The Federal Reserve Board eagle logo links to home page
Basel II Capital Accord
Notice of Proposed Rulemaking (NPR) and Supporting Board Documents
Draft Basel II NPR - Proposed Regulatory Text - Part VI Risk-Weighted Assets for Equity Exposures
March 30, 2006 Skip repetitive navigation


Part VI.  Risk-Weighted Assets for Equity Exposures
Section 51.  Introduction and Exposure Measurement

(a) General. To calculate its risk-weighted asset amounts for equity exposures that are not equity exposures to investment funds, a bank may apply either the Simple Risk Weight Approach (SRWA) in section 52 or, if it qualifies to do so, the Internal Models Approach (IMA) in section 54. A bank must use the look-through approaches in section 53 to calculated its risk-weighted asset amounts for equity exposures to investment funds.

(b) Adjusted carrying value. For purposes of this part, the �adjusted carrying value� of an equity exposure is:

(1) For the on-balance sheet component of an equity exposure, the bank�s carrying value of the exposure reduced by any unrealized gains on the exposure that are reflected in such carrying value but excluded from the bank�s tier 1 and tier 2 capital; and

(2) For the off-balance sheet component of an equity exposure, the effective notional principal amount of the exposure, the size of which is equivalent to a hypothetical on-balance sheet position in the underlying equity instrument that would evidence the same change in fair value (measured in dollars) for a given small change in the price of the underlying equity instrument, minus the adjusted carrying value of the on-balance sheet component of the exposure as calculated in paragraph (b)(1) of this section.

Section 52.  Simple Risk Weight Approach (SRWA)

(a) In general. Under the SRWA, a bank�s aggregate risk-weighted asset amount for its equity exposures is equal to the sum of the risk-weighted asset amounts for each of the bank�s individual equity exposures (other than equity exposures to an investment fund) as determined in this section and the risk-weighted asset amounts for each of the bank�s individual equity exposures to an investment fund as determined in section 54.

(b) SRWA computation for individual equity exposures. A bank must determine the risk-weighted asset amount for an individual equity exposure (other than an equity exposure to an investment fund) by multiplying the adjusted carrying value of the equity exposure or the effective portion and ineffective portion of a hedge pair (as defined in paragraph (c) of this section) by the lowest applicable risk weight in this paragraph (b).

(1) 0 percent risk weight equity exposures. An equity exposure to an entity whose credit exposures are exempt from the 0.03 percent PD floor in paragraph (d)(2) of section 31 is assigned a 0 percent risk weight.

(2) 20 percent risk weight equity exposures. An equity exposure to a Federal Home Loan Bank or Farmer Mac that is not publicly traded and is held as a condition of membership in that entity is assigned a 20 percent risk weight.

(3) 100 percent risk weight equity exposures. The following equity exposures are assigned a 100 percent risk weight:

(i) Community development equity exposures. An equity exposure that qualifies as a community development investment under 12 U.S.C. 24(Eleventh),22 excluding equity exposures to an unconsolidated small business investment company and equity exposures held through a consolidated small business investment company described in section 302 of the Small Business Investment Act of 1958 (15 U.S.C. 682).

(ii) Certain equity exposures to a Federal Home Loan Bank and Farmer Mac. An equity exposure to a Federal Home Loan Bank or Farmer Mac that is not assigned a 20 percent risk weight.

(iii) Effective portion of hedge pairs. The effective portion of a hedge pair.

(iv) Non-significant equity exposures. Equity exposures to the extent that the aggregate adjusted carrying value of the exposures does not exceed 10 percent of the bank�s tier 1 capital plus tier 2 capital.

(A) To compute the aggregate adjusted carrying value of a bank�s equity exposures for purposes of this paragraph (b)(3)(iv), the bank may exclude equity exposures described in paragraphs (b)(1), (b)(2), and (b)(3)(i), (ii), and (iii) of this section, the equity exposure in a hedge pair with the smaller adjusted carrying value, and a proportion of each equity exposure to an investment fund equal to the proportion of the assets of the investment fund that are not equity exposures. If a bank does not know the actual holdings of the investment fund, the bank may calculate the proportion of the assets of the fund that are not equity exposures based on the terms of the prospectus, partnership agreement, or similar contract that defines the fund�s permissible investments. If the sum of the investment limits for all exposure classes within the fund exceeds 100 percent, the bank must assume for purposes of this paragraph (b)(3)(iv) that the investment fund invests to the maximum extent possible in equity exposures.

(B) When determining which of a bank�s equity exposures qualify for a 100 percent risk weight under this paragraph, a bank must first include equity exposures to unconsolidated small business investment companies or held through consolidated small business investment companies described in section 302 of the Small Business Investment Act of 1958 (15 U.S.C. 682) and then must include publicly traded equity exposures (including those held indirectly through investment funds) and then must include non-publicly traded equity exposures (including those held indirectly through investment funds).

(4) 300 percent risk weight equity exposures. A publicly traded equity exposure (including the ineffective portion of a hedge pair) is assigned a 300 percent risk weight.

(5) 400 percent risk weight equity exposures. An equity exposure that is not publicly traded is assigned a 400 percent risk weight.

(c) Hedge transactions - (1) Hedge pair. A hedge pair is two equity exposures that form an effective hedge so long as each equity exposure is publicly traded or has a return that is primarily based on a publicly traded equity exposure.

(2) Effective hedge. Two equity exposures form an effective hedge if the exposures either have the same remaining maturity or each have a remaining maturity of at least three months; the hedge relationship is formally documented in a prospective manner (that is, before the bank acquires at least one of the equity exposures); the documentation specifies the measure of effectiveness (E) the bank will use for the hedge relationship throughout the life of the transaction; and the hedge relationship has an E greater than or equal to 0.8. A bank must measure E at least quarterly and must use one of three alternative measures of E:

(i) Under the dollar-offset method of measuring effectiveness, the bank must determine the ratio of value change (RVC), that is, the ratio of the cumulative sum of the periodic changes in value of one equity exposure to the cumulative sum of the periodic changes in the value of the other equity exposure. If RVC is positive, the hedge is not effective and E = 0. If RVC is negative and greater than or equal to −1 (that is, between zero and −1), then E equals the absolute value of RVC. If RVC is negative and less then −1, than E equals 2 plus RVC.

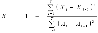
(ii) Under the variability-reduction method of measuring effectiveness: Accessible version of formula Formula, where

(A) Xt = At − Bt;

(B) At the value at time t of one exposure in a hedge pair; and

(C) Bt the value at time t of the other exposure in a hedge pair.

(iii) Under the regression method of measuring effectiveness, E equals the coefficient of determination of a regression in which the change in value of one exposure in a hedge pair is the dependent variable and the change in value of the other exposure in a hedge pair is the independent variable.

(3) The effective portion of a hedge pair is E multiplied by the greater of the adjusted carrying values of the equity exposures forming a hedge pair.

(4) The ineffective portion of a hedge pair is (1−E) multiplied by the greater of the adjusted carrying values of the equity exposures forming a hedge pair.

Section 53.  Internal Models Approach (IMA)

This section describes the two ways that a bank may calculate its risk-weighted asset amount for equity exposures using the IMA. A bank may model publicly traded and non-publicly traded equity exposures (in accordance with paragraph (b) of this section) or model only publicly traded equity exposure (in accordance with paragraph (c) of this section).

(a) Qualifying criteria. To qualify to use the IMA to calculate risk-based capital requirements for equity exposures, a bank must receive prior written approval from the [AGENCY]. To receive such approval, the bank must demonstrate to the [AGENCY]�s satisfaction that the bank meets the following criteria:

(1) The bank must have a model that:

(i) Assesses the potential decline in value of its modeled equity exposures;

(ii) Is commensurate with the size, complexity, and composition of the bank�s modeled equity exposures; and

(iii) Adequately captures both general market risk and idiosyncratic risk.

(2) The bank�s model must produce an estimate of potential losses for its modeled equity exposures that is no less than the estimate of potential losses produced by a VaR methodology employing a 99.0 percent, one-tailed confidence interval of the distribution of quarterly returns for a benchmark portfolio of equity exposures comparable to the bank�s modeled equity exposures using a long-term sample period.

(3) The number of risk factors and exposures in the sample and the data period used for quantification in the bank�s model and benchmarking exercise must be sufficient to provide confidence in the accuracy and robustness of the bank�s estimates.

(4) The bank�s model and benchmarking process must incorporate data that are relevant in representing the risk profile of the bank�s modeled equity exposures, and must include data from at least one equity market cycle containing adverse market movements relevant to the risk profile of the bank�s modeled equity exposures. If the bank�s model uses a scenario methodology, the bank must demonstrate that the model produces a conservative estimate of potential losses on the bank�s modeled equity exposures over a relevant long-term market cycle. If the bank employs risk factor models, the bank must demonstrate through empirical analysis the appropriateness of the risk factors used.

(5) Daily market prices must be available for all modeled equity exposures, either direct holdings or proxies.

(6) The bank must be able to demonstrate, using theoretical arguments and empirical evidence, that any proxies used in the modeling process are comparable to the bank�s modeled equity exposures and that the bank has made appropriate adjustments for differences. The bank must derive any proxies for its modeled equity exposures and benchmark portfolio using historical market data that are relevant to the bank�s modeled equity exposures and benchmark portfolio (or, where not, must use appropriately adjusted data), and such proxies must be robust estimates of the risk of the bank�s modeled equity exposures.

(b) Risk-weighted assets calculation for a bank modeling publicly traded and non-publicly traded equity exposures. If a bank models publicly traded and non-publicly traded equity exposures, the bank�s aggregate risk-weighted asset amount for its equity exposures is equal to the sum of:

(1) The risk-weighted asset amount of each equity exposure that qualifies for a 0-100 percent risk weight under paragraphs (b)(1) through (3)(ii) of section 52 (as determined under section 52) and each equity exposure to an investment fund (as determined under section 54); and

(2) The greater of:

(i) The estimate of potential losses on the bank�s equity exposures (other than equity exposures referenced in paragraph (b)(1) of this section) generated by the bank�s internal equity exposure model multiplied by 12.5; or

(ii) The sum of:

(A) 200 percent multiplied by the aggregate adjusted carrying value of the bank�s publicly traded equity exposures that do not belong to a hedge pair, do not qualify for a 0-100 percent risk weight under paragraphs (b)(1) through (3)(ii) of section 52, and are not equity exposures to an investment fund;

(B) 200 percent multiplied by the aggregate ineffective portion of all hedge pairs; and

(C) 300 percent multiplied by the aggregate adjusted carrying value of the bank�s equity exposures that are not publicly traded, do not qualify for a 0-100 percent risk weight under paragraphs (b)(1) through (3)(ii) of section 52, and are not equity exposures to an investment fund.

(c) Risk-weighted assets calculation for a bank using the IMA only for publicly traded equity exposures. If a bank models only publicly traded equity exposures, the bank�s aggregate risk-weighted asset amount for its equity exposures is equal to the sum of:

(1) The risk-weighted asset amount of each equity exposure that qualifies for a 0-100 percent risk weight under paragraphs (b)(1) through (3)(ii) of section 52 (as determined under section 52), each equity exposure that qualifies for a 400 percent risk weight under paragraph (b)(5) of section 52 (as determined under section 52), and each equity exposure to an investment fund (as determined under section 54); and

(2) The greater of:

(i) The estimate of potential losses on the bank�s equity exposures (other than equity exposures referenced in paragraph (c)(1) of this section) generated by the bank�s internal equity exposure model multiplied by 12.5; or

(ii) The sum of:

(A) 200 percent multiplied by the aggregate adjusted carrying value of the bank�s publicly traded equity exposures that do not belong to a hedge pair, do not qualify for a 0-100 percent risk weight under paragraphs (b)(1) through (3)(ii) of section 52, and are not equity exposures to an investment fund; and

(B) 200 percent multiplied by the aggregate ineffective portion of all hedge pairs.

Section 54.  Equity Exposures to Investment Funds

(a) Available approaches. A bank must determine the risk-weighted asset amount of an equity exposure to an investment fund under the Full Look-Through Approach in paragraph (b) of this section, the Simple Modified Look-Through Approach in paragraph (c) of this section, or the Alternative Modified Look-Through Approach in paragraph (d) of this section unless the exposure would meet the requirements for a community development equity exposure in paragraph (b)(3)(i) of section 52. The risk-weighted asset amount of such an equity exposure to an investment fund would be its adjusted carrying value. If an equity exposure to an investment fund is part of a hedge pair, a bank may use the ineffective portion of the hedge pair as determined under paragraph (c) of section 52 as the adjusted carrying value for the equity exposure to the investment fund.

(b) Full look-through approach. A bank that is able to calculate a risk-weighted asset amount for each exposure held by the investment fund (as calculated under this appendix as if the exposures were held directly by the bank) may set the risk-weighted asset amount of the bank�s exposure to the fund equal to the greater of:

(1) The product of:

(i) The aggregate risk-weighted asset amounts of the exposures held by the fund (as calculated under this appendix) as if the exposures were held directly by the bank; and

(ii) The bank�s proportional ownership share of the fund; or

(2) 7 percent of the adjusted carrying value of the bank�s equity exposure to the fund.

(c) Simple modified look-through approach. Under this approach, the risk-weighted asset amount for a bank�s equity exposure to an investment fund equals the adjusted carrying value of the equity exposure multiplied by the greater of:

(1) The highest risk weight in Table 10 that applies to any exposure the fund is permitted to hold under its prospectus, partnership agreement, or similar contract that defines the fund�s permissible investments (excluding derivative contracts that are used for hedging rather than speculative purposes and do not constitute a material portion of the fund�s exposures); or

(2) 7 percent.

Table 10 – Modified Look-Through Approaches for Equity Exposures to Investment Funds
Risk Weight Exposure Class
0 percent Sovereign exposures with a long-term external rating in the highest investment grade rating category and sovereign exposures of the United States
20 percent Exposures with a long-term external rating in the highest or second-highest investment grade rating category; exposures with a short-term external rating in the highest investment grade rating category; and exposures to, or guaranteed by, depository institutions, foreign banks (as defined in 12 CFR 211.2), or securities firms subject to consolidated supervision or regulation comparable to that imposed on U.S. securities broker-dealers that are repo-style transactions or bankers' acceptances
50 percent Exposures with a long-term external rating in the third-highest investment grade rating category or a short-term external rating in the second-highest investment grade rating category
100 percent Exposures with a long-term or short-term external rating in the lowest investment grade rating category
200 percent Exposures with a long-term external rating one rating category below investment grade
300 percent Publicly traded equity exposures
400 percent Non-publicly traded equity exposures; exposures with a long-term external rating two or more rating categories below investment grade; and unrated exposures (excluding publicly traded equity exposures)
1,250 percent OTC derivative contracts and exposures that must be deducted from regulatory capital or receive a risk weight greater than 400 percent under this appendix

(d) Alternative Modified Look-Through Approach. Under this approach, a bank may assign the adjusted carrying value of an equity exposure to an investment fund on a pro rata basis to different risk weight categories in Table 10 according to the investment limits in the fund�s prospectus, partnership agreement, or similar contract that defines the fund�s permissible investments. If the sum of the investment limits for exposure classes within the fund exceeds 100 percent, the bank must assume that the fund invests to the maximum extent permitted under its investment limits in the exposure class with the highest risk weight under Table 10, and continues to make investments in order of the exposure class with the next highest risk weight under Table 10 until the maximum total investment level is reached. If more than one exposure class applies to an exposure, the bank must use the highest applicable risk weight. A bank may not assign an equity exposure to an investment fund to an aggregate risk weight of less than 7 percent. A bank may exclude derivative contracts held by the fund that are used for hedging rather than speculative purposes and do not constitute a material portion of the fund�s exposures.

Section 55.  Equity Derivative Contracts

Under the IMA, in addition to holding risk-based capital against an equity derivative contract under this part, a bank must hold risk-based capital against the counterparty credit risk in the equity derivative contract by also treating the equity derivative contract as a wholesale exposure and computing a supplemental risk-weighted asset amount for the contract under part IV. Under the SRWA, a bank may choose not to hold risk-based capital against the counterparty credit risk of equity derivative contracts, as long as it does so for all such contracts. Where the equity derivative contracts are subject to a qualifying master netting agreement, a bank using the SRWA must either include all or exclude all of the contracts from any measure used to determine counterparty credit risk exposure.

 


  1. For savings associations, community development investments would be defined to mean equity investments that are designed primarily to promote community welfare, including the welfare of low- and moderate-income communities or families, such as by providing services or jobs and excluding equity exposures to an unconsolidated small business investment company and equity exposures held through a consolidated small business investment company described in section 302 of the Small Business Investment Act of 1958 (15 U.S.C. 682).  Return to text