
Keywords: Federal funds, segmentation, interest on reserves, corridor system, exit strategy
Abstract:To combat the financial crisis that intensified in the fall of 2008, the Federal Reserve injected a substantial amount of liquidity into the banking system. The resulting increase in reserve balances exerted downward price pressure in the federal funds market, and the effective federal funds rate began to deviate from the target rate set by the Federal Open Market Committee. In response, the Federal Reserve revised its operational framework for implementing monetary policy and began to pay interest on reserve balances in an attempt to provide a floor for the federal funds rate. Nevertheless, following the policy change, the effective federal funds rate remained below not only the target but also the rate paid on reserve balances. We develop a model to explain this phenomenon and use data from the federal funds market to evaluate it empirically. In turn, we show how successful the Federal Reserve may be in raising the federal funds rate even in an environment with substantial reserve balances.
The financial turmoil following the Lehman Brothers Inc. bankruptcy on September 15, 2008 necessitated unprecedented injections of liquidity into the financial system by the Federal Reserve. With the banking system awash in funds, the rate at which banks were willing to buy and sell these funds--the federal funds rate--dipped well below the intended policy target rate set by the Federal Open Market Committee (FOMC). As illustrated in figure 1(a), between September 16 and October 7, 2008, the average effective federal funds rate was 35 basis points below the 2 percent target rate set by the FOMC - in normal times, the effective rate is usually within 3 basis points of the target.
This situation created a tension for the Federal Reserve: while the increases in liquidity would prove to help improve market functioning, these increases were also exerting downward pressure on the federal funds rate. Following enactment of legislation that gave the Federal Reserve authority to pay interest on reserve balances beginning in October 2008, depository institutions (banks), for the first time, were able to earn overnight interest on funds held in accounts at the Federal Reserve, referred to as "reserve balances." The Federal Reserve essentially implemented a corridor (or channel) system similar to those operated by many other central banks such as the European Central Bank (ECB) and the Bank of England.2 One feature of such a framework is that the interest rate paid on reserves normally provides a floor for the interbank interest rate that the central bank is seeking to control (Goodfriend 2002 and Ennis and Keister 2008, for example).
Even with the new framework in place, the effective federal funds rate continued to be not only below the target rate, but also below the interest rate paid on reserves, as shown in figure 1(a). Between the October and December 2008 FOMC meetings the average effective federal funds rate was 32 basis points, while the target was 1 percent; the interest rate paid on reserves was 65 basis points or higher for the entire period. This deviation from the theoretical prediction was surprising for even the most astute observers of the federal funds market (Hamilton, 2008, for example). Why did interest on reserves provide an imperfect floor for the federal funds rate, even after the policy was changed so that the interest rate paid on reserves was set equal to the target rate?3 Why would any financial institution lend out funds below the rate paid by the central bank? And even if that were the case, arbitrageurs would surely relish the opportunity of making a pure profit by borrowing cheaply in the market and placing the proceeds with the central bank, and by doing so, move the market rate toward the floor.
The explanation for the puzzling outcome is at least threefold. First, not all participants in the federal funds market are eligible to receive interest on their reserve balances.4 Government-sponsored enterprises (GSEs) in particular, which are significant sellers of funds on a daily basis, are not legally eligible to receive interest on balances held with Reserve Banks. This heterogeneity across participants created a segmented market with different rate dynamics.5 Second, banks' apparent general unwillingness or inability to engage in arbitrage has produced a market structure in which those banks that are willing and able to buy funds from the GSEs have been able to exercise bargaining power and pay the GSEs rates below the interest rate paid on reserves. The lack of arbitrage possibly has been driven in part by banks seeking to control the size of their balance sheet more closely in part to avoid stressing regulatory capital and leverage ratios, as mentioned in Bernanke (2009a). Third, a combination of financial consolidation, credit losses, and changes to risk management practices has led at least some GSEs to limit their number of counterparties in the money market and to tighten credit lines. This trimming of potential trading partners has likely decreased bargaining power with the remaining counterparties.6 In addition, the GSEs have become a larger share of the federal funds market in recent history and hence have pulled down the weighted average federal funds rate.
In this paper, we develop a simple framework for exploring the behavior of the effective federal funds rate in an environment with interest on reserves and a high level of reserve balances. The models we present incorporate the fact that certain participants are being paid interest on reserves (IOR) and others are not. In addition, as noted in Bernanke (2009a), we address the possibility that some IOR-eligible participants may be slower to adopt the new regime than others.
Based on our models, we are able to calibrate the bargaining power of the different participants to market data. This calibration allows us to investigate empirically the drivers of bargaining power in the federal funds market, and to use these estimated relationships to evaluate the impact on the federal funds rate of possible exit strategies from the Federal Reserve's accommodative monetary policy stance. In particular, we consider whether the rate paid on reserves balances can be used to shore up the federal funds rate in an environment in which reserve balances are still high relative to normal levels as suggested by Dudley (2009). And, we also evaluate whether the Federal Reserve's
"ability to pay interest on reserves will enable [it] to raise short-term interest rates even while the quantity of assets [held] is still quite elevated and while the reserve base of the banking system is extraordinarily high. The opportunity for banks to earn interest on a highly liquid risk-free deposit at the Federal Reserve should put a reasonably firm floor under short-term rates, including the federal funds rate" (Kohn 2009).
Using our estimated model, we find that in an environment of relatively normal market functioning, an effective federal funds rate of 2 percent or higher can likely be achieved even with $800 billion in reserve balances.7 However, according to our model, the effective federal funds rate will likely be below the interest rate paid on reserves.
The paper is organized as follows. First, we briefly discuss the institutional details of the federal funds market. Second, we turn to the history and implementation of the interest-on-reserves regime. Third, we present our model of a bifurcated federal funds market with banks and GSEs. We also sketch out how the model can be extended to describe a trifurcated market in which some banks are slow to adopt the new policy regime. Fourth, we calibrate our model to federal funds market data and back out the relative bargaining power of the different market participants. Fifth, we explore the factors that affect our computed bargaining parameters. We show that the level and distribution of reserve balances, rates in other overnight funding markets, and the riskiness of the buyers all have significant predictive power in explaining the bargaining power of the different types of sellers. With this information, in our sixth section, we forecast the effective federal funds rate under a variety of exit scenarios from the current accommodative stance of monetary policy. The seventh section concludes and offers directions for further research.
The Federal Open Market Committee (FOMC) implements its monetary policy goals of maximum employment, stable prices, and moderate long-term interest rates by affecting conditions in the federal funds market. For many years, the FOMC has employed a target for the interest rate at which depository institutions trade balances held at the Federal Reserve in the federal funds market; this rate is called the federal funds rate. The FOMC directs the Open Market Desk at the Federal Reserve Bank of New York to create conditions in the reserve market consistent with federal funds trading near the target (or within the target range).
Federal funds transactions are unsecured loans of balances at Federal Reserve Banks between depository institutions and certain other institutions including government-sponsored enterprises.8 A borrower is said to buy funds whereas a lender is said to sell funds. The vast majority of trades are spot and the duration is typically overnight, but forward trades and trades for longer terms (called term federal funds) also take place.9
In general, there are two methods for trading federal funds. Buyers and sellers can either arrange trades directlytypically using an existing relationshipor employ the services of federal funds brokers. Like other brokers, federal funds brokers do not take positions themselves. Rather, for a fee, they bring buyers and sellers together on an ex-ante anonymous basis. That is, the broker will inform the seller about the identity of the buyer only after the seller's offer has been accepted. The repeated nature of the interactions ensures that a seller accepts the trade regardless of the buyer unless the seller does not have a specific credit line to the buyer or the line is already maxed out (Stigum and Crescenzi 2007). Based on summary reports from the brokers, every morning the Federal Reserve Bank of New York publishes the dollar weighted average rate of brokered tradesknown as the effective federal funds ratefor the previous business day.
Trades are generally settled by the Federal Reserve's Fedwire Funds Service (Fedwire) which allows account holders to transfer funds in real time until the regular close of the system at 6:30 p.m. (6:00 p.m. for non-bank financial institutions). Unlike other parts of the money market, such as the repo market, the federal funds market tends to stay active throughout the day and according to Bartolini et al. (2005) about 40 percent of the trading occurs in the two hours before the close of Fedwire.
The federal funds market emerged in the 1920s as a method of adjusting reserve positions but over time the market acquired increased importance as an outlet for short-term investments and as a marginal source of funding (Willis 1972). The need for adjusting reserve positions arises from a combination of Federal Reserve regulations and the redistribution of balances that result from the daily flow of payments across accounts at the Federal Reserve. The Federal Reserve imposes penalties on account holders if they end a day overdrawn. In addition, depository institutions with reserve requirements are penalized if they hold an insufficient level of balances (and vault cash) relative to their requirement at the end of each reserve maintenance period. Reserve requirements are the amount of funds that a depository institution must hold in reserve against specified deposit liabilities.
As described by Stigum and Crescenzi (2007), in general, larger banks tend to be net buyers of federal funds, while smaller ones are often net sellers, because large corporate customers often borrow funds from the former and individuals often deposit funds at the latter. In addition, a few large custodial banks often buy substantial quantities of federal funds. Moreover, historically the GSEs have, because of their business models, been large net sellers of funds. For example, the Federal Home Loan Banks use the federal funds market to warehouse liquidity to meet unexpected borrowing demands from members, whereas Fannie Mae and Freddie Mac use the market as a short-term investment vehicle for incoming mortgage payments before passing the funds on in the form of principal and interest payments to investors.
The Federal Reserve usually kept excess balances in the banking system as a whole at a level that would ensure that the effective federal funds rate would stay close to the target rate. Lately, however, in an environment of heightened uncertainty in financial markets and highly accommodative monetary policy, many banks keep an elevated level of excess balances; few need to borrow to satisfy reserve requirements. In addition, the distribution of balances across Federal Reserve districts has become more concentrated. Indeed, as shown in table 1, as balances have increased markedly, the share held by the largest three Federal Reserve districts has jumped from 60 percent in July 2007 and July 2008 to 75 percent in July 2009, with the Second District's share climbing to nearly half of total balances. Furthermore, amid the recent financial turmoil and after the establishment of the conservatorship, Fannie Mae's and Freddie Mac's current liquidity management procedures include a higher share of assets held as cash and cash equivalents, making federal funds a more prominent share of their balance sheet.10
The expansion of the Federal Reserve's toolkit to include interest on reserves was a long time coming. Federal Reserve officials had for years requested that Congress provide the necessary legal authority to pay interest on reserve balances (Feinman 1993; Kohn 2004). Not remunerating reserves was seen as an implicit tax on banks that were subject to reserve requirements, as these institutions were obligated to hold balances overnight in their accounts and had to forego earnings elsewhere.11 As a consequence, banks had an incentive to reduce their reserve balances to a minimum. To do so, they used tools such as sweep arrangements that move funds from deposits that were subject to reserve requirements to deposits and money market investments that were not. The Financial Services Regulatory Relief Act of 2006 gave the Federal Reserve authority, beginning October 2011, to pay interest on reserve balances (and to reduce reserve requirements to as low as zero). Importantly, the authorization only applied to depository institutions.12
The intensifying financial turmoil over the course of 2008 required larger and larger injections of liquidity into the financial system and made it infeasible for the Federal Reserve to sterilize the resulting increases in reserve balances by redeeming or outright selling Treasury securities from the System Open Market Account (SOMA) portfolio, as illustrated in figure 1(b). The Federal Reserve asked Congress to move the October 2011 starting date for implementing interest on reserves forward to provide a floor for trading in the federal funds market (Bernanke 2008). Congress granted that authority as part of the Emergency Economic Stabilization Act of 2008, and the Reserve Banks began paying interest on reserve balances starting with the maintenance period beginning on October 9, 2008. The rules governing the payment of interest on reserves make a distinction between balances held to fulfill reserve requirements, referred to as "required reserve balances," and those paid on balances held in excess of required reserve balances and contractual clearing balances, referred to as "excess reserve balances."13 The rates paid on required and excess balances evolved from the start of the program through December 2008 as shown in figure 2. Interest paid on required reserves was computed differently from that paid on excess reserves, and the rates applied differed. Initially, the rate paid on required reserve balances was 10 basis points below the average target federal funds rate for the maintenance period, while the rate paid on excess balances was 75 basis points below the lowest target for the period.
The spreads were subsequently narrowed twice: first to zero for required balances and 35 basis points for excess balances, and then to zero for both by the maintenance period ending on November 19, 2008. Following the December 1516, 2008 FOMC meeting the interest rates on required reserve balances and excess balances were both set at 25 basis points, that is, at the upper bound of the newly established target range for the federal funds rate of 0 to 25 basis points.
Before December 16, the exact lower bound of the interest rate corridor was somewhat fuzzy to banks engaging in federal funds trading in maintenance periods with a scheduled FOMC meeting.14 If market participants placed some weight on the probability of a rate change, they might be inclined to sell funds at rates closer to the expected remuneration rate for the period, rather than the contemporaneous one. Indeed, as shown in figure 2, there were clearly periods in which an anticipated change in the target rate may have been a factor in pushing down the expected excess reserves rate, and at the same time, the effective rate.
We propose a simple framework for examining the effective federal funds rate in an environment with a segmented application of interest on reserves and a high level of excess reserves. The segmented market incorporates the current nature of the federal funds market in which certain participants are being paid interest on reserves (IOR) and others are not. In addition, in an extension of the model, we address the possibility that some IOR-eligible participants may be slower to adapt to the new regime than others when IOR is introduced. Both models take as given the existence of one or more frictions that constrain the ability of market participants to arbitrage away the difference between the federal funds rate and the interest on reserves.
The economy has a central bank and a set of profit-maximizing and risk-neutral agents that buy and sell overnight (federal) funds in an over-the-counter market. Agents clear and settle obligations through the central bank's large-value payment system. The central bank makes a distinction between two types of agents: institutions that are paid interest on overnight reserve balances with the central bank and those that are not. We use the shorthand "banks" to denote the former and "GSEs" to denote the latter. The interest rate paid by the central bank is denoted by
. In line with the general description of the federal funds market above, we assume for simplicity that only banks buy (borrow) federal funds, while both banks and GSEs sell (lend) in the market. A business day consists of two periods: intra-day and end-of-day. Both banks and GSEs can trade (and settle) in the former, but only banks can settle and hence trade in the latter (see figure 3).
Furthermore, we assume that any agent can only trade with one counterpart per period and we abstract from possible size effects and take all transactions to have the same dollar value (scaled to one). The rate paid on a federal funds transaction between a GSE and a bank is denoted by
, while the rate on a transaction between two banks is given by
.15 The effective federal funds rate is simply the weighted average rate paid on transactions between banks and GSEs and the rate paid on transactions between banks, that is
In what follows, we assume that the GSE market share is exogenous while
and
are determined by bilateral bargaining. We do not specify the explicit bargaining processes but rather solve for generalized Nash solutions to the bargaining problems between a bank and a GSE as well as between two banks, respectively. In each case, the bargaining problem involves the two parties splitting the surplus between the rate at which a buyer can borrow funds and the rate at which a seller can place funds should the negotiation fail.16 Buyers obviously seek the lowest rate possible and sellers the highest. Moreover, as shown below, the Nash solution implies that the seller gets paid its alternative option plus a share of the surplus reflecting its bargaining power, whereas the buyer has to pay its alternative option minus a rebate again reflecting its bargaining power.
Following Binmore (1992), for example, we formally define the bargaining problem as a pair
, where
is the set of feasible agreements, and
= (
,
is the threat or disagreement point that reflects the outcome if the parties fail to agree. A bargaining solution is a function
that picks out a unique solution. In this context, with profit-maximizing risk-neutral agents, the utility of agents associated with a trade is simply equal to the interest income, and the generalized Nash solution can be written as
In contrast, for a bank negotiating with a GSE, the alternative option is not the cost of going to the discount window but rather the "bank versus bank" bargaining solution,
. We denote the alternative option for the GSEs as
, but because GSEs cannot earn interest on funds placed at the Federal Reserve, we will in many places treat it as being zero.19 Hence, the Nash solution to the bargaining between a bank and a GSE is given by
In the model, increasing the interest on reserves rate raises the effective federal funds rate. For every basis point increase in
, the effective federal funds rate increases by less than a basis point, 1-
(1-
). Hence, the absolute difference between the interest on reserves rate and the effective federal funds rate widens as the interest rate paid on reserves is increased. As mentioned above, our model assumes the presence of frictions that limit market participants from arbitraging away these differences. Insofar as these frictions become less binding as the interest on reserves increases, our model defines a lower bound on the effective federal funds rate.20
The expression for the effective federal funds rate in equation (7) permits some intuitive results in terms of comparative statics. The effective federal funds rate depends on the models' parameters in the following manner. First, an increase in GSE bargaining power pushes the effective rate up:
Second, an increase in the GSEs market share of the federal funds market decreases the effective federal funds rate. The impact is smaller the larger the bargaining power of the GSE:
Third, an increase in the alternative option for the GSEs in terms of placement of funds drives up the federal funds rate:
Fourth, an increase in the seller bargaining power in the bank-versus-bank interaction pushes up
and hence the effective federal funds rate. The upward pressure increases with the width of the corridor, that is, surplus, but is smaller if the GSE market share is large:
In sum, our model can explain the recent dynamics of the federal funds market in an environment where institutions appear to respond to their alternative options rationally. It seems, however, that some banks were selling funds below the IOR rate for a period of time, even though these institutions could leave the funds in their account at the Federal Reserve and earn a higher rate of interest. In what follows, we extend the model slightly to incorporate the behavior of these institutions into the market and offer an interpretation of their apparently aberrant behavior.
While the model above introduces heterogeneity across participants in the federal funds market, it is obviously a simplification. Nevertheless, the framework can easily be extended to allow for additional types of agents. In this section, we present an extended version of the model, where we allow banks to differ in how quickly they adjust to the new policy regime. As shown in figure 2, in the beginning days of IOR, there were frequent changes to the rules, which may have caused some banks to adapt to the regime slowly. We extend the model by dividing the bank seller category into two subcategories to reflect the possibility that some banks may have been slow to adjust to the new interest-on-reserves regime and could have been selling funds below the rate paid on (excess) reserves. We use the shorthand "old" regime and "new" regime to denote the two types. Specifically, we assume that the old regime banks tend to trade early and that the market share of old regime banks is
. The timing of the bargaining process in the case with slow adjusters to the interest on reserves policy is shown in figure 5.
The rates earned by old and new banks when selling funds are denoted
and
respectively. Hence, the effective federal funds rate can be decomposed as follows:
In the remainder of the paper, we take our simple models to the data to estimate key parameters and to simulate the effective federal funds rate under different assumptions. A challenge is the fact that the bargaining power parameters are latent or unobserved. Our approach is to use information on the observed rates at which the different segments of the federal funds market trade to back out the bargaining-power parameters consistent with the model. In the following section, we then correlate these implied bargaining parameters with a set of variables and indicators that we a priori would expect to influence the relative bargaining power of buyers and sellers of federal funds. To the extent that the estimation exercises yield good fits and plausible marginal effects, they would provide a level of comfort in our framework and its implications.
In our first calibration exercise, we use proprietary data on rates and volumes of brokered trades in the federal funds market that the Federal Reserve Bank of New York uses to construct the daily effective federal funds rate.22 By doing so, we can take a close look at the data used to compile the official policy rate and attempt to identify movements in these data. One shortcoming of these data is that they provide information only on
the aggregate dollar amounts traded at each rate and not the identity of either the buyer or the seller. As a result, we assume that trades at or above the interest rate paid on reserves are trades executed between banks and that trades below the IOR rate are executed between banks and
GSEs.23 Over the course of our sample, as shown in figure 6(a),
, the share of trades below the excess-reserves rate, was quite volatile in the early days of interest on reserves, ranging from 4 percent to 95 percent. It started dropping from mid-December 2008 onward, and hovered around 80 percent for the months following.
Our identifying assumptions, in turn, allow us for each day to compute
as the average interest rate on trades brokered below the excess rate, weighted by dollar volume; similarly, we compute
as the weighted average rate for trades brokered at or above the excess reserves rate. The decomposition of the effective rate into these two rates is shown in figure 6(b).
Our sample covers October 9, 2008, to July 1, 2009, with a total of 181 observations.
Using our calculated
and
, we construct the implied bargaining powers. Rearranging equations (5) and (6), we have the following expressions for
and
:
For our calibration of a three-type market, we use proprietary transaction-level data from the Fedwire funds transfer service that has been matched to form plausible overnight funding transactions, likely related to the federal funds market. Similar data were first used by Furfine (1999) and since then by Bartolini, Hilton, and McAndrews (forthcoming), Ashcraft and Duffie (2007), and Demiralp, Preslopsky, and Whitesell (2006) to mention a few.26 Again, our sample is drawn from the universe of matched transactions from October 10, 2008, to July 1, 2009. The transaction data set contains basic transfer information, including the amount of the transaction, the implied interest rate of the identified transaction, and the seller and buyer in the trade. These last two pieces of information allow us to differentiate the rates earned by depository institutions and GSEs to evaluate the empirical implications described above.27
Turning to the estimated relative bargaining power of the trifurcated model, as shown in figure 7(b), the bargaining power of the new-regime banks averages 0.09--well below the implied bargaining power of the GSEs, which averages 0.57. Interestingly, the average bargaining power for the old-regime banks is 0.50, suggesting not only that it is lower than the GSEs, but also that these institutions divide evenly the implied surplus with their counterparties.28 These calibrations also suggest that the GSEs usually capture relatively more of the available surplus from transactions than new regime banks do but, as their alternative options are worse, they still get a lower rate. In the Fedwire data, the bargaining power of bank sellers is in a much tighter range because of an estimated lower maximum bargaining power, but the averages of the brokered series and the Fedwire series are within one standard deviation of each other.
Although these bargaining-power dynamics are illustrative, they do not explain the factors that influence rate movements in the federal funds market. To address this issue more completely, we apply our theoretical model to data from the money market to identify the factors that significantly predict bargaining power.
The econometric specification is complicated by the fact that the bargaining power variables of interest are, by construction, positive proper fractions; that is, they take on values between zero and one. We based our analysis on the reduced-form fractional response (FR) model proposed by Papke
and Wooldridge (1996). This model is based on a generalized linear framework
Our hypothesis is that bargaining power in the federal funds market depends on selected covariates, including the quantity and distribution of reserve balances, conditions in related overnight funding markets, the policy environment, and exogenous factors affecting the demand for funds by different entity types. Table 2 presents summary statistics on our covariates. For the ease of exposition we group our covariates into four groups and as a result, we write
(
as
The group other markets contains the spread of the Treasury general collateral (GC) repurchase agreement rate to the target rate and a credit default swap (CDS) index for investment-grade financial institutions.34 The repo market and the federal funds market are closely related and many participants are active in both. Higher rates in the repo market may improve the bargaining power of sellers in the federal funds market by providing a price point. The CDS index captures capture broader market sentiment regarding the health of the banking sector. Many studies in bankingBerger and Udell (1995), for examplesuggest that asymmetric information about credit quality affects bargaining power between banks and their customers and that the same may be true in the federal funds market. As such, increased counterparty risk may strengthen the hands of sellers as, on the one hand, they can plausibly demand higher rates. On the other hand, however, prudent risk management in response to a higher chance of default may reduce credit lines and limit eligible counterparties and hence lower the bargaining power of the seller who is now more constrained in how much and with whom it can trade.
The policy group includes indicator variables that control for the excess reserves regime and the policy environment. First, we include a dummy variable that equals 1 if the rate paid on excess reserve balances changes at a later date in the maintenance period. The anticipation of excess variable is an attempt to measure the degree to which banks were able to foresee future rate changes that would affect their remuneration on reserves held overnight on any given day. Second, we control for target rate changes. The announcement of the new target rate does not generally occur until later in the day (around 2:15 p.m.), so that on those days, trading in the first part of the day can be conducted in reference to a target rate different from that for trading later in the day.
Finally, the group calendar consists of a set of indicator variables to control for calendar effects. We include principal and interest (P&I) days when Fannie Mae and Freddie Mac pay out principal and interest on their debt obligations and mortgage-backed securities. All else equal, one would expect that the bargaining power of GSEs would be strengthened on those days as the need for Fannie Mae and Freddie Mac to sell funds is smaller. In addition, we include an indicator variable for quarter-end statement dates, when funds market behavior has in part been driven by reporting requirements.
Table 3 presents results from estimating the relationship in equation (24) for both
and
using the brokered data from the Federal Reserve Bank of New York. The first set of columns presents the results for estimating the determinants of bank sellers' implied bargaining power,
, and the second set of columns presents those for the GSEs,
.
In the results for both banks and GSEs, the first column displays the estimated marginal effects from the fractional response model.35 As a robustness check, the second and third columns show estimates from a simple linear specification and a linear specification with two autoregressive terms. All inference is based on Newey-West standard errors (shown in parentheses in the tables) that are corrected for heteroskedasticity and autocorrelation.
With the balances group factors, there are two points to note. First, the level of (log) balances has significant negative effects on seller bargaining power, as expected. However, the marginal effect for the GSEs is almost three times that for the banks. In the sample over which our parameters are estimated, banks are near the bottom of their bargaining range. Accordingly, additional balances do not cause their bargaining power to move very much. By contrast, GSEs usually capture about half the surplus from their trading interactions. Therefore, an increase in balances may push down their bargaining power more substantially.
Second, the distribution of balances also has some ability to predict the bargaining power of the GSEs. The coefficients on the HHI variable imply, in very rough terms, that an increase in the concentration of balances by one standard deviation implies an increase of bargaining power for the GSEs of about 0.08. One interpretation of the result is that increases in market concentration more generally push up the market power of sellers of funds, which include the GSEs.
The next set of coefficients focuses on the effects of broader market conditions on the bargaining power of these sellers. High repo rates tend to push down the bargaining power of banks, as evidenced by the negative coefficients on the spread to the target variable. By contrast, for the GSEs, bargaining power is positively correlated with the Treasury GC repo rate spread as expected. . These effects are even more pronounced after December 15, when the target range of zero to 25 basis points was introduced.
Continuing with the exploration of the effects of broader market conditions, we find that increased counterparty risk, as measured by the financial CDS index, increases the bargaining power of the banks, while it reduces the bargaining power of the GSEs. This result perhaps suggests that, as a result of smaller or fewer credit lines, fewer trading opportunities may dominate any increased risk premiums that the GSEs can collectively command.
As for the effect of the policy environment on bargaining power, the coefficient on the anticipation of the excess rate parameter suggests that cuts in the excess rate were not fully anticipated, otherwise, this coefficient would be equal to zero. As shown in figure 2, on multiple trading days the excess rate that would be applied at the end of the maintenance period was below that in effect at the beginning. Trading in the funds market adjusted down towards the new excess rate, but not all the way, implying an increase in the market power of banks selling above the excess rate. However, as is evident from the coefficient, the increase in market power was not one-to-one, and the marginal effect of being in an anticipation period was only about 0.02. In addition, the date of the FOMC has only limited effect on bargaining power.
The final set of coefficients control for various calendar effects. As is evident for the coefficients, the bargaining power of sellers increases on P&I days, likely because the GSEs are not as aggressively selling funds, given their need to keep the funds in their accounts to cover the large volume of outgoing payments. The positive and significant coefficient (for banks) on the quarter-end variable is consistent with a possible increased stigma of going to the discount window on reporting dates, thereby pushing up the bargaining power for sellers.
As shown in table 4, the patterns in the trifurcated model and in the bifurcated model are the same. What is notable is that the magnitude of the effects of almost all factors is estimated to be greater for the GSEs than for the other types, particularly the old-regime banks. Increases in balances tend to push down the bargaining power of all types of institutions, but there is a much more marked effect estimated for the GSEs. As shown in figure 8(a), when balances rise, GSEs' bargaining power is estimated to fall considerably. Interestingly, the trifurcated model reveals that the effect of concentration on the below-IOR rate sellers that we saw in the brokered data is now estimated to be attributed to the old-regime banks. In fact, the bargaining power of the GSEs is not significantly affected by the concentration of balances according to our estimates. This points to further evidence of market segmentation, in that two types of institutions that are estimated to be selling below the excess rate have different interactions with potential buyers. Finally, while the concentration of balances at the largest institutions was positively correlated with the market power of both the old-regime banks and the GSEs with about the same magnitude, the share of the market attributed to custodial banks appears to have limited relevance.
We find that the repo rate spread has a relatively larger estimated effect on the GSEs than on the old-regime banks, although for both the effect is fairly sizable. As shown in figure 8(b),
moves in step with the Treasury GC repo rate. As in the bifurcated model, bargaining power for the GSEs is more pronounced on the P&I dates, while bargaining power picks up substantially on quarter-end dates for new regime banks.
Interest on reserves permits the Federal Reserve to change the stance of monetary policy and to raise or lower private interest rates by raising or lowering the rate paid on excess reserves. As noted by policy makers and pundits alike, this factor may prove to be an important part of the Federal Reserve's exit strategy going forward, should the FOMC choose to raise interest rates even when the balance sheet is still relatively large and excess reserve balances are elevated. In this section, we use the fractional model estimates calculated above to illustrate possible paths for the effective federal funds rate under different assumptions for the rate paid on excess reserve balances, the spread of the repo rate to the target rate, and the level of excess balances. In what follows, we assume that all other factors--including the distribution of reserve balances and the CDS financial index spread--revert back to their average pre-crisis levels. Table 5 shows our underlying assumptions for each of these exercises. We perform our forecasting exercises using the parameter estimates obtained from the brokered federal funds data. The results using the "Furfine" data are qualitatively similar.
In the first exercise, we calculate the implied effective rate for a range of excess reserves rates, assuming that reserve balances remain elevated at $800 billion. Furthermore, we posit that the excess reserves rate is set at the target rate, as is the case currently. We assume that the spread between the target federal funds rate and the overnight Treasury GC repo rate reverts to its historical level of 9 basis points. Figure 9 displays our results. The rates at which banks and GSEs sell federal funds are shown by the blue and red lines, respectively. The banks continue to sell at just above the excess rate, while GSEs sell below. The GSE rate, however, stays well above zero. In particular, all rates move up with the IOR rate. We also plot the implied effective federal funds rate with different assumptions for the market shares of the GSEs. In the "low" scenario, the GSEs have a 25 percent share of federal funds sales; in the "high" scenario, the GSE share is 75 percent. As we illustrated in figure 4, the effective federal funds rate rises with the rate paid on excess reserves, and the slope is steeper if the GSE share is low. As is evident from the figure, even though the effective rates may well be below the target, it is certainly possible to achieve an effective funds rate in the 2-3 percent range (or even higher) amid elevated balances. Again, it is worth noting that the analysis provides a lower bound for the effective rate as it is implicitly assumed that banks do not seek to arbitrage the difference between the IOR rate and where the market is trading.
We examine the effects of different levels of the repo-excess rate spread and total balances on the effective federal funds rate in figures 10 and 11, respectively. Both exercises assume a 2 percent rate paid on excess (and required) reserve balances, and $800 billion in excess balances. As shown in figure 10, the narrower the spread of the repo rate to the excess rate, the closer the effective rate is to the excess rate. Again a smaller GSE market share drives up the effective federal funds rate. The repo-excess rate spread has little effect on the predicted rate for banks (blue line) but for the GSEs (red line), however, rates march up as the spread between the repo rate and the target rate narrows. Even if the spread is particularly wide at 90 basis points, the GSE rate is still forecasted to be only 80 basis points below the excess rate.
The effect of balances on the effective rate is shown in figure 11. Higher balances suggest lower effective rates for a given level of the excess rate. But, the model predicts that even with $1 trillion in balances, the effective rate remains well above zero, but likely below the excess rate. Even more to the point, perhaps, the figure clearly shows that if balances revert to historical levels, the effective rate converges to the excess rate. In fact, at sufficiently low levels of balances and GSE market share, the effective rate rises above the interest on reserves rate. In other words, it moves within the corridor as posited by the standard theoretical models.
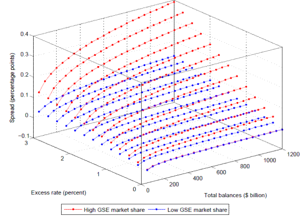
Going forward, should the FOMC choose to tighten its policy stance, the model suggests that that the Federal Reserve could use some combination of the IOR rate and tools to drain reserves--such as term deposits or reverse repurchase agreements--in order to achieve its monetary policy goals.36 Figure 12 shows the effects of changing both the IOR rate and the level of balances simultaneously on the spread between the excess rate and the effective federal funds rate. As can be seen from the chart, our model suggests that raising the IOR rate in conjunction with draining reserve balances narrows the spread between the excess rate and the effective rate, all other things equal. Spreads are estimated to be particularly narrow when the GSEs have a relatively low market share. Indeed, our model estimates suggest that spreads are more sensitive to changes in the excess rate and changes in balances when the GSE share is high, but exhibit less sensitivity if this share is low.
As borne out by international experience, a corridor or floor system for implementing monetary policy is a solid framework. However, certain structural aspects of the federal funds market in the United States (as well as the timing of the introduction of interest on reserves--during the height of the financial turmoil) have led to an average interbank rate below the floor rate. But, as we argue, this is a straightforward result of the market dynamics created by the fact that some participants in the federal funds market are paid interest on reserves and others are not. The deviation of the effective federal funds rate from the corridor--defined by the interest paid on excess reserves and the all-in cost of the discount window--has presumably been amplified by a combination of factors. These factors could include the general impairment of money markets, bank balance sheet pressures and the structure of the GSEs' conservatorship as well as their risk management practices. These may have left arbitrage opportunities unexploited. Moreover, the high level of excess reserves may have increased the market share of the participants with the less attractive alternative option, that is, the GSEs.
Nevertheless, the results in this paper suggest that a graceful exit is indeed possible. First, our estimates suggest that, even amid high balances, the Federal Reserve can raise the effective federal funds rate when conditions warrant. As shown above, if the Federal Reserve raises the rate paid on excess reserves, the effective rate would move up in tandem according to our model estimates, although the relationship will likely be less than one-to-one due to the segmented nature of the market. Second, if the deviation between the policy rate and the effective rate is deemed to be too large, then our model suggests that the Federal Reserve can raise the effective federal funds rate even further by draining reserve using tools such as reverse repurchase agreements or a term deposit facility. In particular, our comparative statics suggest that, if the Federal Reserve targets balances held by the GSEs directly, this approach would have a large impact because it would decrease the GSE market share in the federal funds market, improve the alternative option of the GSEs, and raise the bargaining power of sellers in general. As such, it would operate on all the three margins highlighted by our analysis to raise the effective federal funds rate and narrow the spread between the effective rate and the excess rate.
To conclude, our model is a simplification of current market conditions and only looks at a narrow, albeit important, part of the broader money market. Future research, could seek to incorporate the repo and Eurodollar markets in a more explicit manner.
From equation (3) we have
The bank versus bank and the GSE versus bank bargaining problems and their solutions for different assumptions about bargaining power and alternative options are illustrated in panel (a) - (d) of figure B1. Interest rates are measured in basis points on the horizontal axis and the generalized Nash products from equation (3) are measured (also in basis points) on the vertical axis. In panel (a) - (c), the interest rate paid on excess reserves balances is assumed to be equal to 25 basis points (shown by the orange diamond marker), the all-in cost of going to the discount window is set at 75 basis points (shown by the purple asterisk marker), and the GSEs are assumed to have a market share of 80 percent.
The generalized Nash product in the bank versus bank bargaining is shown by the blue line. The rate that maximizes this function
is shown by the blue square. This rate constitutes the alternative option for a bank that is bargaining with a GSE. The generalized Nash product for the bank versus GSE bargaining is shown by the red line, and the rate at which this function reaches its maximum,
, is shown by the red triangle. The effective rate resulting from the nested bargaining problems is the market share weighted average of the bank versus bank and bank versus GSE rates (shown by the green circle). In the first figure, agents are assumed to split the surplus evenly in all negotiations, that is, the bargaining parameters are set at 0.5. This implies that the Nash products are symmetric around the mid-points of the bargaining ranges. Consequently, the bank versus bank rate is 50 basis points and hence the bank versus GSE rate is 25 basis points. This in turn implies that the effective rate is 0.8*25 + 0.2*50 = 30 basis points.
In figure 2, the bargaining power of a bank selling funds is decreased from 0.5 to 0.25 and the Nash product tilts to the left. The bank versus bank
rate is now 37.5 basis points and the surplus to be split if a bank meets a GSE is now smaller by 12.5 basis points relative to before. An even split yields a bank versus GSE rate of 18.75 basis points. The effective rate is now at 22.3 basis points, and hence below the interest paid on reserves. In panel (c), the bargaining power of GSEs,
, is reduced from 0.5 to 0.25 and the bank versus GSE Nash product tilts to the left, which further drives down the bank versus GSE rate to 9.5 basis points and the effective rate to 15 basis points, respectively. In the final figure, the interest rate on reserves is set at 200 basis points and the all-in cost of going to the discount window is at 250 basis points. The bargaining power of a selling bank is assumed to be .25 which drives the bank versus bank rate to 212.5 basis points and greatly expands the surplus to be shared between a bank and a GSE. Assuming an even split, that is,
= .5 the effective rate is 127 basis points with a GSE market share of 0.8. In other words, the increase in the interest rate paid on reserves raised the effective federal funds rate significantly but it still sits well below the interest paid on reserves.
From equations (7) and (17) it follows that
Ashcraft, Adam, and Darrell Duffie. 2007. "Systemic Illiquidity in the Federal funds Market." American Economic Review 97 (2): 221-25.
Ashcraft, Adam, James McAndrews, and David Skeie. 2009. "Precautionary Reserves and the Interbank Market." Federal Reserve Bank of New York Staff Report no. 370. May.
Bartolini, Leonardo, Svenja Gudell, Spence Hilton, and Krista Schwarz. 2005. "Intra-day Trading in the Overnight Federal Funds Market," Current Issues in Economics and Finance¸ Federal Reserve Bank of New York, 11:11.
Bartolini, Leonardo, Spence Hilton, and James McAndrews. 2008. "Settlement Delays in the Money Market." Journal of Banking and Finance, forthcoming.
Bartolini, Leonardo, Spence Hilton, and Alessandro Prati. 2008. "Money Market Integration." Journal of Money, Credit and Banking 40 (1): 193-213.
Berentsen, Aleksander, and Cyril Monnet. 2008. "Monetary Policy in a Channel System." Journal of Monetary Economics 55:1067-80.
Bernanke, Ben. 2008. Letter to Nancy Pelosi, Speaker of the House of Representatives, May 13. Available at online.wsj.com/public/resources/documents/pelosi20080516.pdf.
______. 2009a. "The Federal Reserve's Balance Sheet." Speech at the Federal Reserve Bank of Richmond 2009 Credit Markets Symposium, Charlotte, North Carolina, April 3. Available at www.federalreserve.gov/newsevents/speech/bernanke20090403a.htm.
______. 2009b. "The Federal Reserve's Balance Sheet: An Update," Speech at the Federal Reserve Board Conference on Key Developments in Monetary Policy, Washington, D.C., October 8. Available at http://www.federalreserve.gov/newsevents/speech/bernanke20091008a.htm.
Bindseil, Ulrich, Gonzolo Camba-Mendez, Astrid Hirsch, and Benedict Weller. 2006. "Excess Reserves and the Implementation of Monetary Policy of the ECB." Journal of Policy Modeling 28:491-510.
Binmore, Ken. 1992. Fun and Games--A Text on Game Theory. Lexington, Mass.: D.C Heath.
Board of Governors of the Federal Reserve System. 2009. "The Ninety-fourth Annual Report of the Board of Governors of the Federal Reserve System." Available at www.federalreserve.gov/boarddocs/rptcongress/annual07/pdf/AR07.pdf.
Clouse, James A., and James P. Dow. 2002. "A Computational Model of Banks' Optimal Reserve Management Policy." Journal of Economic Dynamics and Control 26 (September): 1787-1814.
Demiralp, Selva, Brian Preslopsky, and William Whitesell. 2006. "Overnight Interbank Loan Markets." Journal of Economics and Business 58:67-83
Dudley, William. 2009. "The Economic Outlook and the Fed's Balance Sheet: The Issue of `How' versus `When."' Remarks at the Association for a Better New York Breakfast Meeting, Grand Hyatt, New York, July 29.
Ennis, Huberto M., and Todd Keister. 2008. "Understanding Monetary Policy Implementation." Federal Reserve Bank of Richmond Economic Quarterly 94:235-63.
Feinman, Joshua. 1993. "Reserve Requirements: History, Current Practice, and Reform." Federal Reserve Bulletin June:569-89.
Friedman, Milton. 1959. A Program for Monetary Stability. New York: Fordham University Press.
Furfine, Craig. 1999. "The Microstructure of the Federal funds Market." Financial Markets, Institutions, and Instruments 8(5): 535-53.
Goodfriend, Marvin. 2002. "Interest on Reserves and Monetary Policy." FRBNY Economic Policy Review (May): 77-84.
Hamilton, James. 2008. "The New, Improved Federal Funds Market." Available at http://www.econbrowser.com/archives/2008/11/the_new_improve.html.
Keister, Todd, Martin, Antoine, and McAndrews, James. 2008. "Divorcing Money from Monetary Policy," Federal Reserve Bank of New York Policy Review, September: 41-56.
Kohn, Donald L. 2004. "Regulatory Reform Proposals." Testimony before the Committee on Banking, Housing, and Urban Affairs, U.S. Senate, June 22.
______. 2009. "Central Bank Exit Policies." Speech at the Cato Institute's Shadow Open Market Committee Meeting, Washington, D.C., September 30.
McAndrews, James J. 2009. "Segmentation in the U.S. Dollar Money Markets during the Financial Crisis." Unpublished paper. May 19.
Papke, Leslie E., and Jeffrey M. Wooldridge. 1996. "Econometric Methods for Fractional Response Variables with and Application to 401 (K) Plan Participation Rates." Journal of Applied Econometrics 11 (6): 619-32.
Stigum, Marcia, and Anthony Crescenzi. 2007. The Money Market. New York: McGraw Hill
Whitesell, William. 2006. "Interest Rate Corridors and Reserves." Journal of Monetary Economics 53:1177-95.
Willis, Parker B. 1972. The Federal Funds Market: Its Origin and Development. Federal Reserve Bank of Boston.
| District | July 4, 2007 Level | July 4, 2007 Percent of total | July 2, 2008 Level | July 2, 2008 Percent of total | July 1, 2009 Level | July 1, 2009 Percent of total |
|---|---|---|---|---|---|---|
| Boston | 644 | 4 | 874 | 5 | 30,025 | 4 |
| New York | 5,104 | 30 | 3,216 | 20 | 333,833 | 46 |
| Philadelphia | 597 | 4 | 952 | 6 | 15,153 | 2 |
| Cleveland | 1,397 | 8 | 552 | 3 | 28,096 | 4 |
| Richmond | 2,928 | 17 | 4,686 | 29 | 151,292 | 21 |
| Atlanta | 1,511 | 9 | 1,026 | 6 | 25,131 | 3 |
| Chicago | 1,090 | 7 | 920 | 6 | 28,251 | 4 |
| St. Louis | 310 | 2 | 316 | 2 | 4,833 | 1 |
| Minneapolis | 252 | 2 | 265 | 2 | 2,866 | 0 |
| Kansas City | 439 | 3 | 475 | 3 | 22,719 | 3 |
| Dallas | 667 | 4 | 730 | 4 | 16,521 | 2 |
| San Francisco | 1,817 | 11 | 2,222 | 14 | 67,541 | 9 |
| Total | 16,755 | 100 | 16,232 | 100 | 726,260 | 100 |
| Mean | Standard deviation | Minimum | Maximum | |
|---|---|---|---|---|
| Brokered data: Bank (above excess rate) | 0.25 | 0.22 | 0.04 | 0.96 |
| Brokered data: GSE (below excess rate) | 0.75 | 0.22 | 0.04 | 0.96 |
| Fedwire data: New regime bank (above excess rate) | 0.16 | 0.12 | 0.02 | 0.55 |
| Fedwire data: Old regime bank (below excess rate) | 0.41 | 0.14 | 0.05 | 0.63 |
| Fedwire data: GSE (below excess rate) | 0.42 | 0.06 | 0.25 | 0.63 |
| Mean | Standard deviation | Minimum | Maximum | |
|---|---|---|---|---|
| Bifurcated model, brokered data: Beta (above or equal to excess rate) | 0.12 | 0.10 | 0.01 | 0.71 |
| Bifurcated model, brokered data: Gamma (below excess rate) | 0.48 | 0.18 | 0.10 | 0.81 |
| Trifurcated model, Fedwire data: Beta (bank, above or equal to excess rate) | 0.09 | 0.08 | 0.01 | 0.41 |
| Trifurcated model, Fedwire data: Omega (bank, below excess rate) | 0.50 | 0.18 | 0.10 | 0.81 |
| Trifurcated model, Fedwire data: Gamma (GSE) | 0.57 | 0.23 | 0.13 | 0.97 |
| Memo: Bifurcated model, Fedwire data: Beta (above or equal to excess rate) | 0.08 | 0.08 | 0.01 | 0.41 |
| Memo: Bifurcated model, Fedwire data: Gamma (below excess rate) | 0.50 | 0.18 | 0.10 | 0.82 |
| Mean | Standard deviation | Minimum | Maximum | |
|---|---|---|---|---|
| Log of total balances | 6.55 | 0.30 | 5.30 | 6.86 |
| HHI | 1.09 | 0.28 | 0.57 | 1.89 |
| Custodial bank share | 0.24 | 0.06 | 0.06 | 0.39 |
| Spread of Treasury GC repo rate to target rate | -0.16 | 0.41 | -1.40 | 0.20 |
| Post December 15, 2008 | 0.05 | 0.07 | -0.15 | 0.21 |
| CDS financial index | 2.99 | 0.53 | 2.02 | 4.45 |
| Anticipation of excess rate | 0.07 | 0.25 | 0 | 1 |
| FOMC | 0.03 | 0.18 | 0 | 1 |
| Principal and interest payment date | 0.10 | 0.30 | 0 | 1 |
| Quarter end | 0.02 | 0.13 | 0 | 1 |
| Fractional response | Banks (beta) FR marginal effect | Banks (beta) Regression | Banks (beta) AR(2) | Fractional response | GSEs (gamma) FR marginal effect | GSEs (gamma) Regression | GSEs (gamma) AR(2) | |
|---|---|---|---|---|---|---|---|---|
| Log of total balances | -0.585** | -0.054** | -0.063** | -0.076+ | -0.363** | -0.090** | -0.065* | -0.159* |
| Log of total balances Newey-West heteroskedasticity-autocorrelation robust errors | (-0.07) | (-0.01) | (-0.02) | (-0.04) | -0.104 | -0.026 | -0.025 | -0.064 |
| HHI | -0.298 | -0.028 | -0.015 | -0.021 | 0.667** | 0.166** | 0.166** | 0.091** |
| HHI Newey-West heteroskedasticity-autocorrelation robust errors | (-0.22) | (-0.02) | (-0.03) | (-0.03) | (-0.16) | (-0.04) | (-0.04) | (-0.04) |
| Spread of repo rate to target rate | -1.199** | -0.111** | -0.127** | -0.116** | 1.620** | 0.404** | 0.364** | 0.185** |
| Spread of repo rate to target rate Newey-West heteroskedasticity-autocorrelation robust errors | (-0.21) | (-0.02) | (-0.02) | (-0.04) | (-0.14) | (-0.04) | (-0.03) | (-0.03) |
| Post December 15, 2008 | -4.026* | -0.373** | -0.371** | -0.416** | 4.154** | 1.036** | 0.985** | 0.607** |
| Post December 15, 2008 Newey-West heteroskedasticity-autocorrelation robust errors | (-1.56) | (-0.14) | (-0.12) | (-0.14) | (-0.52) | (-0.13) | (-0.15) | (-0.12) |
| CDS financial index | 0.657** | 0.061** | 0.051** | 0.048* | -0.459** | -0.114** | -0.107** | 0.036 |
| CDS financial index Newey-West heteroskedasticity-autocorrelation robust errors | (-0.12) | (-0.01) | (-0.01) | (-0.02) | (-0.10) | (-0.03) | (-0.01) | (-0.04) |
| Anticipation of excess rate | 0.341** | 0.036** | 0.054** | 0.052 | -0.388** | -0.095** | -0.060* | -0.045+ |
| Anticipation of excess rate Newey-West heteroskedasticity-autocorrelation robust errors | (-0.04) | (-0.00) | (-0.02) | (-0.03) | (-0.06) | (-0.01) | (-0.03) | (-0.02) |
| FOMC | 0.413+ | 0.04 | 0.04 | 0.042+ | 0.08 | 0.02 | 0.02 | 0.01 |
| FOMC Newey-West heteroskedasticity-autocorrelation robust errors | (-0.25) | (-0.03) | (-0.03) | (-0.02) | (-0.09) | (-0.02) | (-0.03) | (-0.02) |
| P & I date | 0.014 | 0.001 | 0.002 | 0.003 | 0.144** | 0.036** | 0.031 | 0.018+ |
| P & I date Newey-West heteroskedasticity-autocorrelation robust errors | (-0.05) | (-0.00) | (-0.01) | (-0.02) | (-0.01) | (-0.00) | (-0.02) | (-0.01) |
| Quarter end | 1.309** | 0.193* | 0.243+ | 0.220** | -0.389* | -0.095* | -0.082 | -0.117** |
| Quarter end Newey-West heteroskedasticity-autocorrelation robust errors | (-0.41) | (-0.08) | (-0.15) | (-0.01) | (-0.17) | (-0.04) | (-0.07) | (-0.01) |
| Constant | (-0.52) | 0.338** | 0.44 | 3.543** | 1.187** | 1.399** | ||
| Constant Newey-West heteroskedasticity-autocorrelation robust errors | (-0.81) | (-0.11) | (-0.29) | (-0.29) | (-0.17) | (-0.43) | ||
| AR(1) | 0.143** | 0.593** | ||||||
| AR(1) Newey-West heteroskedasticity-autocorrelation robust errors | (-0.07) | (-0.06) | ||||||
| AR(2) | 0.212** | 0.349** | ||||||
| AR(2) Newey-West heteroskedasticity-autocorrelation robust errors | (-0.06) | (-0.06) | ||||||
| R-squared/Pseudo R-squared | 0.53 | 0.57 | 0.63 | 0.80 | 0.80 | 0.91 | ||
| Observations | 180 | 180 | 180 | 180 | 180 | 180 | 180 | 180 |
| New regime banks (beta) FR Marginal effect | New regime banks (beta) Regression | New regime banks (beta) AR(2) | Old regime banks (omega) FR Marginal effect | Old regime banks (omega) Regression | Old regime banks (omega) AR(2) | Fractional response | GSE (gamma) FR Marginal effect | GSE (gamma) Regression | GSE (gamma) AR(2) | |
|---|---|---|---|---|---|---|---|---|---|---|
| Log of total balances | -0.076** | -0.136** | -0.141** | -0.037 | -0.02 | -0.159** | -1.778** | -0.431** | -0.337** | -0.317** |
| Log of total balances Newey-West heteroskedasticity-autocorrelation robust errors | (-0.00) | (-0.02) | (-0.03) | (-0.03) | (-0.03) | (-0.06) | (-0.08) | (-0.02) | (-0.04) | (-0.06) |
| HHI | -0.033* | -0.03 | -0.03 | 0.200** | 0.194** | 0.093** | 0.657+ | 0.159+ | 0.166** | -0.059+ |
| HHI Newey-West heteroskedasticity-autocorrelation robust errors | (-0.02) | (-0.02) | (-0.03) | (-0.04) | (-0.04) | (-0.02) | -0.362 | (-0.09) | (-0.04) | (-0.03) |
| Custodial bank market share (buy) | 0 | 0 | -0.001 | 0.001 | 0.001 | 0.001 | 0.031* | 0.007* | 0.007** | 0.004** |
| Custodial bank market share (buy) Newey-West heteroskedasticity-autocorrelation robust errors | 0.00 | (-0.00) | (-0.00) | (-0.00) | (-0.00) | (-0.00) | (-0.01) | (-0.00) | (-0.00) | (-0.00) |
| Spread of repo rate to target rate | -0.062** | -0.076** | -0.060* | 0.356** | 0.320** | 0.134** | 1.957** | 0.474** | 0.399** | 0.329** |
| Spread of repo rate to target rate Newey-West heteroskedasticity-autocorrelation robust errors | (-0.00) | (-0.02) | (-0.02) | (-0.04) | (-0.03) | (-0.03) | (-0.45) | (-0.10) | (-0.06) | (-0.02) |
| Post December 15, 2008 | -0.153** | -0.214** | -0.200* | 0.875** | 0.833** | 0.332** | 4.981** | 1.206** | 1.075** | 1.271** |
| Post December 15, 2008 Newey-West heteroskedasticity-autocorrelation robust errors | (-0.04) | (-0.07) | (-0.09) | (-0.15) | (-0.16) | (-0.09) | (-1.26) | (-0.29) | (-0.15) | (-0.13) |
| CDS financial index | 0.028** | 0.021** | 0.016 | -0.076** | -0.071** | 0.048 | -0.355* | -0.086* | -0.080** | 0.033 |
| CDS financial index Newey-West heteroskedasticity-autocorrelation robust errors | (-0.00) | (-0.01) | (-0.02) | (-0.03) | (-0.01) | (-0.03) | (-0.15) | (-0.04) | (-0.01) | (-0.04) |
| Anticipation of excess rate | 0.037** | 0.067** | 0.038+ | -0.098** | -0.072** | -0.03 | -0.01 | -0.00 | -0.00 | 0.092** |
| Anticipation of excess rate Newey-West heteroskedasticity-autocorrelation robust errors | (-0.01) | (-0.02) | (-0.02) | (-0.02) | (-0.03) | (-0.03) | (-0.10) | (-0.02) | (-0.04) | (-0.02) |
| FOMC | 0.075* | 0.07 | 0.058** | 0.00 | 0.00 | -0.01 | -0.206+ | -0.051+ | -0.04 | -0.03 |
| FOMC Newey-West heteroskedasticity-autocorrelation robust errors | (-0.03) | (-0.04) | (-0.01) | (-0.02) | (-0.04) | (-0.02) | (-0.12) | (-0.03) | (-0.04) | (-0.02) |
| P & I date | 0.008* | 0.013 | 0.011 | 0.024** | 0.021 | 0.003 | 0.292** | 0.069** | 0.062* | 0.024+ |
| P & I date Newey-West heteroskedasticity-autocorrelation robust errors | (-0.00) | (-0.01) | (-0.01) | (-0.01) | (-0.02) | (-0.01) | (-0.09) | (-0.02) | (-0.03) | (-0.01) |
| Quarter end | 0.143** | 0.158** | 0.160** | -0.097** | -0.087 | -0.170** | 0.061 | 0.015 | 0.008 | -0.048+ |
| Quarter end Newey-West heteroskedasticity-autocorrelation robust errors | (-0.03) | (-0.06) | (-0.01) | (-0.02) | (-0.05) | (-0.01) | (-0.08) | (-0.02) | (-0.06) | (-0.03) |
| Constant | 0.898** | 0.980** | 0.736** | 1.322** | 12.321** | 2.829** | 2.706** | |||
| Constant Newey-West heteroskedasticity-autocorrelation robust errors | (-0.11) | (-0.19) | (-0.18) | (-0.37) | (-1.15) | (-0.28) | (-0.37) | |||
| AR(1) | 0.448** | 0.758** | 0.734** | 0.661** | ||||||
| AR(1) Newey-West heteroskedasticity-autocorrelation robust errors | (-0.07) | (-0.07) | (-0.06) | (-0.06) | ||||||
| AR(2) | 0.075 | 0.203** | 0.204** | 0.254** | ||||||
| AR(2) Newey-West heteroskedasticity-autocorrelation robust errors | (-0.07) | (-0.07) | 0.07 | (-0.07) | ||||||
| R-squared/Pseudo R-squared | 0.54 | 0.69 | 0.73 | 0.78 | 0.77 | 0.91 | 0.81 | 0.79 | 0.93 | |
| Observations | 180 | 180 | 180 | 180 | 180 | 180 | 180 | 180 | 180 | 180 |
| Value | |
|---|---|
| GSE share (percent) | 25.6 |
| Total balances ($ billions) | 800 |
| HHI (divided by 1000) | 1.26 |
| Custodial bank share (percent) | 17.39 |
| Spread of Treasury GC repo rate to excess rate (percent) | -0.09 |
| CDS financial index | 0.27 |
| Anticipation of excess rate | 0 |
| FOMC | 0 |
| Principal and interest payment date | 0 |
| Month end | 0 |
| Quarter end | 0 |
| Two type model: Banks (beta) | Two type model: GSEs (gamma) | Three type model: New regime banks (beta) | Three type model: Old regime banks (omega) | Three type model: GSEs (gamma) | |
|---|---|---|---|---|---|
| Log of total balances | -0.585** | -0.363** | -1.119** | -0.15 | -1.778** |
| Log of total balances Newey-West heteroskedasticity-autocorrelation robust errors | (-0.07) | -0.104 | (-0.06) | (-0.12) | -0.076 |
| HHI | -0.298 | 0.667** | -0.480* | 0.798** | 0.657+ |
| HHI Newey-West heteroskedasticity-autocorrelation robust errors | (-0.22) | (-0.16) | (-0.24) | (-0.17) | -0.362 |
| Custodial bank market share (buy) | -0.004 | 0.003 | 0.031* | ||
| Custodial bank market share (buy) Newey-West heteroskedasticity-autocorrelation robust errors | (-0.00) | (-0.01) | (-0.01) | ||
| Spread of repo rate to target rate | -1.199** | 1.620** | -0.904** | 1.422** | 1.957** |
| Spread of repo rate to target rate Newey-West heteroskedasticity-autocorrelation robust errors | (-0.21) | (-0.14) | (-0.10) | (-0.16) | (-0.45) |
| Post December 15, 2008 | -4.026* | 4.154** | -2.245** | 3.500** | 4.981** |
| Post December 15, 2008 Newey-West heteroskedasticity-autocorrelation robust errors | (-1.56) | (-0.52) | (-0.57) | (-0.61) | (-1.26) |
| CDS financial index | 0.657** | -0.459** | 0.408** | -0.303** | -0.355* |
| CDS financial index Newey-West heteroskedasticity-autocorrelation robust errors | (-0.12) | (-0.10) | (-0.07) | (-0.11) | (-0.15) |
| Anticipation of excess rate | 0.341** | -0.388** | 0.457** | -0.398** | (-0.01) |
| Anticipation of excess rate Newey-West heteroskedasticity-autocorrelation robust errors | (-0.04) | (-0.06) | (-0.08) | (-0.07) | (-0.10) |
| FOMC | 0.413+ | 0.08 | 0.802** | 0.01 | -0.206+ |
| FOMC Newey-West heteroskedasticity-autocorrelation robust errors | (-0.25) | (-0.09) | (-0.24) | (-0.09) | (-0.12) |
| P & I date | 0.014 | 0.144** | 0.111** | 0.095** | 0.292** |
| P & I date Newey-West heteroskedasticity-autocorrelation robust errors | (-0.05) | (-0.01) | (-0.04) | (-0.02) | (-0.09) |
| Quarter end | 1.309** | -0.389* | 1.261** | -0.394** | 0.061 |
| Quarter end Newey-West heteroskedasticity-autocorrelation robust errors | (-0.41) | (-0.17) | (-0.18) | (-0.09) | (-0.08) |
| Constant | (-0.52) | 3.543** | 3.771** | 1.497** | 12.321** |
| Constant Newey-West heteroskedasticity-autocorrelation robust errors | (-0.81) | (-0.29) | (-0.36) | (-0.33) | (-1.15) |
| Observations | 180 | 180 | 180 | 180 | 180 |