
Keywords: Granularity adjustment, idiosyncratic risk, portfolio credit risk, value-at-risk, expected shortfall
Abstract:
In the portfolio risk-factor frameworks that underpin both industry models of credit value-at-risk (VaR) and the Internal Ratings-Based (IRB) risk weights of Basel II, credit risk in a portfolio arises from two sources, systematic and idiosyncratic. Systematic factors represent the effect of unexpected changes in macroeconomic and financial market conditions on the performance of borrowers. Borrowers may differ in their degree of sensitivity to systematic risk, but few firms are completely insulated from the wider economic conditions in which they operate. Therefore, the systematic component of portfolio risk is unavoidable and only partly diversifiable. Idiosyncratic factors represent the risks that are particular to individual borrowers. As a portfolio becomes more fine-grained, in the sense that the largest individual exposures account for a vanishing share of total portfolio exposure, idiosyncratic risk is diversified away at the portfolio level.
In some settings, including the IRB approach of Basel II, the computation of VaR is dramatically simplified if it is assumed that bank portfolios are perfectly fine-grained, that is, that idiosyncratic risk has been fully diversified away, so that portfolio loss depends only on systematic risk. Real-world portfolios are not, of course, perfectly fine-grained. When there are material name concentrations of exposure, there will be a residual of undiversified idiosyncratic risk in the portfolio. The impact of undiversified idiosyncratic risk on VaR can be approximated analytically via a methodology known as granularity adjustment. In principle, the granularity adjustment (GA) can be applied to any risk-factor model of portfolio credit risk. Thus far, however, analytical results have been derived only for simple models of actuarial loss, i.e., credit loss due to default. The implicit view appears to be that the GA would be tedious to derive, or perhaps even intractable, for the more complicated models of mark-to-market credit loss. Large banks typically model credit loss in market value terms, and even the model underpinning the IRB approach of Basel II is in this advanced class.1 In this paper, we demonstrate that the GA is in fact entirely tractable for a large class of models that includes single-factor versions of all the commonly used mark-to-market approaches. If notation is chosen judiciously, the resulting derivations and calculations are concise and straightforward.
In Section 1, we review the established results in the literature on granularity adjustment and introduce the basic notation. Our general solution for mark-to-market models is given in Section 2. This solution covers both finite ratings-based models and models with a continuum of obligor states. In Section 3, we apply our methodology to CreditMetrics and KMV Portfolio Manager as these are the benchmark models for the finite and continuous classes, respectively. Comparative statics with respect to model parameters are explored in Section 4. Some of the comparative statics appear counterintuitive at first glance, so in Section 5 we explain these results with a stylized model of portfolio risk.
For simplicity in exposition, we first consider risk-measurement for a portfolio of
homogeneous positions. We wish to model the portfolio loss rate,
, at a fixed horizon
with current time normalized to
. Let
denote the loss at the horizon on position
(expressed as a percentage of current value), so that the portfolio loss rate is simply
Let
denote the set of systematic risk factors that are realized at the horizon. A critical assumption of all risk-factor portfolio models is that all dependence in loss across positions
is due to common dependence on
, so that
is independent of
when conditioned on
. As
grows to infinity, all idiosyncratic sources of risk vanish, so
, almost surely. This implies that
as
. This result is especially useful when
is univariate and
conditional expected loss is increasing in
, and we henceforth impose these assumptions. Subject to mild restrictions,
is equal to
, which is easily calculated in analytical form.
The difference
represents the effect of undiversified idiosyncratic risk in the portfolio. This
difference cannot be obtained in analytical form, but we can construct an asymptotic approximation in orders of
.
The GA extends naturally to heterogeneous portfolios. Let
be the current size of exposure
. This is the face value of the instrument in an actuarial setting, and is the current market value in a mark-to-market setting. Let
be the portfolio weights. Imposing minor restrictions on the sequence
so that the
as
(see Assumption (
) in Gordy, 2003), we have
The GA of equation (4) applies under either accounting paradigm for loss.3 Under an actuarial definition, loss
on position
is the product of a default indicator for
and the loss given default (LGD) suffered on that position. LGD is expressed as a percentage of exposure and may itself be stochastic. Heretofore, all applications of the GA to portfolio credit risk have been in an actuarial
setting. Wilde (2001) provides analytical solutions to equation (4) for the CreditRisk
model and for an actuarial version of
the CreditMetrics model. Analysis of CreditMetrics is developed further by Emmer and Tasche (2005). Even for the special case of a homogeneous portfolio and zero recovery on defaulted loans, the Emmer and Tasche solution suggests some complexity. Expressed in the
notation to be introduced below, we have
The original result, in Emmer and Tasche (2005, Remark 2.3), incorrectly has a minus sign in place of the second plus sign on the second line of equation (5). The same sign error is found in the more general result in Proposition 2.2 of that paper. The obscurity of this error, which we believe has not been noticed until now, perhaps reflects the opacity of the formulae.
In a mark-to-market setting, "loss" is an ambiguous concept. One needs to choose a reference point (i.e., the value of the instrument that counts as zero loss) and a convention for discounting to the present. A typical definition is the difference between expected return and realized return,
discounted back to today at the riskfree rate. Return is defined as the ratio of market value at the horizon (inclusive of cashflows received during the period
, accrued to the horizon
at the riskfree rate) to the current market value. We adopt this convention, but note that it is generally trivial to modify our results to accommodate other definitions.
To formalize, let
be the money market fund, i.e.,
is the value at
of a unit of currency invested at date
in a riskless continuously compounded
money market fund. We can write this as

Let
denote the conditional expected return
as a function of
,
and similarly define




In many commonly-used models, the distribution of
is such that
takes a simple form. This is most notably the case when
is normally
distributed (as in the models considered in Section 3), for which we have
. Here it can be convenient to apply the product rule to the derivative in the GA formula, and arrive at
We have thus far assumed that value-at-risk is the risk-measure of interest. A popular alternative to VaR is expected shortfall (ES). When portfolio loss has continuous distribution, this is defined as

Finally, in some models conditional expected loss is monotonically decreasing in
. The above results continue to hold, but with
everywhere replaced by
and the sign on
reversed.
To implement the GA, we require tractable expressions for the conditional expected return and conditional variance of return as functions of the realization of
. We consider first the
class of credit risk models in which the condition of obligors at the horizon is represented by a finite state space. This includes the important class of ratings-based models, for which the "state" is the obligor's rating at the horizon.
Let
be the set of possible obligor states at the horizon. These states are enumerated as
. Let
be the state for obligor
at the
horizon. When the states are S&P rating grades, for example, the obligor has defaulted if
, migrated to CCC if
, and so on up to
for migration to AAA.
In all ratings-based models, the return
depends on the horizon rating
. More generally, we might expect
to be influenced by the systematic factor
, as prevailing
spreads for a given rating grade typically increase during a credit market downturn. There may also be idiosyncratic influences on the value at the horizon. Many current models allow for idiosyncratic recovery risk (i.e., random LGD) in the default state, and the models could (in principle) easily
be extended to allow for idiosyncratic spread risk in non-default states. In our framework, we allow for all three sources of risk.
We decompose the conditional expected value by further conditioning on horizon state:

We proceed similarly for the conditional variance:
|
|
![]() |
We now turn to the class of credit risk models in which the obligor state at the horizon can take on a continuum of values. This includes structural approaches based on the Merton (1974) model in which obligor credit risk can be measured by the standardized distance between the obligor's asset value and default threshold. In industry practice, KMV Portfolio Manager is the most widely-used implementation of this approach.
As before,
is the set of possible obligor states at the horizon. Typically we would have
, but that is not strictly necessary for our purposes. Adapting our earlier notation, let
be the conditional probability density function for
, and let

In both the discrete and continuous state space cases, the derivative of the inner product is given by the usual product rule, e.g.,

To apply the results of the previous section to a given model, we need to have tractable and differentiable expressions for the
,
and
functions. For the models most widely-used in practice, these functions are indeed easily obtained and even more easily differentiated. We demonstrate with application
to CreditMetrics and KMV Portfolio Manager, as these are the benchmark models for the finite and continuous classes, respectively.
CreditMetrics is perhaps the most widely-known industry model of portfolio credit risk.4 The model is loosely styled on the classic structural model of
Merton (1974), but is calibrated to credit ratings rather than equity price and balance sheet information. Obligor rating is taken as a sufficient statistic of the term-structure of firm default risk on a single-name basis, and rating transitions are assumed to follow a
time-homogeneous Markov chain. This implies that the unconditional distribution over horizon rating depends only on current rating. We write
for the probability of transition from current grade
to
grade
at the horizon.
Associated with obligor
is a latent "asset return" variable
, which is assumed to be distributed
. The real line is partitioned into "bins" corresponding to the possible state outcomes in
. Given current rating
, the obligor defaults if
, transitions to CCC if
, and so on, for fixed bin threshold values

To induce dependence across obligors, we decompose the asset returns as
Relative to the general framework of Section 2, CreditMetrics imposes simplifying assumptions on the distribution of return in each state. Market credit spreads at the horizon are taken as deterministic functions of rating grade. In the case of default, there is only idiosyncratic risk in recovery. Therefore, for all horizon states,
The return in the default state is affine in the recovery rate
. For example, say we have a loan with biannual coupons of
,
face value of 1, and current value
. If we assume that default occurs just before the horizon of
year, then the first coupon is received and the second is accrued into the claim. The return in the default state is therefore
. In the CreditMetrics model, it is assumed that
is drawn as an independent beta-distributed random variable with specified mean
and variance
, which implies that
is affine in
and
is affine in
. For parsimony in data requirements, it is usually assumed that
At this point in the analysis, only the state returns
remain to be calculated. In the original version of CreditMetrics, as documented by Gupton et al. (1997), pricing at the horizon followed
a discounted contractual cashflow approach. For greater internal consistency, later versions of CreditMetrics adopted a modified version of the Hull and White (2000) methodology. In this approach, the term-structures of risk-neutral default probabilities for each grade
are backed out from the observed term-structures of ratings-based credit spreads. It is then trivial to obtain prices for each obligor rating at the horizon by summing the discounted expected cashflows. For our purposes in this paper, either methodology (or, indeed, any number of other pricing
methodologies) can be used. One must be able to calculate the return in each obligor state in order to implement CreditMetrics, so the calculation of the
imposes no burden that is peculiar to granularity adjustment.
Finally, we note that the GA for the actuarial version of CreditMetrics can be obtained as a special case with our general framework. To calculate the actuarial GA, fix
for all non-default
,
and
, and fix both the coupon rate and the riskfree rate to zero. The GA formula of Emmer and Tasche (2005)
is a special case of our formula in which ELGD is fixed to 1 and VLGD to zero.
Like CreditMetrics, Moody's KMV model is based on the classic structural model of Merton (1974). Whereas CreditMetrics takes a stylized approach to the model, KMV is firmly grounded in the substance of the structural relationship between firm asset value and debt performance. The model can be divided into two components. Default prediction (i.e., estimation of the term-structure of firm default probabilities, or "EDFs") is provided by KMV Credit Monitor (Crosbie and Bohn, 2003; Kealhofer, 2003a). Portfolio risk is assessed by KMV Portfolio Manager (Kealhofer and Bohn, 2001). We develop the GA for version 1.4 of KMV Portfolio Manager, and note that the current version of the model may differ in important respects.
The portfolio model takes as input the term-structure of EDFs for each obligor in the portfolio, and we do the same here. Specifically, for each firm
, we take as input parameters the
probability of default at or before the horizon (
) and the probability of default at or before loan maturity (
).
In the structural approach, default occurs when asset value falls short of the fixed liabilities of the firm at
. We take as the obligor state variable the log return on firm assets. The
asset value is assumed to follow a geometric Brownian motion with drift under the physical measure, so that
The domain of possible states at the horizon is the real line. Because the shocks are normally distributed, it is easily seen that the cdf of
is

The conditional distribution of
is also Gaussian. It is easily seen that the conditional density is
The KMV pricing algorithm differs from that of CreditMetrics, but shares the important assumptions that market value at the horizon is a deterministic function of obligor state for surviving obligors, and that, in the case of default, there is only idiosyncratic risk in recovery. Therefore, for all horizon states,
The KMV pricing methodology separates future contractual cashflows into riskless and risky components. If recovery were deterministic, we would write for the price
of a loan at time
![]()
In the event of default at or before the horizon, the value at the horizon is
. While this recovery value is stochastic, it is invariant with respect to
, so we can write
![]() |
|||
![]() |
In the event of survival, the return is
. We write
as a function of horizon state because of
the dependence of
on
. The calculation of
is detailed in Gordy, Heitfield, and Jones (in progress). As we have noted in the context of the CreditMetrics model, one must be
able to calculate the return in each obligor state in order to implement the portfolio model, so the calculation of the
imposes no burden that is peculiar to granularity adjustment.
In this section, we explore the comparative statics of the granularity adjustment with special emphasis on the parameters that do not appear under the actuarial paradigm. For the sake of clarity, we adopt the CreditMetrics model in a stylized setting with two non-default rating grades
(
). We consider a portfolio that is homogeneous in all respects other than initial credit rating, i.e., all loans are of equal size and have the same
and
, and all obligors have the same asset correlation
.
If all obligors were of the same initial rating as well, then we know from equation (3) that the GA can be written as
for
that depends on model parameters but not on
. When obligors are not of the same initial
rating, the GA can still be written as
if we fix the share of each rating grade in the portfolio. We present the comparative statics in terms of
to avoid dependence on the choice of
.
We parameterize the matrix of unconditional transition probabilities (under the physical measure) as in Table 1. Default probabilities are
and
. In our baseline parameterization, we set
to 15 basis points (bp) and
to 300bp, so that grades A and B represent the investment and speculative grades, respectively. Conditional on survival, the probability of remaining in the initial grade
is
. Agency ratings are known to be "sticky" (Löffler, 2004;
Altman and Rijken, 2004), so we set
.
Our baseline portfolio is composed of equal numbers of grade A and grade B loans. Each loan has face value 1, ELGD of 50%, and maturity of 3 years. Coupons are paid biannually. In the event of default, it is assumed that the first coupon is received in full, and the second coupon is accrued into
the legal claim in bankruptcy. Asset correlation is fixed at
. The riskfree rate is a constant
and the variance parameter for LGD is
. The horizon is
year and the target solvency
probability is
.
For consistency with the current generation of CreditMetrics, we use the pricing approach of Hull and White (2000). This requires that we have for each obligor the term-structure of risk-neutral cumulative default probabilities, which in practical application is
extracted from the observed term-structure of credit spreads. For our purposes, a parametric approach is preferable, so we obtain the risk-neutral term structure of default probabilities by adding a parameterized risk-premium to the term structure of default probabilities under the physical
measure. Since the CreditMetrics model assumes that ratings follow a time-homogeneous Markov process, we can take powers of the transition matrix in Table 1 to obtain the physical cumulative default probability at any horizon. Let
denote the physical probability of default between time
and time
for an obligor in grade
at time
. The Markovian structure of the model implies that
. We convert to risk-neutral probabilities
as in the KMV model:
Our comparative statics are total derivatives. As parameter values change, the par coupon for the loans will change as well. To take the total derivative of
with respect to,
say,
, we maintain the initial par value of each loan by changing the coupon to its par value for each value of
. This approach is most consistent with economic intuition.
We first explore sensitivity of asymptotic VaR and the GA to parameters that appear in both the MtM and actuarial models, starting with default probabilities
. In the upper panel of Figure 1, we vary
from zero to 300bp while holding
fixed to its baseline value of 300bp. In the lower panel, we vary
from 15bp to 1500bp while holding
fixed to its baseline value of 15bp. As we should expect, asymptotic VaR, denoted
and defined as
, is increasing monotonically with both default probabilities under both actuarial and MtM paradigms.5 VaR is larger in the MtM setting because it captures migration risk and loss of coupon income in the event of default. When
, migration risk is eliminated, so the two views of risk are nearly equivalent.
Comparative statics for the GA are displayed in Figure 1. Except at low values of
, the GA increases in the default probabilities. The intuition, which we will develop in greater detail in Section 5, is that extreme losses in
the finite portfolio case are most likely to be generated by a combination of unfavorable systematic and idiosyncratic draws, rather than by systematic risk alone. Default events induce larger loss than downgrades, so the idiosyncratic effect will manifest as a higher than conditionally expected
default rate. This implies that VaR is more sensitive to default risk than asymptotic
, and therefore that the gap between them should increase with
.
This intuition breaks down when the grade A default probability is very low. For small
, it takes a large (and therefore unlikely) idiosyncratic shock to cause a grade A firm to default even when
. Consequently, for any given realization of the set of idiosyncratic shocks (i.e., the
of equation (12)), portfolio loss is largest for permutations that disproportionately assign negative shocks to grade B firms. As the
scenarios associated with VaR in the finite portfolio case will be disproportionately driven by grade B defaults, VaR must be less sensitive to
than asymptotic
. For this counterintuitive effect to be observed, we must have positive portfolio shares in at least two non-default grades. If we have only a single
non-default grade, then
is strictly increasing with the unconditional default probability.
The relative impact of the GA is plotted in Figure 1. For a portfolio of
, define the relative impact as the ratio of the GA to VaR, where the portfolio
VaR is approximated as the sum of asymptotic
and the GA, i.e.,
The effect of portfolio quality on asymptotic
and the GA is consistent with the comparative statics for default probabilities. We find that
and the GA both fall with the share of grade A in the portfolio. The MtM
exceeds the actuarial
at all values of the investment-grade share, but the actuarial GA exceeds the MtM GA. On a relative impact basis, we find that the size of the GA is increasing
with the share of grade A.
Comparative statics for recovery rates, shown in Figure 2, are also similar to those for default probabilities. Both asymptotic
and the GA increase with ELGD. The relationships are exactly linear in the actuarial setting, and nearly non-linear in the MtM case (i.e., there is a slight
non-linearity due to the effect of ELGD on par spread). The GA increases with ELGD because ELGD controls the magnitude of loss in the default state and, as we have just observed, the finite-portfolio VaR is more sensitive than the asymptotic
to default risk.
Comparative statics for asset correlation are relatively straightforward. As shown in the upper panel of Figure 3, asymptotic VaR is strictly increasing in
. At
, all risk is diversifiable, so
is zero. At
, asset returns are comonotonic.
So long as
, all borrowers default in the state
, and
is determined primarily by
. Between these two extremes,
increases monotonically.
The effect of asset correlation on the GA runs in the opposite direction, as seen in the bottom panel of Figure 3. The greater is
, the smaller the
impact of idiosyncratic risk on asset returns, so the smaller the contribution of idiosyncratic risk to VaR. As
falls to zero, one can show analytically that
tends to infinity. As
increases to one,
can tend to negative infinity (when
and
) or to zero (when
or when
), or even to positive infinity (in a subset of the remaining cases). At these endpoints, the asymptotic series underpinning equation (3) diverges, so the first-order GA becomes an unreliable measure of the gap between VaR and asymptotic
.6 Nonetheless,
negative values for
are not just an artifact. When
is near one, the
density of the loss distribution becomes multimodal, and in this circumstance asymptotic
can exceed VaR. Martin and Tasche (2007) explain this phenomenon as a concomitant of the failure of sub-additivity in VaR and prove
that the granularity adjustment for expected shortfall is always positive.
We can assess the impact of recovery risk through the comparative static with respect to
. Asymptotic VaR is invariant with respect to idiosyncratic recovery risk, so is invariant with respect to
. The GA is linear and increasing in
, so also is linear and increasing in
. The effect is generally large. In our baseline example, the slope
is 1.004 for the MtM model and 1.092 for the actuarial model.
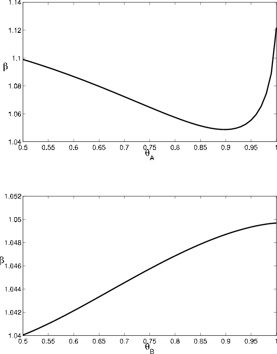
We now turn to the parameters that influence risk under the mark-to-market paradigm, but not the actuarial model. The parameter
controls the degree of stickiness in ratings,
conditional on survival to the horizon. In an actuarial setting, asymptotic
and the GA are invariant with respect to non-default transition likelihood. The comparative statics in the MtM setting are somewhat complicated and perhaps
surprising. Consider first the effect of varying
on asymptotic
. As
increases, the conditional and
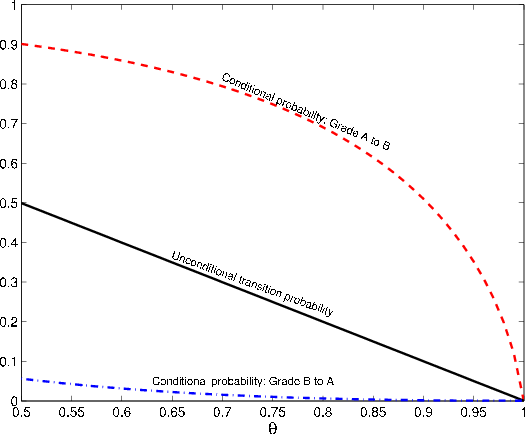
unconditional probabilities of transition from B to A both fall towards zero. Because the conditional probability is already low (i.e., one expects few upgrades when conditioning on a bad systematic draw), the unconditional probability falls by more than the conditional probability, as seen in
Figure 4. This closes the gap between
and
, so reduces
(lower panel of Figure 5).
For
, the story is somewhat more complicated. As seen in Figure 4, the gap between the conditional and unconditional probability of transition from A
to B is fairly constant over
and then converges rapidly to zero as
increases
towards one. In the lower range, the effect on
is dominated by the indirect effect on par coupon rates: as
increases, the par coupon for grade A falls, so the return
associated with downgrade to B is reduced.7 The probability weight on
is greater under the conditional distribution than the unconditional, so the gap between
and
widens. However, in the upper range of
values, the rapid convergence of
towards
dominates, and this causes
to decrease with
. This non-monotonic
behavior is observed in the upper panel of Figure 5.
The comparative statics for the GA as a function of
, displayed in Figure 5, are the mirror image of the comparative statics for VaR. The intuition
is similar to the explanation for the comparative statics with respect to the
. Relative to asymptotic
, finite portfolio VaR is more sensitive to default risk and less sensitive to migration risk. This implies that the GA will increase (decrease) with
whenever
decreases (increases) with
.
Loan maturity increases the sensitivity of returns to rating migration, so asymptotic
increases with maturity. At long maturities, the return distribution reflects the long-run steady-state of the rating process, so the relationship becomes flat.
This is seen in Figure 6, where we plot VaR against maturity (log-scale) in the upper panel. Similar to the phenomenom observed in the comparative statics for
, and indeed for the very same reason, the comparative statics for GA (lower panel) with respect to maturity are the mirror image of the comparative statics for asymptotic
.
Comparative statics with respect to the market Sharpe ratio parameter follow the same logic. The higher the risk premium
, the larger the loss associated with downward migration, so the higher the asymptotic
(upper panel of Figure 7). Parallel to the pattern observed for
and maturity, the comparative statics for the GA with respect to
are the mirror image of the comparative statics for
(lower panel).
Finally, comparative statics for the riskfree rate are quite straightforward. Both VaR and the GA decline in near linear fashion with the money market return
, because the riskfree
rate has a minimal effect on valuation at the horizon.
For parameters governing migration risk in CreditMetrics, we have observed a curious "mirror image" pattern, whereby the comparative static for the GA is of opposite sign to the comparative static for asymptotic
. For parameters governing default risk, by contrast, both
and the GA are increasing (except in one corner of the parameter space). In this section, we shed light on these phenomena using a stylized model of portfolio
risk. The comparative statics of this simple model lack the complexity and nuance of the patterns in CreditMetrics, but the most salient characteristics are preserved.
We assume a homogeneous portfolio of
positions and specify the return on position
as

Let the risk factor
be distributed Beta
on the unit interval. Conditional on
, the
state probabilities for
are
. The
are assumed to be mutually independent and independent of
and
all other risks. Conditional on
,
is the only source of uncertainty, so
.
If we assume for parsimony that investors are risk-neutral, then in equilibrium the constant
is chosen so that
. This is solved analytically as
Besides the portfolio size
, the model has only five parameters:
. The parameter of greatest interest is
, because it determines the magnitude of loss in the downgrade state (
). Parameter
determines the magnitude of loss in the default state (
), and corresponds most directly to ELGD in CreditMetrics. We restrict
, so that default induces larger loss than downgrade. Parameters
jointly control the distribution of systematic risk. The higher is
relative to
, the higher the probability of the "good state,"
. Increasing both parameters in proportion leaves the expected value of
unchanged but shrinks its variance. In our examples below, we fix
and take
as our baseline value. The final parameter has the narrow purpose of smoothing the return distribution. We aim to choose the smallest value that will be sufficient to
eliminate humps in the density function. In our examples below, we fix
.
The model yields analytical solutions for the GA and for the moments, density and cdf of the return distribution. It is already clear that we have simple expressions for the conditional mean
and variance
and for the derivatives of these functions. For the beta density for
, we have

![]() |
|||
![]() |
![]() |
(22) |
In Figure 8, we plot the density of the return distribution under our baseline parameter assumptions. The coefficients of skewness and kurtosis are -2.3 and 10.1, respectively, which is qualitatively suitable for the distribution of log-return in a credit
portfolio.8 If we decrease
or increase
, the distribution would flatten out and become less asymmetric.
Asymptotic VaR for this model is easily obtained:
![]() |
|
![]() |
(23) |
Comparative statics for the GA are depicted in Figure 9.9 As shown in the upper panel,
is increasing with
. The relationship for
, shown in the lower panel, is non-monotonic. The slope
is decreasing with
at low values of
and increasing at higher values of
. In practical application,
takes on low values (less than the baseline value of 0.2) because loss due to downgrade is generally much smaller than loss due to default.10 Thus, as observed for CreditMetrics, the GA in this model can increase with default loss and decrease with migration loss while asymptotic
is increasing in both parameters.
The GA is decreasing in
because migration risk has a smaller impact on VaR for the finite portfolio than it does for the asymptotic portfolio. To see this, consider first the probability of
downgrade,
, conditional on a given level of portfolio loss, i.e.,
. For the finite portfolio case,

Under baseline parameter values, we have that
Now consider that the conditional downgrade probability is decreasing in
in the tail of the loss distribution, as we see in the upper panel of Figure 11. As noted earlier, this is because the conditional default probability (plotted in the lower panel) "steals" mass from the conditional downgrade probability at extreme levels of loss. Thus, we have
Granularity adjustment is useful as a gauge of how well a bank has diversified idiosyncratic risk. The results of this paper ease the way for application of the GA methodology to the mark-to-market models that are favored by more sophisticated financial institutions. We have demonstrated that the GA is analytically tractable for a large class of mark-to-market models of portfolio credit risk. This class is restrictive in imposing a single systematic factor, but in other respects is much more general than the models observed in practical application. In particular, we allow in our analysis for spreads at the horizon to depend on the realization of the systematic factor.
We derive explicit expressions for the GA for CreditMetrics and KMV Portfolio Manager. As an application, we explore the comparative statics of the GA in CreditMetrics, and find relationships that are sometimes non-monotonic and sometimes counterintuitive. In particular, we observe that the
comparative statics for the GA with respect to transition probabilities, maturity, and the market risk premium are essentially mirror images of the corresponding comparative statics for asymptotic
. We have argued that this phenomenon has a single explanation: The presence of idiosyncratic risk in the finite portfolio implies that a tail loss event need
not be ascribed exclusively to an unfavorable tail realization of
. Rather, extreme losses in the finite portfolio case are most likely to be generated by a combination of unfavorable
systematic and idiosyncratic draws. Default events induce larger loss than downgrades, so the idiosyncratic effect will manifest as a higher than conditionally expected default rate. This implies that VaR is more sensitive to default risk and less sensitive to migration risk than asymptotic
. As the GA is the difference between VaR and
, the comparative statics for the GA with respect to migration risk parameters must be opposite in sign to the corresponding comparative statics for asymptotic
.
In the absence of an analytical expression for the GA, this phenomenon would have been difficult to uncover. Estimation of the GA by simulation is difficult enough, because simulation noise tends to swamp the small gap between VaR and asymptotic
. Clean simulation-based estimates of the comparative statics would have been even more challenging.
In this appendix, we obtain parameter restrictions sufficient to guarantee that asymptotic
will increase with the state return parameters. The necessary and sufficient condition for
to increase with
is


For the downgrade state (
), the left and right hand sides of condition (24) are non-monotonic, i.e.,

![]() |
![]() |
![]() |
![]() |