
Keywords: Vector Error Correction Model, long-run restrictions, news shocks
Abstract:
In a highly influential paper, Beaudry and Portier (2006) estimate Vector Error Correction Models (VECMs) on U.S. data and find that shocks generating a stock market boom but no contemporaneous movement in Total Factor Productivity (
) -- henceforth called "
news" -- are closely related to shocks driving long-run variations in
. Moreover, these
news cause increases in consumption, investment, output and hours on impact and constitute an
important source of business cycle fluctuations. These results run counter to basic dynamic stochastic general equilibrium (DSGE) models and have sparked a new literature attempting to generate news-driven positive comovement among macroeconomic aggregates.1
This comment shows that in the VECMs with more than two variables estimated by Beaudry and Portier (2006), their identification scheme fails to determine
news. Yet, these
higher-dimension systems are crucial to quantify the business cycle effects of
news.2 The identification problem arises from the interplay of two assumptions. First, the Beaudry-Portier identification scheme requires that one of the non-news shocks has no permanent impact on either
or consumption. Second, the VECMs estimated by Beaudry and Portier (2006) impose that
and consumption are
cointegrated. This means that
and consumption have the same permanent component, which makes one of the two long-run restrictions redundant and leaves an infinity of candidate solutions
with very different implications for the business cycle. The results reported in Beaudry and Portier (2006) represent just one arbitrary choice among these solutions.3
A potential way to address the identification problem is to drop the cointegration restriction between
and consumption. We do so by applying Beaudry and Portier's (2006) restrictions,
called the "BP restrictions" from hereon, on a vector autoregressive (VAR) system in levels that does not require any a priori assumptions about cointegration. The point estimates of the BP news shock responses in the level VAR resemble closely the results reported by Beaudry and Portier (2006)
for their VECM systems. However, this identification is surrounded by a tremendous degree of uncertainty because the VAR estimates imply about a 50% chance that
and consumption are
cointegrated, in which case the BP restrictions fail to identify
news. One can therefore not have any reasonable degree of confidence about the results obtained from the VAR in levels.
We also apply the BP restrictions to an alternative VAR system that, consistent with a large class of DSGE models, imposes absence of cointegration between
and consumption. In this
case, the identification problem disappears but the shock implied by the BP restrictions is largely unrelated to
. In sum, dropping the cointegration restriction between
and consumption fails to solve the identification problem or generates results that are difficult to interpret as news about future productivity.
The remainder of the comment proceeds as follows. Section 2 explains the identification problem arising with the BP restrictions. Section 3 applies the BP restrictions to VAR-based systems that do not impose cointegration between
and consumption. Section 4 evaluates the BP restrictions in VAR systems with alternative cointegration assumptions. Section 5 concludes by briefly describing alternative identification strategies of
news that do not depend on cointegration restrictions between
and
.
Beaudry and Portier (2006) estimate bivariate, three-variable and four-variable VECMs in
, a real stock market price (
), consumption (
), hours (
) and
investment (
). These VECMs can be expressed in vector moving average form as
Crucially, the VECM imposes a set of cointegration restrictions
, where
denotes the matrix of cointegrating vectors. As discussed by King, Plosser, Stock and Watson (1991) and Hamilton (1994), cointegration imposes restrictions on
. In particular, since
is stationary,
and thus,
is singular. This constrains the set of linearly independent restrictions that can be imposed on the VECM to identify structural shocks. The identification problem arising with the
BP restrictions stems from these constraints.
Identification maps
to structural shocks
by
, with
and thus
. Impulse responses to the structural shocks are then given by
. Beaudry and Portier's (2006) original idea is that news about future
do not have a contemporaneous effect on measured
; i.e. if the
news innovation is the second element of
, that the
element of
is zero. For the bivariate systems that Beaudry and Portier (2006) use as their baseline case, this restriction together with
uniquely identifies
news.
The identification problem arises in the three- and four-variate systems where one zero restriction is no longer sufficient to identify structural shocks. Beaudry and Portier's (2006) strategy consists of adding zero restrictions until identification is achieved. In the trivariate case, these
additional restrictions are that one of the non-news shocks has no permanent effect on
and
; so when this non-news shock is the third element of
, the
and
elements of the long-run impact matrix
are zero. In the four-variable case, the additional restrictions consist of the same two long-run restrictions plus the assumption that one
of the other non-news shocks can only have a contemporaneous effect on
, respectively
; so when this other non-news shock is the fourth element of
, the
,
and
elements of
are zero.
In a typical VAR, the additional zero restrictions, together with the zero impact restriction on
and
, would be sufficient to uniquely identify all elements of
and thus
news. Here, this is unfortunately not the case
because the three- and four-variable VECMs estimated by Beaudry and Portier (2006) are subject to two, respectively three cointegration restrictions; i.e.
is a
matrix, respectively a
matrix of linearly independent rows.5
Since
, the rows of
and
are linearly dependent of each other. In fact, given the number of cointegrating relationships,
and
are just of rank 1, and only one linearly independent restriction
can be imposed on
. One of the two long-run zero restrictions is therefore redundant, leaving
and the shock that is supposed to capture
news
under-identified.6
Another, perhaps more intuitive way to understand the identification problem is to realize that the imposed cointegration relationships imply for
and
to share a common trend. But then, when a particular shock, the third element of
in this case, is restricted to have zero long-run effect on
, it automatically also has zero long run effect on
.
The identification problem implies that there exists an infinity of solutions consistent with the BP restrictions. The results reported in Beaudry and Portier (2006) represent one particular solution but there is no economic justification for why this solution should be preferred over any of the
other solutions. As we show in the Web-Appendix, some of these solutions are not correlated with the shock driving long-run movements in
and generate very different impulse responses. In
the context of the three- and four-variable VECMs estimated by Beaudry and Portier (2006), it is therefore impossible to draw any conclusions about
news based on the BP restrictions.
A seemingly natural way to address the identification problem while keeping with the BP restrictions is to drop the cointegration restriction between
and
. Indeed, as Beaudry and Portier (2006) note themselves, the econometric evidence in favor of two versus one cointegration relationship between
,
and
is not clear-cut,
which leaves open the door that
and
do not share a common trend. Beaudry and
Portier (2006) entertain this possibility in the NBER working paper version of their paper where they report results for one of their baseline bivariate systems estimated as a VAR in levels; i.e. with no cointegration restrictions imposed. However, they do not report any results for level VARs with
more than two variables.
One important challenge with implementing the BP restrictions in a VAR in levels is that for the type of non-stationary variables involved in the estimation, there is no finite-valued solution for the long-run impact matrix of the different shocks. Hence, the long-run zero restrictions on which
Beaudry and Portier's (2006) identification scheme relies cannot be imposed exactly.7 We resolve this issue by first computing the linear combination of VAR
residuals that account for most of the forecast error variance (FEV) of
, respectively
, at a long but finite horizon of 400 quarters; and then using a projection-based procedure to implement the BP restrictions.8
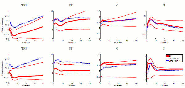
We estimate the three- and four-variable level VAR equivalents of Beaudry and Portier's (2006) VECMs using their original data with the number of lags set to four based on traditional information criteria and Portmanteau tests.9 The first row of Figure 1 reports the results for the four-variable level VAR in (
); the second row reports the results for the level VAR in (
). Very similar results obtain for the three-variable case and are therefore not reported. The red solid lines and the blue dashed lines display, respectively, the impulse
responses -- generated by the point estimates -- to the shock identified by the BP restrictions and the shock driving long-run variations in
. The grey intervals represent a measure of
uncertainty about the identification implied by the BP restrictions, which will be discussed further below.
| Figure 1 about here |
The impulse responses derived from the point estimates of both level VARs come surprisingly close to the results reported in Beaudry and Portier (2006) for their VECM systems.10 In particular, the shocks identified from the BP restrictions and the long-run
shock lead to almost identical impulse responses and account for a large
fraction of movements in
at longer-run frequencies and
,
and
at business cycle frequencies.
At first sight, one could thus be led to conclude that dropping the cointegration assumption by estimating VARs in levels addresses the identification problem and resurrects the results reported in Beaudry and Portier (2006). However, the reported impulse responses reflect just the point
estimates of the level VARs. The problem is that when sampling confidence sets from the estimated level VARs, about 50% of all draws imply that
and
share a common trend.11 But then, as described in the previous section, the BP
restrictions do not identify
news and one is left instead with an infinity of candidate solutions.
To illustrate this uncertainty about the BP identification, we take each draw that implies a common trend between
and
and compute all candidate solutions that are consistent with the BP restrictions and generate a positive impact response of
.12 The grey envelopes in Figure 1 show the resulting range of impulse responses. Clearly, the range is very wide, encompassing the zero line for all variables and
frequently extending far beyond the displayed scale. Hence, one cannot have any confidence in the impulse responses generated from the BP restrictions when evaluating the level VARs at their point estimates.
In principle, the lack of identification found in the VECMs could be addressed by estimating level systems, that do not impose the common trend assumption on
and
. For example, the point estimates of the level VARs generate a unique solution. But draws generated from the level VARs place sufficient odds in favor of the common trend assumption, such that this
approach does not successfully address the identification problem.
Alternatively, the identification can be addressed by estimating systems which impose that
and
have separate trends. Fisher (2010), for example, notes that DSGE models with neutral and investment-specific technology shocks imply that
is not cointegrated with
, while sharing a common trend with
and
.13 These balanced growth assumptions are straightforward to implement by estimating
a stationary VAR in
,
,
and
, respectively
.14 Since
is no longer cointegrated with
, the BP restrictions imply a unique identification across all draws.
| Figure 2 about here |
We estimate this stationary VAR specification with Beaudry and Portier's (2006) data and apply the BP restrictions. As shown in Figure 2, the resulting point estimates are very different from the ones reported in Beaudry and Portier (2006). In particular, the identified shock generates a
drop in
that lasts for 10 years or more and accounts for only a very small fraction of future movements in
. This makes it difficult to interpret the identified shock as news about future productivity.
This comment shows that the results reported in Beaudry and Portier (2006) are subject to an important identification problem. The problem arises from the interplay of long-run restrictions and cointegration assumptions that Beaudry and Portier (2006) impose with respect to
and
. Dropping the cointegration restriction between
and
by estimating a VAR in levels fails to address the identification problem because there is about a 50%
probability that
and
share a common trend. Alternatively, imposing that
and
are not cointegrated by estimating a stationary VAR generate dynamics for
that look very different from the ones reported in Beaudry-Portier (2006) and are difficult to interpret as news about future productivity.
The results raise the important question of how to identify
news in alternative ways. One example is Beaudry and Lucke (2010) who invoke short- and long-run zero restrictions for
non-news shocks that do not depend on cointegration between
and
. As Fisher
(2010) shows, however, the implications for
news coming out of this identification crucially depend on the number of cointegration relationships imposed.
Another strategy, recently proposed by Barsky and Sims (2011), is to identify
news as the shock orthogonal to contemporaneous
movements that accounts for the maximum share of unpredictable future movements in
. This strategy, which is consistent with
Beaudry and Portier's (2006) original idea that
is driven by a contemporaneous component and a slowly diffusing news component, has the advantage that it does not rely on additional zero
restrictions about other non-news shocks. As a result, it is robust to different assumptions about cointegration and can be applied to arbitrary vector moving-average systems. Interestingly, Barsky and Sims (2011) find that the
news resulting from their identification accounts for a substantial share of
and macroeconomic aggregates at medium- and long-run horizons.
However, their
news shock does not generate the type of joint increase in real macroeconomic aggregates on impact that Beaudry and Portier (2006) report and that generated a lot of
interest in the literature.
This appendix derives the vector-moving average (VMA) representation for the VECM systems and shows that the matrix of (non-structural) long-run coefficients,
, in equation (2) of the main paper, is singular when derived from the VECM systems estimated by Beaudry and Portier (2006). This relationship holds not only in population but
also for any set of sample estimates of the underlying VECM coefficients. Moreover,
has only rank 1, implying that only one (independent) long-run
restriction can be imposed on
. Since
is assumed to be non-singular, the same properties hold for the sum of the structural VMA coefficients
.
Let
be a vector of non-stationary
variables, which are
cointegrated such that
for some matrix of cointegrating vectors
. There is then a VECM representation
The associated state-space representation is:
|
(3) |
![]() |
As will be shown below, the matrix of long-run coefficients
is singular because of the assumed cointegrating relationships. In particular we have
, since
measures the long-run effect of a shock on the cointegrating vectors, which are stationary and thus their long-run responses are zero (Hamilton, 1994). In the
VECM systems used by Beaudry and Portier (2006), there are
cointegrating relationships, and
has
columns, when the VECM has
variables. Thus,
has only rank 1.
The same holds also in sample, for any point estimates of
,
and
-- provided that
is stable. This can be verified by computing the partitioned inverse of
:
![]() |
(4) |
| (5) | ||
And Sylvester's determinant theorem yields: |
||
| (6) | ||
Furthermore, it is straightforward to show that
for any point estimates of
,
and
. To see this, notice that
When
has
columns and
is a
matrix, it follows that
has rank 1.
This section shows how to implement the identification of long-run shocks to
in the VECM systems. Throughout, a one-to-one mapping is assumed between forecast errors
and structural shocks
,
which must obviously satisfy
.
For the VECMs considered by Beaudry and Portier (2006), there is a single common trend driving the permanent component of all variables, since there are
cointegrating relationships
when the system has
variables. For the sake of convenience, the shock driving this trend will be referred to as long-run shocks to
, while it should be understood that the same shock also accounts for all long-run movements in
,
and potential other variables, denoted
. This section describes how to construct these long-run shocks from the
reduced form parameters of the VECM.
Consider the matrix of structural long-run responses
, and let the first column of
be the responses of forecast errors to the long-run shock. Since no other shock is issued to have a permanent effect on any of the VECM's variables, it follows that
A singular-value decomposition of
yields
and
are conformably partitioned, unitary matrices,
Without loss of generality,
can be written as the product of
and another matrix
. As will be seen next, the long-run restriction requires that
is (block-) triangular:
![]() |
(9) |
The restriction
follows from (7) and (8), since it ensures that
![]() |
(10) |
factorizes
. A factorization of
that satisfies the long-run restriction (7) is the Choleski factorization. The first column of
-- the column associated with the long-run shock -- is then given by the first column of
| (11) |
| (12) |
The BP scheme for identifying news shocks hinges on two long-restrictions, namely that one of the non-news shocks has zero effect on
and
in the long-run. But as shown above, the matrix of long-run responses in the VECM's VMA representation is singular, with a rank of 1, and one of these long-run restrictions is superfluous, and news shocks are not uniquely identified by the BP scheme. This section describes how to compute the set of candidate shocks in the VECM systems, that are all consistent with the BP restrictions.
As an illustration, we reestimate Beaudry and Portier's (2006) four-variable VECMs with their original data and apply the procedure described here to obtain all possible impulse vectors that respect the BP restrictions and generate a positive impact response of the stock market. The results are reported in Section B.2 below.
To recap, the BP restrictions for the four-variable case are
A candidate vector of structural shocks can simply be constructed by applying a series of projections using the forecast errors
and long-run shocks
(see Appendix A.2) as follows:
For a given candidate vector of shocks
the corresponding candidate matrix
is equal to the covariance matrix
, which satisfies the BP restrictions by construction. All these computations hold both for population and sample moments.
For the trivariate VECMs, the procedure is identical, except for the absence of
. The set of BP candidate shocks is then described by any linear combination of the VECM residuals that is orthogonal to
on impact. Again, up to scale and sign, candidate shocks can be computed by projecting of any linear combination of the residuals of
and
, denoted
and
, off
.
The first row of Figure 1 reports the results for Beaudry and Portier's (2006) four-variable VECM in (
).15 The second row of
Figure 1 reports equivalent results for the four-variable VECM in
(
). Results for the trivariate VECM in (
) are very similar and are available upon request. The blue solid lines replicate impulse responses for the long-run
shock reported in Figure 8 of Beaudry and Portier (2006). The grey intervals show the range of candidate solutions consistent with the BP restrictions. Finally, Example 1 (dash-dotted black lines) and Example 2 (dotted red lines) display the impulse
responses for two particular solutions. Example 1 corresponds to the solution that fits the impulse response of
to the long-run shock best in a least square sense; Example 2 corresponds to
the solution that generates a near-zero response of
at the 40 quarter forecast horizon.
Consistent with the BP restrictions, none of the candidate solutions affect TFP on impact. Likewise but not shown here, none of the corresponding non-news shocks in the third position of
have a permanent effect on either
or
; and none of the corresponding non-news shocks in the fourth position of
have a contemporaneous effect on
,
and
. This confirms numerically that there is an infinity of candidate solutions satisfying
the BP restrictions.
The grey intervals and the two examples show that the candidate solutions have very different implications. As Example 1 shows, there exists a solution that appears very close to the impulse responses reported in Figure 8 of Beaudry and Portier (2006). By contrast, as Example 2 shows, another
solution that is equally consistent with the BP restrictions generates almost no reaction in
but a persistent drop in consumption and hours, respectively investment.
Given the very different results across rotations, it should not come as a surprise that the range of correlation coefficients between the shocks satisfying the BP restrictions and the long-run
shock is wide for both VECMs, ranging from about -0.50 to 0.99. Likewise, as Table 1 shows, the forecast error variance (FEV) shares of the different variables attributable to shocks consistent with the BP restrictions extends from basically 0% to
above 80% for certain forecast horizons.
| 1 | 4 | 8 | 16 | 40 | 120 | |
| VECM with |
0.00 - 0.00 | 0.78 - 1.56 | 0.94 - 9.09 | 1.47 - 9.03 | 2.04 - 28.04 | 2.53 - 84.41 |
| VECM with |
0.00 - 95.28 | 0.12 - 88.05 | 0.10 - 83.00 | 1.90 - 86.52 | 5.45 - 89.77 | 12.50 - 81.08 |
| VECM with |
0.00 - 95.43 | 1.50 - 88.29 | 1.73 - 83.25 | 0.94 - 82.65 | 0.46 - 88.02 | 0.34 - 95.64 |
| VECM with |
0.00 - 17.01 | 1.05 - 54.30 | 1.26 - 71.22 | 1.22 - 77.12 | 2.38 - 80.04 | 6.51 - 75.81 |
| VECM with |
0.00 - 0.00 | 0.82 - 1.24 | 0.91 - 8.84 | 1.29 - 8.78 | 2.87 - 18.38 | 2.41 - 81.92 |
| VECM with |
0.00 - 94.66 | 0.06 - 85.92 | 0.05 - 82.25 | 1.51 - 86.33 | 6.42 - 88.54 | 12.67 - 80.48 |
| VECM with |
0.00 - 94.52 | 1.54 - 84.44 | 1.76 - 79.27 | 0.97 - 80.10 | 0.41 - 87.31 | 0.32 - 95.69 |
| VECM with |
0.00 - 15.66 | 0.83 - 38.15 | 1.05 - 36.71 | 0.95 - 36.39 | 0.78 - 47.15 | 1.30 - 72.98 |
Each of these candidate solutions also implies different responses to the "demand shock",
. As required, all of these solutions have zero effect on
and
, and -- by virtue of the assumed common trend in all variables -- neither on
and
. This is illustrated in Figure 2, which depicts the set of impulse responses the demand shock in each VECM at very long horizons. These results
provide a computational consistency check, that the BP restrictions indeed hold for the entire range of shock responses shown in Figure 1.
This section describes the identification of BP shocks in the stationary VAR. The implementation is fairly similar to the VECM case described in Appendix B above. The major difference is that there is now a unique solution for the BP identification,
since the stationary VAR allows for distinct trends in
and
.
The BP news shock is constructed by projecting a linear combination of
off the measurement error shock
, the demand shock
and the forecast error in
. As before,
is given by projecting
off
. (The construction of the demand shock will be described further below.) Let these three innovations be stacked in a vector

What remains to be shown is the construction of the demand shock
, which in turn will depend on constructing two shocks, that drive the permanent components of
and
; denoted
and
. These two shocks can be constructed using the conventional procedure of Blanchard and Quah (1989) for long-run identification. Notice that these two shocks have no
structural interpretation in this context, they are merely sufficient statistics for implementing the long-run restrictions on the demand shock. Specifically, the long-run restrictions amount to require that
is orthogonal to
and
.
The long-run "innovations"
and
, are constructed by factorizing the long-run variance of
, denoted
as follows:
![]() |
||
![]() |
![]() |
Given
,
and
, the demand shock can be constructed as the standardized residual from projecting any linear combination of
onto
. Using similar reasoning as before, any linear combination yields the same
standardized residuals (except for the degenerate cases where the linear combination is completely spanned and the residuals are all zero).
As before, the matrix of impact coefficients
is identical to the matrix of covariances between VAR residuals and structural shocks, and these relationships hold in population as well as for sample moments.
Our implementation of the BP restrictions in the level VAR is very similar to the procedure for the stationary VAR outlined in Appendix C. For given shocks
,
and
, the news shock can be estimated as the projection residual between any linear combination of the VAR's forecast errors,
, and the above-mentioned three shocks. As before, the measurement error shock
, can be obtained by projecting the fourth VAR residual off the other three VAR residuals.
The only special feature of our implementation for the level VAR, is the identification of the long-run shocks. Since point estimates of the level VAR typically imply explosive behavior, the sum of the estimated VMA coefficients does not converge to a finite number, and long-run shocks cannot be constructed as in Blanchard and Quah (1989) by factorizing the long-run variance (see also Appendix D).
We follow Francis et al. (2012) and identify the long-run shocks based on their explanatory power for variations in
and
at long but finite horizons. Specifically, we construct
, to explain as much as possible of the forecast-error variance of
at
lags, and similarly for
and
.
For this method it is convenient to express the identification in terms of an orthonormal matrix
(
). and not in terms of the matrix of impact coefficients
, where both are assumed to be related via the Cholesky decomposition of the VAR's forecast error variance,
chol
.
We seek the column of
, associated with a long-run shock to
. Denoting
this column
, it solves the following variance maximization problem
| subject to |

is orthonormal.
The procedure is analogous for
, using instead of
a vector
, which selects
from the vector of VAR variables.
A similar procedures is also used to identify news shocks as defined by Barsky and Sims (2011) and Beaudry et al. (2011). There are just two differences: First, both procedures uses different forecast horizons. Beaudry et al. consider forecast horizons of of 40, 80 or 120 leads; and our paper
reports results for 120 leads. Barsky and Sims average over the forecast error variances at leads one to 40. Second, both approaches impose the additional requirement that the maximizing shock vector
is orthogonal to a vector which selects
from the set of VAR variables; in the present context, this requirement amounts to the first element of
being zero.
As a necessary condition,
and
must not be perfectly correlated, to obtain a unique solution to the projection-based procedure described in Appendix C. When both long-run shocks are perfectly correlated, the orthogonal complement to the space spanned by
is not anymore one-dimensional. (A similar issue would arise, if one of the two
long-run shocks were perfectly correlated with
, the measurement error shock to the fourth variable.)
When simulating confidence sets for the level VARs, we found that for about 50% of the draws,
and
are so highly collinear, that their variance covariance matrix is ill-conditioned. As a consequence, the variance-covariance matrix of
is ill-conditioned. In these cases, we treat
and
as perfectly correlated, such that
and
share the same common trend. The news shocks are then underidentified, and an infinite number of solutions can be traced out, using a procedure analagously to what is described in Appendix B.
This appendix provides the following supplemental results: Figure 3 reports impulse-responses to the BP shocks in the level VARs. The results are identical to those shown in Figure 1 of the paper, except that Figure 3 displays the results at full scale. Table 2 reports the shares of forecast error variances explained by the BP shocks at different horizons in the level VARs, and Table 3 reports the analogous results for the stationary VARs.
Note: The results shown in this figure are identical to Figure 1 of the main paper, except for the scale of each plot. The top row depicts estimates generated by the VAR in| 1 | 4 | 8 | 16 | 40 | 120 | |
| VAR with |
0.00 | 0.29 | 4.85 | 8.63 | 2.89 | 76.25 |
| VAR with |
(0.00 - 99.08) | (0.02 - 97.58) | (0.13 - 98.47) | (0.06 - 98.44) | (0.06 - 99.16) | (0.22 - 99.99) |
| VAR with |
70.24 | 82.35 | 85.37 | 84.95 | 88.53 | 96.46 |
| VAR with |
(0.00 - 99.28) | (0.06 - 98.69) | (0.02 - 98.53) | (0.05 - 98.70) | (0.16 - 99.18) | (0.51 - 100.00) |
| VAR with |
43.39 | 43.23 | 44.26 | 51.92 | 73.33 | 91.08 |
| VAR with |
(0.00 - 99.76) | (0.01 - 99.75) | (0.06 - 99.29) | (0.03 - 99.62) | (0.07 - 99.93) | (0.42 - 100.00) |
| VAR with |
14.64 | 46.76 | 68.85 | 82.18 | 90.07 | 94.28 |
| VAR with |
(0.00 - 86.73) | (0.16 - 84.87) | (0.18 - 94.73) | (0.12 - 98.96) | (0.14 - 99.91) | (0.10 - 100.00) |
| VAR with |
0.00 | 0.24 | 3.39 | 6.29 | 1.99 | 63.44 |
| VAR with |
(0.00 - 99.55) | (0.01 - 99.21) | (0.01 - 96.75) | (0.01 - 96.54) | (0.11 - 98.86) | (0.43 - 99.96) |
| VAR with |
53.26 | 67.86 | 72.42 | 74.24 | 79.47 | 89.43 |
| VAR with |
(0.00 - 95.56) | (0.04 - 96.82) | (0.09 - 97.51) | (0.03 - 98.78) | (0.11 - 99.52) | (0.31 - 100.00) |
| VAR with |
59.11 | 53.94 | 54.37 | 60.25 | 78.62 | 94.74 |
| VAR with |
(0.00 - 99.90) | (0.01 - 99.38) | (0.02 - 99.80) | (0.05 - 99.97) | (0.09 - 100.00) | (0.24 - 100.00) |
| VAR with |
10.02 | 31.71 | 42.06 | 48.08 | 61.17 | 86.73 |
| VAR with |
(0.00 - 74.91) | (0.01 - 80.80) | (0.00 - 90.66) | (0.01 - 95.07) | (0.05 - 98.75) | (1.18 - 100.00) |
| 1 | 4 | 8 | 16 | 40 | 120 | |
| TFP |
0.00 | 1.15 | 11.34 | 12.21 | 5.15 | 24.64 |
| TFP |
(0.00 - 0.00) | (0.52 - 6.94) | (3.98 - 27.20) | (4.52 - 36.54) | (3.79 - 40.14) | (5.93 - 66.27) |
| C |
81.81 | 87.63 | 83.20 | 79.69 | 75.86 | 76.25 |
| C |
(50.99 - 97.66) | (64.76 - 95.13) | (60.10 - 92.69) | (56.00 - 91.38) | (49.39 - 92.08) | (45.03 - 92.74) |
| SP |
28.34 | 26.25 | 21.60 | 25.94 | 45.08 | 57.35 |
| SP |
(3.89 - 90.18) | (4.40 - 81.52) | (3.71 - 71.62) | (4.53 - 69.78) | (12.08 - 79.89) | (24.61 - 84.33) |
| H |
15.76 | 51.14 | 63.22 | 64.94 | 64.51 | 60.38 |
| H |
(7.67 - 27.50) | (33.15 - 66.25) | (39.68 - 79.52) | (41.03 - 83.46) | (40.11 - 84.32) | (33.53 - 83.12) |
| TFP |
0.00 | 0.67 | 8.31 | 10.41 | 6.63 | 1.25 |
| TFP |
(0.00 - 0.00) | (0.41 - 5.98) | (2.31 - 22.82) | (2.85 - 30.85) | (2.51 - 35.91) | (1.69 - 47.34) |
| C |
89.55 | 85.04 | 78.64 | 74.27 | 63.75 | 43.72 |
| C |
(50.50 - 96.63) | (48.97 - 91.64) | (43.31 - 89.72) | (42.58 - 89.78) | (37.11 - 90.05) | (25.49 - 91.50) |
| SP |
13.49 | 11.48 | 8.20 | 6.29 | 5.60 | 6.17 |
| SP |
(1.72 - 88.66) | (1.97 - 82.49) | (2.29 - 70.79) | (2.41 - 67.68) | (2.09 - 67.15) | (3.16 - 66.81) |
| I |
0.47 | 15.07 | 18.05 | 18.03 | 21.62 | 27.97 |
| I |
(0.04 - 4.57) | (4.98 - 32.61) | (4.70 - 44.22) | (5.61 - 45.39) | (9.08 - 49.15) | (15.63 - 61.45) |
Note: Shares of forecast error variances at different horizons explained by the shocks identified by BP restrictions in the stationary VAR. Results are generated from VARs with 4 lags. 80 percent confidence sets reported in parentheses below the point estimates.