skip title
The Federal Reserve Board eagle logo links to home page

Report to the Congress on Credit Scoring and Its Effects on the Availability and Affordability of Credit


Submitted to the Congress pursuant to section 215 of the Fair and Accurate Credit Transactions Act of 2003
August 2007

printable Print (1.84 MB PDF)

Figures

Figure 1. Cumulative Percentage of Goods and Bads, All Individuals

[Figure 1 corrected as of Jan. 25 2008]

Figure 1. Cumulative Percentage of Goods and Bads, All Individuals d

Return to text

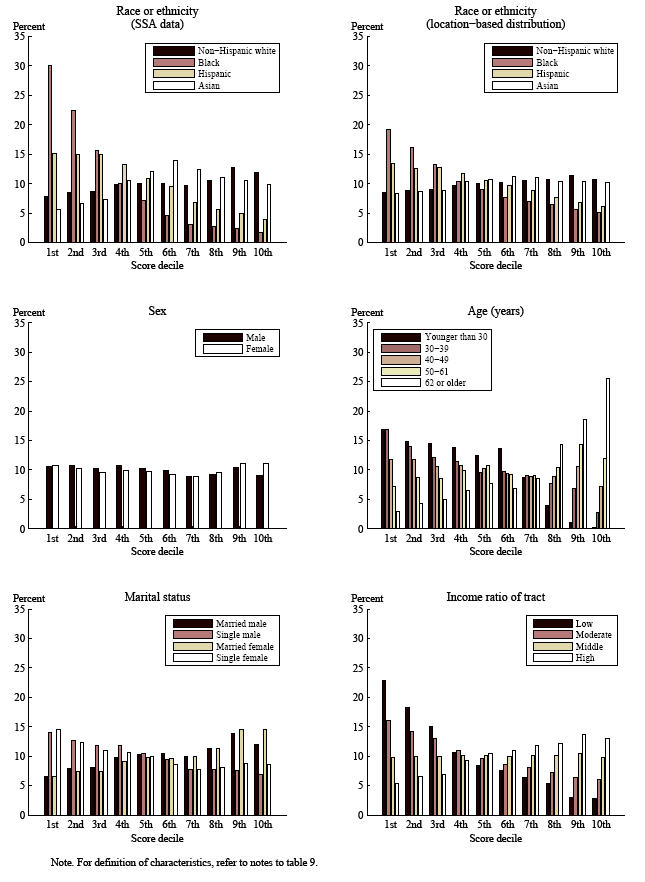
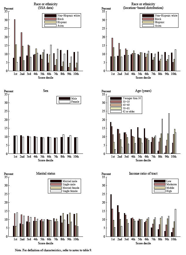
Figure 2.A. TransRisk Score: Sample Population, Grouped by Demographic Characteristic and Distributed by Score Decile

Figure 2.A. TransRisk Score: Sample Population, Grouped by Demographic Characteristic and Distributed by Score Decile d

Figure 2.B. VantageScore: Sample Population, Grouped by Demographic Characteristic and Distributed by Score Decile

Figure 2.B. VantageScore: Sample Population, Grouped by Demographic Characteristic and Distributed by Score Decile d

Figure 2.C. FRB Base Score: Sample Population, Grouped by Demographic Characteristic and Distributed by Score Decile

Figure 2.C. FRB Base Score: Sample Population, Grouped by Demographic Characteristic and Distributed by Score Decile d

Return to text

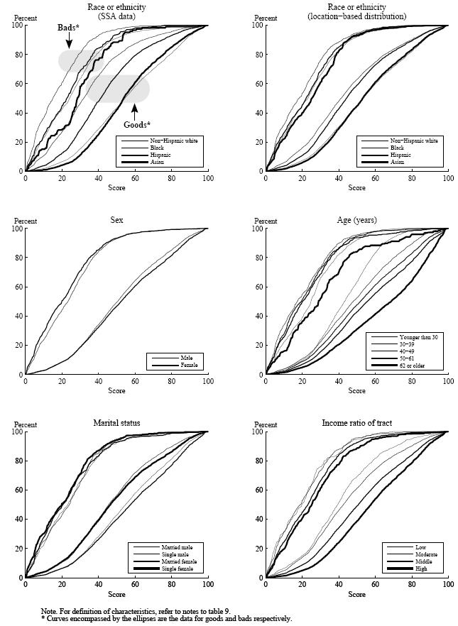
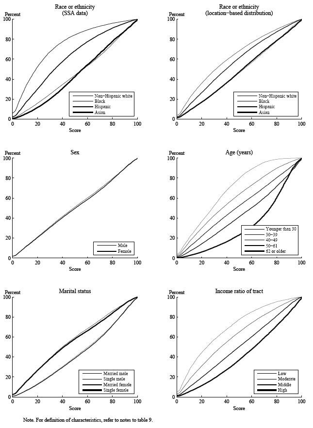
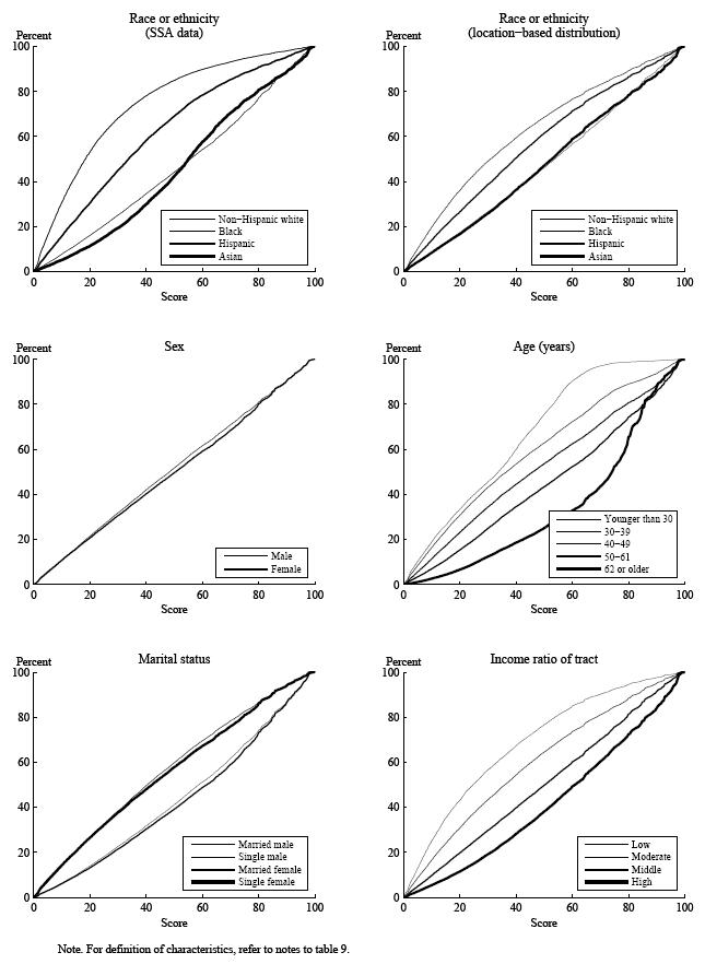
Figure 3.A. TransRisk Score: Cumulative Percentage, by Demographic Group

Figure 3.A. TransRisk Score: Cumulative Percentage, by Demographic Group d

Figure 3.B. VantageScore: Cumulative Percentage, by Demographic Group

Figure 3.B. VantageScore: Cumulative Percentage, by Demographic Group d

Figure 3.C. FRB Base Score: Cumulative Percentage, by Demographic Group

Figure 3.C. FRB Base Score: Cumulative Percentage, by Demographic Group d

Return to text

Figure 4.A. TransRisk Score: Percent of Score Decile, by Demographic Group

[Figure 4.A. corrected as of Jan. 25 2008]

Figure 4.A. TransRisk Score: Percent of Score Decile, by Demographic Group d

Figure 4.B. VantageScore: Percent of Score Decile, by Demographic Group

[Figure 4.B. corrected as of Jan. 25 2008]

Figure 4.B. VantageScore: Percent of Score Decile, by Demographic Group d

Figure 4.C. FRB Base Score: Percent of Score Decile, by Demographic Group

Figure 4.C. FRB Base Score: Percent of Score Decile, by Demographic Group d

Return to text

Figure 5. Performance, All Individuals

Figure 5. Performance, All Individuals d

Return to text

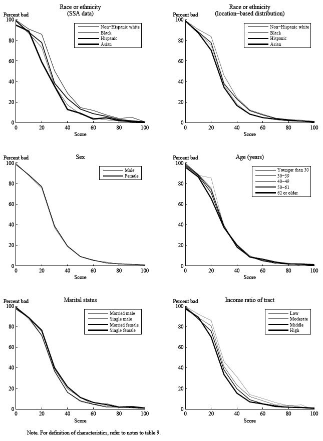
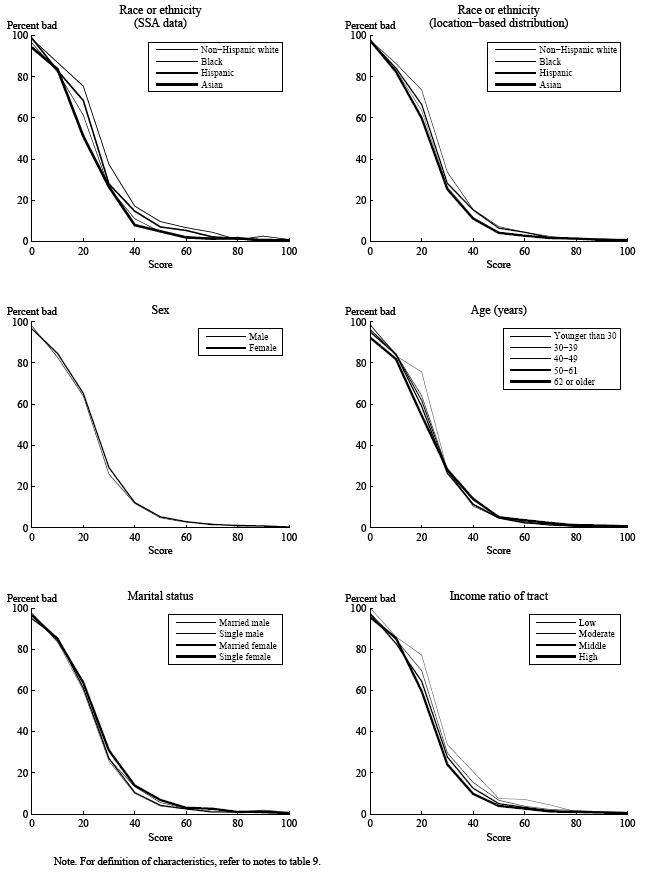
Figure 6.A. TransRisk Score: Any-Account Performance (Percent Bad), by Demographic Group

Figure 6.A. TransRisk Score: Any-Account Performance (Percent Bad), by Demographic Group d

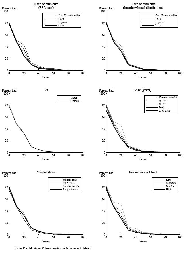
Figure 6.B. TransRisk Score: New-Account Performance (Percent Bad), by Demographic Group

Figure 6.B. TransRisk Score: New-Account Performance (Percent Bad), by Demographic Group d

Figure 6.C. TransRisk Score: Existing-Account Performance (Percent Bad), by Demographic Group

Figure 6.C. TransRisk Score: Existing-Account Performance (Percent Bad), by Demographic Group d

Figure 6.D. TransRisk Score: Random-Account Performance (Percent Bad), by Demographic Group

Figure 6.D. TransRisk Score: Random-Account Performance (Percent Bad), by Demographic Group d

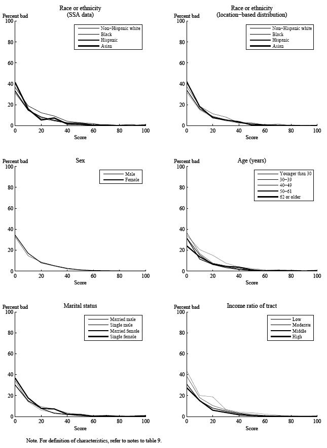
Figure 6.E. TransRisk Score: Modified New-Account Performance (Percent Bad), by Demographic Group

Figure 6.E. TransRisk Score: Modified New-Account Performance (Percent Bad), by Demographic Group d

Return to text

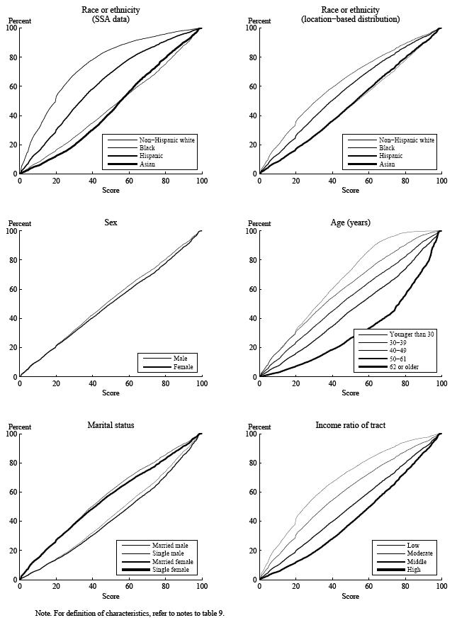
Figure 7.A. TransRisk Score: Cumulative Percentage of Goods and Bads, by Demographic Group (Any-Account Performance)

[Figure 7.A. corrected as of Jan. 25 2008]

Figure 7.A. TransRisk Score: Cumulative Percentage of Goods and Bads, by Demographic Group (Any-Account Performance) d

Figure 7.B. TransRisk Score: Cumulative Percentage of Goods and Bads, by Demographic Group (New-Account Performance)

[Figure 7.B. corrected as of Jan. 25 2008]

Figure 7.B. TransRisk Score: Cumulative Percentage of Goods and Bads, by Demographic Group (New-Account Performance) d

Figure 7.C. TransRisk Score: Cumulative Percentage of Goods and Bads, by Demographic Group (Existing-Account Performance)

[Figure 7.C. corrected as of Jan. 25 2008]

Figure 7.C. TransRisk Score: Cumulative Percentage of Goods and Bads, by Demographic Group (Existing-Account Performance) d

Figure 7.D. TransRisk Score: Cumulative Percentage of Goods and Bads, by Demographic Group (Random-Account Performance)

[Figure 7.D. corrected as of Jan. 25 2008]

Figure 7.D. TransRisk Score: Cumulative Percentage of Goods and Bads, by Demographic Group (Random-Account Performance) d

Figure 7.E. TransRisk Score: Cumulative Percentage of Goods and Bads, by Demographic Group (Modified New-Account Performance)

[Figure 7.E. corrected as of Jan. 25 2008]

Figure 7.E. TransRisk Score: Cumulative Percentage of Goods and Bads, by Demographic Group (Modified New-Account Performance) d

Return to text

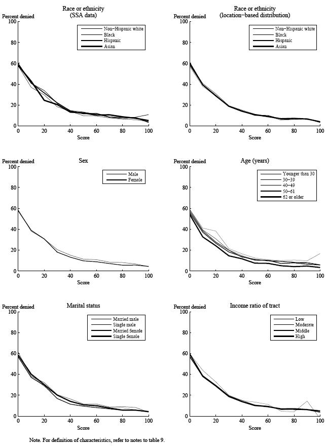
Figure 8. TransRisk Score: New Account Acquisition, by Demographic Group

Figure 8. TransRisk Score: New Account Acquisition, by Demographic Group d

Return to text

Figure 9. TransRisk Score: Inquiry-Based Proxy for Denials, by Demographic Group

Figure 9. TransRisk Score: Inquiry-Based Proxy for Denials, by Demographic Group d

Return to text

Figure 10.A. TransRisk Score: Mortgage Interest Rate, by Demographic Group

Figure 10.A. TransRisk Score: Mortgage Interest Rate, by Demographic Group d

Figure 10.B. TransRisk Score: Auto Loan Interest Rate, by Demographic Group

Figure 10.B. TransRisk Score: Auto Loan Interest Rate, by Demographic Group d

Figure 10.C. TransRisk Score: Other Installment Interest Rate, by Demographic Group

Figure 10.C. TransRisk Score: Other Installment Interest Rate, by Demographic Group d

Return to text

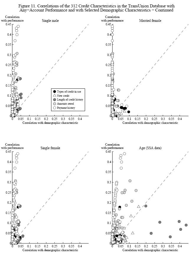
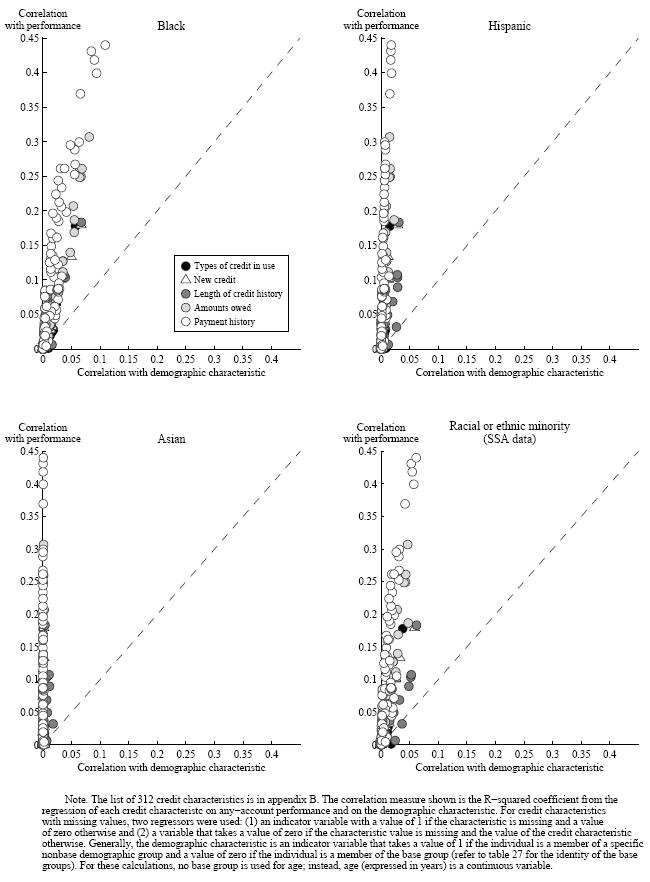
Figure 11. Correlations of the 312 Credit Characteristics in the TransUnion Database with Any-Account Performance and with Selected Demographic Characteristics

Figure 11. Correlations of the 312 Credit Characteristics in the TransUnion Database with Any-Account Performance and with Selected Demographic Characteristics d

Figure 11. Correlations of the 312 Credit Characteristics in the TransUnion Database with Any-Account Performance and with Selected Demographic Characteristics d

Figure 11. Correlations of the 312 Credit Characteristics in the TransUnion Database with Any-Account Performance and with Selected Demographic Characteristics d

Return to text

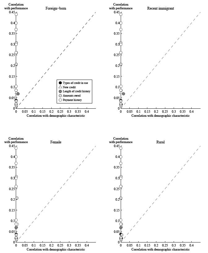
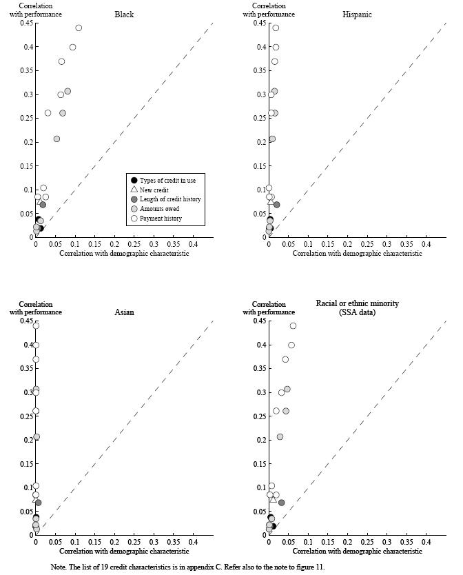
Figure 12. Correlations of the 19 Credit Characteristics in the FRB Base Model with Any-Account Performance and with Selected Demographic Characteristics

Figure 12. Correlations of the 19 Credit Characteristics in the FRB Base Model with Any-Account Performance and with Selected Demographic Characteristics d

Figure 12. Correlations of the 19 Credit Characteristics in the FRB Base Model with Any-Account Performance and with Selected Demographic Characteristics d

Figure 12. Correlations of the 19 Credit Characteristics in the FRB Base Model with Any-Account Performance and with Selected Demographic Characteristics d

Return to text

Back to Contents