
Abstract: We discuss the evolution in macroeconomic thought on the monetary policy transmission mechanism and present related empirical evidence. The core channels of policy transmission--the neoclassical links between short-term policy interest rates, other asset prices such as long-term interest rates, equity prices, and the exchange rate, and the consequent effects on household and business demand--have remained steady from early policy-oriented models (like the Penn-MIT-SSRC MPS model) to modern dynamic-stochastic-general-equilibrium (DSGE) models. In contrast, non-neoclassical channels, such as credit-based channels, have remained outside the core models. In conjunction with this evolution in theory and modeling, there have been notable changes in policy behavior (with policy more focused on price stability) and in the reduced form correlations of policy interest rates with activity in the United States. Regulatory effects on credit provision have also changed significantly. As a result, we review the empirical evidence on the changes in the effect of monetary policy actions on real activity and inflation and present new evidence, using both a relatively unrestricted factor-augmented vector autoregression (FAVAR) and a DSGE model. Both approaches yield similar results: Monetary policy innovations have a more muted effect on real activity and inflation in recent decades as compared to the effects before 1980. Our analysis suggests that these shifts are accounted for by changes in policy behavior and the effect of these changes on expectations, leaving little role for changes in underlying private-sector behavior (outside shifts related to monetary policy changes).
I. INTRODUCTION
The monetary transmission mechanism is one of the most studied areas of monetary economics for two reasons. First, understanding how monetary policy affects the economy is essential to evaluating what the stance of monetary policy is at a particular point in time. Even if a central bank's policy instrument, for example, the federal funds rate in the United States, is low, monetary policy may well be restrictive because of effects that monetary policy has had on other asset prices and quantities. Second, in order to decide on how to set policy instruments, monetary policymakers must have an accurate assessment of the timing and effect of their policies on the economy. To make this assessment, they need to understand the mechanisms through which monetary policy impacts real economic activity and inflation.
Over the last thirty years there have been dramatic changes in the way financial markets operate. In addition, the conduct of monetary policy has also changed in dramatic ways, with an increased focus on achieving price stability. And research in monetary economics has stimulated new thinking on how monetary policy can affect the economy, leading to further evolution in our understanding of the monetary transmission mechanism. All of these developments suggest that there is a strong possibility that there have been changes in the monetary transmission mechanism.
A first look at the data shows notable differences in the reduced-form correlations between aggregate economic activity or various components of private expenditure and the short-term nominal policy interest rate in the United States in the most recent decades from the correlations that prevailed in the decades prior to the Volcker disinflation and numerous regulatory changes that occurred in the late 1970s and early 1980s. Figure 1 plots the correlation between the growth rates of output (real GDP), four components of private expenditure (nondurables and services consumption, durables consumption, residential investment, and nonresidential investment), and the nominal federal funds rate (both lagged and led four quarters) for the periods from 1962Q1 to 1979Q3 (the blue bars) and from 1984Q1 to 2008Q4 (the red bars). The correlations shifted notably across these periods: In the earlier sample, growth in aggregate activity and expenditure was negatively correlated with the nominal federal funds rate, especially with lags of the nominal federal funds rate; in the latter sample, growth in aggregate activity and expenditure was positively correlated with the nominal funds rate, especially with leads of the nominal federal funds rate.
These changes may suggest changes in the effects of interest rate movements on demand; indeed, an uneducated look at the positive correlation between output growth and the nominal interest rate in recent decades might lead an observer to suggest, naively, that efforts by the monetary authority to bring about stronger economic growth should raise short-term interest rates, not lower them. Alternatively, these changes may reflect changes in the behavior of policymakers - for example, a more systematic approach that focuses on stability in inflation and economic activity which implies a positive correlation between the policy interest rate and economic growth due to policymaker's tendency to lean against strengthening in demand.
We start our analysis by reviewing the various channels of monetary policy transmission and how our understanding of them has changed. We then discuss how developments in the financial markets and the conduct of monetary policy may have caused these transmission mechanisms to change. This discussion is followed by our summary of empirical work on the evolution of the monetary transmission mechanism and our independent analysis, where we focus on the potential pitfalls associated with alternative identification strategies, the changes in statistical relationships that appear most robust, and structural interpretations of changes in the links between short-term interest rate movements and real activity.
Our analysis is structured around two approaches. The first is based on vector autoregressions (VARs). In this part of our analysis, we build on, for example, the survey by Christiano, Eichenbaum and Evans (1999) by expanding their analysis to include the more recent factor-augmented VAR (or FAVAR) approach (e.g., Bernanke, Boivin, and Eliasz, 2005), which allows consideration of a larger set of information. This shift leads to an analysis of a larger range of economic variables; one particular area on which we focus is inflation expectations, as our overall analysis will lead us to conclude that shifts in the management of expectations may be among the most important changes in the relationship between monetary policy and aggregate economic activity. We also emphasize the changes in the effects of monetary policy shocks, or lack thereof, much more than the earlier literature.2 Subsequent to this analysis, we present a structural analysis using a dynamic-stochastic-general-equilibrium (DSGE) model. This form of analysis will allows us to consider changes in monetary policy effects and the impact of changes in monetary policy behavior, so as to ensure that shifts in reduced-form correlations are not simply related to changes in policy behavior as noted by Lucas (1976). We will also consider a number of plausible structural changes through this lens. Our analysis in this vein builds on, for example, Smets and Wouters (2007) and the increasing use of such structural models at central banks (e.g., Christoffel, Coenen, and Warne, 2008, and Edge, Kiley, and Laforte, 2007, 2008, forthcoming).
These two approaches - VAR and DSGE - span the range from relatively unstructured to highly structured. An intermediate approach, adopted in, for example, Akhtar and Harris (1987), Friedman (1989), Mauskopf (1990), and Fair (2004) specifies equations for various categories of expenditure using information from economic theory on the plausible set of determinants and "Cowles Commission" econometrics. Our results will in many ways be similar to those from this literature - which largely concluded that the evidence for changes in the monetary policy transmission mechanism was limited. Nonetheless, we see aspects of our analysis as representing a substantial step forward - both in exploiting a large set of information and imposing only limited identifying assumptions (as in the FAVAR approach) and in moving to the other extreme to try to address the Lucas critique and consider the "management of expectations", which Woodford (2003) emphasizes is a primary transmission channel.
Several results stand out from our review and analysis. First, changes at the macroeconomic level are difficult to detect: Relatively unrestricted approaches using macroeconomic data, such as analyses using vector-autoregressions (VARs), suffer from the curse of dimensionality and have reached different conclusions regarding the importance of time variation in the links between monetary policy and macroeconomic activity; more restricted structural approaches are more controversial. Nonetheless, the data do suggest certain changes that are important for monetary transmission. Overall, the responses of measures of real activity and prices have become smaller and more persistent since 1984. Also, changes in government regulation and financial innovations related to housing finance in the United States seem to have altered the response of residential investment to changes in monetary policy in recent decades from that in earlier periods (and studies examining a range of countries have noted the importance of such changes around the world). Perhaps more clearly in the data for the United States, changes in the behavior of monetary policy have anchored inflation expectations and altered the transmission of other shocks to activity and inflation significantly. Finally, the overall importance of non-neoclassical, or credit-type, channels of monetary policy remains difficult to empirically assess with macroeconomic data and models, perhaps because the theoretical guidance for this type of macroeconomic empirical research has been limited; this area is likely to be a very active, and hopefully fertile, area of research in coming years. We use our analysis to discuss directions for such research about the conduct of monetary policy in the aftermath of the current financial crisis.
II. THE CHANNELS OF MONETARY TRANSMISSION
Monetary transmission can be categorized into two basic types, neoclassical channels in which financial markets are perfect and non-neoclassical channels that involve financial market imperfections, which are usually referred to as the credit view.
In our discussion below, we will take as given that the monetary authority's policy instrument, at least in normal times, involves direct control over a short-run interest rate (e.g., the federal funds rate in the United States). We also assume that nominal wage and price rigidities imply that variations in the nominal policy interest rate affect the real interest rate directly. Our discussion of the effects from policy settings to real activity hence focuses on how variation in the short-term nominal policy rate feeds through to the real interest rate and other asset prices, thereby influencing spending. Table 1 provides a summary of the channels we discuss.3
An important feature of many of the transmission mechanisms we discuss is that it is the real (rather than the nominal) interest rate that affects other asset prices and spending in (many) transmission channels. In addition, the entire expected path of interest rates, not solely the current value, influences asset prices and spending. Both of these factors give rise to an important role for expectations in the effects of monetary policy actions, as policy strategies can influence both the expected course of nominal interest rates and the outlook for inflation and hence real interest rates.4 Indeed, Woodford (2003) suggests that the "management" of expectations is the primary responsibility of a monetary authority. We discuss the important role of expectations at several points in our analysis; we also highlight channels in which nominal, rather than real, interest rates play a special role.
Neoclassical Channels
The traditional channels of monetary policy transmission are built upon the core models of investment, consumption, and international trade behavior developed during the mid-20th century: The neoclassical models of investment of Jorgenson (1963) and Tobin (1969), the life-cycle/permanent income models of consumption of Brumberg and Modigliani (1954), Ando and Modigliani (1963), and Friedman (1957), and the international IS/LM-type models of Mundell (1963) and Fleming (1962). We categorize these primary channels using this framework, and hence distinguish by channels that directly affect investment, consumption, and international trade. For investment, the key channels are the direct interest rate channel operating through the user cost of capital and the closely related Tobin's q channel; for consumption, the channels operate through wealth effects and intertemporal substitution effects; and for trade, the direct channel operates through the exchange rate. We look at each of these in turn.
Investment-based Channels
Direct interest-rate channels. The most traditional channel of monetary transmission that have been embedded in macroeconomic models involve the impact of interest rates on the cost of capital and hence on business and household investment spending (e.g., residential and consumer durables investment). Standard neoclassical models of investment demonstrate that the user cost of capital is a key determinant of the demand for capital, whether it be investment goods, residential housing or consumer durables.5 The user cost of capital (
can be written as:
[(1 - τ)i -
]
where
is the relative price of new capital,
is the nominal interest rate,
is the expected rate of price appreciation of the capital asset, and
is
the depreciation rate. The user cost formula also allows for the deductibility of the interest rate (which is particularly important in the United States where mortgage interest is deductable) by adjusting the nominal interest rate by the marginal tax rate
Regrouping terms, the user cost of capital can be rewritten in terms of after-tax real interest rate,
, and the expected real rate of appreciation of the capital asset,
, where
is the expected inflation rate.
With the monetary policy instrument being a short-term interest rate, this discussion makes clear that the monetary transmission mechanism involves the link between short and long-term interest rates through some version of the expectations hypothesis of the term structure. When monetary policy raises short-term interest rates, long-term interest rates also tend to rise because they are linked to future short-term rates; consequently the user cost of capital rises and the demand for the capital asset falls. The decline in the demand for the capital asset leads to lower spending on investment in these assets and so causes aggregate spending and demand to decline.
Tobin's q. The investment decisions of firms and households can also be considered in the framework of James Tobin (1969). For business investment, Tobin (1969) defined
as the market value of firms divided by the replacement cost of capital. When
is high, the market price of firms is high relative to the replacement cost of capital, and new
plant and equipment capital is cheap relative to the market value of firms. Companies can then issue stock and get a high price for it relative to the cost of the facilities and equipment they are buying. As a result, investment spending will rise, because firms can buy a lot of new investment
goods with only a small issue of stock. In principle, similar reasoning could be applied to household investment decisions.
Tobin'
theory can be linked to the user cost of capital approach, as shown by, for example, Hayashi (1982). Indeed, the q-formulation dominates formal micro-based modeling efforts and the
DSGE literature mentioned previously, in large part because the formal links between q-theory and the user-cost approach in the dynamic adjustment cost approach of Hayashi (1982) allow for convenient analytical expressions in such models. In addition, the q-approach does add a degree of richness,
as it emphasizes that there is a direct link between stock prices and investment spending. In practice, Tobin's
therefore leads to another channel of monetary transmission: When monetary
policy is eased and interest rates lowered, the demand for stocks increases and stock prices rise, thereby leading to increased investment spending and aggregate demand.
Previous empirical literature on investment-based channels: The user cost channel described above is a standard feature of large scale macro-econometric models used for forecasting and policy analysis in the United States such as the MPS model developed in the 1970s (Brayton and Mauskopf, 1985) and the more recent FRB/US model used at the Federal Reserve (e.g., Reifschneider, Tetlow, and Williams, 1999). It is also a standard feature in large scale macro-econometric models developed at central banks for other countries: Examples include the ECB's Area-Wide-Model (Fagan, Henry, and Mestre, 2005, and Bank of England's Quarterly Model, Harrison et al, 2005). The q-representation of this channel is the baseline model of investment decisions in DSGE models used at central banks (e.g., the EDO model of the Federal Reserve Board (Edge, Kiley, and Laforte, 2007, 2008, forthcoming and Kiley, 2009), the New Area Wide Model of the ECB (Christoffel, Coenen, and Warne), 2008, and ToTEM at the Bank of Canada (Murchison and Rennison, 2006)).
This channel of monetary policy transmission is an important one in these models - investment spending is the bulk of the near-term response to changes in the short-term policy rate. This finding has long been true in models employed at central banks (e.g., see the comparison of central bank models reported in Smets, 1995). Nonetheless, the long-run sensitivity of investment to changes in the user cost of capital is controversial, and the short-run elasticities can be estimated to be quite small in data for the United States and other countries - findings which have led some (e.g., Bernanke and Gertler, 1995) to question the primacy of this channel. For example, for residential housing using U.S. data, the long-run elasticities range from -0.2 to -1.0 (for example, Hanushek and Quigley, 1980; Case, 1986; Henderson and Ioannnides, 1986; McCarthy and Peach, 2002; and Reifschneider, Tetlow, and Williams, 1999); short-run elasticities, which may be more important for monetary policy questions, are modest (especially abstracting from regulation-induced credit market effects in the U.S. prior to the early 1980s). For business investment, the estimated range of elasticities is also considerable: Chirinko (1993) summarizes evidence for the U.S. and states that "the response of investment to price variables tends to be small and unimportant relative to quantity variables"; Fagan, Henry, and Mestre (2005) report for the Euro area elasticity after one year of less than .1 percent. Estimates for consumer durables are scant, but also tend to be small in the short-run; for example, the short-run semi-elasticity of consumer durables investment reported in Taylor (1993) lies close to zero.
The second term of the user cost of capital, the expected real rate of appreciation of the capital asset,
, provides an additional way for monetary policy to affect investment spending, whether it is by businesses or households. Changes in these expectations can have an important
effect on the user cost of capital and thus on spending, and this has been particularly emphasized for the housing market by Case and Shiller (2003). When monetary policy tightens and interest rates rise, housing prices soften because the demand for housing declines through the user cost
transmission mechanism described above. Expectations of future tightening of monetary policy could therefore lower the expected real rate of appreciation of housing prices, thereby raising the current user cost of capital, which would then lead to a decline in the demand
for housing and residential construction.
Consumption-based channels
Wealth Effects. Standard applications of the life-cycle hypothesis of saving and consumption, first developed by Brumberg and Modigliani (1954) and later augmented by Ando and Modigliani (1963), indicate that consumption spending is determined by the lifetime resources of consumers, which includes wealth, whether from stock, real estate or other assets. Expansionary monetary policy in the form of lower short-term interest rates will stimulate the demand for assets such as common stocks and housing, thereby driving up their prices; alternatively (and equivalently), lower interest rates lower the discount rate applied to the income and service flows associated with stocks, homes, and other assets, driving up their price. The resulting increase in total wealth will then stimulate household consumption and aggregate demand. Standard life-cycle wealth effects operating through asset prices are thus an important element in the monetary transmission mechanism.
Intertemporal Substitution Effects. A second consumption-based channel reflects intertemporal substitution effects. Indeed, this channel is central to the models in the DSGE tradition mentioned earlier. In this channel, changes in short-term interest rates alter the slope of the consumption profile, so that lower interest rates induce higher consumption today. In DSGE models, this channel naturally arises through the models' use of the standard consumption Euler equation linking the marginal rate of substitution between current and future consumption with the real interest rate.
Previous empirical literature on consumption-based channels: The wealth effect has had a prominent role in macro-econometric models, such as the ones used at the Federal Reserve for policy analysis. This view is embedded in the macroeconometric models used at the
Federal Reserve Board and elsewhere, in which the long-run marginal propensity to consume out of wealth in the United States is currently estimated to be between 3 and 4 cents per dollar, for both housing wealth and stock market wealth; Fair (2004) reports a wealth effect of similar size for the
United States. 6
7 Catte and others (2004), in a study of OECD countries, find that the long-run
marginal propensity to consume out of financial wealth ranges from 0.01 in Italy to 0.07 percent in Japan; their estimate of the OECD average is about 0.035, and their estimate for the United States is 0.03. With that said, the short-run wealth effects are even smaller, and monetary policy can only
influence wealth in the short-run; as a result, the wealth effect has played an important role in modeling efforts, but has played a secondary role to direct interest rate channels of investment in most modeling efforts (e.g., the summary of central bank models in Smets, 1995).8
The intertemporal-substitution channel is also typically modest in the short run - as the sensitivity of the slope of the consumption profile to short-term interest rates is typically estimated to be small, mainly through the inclusion of habit persistence (e.g., Smets and Wouters, 2007, or Edge, Kiley, and Laforte, 2007, or Christoffel, Coenen, and Warne, 2008). This finding is directly related to a large empirical literature: Hall (1988) and subsequent research have tended to uniformly suggest modest intertemporal substitution. For this reason, it is perhaps not surprising that econometric models discussed in the previous paragraph have typically not emphasized this channel - for example, this channel of monetary transmission has not been a factor in the Federal Reserve's MPS or FRB/US models and was not included in the ECB's Area Wide Model (e.g., Fagan, Henry, and Mestre, 2005).
International-trade based channels
Exchange Rate Channel. When the central bank lowers interest rates, the return on domestic assets falls relative to foreign assets. As a result, the value of domestic assets relative to other currency assets falls, and the domestic currency depreciates. The lower value of the domestic currency makes domestic goods cheaper than foreign goods, thereby leading to expenditure switching and a rise in net exports. The rise in net exports then adds directly to aggregate demand. Therefore, the exchange rate channel plays an important role in how monetary policy affects the economy. In this regard, two factors are important. First, the sensitivity of the exchange rate to interest rate movements is important: For example, it was not uncommon on earlier, econometric models for the estimated sensitivities to be small, implying a small channel; whereas models that impose uncovered interest parity tend to find a larger role for this channel. Second, smaller, more open economies tend to see larger effects through this channel.9
Non-neoclassical Channels: The Credit View
We call channels that arise because of market imperfections (other than those associated with nominal wage and price rigidities) non-neoclassical transmission mechanisms. Such channels can arise either from government interference in markets or through imperfections in private markets, such as asymmetric information or market segmentation that lead to barriers to efficient financial markets functioning. In general, these non-neoclassical transmission mechanisms involve market imperfections in credit markets and so have been given the name the "credit view". There are three basic non-neoclassical channels that we discuss here: effects on credit supply from government interventions in credit markets, the bank-based channels (through lending and bank capital), and the balance-sheet channel (affecting both firms and households).
Effects on Credit Supply from Government Interventions in Credit Markets. Governments often interfere with the free functioning of credit markets in order to achieve certain policy objectives such as redistribution or encouraging particular types of investment. In the United States, government intervention has been particularly important in housing finance in order to encourage home ownership.
Up until the 1980s, the U.S. government had set up a system in which thrift institutions, particularly savings and loan associations, were the primary issuers of residential mortgages. As a result of regulatory constraints, these institutions primarily made long-term, fixed-rate mortgage loans in their local areas using funds provided by local time deposits (see, for example, McCarthy and Peach, 2002). Government regulation also were geared to helping these thrifts attract deposit funding, enabling them to make more mortgage loans, by establishing ceilings on the interest rates on deposits under Regulation Q, and allowing thrifts to pay 25 basis points (0.25 percentage points) more on their deposits than commercial banks.
The regulatory requirements that thrifts issue long-term mortgages and Regulation Q ceilings led to an important channel of monetary transmission involving credit supply. When the Federal Reserve tightened policy and raised interest rates there were two effects that led to a decline in the supply of credit to the mortgage market. First higher short-term rates would increase the cost of funds for the thrifts, while income from fixed-rate mortgages is slow to change, thereby leading to a contraction in net interest income. The resulting weakening of thrifts balance sheets would then result in a decreased willingness to issue mortgages, thus causing a contraction in credit supply.
Even more importantly, higher short-term rates would often lead to rates that were higher than the deposit rate ceilings, thereby causing depositors to withdraw their funds from thrifts and commercial banks in order to put them into higher yielding securities. This loss of deposits from the banking system, a process called "disintermediation", restricted the amount of funds that banks and thrifts could lend and therefore would cause a sharp contraction in mortgage credit and hence in residential construction activity.
The credit rationing channel described here indeed was important in macro-econometric models pre-1980 (e.g., the description of the MPS model in Brayton and Mauskopf, 1985), although their effects partly operated through the timing, rather than overall magnitude, of the impact of monetary policy actions on spending Starting in the early 1980s, the Regulation Q deposit rate ceilings were gradually eliminated, with complete abandonment by 1986, and so disintermediation from this government intervention in credit markets is no longer an important channel of monetary transmission.
Bank-based Channels. There are two distinct bank-based transmission channels. In both, banks play a special role in the transmission process because bank loans are imperfect substitutes for other funding sources.
The first is the traditional bank lending channel. According to this view, banks play a special role in the financial system because they are especially well suited to solve asymmetric information problems in credit markets. Because of banks' special role, certain borrowers will not have access to credit markets unless they borrow from banks. As long as there is no perfect substitutability of retail bank deposits with other sources of funds, the bank lending channel operates as follows. Expansionary monetary policy, which increases bank reserves and bank deposits, increases the quantity of bank loans available. Because many borrowers are dependent on bank loans to finance their activities, this increase in loans will cause investment and consumer spending to rise.10
An important implication of the bank lending channel is that monetary policy will have a greater effect on expenditure by smaller firms, which are more dependent on bank loans, than it will on large firms, which can get funds directly through stock and bond markets (and not only through banks.) Though the bank lending channel has been supported in empirical work (e.g., Gertler and Gilchrist, 1993, 1994, Kashyap and Stein, 1995, Peek and Rosengren, 1995a, 1995b, 1997), other research has raised doubts about the bank lending channel (see Romer and Romer, 1989, and Ramey, 1993). Lown and Morgan (2002) report results that suggest that bank lending may have an important role in macroeconomic fluctuations, but also find that the bank lending channel for monetary policy changes may be quite small. Iacoviello and Minetti (2008) present results that suggest the presence of a bank-lending channel for households in countries where mortgage finance is more bank dependent. Overall, the literature on the bank lending channel has focused on evidence showing its potential importance, but little work has been developed to provide an overall assessment of the macroeconomic importance of this channel, rather than its importance for certain classes of firms or banks, or for certain episodes.
A separate bank channel is called the bank capital channel. In this channel, the state of banks' and other financial intermediaries' balance sheets has an important impact on lending. A fall in asset prices can lead to losses in banks' loan portfolios; alternatively, a decline in credit quality, because borrowers are less able or willing to pay back their loans, may also reduce the value of bank assets. The resulting losses in bank assets can result in a diminution of bank capital, as has occurred during the recent financial crisis. The shortage of bank capital can then lead to a cutback in the supply of bank credit, as external financing for banks can be costly, particularly during a period of declining asset prices, implying that the most cost-effective way for banks to increase their capital to asset ratio is to shrink their asset base by cutting back on lending. This "deleveraging" process means that bank-dependent borrowers are now no longer able to get credit and so they will cut back their spending and aggregate demand will fall.11
Expansionary monetary policy can lead to improved bank balance sheets in two ways. First, lower short-term interest rates tend to increase net interest margins and so lead to higher bank profits which result in an improvement in bank balance sheets over time. Second, expansionary monetary policy can raise asset prices and lead to immediate increases in bank capital. In the bank capital channel, expansionary monetary policy boosts bank capital, lending, and hence aggregate demand by enabling bank-dependent borrowers to spend more.
The bank lending and bank capital channels have typically not been built into either large scale macro-econometric models or DSGE models used in policy analysis. Despite this, awareness of the bank lending and bank capital channels has played an important role in the conduct of monetary policy in recent years. This was true in the early 1990s, when Alan Greenspan talked about "headwinds" in the economy as a result of the deterioration in bank balance sheets (see, for example, the discussion of credit channels and the MPS model in Mauskopf, 1990, and the description of the early 1990s in Reifschneider, Stockton, and Wilcox, 1997). While research documenting the policy process recently remains a future topic, the importance of these channels in the recent crisis has been emphasized by policymakers and popular accounts (e.g., Mishkin, 2008, and Wessel, 2009). Moreover, research is now focused explicitly on incorporating such channels in mainstream models used in policy analysis (e.g., Meh and Moran, 2008, Angeloni and Faia, 2009, Gerali et al, 2009, and Gertler and Kiyotaki, 2010).
Balance Sheet Channel. Like the bank lending channel, the balance sheet channel arises from the presence of asymmetric information problems in credit markets. When an agent's net worth falls, adverse selection and moral hazard problems increase in credit markets. Lower net worth means that the agent has less collateral, thereby increasing adverse selection and increasing the incentive to boost risk-taking, thus exacerbating the moral hazard problem. As a result, lenders will be more reluctant to make loans (either by demanding higher risk premia or curtailing the quantity lent), leading to a decline in spending and aggregate demand. A particularly convenient, and widely adopted, model of this type is he financial accelerator framework of Bernanke and Gertler (1989) and Bernanke, Gertler and Gilchrist (1999), in which lower net worth increases the problems associated with asymmetric information in debt financing, thereby increasing the external finance premium.
Monetary policy affects firms' balance sheets in several ways. As we have seen, contractionary monetary policy leads to a decline in asset prices, particularly equity prices, which lowers the net worth of firms. Contractionary monetary policy therefore causes adverse selection and moral hazard problems to worsen, which leads to a decline in lending, spending and aggregate demand. Another way that monetary policy can affect firms' balance sheets is through cash flow, the difference between cash receipts and cash expenditure. Contractionary monetary policy, which raises interest rates, causes firms' interest payments to rise, thereby causing cash flow to fall. With less cash flow, the firm has fewer internal funds and must raise funds externally. Because external funding is subject to asymmetric information problems and hence an external finance premium, additional reliance on external funds boosts the cost of capital, curtailing lending, investment and economic activity. An interesting feature of the cash flow channel is that nominal interest rates affect firms' cash flow, in contrast to the role of the real interest rate emphasized in neoclassical channels. Furthermore, the short-term interest rate plays a special role in this transmission mechanism, because interest payments on short-term (rather than long-term) debt typically have the greatest impact on firms' cash flow. Different variants of the balance sheet channel have been recently considered in investigating optimal monetary policy in the presence of credit frictions. Examples include Curdia and Woodford (2009) and Carlstrom, Fuerst and Paustian (2009).
These types of balance sheet channels also affect households. For example, an increase in house prices leads to more potential collateral for the homeowner, which may improve both the amount and terms of credit available to these households. In other words, higher house prices can reduce the external finance premium or relax constraints on the quantity of credit available to a household. In principle, other assets affecting household net worth could similarly affect the cost of external funds or quantity of credit available to households. A number of empirical studies have suggested that changes in home values have had important effects on households' access to credit and spending (Hatzius, 2005, and Benito and others, 2006). Some modeling efforts, and associated empirical work, have also found support for financial accelerator mechanisms related to housing and household expenditures (e.g., Iacoviello, 2005 and Iacoviello and Neri, forthcoming). The importance of rising house prices in relaxing credit constraints and stimulating consumer spending is clearly dependent on how costly it is to withdraw housing equity and thus on the efficiency of mortgage markets that enable homeowners to overcome credit constraints. In countries with better-developed mortgage markets, consumer spending may therefore be more sensitive to increases in house prices.12 Indeed, Calza, Monacelli, and Stracca (2007) find that the correlation of consumption growth with changes in house prices is higher in economies with more-developed mortgage finance systems; Iacoviello and Minetti (2008) present evidence that the balance sheet channel affecting households is stronger in countries with less developed mortgage finance systems.13
III. WHY THE MONETARY TRANSMISSION MECHANISM MAY HAVE CHANGED?
The survey of the different channels of monetary transmission provides two primary reasons why the monetary transmission mechanism may have changed over time: structural changes in the economy, particularly credit markets, and the interaction between changes in monetary policy actions and the way expectations are formed.14
Institutional Changes in Credit Markets
Changes in the institutional structure of credit markets have the potential to alter the monetary transmission mechanism, particularly by affecting market imperfections that are the source of the non-neoclassical channels.
One major change in credit markets over the years was the removal in the 1980s of many of the restrictive regulations which limited thrifts to making long-term fixed-rate mortgages and limited the interest rate that financial institutions could pay on their deposits with deposit rate ceilings. The result of this financial liberalization is that the disintermediation process in which higher interest rates led to a reduced supply of mortgages from thrift institutions is no longer operational. Large swings in credit supply in the mortgage market resulting from an increase in interest rates that limited the ability of mortgage-issuing institutions to acquire funds are thus no longer a feature of the economy. Since this channel of monetary policy transmission was important prior to 1980, its absence currently would weaken the impact of monetary policy on residential construction.
In addition, the growth of securitization in the mortgage market also has weakened credit supply effects in the mortgage market and has tightened the link between market interest rates and interest rates on residential mortgages. As shown in Table 2, banks provided most home mortgage credit in the 1966-1970 period; however, the GSEs (and securitization) grew increasingly important over the next two decades, funding a nearly equal share of home mortgage credit by 1986-1990; and GSEs came to dominate such credit provision over the 2004-2008 period, with other sources accounting for a share similar to that of banks.
In the pre-1980s period, residential construction fell very quickly in response to tighter monetary policy, while mortgage rates responded gradually. In contrast, after the 1980s, mortgage rates respond more quickly and persistently to changes in monetary policy. As a result, monetary policy now primarily affects housing through pricing channels rather than through credit supply restrictions, as was the case before 1980 (Mauskopf, 1990; McCarthy and Peach, 2002). This means that the response of residential construction is more delayed than in earlier periods and is smaller initially. However, these changes are to a significant degree shifts only in the short-run timing of responses.
The second major change in the credit markets is that improvements in information technology have improved the efficiency of credit markets, allowing a wider set of institutions to become engaged in extending credit. Particularly noteworthy in this regard is the growth of securitization, the transformation of otherwise illiquid financial assets (such as residential mortgages, auto loan, small business loans and credit card receivables), which have typically been the bread and butter of banking institutions, into marketable securities. Securitization has led to the enormous expansion of the so-called "shadow banking system," in which bank lending has been replaced by lending via the securities market. The growth of the shadow banking system has had two enormous impacts. First it has enabled borrowers to bypass banks to get credit. The result has been a shrinking share of credit that is provided by banks. Second is that the shadow banking system has led, at least until the recent financial crisis, to wider access to credit by a larger percentage of the population, which is sometimes referred to as the "democratization of credit."
The first impact, which indicates that the banking system is playing a smaller role in credit markets, suggests that the bank lending and bank capital channels may be less important than they were previously. However, the relative strength of these channels, at least in typical times, has always been a subject of controversy (as discussed earlier), and hence there is little evidence documenting variation over time in the importance of this channel; for example, Miron, Romer, and Weil (1994) examine a long span of U.S. history and find little evidence that the changing nature of financial markets has affected the importance of the bank lending channel, in part because they find very limited evidence for such a channel. However, we have recently seen a substantial shrinkage in the shadow banking system as a result of the recent financial crisis; it is certainly possible, and perhaps probable, that the bank lending and bank capital channels may become more important than they have been in recent years.
The second impact, the democratization of credit, has led to much easier access to credit. For example, in the United States, down-payment requirements have been falling, along with refinancing costs, and the use of credit scoring has widened access to housing and other loans (e.g., Edelberg, 2006). These developments may have increased the role of balance sheet channels for households, perhaps increasing the responsiveness of consumer spending to changes in house prices (for example, Aoki, Proudman, and Vlieghe, 2002). But a greater balance sheet channel could be offset by other impacts of increased access to credit. For example, better household access to credit could lower the sensitivity of consumer spending to transitory income shocks - as suggested by Dynan, Elmendorf, and Sichel (2006), who find evidence that the sensitivity of consumption to transitory income shocks has fallen in the United States since the mid-1980s. Support for that view also comes from microeconomic evidence that households use mortgage refinancing to buffer their spending from income shocks (Hurst and Stafford, 2004) and that the propensity to refinance mortgages has increased as a result of structural changes in the mortgage market, such as the development of credit scoring (Bennett, Peach, and Peristiani, 2001). Such a decreased sensitivity to transitory income shocks could reduce the responsiveness of spending to monetary policy shifts indirectly by altering the impact on consumption of income.
Changes in the Way Expectations Are Formed
While we have only touched on expectations in our survey so far, one of the most important shifts in the practice of monetary policy, and hence potentially in its transmission to activity and inflation, is the manner in which the "management of expectations" has become an important tool of monetary authorities throughout the world. Shifts in the behavior of the monetary authority can affect the transmission mechanism importantly. These effects have two forms, both of which are likely to be quantitatively important. First, expenditures depend directly on the expected path of policy rates through the influence of this path on asset prices; for example, if a rise in the policy rate is expected to be more persistent, the expectations hypothesis of the term structure indicates that the impact on long-term interest rates will be larger than if it is expected to be temporary. Second, the nature of the policy rule can have important feedback effects through its influence on expected spending and inflation; for example, policy behavior that responds strongly to deviations of output from potential and deviations of inflation from desired levels will lead to greater stability in expectations for income and inflation, and hence greater stability in actual spending and inflation. Indeed, some research has emphasized the potential importance of changes in policy behavior of this type in shifts in the aggregate impact of monetary policy actions (e.g., Boivin and Giannoni, 2006). We will examine the potential evidence for such changes in some detail in section V.
While the potential importance of the expectations channel is especially apparent in simple New-Keynesian models (e.g., Woodford, 2003) and their DSGE descendents, the potential for large quantitative effects is not confined to this class of models. For example, the approach in Taylor (1993),
which emphasizes expectations channels but is less strictly tied to specific microeconomic optimization problems, also allows for potentially powerful effects. And the reduced-form expectations approach followed in the most commonly-used version of the FRB/US model (based on small
vector-autoregressive systems for expectations formation) also allows for potentially large effects; indeed, Reifschneider, Tetlow, and Williams (1999) report that more than
of the effect of monetary policy on activity over the first year of a change in the federal funds
rate reflects the expectations channel, rather than direct interest rate, wealth, or exchange rate channels.
IV. HAS THE EFFECT OF MONETARY POLICY ON THE ECONOMY CHANGED? AGGREGATE EVIDENCE
As discussed in the previous section, there are potentially many developments that could have implied a change in the way monetary policy transmits to the economy. But before investigating the causes, the first set of questions to investigate is whether the effect monetary policy on the economy - in particular real activity, prices and their key components - has changed in a meaningful way over time and how. In this section we review the existing results on this question and provide some new evidence.
Modeling the Monetary Transmission Mechanism
One crude and simple way to measure the effect of monetary policy on a variable of interest is to regress this variable on the monetary policy instrument as well as, perhaps, additional control variables. The estimated coefficient on the policy instrument is interpreted as the sensitivity of that variable to monetary policy and changes in this sensitivity as suggestive of a change in the transmission of monetary policy. However, since, in the context of such regressions, exogenous sources of policy changes are not clearly isolated and causality is not well established, these are not the only potential interpretations. For instance, the estimated coefficients might instead be capturing the response of monetary policy to these variables, rather than the opposite, as intended; indeed, we highlighted the pitfalls of reasoning from such reduced-form correlations in our presentation of the shifts in raw correlations in the first section.15
To be able to go beyond this reduced form evidence and establish a causal link, the main general strategy used in the literature consists of using what is believed to be an exogenous source of variation in the monetary policy instrument and tracing out its effect on key variables capturing the aggregate behavior of the economy. This is typically achieved in the context of a system of equation where just enough restrictions are imposed to identify the exogenous source of variations in monetary policy, but that is otherwise left free of a priori assumptions on the structure of the economy. This has the virtue of providing robust estimates of the effect of monetary policy, in the sense that they are consistent with a large class of linear structural models. However, that also means that while these models are useful to document the effect of monetary policy on the economy, their use in determining the cause of the change, a question we take up in the next section, is more limited.
The class of empirical models considered in the literature, and that we discuss below, can all be seen as special cases of a general factor-augmented vector autoregression (FAVAR) model.16 It is thus useful to start by first introducing this general class of empirical models. In its general form, FAVAR has the following state-space representation:
(1)
![]()
(2)
![]()
where
denotes a potentially long vector of observed macroeconomic indicators of interest,
is a vector of potentially unobserved variables governing the co-movements of the observable macroeconomic variables,
is a variable specific observational error and
finally
are innovations that are linear combinations of the structural macroeconomic shocks, one of which is the monetary policy shock. Equation (1) states that observable macroeconomic
indicators are potentially imperfect measures of the latent macroeconomic forces. Equation (2) states that the evolution of the co-movements among the macroeconomic indicators is governed by a set of common factors,
, that follow a vector autoregression (VAR).
This empirical setup is appealing because it is consistent with a large class of linear rational expectation structural models and can accommodate various assumptions about the information set available to the agents, the monetary authority or the econometrician.17 By far, the most common approach in the literature we survey below is to assume that the set of relevant fundamental macroeconomic concepts, such as real activity, inflation and interest
rate, is perfectly observed by the econometrician. In that case, equation (1) boils down to a set of identities,
is observed, and the system (1) - (2) collapses to equation (2), which
becomes a standard VAR in terms of observable macroeconomic indicators. All the VARs that have been used to investigate the effect of monetary policy can thus be seen as a special case of system (1) - (2). They differ by the macroeconomic indicators they choose to include in
.
Uncovering the monetary transmission mechanism within this empirical framework requires imposing restrictions to identify a structural shock corresponding to an exogenous change in monetary policy from
. In the special case of VARs, these restrictions often amount in practice to restrictions on the contemporaneous responses among the variables
. Given an identification
scheme, the effect of the monetary policy on the variables in a standard VAR consists of computing from the estimated model the dynamic effect of an identified monetary policy shock. This can be computed for any variables included in a VAR.
The standard VAR approach assumes that the dynamics of the macroeconomy can effectively be summarized by a handful of observable macroeconomic indicators. One reason why this might be unrealistic is that the true concepts of interest, such as real activity and inflation, might not be perfectly measured by any observable macroeconomic indicators. In that case, wrongly asserting that a specific measure correspond to a particular theoretical concepts might lead to biased estimates of the effect of monetary policy. Proper estimation would require recognizing the presence of such observational errors and once this is recognized, a potentially large set of macroeconomic indicators could conceivably carry useful information about the true state of the economy. This is why Bernanke, Boivin and Eliasz (2005) proposed the more general FAVAR framework characterized by equations (1) - (2).
While retaining the flavor of the VAR, the general FAVAR framework allows relaxing the assumptions that the relevant theoretical concepts of interest are known and perfectly observed by the econometricians. Instead, it treats observable variables as noisy indicators of the true but unobservable
state of the economy. The same (typically recursive) identification scheme used in the standard VAR framework can be implemented in FAVAR. Moreover, by expanding the size of
, the universe
of potentially useful information can be exploited, and the dynamic effect of monetary policy on any of these indicators can be documented.
Existing Evidence
A change in the transmission of monetary policy means that some of the parameters of system (1) - (2) have changed over time, which, from a reduced-form perspective, could manifest itself by a change in the correlation of the policy instrument and the variable of interest. To evaluate the existence and the importance of changes in this transmission mechanism, existing studies have used one of the following three strategies: 1) Estimate an empirical model over different subsamples; 2) estimate an empirical model treating (some subsets of) the parameters as time-varying latent processes (typically assumed to evolve according to random walk); or 3) estimate a regime switching version of an empirical model where (some subset of) the parameters can stochastically switch between different, regime-dependent, values.
Boivin and Giannoni (2002 and 2006), estimate a VAR over two samples corresponding to the pre- and post-Volcker periods (pre- and post-1979:4) and identify the monetary policy shock using a recursive identification scheme. They find that exogenous changes in monetary policy have had a smaller effect in the post Volcker period: for instance, they report that the through response of output in the post-1979:4 period is about a quarter of that in the previous period. Primiceri (2005), Galí and Gambetti (2009) and Canova and Gambetti (2009) use time-varying VARs with random walk coefficients to allow for a much richer evolution of the transmission of monetary policy. Galí and Gambetti (2009) also find that the effect of demand-type shocks on real activity and inflation has fallen over time, although they do not separate out the effect of policy shock per se. On the other hand, Primiceri (2005), based on a recursively identified VAR, reports little change in the transmission of monetary policy over the last fifty years. A similar conclusion is reached by Canova and Gambetti (2009) using a similar strategy except that monetary policy shocks are identified through sign restrictions. However, they also find that over the last decade, real activity has become more responsive to monetary policy shocks on impact.
A careful look at the relationship between the strategy adopted and the results obtained provides some clues that are useful to sort out this conflicting evidence. For instance, the results of Canova and Gambetti (2009) that real activity has become more responsive to monetary policy shock post-1990 is in sharp contrast to the results of Boivin and Giannoni (2002 and 2006), who find the opposite for the post-1980 period. Part of the explanation might be due to the fact that the evolution of the monetary policy transmission is more complex than what can be captured by the split sample estimation strategy, with a single break date, as assumed in Boivin and Giannoni (2002, 2006). Clearly, the way the monetary policy shock is identified also plays a role. For instance, Canova and Gambetti (2009) find that the main change in the effect of monetary policy is on impact, yet, this impact effect is constrained to be zero under the identification scheme of Boivin and Giannoni (2002 and 2006). It is important to note however that Canova and Gambetti (2009) can leave the impact response of real activity at the cost of only obtaining partial identification. That is, since the sign restrictions they use only produces set identification, the impulse response functions they are reporting are in general not to a pure policy shock, but to some combination of structural shocks that include the policy shock. Finally, these studies use empirical models based on a handful of macroeconomic variables. The omitted information can in principle explain why the conclusions are not robust to the way time-variation is modeled or the policy shock is identified.
However, we would highlight a couple of studies that helps shed light on these issues and will be related to our findings - the studies of Galí, Lopez-Salido, and Valles (2003) and Galí and Gambetti (2009). The latter study uses a structural VAR approach and finds smaller effects of "demand" shocks on activity in the post-1980 period, similar to the findings of Boivin and Giannoni (2002, 2006) for policy shocks. Both studies also find evidence of a larger effect on output (and hours, where larger implies a smaller fall in hours) to innovations in productivity. We will find very similar results in our structural DSGE approach, and our findings are driven entirely by changes in monetary policy behavior and the effect of such changes on the transmission of shocks to activity (and inflation).
New Evidence
Given that the literature is ambiguous about the importance of the changes in the transmission of monetary policy to the aggregate economy, it useful to revisit this question empirically in the context of the FAVAR framework.
New FAVAR-based evidence. As mentioned earlier, one potential worry with the VAR-based evidence is that it could be contaminated by the omission of some important variables from the analysis. The solution that would consist of simply adding more variables to the VAR becomes quickly impractical, especially when we are looking for the presence of changes in recent history which requires the use of short time series. One way to potentially address these issues is to identify the effect of monetary policy within the more general FAVAR framework where the information from literally hundreds of macroeconomic indicators can be exploited. To our knowledge, the evolution of the monetary transmission mechanism has not been systematically investigated through the lens of such framework.
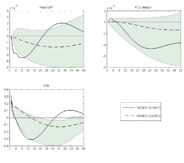
The FAVAR we consider is based on a data set comprised a total of 181 macroeconomic indicators, of 182 variables of both at the quarterly (58) - a subset of which are the quarterly variables used in the previous VAR analysis -124) and at the monthly (58) frequencies (123). These include mainly real activity, price and interest rate measures, but also exchange rates, stock prices, and money and credit aggregates. The analysis is carried out at the monthly frequency. In the benchmark specification we use, there are 5 factors and 3 lags. The identification of monetary policy is the FAVAR equivalent of the recursive identification used in previous VAR analyses; that is, monetary policy is assumed to respond contemporaneously to real GDP, the PCE deflator and the unemployment rate, but none of these variables can respond to monetary policy within the period.18 The contemporaneous response of all other variables is left unrestricted. We estimate the model over two subsamples: 1962:1 - 1979:9 and 1984:1 - 2008:12.
The impulse responses of real GDP, the PCE deflator and the Fed funds rate to a monetary policy shock are reported in Figure 2. Confidence intervals on the post-1984 estimate of the impulse response functions are also reported. The results suggest that the magnitude of to responses of real GDP was greater in the pre-1979Q3 than in the post-1984Q1 period, but the response in the later period seems more delayed and persistent. For the response of the PCE deflator, it appears to have been considerably reduced in the post-1984Q1 periods, compared to the earlier period.
Comparison with the VAR approach. Given that the existing literature has investigated this type of questions in the context of VARs, it is interesting at this stage to compare the FAVAR results for aggregate price and real activity measures with those that would be obtained from a VAR. Based on preliminary exploration, we have found the VAR results to be very sensitive to the specification and the price puzzle - the fact that prices increase following a tightening of monetary policy - to be pervasive across the different periods. The inclusion of an index of commodity prices to the VAR did not resolve the price puzzle. However, the inclusion of a measure of expected inflation in the VAR leads to estimates that eliminate the price puzzle in the post-1984:1 period. The facts that adding more information to the VAR - through the inclusion of an expected inflation measure - helps eliminate the price puzzle in the later sample and that the FAVAR does not display the puzzle, lead us to believe that it is indeed an anomaly of the simpler VAR specification as opposed to a genuine feature of the economy.
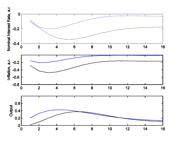
Our benchmark VAR specification is thus based on a subset of the macroeconomic indicators used in the previous FAVAR analysis that comprises quarterly data on real GDP, the personal consumption expenditure deflator, a commodity price index, a measure of expected inflation and the Fed funds rate.19 We identify the monetary policy shock recursively with the Fed funds rate ordered last, the VAR equivalent of the identification strategy used in the FAVAR. The impulse responses of real GDP, the PCE deflator and the Fed funds rate to a monetary policy shock are reported in Figure 3.
The results for aggregate real activity are very similar to those based on the FAVAR. This is particularly remarkable since the FAVAR is estimated at the monthly frequency and uses an entirely different set of information. The response of aggregate prices is however markedly different. While the VAR suggests that the pre-1979Q3 response of aggregate prices is also of a greater magnitude than for the post-1984Q1 period, unlike the FAVAR results, the response in the earlier period displays an important price puzzle. This would be consistent with the fact that the VAR is omitting important information that the FAVAR succeeds at extracting from a large set of indicators.
Multidimensional effects of monetary policy. The FAVAR framework also allows us to document the changing effect of monetary on a wide range of macroeconomic indicators. This provides an interesting way to check if the conclusions we have reached are also valid for disaggregated components or alternative measures of real activity and prices.
These results are reported in Figure 4. These results highlight the fact that the general pattern uncovered so far seems to be shared by a large set of relevant indicators. Alternative measures of aggregate prices, such as the Consumer Price Index (CPI) and core CPI, show a reduction in the effect of monetary policy shock post-1984Q1. Measures related to real activity also display a behavior broadly consistent with real GDP in response to monetary policy. The response of industrial production, capacity utilization, employment, housing starts, and orders for durable goods are somewhat smaller initially in the first year to two years, while their shape suggests a more protracted response after 1980 (albeit with wide confidence intervals). Consumer credit displays a similar pattern.
Overall, our reading of the new evidence is as follows. There is some of evidence of an evolution in the response of prices and expenditure categories to monetary policy, both in terms of magnitude and timing. The effect of monetary policy on aggregate real activity seems to have become smaller in the post-1984 compared to the earlier period, and perhaps more persistent as well (although the latter is difficult to assess, given the confidence intervals at longer horizons).
V. WHAT CAUSED THE MONETARY TRANSMISSION MECHANISM TO EVOLVE?
The previous results are suggestive of an evolving effect of monetary policy on real activity, or on some of its components, and inflation. But to understand the policy implications of these changes, we need to know the reasons of these changes and which particular channels are involved.
To try to isolate the source of the evolution of monetary policy, and which of its channels might have been involved, we consider two broad approaches. First the changing response of some particular variables to monetary policy might be informative about the changing nature of some specific channels. In particular, a differentiated response of inflation expectations to the same policy shock over time could be informative about the varying strength of the expectation channel. Or a changing response of the external finance premium to a policy shock, and how this evolution correlates with the growth of the shadow banking sector, might be suggestive of a change in the strength in the lending channel. The second strategy is to consider lessons regarding the evolution of the monetary transmission mechanism that can be gleaned from a structural model.
FAVAR-based evidence
The expectation channel: As discussed in Section II, one channel through which monetary policy exerts its influence on the economy is by the effect it might have on private sector expectations.
One way to investigate the potentially changing role of the expectation channel is to document the responses of measures of expected inflation to monetary policy shocks over different periods. We consider a total of 4 alternative measures of expected inflation. The first four are constructed from term structure of nominal interest rate. They are constructed, as in Canova and Gambetti (forthcoming) , as the predicted value from a regression of realized PCE inflation at a given horizon on a constant and the corresponding forward nominal interest rate. We do this for horizons 1, 3, 5 and 10. The logic behind such measures is simple - changes in far forward rates must primarily reflect changes in inflation, as real interest rates presumably converge to some "normal" value at far horizons (as argued in, for example, Gurkaynak, Sack, and Swanson (2005)). The next measure is survey-based - the one-year ahead expectation of CPI inflation from the Michigan Survey, which is available monthly since 1978. The other two are the one-year ahead expectation of CPI inflation and of the GDP implicit deflator inflation from the Survey of Professional Forecasters, available quarterly respectively since 1981 and 1970.
Figure 5 reports the FAVAR-based estimates of the responses of these alternative measures of expected inflation to monetary policy shock. The results suggest a considerable reduction in the effect of monetary policy shock on expected inflation based on the term structure or from the Michigan survey. Because of their availability, an estimate of the responses of expected inflation from the Survey of Professional forecasters is not available in the earlier period. However, consistent with the other measures, they respond very little to monetary policy shock in the post-1979Q4 period. In sum, we conclude that the evidence suggests a better anchoring of inflation expectations in the period following the Volcker disinflation.
The balance sheet channel: The balance channel of monetary policy suggests that monetary policy can exert on influence on the economy by affecting firms and consumers balance sheets and in turn, their access to credit. The FAVAR results above already noted a reduction in the response of credit following a policy innovation, although this finding does not distinguish between the responses of the supply of credit and the demand for credit.
To investigate empirically how the strength of other balance-sheet channels might have evolved over time, we document the responses of alternatives measures of external finance premium to a monetary policy shock across different periods. We consider the spread between the yields on AAA or BAA
corporate bonds and corresponding U.S. Treasury bonds, for maturities of 1, 3, 5 and 10 years, as well as the external finance premium measure of Gilchrist, Ortiz, and Zakrajsek (2009).20 All of these measures are included is the data set,
, used to estimate the FAVAR.
Results are reported in Figure 6. The overall conclusion that seems to emerge is that the magnitude of response of corporate spreads is somewhat smaller in the first year in the recent period while perhaps also being more persistent during this period. Unfortunately, because of data availability, we do not have an estimate of the response for Gilchrist et al. measure of external finance premium for the pre-1979:9 period. But its response in the post-1984:1 appears consistent with the one obtained for the other measures.
Evidence from a Completely Specified Structural Model
We now turn to a discussion of how the transmission process may have evolved in a structural model. We employ a relatively standard New-Keynesian DSGE model. This framework has three key features that allow us to build on our FAVAR-based analysis: It allows a discussion of structural features, including monetary policy behavior; it emphasizes the potential role for expectations management in influencing monetary transmission, as highlighted in the New-Keynesian literature; and it is a framework used widely in research and policy environments, as discussed earlier.
The Model: The starting point for our specification is the model of Smets and Wouters (2007). We extend the model along two dimensions. First, we disaggregate investment spending into consumer durable expenditures, residential investment, and business investment, as in the Federal Reserve's EDO DSGE model (Edge, Kiley, and Laforte, 2007, 2008, forthcoming); such a disaggregation allows our analysis to connect with the large literature we summarized earlier that examines the impact of monetary policy on these spending categories. In addition, we add a financial accelerator, inspired by Bernanke, Gertler, and Gilchrist (1999) and following Gilchrist, Ortiz, and Zakrajsek (2009) closely; this addition allows some consideration of a credit (non-neoclassical) channel.
As the basic framework follows these earlier contributions closely, we present the model briefly and in its log-linear form. Table 3 presents the list of model variables.
The IS block of the model consists of the optimality conditions governing consumption (c(t)) and investment (in durables, d(t), residential investment, h(t), and nonresidential investment, i(t)) decisions.
(3)
![]()
(4)
![]()
(5)
![]()
(6)
![]()
(7)
![]()
These equations are standard: Consumption depends upon future and past consumption (where habit persistence yields the inclusion of the latter), the policy interest rate (r(t)) minus expected inflation (
(t+1)) and a risk premium shock (b(t)); investment in each category depends upon q(t) for the relevant type of capital (and an i.i.d. shock to the q/investment relation (
(t) for durables, residential investment, and nonresidential investment), and q is a function of the risk-premium adjusted short rate (rk(t)) and the marginal product
(mpk(t)) of the associated type of capital - where these marginal products are determined by the economy's production function for business capital (which includes variable utilization, z(t)) and the households preferences for consumer durable and residential capital. Of particular interest are the
capital adjustment cost parameters (
, as these determine the short-run elasticities of investment expenditures to q and hence govern (in part) the responsiveness of such expenditures to
monetary policy.
The financial block consists of the equations determining the endogenous risk premia and the evolution of the net worth of the agents who finance investment projects. Following the Bernanke, Gertler, and Gilchrist (1999) financial accelerator framework, these premia depend upon the net worth of the agents financing such projects (n(t)) and the amount of capital expenditures financed (i.e., on leverage). We arbitrarily assume that each type of project is financed by a different class of entrepreneurs, implying that the risk premia are specific to each investment type; a more natural framework may have been to have a set of financing constraints jointly influencing all household expenditures, as in models like Iacoviello (2005).
(8)
![]()
(9)
![]()
The spread terms represent exogenous movements in the risk premia associated with financing investment. In these equations, the parameters
, which govern the sensitivity of the external
finance premia to variations in the leverage associated with each type of investment (q+k-n), provide the only non-neoclassical channel in this model. As a result, pure credit-type channels are not present, and we will highlight the implications of this absence for our empirical findings and
subsequent research.
The supply block consists of the resource constraints - the GDP identity, the production function depending on business capital, hours, and utilization, an optimality condition for capital utilization, and the capital accumulation equations - and Phillips curves determining price and wage inflation.
(10)
![]()
(11)
![]()
(12)
![]()
(13)
![]()
(14)
![]()
(15)
![]()
The nominal interest rate is set by the monetary authority according to a simple policy rule involving price inflation and a traditional output gap, defined as the deviation of output from the level consistent with labor input and utilization at their long-run levels.
(16)
![]()
Finally, we include an equation for a long-term interest rate (r
(t)), based on the expectations hypothesis and an exogenous term premia (tp(t)). We also consider an
expectations-hypothesis based equation for a long-term bond associated with entrepreneurs financing of investment, as the data we will use on interest-rate spreads are based on long-term debt:
(17)
![]()
(18)
![]()
We estimate the model for two periods, 1962Q1 to 1979Q3 and 1984Q1 to 2008Q4; these samples are two of the periods we have emphasized in our VAR analysis. We use twelve data series: the growth rates (in real terms) of GDP, nondurables and services consumption, durable consumption, residential investment, and nonresidential investment; detrended hours per capita; GDP price inflation; the nominal federal funds rate; the nominal yield on a 10-year Treasury; and external finance premia measured as the difference between a composite yield on corporate BBB bonds and the 10-yr Treasury, the difference between a mortgage rate and the 5-yr Treasury, and the difference between the interest rate on automobile loans and the 5-yr. Treasury.
Table 4 presents calibrated parameters. We choose conventional values: expenditure shares for consumption of nondurables and durables of about 2/3, residential and business investment shares of about 4 and 12 percent, and a residual demand (e.g., government) expenditure share of 18 percent; a quarterly discount rate of 1 percent; a depreciation rate for consumer durables double that of business investment and quadruple that of residential investment; a leverage rate in the financial accelerator of 2; a Phillips curve slope just below 0.1; a capital share in production of 35 percent; and other parameters (governing utilization and capital returns) similar to values from, for example, Gilchrist, Ortiz, and Zakrajsek (2009). Table 5 presents prior distributions over the estimated parameters most critical for the effects of monetary policy - the adjustment cost parameters determining the sensitivity of investment spending to fundamentals (i.e., q), the parameters determining the sensitivity of risk premia to leverage, and the parameters in the monetary policy rule - along with estimates for the posterior mode and their standard deviations for each sample. (A more complete description of our estimation approach and results are presented in an appendix.)
Three points are evident from these estimation results. First, the parameters of the monetary policy rule are substantially more reactive to inflation (
) and output (
) in the 1984Q1-2008Q4 sample. Second, the standard deviations of the exogenous shock processes are in several cases, including the monetary policy rule (
, lower in the 1984Q1 to 2008Q4 sample. Both of these results suggest better policy behavior and echo findings in other studies, most notably Clarida, Gali, and Gertler (2000). Third, the parameters governing the shape of the
investment demand schedules (
) and the response of risk premia to economic conditions (
are only modestly different across samples. Combining these results, the most significant changes appear to be in monetary policy behavior, not private-sector parameters. We now turn to the implications of these results for the evolution of monetary transmission.
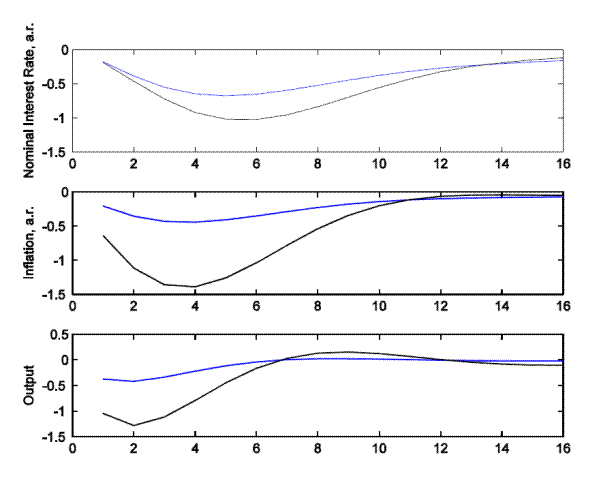
Changes in Monetary Transmission: Our FAVAR analysis yielded three conclusions: The effect of monetary policy on output appears somewhat smaller at a one-to-two year horizon in the most recent sample, but the response of output at more distant horizons is not lower and may be more persistent, although standard errors are large at such horizons; inflation responds less to monetary policy in the recent sample; and credit and risk spreads may respond to policy actions less in recent samples in the short run, although responses are estimated in the FAVAR to follow a more drawn out trajectory in the recent sample.
Figure 7 presents the DSGE-based impulse responses following a 100 basis point increase (annual rate) in the federal funds rate (e.g., 25 basis points at a quarterly rate) for the two sample periods, along with the 90-percent credible set (the dashed lines) around the 1984Q1 to 2008Q4 sample period response, for the federal funds rate, inflation, output, and the credit spread associated with business investment (where the comparable data is the 10-year BBB corporate bond spread from figure 6). The results conform reasonably closely with the FAVAR results: Inflation responds much less to the policy innovation in the recent sample (the black line) relative to the response in the 1962Q1 to 1979Q3 sample (the blue line); output responds less to a shock to the federal funds rate in the 1984Q1 to 2008Q4 sample (the black line) than in the earlier sample (the black line), especially at horizons from one to two years; and the risk spread response is also more modest in the recent sample. (However, we should emphasize that there are important differences from the FAVAR responses - most notably that inflation and output jump following a policy innovation, whereas the identifying assumption underlying the FAVAR responses excludes this possibility).
Because all changes in the model arise from a change in some structural parameter, the estimates for each sample can be used to identify the source of these shifts in policy transmission. The first candidate is the changes in the monetary policy parameters. Figure 8 presents the response for the 1984Q1 to 2008Q4 sample and the response that would arise using the 1984Q1 to 2008Q1 policy parameters with all of the other structural parameters at the values estimated for the earlier sample. As can be clearly seen, the shift in policy parameters brings the responses closely in line, indicating that the change in monetary policy behavior can account for the changes in the responses of inflation, output, and risk spreads.
Indeed, the changes in other parameters account imply little change in the responses of inflation, activity, and risk spreads to a policy innovation. For example, figure 9 presents the 1984Q1 to 2008Q4 responses and credible sets and the response that would arise using the 1984Q1 to 2008Q1
parameters governing the sensitivity of risk spreads (
with all of the other structural parameters at the values estimated for the earlier sample; figure 10 presents the 1984Q1 to 2008Q4
responses and credible sets and the response that would arise using the 1984Q1 to 2008Q1 parameters governing the slope of the investment demand schedules (
) with all of the other
structural parameters at the values estimated for the earlier sample. In each case, the differences in impulses responses across the two samples remain intact, implying that little of the change in the responsiveness of activity, inflation, or risk spreads stems from private-sector behavior.
Finally, we should emphasize that the shifts in monetary policy behavior we detect are similar to the findings in many other studies (e.g., Boivin and Giannoni, 2006). With that said, this finding has attracted some controversy: For example, Sims and Zha (2006) follow a less structured approach than ours and show that, under some assumptions, the finding of a shift in monetary policy behavior, other than the variance of the shock, is not always clear. Moreover, Smets and Wouters (2007), employing a similar methodology to our DSGE approach, find no changes in monetary policy behavior. In part this difference likely reflects their specification of the monetary policy rule (which responds to the deviation of output from flexible price output, rather than from a production-function gap as we choose) and other aspects of their specification. Indeed, any analysis with a structural model will be impacted by all the model's assumptions. With that said, other DSGE-based analyses reach similar conclusions regarding monetary policy behavior (e.g., Arestis, Chortareas, and Tsoukalas, 2010). More generally, our findings are in line with those from the policy-rule literature, most notably Taylor (1999) and Clarida, Gali, and Gertler (2000), giving us confidence in our qualitative conclusions.
Signs of changing credit conditions: A straight read of these results might suggesting that there have not been significant changes over time in the importance of non-neoclassical channels, as the parameters of the financial accelerator in our DSGE model have not changed in a way notable enough to have effects on the economy's response to monetary policy shifts. However, we interpret our estimation results as suggesting that the most widely adopted version of this channel in quantitative macroeconomic models, the Bernanke, Gertler, and Gilchrist (1999) financial accelerator mechanism, does not provide much information on such changes. One possible reason for this is that the effects of financial accelerator-type mechanisms are nonlinear, and not picked up in the linear framework we consider.21 Another possibility is that the financial accelerator framework largely works through an amplification mechanism associated with external finance premia, and ignores other aspects of credit provision.
Indeed, one of the results from our DSGE analysis points in this direction. Specifically, an economically significant change related to residential investment is evident in the change in the standard deviation of the shock to its equation (4) (which, as shown in table A1, drops from just above 2 to a minuscule value near 0), implying that more of the fluctuations in residential investment in the recent sample represent movements along this curve, rather than deviations from the model's implied relationship. Of course, the model does not include the quantity rationing induced by regulation or other non-price channels of monetary transmission, and hence this type of model is perhaps not especially informative about shifts in such channels across the sample periods we consider. Nonetheless, the smaller variance of shocks to this relationship in the 1984Q1-2008q4 sample period is consistent with the findings in McCarthy and Peach (2002), who report a closer association of housing market variables with interest rates and other neoclassical fundamentals for that period.
Indeed, we can even be a little bit more suggestive: For example, periods of credit rationing associated with disintermediation from falling deposits at savings and loans associations during the 1962Q1 to 1979Q3 period were identified in Brayton and Mauskopf (1985) to have occurred in 1966Q3-Q4, 1969Q3-1970Q3, and 1974Q1-1957Q1. For these periods, the mean "off-equation" movements in residential investment (e.g., shock) equaled -3 percent (with a t-statistic of -4.3); in comparison, the mean of such shocks in periods without credit constraints was 0.7 percent (with a t-statistic of 2.3).22 In other words, these shocks appear tightly linked to credit conditions, with credit rationing especially important for residential investment. Moreover, the decline in the importance of this shock in the 1984Q1 to 2008Q4 sample points to a lessening in the importance of credit per se.
Monetary Policy and the Transmission of Other Shocks: Our analysis highlights the central role of monetary policy behavior in the evolution of the transmission of monetary shocks.
Of course, the endogenous aspect of monetary policy is crucial for the behavior of activity and inflation following other shocks - implying that the shift in behavior on the part of monetary policymakers could have even more significant effects on the nature of economic fluctuations through its impact on the effect of fundamentals other than policy shocks. We consider the response of the policy interest rate, output, and inflation to a one-standard deviation shock to productivity and to the economy-wide risk premia; these shocks are the most important shocks for output fluctuations in our model and in other similar DSGE models (e.g., Smets and Wouters, 2007, and especially to Federal Reserve and ECB policy models described in Kiley, 2009, and Christoffel, Coenen, and Warne, 2008). Moreover, these two shocks illustrate well the nature of policy tradeoffs facing policymakers: An improvement in productivity increases output and lowers inflation, and a policymaker will hope to accommodate the improvement in output and stabilize inflation in response to such a shock; in contrast, an increase in the risk premia will depress output and inflation, and a policymaker will aim to offset these effects and stabilize both output and inflation. In our comparisons, we compare the impulse responses using the 1984Q1-2008Q4 parameter estimates and altering the policy parameters to those for the earlier period in our alternative case.
Figure 11 presents the impulse responses following a productivity shock. The differences implied by the change in policy rule are dramatic - output responds more, and inflation less, to the innovation in productivity. Figure 12 presents the results for a risk premia shock. In this case, the more active policy response to inflation in the recent sample period serves to stabilize both activity and inflation. These figures show that the most important impact of monetary policy is through its affect on how other shocks are transmitted to inflation and activity. And the nature of our findings - that monetary policy has shifted since the early 1980s to a stance that accommodates productivity innovations and resists demand-side fluctuations - is consistent with other results in the literature, most clearly those of Galí and Gambetti (2009), who investigate similar issues using a less structural (VAR-based) approach.
In both cases, the changes in the responses to shocks move in the direction of more desirable economic outcomes. And in both cases, the large effects of the change in the policy rule are driven by expectations: This can be seen by looking at the response of the nominal interest rate - which is actually smaller under the more active policy in both cases, because the commitment to a highly reactive policy stabilizes expectations and hence actual outcomes without generating additional realized volatility in the nominal interest rate.
These results drive home two points that are central to the evolution of economist's understanding of the monetary transmission mechanism.
First, the systematic component of policy and its effect on the macroeconomic response to a wide range of shocks is the principle mechanism through which monetary policy affects inflation and activity. This transmission channel is the primary focus of modern studies of the effects of monetary policy, following the large literature on the effects of policy rules on economic performance (e.g., the literature summarized in the chapter on policy rules by Taylor and Williams, 2010) and the emphasis on managing expectations through systematic behavior presented in Woodford (2003). This evolution is significant, as the primary focus of policy discussions of the transmission mechanism in the past has centered on model analyses or simulations that focus on exogenous paths for policy - with at most glancing attention to the systematic nature of policy, expectations formation, and the transmission of policy actions. (Examples that did not emphasize expectations include the equation-by-equation approach of Akhtar and Harris, 1987, or Friedman, 1989, analyses with the Federal Reserve's MPS model (Mauskopf, 1990) or the central bank comparisons, representing a large number of policy models employed in the early-to-mid 1990s, presented in Smets, 1995).
Second, a greater emphasis on inflation stabilization is likely to lead to greater stability in inflation but not necessarily in output, as a focus on price stability will accommodate increases in output reflecting productivity advances and resist such movements due to fluctuations in risk premia or some other demand factors. This latter point suggests that studies that look to identify the importance of changes in the transmission mechanism related to policy behavior through the lens of overall output stability may fail to find strong evidence. This may help explain, in part, the diversity of findings in this area (e.g., the different conclusions of Boivin and Giannoni, 2006 and Canova and Gambetti, 2009, for example). The subtle difference between overall output stability and stability in output around an efficient level - i.e., the notion that policymakers should design policy so as to accommodate productivity movements while resisting inefficient movements due to risk premia - has also represented an important evolution in understanding regarding how the monetary transmission mechanism should be used to promote price stability.
VI. IMPLICATIONS FOR THE FUTURE CONDUCT OF MONETARY POLICY
Looking back over our summary of related literature, four findings are apparent.
First, the neoclassical channels - direct interest rate effects on investment spending, wealth and intertemporal substitution effects on consumption, and the trade effects through the exchange rate - have remained the core channels in macroeconomic modeling. The literature on time variation in the strength of these channels has not suggested large changes over time.
Second, the macroeconomic literature on non-neoclassical channels in general equilibrium models is sparse - most analyses of the potential importance of, for example, bank-based channels has focused on heterogeneous effects on different classes of borrowers or lenders that could signal a potential role for such channels, without moving on to the macroeconomic consequences. Macroeconomic models that incorporate such channels, most notable a balance sheet channel like that of Bernanke, Gertler, and Gilchrist (1999), find only modest effects on monetary transmission from these factors, as we found in our DSGE model exercises. Indeed, the variation in external finance premia in such empirical models seems more important as a source of shocks driving fluctuations than as an endogenous transmission mechanism.
Third, there have been large changes in the regulatory structure in the United States and other countries, and these changes have had important implications for the transmission of monetary policy actions to residential investment. In particular, residential investment is now more tied to interest rates rather than credit availability. Some aspects of these shifts are apparent in our macro-based approaches. For example, credit seems to respond more slowly and by a smaller amount to policy shifts in our FAVAR analysis (figure 5) in the period after 1982; similarly, shocks to the residential investment equation in our DSGE model are tightly linked to periods of credit rationing in the pre-1980 period, but of minimal importance in the later sample. With that said, these results only hint at the role of credit per se in different periods, and fail to speak to the more global issue of the role of financial frictions in economic fluctuations.
Finally, monetary policy has become substantially more focused on inflation stabilization, and this shift has importantly affected the volatility of inflation and the response of output to non-monetary disturbances. Indeed, the systematic component of monetary policy is the most important monetary factor in economic fluctuations, and the evolution of economist's understanding of how to use the monetary transmission mechanism through a systematic focus on price stability is one of the central shifts in policy behavior and macroeconomic modeling over the last quarter century. These results emerge quite clearly from our structural model analysis, and echo findings from some studies that impose less structure.
This summary leaves two extremely important outstanding questions for research. One is the role of non-neoclassical channels in our understanding of economic fluctuations and monetary policy. The literature in this area remains thin, and this thinness reflects difficulty in specifying the relevant mechanisms and finding the supporting empirical evidence. While we are able to hint at the importance of such channels at times in the past, this area is currently very active and will undoubtedly yield future insights (e.g., Meh and Moran, 2008; Angeloni and Faia, 2010; Gerali et al, 2009; and Gertler and Kiyotaki, 2010). Indeed, the global financial crisis that began in mid-2007 has illustrated that the intersection of banking, finance, and macroeconomics is as important as ever.
The course of policy following the crisis has also shown the importance of understanding aspects of the monetary transmission mechanism further. In particular, policy rates have been brought to near zero in the United States, Europe, and Japan. As a result, the importance of managing expectations in such an environment has been brought to the fore. In addition, central banks around the world have engaged in "quantitative easing" or "large-scale asset purchases" in an effort to impart additional impetus to activity. But both the empirical and theoretical channels (e.g., Clouse et al, 2000, and Bernanke, Reinhart, and Sack, 2004) associated with such actions remain far less developed than desirable. Also, some of the policy recommendations in reaction to the crisis, such as the implementation of macroprudential regulations, are likely to have an important on the evolution of the monetary transmission mechanism going forward.
Akhtar, M.A. and Ethan Harris. "Monetary Policy Influence on the Economy-An Empirical Analysis," Federal Reserve Bank of New York, Quarterly Review (Winter 1987), pp. 19-34.
Akerlof, George (1970), "The Market for 'Lemons': Quality, Uncertainty and the Market Mechanism," Quarterly Journal of Economics 84, pp. 488-500
Ando, Albert and Franco Modigliani (1963) The "Life Cycle" Hypothesis of Saving: Aggregate Implications and Tests. The American Economic Review, Vol. 53, No. 1, Part 1 (Mar., 1963), pp. 55-84.
Angeloni, Ignazio and Ester Faia (2009) Tale of Two Policies: Prudential Regulation and Monetary Policy with Fragile Banks. Mimeo, October 29.
Aoki K, Proudman J, and Vlieghe G. (2002) Houses as Collateral: Has the Link between House Prices and Consumption in the U.K. Changed?. Federal Reserve Bank of New York Economic Policy Review. May 2002;8(1):163-177.
Arestis, Philip, Georgios Chortareas and John D. Tsoukalas (2010) Money and Information in a New Neoclassical Synthesis Framework. The Economic Journal. 120(February):101-128.
Benito, Andrew, Thompson, Jamie N.R., Waldron, Matt and Wood, Rob, (2006) House Prices and Consumer Spending. Bank of England Quarterly Bulletin, Summer 2006.
Bennett, Paul, Richard Peach, and Stavros Peristiani (2001) "Structural Change in the Mortgage Market and the Propensity to Refinance." Journal of Money, Credit, and Banking 33, no. 4 (November): 954-76.
Bernanke, Ben S., Jean Boivin, and Piotr Eliasz (2005). "Measuring the Effects of Monetary Policy: A Factor-Augmented Vector Autoregressive (FAVAR) Approach," Quarterly Journal of Economics, vol. 120, no. 1, pp. 387-422.
Bernanke, Ben S. and Mark Gertler (1989) "Agency Costs, Net Worth, and Business Fluctuations," American Economic Review, American Economic Association, vol. 79(1), pages 14-31, March
Bernanke, Ben S., and Mark Gertler (1995). "Inside the Black Box: The Credit Channel of Monetary Policy Transmission," Journal of Economic Perspectives, vol. 9, no. 4, pp. 27-48.
Bernanke, Ben S., Mark Gertler, Simon Gilchrist, 1999, The financial accelerator in a quantitative business cycle framework, In: John B. Taylor and Michael Woodford, Editor(s), Handbook of Macroeconomics, Elsevier, 1999, Volume 1, Part 3, Pages 1341-1393
Bernanke, Ben S., Vincent R. Reinhart, and Brian P. Sack (2004) "Monetary Policy Alternatives at the Zero Bound: An Empirical Assessment," Brookings Papers on Economic Activity, Economic Studies Program, The Brookings Institution, vol. 35(2004-2), pages 1-100.
Boivin, Jean, and Marc Giannoni (2002). "Assessing Changes in the Monetary Transmission Mechanism: A VAR Approach," Federal Reserve Bank of New York Economic Policy Review, vol. 8, no. 1, pp. 97-11.
Boivin, Jean, and Marc P. Giannoni (2006). "Has Monetary Policy Become More Effective?" Review of Economics and Statistics, vol. 88, no. 3, pp. 445-462.
Brayton, Flint, and Eileen Mauskopf. "The Federal Reserve Board-MPS Quarterly Econometric Model of the U.S. Economy," Economic Modelling, 2 (July 1985), pp. 170-292.
Brumberg R. E., and F. Modigliani (1954) " Utility Analysis and the Consumption Function: An Interpretation of Cross-section Data," Post-Keynesian Economics, ed. by K. Kurihara (New Brunswick, New Jersey: Rutgers University Press, 1954).
Bryant, Ralph C., Peter Hooper and Catherine L. Mann, eds. (1993) Evaluating Policy Regimes: New Research in Empirical Macroeconomics, The Brookings Institution, Washington D.C.
Calza, Alessandro, Monacelli, Tommaso and Stracca, Livio (2007) "Mortgage Markets, Collateral Constraints, and Monetary Policy: Do Institutional Factors Matter?," CEPR Discussion Papers 6231, C.E.P.R. Discussion Papers.
Canova, F., and Gambetti, L. (2009) Structural Changes in the US Economy: Is there a Role for Monetary Policy? Journal of Economic, Dynamics & Control
,
477-490.
Canova, F., and Gambetti, L. (forthcoming) "Do inflation expectations matter? The Great Moderation revisited" American Economic Journal: Macroeconomics.
Carlstrom, Charles, Timothy Fuerst, and Matthias Paustian (2009) Optimal Monetary Policy in a Model with Agency Costs. Paper presented at the Financial Markets and Monetary Policy Conference, sponsored by the Federal Reserve Board and the Journal of Money, Credit, and Banking, June 4-5.
Case, Karl E., (1986) "The market for single-family homes in the Boston area," New England Economic Review, Federal Reserve Bank of Boston, issue May, pages 38-48.
Case, Karl E. and Robert J. Shiller (2003) Is There a Bubble in the Housing Market? Brookings Papers on Economic Activity, Vol. 2003, No. 2 (2003), pp. 299-342.
Catte, P., N. Girouard, R. Price and C. Andre (2004), `Housing markets, wealth and the business cycle', OECD Economics Department Working Papers.
Chirinko, Robert S (1993) "Business Fixed Investment Spending: Modeling Strategies, Empirical Results, and Policy Implications," Journal of Economic Literature, American Economic Association, vol. 31(4), pages 1875-1911, December.
Christiano, L., Eichenbaum, M. and C. Evans (1999) "Monetary Policy Shocks: What Have We Learned and to What End?", in Handbook of Macroeconomics, eds. Michael Woodford and John Taylor, North Holland.
Christiano, Lawrence, Roberto Motto, and Massimo Rostagno (2009) Financial Factors in Economic Fluctuations. Paper presented at the Financial Markets and Monetary Policy Conference, sponsored by the Federal Reserve Board and the Journal of Money, Credit, and Banking, June 4-5.
Christoffel, Kai, Günter Coenen and Anders Warne (2008) "The new area-wide model of the euro area - a micro-founded open-economy model for forecasting and policy analysis," Working Paper Series 944, European Central Bank
Clarida, R., J. Galí, and M. Gertler (2000). Monetary policy rules and macroeconomic stability: Evidence and some theory. Quarterly Journal of Economics 115, 147--180.
Clouse, James, Dale Henderson, Athanasios Orphanides, David Small, and Peter Tinsley (2000) Monetary Policy When the Nominal Short-Term Interest Rate Is Zero. Federal Reserve Board Finance and Economics Discussion Series No. 2000-51.
Curdia, Vasco and Michael Woodford (2009) Credit Spreads and Monetary Policy. Paper presented at the Financial Markets and Monetary Policy Conference, sponsored by the Federal Reserve Board and the Journal of Money, Credit, and Banking, June 4-5.
Dynan, Karen, Douglas W. Elmendorf and Daniel E. Sichel (2006) "Can Financial Innovation Help to Explain the Reduced Volatility of Economic Activity?", Journal of Monetary Economics, vol. 53 (January 2006), pp. 123-50.
Edelberg, Wendy (2006) "Risk-based Pricing of Interest Rates for Consumer Loans," Journal of Monetary Economics, vol. 53 (November 2006), pp. 2283-2298.
Edge, Rochelle M., Michael T. Kiley and Jean-Philippe Laforte (2007) "Documentation of the Research and Statistics Division's estimated DSGE model of the U.S. economy: 2006 version," Finance and Economics Discussion Series 2007-53, Board of Governors of the Federal Reserve System (U.S.).
Edge, Rochelle M. Michael T. Kiley, and Jean-Philippe Laforte (2008) Natural rate measures in an estimated DSGE model of the U.S. economy. Journal of Economic Dynamics & Control 32:2512-2535.
Edge, Rochelle M. Michael T. Kiley, and Jean-Philippe Laforte (forthcoming) "A comparison of forecast performance between Federal Reserve staff forecasts, simple reduced-form models, and a DSGE model," Journal of Applied Econometrics.
Eggertsson, Gauti B. and Michael Woodford (2004) "Optimal Monetary and Fiscal Policy in a Liquidity Trap," NBER International Seminar on Macroeconomics 2004, pages 75-144.
Erceg, Christopher J. and Luca Guerrieri and Christopher Gust, 2006. "SIGMA: A New Open Economy Model for Policy Analysis," International Journal of Central Banking, International Journal of Central Banking, vol. 2(1), March.
Fagan, Gabriel, Henry, and Jerome & Mestre, Ricardo, 2005. "An area-wide model for the euro area," Economic Modelling, Elsevier, vol. 22(1), pages 39-59, January.
Fair, Ray C. (2004), Estimating How the Macroeconomy Works. Harvard University Press.
Fleming, J. Marcus (1962) Domestic Financial Policies under Fixed and under Floating Exchange Rates (Politiques finacierieures interieures avec un systeme de taux de change fixe et avec un systeme de taux de change fluctuant) (Politica financiera interna bajo sistemas de tipos de cambio fijos o de tipos de cambio fluctuantes). Staff Papers - International Monetary Fund, Vol. 9, No. 3 (Nov., 1962), pp. 369-380
Friedman, Benjamin M. (1989) Changing Effects of Monetary Policy on Real Economic Activity, Federal Reserve Bank of Kansas City Symposium Proceedings
Friedman, Milton (1957) A Theory of the Consumption Function (Princeton, NJ: Princeton University Press, 1957).
Galí, Jordi, and Luca Gambetti (2009) On the Sources of the Great Moderation. American Economic Journals-Macroeconomics.
Galí, Jordi, David Lopez-Salido and Javier Valles (2003) "Technology Shocks and Monetary Policy: Assessing the Fed's Performance", Journal of Monetary Economics , vol. 50 (May 2003), pp. 723-743.
Gerali, Andrea, Stefano Neri, Luca Sessa, and Federico Signoretti (2009) Credit and Banking in a DSGE Model of the Euro Area (493 KB). Paper presented at the Financial Markets and Monetary Policy Conference, sponsored by the Federal Reserve Board and the Journal of Money, Credit, and Banking, June 4-5.
Gertler, Mark and Simon Gilchrist (1993) " The Role of Credit Market Imperfections in the Monetary Transmission Mechanism: Arguments and Evidence," Scandinavian Journal of Economics, Blackwell Publishing, vol. 95(1), pages 43-64.
Gertler, Mark and Simon Gilchrist (1994) "Monetary Policy, Business Cycles, and the Behavior of Small Manufacturing Firms," The Quarterly Journal of Economics, MIT Press, vol. 109(2), pages 309-40, May.
Gertler, Mark and Nobuhiro Kiyotaki (2010) Financial Intermediation and Credit Policy in Business Cycle Analysis, This Volume.
Gilchrist, Simon, Alberto Oriz, and Egon Zakrajsek (2009) Credit Risk and the Macroeconomy: Evidence from an Estimated DSGE Model. Paper presented at the Financial Markets and Monetary Policy Conference, sponsored by the Federal Reserve Board and the Journal of Money, Credit, and Banking, June 4-5.
Gürkaynak, Refet S., Brian Sack and Eric Swanson (2005) "The Sensitivity of Long-Term Interest Rates to Economic News: Evidence and Implications for Macroeconomic Models," American Economic Review, American Economic Association, vol. 95(1), pages 425-436, March.
Hall, Robert E. (1988) Intertemporal Substitution in Consumption. The Journal of Political Economy, Vol. 96, No. 2 (Apr., 1988), pp. 339-357.
Hanushek, Eric A., John M. Quigley, (1980) What is the Price Elasticity of Housing Demand? The Review of Economics and Statistics, Vol. 62, No. 3 (Aug., 1980), pp. 449-454
Harrison, R, Nikolov, K, Quinn, M, Ramsay, G, Thomas, R and Scott, A (2005)
The Bank of England Quarterly Model, Bank of England.
Hatzius, J. (2005). "Housing Holds the Key to Fed Policy," Goldman Sachs Global Economics Paper No. 137 (New York: Goldman Sachs, February)
Hayashi, Fumio (1982) Tobin's Marginal q and Average q: A Neoclassical Interpretation. Econometrica, Vol. 50, No. 1 (Jan., 1982), pp. 213-224
Henderson, J. Vernon and Yannis M. Ioannides (1986) Tenure Choice and the Demand for Housing. Economica, New Series, Vol. 53, No. 210 (May, 1986), pp. 231-246.
Hurst, Erik and Frank Stafford (2004) Home Is Where the Equity Is: Mortgage Refinancing and Household Consumption. Journal of Money, Credit and Banking, Vol. 36, No. 6 (Dec., 2004), pp. 985-1014.
Iacoviello, Matteo (2005) "House Prices, Borrowing Constraints, and Monetary Policy in the Business Cycle," American Economic Review, American Economic Association, vol. 95(3), pages 739-764, June.
Iacoviello, Matteo and Minetti, Raoul (2008) "The credit channel of monetary policy: Evidence from the housing market," Journal of Macroeconomics, Elsevier, vol. 30(1), pages 69-96, March.
Iacoviello, Matteo, and Stefano Neri (forthcoming) "Housing Market Spillovers: Evidence from an Estimated DSGE Model," American Economic Journals: Macroeconomics.
Jorgenson, Dale (1963) The American Economic Review, Vol. 53, No. 2, Papers and Proceedings of the Seventy-Fifth Annual Meeting of the American Economic Association. (May, 1963), pp. 247-259.
Kashyap, Anil K. & Stein, Jeremy C., 1995. "The impact of monetary policy on bank balance sheets," Carnegie-Rochester Conference Series on Public Policy, Elsevier, vol. 42(1), pages 151-195, June.
Kiley, Michael T. (2010) Output Gaps. Federal Reserve Board Finance and Economics Discussion Series.
Lettau, Martin and Sydney C. Ludvigson (2004) "Understanding Trend and Cycle in Asset Values: Reevaluating the Wealth Effect on Consumption," American Economic Review, American Economic Association, vol. 94(1), pages 276-299, March.
Lown, Cara S. and Donald P. Morgan (2002) "Credit effects in the monetary mechanism," Economic Policy Review, Federal Reserve Bank of New York, issue May, pages 217-235.
Lucas, Robert (1976). "Econometric Policy Evaluation: A Critique". Carnegie-Rochester Conference Series on Public Policy 1: 19-46.
Mauskopf, E. (1990). "The Transmission Channels of Monetary Policy: How have they Changed?" Federal Reserve Bulletin, vol. 76, no. 12, pp. 985.
McCarthy, Jonathan, and Richard W. Peach (2002). "Monetary Policy Transmission to Residential Investment," Federal Reserve Bank of New York Economic Policy Review, vol. 8, no. 1, pp. 139-158.
Meh, Césaire and Kevin Moran (2008) "The Role of Bank Capital in the Propagation of Shocks," Working Papers 08-36, Bank of Canada.
Miron, Jeffrey A., Christina D. Romer and David N. Weil, (1994) "Historical Perspectives on the Monetary Transmission Mechanism," in N.G. Mankiw, ed. Monetary Policy, pages 263-306 National Bureau of Economic Research, Inc.
Mishkin, Frederic S. (1976) "Illiquidity, Consumer Durable Expenditure, and Monetary Policy," American Economic Review, 66 No. 4 (September): 642-654.
Mishkin, Frederic S. (1978), "The Household Balance-Sheet and the Great Depression," Journal of Economic History 38 (December 1978): 918-937.
Mishkin, Frederic S. (1995). "Symposium on the Monetary Transmission Mechanism," Journal of Economic Perspectives, vol. 9, no. 4, pp. 3-10.
Mishkin, Frederic S. (2007). "Housing and the Monetary Transmission Mechanism," Federal Reserve Bank of Kansas City, Housing, Housing Finance, and Monetary Policy, 2007 Jackson Hole Symposium (Kansas City: Federal Reserve Bank of Kansas City). pp. 359-413.
Mishkin, Frederic S. (2008), "Global Financial Turmoil and the World Economy," speech given at the Caesarea Forum of the Israel Democracy Institute, Eliat, Israel, July 2, 2008, http://www.federalreserve.gov/newsevents/speech/mishkin20080702a.htm.
Mundell, R.A. (1963), "Capital Mobility and Stabilization Policy under Fixed and Flexible Exchange Rates", Canadian Journal of Economics 29: 475-485.
Murchison, Stephen and Andrew Rennison (2006) "ToTEM: The Bank of Canada's New Quarterly Projection Model," Technical Reports 97, Bank of Canada.
Peek, Joe, and Eric Rosengren (1995a) The Capital Crunch: Neither a Borrower nor a Lender Be Source: Journal of Money, Credit and Banking, Vol. 27, No. 3 (Aug., 1995), pp. 625-638
Peek, Joe and Eric S. Rosengren (1995b). "Is bank lending important for the transmission of monetary policy? An overview," New England Economic Review, Federal Reserve Bank of Boston, issue Nov, pages 3-11.
Peek, Joe and Eric S. Rosengren (1997) The International Transmission of Financial Shocks: The Case of Japan. The American Economic Review, Vol. 87, No. 4 (Sep., 1997), pp. 495-505.
Peek, Joe and Eric S. Rosengren (2010) "The Role of Banks in the Transmission of Monetary Policy", in The Oxford Handbook of Banking, Allen Berger, Philip Molyneux, and John Wilson, eds. (Oxford: Oxford University Press).
Primiceri, Giorgio (2005) "Why Inflation Rose and Fell: Policymakers' Beliefs and US Postwar Stabilization Policy," NBER Working Papers 11147, National Bureau of Economic Research, Inc.
Ramey, Valerie A. (1993) How Important is the Credit Channel in the Transmission of Monetary Policy?," NBER Working Papers 4285, National Bureau of Economic Research, Inc.
Reifschneider, David, David J. Stockton and David W Wilcox "Econometric Models and the Monetary Policy Process" Carnegie-Rochester Conference Series on Public Policy, vol. 47 (December 1997), pp. 1-37.
Reifschneider, David, Robert Tetlow and John Williams (1999) "Aggregate disturbances, monetary policy, and the macroeconomy: the FRB/US perspective," Federal Reserve Bulletin, Board of Governors of the Federal Reserve System (U.S.), issue Jan, pages 1-19.
Romer, Christina D. and David H. Romer (1989) "Does Monetary Policy Matter? A New Test in the Spirit of Friedman and Schwartz," NBER Macroeconomics Annual 1989, Volume 4, pages 121-184 National Bureau of Economic Research, Inc.
Sims, Christopher A. and Tao Zha (2006) "Were There Regime Switches in U.S. Monetary Policy?," American Economic Review, American Economic Association, vol. 96(1), pages 54-81, March.
Smets, Frank (1995) "Central bank macroeconometric models and the monetary policy transmission mechanism", in: BIS (1995), Financial structure and the monetary policy transmission mechanism, C.B. 394, March.
Smets, Frank and Rafael Wouters (2007) "Shocks and Frictions in US Business Cycles: A Bayesian DSGE Approach," American Economic Review, American Economic Association, vol. 97(3), pages 586-606, June.
Stock, James H. and Mark W. Watson (2005) "Implications of Dynamic Factor Models for VAR Analysis," NBER Working Papers 11467, National Bureau of Economic Research, Inc.
Taylor, John B. (1993) Macroeconomic Policy in a World Economy: From Econometric Design to Practical Operation, W.W. Norton, New York.
Taylor, John B. (1995). "The Monetary Transmission Mechanism: An Empirical Framework," Journal of Economic Perspectives, vol. 9, no. 4, pp. 11-26.
Taylor, John B. (1999) "A Historical Analysis of Monetary Policy Rules," in John B. Taylor, ed., Monetary Policy Rules, pages 319-348 National Bureau of Economic Research, Inc.
Taylor, John B. and John C. Williams (2010) Simple and Robust Rules for Monetary Policy. This Volume.
Tobin, James (1969) A General Equilibrium Approach To Monetary Theory. Journal of Money, Credit and Banking, Vol. 1, No. 1 (Feb., 1969), pp. 15-29
Van Den Heuvel, Skander (2002) "Does Bank Capital Matter for Monetary Transmission?" Economic Policy Review, Federal Reserve Bank of New York, May. [Updated and reprinted in The Evolving Financial System and Public Policy, Bank of Canada, December 2004.]
Wessel, David (2009) In Fed We Trust: Ben Bernanke's War on the Great Panic. Crown Business.
Woodford, Michael (2003) Interest and Prices. Princeton University Press, Princeton, N.J.
| Description | Incorporation in policy models | |
| Neoclassical Channel: Interest rate/cost-of-capital/Tobin's q | Changes in short-term policy rates affect the user cost of capital for consumer and business investment | Standard in large-scale models (like the MPS or FRB/US models, Fair (2004)) and DSGE models. |
| Neoclassical Channel: Wealth effects | Changes in short-term interest rates affect discounted present values and/or Tobin's Q for various types of assets, and these changes in the market value of assets induce changes in consumption | Standard in the large-scale models models (MPS or FRB/US, Fair (2004)). Standard in DSGE models, but not separated from intertemporal substitution effects |
| Neoclassical Channel: Intertemporal substitution | Changes in short-term interest rates affect the slope of the consumption profile | Absent from traditional large-scale. Standard in DSGE models, but not separated from wealth effects. |
| Neoclassical Channel: Exchange rate effects | Changes in short-run policy interest rates induce changes in the exchange rate through uncovered-interest parity and/or portfolio balance effects | Standard in large-scale models. Incorporated in international DSGE models (e.g., Erceg, Guerrieri, and Gust, 2006). |
| Non-neoclassical channel: Regulation-induced credit effects | Restrictions on financial institutions (e.g., deposit rate ceilings, credit restrictions) affect spending | Incorporated empirically for relevant periods in some large-scale models (e.g., MPS model) |
| Non-neoclassical channel: Bank-based channels | Banks play a special role addressing problems of asymmetric information. Thus, decreases in bank's lending capacity impact spending | Not explicitly incorporated in most large-scale models or DSGE models |
| Non-neoclassical channel: Balance-sheet channel | Changes in net worth associated with the asset price effects of monetary actions influence external finance premia facing firms and households | Not explicitly incorporated in most large-scale models. Increasingly incorporated in DSGE models, often along the lines suggested in Bernanke, Gertler, and Gilchrist (1999). |
| GSEs | Banks | Other | |
| 1966-1970 | 0.04 | 0.71 | 0.25 |
| 1986-1990 | 0.39 | 0.45 | 0.16 |
| 2004-2008 | 0.43 | 0.31 | 0.26 |
| Variable Name | Symbol |
| Expenditure components and GDP: Consumption (ex. durables) | c(t) |
| Expenditure components and GDP: Consumption, durables | d(t) |
| Expenditure components and GDP: Residential investment | h(t) |
| Expenditure components and GDP: Business investment | i(t) |
| Expenditure components and GDP: GDP (output) | y(t) |
| Productive inputs and household stocks: Business, residential, and durables capital | ki(t) |
| Productive inputs and household stocks: Hours worked | l(t) |
| Productive inputs and household stocks: Capital utilization | z(t) |
| Financial market variables: Tobin's q -- business, residential, and durables capital | qi(t) |
| Financial market variables: Marginal product -- business, residential, and durables capital | mpki(t) |
| Financial market variables: Return to business, residential, and durables capital | rki(t) |
| Financial market variables: Policy interest rate | r(t) |
| Financial market variables: Long-term interest rate | r l (t) |
| Financial market variables: Long-term expected return to business, residential, and durables capital | rkl,i(t) |
| Financial market variables: Net worth to finance business, residential, and durables capital | ni(t) |
| Inflation and wages: Inflation | π(t) |
| Inflation and wages: Real wage | w(t) |
| Variable Name | Symbol |
| Expenditure components and GDP: Residual demand | g(t) |
| Productive potential: Productivity | a(t) |
| Financial market: Economywide risk premium | b(t) |
| Financial market: Spread (exog.) for business, residential, and durables | spread(t) |
| Financial market: Term premium | tp(t) |
| Variable Name | Symbol |
| Expenditure components and GDP: Residual demand | eg(t) |
| Productive potential and markups: Productivity | ea(t) |
| Productive potential and markups: Price markup | eπ(t) |
| Financial market: Monetary policy | er(t) |
| Financial market: Economywide risk premium | eb(t) |
| Financial market: Spread (exog.) for business, residential, and durables | espread(t) |
| Financial market: Term premium | etp(t) |
| Financial market: Investment shocks -- business, residential, and consumer durables | ei(t) |
| cy | 0.59 |
| dy | 0.075 |
| hy | 0.04 |
| iy | 0.115 |
| gy | 0.18 |
| K/N (for d,h,i) | 2 |
| B | 0.99 |
| α | 0.35 |
| δi | 0.025 |
| δh | 0.05 |
| δd | 0.0125 |
| κ | 0.08 |
| RKx, x=d,h,i | 1/B - (1-δx) |
| ∈x, x=d,h,i | RKx/(RKx+1-δx) |
| θ | 0.95 |
| ψ | 0.5 |
| Distribution | Prior: Mean | Prior: S.D. | Posterior (1966q1 - 1979q3): Mode | Posterior (1966q1 - 1979q3): S.D. | Posterior (1984q1 - 2008q4): Mode | Posterior (1984q1 - 2008q4): S.D. | |
| ζ | Beta | 0.75 | 0.20 | 0.79 | 0.10 | 0.35 | 0.12 |
| Φi | Normal | 2.00 | 0.50 | 2.14 | 0.52 | 0.57 | 0.40 |
| Φd | Normal | 2.00 | 0.50 | 3.08 | 0.39 | 2.71 | 0.41 |
| Φh | Normal | 2.00 | 0.50 | 2.95 | 0.53 | 0.83 | 0.25 |
| νi | Beta | 0.05 | 0.01 | 0.05 | 0.10 | 0.05 | 0.01 |
| νd | Beta | 0.05 | 0.01 | 0.06 | 0.03 | 0.05 | 0.01 |
| νh | Beta | 0.05 | 0.01 | 0.04 | 0.02 | 0.04 | 0.01 |
| ρr | Beta | 0.75 | 0.10 | 0.72 | 0.00 | 0.72 | 0.05 |
| rπ | Normal | 1.50 | 0.25 | 1.00 | 0.00 | 1.71 | 0.23 |
| ry | Normal | 0.50 | 0.25 | 0.01 | 0.00 | 0.20 | 0.03 |
| σr | Invg | 0.10 | 2.00 | 0.20 | 0.01 | 0.08 | 0.02 |
Appendix: Estimation of DSGE model
The DSGE model presented in the main text is estimated using Bayesian methods using the observable variables mentioned in the text: the real growth rates of GDP, nondurables and services consumption (excluding housing services), residential investment, nonresidential fixed investment, the percent change in the GDP deflator, hours worked in the nonfarm business sector (divided by the civilian noninstitutional population, and detrended with the HP filter), the nominal federal funds rate, the nominal yield on the 10-year Treasury, and risk spreads on corporate bonds, the car loan rate, and the fixed mortgage rate. The estimated parameters are found by maximizing the log posterior function, which combines the prior information on the parameters with the likelihood of the data. We assume a small amount of measurement error on all the observable data, except the nominal funds rate and nominal Treasury yield. (The degree of assumed measurement error is reported in the appendix Table A1.)
Each of the exogenous processes follow autoregressive (AR(1)) processes. The estimated AR(1) coefficients and standard deviations for all of the shocks to these processes are also presented in Table A1 for the two subsamples considered in the text.23
| Distribution | Prior: Mean | Prior: S.D. | Posterior (1962Q1 - 1979Q3): Mode | Posterior (1962Q1 - 1979Q3): S.D. | Posterior (1984Q1 - 2008Q4): Mode | Posterior (1984Q1 - 2008Q4): S.D. | |
| ρa | Beta | 0.50 | 0.20 | 0.89 | 0.13 | 0.91 | 0.02 |
| ρtp | Beta | 0.50 | 0.20 | 0.46 | 0.00 | 0.84 | 0.03 |
| ρb | Beta | 0.50 | 0.20 | 0.65 | 0.41 | 0.88 | 0.03 |
| ρg | Beta | 0.50 | 0.20 | 0.45 | 0.37 | 0.50 | 0.25 |
| ρfi | Beta | 0.50 | 0.10 | 0.65 | 1.52 | 0.53 | 0.09 |
| ρfd | Beta | 0.50 | 0.10 | 0.56 | 0.10 | 0.57 | 0.09 |
| ρfh | Beta | 0.50 | 0.10 | 0.49 | 0.61 | 0.75 | 0.09 |
| σa | Invg | 0.10 | 2.00 | 0.73 | 0.19 | 0.36 | 0.08 |
| σπ | Invg | 0.10 | 2.00 | 0.23 | 0.04 | 0.18 | 0.03 |
| σb | Invg | 0.10 | 2.00 | 0.87 | 1.77 | 0.16 | 0.04 |
| σg | Invg | 0.10 | 2.00 | 0.78 | 0.88 | 0.05 | 0.02 |
| σfi | Invg | 0.10 | 2.00 | 0.53 | 1.44 | 0.05 | 0.02 |
| σfd | Invg | 0.10 | 2.00 | 0.06 | 0.06 | 0.57 | 0.19 |
| σfh | Invg | 0.10 | 2.00 | 0.37 | 2.52 | 0.19 | 0.07 |
| σi | Invg | 0.10 | 2.00 | 3.70 | 0.39 | 2.27 | 0.27 |
| σd | Invg | 0.10 | 2.00 | 1.47 | 0.32 | 1.49 | 0.19 |
| σh | Invg | 0.10 | 2.00 | 2.28 | 0.19 | 0.05 | 0.02 |
| σtp | Invg | 0.10 | 2.00 | 0.05 | 0.00 | 0.02 | 0.00 |
| σΔy | 0.36 |
| σΔc | 0.18 |
| σΔi | 1.00 |
| σΔd | 1.00 |
| σΔh | 1.00 |
| σl | 0.70 |
| σfd | 0.13 |
| σfh | 0.13 |
| σfi | 0.13 |
| σΔp | 0.18 |