Error) | 2.1 | 0 | 1.5 | 5.2 | 1.7 | 5 | 0.2 | 0.9 | 0.1 | 0.5 | 0 | 0.2 |
| ALIMONY | 27.4 | 100 | 11.2 | 40.8 | 13.7 | 50.1 | 1.9 | 6.8 | 0.5 | 2 | 0.1 | 0.3 |
| ALIMONY (Standard Error) | 2.4 | 0 | 1.6 | 4.9 | 2 | 5.2 | 0.7 | 2.4 | 0.3 | 1.2 | 0 | 0.2 |
| WELFARE | 48.5 | 100 | 47.1 | 97 | 1.4 | 3 | 0 | 0 | 0 | 0 | 0 | 0 |
| WELFARE (Standard Error) | 4.3 | 0 | 4.3 | 1.7 | 0.8 | 1.7 | 0 | 0 | 0 | 0 | 0 | 0 |
| PENSION | 556.2 | 100 | 268.6 | 48.3 | 214.5 | 38.6 | 31.9 | 5.7 | 29.6 | 5.3 | 11.6 | 2.1 |
| PENSION (Standard Error) | 15.4 | 0 | 7.3 | 1.7 | 13.9 | 1.9 | 6 | 1 | 6.3 | 1.1 | 4.3 | 0.8 |
| OTHINC | 50.8 | 100 | 9.9 | 19.5 | 13.2 | 25.6 | 10.8 | 21.5 | 5.6 | 11.2 | 11.2 | 22.2 |
| OTHINC (Standard Error) | 9.4 | 0 | 3.7 | 6.4 | 4.8 | 7.6 | 4.8 | 8.7 | 1.6 | 3.2 | 4.2 | 6.8 |
| Item | All Total | All Share | <50 Total | <50 Share | 50-90 Total | 50-90 Share | 90-95 Total | 90-95 Share | 95-99 Total | 95-99 Share | 99-100 Total | 99-100 Share |
|---|---|---|---|---|---|---|---|---|---|---|---|---|
| NETWORTH | 25938.8 | 100 | 3917.7 | 15.1 | 8615.2 | 33.2 | 2969 | 11.4 | 5151.5 | 19.9 | 5285.3 | 20.4 |
| NETWORTH (Standard Error) | 768.5 | 0 | 181.6 | 0.7 | 301.5 | 1.3 | 285 | 1 | 465.2 | 1.5 | 428 | 1.4 |
| INCOME | 5558.5 | 100 | 953 | 17.1 | 2516.4 | 45.3 | 619.8 | 11.2 | 817.3 | 14.7 | 651.9 | 11.7 |
| INCOME (Standard Error) | 75.6 | 0 | 19.3 | 0.5 | 52.2 | 0.9 | 35.4 | 0.6 | 49.7 | 0.8 | 60.3 | 1 |
| WAGES | 4140.7 | 100 | 612.5 | 14.8 | 2168.2 | 52.4 | 481.3 | 11.6 | 577.3 | 13.9 | 301.4 | 7.3 |
| WAGES (Standard Error) | 92 | 0 | 18.9 | 0.6 | 63.2 | 1.2 | 37.9 | 0.9 | 52.4 | 1.2 | 48.5 | 1.1 |
| SELF-EMP | 673.1 | 100 | 14.4 | 2.3 | 268.6 | 36.7 | 68.8 | 10.7 | 134.3 | 20.9 | 186.9 | 29.3 |
| SELF-EMP (Standard Error) | 208.4 | 0 | 13.7 | 2.5 | 193.7 | 16.4 | 16.5 | 3.7 | 25.3 | 6.4 | 28.3 | 8.9 |
| NONTAXINT | 60.4 | 100 | 1.3 | 2.2 | 12 | 19.9 | 7.6 | 12.6 | 17.3 | 28.7 | 22.2 | 36.7 |
| NONTAXINT (Standard Error) | 5.7 | 0 | 0.4 | 0.6 | 1.9 | 3.1 | 1.8 | 2.7 | 3 | 4.3 | 3.7 | 4.6 |
| TAXINT | 180.4 | 100 | 28.3 | 15.6 | 63.4 | 35.2 | 22.9 | 12.7 | 30 | 16.6 | 35.9 | 19.9 |
| TAXINT (Standard Error) | 8.4 | 0 | 5.3 | 2.7 | 6.4 | 3.5 | 4 | 2 | 3.3 | 1.8 | 3.8 | 1.9 |
| DIVIDEND | 102.7 | 100 | 6.9 | 6.8 | 28.9 | 28.2 | 11.5 | 11.3 | 21.4 | 20.9 | 34 | 32.8 |
| DIVIDEND (Standard Error) | 11.9 | 0 | 1.1 | 1 | 3.8 | 3.6 | 2.7 | 2.7 | 3.4 | 3.4 | 8.3 | 4.9 |
| GAIN_LOSS | 122.4 | 100 | 0.2 | 0.2 | 12.7 | 10.5 | 16.7 | 13.6 | 28.8 | 23.6 | 64 | 52.1 |
| GAIN_LOSS (Standard Error) | 20.1 | 0 | 1.6 | 1.3 | 4.6 | 3.9 | 5.5 | 4.2 | 6.6 | 5.6 | 18.7 | 7.6 |
| BUSINESS | 192.9 | 100 | 16.4 | 8.6 | 40.8 | 21.1 | 19.9 | 10.4 | 59.9 | 30.9 | 55.9 | 29 |
| BUSINESS (Standard Error) | 27.1 | 0 | 6.7 | 4.1 | 5.6 | 3.4 | 3.9 | 2.3 | 25.2 | 9 | 14.8 | 6.9 |
| UNEMP | 37.1 | 100 | 17.3 | 46.8 | 15.2 | 41 | 3.2 | 8.7 | 1.2 | 3.1 | 0.1 | 0.3 |
| UNEMP (Standard Error) | 4.1 | 0 | 2.5 | 5.1 | 1.7 | 5.2 | 2.8 | 6.4 | 0.6 | 1.6 | 0.1 | 0.2 |
| ALIMONY | 31 | 100 | 11.2 | 36.2 | 9.6 | 30.9 | 8.9 | 28.7 | 0.9 | 2.9 | 0.4 | 1.4 |
| ALIMONY (Standard Error) | 6.3 | 0 | 1.6 | 7.3 | 2.3 | 8 | 5.6 | 12.7 | 0.9 | 2.9 | 0.5 | 1.6 |
| WELFARE | 47.7 | 100 | 41.7 | 87.3 | 5.5 | 11.6 | 0.1 | 0.3 | 0.4 | 0.8 | 0 | 0.1 |
| WELFARE (Standard Error) | 3.6 | 0 | 3.1 | 3 | 1.5 | 2.8 | 0.1 | 0.1 | 0.5 | 1 | 0 | 0.1 |
| PENSION | 508.6 | 100 | 262.1 | 51.5 | 195.4 | 38.4 | 26.3 | 5.2 | 18 | 3.5 | 6.8 | 1.3 |
| PENSION (Standard Error) | 13.1 | 0 | 7.8 | 2 | 14.3 | 2.2 | 5.4 | 1 | 4 | 0.8 | 2 | 0.4 |
| OTHINC | 477.2 | 100 | 187.8 | 38.7 | 172 | 36.6 | 66.9 | 13.8 | 38.5 | 8.1 | 12.1 | 2.8 |
| OTHINC (Standard Error) | 147.6 | 0 | 96.9 | 13 | 75.8 | 13.3 | 43.1 | 8 | 22.7 | 4.8 | 6.1 | 1.9 |
| Item | All Total | All Share | <50 Total | <50 Share | 50-90 Total | 50-90 Share | 90-95 Total | 90-95 Share | 95-99 Total | 95-99 Share | 99-100 Total | 99-100 Share |
|---|---|---|---|---|---|---|---|---|---|---|---|---|
| NETWORTH | 28395.4 | 100 | 4048.8 | 14.3 | 9264.4 | 32.6 | 3167.2 | 11.1 | 5723.7 | 20.1 | 6191.3 | 21.9 |
| NETWORTH (Standard Error) | 2263.1 | 0 | 374 | 1.3 | 912.4 | 1.4 | 626.3 | 1.6 | 973.9 | 2.5 | 716.5 | 2.6 |
| INCOME | 6138.6 | 100 | 960.1 | 15.6 | 2578.2 | 42 | 656.8 | 10.7 | 895.9 | 14.6 | 1047.6 | 17.1 |
| INCOME (Standard Error) | 240.9 | 0 | 25.4 | 0.7 | 74 | 1.4 | 57.6 | 0.9 | 88.8 | 1.3 | 172.1 | 2.3 |
| WAGES | 4129.2 | 100 | 606.4 | 14.7 | 2137.2 | 51.8 | 494.8 | 12 | 567.2 | 13.7 | 323.6 | 7.8 |
| WAGES (Standard Error) | 122.5 | 0 | 29.1 | 0.8 | 53.8 | 1.5 | 54.2 | 1.2 | 62.6 | 1.3 | 64.6 | 1.4 |
| SELF-EMP | 496.4 | 100 | 32.2 | 6.6 | 170.4 | 34.2 | 36.4 | 7.4 | 98.8 | 19.8 | 158.6 | 32 |
| SELF-EMP (Standard Error) | 155.8 | 0 | 11.2 | 2.8 | 72.2 | 10 | 14.6 | 3.6 | 29.8 | 5.7 | 131.1 | 10.7 |
| NONTAXINT | 77 | 100 | 3.5 | 4.5 | 11.3 | 14.7 | 8.2 | 10.6 | 19 | 24.7 | 35 | 45.5 |
| NONTAXINT (Standard Error) | 12.4 | 0 | 1.2 | 1.5 | 3.2 | 3.4 | 3.5 | 4.2 | 5.8 | 5.8 | 8.2 | 6.7 |
| TAXINT | 216.2 | 100 | 34.7 | 16.2 | 77.7 | 36.1 | 22.2 | 10.2 | 31 | 14.4 | 50.7 | 23.2 |
| TAXINT (Standard Error) | 33.7 | 0 | 4 | 2.6 | 11.3 | 4.2 | 6.5 | 2.3 | 7.6 | 3.3 | 20.6 | 6 |
| DIVIDEND | 111.1 | 100 | 5.1 | 4.6 | 28.5 | 25.7 | 10.8 | 9.7 | 30.8 | 27.5 | 36 | 32.6 |
| DIVIDEND (Standard Error) | 21.7 | 0 | 1 | 1 | 5.2 | 4.7 | 4.7 | 3.8 | 20.3 | 11.4 | 9 | 8 |
| GAIN_LOSS | 344.1 | 100 | 2.5 | 0.7 | 35 | 10.4 | 22.8 | 6.7 | 55.8 | 16.5 | 228 | 65.6 |
| GAIN_LOSS (Standard Error) | 165.1 | 0 | 2.5 | 0.9 | 8.2 | 4.9 | 10.7 | 4.8 | 22.1 | 10 | 167 | 17.4 |
| BUSINESS | 197.4 | 100 | 12.4 | 6.3 | 43.4 | 22.1 | 27.1 | 13.8 | 58.8 | 29.8 | 55.7 | 28 |
| BUSINESS (Standard Error) | 32 | 0 | 2.2 | 1.4 | 5.9 | 3.6 | 9 | 4.9 | 17.9 | 7.1 | 23.8 | 9 |
| UNEMP | 21.6 | 100 | 6.4 | 29.6 | 12.9 | 59.5 | 1.5 | 6.9 | 0.9 | 4 | 0 | 0 |
| UNEMP (Standard Error) | 2.4 | 0 | 1.1 | 5.1 | 2.3 | 7.5 | 0.9 | 4.3 | 0.6 | 2.9 | 0 | 0.1 |
| ALIMONY | 28.1 | 100 | 7.7 | 27.5 | 11.2 | 40.1 | 7.3 | 26.1 | 1.5 | 5.5 | 0.2 | 0.8 |
| ALIMONY (Standard Error) | 7 | 0 | 1.1 | 6.8 | 2.2 | 9.2 | 6.3 | 15.7 | 1.3 | 4.6 | 0.8 | 2.6 |
| WELFARE | 52.2 | 100 | 52 | 99.6 | 0.2 | 0.4 | 0 | 0 | 0 | 0 | 0 | 0 |
| WELFARE (Standard Error) | 5 | 0 | 5.1 | 0.3 | 0.1 | 0.3 | 0 | 0 | 0 | 0 | 0 | 0 |
| PENSION | 515.1 | 100 | 266.5 | 51.8 | 176.2 | 34.2 | 27.2 | 5.3 | 27.8 | 5.4 | 17.3 | 3.3 |
| PENSION (Standard Error) | 16.5 | 0 | 10.2 | 2.4 | 12.2 | 2 | 6 | 1.1 | 8.8 | 1.6 | 7.9 | 1.5 |
| OTHINC | 120.4 | 100 | 40.3 | 38 | 59.8 | 43.4 | 6.6 | 6 | 9.5 | 8.7 | 4.2 | 3.9 |
| OTHINC (Standard Error) | 67.1 | 0 | 10.7 | 20.2 | 59.4 | 26.5 | 23.9 | 15.3 | 32.5 | 24.6 | 3.3 | 3.3 |
| Variable | Defintion |
|---|---|
| INCOME | WAGES+SELF_EMP+NONTAXINT+TAXINT+DIVIDEND+GAIN_LOSS+ BUSINESS+UNEMP+ALIMONY+WELFARE+PENSION+OTHINC |
| WAGES | Wages and salaries. |
| SELF_EMP | Income from farming or self-employment (IRS 1040 Schedule C income). |
| NONTAXINT | Nontaxable interest income (not including tax-deferred interest). |
| TAXINT | Taxable interest income. |
| DIVIDEND | Dividend income. |
| GAIN_LOSS | Capital gains and losses. |
| BUSINESS | Income from rents, royalties, trusts, partnerships and other private businesses not included in SELF_EMP (IRS Form 1040 Schedule E income). |
| UNEMP | Income from unemployment insurance or workmen's compensation. |
| ALIMONY | Child support and alimony. |
| WELFARE | Welfare and other forms of public assistance. |
| PENSION | Income from Social Security, defined-benefit pensions and withdrawals from tax-deferred retirement accounts. |
| OTHINC | Miscellaneous sources of income. |
Figure A1: Lorenz curves for 1988, 2003 and 2006 total family income and 1989, 2004 and 2007 net worth.
Figure A2: Percent reporting income was unusually low (solid line) or unusually high (dotted line); 1994, 1997, 2000, 2003, 2006; by percentile of income.
Figure A3: Percent reporting income was unusually low (solid line) or unusually high (dotted line); 1994, 1997, 2000, 2003, 2006; by percentile of the distribution of normal income.