
Keywords: Inequality, growth, income distribution, standard of living
Abstract:
Rising levels of inequality in wages, income, and wealth, in the US and in most developed counties, have been well-documented for many years now.3 Increasingly, research on the topic of inequality has turned from documenting levels and trends in the distribution of income to examining the economic and social effects of inequality. The burgeoning literature investigating the effects of this increased disparity on health and economic growth is evidence of this trend.4 This is an important direction for research because normative concerns over greater within-country inequality are not universally shared. Accordingly, evidence about the effect of inequality is needed to inform judgments about whether it merits policymaking attention.
Often "too much" inequality or rising levels of inequality are considered unfair because they violate widely shared values related to the distribution of wealth and appropriate rewards for hard work.5 Other arguments, however, suggest that increased inequality is not a problem, as it offers larger incentives to entrepreneurs and investors, creating increased economic growth, which will generate benefits for everyone.6 Those sentiments are at the core of arguments behind "trickle-down" economic policy. In this study, we empirically test one key component of those claims - whether or not greater inequality raises the standard of living of non-affluent households. Using state-level data on income levels from the Current Population Survey and the distribution of income from Internal Revenue Service tax data, the paper examines the effects of increases in the share of income going to the top 10% and top 1% of the distribution since the late 1970s on the actual incomes of middle and low-income households.
The findings indicate that household income at the bottom and in the middle of the distribution does not rise following increases in the share of income held by affluent households. Instead, after allowing inequality to have a lagged effect over many years, the income of low and middle-income households appears to fall as top shares rise. This pattern is present in both income and earnings, for low and middle-income households, and using different top share measures.
When we include additional covariates to explore the mechanisms through which top shares influence earnings and income levels, however, these relationships appear diminished - both in magnitudes and the number of specifications where key coefficients are statistically different from zero. Changes in industrial composition, the age of the population, and housing prices explain some, though not all, of the correlation between top shares and income and earnings. Including all of the significant covariates, the lagged top share measures continue to have a negative, though weaker, effect on income and earnings. When looking at the effects of increases in the Top 1% share of income on the income and earnings of families in the middle of the income distribution, the results remain negative and, in half of the cases, significant. For low-income families, however, there does not appear to be a clear or consistent relationship between rising top shares and income or earnings once the full range of covariates is included.
This study's finding that household income near the middle of the distribution falls in response to rising top shares is consistent with previous research into the relationship between inequality and overall economic growth, even those studies that found a positive relationship. The empirical literature on the effects of inequality on economic growth remains inconclusive, with some studies finding negative effects and others finding positive effects. In studies finding that inequality has positive effects on growth, the size of the effect may be sufficiently weak that it does not make up for the lost income of middle and low-income families (from the initial loss resulting from the shift in the distribution) over most examined time horizons. Total income may grow faster, but not fast enough to return incomes of the non-affluent to their pre-inequality levels.
The paper proceeds by giving a brief motivation for using state-level data to investigate the relationship between inequality and standards of living at different places in the income distribution. It then reviews the literature assessing the relationship between inequality and economic growth, and demonstrates that findings from this literature, even when the relationship is positive, do not indicate effects on income levels of families at the bottom and the middle of the income distribution. Then the paper describes the empirical model and the panel data used in the regression analysis. Finally, we present the findings of panel data regressions and discuss some potential explanation for these findings and areas for future research.
One obvious response to claims that rising inequality leads to a higher standard of living is to point out that median family income has grown very slowly since key measures of inequality started to increase rapidly in the 1980s (See Figure 1, A). Prior to the late 1970s, inequality was flat according to top shares and most other inequality measures, but family incomes rose consistently and broadly. Since the late 1970s inequality has soared, but growth in median family incomes has slowed substantially. From this perspective, it is difficult to substantiate the claim that rising inequality leads to higher incomes.
However, the pattern of changes in both inequality and median family income is decidedly more nuanced if we examine the entire series. Median family income growth faltered at the end of the 1960s, but inequality did not begin its rapid ascent until the beginning of the early 1980s. Focusing on the period when inequality began its ascent, we see that both median family income and top income shares rise and fall together (Figure 1, B). Each of the variables is highly cyclical; median family income and the top-income share both rise in expansions and fall in recessions, regardless of any potential causal relationship between the two.
A key part of our strategy to identify the relationship between median family incomes and inequality is to use state-level data. Using panel data for the 50 states and the District of Columbia from the late 1970s until the late 2000s, we can identify the effect of inequality on household incomes at different points in the income distribution while also accounting for the influence of omitted factors shared across all states and state-specific idiosyncratic factors. Using the variation in inequality over time across states will allow us to identify the relationship between increases in top income shares and the level of income among non-affluent households. The regression analysis determines whether states with above average increases in inequality also experience above average increases in family incomes, while controlling for relevant economic factors, such as unemployment, hours worked, and industrial composition.
There are also limitations to relying on state-level variation to identify the relationship between top shares and income levels. We will not be able to measure the influence of any channels through which top shares affect income if they function primarily at the national or international level. Those effects, which potentially could include "superstar" labor markets or factors that broadly raise returns to investment income relative to labor income, will likely be washed out by our fixed effects.
None of the state-level studies of the relationship between inequality and economic growth have explored the implicit effects on incomes of households further down the distribution. However, we can use the findings of Frank (2009) - a two standard deviation increase in the income share of the top decile raises the growth rate by .072% - to carry out similar calculations as Andrews, Jencks, and Leigh (2011). This acts as a simple assessment of the potential for "trickle down" if inequality has a small but positive effect on overall growth. We use Frank's findings as a baseline since his is a recent study that uses state-level data over most of the post-war period. Frank concludes that higher levels of inequality boost economic growth. Our calculations show, however, that Frank's reported growth effects are not large enough to produce higher incomes, using reasonable accounting periods and discount rates, for the bottom 90 percent. The increased growth effect of rising inequality is not sufficient to make up for the lost income at the bottom and middle of the income distribution that stems from the initial shift in the distribution toward high income housheolds.
The small size of the growth effects is reflected in Figure 2. With no increase in inequality over the next 75 years, total real per-capita income is projected to rise more than 450 percent.12 Frank's findings suggest that greater income concentration would result in 478 percent increase. Figure 2A shows the effect of an increase in the income share held by the top 10% on per-capita personal incomes of the bottom 90% of the distribution. The figure shows the difference between per-capita income in a stable inequality scenario and in an increased inequality scenario. Initially, the stable inequality scenario produces higher incomes for the bottom 90%-the increase in inequality causes a decrease in per capita incomes relative to the stable inequality scenario. It takes 68 years for the faster rate of economic growth caused by higher inequality to produce enough income growth for the bottom 90% of the income distribution to match per-capita income under the stable inequality scenario.
However, this preliminary result does not use any discount rate to incorporate the change in value of money over time. Greater inequality results in income losses at the middle and bottom of the income distribution today; while it may produce greater income in later years, an equivalent amount of money is worth more today than it will be in the future. Figure 2B reproduces the previous simulation using two different discount rates. Under a generous 3% discount rate, the net present values of the two streams of income for the bottom 90% of the distribution (stable inequality versus higher inequality scenarios) does not equalize until 165 years. Using a more modest 5% discount rate, the net present value of the stream of income under increased inequality never returns to the level seen under a stable inequality scenario.
This assessment suggests that income losses experienced by the bottom 90% of households when the top 10% increases its share are not compensated for by increased economic growth. This section demonstrates that even though the literature on the relationship between inequality and growth is inconclusive, assuming a small positive effect of inequality on overall growth does not necessarily mean that most of the population will experience higher income growth. This motivates the need for a more direct consideration of the effects of inequality on income levels in the bottom 90% of the income distribution.
A direct examination of the effects of inequality on income levels using state-level panel data and high-income shares as the measure of inequality is the final piece of the analysis. Instead of simulating the implied income levels using findings from Frank (2009), this section uses a similar econometric approach as much of the recent growth literature, but uses average income (earnings) levels for middle and low-income families as the dependent variable.
For the state panel approach to yield valid results, there needs to be sufficient variation across the states in the extent to which inequality has increased. Figure 3, a state-level scatterplot of top income shares in 1980 and 2005 for the top 10% (Figure 3A) and the top 1% (Figure 3B) illustrates ample cross-state variation. For the top 10% share, the standard deviation was 1.5 (mean 31.4) in 1980 and 4.0 (mean 44.1) in 2005. The Northwest and Southeast quandrants on the scatter-plots also indicate a number of states with below (above) average top-share measures in 1980 rising (falling) above (below) the national average by 2005. Figure 4 further demonstrates how the top 10% share measure has evolved for all states over the full set of years. Top shares have risen for all states, but the rise has not been equal for all states. The dispersion around the national mean has increased steadily. Some states which previously had top shares close to the national average slowly emerged as relatively high or low inequality states. The cases of Connecticut and Iowa are highlighted in the figure: both states had top shares very close to the national average in the 1960s, but Connecticut has developed among the highest top shares and Iowa among the lowest. Figure 4 also includes the national measure calculated by Piketty and Saez (2003-updated) using IRS administrative data. While Piketty and Saez's top ten percent share is consistently higher than the national average calculated using Frank's (2009) data, the two series follow the same trend.
For a fixed-effects specification to be valid, the variation in the inequality data must also be primarily over time, not cross-sectional. Over the period studied here (1979 to 2005) more than 70 percent of the variation in the top share measures is within states.
The state panel data model we are estimating can be written:
| (1) |
The dependent variable is average group income, where "g" indicates the group (middle-income or low-income) "t" is the time period (year), and "i" is the state. TOPSHARE is the lagged measure of inequality
- either the top 10% share of income or the top 1% share - that is lagged (n) between one and fifteen years depending on the specification. X represents a matrix of control variables, which vary over time and state. Some control variables are group-specific. The
and
represents state and year fixed effects, respectively, which control for unobserved and time-invariant factors unique to each state, and for factors shared by all of the states that
are unique to each year. We also include a linear time trend for each state,
. Initially we estimate (1) using a state panel fixed effects estimator (xtreg, fe) only including the TOPSHARE measures and the additional year fixed effects and the state-level
time trends.
The top share measures of inequality (TOP10 and TOP1) are calculated from IRS tax return data by Frank (2009).13 Frank's top shares data are available from 1916 to 2005. Average income levels for middle and low-income groups by state are calculated using the March Current Population Survey (CPS), but the yearly income data in the CPS are only available starting in 1979, so the regressions reported below are for 1979 to 2005. The household income definition in the CPS ("money income") includes earnings from work as well as investment, as well as some transfer payments.14 Capital gains income is not included, and neither are in-kind benefits such as "food stamps." The earnings dependent variable combines earnings from all jobs for all household members.
In the results presented below "middle-income" includes households between the 35
and 70
percentiles of the income distribution, and "low-income" includes households between the 5
and 30
percentiles.15
In the baseline specifications we regress group income on a one-year lag of the top-share value. We also allow the lag structure to vary, and include a specification with 5, 10, and 15 year lags. We explored using longer-term lags than 15 years (as high as 25 years), but coefficients on these longer lags are very small, do not have any consistent sign, and are not significantly different from zero.
Next we include a variety of control variables. The matrix of control variables is consistent with those included in the studies exploring the growth effects of inequality using US state panels, Partridge (2004), Panizza (2002), and Frank (2009). The control variables include time and state-varying economic factors which are expected to be correlated with both income and top shares, including hours worked, the state unemployment rate, the rate of employment growth, the 20-24 year old share and the 65 and over share of the state population, the black share and the Hispanic share of the population, the median house price, educational attainment, the industrial composition, the share of the workforce covered by a union contract, and the effective minimum wage. The variables have been collected from the Bureau of Labor Statistics (BLS), the Bureau of Economic Analysis (BEA), the Federal Housing Finance Agency (FHFA), and calculated by the authors using the Mach CPS. Descriptive statistics for these variables are included in Appendix Table 3.16
Some of the control variables also represent competing explanations for how top shares might plausibly affect income levels of low and middle-income families. One of these explanations is the labor market institutions that bolster wages and incomes of low and middle-income households, including labor unions and minimum wage policies. Declining unionization and falling minimum wages have been identified in previous research as making an important contribution to rising inequality since the late 1970s (Card and DiNardo (2002) and Lee (1999)). Labor unions represented 27 percent of American workers as late as 1979, but that share had declined to 13 percent by 2010.17 The inflation-adjusted value of the minimum wage has also declined over time. Despite a number of increases in recent decades, by 2010 the federal minimum wage had just 74 percent of the purchasing power it had in 1969.18 To the extent these institutions also affect earnings and income levels and the middle and bottom of the distribution they are factors that need to be taken into account.
Another explanation for growing inequality that could plausibly account for the relationship between rising inequality and falling earnings and income among the non-affluent is "skill-biased technological change (SBTC)." A number of studies (Bound and Johnson (1992), for example) have found evidence to support the idea that changes in technology have driven up the earnings of skilled workers and left the relatively unskilled to face decreased demand and falling wages. The covariates for the education level of family head and state-level industrial composition are proxies for these technological changes.19
As is standard in the inequality/growth literature, and most empirical panel data analysis, we use robust standard errors to allow for unknown forms of heteroskedasticity. We also cluster standard errors at the state-level to allow for an arbitrary variance-covariance structure within each state.
The set of baseline regressions is included in Table 1. The various specifications in Table 1 regress income (earnings) on two different top share measures (Top10 and Top1) for two different income groups (low-income and middle-income) without any additional covariates beyond the fixed effects for state and year, and the state-level time trend. All of the results use the natural log of income and the natural log of the top income share (expressed as numbers 1 to 100), so the coefficients of interest are expressed as elasticities.
Column 1 indicates, for example, that a ten percent increase in the Top 10% share of income is followed by a rise in the income of middle-income families (those between the 35
and 70
percentiles of the distribution) of one percent, though the effect is not statistically different from zero. Each of the odd numbered columns in the table
includes only a one-year lagged value of the top share measure. None of these coefficients is statistically different from zero at standard levels, half are negative, and most are quite small. All of the elasticities from the odd-numbered columns are below .3 and five of the eight are below
.05.
The top share variables only have significant effects on income or earnings when we include additional, longer lagged terms. The even numbered columns in Table 1 all include one, five, ten, and fifteen year lags of the top share measures. Coefficients in these columns indicate that with a 15 year lag (negative in all 8, significant in 6) and a 10-year lag (negative in five, significant in four) rising top shares have a negative effect on income and earnings of low and middle-income families. Column 14, for example, regresses the earnings of middle-income families on these lags of the Top 1% share of income, and shows that the coefficient on all four of the lags are negative and three of them are significantly different from zero. That specification indicates that a ten percent increase in the Top 1% share leads to a statistically significant 1.2 percent decline in the earnings of middle-income families after 15 years. The sum of all four lags has an elasticity of -.29 (Table 1, Panel B, Column 14). Including lags for years one through 15 increases the sum of the lags to -.37 and remains statistically different from zero. The sums of lags in the 8 specifications with multiple lags are negative in seven cases, but only significantly different from zero in two.
The same basic pattern of results holds when we look at income instead of earnings, low-income groups instead of middle-income, and changes in the Top 1% share of income instead of Top 10%. The findings are also robust to different definitions of low and middle-income.20 The results are weakest, though, using the top 10% share of income and looking at impacts on low-income families.
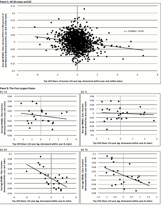
The lagged effects of top shares is represented visually in Figure 5, which is a scatter plot of the 15-year lag of the Top 10% share and income levels for families in the middle of the distribution. Each of the variables in the scatter plot is de-meaned by year and by state, to mimic the use of fixed effects in the regressions. Panel A includes the values for all 50 states and the District of Columbia over the period 1980 to 2005, and indicates that the relationship is negative, with a rising top share leading to lower middle-class incomes. The separate plots in Panel B replicate these results for the four largest states, California, Florida, New York, and Texas. While the correlation between lagged top shares and middle-income levels is not negative in every state, it is negative in most of them, including - to varying degrees - each of the four largest.
In the next few tables we introduce additional covariates to these specifications. A number of covariates that are typically included in the inequality/growth literature could simultaneously affect incomes as well as top shares and potentially account for the observed relationship. We first re-estimate the lagged specifications in Table 1 separately for each additional set of covariates and then including all of the covariates simultaneously. The covariates we explore in these specifications were described previously, and their summary statistics are included in Appendix Table 3.21
Table 2 includes the full results from adding covariates to the regression of the earnings of middle-income families on lagged values of the Top 1% share of income. The specification in the first column replicates the results from Table 1 Column 14, and the succeeding columns in Table 2 introduce additional covariates. Column 2 includes variables for the state-level unemployment rate and the state-group-level average hours worked. Hours worked is positive and highly significant, and the inclusion of these variables does have a modest effect of the Top 1% share magnitudes. The magnitude rises on the 5-year lag and falls in the 15-year lag, but the precision on the coefficients of these first three lags is improved, such that each of the standard errors fall and all three are now statistically different from zero at standard levels. The hours of work and unemployment covariates are retained in each of the following specifications. The coefficients for education of the family head (column 3) and union coverage (column 4) are both positive and significant, while the coefficient on effective state minimum wage rate is not. Including these covariates, however, has essentially no effect on the lagged Top Share coefficients.
The covariates introduced in columns 5, 6, and 7 do diminish the strength of the relationship between top shares and earnings. Adding age and race/ethnicity shares (column 5) and home prices (column 7) results in insignificant coefficients on the one and 15-year lags of the Top 1% share, although the sign on all four lags remains negative. Including all of the statistically significant covariates simultaneously, this pattern persists. One interesting thing to note is that coefficients on the 20 to 24 year old share of the population and the construction industry share of the population are no longer significant once home prices are included. Each of those variables expresses the extent to which a region is growing and attracting people, attributes that are likely better reflected in home prices. After including the covariates, lagged values of the Top 1% share of income continue to have a negative and mostly significant effect on earnings of middle income families, though the magnitude of the effect is smaller than what was shown in Table 1.
Table 3 reproduces these same specifications, but instead uses income of low-income families as the dependent variable and the Top 10% share of income as measure of inequality. The baseline results in Column 1 (reproducing Column 4 from Table 1) indicate that the coefficients on only two of the four lag terms are negative and none statistically different from zero. The results in Table 3 indicate that the sequential introduction of additional covariates produces some notable differences on the pattern of results for the lagged top shares compared to Table 2. Adding hours of work and unemployment (column 2) improves the precision of the estimates, and decreases the magnitude of three of the top share coefficients, but also causes the one-year lag to switch signs (become negative) and become significantly different from zero. The coefficient on family head education level (column 3) is positive and significant, and the introduction of this variable causes the coefficient on the ten-year lag to also become significant. Three of the four lag terms on the top shares in column 3 are negative and two are significant.
The coefficients on union coverage and minimum wage (column 4) have the expected sign, and their inclusion reduces the magnitudes of the coefficients on the one and ten-year lags so that neither one is statistically significant. Finally, the addition of age and race/ethnicity shares (column 5), industrial composition (column 6), and home prices (column 7), causes the sign on the five or the fifteen year lag of the top share variable to switch signs and become positive, although not significant. Including all of the (significant) covariates, three of the lagged terms retain a negative sign, but none of them is statistically significant, and the sum of the four lags is just -.05.
The results for these same specifications for all eight combinations of dependent variable, income group, and top share measure are included in Appendix Table 4A (earnings as dependent variable) and Appendix Table 4B (income as dependent
variable). Only the coefficients on the lagged top share variables are shown for space. Focusing on column 8 for each of the eight panels shows that 21 of the 32 lagged top share coefficients are negative, and 5 of them are negative. Within these eight panels, we can also see that the results are
considerably more robust when looking at the effects on middle-income families (Panels A and B in both appendix tables). For middle-income (35
to 70
percentile of the income distribution) 14 of the 16 lagged top share coefficients are negative and four are statistically significant. Within these specifications, all eight of the lagged coefficients using the Top 1%
share of income measure (Panel B in both Appendix Table 4A and 4B) are negative and three are statistically significant. This is consistent with the findings of both Frank (2009) and Andrews, Jencks, and Leigh (2011), which both found that changes in the top 1% share have larger effects on
growth.
Overall the results - prior to and after including additional covariates - suggest that evidence for a negative relationship between top shares and income and earnings is strongest when looking at the effects on middle-income families and when looking at changes in the Top 1% share of income. These regressions do not produce any consistent pattern or strong results for the effects on the earnings or income of low-income households, either from changes in the Top 1% share or the Top 10% share of income. Effects on middle-income families from changes in the Top 1% share of income, though, are consistently negative and statistically significant in nearly half of the cases. Between 1979 and 2005, the Top 1% share of income rose 3.5 percent each year, on average, rising from 7.7 to 20.3 percent of all income. Our best estimates (Table 2, Column 8) suggest that the rising Top 1% share of income over this period is associated with annual average declines of 3.5 percent in the earnings of families in the middle of the income distribution.22
The findings of this study suggest that rising top shares may lead to declining earnings and incomes, particularly among middle-income households. This outcome would be expected if greater inequality leads to lower economic growth (which some studies suggest), but is also plausible even if inequality leads to greater overall economic growth (as other studies suggest.) In the latter case, the algebraic explanation is that the growth effect is simply too weak to overcome the distribution effect, leaving most households with lower incomes following increases in the top share. The previous literature on both the effect of inequality on growth as well as the research on the factors causing rising inequality offer a number of plausible explanations for these findings.
There are a number of ways that increasing concentrations of income and wealth could lead to lower income and earnings among non-affluent households. If the rich spend a larger portion of their income on imports, foreign travel, or in other ways that do little to boost domestic aggregate demand, then concentrating more income in fewer hands could undermine local and regional economies. Also, the rich tend to save considerable portions of their income. Average financial assets among non-elderly households in the top decile of the income distribution were $1.4 million, compared to just $36,000 for those in the bottom 60 percent, where just 4 in 10 households had financial assets of $5,000 or more.23 Saving, however, is international. When affluent households invest in stocks, bonds, and privately-held corporations in other states or countries, this may not boost a particular state or local economy.
The location decisions of rich households could also further undermine income and earnings of low and middle-income households. In the early 1990s former labor secretary Robert Reich (1991) coined the phrase the "secession of the successful" to describe affluent household retreating from and withdrawing support for public institutions. Reich described affluent households, ensconced in gated communities and sending their kids to private schools, increasingly opposed to paying for public services. This concern is validated by the work of Mayer (2002), who has documented the connections between rising inequality in the 1970s and 1980s and greater residential segregation by income group, with high-income households increasingly locating in neighborhoods and school districts largely populated by other high-income families. This segregation further undermines the tax base in lower-income communities making it harder to afford schools and other local public services. When communities become less safe and less able to educate their children, then the lower and middle-income families in those communities can expect their economic prospects, including their earnings and their incomes, to diminish. The return to pre-Great Depression levels of concentrations of income could be steadily undermining the economic conditions that supported rising incomes for low and middle-income households for so many decades.
It is also possible that the changes in income among non-affluent households are not caused directly by rising inequality, but are instead lagged effects of the same factors that caused the rising inequality in the first place. The voluminous literature exploring the causes of rising inequality in recent decades offers a number of possible explanations for the relationship we observe between rising top share and falling incomes of low and middle-income families.
In this paper we make efforts to account for the influence of some of these factors that might be driving both inequality and income/earnings. Covariates for minimum wages and union coverage were included to represent the set of institutions that affect both inequality and earnings/income at the middle and bottom of the distribution. Union coverage did have a consistently positive and significant impact on earnings and income, but the inclusion of these covariates did not account for the relationship we find between top shares and income and earnings. Similarly, covariates for education of the family head for state-level industrial composition were included to represent changes in use of technology and demand for skills - referred to "skill-biased technological change (SBTC) - influencing both inequality as well as income and earnings. The regressions in this paper showed that family head education influences income and earnings levels, but does not alter the observed relationship between top shares and income and earnings. Industrial composition also seems to "matter," but it is the share of employment in construction - not services or finance - that most consistently influences income/earnings and alters the observed relationship between top shares and our outcome variables.
This paper is unable to differentiate among the many plausible explanations for the negative relationship between rising top income shares and falling incomes among non-affluent households. For example, in addition to the SBTC theory, other technology-related explanations have been offered to explain rising inequality, and some are potentially consistent with our findings in this paper. One is Rosen's (1981) "superstar" explanation, which suggests that a handful of talented or well-placed individuals have been able to capture increasingly large shares of revenue in various fields (singers, actors, authors, and athletes, for example) because of the "audience magnification" produced by advances in communications technology. Indeed, several recent papers have argued that superstars, in these fields as well as lawyers and CEOs, account for a large portion of rising inequality in recent years (Kaplan and Rauh (2009) and Walker (2005)). However, as Smeeding and Thompson (2011) argue, all of the "superstars" across every potential field still only account for a tiny share of even the top one-percent of the income distribution.
Future work will focus greater attention on the competing causal factor behind the relationship. We will include additional factors that have been argued to drive changes in inequality to see if the explanatory power of inequality itself is reduced, and incorporate the effects of taxes on the inequality/income relationship, as suggested in Andrews, Leigh, and Jencks (2011). Following Kenworthy (2010), we will explore the role of transfer programs in either mitigating or exacerbating the effects of inequality on standards of living for middle and low-income families.
Works Cited
Aghion, P., and P. Bolton, 1993. A Theory of Trickle-Down Growth and Development. The Review of Economic Studies, Vol. 64, No. 2, pp. 151 - 172.
Alesina, Alberto. and R. Perotti, 1994. The Political Economy of Growth: A Critical Survey of Recent Literature. The World Bank Economic Review, Vol. 8, No. 3, pp. 351 - 371.
Alesina, Alberto and Dani Rodrik, 1994. Distributive Politics and Economic Growth. The Quarterly Journal of Economics, Vol. 109, No. 2, pp. 465 - 490.
Andrews, Dan, Christopher Jencks, and Andrew Leigh, 2010. "Do Rising Top Incomes Lift All Boats?" B.E. Journal of Economic Analysis and Policy 11.1 (January 2011): Article 6.
Atkinson, Anthony, and Andrea Brandolini, 2001. Promise and Pitfalls in the Use of "Secondary" Data-Sets: Income Inequality in OECD Countries as a Case Study. Journal of Economic Literature, Vol. 39, No. 3, pp. 771 - 799.
Atkinson, Anthony, Thomas Piketty, and Emmanuel Saez, 2011. "Top Incomes in the Long Run of History." Journal of Economic Literature, Vol. 49, No. 1, 3-71.
Barro, Robert, 2000. "Inequality and Growth in a Panel of Countries," Journal of Economic Growth, Vol. 5, 5-32.
Banerjee, A., and E. Duflo, 2003. "Inequality and Growth: What can the Data say?," Journal of Economic Growth, Vol. 8, pp. 267 - 299.
Becker, Gary S. and Kevin M. Murphy and Iván Werning, 2005. "The Equilibrium Distribution of Income and the Market for Status," The Journal of Political Economy, Vol. 113, No. 2, 282-310.
Benabou, R., 1996. Inequality and Growth. NBER Macroeconomics Annual, Vol. 11, pp. 11-74.
Brandolini, Andrea and Timothy Smeeding, 2009. "Income Inequality in Richer and OECD Countries," in Salverda, Wiemer, Brian Nolan, and Timothy Smeeding, eds. The Oxford Handbook of Economic Inequality, Oxford University Press, Oxford, UK, pp. 71-100.
Bound, John and George Johnson, 1992. "Changes in the Structure of Wages in the 1980s: An Evaluation of Alternative Explanation." American Economic Review, Vol. 83, June 1992, 371-92.
Burkhauser, Richard V., Shuaizhang Feng, Stephen Jenkins, and Jeff Larrimore, 2009. "Recent Trends in Top Income Shares in the USA: Reconciling Estimates from March CPS and IRS Tax Return Data." NBER Working Paper No. 15320. Camrbidge, MA: National Bureau of Economic Research.
Card, David, and John DiNardo, 2002. "Skill-Biased Technological Change and Rising Wage Inequality: Some Problems and Puzzles," Journal of Labor Economics, Vol. 20, No. 4, 733-783.
Deininger K., and L. Squire, 1998. "New Ways of Looking at old Issues: Inequality and Growth," Journal of Development Economics, Vol. 57, pp. 259 - 287.
Dew-Becker, Ian and Robert Gordon, 2005. "Where did the Productivity Growth Go? Inflation Dynamics and the Distribution of Income," Brookings Papers on Economic Activity, No. 2, 2005, 67-127.
Frank, Mark, 2009. Inequality and Growth in the United States: Evidence from a new State-Level Panel of Income Inequality Measures. Journal of Economic Inquiry, Vol. 47, No. 1, 55-68.
Forbes, K., 2000. A Reassessment of the Relationship Between Inequality and Growth. The American Economic Review, Vol. 90, No. 4, 869-887.
Jencks, Christopher, 2002. "Does Inequality Matter?," Daedalus, Vol. 131, No. 1, 49-65.
Josten S., and J. Truger, (2003). Inequality, Politics, and Economic Growth: Three Critical Questions on Politico-Economic Models of Growth and Distribution. Discussion Paper No. 3.
Kaldor, Nicholas, 1956. Alternative Theories of Distribution. Review of Economic Studies, 23:2, pp. 83-100.
Kaplan, Steven and Joshua Rauh, 2009. "Wall Street and Main Street: What Contributes to the Rise in the Highest Incomes?," The Review of Financial Studies, Vol. 23, No. 3, 1004-1050.
Kenworthy, Lane, 2010. "Rising Inequality, Public Policy, and America's Poor," Challenge, Vol. 53, No. 6, 93-109.
Krueger, Alan, 2004. "Inequality, Too Much of a Good Thing," in Inequality in American: What Role for Human Capital Policies, James Heckman and Alan Krueger (eds.) (Cambridge,MA:MIT Press, 2004), pp. 1-75.
Kuznets, Simon, 1955. Economic Growth and Income Inequality. The American Economic Review, Vol. 45, No. 1, pp. 1 - 28.
Lee, David, 1999. "Wage Inequality during the 1980s: Rising Dispersion or Falling Minimum Wage?" Quarterly Journal of Economics, Vol. 108, August, 33-60.
Leigh, Andrew, Christopher Jencks, and Timothy Smeeding, 2009. "Health and Economic Inequality," in Salverda, Wiemer, Brian Nolan, and Timothy Smeeding, eds. The Oxford Handbook of Economic Inequality, Oxford University Press, Oxford, UK, pp. 384-405.
Li H., and H. Zou, 1998. Income Inequality is not Harmful for Growth: Theory and Evidence. Review of Development Economics, Vol. 2, pp. 318 - 334.
Leight, Elias, 2010. "The Relationships Between Inequality, Economic Growth, and Political Control: Explorations Using U.S. State-level Panel Data, 1969 - 2005,"Unpublished Thesis, Wesleyan University Honors College.
Mayer, Susan, 2001. "How the Growth in Income Inequality Increased Economic Segregation," University of Chicago Harris School Working Paper 01.17.
McCall, Leslie and Lane Kenworthy, 2009. "Americans' Social Policy Preferences in the Era of Rising Inequality," Perspectives on Politics, Vol. 7, No. 3, 459-84.
Mishel, Larry, Jared Bernstein, and Heidi Shierholtz, 2008. The State of Working America, Cornell University Press, Ithaca, New York.
Murphy, K., A. Shleifer, and R. Vishny, 1989. Industrialization and the Big Push. Journal of Political Economy Vol. 87, pp. 1003-25.
Okun, Arthur, 1975. Equality and Efficiency: The Big Tradeoff. Brookings Institution Press: 1975.
Panizza, Ugo, 2002. "Income Inequality and Economic Growth: Evidence from American Data," Journal of Economic Growth, Vol. 7, 25-41.
Partridge, M. (1997). "Is Inequality Harmful for Growth? Comment," The American Economic Review, Vol. 87, No. 5, 1019-1032.
Partridge, M. (2004). "Does Income Distribution Affect U.S. State Economic Growth?," Journal of Regional Science.
Perotti, R. (1993). "Political Equilibrium, Income Distribution, and Growth," Review of Economic Studies, Vol. 60, 755-776.
Piketty, Thomas and Emmanuel Saez, 2003. "Income Inequality in the United States, 1913-1998" Quarterly Journal of Economics, Vol. 118(1), pp. 1-39.
Reich, Robert, 1991. "Secession of the Successful," New York Times Magazine, January 20, 1991.
Rosen, Sherwin, 1981. "The Economics of Superstars," The American Economic Review, Vol. 71, No. 5. 845-858.
Schmitt, John, 2009. "Inequality as Policy: The United States Since 1979," Center for Economic and Policy Research," October 2009.
Smeeding, Timothy and Jeffrey Thompson, 2011. "Recent trends in Income Inequality: Labor, Wealth and More Complete Measures of Income," Research in Labor Economics, Vol. 32, May 2011.
Walker, Richard, 2005. "Superstars and Renaissance Men: Specialization, Market Size and the Income Distribution," LSE Center for Economic Performance Discussion Paper No. 707, November 2005.
Voitchovsky, Sarah, 2005. "Does the Profile of Income Inequality Matter for Economic Growth?: Distinguishing Between the Effects of Inequality in Different Parts of the Income Distribution," Journal of Economic Growth, Vol. 10, 273-296.
| Top 10% of Middle Income (Average Family Income) (1) | Top 10% of Middle Income (Average Family Income) (2) | Top 10% of Low Income (Average Family Income) (3) | Top 10% of Low Income (Average Family Income) (4) | Top 1% of Middle Income (Average Family Income) (5) | Top 1% of Middle Income (Average Family Income) (6) | Top 1% of Low Income (Average Family Income) (7) | Top 1% of Low Income (Average Family Income) (8) | Top 10% of Middle Income (Average Family Earnings) (9) | Top 10% of Middle Income (Average Family Earnings) (10) | Top 10% of Low Income (Average Family Earnings) (11) | Top 10% of Low Income (Average Family Earnings) (12) | Top 1% of Middle Income (Average Family Earnings) (13) | Top 1% of Middle Income (Average Family Earnings) (14) | Top 1% of Low Income (Average Family Earnings) (15) | Top 1% of Low Income (Average Family Earnings) (16) | |
|---|---|---|---|---|---|---|---|---|---|---|---|---|---|---|---|---|
| L1.TopShare | 0.101 | 0.0761 | 0.0347 | 0.0161 | -0.0312 | -0.0483 | -0.0251 | -0.0416 | 0.133 | 0.106 | 0.298 | 0.299 | -0.0351 | -0.0623 | -0.0267 | -0.0441 |
| L1.TopShare (Standard Error) | (0.0954) | (0.0941) | (0.154) | (0.155) | (0.0241) | (0.0279) | (0.0386) | (0.0421) | (0.133) | (0.131) | (0.350) | (0.363) | (0.0335) | (0.0363) | (0.0622) | (0.0707) |
| L5.TopShare | 0.131 | 0.0771 | 0.00411 | 0.0119 | 0.179 | 0.111 | -0.0283 | 0.0413 | ||||||||
| L5.TopShare (Standard Error) | (0.105) | (0.171) | (0.0449) | (0.0653) | (0.140) | (0.233) | (0.0593) | (0.117) | ||||||||
| L10.TopShare | -0.202 | -0.146 | -0.0497 | 0.0183 | -0.210 | 0.0304 | -0.0778 | 0.0710 | ||||||||
| L10.TopShare (Standard Error) | (0.0650) | (0.102) | (0.0252) | (0.0365) | (0.0984) | (0.191) | (0.0343) | (0.0638) | ||||||||
| L15.TopShare | -0.197 | -0.180 | -0.0919 | -0.104 | -0.240 | -0.236 | -0.119 | -0.139 | ||||||||
| L15.TopShare (Standard Error) | (0.0875)** | (0.118) | (0.0272)*** | (0.0309)*** | (0.118)** | (0.249) | (0.0384)*** | (0.0554)** | ||||||||
| Constant | 10.21 | 11.17 | 9.442 | 10.32 | 10.58 | 10.85 | 9.593 | 9.756 | 9.841 | 10.83 | 7.628 | 7.948 | 10.33 | 10.76 | 8.640 | 8.732 |
| Constant (Standard Error) | (0.311)*** | (0.635)*** | (0.505)*** | (0.892)*** | (0.0427)*** | (0.138)*** | (0.0631)*** | (0.176)*** | (0.436)*** | (0.825)*** | (1.151)*** | (1.766)*** | (0.0593)*** | (0.165)*** | (0.108)*** | (0.310)*** |
| Observations | 1326 | 1326 | 1326 | 1326 | 1326 | 1326 | 1326 | 1326 | 1326 | 1326 | 1326 | 1326 | 1326 | 1326 | 1326 | 1326 |
| SUM of Lags (1,5,10,15) | -0.191 | -0.233 | -0.186 | -0.115 | -0.165 | 0.204 | -0.287 | -0.071 | ||||||||
| SUM of Lags (1,5,10,15) (Standard Error) | (.195) | (.274) | (.085)** | (.109) | (.253) | (.539) | (.101)*** | (.192) | ||||||||
| SUM of Full Lags (1 - 15) | -0.418 | -0.318 | -0.262 | -0.11 | -0.464 | 0.443 | -0.365 | 0.021 | ||||||||
| SUM of Full Lags (1 - 15) (Standard Error) | (.381) | (.600) | (.138)* | (.169) | (.441) | (.912) | (.168)** | (.262) |
| (1) | (2) | (3) | (4) | (5) | (6)1 | (7) | (8) | |
|---|---|---|---|---|---|---|---|---|
| L1.Top 1% | -0.0623 | -0.0500 | -0.0393 | -0.0485 | -0.0270 | -0.0536 | -0.0297 | -0.0191 |
| L1.Top 1% (Standard Error) | (0.0363)* | (0.0212)** | (0.0200)* | (0.0203)** | (0.0212) | (0.0234)** | (0.0202) | (0.0181) |
| L5.Top 1% | -0.0283 | -0.0756 | -0.0593 | -0.0757 | -0.0583 | -0.0650 | -0.0661 | -0.0405 |
| L5.Top 1% (Standard Error) | (0.0593) | (0.0332)** | (0.0316)* | (0.0321)** | (0.0296)* | (0.0270)** | (0.0257)** | (0.0218)* |
| L10.Top 1% | -0.0778 | -0.0727 | -0.0648 | -0.0653 | -0.0845 | -0.0722 | -0.0666 | -0.0569 |
| L10.Top 1% (Standard Error) | (0.0343)** | (0.0205)*** | (0.0194)*** | (0.0207)*** | (0.0203)*** | (0.0212)*** | (0.0172)*** | (0.0179)*** |
| L15.Top 1% | -0.119 | -0.0507 | -0.0467 | -0.0512 | -0.0323 | -0.0322 | -0.0252 | -0.0233 |
| L15.Top 1% (Standard Error) | (0.0384)*** | (0.0274)* | (0.0253)* | (0.0274)* | (0.0255) | (0.0278) | (0.0219) | (0.0207) |
| Family hours worked | 1.103 | 1.040 | 1.097 | 1.042 | 1.076 | 1.029 | 0.948 | |
| Family hours worked (Standard Error) | (0.0333)*** | (0.0350)*** | (0.0339)*** | (0.0352)*** | (0.0345)*** | (0.0323)*** | (0.0348)*** | |
| Unemployment | 0.00212 | 0.00189 | 0.00211 | 0.00215 | 0.00387 | 0.00520 | ||
| Unemployment (Standard Error) | (0.00228) | (0.00207) | (0.00221) | (0.00230) | (0.00245) | (0.00229)** | ||
| Family head education | 0.193 | 0.178 | ||||||
| Family head education (Standard Error) | (0.0226)*** | (0.0208)*** | ||||||
| Union coverage | 0.00302 | 0.00347 | ||||||
| Union coverage (Standard Error) | (0.00102)*** | (0.000821)*** | ||||||
| Minimum wage | -0.00297 | |||||||
| Minimum wage (Standard Error) | (0.0120) | |||||||
| % age 20 to 24 | 0.0210 | |||||||
| % age 20 to 24 (Standard Error) | (0.00579)*** | |||||||
| % age 65 and up | -2.686 | -2.552 | ||||||
| % age 65 and up (Standard Error) | (1.457)* | (1.129)** | ||||||
| % Black | 0.0123 | |||||||
| % Black (Standard Error) | (0.00821) | |||||||
| % Hispanic | 0.000257 | |||||||
| % Hispanic (Standard Error) | (0.0047) | |||||||
| construction share | 0.653 | |||||||
| construction share (Standard Error) | (0.360)* | |||||||
| manufacturing share | -0.651 | -0.594 | ||||||
| manufacturing share (Standard Error) | (0.337)* | (0.259)** | ||||||
| Median house price | 0.149 | 0.106 | ||||||
| Median house price (Standard Error) | (0.0190)*** | (0.0192)*** | ||||||
| Constant | 10.76 | 2.006 | 2.044 | 1.948 | 2.278 | 2.377 | 1.955 | 2.612 |
| Constant (Standard Error) | (0.165)*** | (0.277)*** | (0.281)*** | (0.286)*** | (0.384)*** | (0.287)*** | (0.240)*** | (0.344)*** |
| (1) | (2) | (3) | (4) | (5) | (6) | (7) | (8) | |
|---|---|---|---|---|---|---|---|---|
| L1.Top 10% | 0.0161 | -0.164 | -0.177 | -0.158 | -0.153 | -0.0982 | -0.100 | -0.0549 |
| L1.Top 10% (Standard Error) | (0.155) | (0.0972)* | (0.0937)* | (0.0942) | (0.102) | (0.0827) | (0.0680) | (0.0660) |
| L5.Top 10% | 0.0771 | 0.0255 | 0.0252 | 0.0265 | -0.0200 | 0.0302 | -0.0655 | -0.0404 |
| L5.Top 10% (Standard Error) | (0.171) | (0.132) | (0.131) | (0.137) | (0.128) | (0.116) | (0.114) | (0.117) |
| L10.Top 10% | -0.146 | -0.135 | -0.152 | -0.134 | -0.0879 | -0.105 | -0.0335 | -0.0493 |
| L10.Top 10% (Standard Error) | (0.102) | (0.0851) | (0.0799)* | (0.0888) | (0.0903) | (0.0809) | (0.0749) | (0.0736) |
| L15.Top 10% | -0.180 | -0.0514 | -0.0728 | -0.0605 | 0.0303 | 0.0328 | 0.118 | 0.0921 |
| L15.Top 10% (Standard Error) | (0.118) | (0.0968) | (0.0939) | (0.0951) | (0.0937) | (0.0804) | (0.0727) | (0.0713) |
| Family hours worked | 0.349 | 0.331 | 0.349 | 0.343 | 0.334 | 0.326 | 0.308 | |
| Family hours worked (Standard Error) | (0.0228)*** | (0.0227)*** | (0.0231)*** | (0.0223)*** | (0.0224)*** | (0.0207)*** | (0.0210)*** | |
| Unemployment | -0.00759 | -0.00719 | -0.00744 | -0.00716 | -0.00530 | -0.00227 | ||
| Unemployment (Standard Error) | (0.00241)*** | (0.00235)*** | (0.00239)*** | (0.00269)** | (0.00244)** | (0.00257) | ||
| Family head education | 0.129 | 0.116 | ||||||
| Family head education (Standard Error) | (0.0296)*** | (0.0247)*** | ||||||
| Union coverage | 0.00212 | 0.00246 | ||||||
| Union coverage (Standard Error) | (0.00152) | (0.00132)* | ||||||
| Minimum wage | 0.00679 | |||||||
| Minimum wage (Standard Error) | (0.0138) | |||||||
| % age 20 to 24 | 0.0147 | |||||||
| % age 20 to 24 (Standard Error) | (0.0103) | |||||||
| % age 65 and up | -2.333 | |||||||
| % age 65 and up (Standard Error) | (1.357)* | |||||||
| % Black | -0.00104 | |||||||
| % Black (Standard Error) | (0.0105) | |||||||
| % Hispanic | 0.00655 | |||||||
| % Hispanic (Standard Error) | (0.0056) | |||||||
| construction share | 1.622 | 0.536 | ||||||
| construction share (Standard Error) | (0.355)*** | (0.297)* | ||||||
| manufacturing share | -1.066 | -0.625 | ||||||
| manufacturing share (Standard Error) | (0.355)*** | (0.330)* | ||||||
| Median house price | 0.213 | 0.197 | ||||||
| Median house price (Standard Error) | (0.0199)*** | (0.0185)*** | ||||||
| Constant | 10.32 | 8.308 | 8.406 | 8.234 | 8.044 | 7.915 | 6.893 | 6.821 |
| Constant (Standard Error) | (0.892)*** | (0.736)*** | (0.729)*** | (0.770)*** | (0.613)*** | (0.667)*** | (0.560)*** | (0.587)*** |
Appendix Table 1 - Summary of Cross-Country Studies on Inequality and Growth
| Author | Data | Method | Result | Inequality Measure |
| Alesina and Rodrik (1994) | Fields (1989), Taylor and CityplaceHudson (1972) | OLS, 2SLS | Inequality has a significant negative effect on growth | Gini |
| Persson and Tabellini (1994) | Paukert (1973) | OLS | Inequality has a negative effect - not robust | Top 20% Share |
| Clarke (1995) | Summers and Heston (1991) | OLS, 2SLS, WLS | 4 different measures of inequality have a significant negative effect | Gini, Coefficient of variation, Theil, Bottom 40/ Top 20 Ratio |
| Deininger and Squire (1998) | Deininger and Squire (1998) | OLS | Income inequality shows a negative effect (not robust, land inequality shows a significant negative effect. | Gini |
| Li and Zou (1998) | Deininger and Squire (1998) | Fixed and Random Effects | Income inequality has a significant positive effect | Gini |
| Forbes (2000) | Deininger and Squire (1998) | Fixed and Random Effects | Income inequality has a significant positive effect | Gini |
| Barro (2000) | Deininger and Squire (1998) + some other data that Deininger and Squire did not include | Random Effects, 3SLS | No robust relationship between inequality and growth. | Gini, top quintile income share |
| Banerjee and Duflo (2003) | Deininger and Squire (1998) | Fixed and Random Effects, Arellano and Bond | No robust relationship between inequality and growth. | Gini |
| Voitchovsky (2005) | country-regionplaceLuxembourg Income Study (LIS) | GMM Estimator | A single measure of inequality may be unable to capture the complex and varying relationship between inequality and growth, and inclusion of multiple measures may be necessary | Gini, 90/75 Ratio, 50/10 Ratio |
| Andrews, Jencks, and Leigh (2011) | Top Shares (from tax data) for inequality measure | Fixed Effects | No relationship over 1905-2000 period, but after 1960 rising top shares lead to growth in per-capita GDP. | Top 10% Share, Top 1% Share, Gini |
Appendix Table 2 - Summary of the Empirical Literature on Growth and Inequality in the US
| Author | Data | Methods | Results | Inequality Measure |
| Partridge (1997) | Decadal panel composed of census data from 1960 - 1990 | OLS | Positive effect of both inequality and the middle class income share | Gini, Income share of 3 |
| Panizza (2002) | Decadal panel of tax return data from 1940 - 1980 | OLS, fixed effects | Negative effect, not robust, at the very least, no positive effect | Gini, Income share of 3 |
| Partridge (2004) | Decadal penal of census data from 1960 - 2000 | OLS, fixed effects, random effects | Positive effect using OLS and random effects, unstable effect using fixed effects | Gini, Income share of 3 |
| Frank (2009) | Yearly panel from tax return data, extending from 1945 - 2005 | Dynamic Panel Estimators | Robust and positive effect of inequality on growth | Top 10% Share, Top 1% Share, Atkinson, Theil, Gini |
| Variable | # of observations | Mean | Standard Deviation | Minimum | Maximum |
|---|---|---|---|---|---|
| Average real family INCOME for 5th to 30th percentiles | 1326 | 16794.84 | 3222.718 | 9727.875 | 27790.22 |
| Average real family INCOME for 35th to 70th percentiles | 1326 | 46367.68 | 7755.172 | 29618.9 | 70156.99 |
| Average real family EARNINGS for 5th to 30th percentiles | 1326 | 7040.405 | 2471.865 | 1995.667 | 17563.74 |
| Average real family EARNINGS for 35th to 70th percentiles | 1326 | 32067.27 | 6587.689 | 15651.36 | 53750.76 |
| Top 10% income share | 1326 | 37.83666 | 4.702992 | 28.48067 | 53.85282 |
| Top 1% income share | 1326 | 13.2037 | 3.711672 | 5.750543 | 27.52443 |
| Unemployment Rate | 1326 | 5.92 | 2.04 | 2.3 | 17.4 |
| Employment Growth Rate | 1326 | 1.67638 | 1.861487 | -4.82335 | 9.775801 |
| Average combined family work hours (5th to 30th ptile) | 1326 | 927.9534 | 220.8061 | 375.9589 | 1609.446 |
| Average combined family work hours (35th to 70th ptile) | 1326 | 2519.899 | 253.0833 | 1452.208 | 3230.059 |
| mean family head education (0 to 30th ptile) | 1326 | 1.981764 | 0.238348 | 1.335526 | 2.563877 |
| mean family head education (35th to 70th ptile) | 1326 | 2.514065 | 0.2237689 | 1.822034 | 3.095361 |
| Population (thousands) | 1326 | 5065.76 | 5592.438 | 401.851 | 36000 |
| Share of workers covered by union contract | 1326 | 17.03537 | 6.960129 | 3.3 | 39.9 |
| Effective minimum wage | 1326 | 4.252828 | 0.9278678 | 3.1 | 7.35 |
| Median home price ($thousands) | 1326 | 115.001 | 53.18601 | 39.88531 | 479.1219 |
| 20 to24 year old share of population | 1326 | 7.757091 | 1.168277 | 5.405129 | 11.45537 |
| 65 years and older share of population | 1326 | 12.25816 | 2.09044 | 2.91268 | 18.54977 |
| Black share of population | 1326 | 10.92458 | 11.97212 | 0.2262169 | 70.40025 |
| Hispanic share of population | 1275 | 6.14251 | 7.96445 | 0.46459 | 43.46026 |
| Agriculture% | 1300 | 0.0312363 | 0.025864 | 0.0017475 | 0.1462316 |
| Mining% | 1300 | 0.0106308 | 0.0171033 | 0 | 0.1452162 |
| Construction% | 1300 | 0.0554888 | 0.0111243 | 0 | 0.1039073 |
| Manufacturing% | 1300 | 0.1276109 | 0.0554302 | 0 | 0.2735198 |
| Transportation% | 1300 | 0.0459524 | 0.0100906 | 0 | 0.0804374 |
| Finance% | 1300 | 0.0734253 | 0.0157008 | 0.045469 | 0.1408328 |
| Services% | 1300 | 0.2838112 | 0.0652331 | 0.1583823 | 0.4989231 |
| Government% | 1300 | 0.1594742 | 0.0341916 | 0.1004138 | 0.328832 |
| (1) | (2) | (3) | (4) | (5) | (6) | (7) | (8) | |
|---|---|---|---|---|---|---|---|---|
| Unemployment | X | X | X | X | X | X | Xsig | |
| Hours | X | X | X | X | X | X | Xsig | |
| Education | X | Xsig | ||||||
| Unions | X | Xsig | ||||||
| Min. Wage | X | Xsig | ||||||
| Age | X | Xsig | ||||||
| Race/Ethnicity | X | Xsig | ||||||
| Industry | X | Xsig | ||||||
| Housing | X | Xsig | ||||||
| L1.Top Share (Top 10%; Middle Incomes) | 0.106 | -0.112 | -0.0819 | -0.102 | -0.0986 | -0.0732 | -0.0627 | -0.0565 |
| L1.Top Share (Top 10%; Middle Incomes) (s.e.) | (0.131) | (0.0875) | (0.0876) | (0.0859) | (0.0926) | (0.0896) | (0.0726) | (0.0762) |
| L5.Top Share (Top 10%; Middle Incomes) | 0.179 | 0.0340 | 0.0413 | 0.0514 | -0.0225 | 0.0516 | -0.0220 | 0.0236 |
| L5.Top Share (Top 10%; Middle Incomes) (s.e.) | (0.140) | (0.0659) | (0.0643) | (0.0637) | (0.0704) | (0.0571) | (0.0521) | (0.0565) |
| L10.Top Share (Top 10%; Middle Incomes) | -0.210 | -0.120 | -0.124 | -0.108 | -0.0747 | -0.103 | -0.0541 | -0.0420 |
| L10.Top Share (Top 10%; Middle Incomes) (s.e.) | (0.0984)** | (0.0540)** | (0.0518)** | (0.0573)* | (0.0562) | (0.0550)* | (0.0518) | (0.0523) |
| L15.Top Share (Top 10%; Middle Incomes) | -0.240 | -0.202 | -0.162 | -0.208 | -0.113 | -0.137 | -0.0801 | -0.0442 |
| L15.Top Share (Top 10%; Middle Incomes) (s.e.) | (0.118)** | (0.0952)** | (0.0859)* | (0.0940)** | (0.0910) | (0.0952) | (0.0771) | (0.0738) |
| L1.Top Share (Middle Incomes) | -0.0623 | -0.0500 | -0.0393 | -0.0485 | -0.0270 | -0.0536 | -0.0297 | -0.0191 |
| L1.Top Share (Middle Incomes) (s.e.) | (0.0363)* | (0.0212)** | (0.0200)* | (0.0203)** | (0.0212) | (0.0234)** | (0.0202) | (0.0181) |
| L5.Top Share (Middle Incomes) | -0.0283 | -0.0756 | -0.0593 | -0.0757 | -0.0583 | -0.0650 | -0.0661 | -0.0405 |
| L5.Top Share (Middle Incomes) (s.e.) | (0.0593) | (0.0332)** | (0.0316)* | (0.0321)** | (0.0296)* | (0.0270)** | (0.0257)** | (0.0218)* |
| L10.Top Share (Middle Incomes) | -0.0778 | -0.0727 | -0.0648 | -0.0653 | -0.0845 | -0.0722 | -0.0666 | -0.0569 |
| L10.Top Share (Middle Incomes) (s.e.) | (0.0343)** | (0.0205)*** | (0.0194)*** | (0.0207)*** | (0.0203)*** | (0.0212)*** | (0.0172)*** | (0.0179)*** |
| L15.Top Share (Middle Incomes) | -0.119 | -0.0507 | -0.0467 | -0.0512 | -0.0323 | -0.0322 | -0.0252 | -0.0233 |
| L15.Top Share (Middle Incomes) (s.e.) | (0.0384)*** | (0.0274)* | (0.0253)* | (0.0274)* | (0.0255) | (0.0278) | (0.0219) | (0.0207) |
| L1.Top Share (Top 10%; Lower Incomes) | 0.299 | -0.0840 | -0.109 | -0.0699 | -0.0679 | -0.0788 | -0.00574 | -0.0769 |
| L1.Top Share (Top 10%; Lower Incomes) (s.e.) | (0.363) | (0.217) | (0.211) | (0.204) | (0.232) | (0.187) | (0.168) | (0.159) |
| L5.Top Share (Top 10%; Lower Incomes) | 0.111 | -0.0518 | -0.0524 | -0.0482 | -0.124 | -0.0708 | -0.163 | -0.160 |
| L5.Top Share (Top 10%; Lower Incomes) (s.e.) | (0.233) | (0.165) | (0.173) | (0.160) | (0.161) | (0.145) | (0.132) | (0.123) |
| L10.Top Share (Top 10%; Lower Incomes) | 0.0304 | -0.00972 | -0.0435 | -0.00720 | 0.0600 | 0.0126 | 0.114 | 0.0690 |
| L10.Top Share (Top 10%; Lower Incomes) (s.e.) | (0.191) | (0.110) | (0.100) | (0.113) | (0.122) | (0.112) | (0.110) | (0.108) |
| L15.Top Share (Top 10%; Lower Incomes) | -0.236 | 0.101 | 0.0591 | 0.0808 | 0.258 | 0.193 | 0.308 | 0.284 |
| L15.Top Share (Top 10%; Lower Incomes) (s.e.) | (0.249) | (0.143) | (0.136) | (0.138) | (0.140)* | (0.134) | (0.125)** | (0.116)** |
| L1.Top Share (Top 1%; Lower Incomes) | -0.0441 | -0.0346 | -0.0458 | -0.0332 | -0.00587 | -0.0377 | -0.000971 | -0.0177 |
| L1.Top Share (Top 1%; Lower Incomes) (s.e.) | (0.0707) | (0.0386) | (0.0370) | (0.0377) | (0.0390) | (0.0380) | (0.0356) | (0.0363) |
| L5.Top Share (Top 1%; Lower Incomes) | 0.0413 | -0.00749 | -0.00452 | -0.0157 | 0.00596 | -0.0287 | 0.00468 | 0.00646 |
| L5.Top Share (Top 1%; Lower Incomes) (s.e.) | (0.117) | (0.0695) | (0.0687) | (0.0704) | (0.0700) | (0.0570) | (0.0567) | (0.0514) |
| L10.Top Share (Top 1%; Lower Incomes) | 0.0710 | 0.0211 | 0.0153 | 0.0300 | 0.0200 | 0.00762 | 0.0327 | 0.0359 |
| L10.Top Share (Top 1%; Lower Incomes) (s.e.) | (0.0638) | (0.0466) | (0.0447) | (0.0472) | (0.0511) | (0.0460) | (0.0460) | (0.0441) |
| L15.Top Share (Top 1%; Lower Incomes) | -0.139 | -0.00650 | -0.0311 | -0.0108 | 0.0331 | 0.0234 | 0.0375 | 0.0111 |
| L15.Top Share (Top 1%; Lower Incomes) (s.e.) | (0.0554)** | (0.0374) | (0.0378) | (0.0371) | (0.0312) | (0.0397) | (0.0370) | (0.0402) |
| (1) | (2) | (3) | (4) | (5) | (6) | (7) | (8) | |
|---|---|---|---|---|---|---|---|---|
| Unemployment | X | X | X | X | X | X | Xsig | |
| Hours | X | X | X | X | X | X | Xsig | |
| Education | X | Xsig | ||||||
| Unions | X | Xsig | ||||||
| Min. Wage | X | Xsig | ||||||
| Age | X | Xsig | ||||||
| Race/Ethnicity | X | Xsig | ||||||
| Industry | X | Xsig | ||||||
| Housing | X | Xsig | ||||||
| L1.Top Share (Top 10%; Middle Incomes) | 0.0761 | -0.0451 | -0.0205 | -0.0371 | -0.0222 | -0.0339 | 0.000198 | -0.0217 |
| L1.Top Share (Top 10%; Middle Incomes) (s.e.) | (0.0941) | (0.0713) | (0.0713) | (0.0682) | (0.0790) | (0.0694) | (0.0513) | (0.0554) |
| L5.Top Share (Top 10%; Middle Incomes) | 0.131 | 0.0466 | 0.0525 | 0.0590 | 0.0122 | 0.0665 | -0.00456 | 0.0361 |
| L5.Top Share (Top 10%; Middle Incomes) (s.e.) | (0.105) | (0.0736) | (0.0716) | (0.0723) | (0.0716) | (0.0560) | (0.0550) | (0.0508) |
| L10.Top Share (Top 10%; Middle Incomes) | -0.202 | -0.152 | -0.156 | -0.144 | -0.106 | -0.138 | -0.0921 | -0.0814 |
| L10.Top Share (Top 10%; Middle Incomes) (s.e.) | (0.0650)*** | (0.0483)*** | (0.0456)*** | (0.0491)*** | (0.0473)** | (0.0480)*** | (0.0455)** | (0.0430)* |
| L15.Top Share (Top 10%; Middle Incomes) | -0.197 | -0.176 | -0.143 | -0.181 | -0.103 | -0.102 | -0.0642 | -0.0203 |
| L15.Top Share (Top 10%; Middle Incomes) (s.e.) | (0.0875)** | (0.0747)** | (0.0665)** | (0.0733)** | (0.0740) | (0.0712) | (0.0567) | (0.0529) |
| L1.Top Share (Middle Incomes) | -0.0483 | -0.0412 | -0.0324 | -0.0400 | -0.0212 | -0.0392 | -0.0225 | -0.0123 |
| L1.Top Share (Middle Incomes) (s.e.) | (0.0279)* | (0.0188)** | (0.0182)* | (0.0183)** | (0.0172) | (0.0196)* | (0.0157) | (0.0147) |
| L5.Top Share (Middle Incomes) | 0.00411 | -0.0229 | -0.00949 | -0.0229 | -0.00766 | -0.0195 | -0.0141 | -0.00146 |
| L5.Top Share (Middle Incomes) (s.e.) | (0.0449) | (0.0296) | (0.0284) | (0.0288) | (0.0264) | (0.0230) | (0.0205) | (0.0189) |
| L10.Top Share (Middle Incomes) | -0.0497 | -0.0468 | -0.0403 | -0.0408 | -0.0558 | -0.0449 | -0.0412 | -0.0318 |
| L10.Top Share (Middle Incomes) (s.e.) | (0.0252)* | (0.0187)** | (0.0179)** | (0.0192)** | (0.0194)*** | (0.0172)** | (0.0160)** | (0.0168)* |
| L15.Top Share (Middle Incomes) | -0.0919 | -0.0526 | -0.0493 | -0.0530 | -0.0320 | -0.0305 | -0.0291 | -0.0215 |
| L15.Top Share (Middle Incomes) (s.e.) | (0.0272)*** | (0.0239)** | (0.0218)** | (0.0240)** | (0.0206) | (0.0233) | (0.0183) | (0.0164) |
| L1.Top Share (Top 10%; Lower Incomes) | 0.0161 | -0.164 | -0.177 | -0.158 | -0.153 | -0.0982 | -0.100 | -0.0549 |
| L1.Top Share (Top 10%; Lower Incomes) (s.e.) | (0.155) | (0.0972)* | (0.0937)* | (0.0942) | (0.102) | (0.0827) | (0.0680) | (0.0660) |
| L5.Top Share (Top 10%; Lower Incomes) | 0.0771 | 0.0255 | 0.0252 | 0.0265 | -0.0200 | 0.0302 | -0.0655 | -0.0404 |
| L5.Top Share (Top 10%; Lower Incomes) (s.e.) | (0.171) | (0.132) | (0.131) | (0.137) | (0.128) | (0.116) | (0.114) | (0.117) |
| L10.Top Share (Top 10%; Lower Incomes) | -0.146 | -0.135 | -0.152 | -0.134 | -0.0879 | -0.105 | -0.0335 | -0.0493 |
| L10.Top Share (Top 10%; Lower Incomes) (s.e.) | (0.102) | (0.0851) | (0.0799)* | (0.0888) | (0.0903) | (0.0809) | (0.0749) | (0.0736) |
| L15.Top Share (Top 10%; Lower Incomes) | -0.180 | -0.0514 | -0.0728 | -0.0605 | 0.0303 | 0.0328 | 0.118 | 0.0921 |
| L15.Top Share (Top 10%; Lower Incomes) (s.e.) | (0.118) | (0.0968) | (0.0939) | (0.0951) | (0.0937) | (0.0804) | (0.0727) | (0.0713) |
| L1.Top Share (Top 1%; Lower Incomes) | -0.0416 | -0.0387 | -0.0445 | -0.0382 | -0.0208 | -0.0229 | -0.00990 | 0.000384 |
| L1.Top Share (Top 1%; Lower Incomes) (s.e.) | (0.0421) | (0.0287) | (0.0277) | (0.0283) | (0.0286) | (0.0266) | (0.0275) | (0.0223) |
| L5.Top Share (Top 1%; Lower Incomes) | 0.0119 | -0.0101 | -0.00854 | -0.0143 | -0.00541 | -0.0229 | 0.000365 | 0.00487 |
| L5.Top Share (Top 1%; Lower Incomes) (s.e.) | (0.0653) | (0.0482) | (0.0472) | (0.0482) | (0.0448) | (0.0350) | (0.0318) | (0.0310) |
| L10.Top Share (Top 1%; Lower Incomes) | 0.0183 | 0.00119 | -0.00177 | 0.00491 | -0.0116 | 0.00935 | 0.0111 | 0.0279 |
| L10.Top Share (Top 1%; Lower Incomes) (s.e.) | (0.0365) | (0.0343) | (0.0340) | (0.0363) | (0.0379) | (0.0316) | (0.0318) | (0.0340) |
| L15.Top Share (Top 1%; Lower Incomes) | -0.104 | -0.0539 | -0.0665 | -0.0561 | -0.0257 | -0.0165 | -0.0161 | -0.0229 |
| L15.Top Share (Top 1%; Lower Incomes) (s.e.) | (0.0309)*** | (0.0260)** | (0.0257)** | (0.0258)** | (0.0240) | (0.0265) | (0.0221) | (0.0232) |