
Board of Governors of the Federal Reserve System
International Finance Discussion Papers
Number 864, August 2006-Screen Reader Version*
NOTE: International Finance Discussion Papers are preliminary materials circulated to stimulate discussion and critical comment. References in publications to International Finance Discussion Papers (other than an acknowledgment that the writer has had access to unpublished material) should be cleared with the author or authors. Recent IFDPs are available on the Web at http://www.federalreserve.gov/pubs/ifdp/. This paper can be downloaded without charge from the Social Science Research Network electronic library at http://www.ssrn.com/.
Abstract:
Over the past twenty years, U.S. import prices have become less responsive to the exchange rate. We propose that a significant portion of this decline is a result of increased trade integration. To illustrate this effect, we develop an open economy DGE model in which trade occurs along both the intensive and extensive margins. The key element we introduce into this environment is strategic complementarity in price setting. As a result, a firm's pricing decision depends on the prices set by its competitors. This feature implies that a foreign exporter finds it optimal to vary its markup in response to shocks that change the exchange rate, insulating import prices from exchange rate movements. With increased trade integration, exporters have become more responsive to the prices of their competitors and this change in pricing behavior accounts for a significant portion of the observed decline in the sensitivity of U.S import prices to the exchange rate.
Keywords: Pass-through, trade integration, strategic complementarity
JEL Classification: F15, F41
An important factor influencing trade balance dynamics and the transmission of business cycle across countries is the responsiveness of import prices to exchange-rate movements. To the extent that exchange-rate pass-through to import prices is low, currency fluctuations will be accompanied by small changes in trade prices and quantities, muting the international spillover effects of shocks on domestic activity and prices. As a consequence, exchange-rate pass-through is particularly relevant for monetary policymakers interested in maintaining price stability.1Furthermore, in a low pass-through environment, the effects of a dollar depreciation on the trade balance may be limited, which has important ramifications for the ongoing debate concerning how adjustment of the current U.S. trade deficit may be resolved.2
What is the extent of exchange-rate pass-through (pass-through herein) to import prices? Consistent with the evidence surveyed in Goldberg and Knetter (1997), our estimate of pass-through for the 1980s is roughly 55 percent for the United States. This estimate implies that, following a 10 percent depreciation of the dollar, a foreign exporter selling to the U.S. market would raise its price in the United States by 5.5 percent. In the 1990s, however, we document that there has been a considerable decline in pass-through, as fluctuations in import prices have moderated substantially relative to exchange rate fluctuations.3
In this paper, we develop a novel approach that links this fall in pass-through to an increase in trade integration spurred by lower tariffs, transport costs, and changes in relative productivities across countries. Following the recent international trade literature, we build a real, open economy model with endogenous entry and exit of exporters so that trade occurs along both the intensive and extensive margins.4We study incomplete pass-through building on the work of Kimball (1995) and more recently, Dotsey and King (2005). These papers allow for strategic complementarity in price setting using demand curves for which (the absolute value) of the demand elasticity is increasing in a firm's price relative to the price of its competitors.5 This feature implies that a firm's pricing decision depends not only on its marginal cost but also on the prices of its competitors. Because a foreign exporter does not want its price to deviate too far from its competitors, it is optimal for the exporter to increase its markup in response to a dollar appreciation that lowers its costs in dollars. Accordingly, pass-through of exchange-rate changes to import prices is incomplete in an environment with strategic complementarity in price setting.
It is well known that models with strategic complementarity have incomplete pass-through. Our main contribution is to show that, in a model with strategic complementarity, factors that lead to greater trade integration may reduce pass-through. In our model, lower per-unit trade costs or higher productivity improve the relative competitiveness of a foreign exporter in the domestic market - allowing the foreign firm to increase its relative markup over costs.6 With strategic complementarity, the foreign exporter's price becomes more responsive to the prices of its competitors as its markup increases, and the firm finds it optimal to vary its markup more and its price less in response to an exchange rate movement, i.e., lower pass-through. In our model, strategic complementarity thus induces an exporter to set a relatively high and variable markup when its costs are lower than its competitors and a low and unresponsive markup when its costs are relatively high. We show that this mechanism has a significant impact on the pricing behavior of exporting firms. In our benchmark calibration, lower trade costs and higher foreign productivity account for about one third of the observed decline in pass-through since the early 1990s.
We also assess the importance of exporters' entry decisions for trade integration and exchange-rate pass-through. With endogenous entry, the model is better able to account for the rise in the U.S. import share over the last 25 years. Similar to Dornbusch (1987), the entry of foreign exporters, other things equal, leads to a rise in exchange-rate pass-through. However, we show that following a reduction in the cost of exporting the effects of markups adjustments that arise only along the intensive margin largely dominate the impact of entry on pass-through.
Another implication of our model is that factors that increase trade integration induce an economy to become more competitive. Because lower trade costs reduce the prices of foreign exports relative to domestic producers, domestic producers lose market share. Strategic complementarity in price setting induces these producers to reduce their markups in response to the decline in the prices of foreign exporters.7 The approach developed in this paper is thus in line with the view that trade integration has reduced the market power of U.S. producers and squeezed their profit margins.
Finally, to support our theoretical findings, we provide empirical evidence linking the fall in pass-through to lower trade costs. Using industry specific measures of pass-through and trade costs, we show that industries in which the decline in trade costs has been relatively large have also experienced relatively large declines in pass-through.
The paper is organized as follows. The next section presents evidence on the decline in pass-through in the United States, while Section 3 describes the time-series properties of trade costs and documents changes in productivities in different regions of the world. The model is described in Section 4, and we relate our statistical measure of pass-through to the model in Section 5. Section 6 discusses the model's calibration and our results are presented in Section 7. The last section concludes.
We first examine the statistical relationship between import prices and the exchange rate and document the increasing disconnect between these variables.
In our analysis, we focus on imports that are included in the end-use categories of automotive products, consumer goods, and capital goods, excluding computers and semiconductors. We will refer to these categories as finished goods, which account for 45 percent of the nominal value of total imports since 1987.
We concentrate on this more narrowly defined measure of import prices for two reasons. First, we exclude import prices of services, computers, and semiconductors because of concerns about price measurement. Prices for services are notoriously hard to measure. In addition, over time, different kinds of services have been added to the measured series and thus their composition is particularly unstable. We also exclude computers and semiconductors since their hedonic prices are heavily influenced by rapid increases in technology.
Second, our preferred measure excludes import prices of foods, feeds, beverages, and industrial supplies, because we view our model as less applicable to these categories.8 In particular, we model the determination of import prices as arising from the decisions of firms that are monopolistic competitors and have the ability to price discriminate across countries. In the context of our model, excluding these goods is sensible since many of these goods are homogeneous and are traded on organized exchanges, so that the extent of monopolistic behavior and price discrimination is limited.
We argue that the decline in pass-through can be understood using a real model and thus focus on real import prices and real exchange rates. Accordingly, we define the real price of imports as the ratio of the finished goods import price deflator to the U.S. CPI deflator. Henceforth we will refer to our relative price index of finished goods as the relative price of imports. For our measure of the real exchange rate, we use the Federal Reserve's real effective exchange rate, which is constructed from data on nominal exchange rates and consumer price indices for 39 countries.
The top panel of Figure 1 plots the relative price of imports and the real exchange rate (as the inverse of the Federal Reserve's real effective exchange rate) so that a rise in the real exchange rate denotes a real depreciation of the dollar. Our relative import price index (the solid green line) has fallen over time, reflecting in part that goods' prices have declined relative to the prices of services. To abstract from this trend, the dashed orange line shows the ratio of the price of imported goods to a consumption price index that excludes services.9 Using this series, it is apparent that real import prices and the real exchange rate in the 1980-2004 period have tended to move closely together, although movements in import prices tend to be dampened relative to the exchange rate. This series also suggests that in the 1990s movements in relative import prices have become more disconnected from movements in real exchange rates. Import prices rose in the 1970s with the dollar's depreciation and also rose sharply in the late 1980s with the large dollar depreciation beginning in 1985. In contrast, import price movements have been much more subdued in the 1990s: even though the dollar depreciated in the early 1990s and then appreciated in the latter half of the decade, import prices remained relatively unchanged.
The same basic pattern emerges when we remove the trends in relative prices by examining the series in log-differences. The middle panel of Figure 1 plots the relative price of imports (the solid green line) and the real exchange rate (the dashed orange line) after log-differencing these series. The relative import price, though less volatile than the real exchange rate, is highly correlated with it. Moreover, import price volatility appears to have moderated relative to exchange rate volatility since the late 1980s.
Table 1 summarizes these findings by
comparing the volatility and correlation of the relative import
price and the real exchange rate over different subsamples. The top
panel shows the results for the data in differences and the bottom
panel for HP-filtered data. Both the HP-filtered and differenced
data show a marked decline in the ratio of the standard deviation
of import prices,
, to the
standard deviation of the exchange rate,
, in the
latter half of our sample. The correlation of the relative import
price with the real exchange rate has declined noticeably as
well.
Another important statistic summarizing the relationship between these two series is:
We view the decline in
as a
useful way of summarizing the increasing disconnect between the
relative import price and the real exchange rate. Our summary
statistic,
, is
closely related to estimates of pass-through in empirical studies.
One notable difference is that these studies typically estimate a
specification for import prices with the exchange rate controlling
for a number of other factors influencing import prices. A recent
paper that follows this approach is Marazzi, Sheets, and Vigfussen (2005), who argue that
pass-through of exchange rate changes to import prices has fallen
from about 0.5 in the 1980s to a current estimate of 0.2. One
reason we choose to use the statistic
is that
it eases comparisons between the model and the data. However, we
note that we get comparable estimates to Marazzi, Sheets, and Vigfussen (2005) regarding
the change in the relationship between import prices and the
exchange rate.10
Examining more dissaggregated data, we also document that the
decline in pass-through is broad-based. For industry i, Figure 2 reports our
summary statistics,
,
using data in log-differences on prices for each of 40 finished
goods industries (a mixture of two- and three-digit SITC
industries) and our real exchange rate measure defined earlier.
(See the appendix for a description of these industries.) This
statistic is computed for two sample periods: pre- and post-1990.
As can be seen in Figure 2, most
industries have experienced a sizeable decline in
.
Taking a simple average across industries, the mean value of
declined almost 40 percentage points, from an industry-average
value of 0.61 pre-1990 to a value of 0.22 post-1990.
Overall, the evidence suggests that there has been an increasing disconnect between the price of imported finished goods and the exchange rate.11
In this section, we address the time series evidence regarding whether tariffs and transport costs have fallen over time as well as discuss the behavior for other forms of trade costs. We also examine the data on changes in the relative productivity of the United States vis-à-vis its trading partners.
Barriers to international trade take many forms, some less tangible than others. Typically, tariffs and transport costs come to mind as factors impeding the flow of goods across countries. However, international trade can also be hindered by the presence of legal and regulatory costs, distribution costs, and institutional and cultural barriers. Although tariffs and transport costs make up only a fraction of overall trade costs, they remain an important factor underlying the movement towards greater trade integration. For instance, Baier and Bergstrand(2001) find that the decline in tariff rates and transport costs played an important role in post-World-War-II expansion in international trade for OECD countries.12
Data on tariffs and transport costs support the notion that trade costs have been falling over time. For the United States, detailed information on tariffs and transport costs are available from Feenstra (1996) and Feenstra, Romalis, and Schott (2002) who have compiled product-level import data. Using this data, we compute tariffs and transport costs for finished-goods industries from 1980 to 2001. For each available industry, we measure trade costs as the sum of transport costs and tariffs and compute an industry-weighted average trade cost measure. (See the appendix for the details of these calculations.)
Figure 3 reports that, over our sample period, the average trade cost across industries fell from 11.1 percent of the custom value of the goods in 1980 to 5.2 percent in 2001. The figure also decomposes our average trade cost measure into its tariffs and transport costs components. It shows that transport costs have declined somewhat since 1980 but that the fall in trade costs has been driven mostly by a reduction in tariffs.
Although tariffs and transport costs have the advantage of being relatively easier to quantify, it is more difficult to measure precisely other forms of trade costs, since they are often not directly observable. As a result, researchers infer these costs by estimating gravity models of international trade. This literature finds mixed evidence regarding a possible decline in overall trade costs.13 As a result, we take a conservative approach and focus only on the evidence regarding transport costs and tariffs.
Since trade integration can also be triggered by improved productivity of exporting firms, we document changes in relative productivity across countries. The top panel of Figure 4 displays the annualized percentage change in GDP per employee for the United States (`US'), its foreign counterpart (`ROW'), and other regions around the world for the 1980-2003 period.14 These indices are constructed using data on GDP per employee, and the ROW index is based on data for OECD and major developing countries. Growth in GDP per employee outside the United States outpaced U.S. growth largely due to faster productivity growth in developing Asia (`DA'), which includes a number of rapidly-developing countries such as China and South Korea. Productivity growth in Europe (`EU') was roughly on par with growth in the United States, while Japanese (`JA') productivity growth was somewhat faster than in the United States, despite a marked deceleration in Japanese productivity in the 1990s.
With foreign labor productivity growth higher than U.S. productivity growth over the last two decades, there has been considerable convergence of foreign productivity to the level of U.S. productivity. The bottom panel of Figure 4 shows that GDP per employee outside the United States roughly doubled over the 1980-2003 period, while U.S. GDP per employee rose about 40 percent over this period. As a consequence, the level of foreign productivity has increased by 40 percent relative to U.S. productivity over the past twenty-five years.
Our model consists of a home and a foreign economy. These two economies have isomorphic structures so in our exposition we focus on describing only the domestic economy. The domestic economy consists of two types of agents: households and firms. Households have utility that depends on the consumption of both domestically-produced goods and imported goods. These goods are purchased from monopolistically competitive firms, who set prices flexibly each period. While the range of goods produced by these firms is exogenously given, the fraction of firms that export is determined endogenously. In particular, because a firm must pay both a fixed and variable cost to export its good, it may choose to sell its good only in the domestic economy. The key element we introduce into this environment is that a firm's demand curve has a non-constant elasticity so that exchange-rate pass-through to import prices may be incomplete.
We abstract from other features such as sticky prices and distribution costs that give rise to incomplete pass-through. We view our approach as largely complementary to these alternatives. For instance, Bergin and Feenstra (2001) have shown that the interaction of demand curves with non-constant elasticities and sticky prices denominated in local currency is helpful in accounting not only for incomplete pass-through but also for the observed volatility and persistence of the exchange rate. Our approach also would complement models that include a distribution sector for traded goods such as Corsetti and Dedola (2005) and Corsetti, Dedola, and Leduc (2005) and results in incomplete pass-through to import prices at both the retail level and the point of entry. Although nominal rigidities or distribution costs imply incomplete pass-through, it is more difficult to account for the decline in pass-through based exclusively on these features. For simplicity and to emphasize the role of trade integration and strategic complementarity in price setting, we therefore choose not to incorporate these elements into our analysis.
The utility function of the representative household in the home country is
Household's receive income from working and an aliquot share of
profits of all the domestic firms,
. In choosing
its contingency plans for
,
,
, a household
takes into account its budget constraint at each date:
There is a continuum of goods indexed by
produced in
each economy. While a domestic household purchases all of the
domestically-produced goods, there are only
that are available for imports, where
denotes
the endogenously determined fraction of traded foreign goods. A
household chooses domestically-produced goods,
, and imported goods,
, to minimize
their total expenditures:
. In minimizing its expenditures, a household takes the
prices of the domestic, The function,
, is a household's demand aggregator for producing a unit
of
and is defined
by:
|
(6) |
|
(7) |
Our demand aggregator adapts the one discussed in Dotsey and King (2005)
to an international environment. It shares the central feature that
the elasticity of demand is nonconstant (NCES) with
, and the (absolute value of
the) demand elasticity can be expressed as an increasing function
of a firm's relative price when
15 This
feature has proven useful in the sticky price literature, because
it helps mitigate a firm's incentive to raise its price after an
expansionary monetary shock in the context of a model in which
other firms have already preset their prices. It is also consistent
with the evidence that firms tend to change their prices more in
response to cost increases than decreases (see, for instance,
Peltzman (2000)). Another important implication of this
aggregator, discussed below, is that exchange-rate pass-through to
import prices will be incomplete when the elasticity of demand is
increasing in a firm's relative price.
Expenditure minimization by a domestic household implies that the demand curve for an imported good is given by:
|
(10) |
|
(11) |
A property of these demand curves is that the elasticity of
substitution between a home and foreign good can differ from the
demand elasticity for two home goods. This separate elasticity for
goods occurs when
, which gives the model more flexibility to
match estimates of the elasticity of substitution between home and
foreign tradeables as well as estimates of economy-wide markups.
More importantly, when
, the demand curve has an additive linear
term, which implies that the elasticity of demand depends on the
price of good
relative to
other prices. It is this feature that helps give rise to incomplete
pass-through to import prices and implies that pass-through depends
on the economy's structure including the underlying shocks.
The aggregate consumer price level is given by
|
(12) |
The production function for firm i is linear in labor so that
| (13) |
Firms in each country are monopolistically competitive and each firm sells its good to households located in its country. Profit maximization implies that a firm chooses to set its price as a markup over marginal cost. As a result, the price of good i in the domestic market satisfies:
|
(16) |
Equation (15) shows that a firm's
markup depends on the price it sets relative to its competitors
price
. When the
(absolute value of) the demand elasticity is increasing in
, the markup will be a
decreasing function of this relative price. Consequently, a firm
will respond to a fall in the price of its competitors by lowering
its markup and price. A firm finds it desirable to do so, because
otherwise it will experience a relatively large fall in its market
share. An important exception to this pricing behavior is the CES
demand curve in which
. In this case, a firm's markup does not depend
on the relative price of its competitors.
We view our setup with variable markups as a tractable way to capture the strategic complementarity amongst price-setting firms. Although we do not explicitly model strategic behavior using a game-theoretic framework, our setup has similar implications to those of Bodnar, Dumas, and Marston (2002), Bernard, Eaton, Jensen, and Kortum (2003), and Atkeson and Burstein (2005) who model the strategic complementarity that arises between firms through Cournot or Bertrand competition. These alternative setups, like ours, give rise to a markup that is increasing in a firm's market share or decreasing in its price relative to those of its competitors.
Following Melitz (2003), Ghironi and Melitz (2005) and Bergin and Glick (2005), we allow for the endogenous entry and exit of firms into the export market. In particular, we assume that each period a firm faces a fixed and per-unit export cost and decides whether to export or not. Unlike these previous papers, which allow productivity to vary with a good's type, we assume that the fixed cost varies with the variety of the good.17 In particular, we assume that the fixed cost is given by:
|
(17) |
Since an exporter must make its entry decision before the
realization of shocks in period
, a firm will choose to export if its expected
profits from exporting (appropriately weighted) exceed its fixed
cost:
|
(19) |
Similar to a firm's pricing decision in the domestic market, profit maximization implies that a firm chooses its export price as a markup over marginal cost:
Comparing equations (14) and (20), we note that the law of one price (i.e.,
) will not hold when
. In addition, because the demand elasticity
can differ across markets (i.e.,
), a firm will
optimally choose to price discriminate. It will be able to do so,
if the difference between a firm's price in the two markets
(expressed in the same currency unit) is less than the cost of
shipping the good:
The home economy's aggregate resource constraint can be written as:
|
(23) |
We consider two alternative definitions for import price
pass-through. For the first, we define pass-through from the
perspective of an individual exporter who views the exchange rate
as exogenous. This definition considers how much an individual
exporter changes his price in response to a one percent change in
the exchange rate, holding constant the other factors a firm takes
as given: its marginal cost and the prices of other firms. Letting
and
denote the relative
price of exporter i and the relative
price of its competitors, respectively, a foreign exporter's
pricing equation can be written as:
From the expression directly after the equality, we can see that
if
then direct
pass-through will be incomplete.20 In this case, a one percent increase
in
drives up a
foreign exporter's cost when denominated in dollars; however, a
firm does not raise its price a full one percent because as the
exporter's price rises relative to its competitors, it induces the
exporter to accept a lower markup rather than give up market
share.
Alternatively, the expression after the second equality in
equation (25) indicates that direct
pass-through depends on the level of the markup and the elasticity
of the elasticity of demand,
. This expression is similar to the one derived by
Eichenbaum (2003) in a closed economy context. With
, the elasticity of the
elasticity of demand is positive and as a result
.
To facilitate comparisons of our model with the data, in
addition to our direct pass-through measure, we also examine our
model's implications for the second moment
previously defined (in log-differences) as:
|
(26) |
|
(27) |
In our analysis, we focus on comparing our model results to the
data for
rather
than
. This
reflects that
is a
second moment that is easily measured in the data. In contrast,
measuring
is
complicated by finding good measures of marginal costs and the
prices of a firm's competitors as well as correctly specifying the
equations for estimating
and dealing
with the endogeneity of the exchange rate and the prices of other
firms.
In order to investigate the role of trade costs and productivity differentials on pass-through, we log-linearize and solve the model around two different steady states. In the first, the home and foreign economies are identical, and both economies have relatively high trade costs. We call this our benchmark calibration. In the second, we lower trade costs as well as raise the level of foreign productivity, keeping the remaining parameters constant.21 We call this the 2004 calibration.
The value of
,
which governs the curvature of the demand curve, is critical for
our analysis. Faced with sparse independent evidence regarding this
parameter, we calibrate it as a part of a simulated method of
moments procedure. Specifically, we choose
along with the standard
deviations of the iid technology and
trade cost shocks so that the model's implications for the
volatility of output, the ratio of the volatility of relative
import prices to the real exchange rate, and the correlation
between relative import prices and the real exchange rate match
those observed in the 1980-1989 period. In doing so, we constrain
the standard deviation of the technology shocks and trade costs
shocks to be the same in both countries (i.e.,
and
. By construction, our
model matches the observed value of
for the
1980s. With
pinned
down based on the pre-1990s data, we then examine the fall in
arising
from a fall in trade costs and a higher level of foreign
productivity.
Tables 2 show our calibrated value of
as well as the
calibrated values of other important parameters of the model. We
choose
to be
consistent with an exporter's markup over marginal cost of around
20 percent in the benchmark calibration. We set
, which
implies an aggregate trade-price elasticity for the benchmark
calibration of 2.22 The
discount factor
,
and the utility function parameter
is set to 1.5, which implies a Frisch elasticity
of labor supply of 2/3. We set
and
to
imply
in the
benchmark calibration.
For the initial levels of technology, we choose
. As discussed earlier,
foreign technology rose about 40 percent relative to the level of
U.S. productivity over the past 25 years. For the 2004 calibration,
we choose a more conservative 35 percent increase in relative
productivity by setting
. Consistent
with Figure 3, we set
in the
benchmark calibration and lowered
in the
2004 calibration.
For the fixed costs of trade we set
which implies that the import
share in the home economy is about 10 percent. Since we assume that
trade is balanced in the initial steady state, the foreign economy
has the same import share. We choose
so that after the fall
in trade costs and increase in foreign productivity the home
country's import share rises about 4 percentage points.
We also compare our benchmark calibration to one with CES
preferences (i.e.,
). Table 2 reports
the parameter values used for the CES calibration, which were
selected in an analogous manner to our benchmark calibration. Table
3 shows that both the CES and benchmark
calibration (by construction) match the observed volatility of
output and correlation between import prices and the exchange rate
in the 1980s. However, only the benchmark calibration with
has the
flexibility to match the observed value of
in the
1980s. Although the benchmark calibration implies slightly more
exchange rate volatility than the CES calibration, both versions of
the model understate the amount of volatility relative to the data.
Thus, while the NCES demand curves better account for the observed
relationship between the relative import price and the real
exchange rate, they do not by themselves explain other important
aspects of the data emphasized in the international business cycle
literature.23
To gain intuition for our main results, we first illustrate the
implications of our setup for pass-through in partial equilibrium.
We then demonstrate how our preferred measure of pass-through,
, depends
on the economy's shocks. Finally, we discuss our main findings
regarding the effects of falling trade costs and higher foreign
productivity on pass-through. In doing so, we pay particular
attention to the influence of both the intensive and extensive
trade margins.
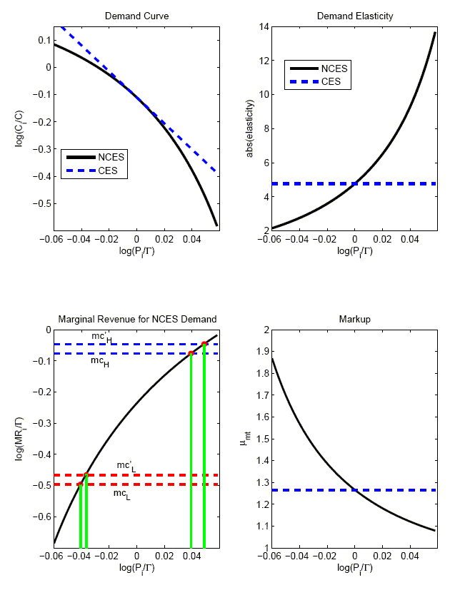
The upper left panel of Figure 5 plots
our calibrated demand curve of import good i and compares it to the CES demand curve. The
absolute value of the demand elasticity for good i,
, is shown in the upper
right panel. Our calibrated demand curve is consistent with
strategic complementarity in price setting, as the absolute value
of the elasticity is increasing in an exporter's relative price.
Therefore, an exporter finds it optimal to reduce its markup rather
than increase its prices, and, hence, direct pass-through,
, is
incomplete.
Another important implication of our demand curve is that pass-through will fall with a decline in the cost of exporting. Thus, our model will be able to account for a declining pass-through via either a fall in trade costs or a rise in foreign productivity relative to U.S. productivity. We now discuss the intuition for this result.
We begin by noting that foreign exporter i's marginal revenue satisfies:
A consequence of the concavity of the marginal revenue schedule
is that a fall in an exporter's costs will result in a decline in
direct pass-through. To illustrate this point, consider the dashed
blue line, labelled
,
of the lower left panel, which shows the logarithm of the
exporter's marginal cost denominated in domestic currency units
(also scaled by
). At this
portion of the marginal revenue schedule, a real (exogenous)
depreciation of the domestic currency that results in a 3 percent
increase in firm i's marginal cost (
) only
results in about a 1 percent increase in a firm's relative price,
so that direct pass-through is roughly 33 percent. Now, suppose a
fall in trade costs shifts the firm's marginal costs down to
. In this case,
a 3 percent real depreciation of the domestic currency increases
the exporter's costs from
to
and
results in only about a 0.45 percent increase in relative price, so
that direct pass-through is roughly 15 percent. Pass through is
lower for a low-cost producer because a cost increase requires a
smaller increase in price, since the associated rise in the demand
elasticity provides an extra boost to marginal revenue.
In comparison, under CES demand curves direct pass-through of exchange-rate changes will be complete: A two percent home currency depreciation results in a two percent increase in price regardless of an exporter's costs. This reflects the fact that the demand elasticity, and thus the markup, do not vary with a monopolist's relative price.
We now show that productivity and trade-cost shocks have
different effects on our two measures of pass-through. An important
difference between the two measures is that
is
independent of the economy's iid
shocks, while
is not.
To illustrate this, the second column of Table 4 shows the effects of a one standard deviation
increase in home technology for the benchmark calibration. Home
technology shocks induce a real depreciation of the home currency
(i.e., a rise in
)
and put upward pressure on the real marginal cost of foreign firms,
as foreign labor supply contracts and real wages rise abroad.
Import prices at home increase, though by less than the rise in
, since foreign
exporters react by lowering their markups. Accordingly, our measure
of pass-through,
will
be positive following a technology shock, as import prices rise
with the real exchange rate.
The implications of a change in trade costs on pass-through
differ substantially from those triggered by changes in technology.
The third column of the table shows that following an increase in
the foreign exporter's per-unit cost
pass-through will be negative: because of the fall in the demand
for foreign goods, the increase in foreign trade costs leads to an
appreciation of the domestic currency, while import prices
simultaneously rise as the cost of exporting increases. Note that
import prices do not rise as much as the increase in foreign real
marginal costs since foreign exporters decide to lower their
markups.
Overall, our calibration procedure implies that the bulk of the
variation in the real exchange rate and the relative import price
are driven primarily by technology shocks. As a consequence, the
values of
reported
in Table 3 for the benchmark calibration
mainly reflect the influence of technology shocks.24
Table 5 shows the effects of
lowering trade costs and higher foreign productivity on
pass-through and important steady state prices and quantities. The
table shows the value of the variables in steady state except for
, which
is obtained from log-linearizing the model and computing the
population moments of the model's variables given the shock
processes. We start by looking at the effects of changing one
variable at a time (columns 2, 3 and 5), before analyzing their
combined impacts (last column). As shown in the second column, a
five percentage point fall in the trade costs of foreign exporters
reduces the real marginal cost of exporting (denominated in terms
of the home consumption bundle) by 3.5 percent. Note that the fall
in foreign exporters' real marginal cost,
, is less than the
decline in
as
increased demand for the foreign good puts upward pressure on the
real exchange rate,
, and on
foreign wages. With lower costs, foreign exporters reduce their
prices and the home country's import share rises 0.7 percentage
point. Because foreign exporters' prices fall relative to their
competitors - the domestic firms, they are able to increase their
markups and still gain market share. Conversely, the prices for
domestic goods rise relative to their competitors, and domestic
firms are forced to cut their markups in reaction to stiffer
competition from abroad.
With higher markups on foreign goods, the strategic
complementarity intensifies and foreign exporters become more
willing to vary their markups in response to cost shocks (see the
lower left panel of Figure 5). Thus, the 5
percentage point decline in trade costs causes the direct
pass-through measure
to fall
from 0.48 to 0.462, or 1.8 percentage points. This fall in
also leads
to a reduction in our statistical measure of pass-through,
, of 2.3
percentage points. To understand the fall in
, recall
that equation (28, reproduced below) implies
a fall in
directly
lowers
:
A fall in
, the trade
cost on domestic goods sold to the foreign economy, also lowers
pass-through (third column of Table 5).
In general equilibrium, increased foreign demand for home goods
causes an appreciation of the home currency that reduces the cost
of foreign exporters and leads to a fall in pass-through. The
appreciation of the currency results in the real cost of foreign
exporters (in home currency) falling by 0.7 percent. This decline
in costs triggers a fall in foreign exporters' prices relative to
prices of domestic goods in the home market. As a result, exporters
increase their markups and prices of foreign goods decline only 0.3
percent. At these higher markups,
declines
0.4 percentage point and
declines
0.6 percentage points.
For simplicity, we calibrated the fall in
and
based on transport costs and tariffs for U.S.
imports. We view this approach as conservative, since tariff data
from the United Nations Conference on Trade and Development
(UNCTAD) indicates that import tariffs outside the United States
and especially in developing countries have fallen more than in the
United States. If we took the UNCTAD data into account, the fall in
an exporter's costs would be larger, inducing a more pronounced
decline in pass-through.
The fourth column of Table 5 shows the combined effects of lowering trade costs in the home and foreign economies. In this case, foreign exporters' share of the domestic market expands by 0.9 percentage point and our statistical measure of pass-through declines about 3 percentage points.
The fifth column of Table 5 displays
the effects of raising the level of foreign productivity by 35
percent. Although there is a substantial increase in foreign real
wages in response to the higher level of productivity, marginal
costs in foreign currency fall. The foreign currency also
depreciates; so, an exporter's marginal cost in home currency units
falls almost 19 percent. This large decline in foreign costs allows
foreign exporters to both substantially reduce prices and expand
their markups at the expense of their domestic competitors.
Consequently, the decline in
is a
sizeable 12.5 percentage points.
The last column of Table 5 displays
the decline in pass-through from the benchmark calibration to 2004
calibration in which the increase in foreign productivity is
combined with the decline in
and
. Higher productivity and lower trade costs
have a substantial impact on pass-through. Overall,
falls
almost 15 percentage points, which accounts for about one third of
the observed decline. The fall in pass-through occurs even though
the home market is simultaneously becoming more competitive:
markups on domestic goods fall 1.7 percentage points (see Table
2 for a more detailed comparison of the
properties of the benchmark and 2004 calibrations). These results
broadly capture the view that pass-through has fallen in the United
States because of increased foreign competition, which in turn has
reduced profit margins of domestic producers in the U.S.
market.
The positive relationship between trade costs and pass-through emphasized in our model is broadly in line with U.S. industry-level data since the early 1980s. Figure 6 relates the changes in industry-specific pass-through (reported in Section 2) to the changes in industry-specific trade cost (discussed in Section 3). The figure indicates that declines in trade costs are correlated with declines in pass-through. As indicated by the solid line, a 1 percentage point decline in trade costs is associated with a 0.7 percentage point decline in pass-through, about the same magnitude as in our benchmark calibration. This estimate is based on data from both 2- and 3-digit industries. Estimation using only the more disaggregated industries implies a slope coefficient of 2.3 (the dashed line).
Although the model is able to explain a significant part of the
decline in pass-through, it does not account for the observed
decline in the correlation between import prices and the exchange
rate. As shown in Table 3,
has
declined due to both falls in the relative volatility of import
prices and the correlation of import prices with the exchange rate.
In comparison, the model is only able to account for the decline in
the relative volatility of import prices. As a result, other
factors such as changes in the magnitudes and types of shocks are
also important in explaining the decline in pass-through, and we
leave a more thorough understanding of the reduced correlation
between import prices and the exchange rate to future research.
Finally, we note that with producers engaging in price
discrimination, a household might find it profitable to exploit
deviations in the law of one price. However, we verified that in
the benchmark calibration households have no incentive to do so
because deviations from the law of one price (as measured by
) are less
than 10 percent, which is the cost of trading goods across
countries. Deviations from the law of one price are less than the
level of the trade cost, because a monopolist must take into
account the influence of its competitors' prices on its own price
setting behavior: in the market where its costs are low, a producer
sets a high markup, while in the market where its costs are high,
it sets a low markup. Thus, the strategic complementarity in price
setting acts to offset deviations from the law of one price arising
from the presence of trade costs.
The strategic complementarity also implies that the degree of
price discrimination declines in response to a fall in trade costs.
Given lower trade costs, a firm increases its markup abroad and
lowers it in its own market and, as such, markups converge. These
changes in markup, however, do mute the degree to which prices
change in response to the fall in trade costs. For example, the 5
percentage point fall in
and
only results
in about a 2 percentage point convergence in prices. This result is
consistent with the evidence that notwithstanding an increase in
trade integration, price convergence remained muted in
comparison.25 In
comparison, in an economy with constant markups, deviations from
the law of one price would decline one-for-one with the fall in
trade costs.
We now assess the interaction of the intensive and extensive trade margins with the strategic complementarity and their role in accounting for the decline in pass-through. To do this, we consider a version of our model that abstracts from entry altogether and then consider a version in which only foreign exporters make entry decisions. In each case, we consider a fall in domestic and foreign trade costs of 5 percentage points and an increase in foreign productivity of 35 percent.
To better understand the relative importance of the intensive and extensive margins, Figure 7 plots a number of key variables as a function of the number of foreign exporters. We do so for three different cases: the benchmark calibration with relatively high trade costs and low foreign productivity (the dashed blue line), the 2004 calibration with low trade costs and high foreign productivity (the dotted red line), and the 2004 calibration except only foreign exporters make entry decisions (the dashed-dotted green line). The corresponding numerical results to Figure 7 are shown in Table 6.
Consider first the dashed blue lines in each panel. As the
number of foreign exporters increases, per-unit profits of export
good
decline due to lower
demand for each individual good and a decline in an exporter's
markup. This markup decline reflects that an increase in the number
of foreign exporters drives up wages and production costs in the
foreign economy, inducing a real home currency deprecation and a
rise in the relative import price,
. Conversely, the markups of domestic firms in
the domestic market increase.
Both measures of pass-through increase as the number of foreign
exporters rises. As discussed earlier, this increase reflects that
a reduction in an exporter's markup is associated with an increase
in direct pass-through,
. Also, an
increase in the number of exporters in the domestic economy implies
that there are more firms who change their prices in response to
exchange-rate movements, which also increases pass-through in
general equilibrium,
. Thus,
as in Dornbusch (1987), our model implies that other things equal,
an increase in the number of foreign exporters leads to higher
pass-through of exchange rate changes to import prices.26
Returning to the upper left panel, the equilibrium number of foreign exporters in the benchmark calibration is given by point A where per-unit profits intersect with the fixed cost (the solid black line). What happens when we lower trade costs and raise foreign productivity but completely abstract from the extensive trade margin? The equilibrium shifts from point A to point B, as the fall in export production costs raises the demand for an exporter's good as well as his profits. As shown in the upper right panel, the import share in the home economy also rises from about 10 percent to 10.7 percent. Lower production costs are also associated with an increase in the markups of foreign exporters and, as shown in the second column of Table 6 , a decline in pass-through of about 15.1 percentage points. Consequently, most of the decline in pass-through occurs along the intensive trade margin.
Now consider the case in which we allow for the entry of foreign exporters in response to the decline in the cost of exporting. In this case, the equilibrium shifts from point B to point C, as the increase in profits induces more exporters to pay their fixed entry cost. Accordingly, the import share now rises to about 14.6 percent and there is some decline in the markups of foreign exporters. While the two measures of pass-through rise, the effect is small relative to the decline in pass-through associated with the intensive margin.
When we further endogenize home exporters' entry decisions, the
equilibrium moves from point C to point D, which corresponds to the
last column in Table 6. Since foreign
firms are 35 percent more productive than in the initial
equilibrium (point A), foreign demand for domestic goods falls and
domestic exporters decide to exit the foreign market. Table
6 shows that this reduction in the number
of domestic exporters implies a smaller appreciation of the
domestic real exchange rate and as a result the profit and markup
functions for a foreign exporter shifts down to the red dotted
line. At equilibrium point D, foreign exporters markups are smaller
and, in turn, the direct measure of pass-through,
, is higher
than at point C. Despite this increase in
,
falls,
reflecting that there is less co-movement between the real exchange
rate and foreign marginal cost (see equation (28)) with a decline in the number of domestic
exporters in the foreign economy.
Overall, we conclude that ceteris paribus a rise in the number of foreign exporters raises pass-through. However, this effect is small relative to the decline in pass-through that results from strategic complementarity along the intensive margin in response to factors that increase trade integration.
In this paper, we proposed a new explanation for the decline in exchange-rate pass-through to import prices that emphasized the role of trade integration and strategic complementarity. When firms face strategic complementarity in setting prices, a fall in exporters' marginal costs may lower pass-through. Using conservative estimates of declines in per-unit trade costs and increases in foreign productivity, we show that this mechanism is able to account for about one third of the observed decline in pass-through.
To isolate and emphasize the role of strategic complementarity in price setting, we abstracted from another feature that may also lead to a decline in pass-through in response to greater trade integration. Increasing trade in intermediate goods could also lower the responsiveness of import prices to exchange rate fluctuations. In our model, introducing imported intermediate goods should reinforce the effect of trade integration on pass-through, as declining export costs increases their demand. We leave the exploration of this issue to future research.
Alessandria, G. (2004). International deviations from the law of on price: the role of search frictions and market share. International Economic Review 45, 1263�91.
Alessandria, G. and H. Choi (2006). Do sunk costs of exporting matter for net export dynamics? mimeo, Federal Reserve Bank of Philadelphia.
Atkeson, A. and A. Burstein (2005). Trade costs, pricing to market, and international relative prices. mimeo, University of California at Los Angeles.
Baier, S. L. and J. H. Bergstrand (2001). The growth of world trade: Tariffs, transport costs, and income similarity. Journal of International Economics 53, 1�27.
Bergin, P. R. and R. C. Feenstra (2001). Pricing-to-market, staggered contracts, and real exchange rate persistence. Journal of International Economics 54, 333�59.
Bergin, P. R. and R. Glick (2005). Tradability, productivity, and understanding international economic integration. National Bureau of Economic Research Working Paper 11637.
Bernard, A. B., J. Eaton, J. B. Jensen, and S. Kortum (2003). Plants and productivity in international trade. American Economic Review 93, 1668�90.
Bernard, A. B., J. B. Jensen, and P. K. Schott (2003). Falling trade costs, heterogeneous firms, and industry dynamics. National Bureau of Economic Research Working Paper 9639.
Berthelon, M. and C. Freund (2004). On the conservation of distance in international trade. World Bank Policy Research Working Paper 3293.
Bodnar, G. M., B. Dumas, and R. D. Marston (2002). Pass through and exposure. Journal of Finance 57, 199�231.
Brun, J.-F., C. Carrere, P. Guillaumont, and J. de Melo (2005). Has distance died? evidence from a panel gravity model.World Bank Economic Review 19, 99�120.
Campa, J. M. and L. S. Goldberg (2004). Exchange rate pass-through into import prices. Centre for Economic Policy Research Discussion Papers 4391.
Chen, N., J. Imbs, and A. Scott (2004). Competition, globalization and the decline of inflation. Centre for Economic Policy Research Discussion Papers 4695.
Coe, D. T., A. Subramanian, N. T. Tamirisa, and R. Bhavnani (2002). The missing globalization puzzle. International Monetary Fund Working Paper 02/171.
Corsetti, G. and L. Dedola (2005). A macroeconomic model of international price discrimination. Journal of International Economics 67, 129�155.
Corsetti, G., L. Dedola, and S. Leduc (2005). Dsge models of high exchange-rate volatility and low pass-through. Board of Governors of the Federal Reserve System International Finance Discussion Papers 845. 28
Corsetti, G. and P. Pesenti (2005). International dimensions of optimal monetary policy. Journal of Monetary Economics 52, 281�305.
Devereux, M. B. and C. Engel (2003). Monetary policy in the open economy revisited: Price setting and exchange rate flexibility. Review of Economic Studies 70, 765�783.
Dornbusch, R. (1987). Exchange rates and prices. American Economic Review 77, 93�106.
Dotsey, M. and R. G. King (2005). Implications of state-dependent pricing for dynamic macroeconomic models. Journal of Monetary Economics 52, 213�42.
Eichenbaum, M. and J. D. M. Fisher (2004). Evaluating the calvo model of sticky prices. National Bureau of Economic Research Working Paper 10617.
Engel, C. and J. H. Rogers (2004). European product market integration after the euro. Economic Policy 39, 347�84.
Feenstra, R. C. (1996). U.s. imports 1972-1994: Data and concordances. National Bureau of Economic Research Working Paper 5515.
Feenstra, R. C., J. E. Gagnon, and M. M. Knetter (1996). Market share and exchange rate pass-through in world automobile trade. Journal of International Economics 40, 187�207.
Feenstra, R. C., J. Romalis, and P. Schott (2002). U.s. imports, exports and tariff data, 1989-2001. National Bureau of Economic Research Working Paper 9387.
Frankel, J. A. (1997). Regional Trading Blocs in the World Economic System. Washington, D.C.: Institute for International Economics.
Ghironi, F. and M. J. Melitz (2005). International trade and macroeconomic dynamics with heterogeneous firms. Quarterly Journal of Economics 120, 865�915.
Goldberg, P. K. and M. M. Knetter (1997). Goods prices and exchange rates: What have we learned? Journal of Economic Literature 35, 1243�72.
Gust, C. and N. Sheets (2006). The adjustment of global external imbalances: Does partial exchange rate pass-through to trade prices matter? Board of Governors of the Federal Reserve System International Finance Discussion Papers 850.
Ihrig, J. E., M. Marazzi, and A. D. Rothenberg (2006). Exchange-rate pass-through in the g-7 countries. Board of Governors of the Federal Reserve System International Finance Discussion Papers 851.
Kimball, M. S. (1995). The quantitative analytics of the noemonetarist model. Journal of Money, Credit, and Banking 27, 1241�77.
Marazzi, M., N. Sheets, and R. J. Vigfusson (2005). Exchange rate pass-through to u.s. import prices: Some new evidence. Board of Governors of the Federal Reserve System International Finance Discussion Papers 833.
Melitz, M. J. (2003). The impact of trade on intra-industry reallocations and aggregate industry productivity. Econometrica 71, 1695�1725. 29
Olivei, G. P. (2002). Exchange rates and the prices of manufacturing products imported into the united states. Federal Reserve Bank of Boston New England Economic Review 0, 3�18.
Otani, A., S. Shiratsuka, and T. Shirota (2003). The decline in the exchange rate passthrough: Evidence from japanese import prices. Monetary and Economic Studies 21, 53�81.
Peltzman, S. (2000). Prices rise faster than they fall. Journal of Political Economy 108, 466�502.
Rauch, J. E. (1999). Networks versus markets in international trade. Journal of International Economics 48, 7�35.
Woodford, M. (2003). Interest & Prices: Foundations of a Theory of Monetary Policy. Princeton: Princeton University Press.
We use product-level (ten-digit harmonized system) U.S. import
data from U.S. customs' reports to compute a measure of trade
costs. We respectively measure transport costs and tariffs using
the shares of freight and insurance expenditure,
, and collected duty,
,in terms of customs value of the
goods,
, which is
the value on which duties are assessed in the United States.
Freight expenditure represents Feenstra, Romalis, and Schott (2002)'s measure of
Import Charges: ``...the aggregate cost
of all freight, insurance and other charges (excluding import
duties) incurred in bringing the merchandise from alongside the
carrier at the port of exportation and placing it alongside the
carrier at the first port of entry in the United States.''In turn,
customs values reflects `` ...the value of imports as appraised by
the U.S. Customs Service. This value is generally defined as the
price actually paid or payable for merchandise when sold for
exportation to the United States, excluding U.S. import
duties,freight, insurance and other charges incurred in bringing
the merchandise to the United States.''
For each available finished-goods industry (starting at the
four-digit SITC level), we follow Bernard, Jensen, and Schott (2003) and compute
industry-level trade costs,
, as:
We report results for two different (but related) kinds of trade price indexes. First, we constructed the price index of finished goods as the chain-weighted price deflator constructed for imports of capital goods excluding computers and semiconductors, automotive products and consumer goods. The underlying data comes from the National Income and Product Accounts as reported by the Bureau of Economic Analysis. The price index for consumer goods is likewise based on a chain-weighted aggregation over the NIPA categories of consumer durables and nondurables.
We also reported results using industry-level price indexes for imports of finished goods as classified by two- and three-digit SITC code. We used two-digit industry only when the underlying three-digit industries' price indexes did not begin in the 1980s. These price indexes are published monthly by the Bureau of Labor Statistics. Within finished goods, we reported results for 40 industries. These 40 industries are listed in Table 7.
The productivity indices are constructed using GDP in 1990 U.S. dollars at purchasing power parity. The data are from the Groningen Growth and Development Centre (http://www.ggdc.net). We define labor productivity based on GDP per employee rather than GDP per hour, since the former index allows for greater country coverage. This aggregate is constructed using data on Australia, Austria, Belgium, Canada, Denmark, Finland, France, Germany, Greece, Iceland, Ireland, Italy, Japan, Luxembourg, the Netherlands, New Zealand, Norway, Portugal, Spain, Sweden, Switzerland, Turkey, the United Kingdom, China, India, Indonesia, Malaysia, South Korea, Taiwan, Thailand, Argentina, Brazil, and Mexico. Note that we arrived a slightly larger productivity differential if we use GDP per hour worked and fewer countries for our foreign aggregate.
| Full Sample | 1980:1-1989:4 | 1990:1-2004:4 | |
|---|---|---|---|
Moment (Differenced) a.
(a = b*c) |
0.35 | 0.55 | 0.13 |
| Moment (Differenced) b.
|
0.47 | 0.60 | 0.25 |
| Moment (Differenced) c.
corr |
0.75 | 0.92 | 0.51 |
Moment (HP-Filtered) a.
(a = b*c) |
0.46 | 0.59 | 0.17 |
| Moment (HP-Filtered) b.
|
0.54 | 0.61 | 0.29 |
| Moment (HP-Filtered) c.
corr |
0.85 | 0.95 | 0.60 |
| NCES Demand: Benchmark Calibration | NCES Demand: 2004 Calibration | CES Calibration | |
|---|---|---|---|
| 0.85 | 0.85 | 1.7 | |
| -3.05 | -3.05 | 0 | |
| 1.1 | 1.1 | 0.835 | |
| 0.9926 | 0.9926 | 0.9926 | |
| 1.5 | 1.5 | 1.5 | |
| 0.79 | 0.79 | 0.83 | |
| 1.1 | 1.05 | 1.1 | |
| 1 | 1 | 1 | |
| 1 | 1.35 | 1 | |
| 0.46 | 0.46 | 0.37 | |
|
|
2.5 | 2.5 | 2.5 |
|
|
0.0178 | 0.0178 | 0.0191 |
|
|
0.0094 | 0.0094 | 0.008 |
| Home Trade Share | 10.0% | 14.0% | 10.0% |
| Home Firms' Domestic
Markup ( |
1.27 | 1.24 | 1.20 |
| Foreign Exporters'
Markup ( |
1.20 | 1.38 | 1.20 |
| Home Trade-Price Elasticity | -2.0 | -1.2 | -2.0 |
| Direct Pass-Through (
|
0.48 | 0.36 | 1 |
| Moment | Data: 1980-1989 | Data: 1990-2004 | Model: Benchmark Calibration | Model: 2004 Calibration | Model: CES Calibration |
|---|---|---|---|---|---|
| a.
|
0.55 | 0.13 | 0.55 | 0.40 | 1.08 |
| b.
|
0.60 | 0.25 | 0.60 | 0.43 | 1.17 |
| c.
corr |
0.92 | 0.51 | 0.92 | 0.92 | 0.92 |
|
|
1.74 | 0.98 | 1.74 | 1.71 | 1.74 |
|
|
4.98 | 2.70 | 2.79 | 2.86 | 2.54 |
| Variable | One Standard Deviation Increase
in: Home: Technology
( |
One Standard Deviation Increase
in: Foreign: Trade Cost
( |
|---|---|---|
| Real Exchange Rate
( |
1.39 | -0.10 |
| Home Import Price
( |
0.78 | 0.41 |
| Foreign Firm's
Marginal Cost (
|
0.23 | 0.00 |
| Competitive Price
Index ( |
0.02 | 0.01 |
| Foreign Exporter's
Markup ( |
-0.84 | -0.43 |
| Lower |
Lower |
Lower |
Higher |
Higher |
|
|---|---|---|---|---|---|
| Foreign Exporter Trade
Cost ( |
-5 | 0 | -5 | 0 | -5 |
| Home Exporter Trade
Cost ( |
0 | -5 | -5 | 0 | -5 |
| Foreign Productivity
( |
0 | 0 | 0 | 35 | 35 |
| Home Import Share | 0.7 | 0.2 | 0.9 | 3.3 | 4.0 |
| Home Firm Markup at
Home ( |
-0.3 | -0.1 | -0.3 | -1.4 | -1.7 |
a. Home Import Price
( (a = b+c) |
-1.6 | -0.3 | -1.9 | -8.2 | -9.9 |
| b. Foreign Exporter's
Markup ( |
1.8 | 0.3 | 2.2 | 10.9 | 13.9 |
| c. Foreign Marginal
Cost (
|
-3.5 | -0.7 | -4.1 | -19.1 | -23.8 |
| Real Exchange Rate
( |
1.1 | -1.1 | 0 | -17.5 | -17.7 |
| Direct Pass-Through (
|
-1.8 | -0.4 | -2.2 | -9.5 | -11.6 |
| Pass-Through (
|
-2.3 | -0.6 | -2.9 | -12.5 | -14.7 |
Row a equals row b plus row c with any discrepancy
due to rounding.
| Without Entry | With Only Foreign Exporter Entry | With Entry | |
|---|---|---|---|
| Foreign Exporter Trade
Cost ( |
-5 | -5 | -5 |
| Home Exporter Trade
Cost ( |
-5 | -5 | -5 |
| Foreign Productivity
( |
35 | 35 | 35 |
| Home Import Share | 0.7 | 4.6 | 4.0 |
| Home Firm Markup at
Home ( |
-1.7 | -1.9 | -1.7 |
a. Home Import Price
( (a = b+c) |
-12.9 | -11.0 | -9.9 |
| b. Foreign Exporter's
Markup ( |
19.8 | 16.1 | 13.9 |
| c. Foreign Marginal
Cost (
|
-23.7 | -19.2 | -17.7 |
| Real Exchange Rate
( |
-15.2 | -13.0 | -11.6 |
| Direct Pass-Through (
|
-15.2 | -13.0 | -11.6 |
| Pass-Through (
|
-15.1 | -13.4 | -14.7 |
Row a equals row b plus row c with any discrepancy
due to rounding.
| SITC | Descriptions |
|---|---|
| 54 | Medicinal and pharmaceutical products |
| 55 | Essential oils; polishing and cleansing preps |
| 625 | Tires And Inner Tubes Of Rubber |
| 665 | Glassware |
| 666 | Pottery |
| 667 | Pearls, Precious And Semiprecious Stones, Unworked Or Worked |
| 716 | Rotating Electric Plants And Parts |
| 721 | Agricultural Machinery (Excluding Tractors) And Parts Thereof |
| 723 | Civil Engineering And Contractors' Plant And Equipment And Parts |
| 724 | Textile And Leather Machinery, And Parts Thereof |
| 728 | Machinery And Equipment Specialized For Particular Industries, And Parts |
| 73 | Metalworking machinery |
| 741 | Heating And Cooling Equipment And Parts |
| 742 | Pumps For Liquids; Liquid Elevators; And Parts Thereof |
| 743 | Air And Vacuum Pumps, Compressors, Fans, Centrifuges, And Filtering Apparatus |
| 744 | Mechanical Handling Equipment, And Parts Thereof, N.E.S. |
| 745 | Nonelectrical Machinery, Tools And Mechanical Apparatus, And Parts |
| 751 | Office Machines |
| 761 | Television Receivers, Including Monitors, Projectors And Receivers |
| 762 | Radio Broadcast Receivers |
| 763 | Sound Recorders Or Reproducers; Television Image And Sound Recorders |
| 764 | Telecommunications Equipment, N.E.S.; And Parts, N.E.S., And Accessories |
| 771 | Electric Power Machinery (Except Rotating Power Machinery) and Parts |
| 773 | Equipment For Distributing Electricity, N.E.S. |
| 774 | Electro-Diagnostic Apparatus For Medical, Surgical, Dental Or Vet. Use |
| 775 | Household Type Electrical |
| 778 | Electrical Machinery and Apparatus |
| 781 | Motor Cars And Other Motor Vehicles Principally Designed For The Transport |
| 784 | Parts And Accessories For Tractors, Motor Cars, And Other Motor Vehicles |
| 81 | Prefabricated buildings; plumbing, heat and lighting fixtures |
| 84 | Articles of apparel and clothing accessories |
| 85 | Footwear |
| 874 | Measuring, Checking, Analysing And And Controlling Instruments And Apparatus |
| 881 | Photographic Apparatus And Equipment, N.E.S. |
| 884 | Optical Goods, N.E.S. |
| 885 | Watches And Clocks |
| 893 | Articles, N.E.S. Of Plastics |
| 894 | Baby Carriages, Toys, Games And Sporting Goods |
| 897 | Jewelry, Goldsmiths' And Silversmiths' Wares |
| 898 | Musical Instruments, Parts And Accessories Thereof; Records Tapes |
| Year | Price of Imported Goods Relative to CPI | Price of Imported Goods Relative to Consumer Goods | Exchange Rate |
|---|---|---|---|
| 1973 | 115.40 | 78.46 | 93.94 |
| 1973.25 | 123.40 | 83.73 | 98.01 |
| 1973.5 | 123.31 | 83.61 | 101.02 |
| 1973.75 | 123.64 | 83.90 | 99.72 |
| 1974 | 120.83 | 81.38 | 99.85 |
| 1974.25 | 125.23 | 83.95 | 103.50 |
| 1974.5 | 130.98 | 87.61 | 101.71 |
| 1974.75 | 132.53 | 88.88 | 101.81 |
| 1975 | 136.35 | 92.01 | 103.35 |
| 1975.25 | 140.53 | 95.13 | 103.74 |
| 1975.5 | 136.89 | 92.80 | 101.37 |
| 1975.75 | 136.38 | 92.82 | 100.91 |
| 1976 | 133.73 | 91.49 | 102.21 |
| 1976.25 | 133.36 | 91.58 | 102.81 |
| 1976.5 | 133.61 | 92.03 | 103.07 |
| 1976.75 | 130.51 | 89.97 | 102.32 |
| 1977 | 130.96 | 90.54 | 102.70 |
| 1977.25 | 131.78 | 91.27 | 103.51 |
| 1977.5 | 136.04 | 94.46 | 104.71 |
| 1977.75 | 136.31 | 94.88 | 106.60 |
| 1978 | 137.65 | 96.09 | 108.89 |
| 1978.25 | 141.57 | 98.93 | 109.48 |
| 1978.5 | 141.36 | 99.31 | 113.77 |
| 1978.75 | 141.45 | 99.91 | 113.70 |
| 1979 | 141.62 | 100.10 | 111.33 |
| 1979.25 | 137.90 | 97.79 | 108.94 |
| 1979.5 | 131.70 | 93.99 | 109.57 |
| 1979.75 | 131.20 | 94.34 | 107.01 |
| 1980 | 130.72 | 94.47 | 104.80 |
| 1980.25 | 128.23 | 93.65 | 104.70 |
| 1980.5 | 131.69 | 96.04 | 107.81 |
| 1980.75 | 130.74 | 96.05 | 106.14 |
| 1981 | 128.79 | 94.90 | 104.08 |
| 1981.25 | 126.21 | 93.73 | 99.35 |
| 1981.5 | 121.74 | 91.94 | 95.13 |
| 1981.75 | 124.25 | 94.53 | 97.82 |
| 1982 | 122.59 | 93.47 | 94.72 |
| 1982.25 | 120.86 | 93.19 | 91.70 |
| 1982.5 | 116.95 | 90.79 | 87.89 |
| 1982.75 | 115.91 | 90.00 | 88.17 |
| 1983 | 117.52 | 91.21 | 90.03 |
| 1983.25 | 116.63 | 90.68 | 88.24 |
| 1983.5 | 114.81 | 89.53 | 86.35 |
| 1983.75 | 114.30 | 89.76 | 86.39 |
| 1984 | 112.97 | 89.24 | 85.75 |
| 1984.25 | 113.20 | 89.95 | 84.89 |
| 1984.5 | 111.46 | 89.07 | 81.72 |
| 1984.75 | 110.64 | 88.84 | 80.25 |
| 1985 | 108.04 | 86.95 | 77.28 |
| 1985.25 | 107.82 | 87.06 | 78.41 |
| 1985.5 | 108.49 | 87.99 | 80.72 |
| 1985.75 | 110.64 | 90.07 | 84.59 |
| 1986 | 113.99 | 93.46 | 87.93 |
| 1986.25 | 117.51 | 96.96 | 92.03 |
| 1986.5 | 119.67 | 98.81 | 95.12 |
| 1986.75 | 120.22 | 99.58 | 94.87 |
| 1987 | 122.09 | 100.68 | 97.76 |
| 1987.25 | 123.46 | 102.00 | 100.78 |
| 1987.5 | 122.39 | 101.28 | 100.27 |
| 1987.75 | 124.30 | 103.24 | 105.07 |
| 1988 | 126.14 | 105.34 | 108.05 |
| 1988.25 | 127.01 | 106.32 | 109.26 |
| 1988.5 | 124.38 | 104.25 | 106.07 |
| 1988.75 | 125.82 | 105.81 | 110.10 |
| 1989 | 124.87 | 105.11 | 108.59 |
| 1989.25 | 122.69 | 103.25 | 105.95 |
| 1989.5 | 121.24 | 102.62 | 105.99 |
| 1989.75 | 121.25 | 103.14 | 107.27 |
| 1990 | 120.39 | 102.37 | 108.23 |
| 1990.25 | 119.73 | 102.30 | 107.21 |
| 1990.5 | 118.53 | 101.65 | 111.05 |
| 1990.75 | 118.76 | 101.90 | 114.31 |
| 1991 | 119.22 | 102.95 | 113.24 |
| 1991.25 | 117.81 | 102.06 | 109.97 |
| 1991.5 | 116.54 | 101.45 | 110.87 |
| 1991.75 | 117.25 | 102.50 | 114.36 |
| 1992 | 117.65 | 103.38 | 113.71 |
| 1992.25 | 116.50 | 102.75 | 113.41 |
| 1992.5 | 117.30 | 103.75 | 116.14 |
| 1992.75 | 116.82 | 103.96 | 112.27 |
| 1993 | 114.91 | 102.74 | 110.19 |
| 1993.25 | 115.13 | 103.53 | 112.39 |
| 1993.5 | 115.10 | 104.03 | 112.26 |
| 1993.75 | 114.96 | 104.28 | 111.37 |
| 1994 | 114.50 | 104.42 | 110.93 |
| 1994.25 | 114.40 | 104.55 | 111.70 |
| 1994.5 | 114.14 | 104.41 | 114.72 |
| 1994.75 | 114.41 | 105.09 | 115.75 |
| 1995 | 113.90 | 105.23 | 112.34 |
| 1995.25 | 114.71 | 106.60 | 118.30 |
| 1995.5 | 114.56 | 106.92 | 116.66 |
| 1995.75 | 113.82 | 106.73 | 114.08 |
| 1996 | 113.04 | 106.28 | 112.60 |
| 1996.25 | 111.80 | 105.56 | 112.51 |
| 1996.5 | 111.12 | 105.61 | 112.79 |
| 1996.75 | 110.08 | 104.99 | 112.06 |
| 1997 | 108.83 | 104.21 | 109.29 |
| 1997.25 | 108.06 | 104.16 | 108.74 |
| 1997.5 | 107.44 | 104.18 | 107.38 |
| 1997.75 | 106.75 | 104.06 | 103.18 |
| 1998 | 106.13 | 104.25 | 99.08 |
| 1998.25 | 105.30 | 104.04 | 99.05 |
| 1998.5 | 104.18 | 103.34 | 96.44 |
| 1998.75 | 104.09 | 103.79 | 100.30 |
| 1999 | 103.89 | 103.94 | 99.99 |
| 1999.25 | 102.73 | 102.78 | 99.42 |
| 1999.5 | 101.84 | 102.07 | 99.95 |
| 1999.75 | 101.12 | 101.66 | 100.97 |
| 2000 | 100.00 | 100.80 | 100.00 |
| 2000.25 | 99.21 | 100.19 | 97.79 |
| 2000.5 | 98.26 | 99.72 | 96.78 |
| 2000.75 | 97.33 | 99.32 | 94.41 |
| 2001 | 96.42 | 99.19 | 93.24 |
| 2001.25 | 95.46 | 98.62 | 91.61 |
| 2001.5 | 95.11 | 98.85 | 92.01 |
| 2001.75 | 95.14 | 99.58 | 91.59 |
| 2002 | 94.32 | 99.37 | 90.35 |
| 2002.25 | 93.38 | 98.46 | 91.76 |
| 2002.5 | 93.09 | 98.59 | 93.32 |
| 2002.75 | 92.47 | 98.47 | 92.59 |
| 2003 | 91.60 | 97.95 | 94.30 |
| 2003.25 | 91.68 | 98.81 | 97.64 |
| 2003.5 | 91.29 | 98.66 | 97.60 |
| 2003.75 | 91.29 | 99.12 | 100.86 |
| 2004 | 90.98 | 98.84 | 102.26 |
| 2004.25 | 90.04 | 97.78 | 99.61 |
| 2004.5 | 89.91 | 98.10 | 100.79 |
| 2004.75 | 89.56 | 97.79 | 104.45 |
| Year | Percent Change in Relative Price of Imported Goods | Percent Change in Exchange Rate |
|---|---|---|
| 1973.25 | 6.70 | 4.24 |
| 1973.5 | -0.07 | 3.02 |
| 1973.75 | 0.27 | -1.30 |
| 1974 | -2.30 | 0.13 |
| 1974.25 | 3.58 | 3.59 |
| 1974.5 | 4.49 | -1.74 |
| 1974.75 | 1.18 | 0.10 |
| 1975 | 2.85 | 1.50 |
| 1975.25 | 3.02 | 0.38 |
| 1975.5 | -2.63 | -2.31 |
| 1975.75 | -0.38 | -0.45 |
| 1976 | -1.96 | 1.28 |
| 1976.25 | -0.28 | 0.59 |
| 1976.5 | 0.19 | 0.25 |
| 1976.75 | -2.35 | -0.73 |
| 1977 | 0.35 | 0.37 |
| 1977.25 | 0.62 | 0.79 |
| 1977.5 | 3.19 | 1.15 |
| 1977.75 | 0.20 | 1.79 |
| 1978 | 0.97 | 2.13 |
| 1978.25 | 2.81 | 0.54 |
| 1978.5 | -0.15 | 3.84 |
| 1978.75 | 0.07 | -0.06 |
| 1979 | 0.12 | -2.11 |
| 1979.25 | -2.66 | -2.17 |
| 1979.5 | -4.60 | 0.58 |
| 1979.75 | -0.38 | -2.36 |
| 1980 | -0.36 | -2.09 |
| 1980.25 | -1.92 | -0.10 |
| 1980.5 | 2.66 | 2.93 |
| 1980.75 | -0.72 | -1.56 |
| 1981 | -1.50 | -1.96 |
| 1981.25 | -2.02 | -4.65 |
| 1981.5 | -3.61 | -4.34 |
| 1981.75 | 2.04 | 2.79 |
| 1982 | -1.35 | -3.22 |
| 1982.25 | -1.42 | -3.24 |
| 1982.5 | -3.29 | -4.24 |
| 1982.75 | -0.90 | 0.32 |
| 1983 | 1.38 | 2.09 |
| 1983.25 | -0.75 | -2.01 |
| 1983.5 | -1.57 | -2.17 |
| 1983.75 | -0.45 | 0.05 |
| 1984 | -1.17 | -0.74 |
| 1984.25 | 0.20 | -1.01 |
| 1984.5 | -1.54 | -3.81 |
| 1984.75 | -0.74 | -1.82 |
| 1985 | -2.37 | -3.77 |
| 1985.25 | -0.21 | 1.45 |
| 1985.5 | 0.62 | 2.90 |
| 1985.75 | 1.96 | 4.68 |
| 1986 | 2.98 | 3.87 |
| 1986.25 | 3.04 | 4.56 |
| 1986.5 | 1.82 | 3.30 |
| 1986.75 | 0.46 | -0.26 |
| 1987 | 1.54 | 3.00 |
| 1987.25 | 1.11 | 3.04 |
| 1987.5 | -0.87 | -0.51 |
| 1987.75 | 1.55 | 4.68 |
| 1988 | 1.47 | 2.80 |
| 1988.25 | 0.69 | 1.11 |
| 1988.5 | -2.09 | -2.96 |
| 1988.75 | 1.15 | 3.73 |
| 1989 | -0.75 | -1.38 |
| 1989.25 | -1.77 | -2.46 |
| 1989.5 | -1.19 | 0.04 |
| 1989.75 | 0.01 | 1.20 |
| 1990 | -0.71 | 0.89 |
| 1990.25 | -0.56 | -0.95 |
| 1990.5 | -1.01 | 3.52 |
| 1990.75 | 0.19 | 2.89 |
| 1991 | 0.39 | -0.94 |
| 1991.25 | -1.19 | -2.93 |
| 1991.5 | -1.08 | 0.82 |
| 1991.75 | 0.60 | 3.10 |
| 1992 | 0.35 | -0.57 |
| 1992.25 | -0.99 | -0.26 |
| 1992.5 | 0.68 | 2.38 |
| 1992.75 | -0.41 | -3.39 |
| 1993 | -1.65 | -1.87 |
| 1993.25 | 0.19 | 1.98 |
| 1993.5 | -0.02 | -0.12 |
| 1993.75 | -0.12 | -0.80 |
| 1994 | -0.40 | -0.40 |
| 1994.25 | -0.09 | 0.69 |
| 1994.5 | -0.23 | 2.67 |
| 1994.75 | 0.24 | 0.89 |
| 1995 | -0.44 | -2.99 |
| 1995.25 | 0.70 | 5.17 |
| 1995.5 | -0.13 | -1.40 |
| 1995.75 | -0.65 | -2.24 |
| 1996 | -0.69 | -1.31 |
| 1996.25 | -1.10 | -0.08 |
| 1996.5 | -0.61 | 0.25 |
| 1996.75 | -0.94 | -0.65 |
| 1997 | -1.14 | -2.50 |
| 1997.25 | -0.70 | -0.50 |
| 1997.5 | -0.58 | -1.26 |
| 1997.75 | -0.65 | -3.99 |
| 1998 | -0.58 | -4.05 |
| 1998.25 | -0.78 | -0.03 |
| 1998.5 | -1.07 | -2.67 |
| 1998.75 | -0.08 | 3.92 |
| 1999 | -0.19 | -0.31 |
| 1999.25 | -1.12 | -0.57 |
| 1999.5 | -0.87 | 0.53 |
| 1999.75 | -0.71 | 1.02 |
| 2000 | -1.11 | -0.97 |
| 2000.25 | -0.79 | -2.23 |
| 2000.5 | -0.97 | -1.04 |
| 2000.75 | -0.94 | -2.48 |
| 2001 | -0.94 | -1.25 |
| 2001.25 | -1.00 | -1.76 |
| 2001.5 | -0.36 | 0.44 |
| 2001.75 | 0.03 | -0.46 |
| 2002 | -0.86 | -1.36 |
| 2002.25 | -1.01 | 1.55 |
| 2002.5 | -0.31 | 1.69 |
| 2002.75 | -0.66 | -0.79 |
| 2003 | -0.95 | 1.83 |
| 2003.25 | 0.08 | 3.48 |
| 2003.5 | -0.43 | -0.04 |
| 2003.75 | 0.01 | 3.29 |
| 2004 | -0.34 | 1.38 |
| 2004.25 | -1.04 | -2.63 |
| 2004.5 | -0.15 | 1.18 |
| 2004.75 | -0.39 | 3.57 |
Year |
Estimate |
Confidence Interval: Lower Bound |
Confidence Interval: Upper Bound |
|---|---|---|---|
| 1983.25 | 0.50 | 0.25 | 0.76 |
| 1983.5 | 0.54 | 0.28 | 0.80 |
| 1983.75 | 0.54 | 0.28 | 0.80 |
| 1984 | 0.55 | 0.30 | 0.80 |
| 1984.25 | 0.51 | 0.25 | 0.77 |
| 1984.5 | 0.54 | 0.32 | 0.76 |
| 1984.75 | 0.53 | 0.32 | 0.75 |
| 1985 | 0.51 | 0.30 | 0.72 |
| 1985.25 | 0.48 | 0.29 | 0.68 |
| 1985.5 | 0.46 | 0.28 | 0.65 |
| 1985.75 | 0.47 | 0.29 | 0.64 |
| 1986 | 0.51 | 0.34 | 0.67 |
| 1986.25 | 0.53 | 0.37 | 0.69 |
| 1986.5 | 0.53 | 0.38 | 0.68 |
| 1986.75 | 0.53 | 0.38 | 0.68 |
| 1987 | 0.53 | 0.38 | 0.68 |
| 1987.25 | 0.52 | 0.38 | 0.67 |
| 1987.5 | 0.51 | 0.37 | 0.65 |
| 1987.75 | 0.50 | 0.37 | 0.64 |
| 1988 | 0.51 | 0.37 | 0.64 |
| 1988.25 | 0.50 | 0.38 | 0.62 |
| 1988.5 | 0.53 | 0.41 | 0.65 |
| 1988.75 | 0.52 | 0.40 | 0.64 |
| 1989 | 0.53 | 0.42 | 0.65 |
| 1989.25 | 0.52 | 0.41 | 0.64 |
| 1989.5 | 0.53 | 0.45 | 0.61 |
| 1989.75 | 0.54 | 0.46 | 0.62 |
| 1990 | 0.54 | 0.47 | 0.62 |
| 1990.25 | 0.54 | 0.47 | 0.61 |
| 1990.5 | 0.50 | 0.42 | 0.58 |
| 1990.75 | 0.49 | 0.41 | 0.58 |
| 1991 | 0.49 | 0.40 | 0.57 |
| 1991.25 | 0.49 | 0.41 | 0.58 |
| 1991.5 | 0.47 | 0.38 | 0.56 |
| 1991.75 | 0.46 | 0.37 | 0.54 |
| 1992 | 0.46 | 0.37 | 0.55 |
| 1992.25 | 0.47 | 0.37 | 0.56 |
| 1992.5 | 0.45 | 0.35 | 0.54 |
| 1992.75 | 0.42 | 0.33 | 0.52 |
| 1993 | 0.42 | 0.33 | 0.52 |
| 1993.25 | 0.43 | 0.33 | 0.52 |
| 1993.5 | 0.42 | 0.32 | 0.52 |
| 1993.75 | 0.42 | 0.32 | 0.51 |
| 1994 | 0.41 | 0.32 | 0.51 |
| 1994.25 | 0.42 | 0.33 | 0.51 |
| 1994.5 | 0.42 | 0.32 | 0.52 |
| 1994.75 | 0.42 | 0.32 | 0.52 |
| 1995 | 0.39 | 0.28 | 0.49 |
| 1995.25 | 0.37 | 0.27 | 0.47 |
| 1995.5 | 0.37 | 0.26 | 0.47 |
| 1995.75 | 0.35 | 0.25 | 0.46 |
| 1996 | 0.33 | 0.23 | 0.42 |
| 1996.25 | 0.29 | 0.20 | 0.39 |
| 1996.5 | 0.28 | 0.19 | 0.37 |
| 1996.75 | 0.28 | 0.19 | 0.37 |
| 1997 | 0.27 | 0.18 | 0.36 |
| 1997.25 | 0.26 | 0.17 | 0.35 |
| 1997.5 | 0.26 | 0.17 | 0.35 |
| 1997.75 | 0.23 | 0.14 | 0.31 |
| 1998 | 0.19 | 0.11 | 0.28 |
| 1998.25 | 0.19 | 0.10 | 0.27 |
| 1998.5 | 0.17 | 0.09 | 0.25 |
| 1998.75 | 0.15 | 0.07 | 0.22 |
| 1999 | 0.14 | 0.07 | 0.22 |
| 1999.25 | 0.13 | 0.06 | 0.21 |
| 1999.5 | 0.13 | 0.06 | 0.20 |
| 1999.75 | 0.13 | 0.06 | 0.20 |
| 2000 | 0.13 | 0.06 | 0.21 |
| 2000.25 | 0.13 | 0.06 | 0.20 |
| 2000.5 | 0.16 | 0.09 | 0.23 |
| 2000.75 | 0.16 | 0.08 | 0.23 |
| 2001 | 0.16 | 0.09 | 0.23 |
| 2001.25 | 0.16 | 0.09 | 0.23 |
| 2001.5 | 0.16 | 0.10 | 0.23 |
| 2001.75 | 0.15 | 0.08 | 0.22 |
| 2002 | 0.15 | 0.09 | 0.22 |
| 2002.25 | 0.14 | 0.08 | 0.21 |
| 2002.5 | 0.13 | 0.06 | 0.19 |
| 2002.75 | 0.14 | 0.07 | 0.20 |
| 2003 | 0.12 | 0.06 | 0.18 |
| 2003.25 | 0.12 | 0.06 | 0.17 |
| 2003.5 | 0.11 | 0.06 | 0.17 |
| 2003.75 | 0.12 | 0.07 | 0.17 |
| 2004 | 0.12 | 0.07 | 0.17 |
| 2004.25 | 0.12 | 0.07 | 0.17 |
| 2004.5 | 0.12 | 0.07 | 0.18 |
| 2004.75 | 0.11 | 0.06 | 0.16 |
| Industry # | Industry Name | Pass-through Before 1990 | Pass-through After 1990 |
|---|---|---|---|
| 625 | Tires And Inner Tubes Of Rubber | 0.0097 | 0.0057 |
| 665 | Glassware | 0.6830 | 0.1194 |
| 666 | Pottery | 1.1434 | 0.1373 |
| 667 | Pearls, Precious And Semiprecious Stones, Unworked Or Worked | -0.5195 | -0.0152 |
| 716 | Rotating Electric Plants And Parts | 0.6407 | 0.2961 |
| 721 | Agricultural Machinery (Excluding Tractors) And Parts Thereof | 0.9305 | 0.2500 |
| 723 | Civil Engineering And Contractors' Plant And Equipment And Parts | 0.5438 | 0.0331 |
| 724 | Textile And Leather Machinery, And Parts Thereof | 0.9325 | 0.7078 |
| 728 | Machinery And Equipment Specialized For Particular Industries, And Parts | 1.0579 | 0.5266 |
| 741 | Heating And Cooling Equipment And Parts | 0.8493 | 0.2083 |
| 742 | Pumps For Liquids; Liquid Elevators; And Parts Thereof | 0.8207 | 0.2439 |
| 743 | Air And Vacuum Pumps, Compressors, Fans, Centrifuges, And Filtering Apparatus | 0.7048 | 0.3295 |
| 744 | Mechanical Handling Equipment, And Parts Thereof, N.E.S. | 0.9831 | 0.3833 |
| 745 | Nonelectrical Machinery, Tools And Mechanical Apparatus, And Parts | 1.0303 | 0.6550 |
| 751 | Office Machines | 0.8329 | 0.1389 |
| 761 | Television Receivers, Including Monitors, Projectors And Receivers | 0.1421 | 0.0511 |
| 762 | Radio Broadcast Receivers | 0.2899 | 0.0439 |
| 763 | Sound Recorders Or Reproducers; Television Image And Sound Recorders | 0.4640 | -0.0357 |
| 764 | Telecommunications Equipment, N.E.S.; And Parts, N.E.S., And Accessories | 0.3748 | 0.0023 |
| 771 | Electric Power Machinery (Except Rotating Power Machinery) and Parts | 0.5049 | 0.1050 |
| 773 | Equipment For Distributing Electricity, N.E.S. | 0.4485 | 0.2740 |
| 774 | Electro-Diagnostic Apparatus For Medical, Surgical, Dental Or Vet. Use | 0.7433 | 0.1762 |
| 775 | Household Type Electrical | 0.4183 | 0.0545 |
| 778 | Electrical Machinery and Apparatus | 0.7328 | 0.1915 |
| 781 | Motor Cars And Other Motor Vehicles Principally Designed For Transport | 0.4604 | 0.0818 |
| 784 | Parts And Accessories For Tractors, Motor Cars, And Other Motor Veichles | 0.1413 | 0.1656 |
| 874 | Measuring, Checking, Analysing And And Controlling Instruments and Apparatus | 0.9628 | 0.3068 |
| 881 | Photographic Apparatus And Equipment, N.E.S. | 0.8332 | 0.3292 |
| 884 | Optical Goods, N.E.S. | 1.0160 | 0.4825 |
| 885 | Watches And Clocks | 0.9865 | 0.4093 |
| 893 | Articles, N.E.S. Of Plastics | 1.0721 | 0.2062 |
| 894 | Baby Carriages, Toys, Games And Sporting Goods | 0.2459 | 0.0145 |
| 897 | Jewelry, Goldsmiths' And Silversmiths' Wares | 0.9665 | 0.3123 |
| 898 | Musical Instruments, Parts And Accessories Thereof; Records | 0.4489 | 0.1886 |
| 54 | Medicinal and pharmaceutical products | 0.5127 | 0.4334 |
| 55 | Essential oils; polishing and cleansing preps | 0.3673 | 0.2236 |
| 73 | Metalworking machinery | 0.8519 | 0.4698 |
| 81 | Prefabricated buildings; plumbing, heat and lighting fixtures | 0.3341 | 0.0144 |
| 84 | Articles of apparel and clothing accessories | 0.0584 | -0.0397 |
| 85 | Footwear | 0.4159 | 0.1213 |
Additional notes for Figure 2:
Also on Figure 2 are three dashed lines. One line is at 45 degree angle. One line is horizontal with a y-axis value of 0. One line is vertical with a x-axis value of 0.
| Year | Total Trade Costs | Transport Costs | Duty Costs |
|---|---|---|---|
| 1980 | 11.102 | 4.554 | 6.548 |
| 1981 | 11.436 | 4.528 | 6.908 |
| 1982 | 10.630 | 4.448 | 6.182 |
| 1983 | 10.439 | 4.456 | 5.983 |
| 1984 | 10.459 | 4.658 | 5.801 |
| 1985 | 10.124 | 4.602 | 5.522 |
| 1986 | 8.882 | 4.019 | 4.863 |
| 1987 | 8.543 | 3.943 | 4.599 |
| 1988 | 8.051 | 3.516 | 4.535 |
| 1989 | 8.037 | 3.408 | 4.630 |
| 1990 | 7.965 | 3.380 | 4.585 |
| 1991 | 7.810 | 3.295 | 4.515 |
| 1992 | 7.520 | 3.194 | 4.326 |
| 1993 | 7.253 | 3.140 | 4.113 |
| 1994 | 6.932 | 3.033 | 3.898 |
| 1995 | 6.315 | 2.962 | 3.353 |
| 1996 | 5.713 | 2.638 | 3.075 |
| 1997 | 5.404 | 2.526 | 2.878 |
| 1998 | 5.335 | 2.638 | 2.697 |
| 1999 | 5.400 | 2.940 | 2.461 |
| 2000 | 5.345 | 2.977 | 2.368 |
| 2001 | 5.204 | 2.844 | 2.359 |
| US | ROW | JA | EU | DA | LA |
|---|---|---|---|---|---|
| 1.63 | 3.07 | 1.89 | 1.55 | 4.62 | -0.16 |
| Year | US | ROW |
|---|---|---|
| 1980 | 100.00 | 100.00 |
| 1981 | 101.38 | 100.90 |
| 1982 | 100.35 | 102.18 |
| 1983 | 103.20 | 104.35 |
| 1984 | 106.31 | 107.99 |
| 1985 | 108.23 | 111.00 |
| 1986 | 109.45 | 113.33 |
| 1987 | 110.44 | 116.61 |
| 1988 | 112.55 | 120.67 |
| 1989 | 114.09 | 122.72 |
| 1990 | 114.67 | 125.23 |
| 1991 | 115.36 | 128.07 |
| 1992 | 118.29 | 132.24 |
| 1993 | 119.55 | 137.46 |
| 1994 | 121.42 | 143.51 |
| 1995 | 122.53 | 149.77 |
| 1996 | 125.16 | 155.47 |
| 1997 | 127.76 | 160.23 |
| 1998 | 131.01 | 162.23 |
| 1999 | 134.61 | 168.24 |
| 2000 | 137.54 | 175.47 |
| 2001 | 138.44 | 181.07 |
| 2002 | 141.39 | 189.71 |
| 2003 | 144.99 | 200.55 |
| log(Pi/G) | NCES Demand Curve | CES Demand Curve |
|---|---|---|
| -0.06 | 0.09 | 0.18 |
| -0.06 | 0.09 | 0.18 |
| -0.06 | 0.08 | 0.17 |
| -0.06 | 0.08 | 0.17 |
| -0.06 | 0.08 | 0.16 |
| -0.06 | 0.08 | 0.16 |
| -0.06 | 0.07 | 0.15 |
| -0.05 | 0.07 | 0.15 |
| -0.05 | 0.07 | 0.14 |
| -0.05 | 0.07 | 0.14 |
| -0.05 | 0.06 | 0.13 |
| -0.05 | 0.06 | 0.13 |
| -0.05 | 0.06 | 0.12 |
| -0.05 | 0.06 | 0.12 |
| -0.05 | 0.05 | 0.11 |
| -0.05 | 0.05 | 0.11 |
| -0.04 | 0.05 | 0.10 |
| -0.04 | 0.05 | 0.10 |
| -0.04 | 0.04 | 0.09 |
| -0.04 | 0.04 | 0.09 |
| -0.04 | 0.04 | 0.08 |
| -0.04 | 0.03 | 0.08 |
| -0.04 | 0.03 | 0.07 |
| -0.04 | 0.03 | 0.07 |
| -0.04 | 0.03 | 0.06 |
| -0.04 | 0.02 | 0.06 |
| -0.03 | 0.02 | 0.05 |
| -0.03 | 0.02 | 0.05 |
| -0.03 | 0.01 | 0.04 |
| -0.03 | 0.01 | 0.04 |
| -0.03 | 0.01 | 0.03 |
| -0.03 | 0.00 | 0.03 |
| -0.03 | 0.00 | 0.02 |
| -0.03 | 0.00 | 0.02 |
| -0.03 | -0.01 | 0.01 |
| -0.03 | -0.01 | 0.01 |
| -0.02 | -0.01 | 0.01 |
| -0.02 | -0.02 | 0.00 |
| -0.02 | -0.02 | 0.00 |
| -0.02 | -0.02 | -0.01 |
| -0.02 | -0.03 | -0.01 |
| -0.02 | -0.03 | -0.02 |
| -0.02 | -0.03 | -0.02 |
| -0.02 | -0.04 | -0.03 |
| -0.02 | -0.04 | -0.03 |
| -0.02 | -0.05 | -0.04 |
| -0.01 | -0.05 | -0.04 |
| -0.01 | -0.05 | -0.05 |
| -0.01 | -0.06 | -0.05 |
| -0.01 | -0.06 | -0.06 |
| -0.01 | -0.07 | -0.06 |
| -0.01 | -0.07 | -0.07 |
| -0.01 | -0.07 | -0.07 |
| -0.01 | -0.08 | -0.08 |
| -0.01 | -0.08 | -0.08 |
| -0.01 | -0.09 | -0.09 |
| 0.00 | -0.09 | -0.09 |
| 0.00 | -0.10 | -0.10 |
| 0.00 | -0.10 | -0.10 |
| 0.00 | -0.11 | -0.11 |
| 0.00 | -0.11 | -0.11 |
| 0.00 | -0.12 | -0.12 |
| 0.00 | -0.12 | -0.12 |
| 0.00 | -0.13 | -0.12 |
| 0.00 | -0.13 | -0.13 |
| 0.00 | -0.14 | -0.13 |
| 0.01 | -0.14 | -0.14 |
| 0.01 | -0.15 | -0.14 |
| 0.01 | -0.15 | -0.15 |
| 0.01 | -0.16 | -0.15 |
| 0.01 | -0.16 | -0.16 |
| 0.01 | -0.17 | -0.16 |
| 0.01 | -0.17 | -0.17 |
| 0.01 | -0.18 | -0.17 |
| 0.01 | -0.18 | -0.18 |
| 0.01 | -0.19 | -0.18 |
| 0.02 | -0.20 | -0.19 |
| 0.02 | -0.20 | -0.19 |
| 0.02 | -0.21 | -0.20 |
| 0.02 | -0.21 | -0.20 |
| 0.02 | -0.22 | -0.20 |
| 0.02 | -0.23 | -0.21 |
| 0.02 | -0.23 | -0.21 |
| 0.02 | -0.24 | -0.22 |
| 0.02 | -0.25 | -0.22 |
| 0.02 | -0.25 | -0.23 |
| 0.03 | -0.26 | -0.23 |
| 0.03 | -0.27 | -0.24 |
| 0.03 | -0.27 | -0.24 |
| 0.03 | -0.28 | -0.25 |
| 0.03 | -0.29 | -0.25 |
| 0.03 | -0.30 | -0.26 |
| 0.03 | -0.30 | -0.26 |
| 0.03 | -0.31 | -0.27 |
| 0.03 | -0.32 | -0.27 |
| 0.03 | -0.33 | -0.27 |
| 0.04 | -0.34 | -0.28 |
| 0.04 | -0.34 | -0.28 |
| 0.04 | -0.35 | -0.29 |
| 0.04 | -0.36 | -0.29 |
| 0.04 | -0.37 | -0.30 |
| 0.04 | -0.38 | -0.30 |
| 0.04 | -0.39 | -0.31 |
| 0.04 | -0.40 | -0.31 |
| 0.04 | -0.41 | -0.32 |
| 0.04 | -0.42 | -0.32 |
| 0.04 | -0.43 | -0.32 |
| 0.05 | -0.44 | -0.33 |
| 0.05 | -0.45 | -0.33 |
| 0.05 | -0.46 | -0.34 |
| 0.05 | -0.47 | -0.34 |
| 0.05 | -0.48 | -0.35 |
| 0.05 | -0.49 | -0.35 |
| 0.05 | -0.50 | -0.36 |
| 0.05 | -0.51 | -0.36 |
| 0.05 | -0.52 | -0.37 |
| 0.05 | -0.53 | -0.37 |
| 0.06 | -0.55 | -0.37 |
| 0.06 | -0.56 | -0.38 |
| 0.06 | -0.57 | -0.38 |
| 0.06 | -0.58 | -0.39 |
| log(Pi/G) | NCES Demand Elasticity | CES Demand Elasticity |
|---|---|---|
| -0.06 | 2.10 | 4.76 |
| -0.06 | 2.13 | 4.76 |
| -0.06 | 2.16 | 4.76 |
| -0.06 | 2.19 | 4.76 |
| -0.06 | 2.21 | 4.76 |
| -0.06 | 2.24 | 4.76 |
| -0.06 | 2.27 | 4.76 |
| -0.05 | 2.30 | 4.76 |
| -0.05 | 2.33 | 4.76 |
| -0.05 | 2.36 | 4.76 |
| -0.05 | 2.39 | 4.76 |
| -0.05 | 2.43 | 4.76 |
| -0.05 | 2.46 | 4.76 |
| -0.05 | 2.49 | 4.76 |
| -0.05 | 2.52 | 4.76 |
| -0.05 | 2.56 | 4.76 |
| -0.04 | 2.59 | 4.76 |
| -0.04 | 2.62 | 4.76 |
| -0.04 | 2.66 | 4.76 |
| -0.04 | 2.69 | 4.76 |
| -0.04 | 2.73 | 4.76 |
| -0.04 | 2.77 | 4.76 |
| -0.04 | 2.80 | 4.76 |
| -0.04 | 2.84 | 4.76 |
| -0.04 | 2.88 | 4.76 |
| -0.04 | 2.92 | 4.76 |
| -0.03 | 2.96 | 4.76 |
| -0.03 | 3.00 | 4.76 |
| -0.03 | 3.04 | 4.76 |
| -0.03 | 3.08 | 4.76 |
| -0.03 | 3.12 | 4.76 |
| -0.03 | 3.16 | 4.76 |
| -0.03 | 3.21 | 4.76 |
| -0.03 | 3.25 | 4.76 |
| -0.03 | 3.30 | 4.76 |
| -0.03 | 3.34 | 4.76 |
| -0.02 | 3.39 | 4.76 |
| -0.02 | 3.43 | 4.76 |
| -0.02 | 3.48 | 4.76 |
| -0.02 | 3.53 | 4.76 |
| -0.02 | 3.58 | 4.76 |
| -0.02 | 3.63 | 4.76 |
| -0.02 | 3.68 | 4.76 |
| -0.02 | 3.73 | 4.76 |
| -0.02 | 3.78 | 4.76 |
| -0.02 | 3.84 | 4.76 |
| -0.01 | 3.89 | 4.76 |
| -0.01 | 3.95 | 4.76 |
| -0.01 | 4.00 | 4.76 |
| -0.01 | 4.06 | 4.76 |
| -0.01 | 4.12 | 4.76 |
| -0.01 | 4.18 | 4.76 |
| -0.01 | 4.24 | 4.76 |
| -0.01 | 4.30 | 4.76 |
| -0.01 | 4.36 | 4.76 |
| -0.01 | 4.43 | 4.76 |
| 0.00 | 4.49 | 4.76 |
| 0.00 | 4.56 | 4.76 |
| 0.00 | 4.62 | 4.76 |
| 0.00 | 4.69 | 4.76 |
| 0.00 | 4.76 | 4.76 |
| 0.00 | 4.83 | 4.76 |
| 0.00 | 4.91 | 4.76 |
| 0.00 | 4.98 | 4.76 |
| 0.00 | 5.05 | 4.76 |
| 0.00 | 5.13 | 4.76 |
| 0.01 | 5.21 | 4.76 |
| 0.01 | 5.29 | 4.76 |
| 0.01 | 5.37 | 4.76 |
| 0.01 | 5.45 | 4.76 |
| 0.01 | 5.54 | 4.76 |
| 0.01 | 5.62 | 4.76 |
| 0.01 | 5.71 | 4.76 |
| 0.01 | 5.80 | 4.76 |
| 0.01 | 5.89 | 4.76 |
| 0.01 | 5.98 | 4.76 |
| 0.02 | 6.08 | 4.76 |
| 0.02 | 6.18 | 4.76 |
| 0.02 | 6.28 | 4.76 |
| 0.02 | 6.38 | 4.76 |
| 0.02 | 6.48 | 4.76 |
| 0.02 | 6.59 | 4.76 |
| 0.02 | 6.69 | 4.76 |
| 0.02 | 6.81 | 4.76 |
| 0.02 | 6.92 | 4.76 |
| 0.02 | 7.03 | 4.76 |
| 0.03 | 7.15 | 4.76 |
| 0.03 | 7.27 | 4.76 |
| 0.03 | 7.40 | 4.76 |
| 0.03 | 7.52 | 4.76 |
| 0.03 | 7.65 | 4.76 |
| 0.03 | 7.79 | 4.76 |
| 0.03 | 7.92 | 4.76 |
| 0.03 | 8.06 | 4.76 |
| 0.03 | 8.20 | 4.76 |
| 0.03 | 8.35 | 4.76 |
| 0.04 | 8.50 | 4.76 |
| 0.04 | 8.65 | 4.76 |
| 0.04 | 8.81 | 4.76 |
| 0.04 | 8.97 | 4.76 |
| 0.04 | 9.14 | 4.76 |
| 0.04 | 9.31 | 4.76 |
| 0.04 | 9.48 | 4.76 |
| 0.04 | 9.66 | 4.76 |
| 0.04 | 9.85 | 4.76 |
| 0.04 | 10.04 | 4.76 |
| 0.04 | 10.23 | 4.76 |
| 0.05 | 10.43 | 4.76 |
| 0.05 | 10.64 | 4.76 |
| 0.05 | 10.85 | 4.76 |
| 0.05 | 11.07 | 4.76 |
| 0.05 | 11.30 | 4.76 |
| 0.05 | 11.53 | 4.76 |
| 0.05 | 11.77 | 4.76 |
| 0.05 | 12.02 | 4.76 |
| 0.05 | 12.27 | 4.76 |
| 0.05 | 12.54 | 4.76 |
| 0.06 | 12.81 | 4.76 |
| 0.06 | 13.09 | 4.76 |
| 0.06 | 13.38 | 4.76 |
| 0.06 | 13.68 | 4.76 |
| log(Pi/G) | Marginal Revenue for NCES Demand Curve | mcL | mc'L | mcH | mc'H |
|---|---|---|---|---|---|
| -0.06 | -0.71 | -0.50 | -0.47 | -0.08 | -0.05 |
| -0.06 | -0.69 | -0.50 | -0.47 | -0.08 | -0.05 |
| -0.06 | -0.68 | -0.50 | -0.47 | -0.08 | -0.05 |
| -0.06 | -0.67 | -0.50 | -0.47 | -0.08 | -0.05 |
| -0.06 | -0.66 | -0.50 | -0.47 | -0.08 | -0.05 |
| -0.06 | -0.65 | -0.50 | -0.47 | -0.08 | -0.05 |
| -0.06 | -0.64 | -0.50 | -0.47 | -0.08 | -0.05 |
| -0.05 | -0.62 | -0.50 | -0.47 | -0.08 | -0.05 |
| -0.05 | -0.61 | -0.50 | -0.47 | -0.08 | -0.05 |
| -0.05 | -0.60 | -0.50 | -0.47 | -0.08 | -0.05 |
| -0.05 | -0.59 | -0.50 | -0.47 | -0.08 | -0.05 |
| -0.05 | -0.58 | -0.50 | -0.47 | -0.08 | -0.05 |
| -0.05 | -0.57 | -0.50 | -0.47 | -0.08 | -0.05 |
| -0.05 | -0.56 | -0.50 | -0.47 | -0.08 | -0.05 |
| -0.05 | -0.55 | -0.50 | -0.47 | -0.08 | -0.05 |
| -0.05 | -0.54 | -0.50 | -0.47 | -0.08 | -0.05 |
| -0.04 | -0.53 | -0.50 | -0.47 | -0.08 | -0.05 |
| -0.04 | -0.52 | -0.50 | -0.47 | -0.08 | -0.05 |
| -0.04 | -0.51 | -0.50 | -0.47 | -0.08 | -0.05 |
| -0.04 | -0.51 | -0.50 | -0.47 | -0.08 | -0.05 |
| -0.04 | -0.50 | -0.50 | -0.47 | -0.08 | -0.05 |
| -0.04 | -0.49 | -0.50 | -0.47 | -0.08 | -0.05 |
| -0.04 | -0.48 | -0.50 | -0.47 | -0.08 | -0.05 |
| -0.04 | -0.47 | -0.50 | -0.47 | -0.08 | -0.05 |
| -0.04 | -0.46 | -0.50 | -0.47 | -0.08 | -0.05 |
| -0.04 | -0.46 | -0.50 | -0.47 | -0.08 | -0.05 |
| -0.03 | -0.45 | -0.50 | -0.47 | -0.08 | -0.05 |
| -0.03 | -0.44 | -0.50 | -0.47 | -0.08 | -0.05 |
| -0.03 | -0.43 | -0.50 | -0.47 | -0.08 | -0.05 |
| -0.03 | -0.42 | -0.50 | -0.47 | -0.08 | -0.05 |
| -0.03 | -0.42 | -0.50 | -0.47 | -0.08 | -0.05 |
| -0.03 | -0.41 | -0.50 | -0.47 | -0.08 | -0.05 |
| -0.03 | -0.40 | -0.50 | -0.47 | -0.08 | -0.05 |
| -0.03 | -0.39 | -0.50 | -0.47 | -0.08 | -0.05 |
| -0.03 | -0.39 | -0.50 | -0.47 | -0.08 | -0.05 |
| -0.03 | -0.38 | -0.50 | -0.47 | -0.08 | -0.05 |
| -0.02 | -0.37 | -0.50 | -0.47 | -0.08 | -0.05 |
| -0.02 | -0.37 | -0.50 | -0.47 | -0.08 | -0.05 |
| -0.02 | -0.36 | -0.50 | -0.47 | -0.08 | -0.05 |
| -0.02 | -0.35 | -0.50 | -0.47 | -0.08 | -0.05 |
| -0.02 | -0.35 | -0.50 | -0.47 | -0.08 | -0.05 |
| -0.02 | -0.34 | -0.50 | -0.47 | -0.08 | -0.05 |
| -0.02 | -0.34 | -0.50 | -0.47 | -0.08 | -0.05 |
| -0.02 | -0.33 | -0.50 | -0.47 | -0.08 | -0.05 |
| -0.02 | -0.32 | -0.50 | -0.47 | -0.08 | -0.05 |
| -0.02 | -0.32 | -0.50 | -0.47 | -0.08 | -0.05 |
| -0.01 | -0.31 | -0.50 | -0.47 | -0.08 | -0.05 |
| -0.01 | -0.31 | -0.50 | -0.47 | -0.08 | -0.05 |
| -0.01 | -0.30 | -0.50 | -0.47 | -0.08 | -0.05 |
| -0.01 | -0.29 | -0.50 | -0.47 | -0.08 | -0.05 |
| -0.01 | -0.29 | -0.50 | -0.47 | -0.08 | -0.05 |
| -0.01 | -0.28 | -0.50 | -0.47 | -0.08 | -0.05 |
| -0.01 | -0.28 | -0.50 | -0.47 | -0.08 | -0.05 |
| -0.01 | -0.27 | -0.50 | -0.47 | -0.08 | -0.05 |
| -0.01 | -0.27 | -0.50 | -0.47 | -0.08 | -0.05 |
| -0.01 | -0.26 | -0.50 | -0.47 | -0.08 | -0.05 |
| 0.00 | -0.26 | -0.50 | -0.47 | -0.08 | -0.05 |
| 0.00 | -0.25 | -0.50 | -0.47 | -0.08 | -0.05 |
| 0.00 | -0.25 | -0.50 | -0.47 | -0.08 | -0.05 |
| 0.00 | -0.24 | -0.50 | -0.47 | -0.08 | -0.05 |
| 0.00 | -0.24 | -0.50 | -0.47 | -0.08 | -0.05 |
| 0.00 | -0.23 | -0.50 | -0.47 | -0.08 | -0.05 |
| 0.00 | -0.23 | -0.50 | -0.47 | -0.08 | -0.05 |
| 0.00 | -0.22 | -0.50 | -0.47 | -0.08 | -0.05 |
| 0.00 | -0.22 | -0.50 | -0.47 | -0.08 | -0.05 |
| 0.00 | -0.21 | -0.50 | -0.47 | -0.08 | -0.05 |
| 0.01 | -0.21 | -0.50 | -0.47 | -0.08 | -0.05 |
| 0.01 | -0.20 | -0.50 | -0.47 | -0.08 | -0.05 |
| 0.01 | -0.20 | -0.50 | -0.47 | -0.08 | -0.05 |
| 0.01 | -0.19 | -0.50 | -0.47 | -0.08 | -0.05 |
| 0.01 | -0.19 | -0.50 | -0.47 | -0.08 | -0.05 |
| 0.01 | -0.18 | -0.50 | -0.47 | -0.08 | -0.05 |
| 0.01 | -0.18 | -0.50 | -0.47 | -0.08 | -0.05 |
| 0.01 | -0.18 | -0.50 | -0.47 | -0.08 | -0.05 |
| 0.01 | -0.17 | -0.50 | -0.47 | -0.08 | -0.05 |
| 0.01 | -0.17 | -0.50 | -0.47 | -0.08 | -0.05 |
| 0.02 | -0.16 | -0.50 | -0.47 | -0.08 | -0.05 |
| 0.02 | -0.16 | -0.50 | -0.47 | -0.08 | -0.05 |
| 0.02 | -0.16 | -0.50 | -0.47 | -0.08 | -0.05 |
| 0.02 | -0.15 | -0.50 | -0.47 | -0.08 | -0.05 |
| 0.02 | -0.15 | -0.50 | -0.47 | -0.08 | -0.05 |
| 0.02 | -0.14 | -0.50 | -0.47 | -0.08 | -0.05 |
| 0.02 | -0.14 | -0.50 | -0.47 | -0.08 | -0.05 |
| 0.02 | -0.14 | -0.50 | -0.47 | -0.08 | -0.05 |
| 0.02 | -0.13 | -0.50 | -0.47 | -0.08 | -0.05 |
| 0.02 | -0.13 | -0.50 | -0.47 | -0.08 | -0.05 |
| 0.03 | -0.12 | -0.50 | -0.47 | -0.08 | -0.05 |
| 0.03 | -0.12 | -0.50 | -0.47 | -0.08 | -0.05 |
| 0.03 | -0.12 | -0.50 | -0.47 | -0.08 | -0.05 |
| 0.03 | -0.11 | -0.50 | -0.47 | -0.08 | -0.05 |
| 0.03 | -0.11 | -0.50 | -0.47 | -0.08 | -0.05 |
| 0.03 | -0.11 | -0.50 | -0.47 | -0.08 | -0.05 |
| 0.03 | -0.10 | -0.50 | -0.47 | -0.08 | -0.05 |
| 0.03 | -0.10 | -0.50 | -0.47 | -0.08 | -0.05 |
| 0.03 | -0.10 | -0.50 | -0.47 | -0.08 | -0.05 |
| 0.03 | -0.09 | -0.50 | -0.47 | -0.08 | -0.05 |
| 0.04 | -0.09 | -0.50 | -0.47 | -0.08 | -0.05 |
| 0.04 | -0.09 | -0.50 | -0.47 | -0.08 | -0.05 |
| 0.04 | -0.08 | -0.50 | -0.47 | -0.08 | -0.05 |
| 0.04 | -0.08 | -0.50 | -0.47 | -0.08 | -0.05 |
| 0.04 | -0.08 | -0.50 | -0.47 | -0.08 | -0.05 |
| 0.04 | -0.07 | -0.50 | -0.47 | -0.08 | -0.05 |
| 0.04 | -0.07 | -0.50 | -0.47 | -0.08 | -0.05 |
| 0.04 | -0.07 | -0.50 | -0.47 | -0.08 | -0.05 |
| 0.04 | -0.06 | -0.50 | -0.47 | -0.08 | -0.05 |
| 0.04 | -0.06 | -0.50 | -0.47 | -0.08 | -0.05 |
| 0.04 | -0.06 | -0.50 | -0.47 | -0.08 | -0.05 |
| 0.05 | -0.05 | -0.50 | -0.47 | -0.08 | -0.05 |
| 0.05 | -0.05 | -0.50 | -0.47 | -0.08 | -0.05 |
| 0.05 | -0.05 | -0.50 | -0.47 | -0.08 | -0.05 |
| 0.05 | -0.05 | -0.50 | -0.47 | -0.08 | -0.05 |
| 0.05 | -0.04 | -0.50 | -0.47 | -0.08 | -0.05 |
| 0.05 | -0.04 | -0.50 | -0.47 | -0.08 | -0.05 |
| 0.05 | -0.04 | -0.50 | -0.47 | -0.08 | -0.05 |
| 0.05 | -0.03 | -0.50 | -0.47 | -0.08 | -0.05 |
| 0.05 | -0.03 | -0.50 | -0.47 | -0.08 | -0.05 |
| 0.05 | -0.03 | -0.50 | -0.47 | -0.08 | -0.05 |
| 0.06 | -0.03 | -0.50 | -0.47 | -0.08 | -0.05 |
| 0.06 | -0.02 | -0.50 | -0.47 | -0.08 | -0.05 |
| 0.06 | -0.02 | -0.50 | -0.47 | -0.08 | -0.05 |
| 0.06 | -0.02 | -0.50 | -0.47 | -0.08 | -0.05 |
| log(Pi/G) | NCES Markup | CES Markup |
|---|---|---|
| -0.06 | 1.91 | 1.27 |
| -0.06 | 1.88 | 1.27 |
| -0.06 | 1.86 | 1.27 |
| -0.06 | 1.84 | 1.27 |
| -0.06 | 1.82 | 1.27 |
| -0.06 | 1.80 | 1.27 |
| -0.06 | 1.79 | 1.27 |
| -0.05 | 1.77 | 1.27 |
| -0.05 | 1.75 | 1.27 |
| -0.05 | 1.73 | 1.27 |
| -0.05 | 1.72 | 1.27 |
| -0.05 | 1.70 | 1.27 |
| -0.05 | 1.69 | 1.27 |
| -0.05 | 1.67 | 1.27 |
| -0.05 | 1.66 | 1.27 |
| -0.05 | 1.64 | 1.27 |
| -0.04 | 1.63 | 1.27 |
| -0.04 | 1.62 | 1.27 |
| -0.04 | 1.60 | 1.27 |
| -0.04 | 1.59 | 1.27 |
| -0.04 | 1.58 | 1.27 |
| -0.04 | 1.57 | 1.27 |
| -0.04 | 1.55 | 1.27 |
| -0.04 | 1.54 | 1.27 |
| -0.04 | 1.53 | 1.27 |
| -0.04 | 1.52 | 1.27 |
| -0.03 | 1.51 | 1.27 |
| -0.03 | 1.50 | 1.27 |
| -0.03 | 1.49 | 1.27 |
| -0.03 | 1.48 | 1.27 |
| -0.03 | 1.47 | 1.27 |
| -0.03 | 1.46 | 1.27 |
| -0.03 | 1.45 | 1.27 |
| -0.03 | 1.44 | 1.27 |
| -0.03 | 1.44 | 1.27 |
| -0.03 | 1.43 | 1.27 |
| -0.02 | 1.42 | 1.27 |
| -0.02 | 1.41 | 1.27 |
| -0.02 | 1.40 | 1.27 |
| -0.02 | 1.40 | 1.27 |
| -0.02 | 1.39 | 1.27 |
| -0.02 | 1.38 | 1.27 |
| -0.02 | 1.37 | 1.27 |
| -0.02 | 1.37 | 1.27 |
| -0.02 | 1.36 | 1.27 |
| -0.02 | 1.35 | 1.27 |
| -0.01 | 1.35 | 1.27 |
| -0.01 | 1.34 | 1.27 |
| -0.01 | 1.33 | 1.27 |
| -0.01 | 1.33 | 1.27 |
| -0.01 | 1.32 | 1.27 |
| -0.01 | 1.31 | 1.27 |
| -0.01 | 1.31 | 1.27 |
| -0.01 | 1.30 | 1.27 |
| -0.01 | 1.30 | 1.27 |
| -0.01 | 1.29 | 1.27 |
| 0.00 | 1.29 | 1.27 |
| 0.00 | 1.28 | 1.27 |
| 0.00 | 1.28 | 1.27 |
| 0.00 | 1.27 | 1.27 |
| 0.00 | 1.27 | 1.27 |
| 0.00 | 1.26 | 1.27 |
| 0.00 | 1.26 | 1.27 |
| 0.00 | 1.25 | 1.27 |
| 0.00 | 1.25 | 1.27 |
| 0.00 | 1.24 | 1.27 |
| 0.01 | 1.24 | 1.27 |
| 0.01 | 1.23 | 1.27 |
| 0.01 | 1.23 | 1.27 |
| 0.01 | 1.22 | 1.27 |
| 0.01 | 1.22 | 1.27 |
| 0.01 | 1.22 | 1.27 |
| 0.01 | 1.21 | 1.27 |
| 0.01 | 1.21 | 1.27 |
| 0.01 | 1.20 | 1.27 |
| 0.01 | 1.20 | 1.27 |
| 0.02 | 1.20 | 1.27 |
| 0.02 | 1.19 | 1.27 |
| 0.02 | 1.19 | 1.27 |
| 0.02 | 1.19 | 1.27 |
| 0.02 | 1.18 | 1.27 |
| 0.02 | 1.18 | 1.27 |
| 0.02 | 1.18 | 1.27 |
| 0.02 | 1.17 | 1.27 |
| 0.02 | 1.17 | 1.27 |
| 0.02 | 1.17 | 1.27 |
| 0.03 | 1.16 | 1.27 |
| 0.03 | 1.16 | 1.27 |
| 0.03 | 1.16 | 1.27 |
| 0.03 | 1.15 | 1.27 |
| 0.03 | 1.15 | 1.27 |
| 0.03 | 1.15 | 1.27 |
| 0.03 | 1.14 | 1.27 |
| 0.03 | 1.14 | 1.27 |
| 0.03 | 1.14 | 1.27 |
| 0.03 | 1.14 | 1.27 |
| 0.04 | 1.13 | 1.27 |
| 0.04 | 1.13 | 1.27 |
| 0.04 | 1.13 | 1.27 |
| 0.04 | 1.13 | 1.27 |
| 0.04 | 1.12 | 1.27 |
| 0.04 | 1.12 | 1.27 |
| 0.04 | 1.12 | 1.27 |
| 0.04 | 1.12 | 1.27 |
| 0.04 | 1.11 | 1.27 |
| 0.04 | 1.11 | 1.27 |
| 0.04 | 1.11 | 1.27 |
| 0.05 | 1.11 | 1.27 |
| 0.05 | 1.10 | 1.27 |
| 0.05 | 1.10 | 1.27 |
| 0.05 | 1.10 | 1.27 |
| 0.05 | 1.10 | 1.27 |
| 0.05 | 1.09 | 1.27 |
| 0.05 | 1.09 | 1.27 |
| 0.05 | 1.09 | 1.27 |
| 0.05 | 1.09 | 1.27 |
| 0.05 | 1.09 | 1.27 |
| 0.06 | 1.08 | 1.27 |
| 0.06 | 1.08 | 1.27 |
| 0.06 | 1.08 | 1.27 |
| 0.06 | 1.08 | 1.27 |
| Industry # | Industry Name | Change in Trade Costs | Change in Pass-through |
|---|---|---|---|
| 625 | Tires And Inner Tubes Of Rubber | 0.0333 | -0.0041 |
| 665 | Glassware | -0.1045 | -0.5636 |
| 666 | Pottery | -0.0804 | -1.0062 |
| 667 | Pearls, Precious And Semiprecious Stones, Unworked Or Worked | -0.0101 | 0.5043 |
| 716 | Rotating Electric Plants And Parts | -0.0479 | -0.3446 |
| 721 | Agricultural Machinery (Excluding Tractors) And Parts Thereof | 0.0092 | -0.6805 |
| 723 | Civil Engineering And Contractors' Plant And Equipment And Parts | -0.0521 | -0.5107 |
| 724 | Textile And Leather Machinery, And Parts Thereof | -0.0752 | -0.2247 |
| 728 | Machinery And Equipment Specialized For Particular Industries, And Parts | -0.0410 | -0.5313 |
| 741 | Heating And Cooling Equipment And Parts | -0.0685 | -0.6410 |
| 742 | Pumps For Liquids; Liquid Elevators; And Parts Thereof | -0.0402 | -0.5768 |
| 743 | Air And Vacuum Pumps, Compressors, Fans, Centrifuges, And Filtering Apparatus | -0.0327 | -0.3753 |
| 744 | Mechanical Handling Equipment, And Parts Thereof, N.E.S. | -0.0553 | -0.5998 |
| 745 | Nonelectrical Machinery, Tools And Mechanical Apparatus, And Parts | -0.0514 | -0.3753 |
| 751 | Office Machines | -0.0193 | -0.6940 |
| 761 | Television Receivers, Including Monitors, Projectors And Receivers | -0.0646 | -0.0910 |
| 762 | Radio Broadcast Receivers | -0.0631 | -0.2461 |
| 763 | Sound Recorders Or Reproducers; Television Image And Sound Recorders | -0.0517 | -0.4997 |
| 764 | Telecommunications Equipment, N.E.S.; And Parts, N.E.S., And Accessories | -0.0586 | -0.3725 |
| 771 | Electric Power Machinery (Except Rotating Power Machinery) and Parts | -0.0498 | -0.3999 |
| 773 | Equipment For Distributing Electricity, N.E.S. | -0.0617 | -0.1745 |
| 774 | Electro-Diagnostic Apparatus For Medical, Surgical, Dental Or Vet. Use | -0.0409 | -0.5670 |
| 775 | Household Type Electrical | -0.0359 | -0.3638 |
| 778 | Electrical Machinery and Apparatus | -0.0463 | -0.5414 |
| 781 | Motor Cars And Other Motor Vehicles Principally Designed For Transport | -0.0497 | -0.3785 |
| 784 | Parts And Accessories For Tractors, Motor Cars, And Other Motor Veichles | -0.0428 | 0.0243 |
| 874 | Measuring, Checking, Analysing And And Controlling Instruments and Apparatus | -0.0651 | -0.6560 |
| 881 | Photographic Apparatus And Equipment, N.E.S. | -0.0658 | -0.5040 |
| 884 | Optical Goods, N.E.S. | -0.0995 | -0.5335 |
| 885 | Watches And Clocks | 0.0175 | -0.5772 |
| 893 | Articles, N.E.S. Of Plastics | -0.0422 | -0.8659 |
| 894 | Baby Carriages, Toys, Games And Sporting Goods | -0.0592 | -0.2315 |
| 897 | Jewelry, Goldsmiths' And Silversmiths' Wares | -0.0770 | -0.6542 |
| 898 | Musical Instruments, Parts And Accessories Thereof; Records | -0.0585 | -0.2603 |
| 54 | Medicinal and pharmaceutical products | -0.0651 | -0.0794 |
| 55 | Essential oils; polishing and cleansing preps | -0.0581 | -0.1437 |
| 73 | Metalworking machinery | -0.0436 | -0.3821 |
| 81 | Prefabricated buildings; plumbing, heat and lighting fixtures | -0.0549 | -0.3197 |
| 84 | Articles of apparel and clothing accessories | -0.1549 | -0.0981 |
| 85 | Footwear | 0.0405 | -0.2946 |
Additional notes for Figure 6:
One line has an intercept of -0.36 and has a slope coefficient of 0.71. Below it is reported the standard errors of the intercept 0.1 and the slope coefficient 1.2 . Second line has an intercept of -0.31 and has a slope coefficient of 2.31. Below it is reported the standard errors of the intercept 0.1 and the slope coefficient 1.6 .
The first line is the
Regression Using Both 2 and 3 digit SITC industries.
The second line is the
Regression Using Just 3 digit SITC industries.
| Percentage of Exporting Firms | Fixed Cost | Initial Values | New Values | New Values (Only Foreign Exporter Entry) |
|---|---|---|---|---|
| 0.11 | 0.17 | 0.20 | 0.35 | 0.38 |
| 0.11 | 0.17 | 0.20 | 0.35 | 0.38 |
| 0.11 | 0.18 | 0.19 | 0.35 | 0.38 |
| 0.11 | 0.18 | 0.19 | 0.34 | 0.38 |
| 0.11 | 0.18 | 0.19 | 0.34 | 0.37 |
| 0.12 | 0.18 | 0.18 | 0.34 | 0.37 |
| 0.12 | 0.19 | 0.18 | 0.34 | 0.37 |
| 0.12 | 0.19 | 0.18 | 0.34 | 0.37 |
| 0.12 | 0.19 | 0.17 | 0.34 | 0.37 |
| 0.12 | 0.19 | 0.17 | 0.34 | 0.37 |
| 0.12 | 0.20 | 0.17 | 0.34 | 0.37 |
| 0.12 | 0.20 | 0.17 | 0.34 | 0.37 |
| 0.12 | 0.20 | 0.16 | 0.33 | 0.37 |
| 0.12 | 0.20 | 0.16 | 0.33 | 0.36 |
| 0.12 | 0.20 | 0.16 | 0.33 | 0.36 |
| 0.13 | 0.21 | 0.15 | 0.33 | 0.36 |
| 0.13 | 0.21 | 0.15 | 0.33 | 0.36 |
| 0.13 | 0.21 | 0.15 | 0.33 | 0.36 |
| 0.13 | 0.21 | 0.15 | 0.33 | 0.36 |
| 0.13 | 0.22 | 0.14 | 0.33 | 0.36 |
| 0.13 | 0.22 | 0.14 | 0.33 | 0.36 |
| 0.13 | 0.22 | 0.14 | 0.32 | 0.36 |
| 0.13 | 0.22 | 0.14 | 0.32 | 0.35 |
| 0.13 | 0.23 | 0.14 | 0.32 | 0.35 |
| 0.13 | 0.23 | 0.13 | 0.32 | 0.35 |
| 0.14 | 0.23 | 0.13 | 0.32 | 0.35 |
| 0.14 | 0.23 | 0.13 | 0.32 | 0.35 |
| 0.14 | 0.24 | 0.13 | 0.32 | 0.35 |
| 0.14 | 0.24 | 0.13 | 0.32 | 0.35 |
| 0.14 | 0.24 | 0.12 | 0.32 | 0.35 |
| 0.14 | 0.25 | 0.12 | 0.32 | 0.35 |
| 0.14 | 0.25 | 0.12 | 0.31 | 0.34 |
| 0.14 | 0.25 | 0.12 | 0.31 | 0.34 |
| 0.14 | 0.25 | 0.12 | 0.31 | 0.34 |
| 0.14 | 0.26 | 0.11 | 0.31 | 0.34 |
| 0.15 | 0.26 | 0.11 | 0.31 | 0.34 |
| 0.15 | 0.26 | 0.11 | 0.31 | 0.34 |
| 0.15 | 0.26 | 0.11 | 0.31 | 0.34 |
| 0.15 | 0.27 | 0.11 | 0.31 | 0.34 |
| 0.15 | 0.27 | 0.11 | 0.31 | 0.34 |
| 0.15 | 0.27 | 0.10 | 0.30 | 0.33 |
| 0.15 | 0.28 | 0.10 | 0.30 | 0.33 |
| 0.15 | 0.28 | 0.10 | 0.30 | 0.33 |
| 0.15 | 0.28 | 0.10 | 0.30 | 0.33 |
| 0.15 | 0.28 | 0.10 | 0.30 | 0.33 |
| 0.16 | 0.29 | 0.10 | 0.30 | 0.33 |
| 0.16 | 0.29 | 0.10 | 0.30 | 0.33 |
| 0.16 | 0.29 | 0.09 | 0.30 | 0.33 |
| 0.16 | 0.30 | 0.09 | 0.30 | 0.33 |
| 0.16 | 0.30 | 0.09 | 0.30 | 0.32 |
| 0.16 | 0.30 | 0.09 | 0.29 | 0.32 |
| 0.16 | 0.31 | 0.09 | 0.29 | 0.32 |
| 0.16 | 0.31 | 0.09 | 0.29 | 0.32 |
| 0.16 | 0.31 | 0.09 | 0.29 | 0.32 |
| 0.16 | 0.32 | 0.09 | 0.29 | 0.32 |
| 0.17 | 0.32 | 0.08 | 0.29 | 0.32 |
| 0.17 | 0.32 | 0.08 | 0.29 | 0.32 |
| 0.17 | 0.33 | 0.08 | 0.29 | 0.32 |
| 0.17 | 0.33 | 0.08 | 0.29 | 0.32 |
| 0.17 | 0.33 | 0.08 | 0.29 | 0.31 |
| 0.17 | 0.34 | 0.08 | 0.28 | 0.31 |
| Percentage of Exporting Firms | Initial Values | New Values | New Values (Only Foreign Exporter Entry) |
|---|---|---|---|
| 0.11 | 0.10 | 0.10 | 0.10 |
| 0.11 | 0.10 | 0.10 | 0.10 |
| 0.11 | 0.10 | 0.10 | 0.10 |
| 0.11 | 0.10 | 0.10 | 0.10 |
| 0.11 | 0.10 | 0.11 | 0.11 |
| 0.12 | 0.10 | 0.11 | 0.11 |
| 0.12 | 0.10 | 0.11 | 0.11 |
| 0.12 | 0.10 | 0.11 | 0.11 |
| 0.12 | 0.10 | 0.11 | 0.11 |
| 0.12 | 0.10 | 0.11 | 0.11 |
| 0.12 | 0.10 | 0.11 | 0.11 |
| 0.12 | 0.10 | 0.11 | 0.11 |
| 0.12 | 0.10 | 0.11 | 0.11 |
| 0.12 | 0.10 | 0.11 | 0.11 |
| 0.12 | 0.10 | 0.11 | 0.11 |
| 0.13 | 0.11 | 0.11 | 0.11 |
| 0.13 | 0.11 | 0.12 | 0.12 |
| 0.13 | 0.11 | 0.12 | 0.12 |
| 0.13 | 0.11 | 0.12 | 0.12 |
| 0.13 | 0.11 | 0.12 | 0.12 |
| 0.13 | 0.11 | 0.12 | 0.12 |
| 0.13 | 0.11 | 0.12 | 0.12 |
| 0.13 | 0.11 | 0.12 | 0.12 |
| 0.13 | 0.11 | 0.12 | 0.12 |
| 0.13 | 0.11 | 0.12 | 0.12 |
| 0.14 | 0.11 | 0.12 | 0.12 |
| 0.14 | 0.11 | 0.12 | 0.12 |
| 0.14 | 0.11 | 0.12 | 0.12 |
| 0.14 | 0.11 | 0.12 | 0.13 |
| 0.14 | 0.11 | 0.13 | 0.13 |
| 0.14 | 0.11 | 0.13 | 0.13 |
| 0.14 | 0.11 | 0.13 | 0.13 |
| 0.14 | 0.11 | 0.13 | 0.13 |
| 0.14 | 0.11 | 0.13 | 0.13 |
| 0.14 | 0.11 | 0.13 | 0.13 |
| 0.15 | 0.12 | 0.13 | 0.13 |
| 0.15 | 0.12 | 0.13 | 0.13 |
| 0.15 | 0.12 | 0.13 | 0.13 |
| 0.15 | 0.12 | 0.13 | 0.13 |
| 0.15 | 0.12 | 0.13 | 0.13 |
| 0.15 | 0.12 | 0.13 | 0.13 |
| 0.15 | 0.12 | 0.13 | 0.14 |
| 0.15 | 0.12 | 0.14 | 0.14 |
| 0.15 | 0.12 | 0.14 | 0.14 |
| 0.15 | 0.12 | 0.14 | 0.14 |
| 0.16 | 0.12 | 0.14 | 0.14 |
| 0.16 | 0.12 | 0.14 | 0.14 |
| 0.16 | 0.12 | 0.14 | 0.14 |
| 0.16 | 0.12 | 0.14 | 0.14 |
| 0.16 | 0.12 | 0.14 | 0.14 |
| 0.16 | 0.12 | 0.14 | 0.14 |
| 0.16 | 0.12 | 0.14 | 0.14 |
| 0.16 | 0.12 | 0.14 | 0.14 |
| 0.16 | 0.12 | 0.14 | 0.14 |
| 0.16 | 0.12 | 0.14 | 0.15 |
| 0.17 | 0.12 | 0.15 | 0.15 |
| 0.17 | 0.12 | 0.15 | 0.15 |
| 0.17 | 0.12 | 0.15 | 0.15 |
| 0.17 | 0.12 | 0.15 | 0.15 |
| 0.17 | 0.12 | 0.15 | 0.15 |
| 0.17 | 0.12 | 0.15 | 0.15 |
| Percentage of Exporting Firms | Initial Values | New Values | New Values (Only Foreign Exporter Entry) |
|---|---|---|---|
| 0.11 | 1.21 | 1.43 | 1.47 |
| 0.11 | 1.21 | 1.43 | 1.47 |
| 0.11 | 1.21 | 1.43 | 1.47 |
| 0.11 | 1.21 | 1.43 | 1.47 |
| 0.11 | 1.20 | 1.42 | 1.47 |
| 0.12 | 1.20 | 1.42 | 1.46 |
| 0.12 | 1.20 | 1.42 | 1.46 |
| 0.12 | 1.20 | 1.42 | 1.46 |
| 0.12 | 1.19 | 1.42 | 1.46 |
| 0.12 | 1.19 | 1.42 | 1.46 |
| 0.12 | 1.19 | 1.42 | 1.46 |
| 0.12 | 1.19 | 1.42 | 1.46 |
| 0.12 | 1.19 | 1.42 | 1.46 |
| 0.12 | 1.18 | 1.42 | 1.46 |
| 0.12 | 1.18 | 1.41 | 1.45 |
| 0.13 | 1.18 | 1.41 | 1.45 |
| 0.13 | 1.18 | 1.41 | 1.45 |
| 0.13 | 1.17 | 1.41 | 1.45 |
| 0.13 | 1.17 | 1.41 | 1.45 |
| 0.13 | 1.17 | 1.41 | 1.45 |
| 0.13 | 1.17 | 1.41 | 1.45 |
| 0.13 | 1.17 | 1.41 | 1.45 |
| 0.13 | 1.17 | 1.41 | 1.45 |
| 0.13 | 1.16 | 1.41 | 1.44 |
| 0.13 | 1.16 | 1.40 | 1.44 |
| 0.14 | 1.16 | 1.40 | 1.44 |
| 0.14 | 1.16 | 1.40 | 1.44 |
| 0.14 | 1.16 | 1.40 | 1.44 |
| 0.14 | 1.15 | 1.40 | 1.44 |
| 0.14 | 1.15 | 1.40 | 1.44 |
| 0.14 | 1.15 | 1.40 | 1.44 |
| 0.14 | 1.15 | 1.40 | 1.44 |
| 0.14 | 1.15 | 1.40 | 1.43 |
| 0.14 | 1.15 | 1.40 | 1.43 |
| 0.14 | 1.15 | 1.39 | 1.43 |
| 0.15 | 1.14 | 1.39 | 1.43 |
| 0.15 | 1.14 | 1.39 | 1.43 |
| 0.15 | 1.14 | 1.39 | 1.43 |
| 0.15 | 1.14 | 1.39 | 1.43 |
| 0.15 | 1.14 | 1.39 | 1.43 |
| 0.15 | 1.14 | 1.39 | 1.43 |
| 0.15 | 1.14 | 1.39 | 1.43 |
| 0.15 | 1.13 | 1.39 | 1.42 |
| 0.15 | 1.13 | 1.39 | 1.42 |
| 0.15 | 1.13 | 1.38 | 1.42 |
| 0.16 | 1.13 | 1.38 | 1.42 |
| 0.16 | 1.13 | 1.38 | 1.42 |
| 0.16 | 1.13 | 1.38 | 1.42 |
| 0.16 | 1.13 | 1.38 | 1.42 |
| 0.16 | 1.13 | 1.38 | 1.42 |
| 0.16 | 1.13 | 1.38 | 1.42 |
| 0.16 | 1.12 | 1.38 | 1.42 |
| 0.16 | 1.12 | 1.38 | 1.41 |
| 0.16 | 1.12 | 1.38 | 1.41 |
| 0.16 | 1.12 | 1.38 | 1.41 |
| 0.17 | 1.12 | 1.37 | 1.41 |
| 0.17 | 1.12 | 1.37 | 1.41 |
| 0.17 | 1.12 | 1.37 | 1.41 |
| 0.17 | 1.12 | 1.37 | 1.41 |
| 0.17 | 1.12 | 1.37 | 1.41 |
| 0.17 | 1.11 | 1.37 | 1.41 |
| Percentage of Exporting Firms | Initial Values | New Values | New Values (Only Foreign Exporter Entry) |
|---|---|---|---|
| 0.11 | 1.26 | 1.25 | 1.24 |
| 0.11 | 1.26 | 1.25 | 1.24 |
| 0.11 | 1.26 | 1.25 | 1.24 |
| 0.11 | 1.26 | 1.25 | 1.24 |
| 0.11 | 1.27 | 1.25 | 1.24 |
| 0.12 | 1.27 | 1.25 | 1.24 |
| 0.12 | 1.27 | 1.25 | 1.24 |
| 0.12 | 1.27 | 1.25 | 1.24 |
| 0.12 | 1.27 | 1.25 | 1.24 |
| 0.12 | 1.27 | 1.25 | 1.24 |
| 0.12 | 1.27 | 1.25 | 1.24 |
| 0.12 | 1.27 | 1.25 | 1.24 |
| 0.12 | 1.27 | 1.25 | 1.24 |
| 0.12 | 1.27 | 1.25 | 1.24 |
| 0.12 | 1.27 | 1.25 | 1.24 |
| 0.13 | 1.27 | 1.25 | 1.24 |
| 0.13 | 1.27 | 1.25 | 1.24 |
| 0.13 | 1.27 | 1.25 | 1.24 |
| 0.13 | 1.27 | 1.25 | 1.24 |
| 0.13 | 1.27 | 1.25 | 1.24 |
| 0.13 | 1.27 | 1.25 | 1.24 |
| 0.13 | 1.28 | 1.25 | 1.24 |
| 0.13 | 1.28 | 1.25 | 1.24 |
| 0.13 | 1.28 | 1.25 | 1.24 |
| 0.13 | 1.28 | 1.25 | 1.24 |
| 0.14 | 1.28 | 1.25 | 1.24 |
| 0.14 | 1.28 | 1.24 | 1.24 |
| 0.14 | 1.28 | 1.24 | 1.24 |
| 0.14 | 1.28 | 1.24 | 1.24 |
| 0.14 | 1.28 | 1.24 | 1.24 |
| 0.14 | 1.28 | 1.24 | 1.24 |
| 0.14 | 1.28 | 1.24 | 1.24 |
| 0.14 | 1.28 | 1.24 | 1.24 |
| 0.14 | 1.28 | 1.24 | 1.24 |
| 0.14 | 1.29 | 1.24 | 1.24 |
| 0.15 | 1.29 | 1.24 | 1.24 |
| 0.15 | 1.29 | 1.24 | 1.24 |
| 0.15 | 1.29 | 1.24 | 1.24 |
| 0.15 | 1.29 | 1.24 | 1.24 |
| 0.15 | 1.29 | 1.24 | 1.24 |
| 0.15 | 1.29 | 1.24 | 1.24 |
| 0.15 | 1.29 | 1.24 | 1.24 |
| 0.15 | 1.29 | 1.24 | 1.24 |
| 0.15 | 1.29 | 1.24 | 1.24 |
| 0.15 | 1.29 | 1.24 | 1.24 |
| 0.16 | 1.29 | 1.24 | 1.24 |
| 0.16 | 1.30 | 1.24 | 1.24 |
| 0.16 | 1.30 | 1.24 | 1.24 |
| 0.16 | 1.30 | 1.24 | 1.24 |
| 0.16 | 1.30 | 1.24 | 1.24 |
| 0.16 | 1.30 | 1.24 | 1.24 |
| 0.16 | 1.30 | 1.24 | 1.24 |
| 0.16 | 1.30 | 1.24 | 1.24 |
| 0.16 | 1.30 | 1.24 | 1.24 |
| 0.16 | 1.30 | 1.24 | 1.24 |
| 0.17 | 1.30 | 1.24 | 1.24 |
| 0.17 | 1.30 | 1.24 | 1.24 |
| 0.17 | 1.31 | 1.24 | 1.24 |
| 0.17 | 1.31 | 1.24 | 1.24 |
| 0.17 | 1.31 | 1.24 | 1.24 |
| 0.17 | 1.31 | 1.24 | 1.24 |
| Percentage of Exporting Firms | Initial Values | New Values | New Values (Only Foreign Exporter Entry) |
|---|---|---|---|
| 0.11 | 0.47 | 0.34 | 0.32 |
| 0.11 | 0.47 | 0.34 | 0.32 |
| 0.11 | 0.47 | 0.34 | 0.32 |
| 0.11 | 0.47 | 0.34 | 0.32 |
| 0.11 | 0.48 | 0.34 | 0.32 |
| 0.12 | 0.48 | 0.34 | 0.33 |
| 0.12 | 0.48 | 0.34 | 0.33 |
| 0.12 | 0.48 | 0.34 | 0.33 |
| 0.12 | 0.48 | 0.34 | 0.33 |
| 0.12 | 0.49 | 0.34 | 0.33 |
| 0.12 | 0.49 | 0.34 | 0.33 |
| 0.12 | 0.49 | 0.34 | 0.33 |
| 0.12 | 0.49 | 0.35 | 0.33 |
| 0.12 | 0.49 | 0.35 | 0.33 |
| 0.12 | 0.50 | 0.35 | 0.33 |
| 0.13 | 0.50 | 0.35 | 0.33 |
| 0.13 | 0.50 | 0.35 | 0.33 |
| 0.13 | 0.50 | 0.35 | 0.33 |
| 0.13 | 0.50 | 0.35 | 0.33 |
| 0.13 | 0.51 | 0.35 | 0.33 |
| 0.13 | 0.51 | 0.35 | 0.33 |
| 0.13 | 0.51 | 0.35 | 0.33 |
| 0.13 | 0.51 | 0.35 | 0.33 |
| 0.13 | 0.51 | 0.35 | 0.33 |
| 0.13 | 0.51 | 0.35 | 0.33 |
| 0.14 | 0.52 | 0.35 | 0.33 |
| 0.14 | 0.52 | 0.35 | 0.33 |
| 0.14 | 0.52 | 0.35 | 0.33 |
| 0.14 | 0.52 | 0.35 | 0.34 |
| 0.14 | 0.52 | 0.35 | 0.34 |
| 0.14 | 0.52 | 0.35 | 0.34 |
| 0.14 | 0.53 | 0.35 | 0.34 |
| 0.14 | 0.53 | 0.35 | 0.34 |
| 0.14 | 0.53 | 0.35 | 0.34 |
| 0.14 | 0.53 | 0.36 | 0.34 |
| 0.15 | 0.53 | 0.36 | 0.34 |
| 0.15 | 0.53 | 0.36 | 0.34 |
| 0.15 | 0.54 | 0.36 | 0.34 |
| 0.15 | 0.54 | 0.36 | 0.34 |
| 0.15 | 0.54 | 0.36 | 0.34 |
| 0.15 | 0.54 | 0.36 | 0.34 |
| 0.15 | 0.54 | 0.36 | 0.34 |
| 0.15 | 0.54 | 0.36 | 0.34 |
| 0.15 | 0.54 | 0.36 | 0.34 |
| 0.15 | 0.55 | 0.36 | 0.34 |
| 0.16 | 0.55 | 0.36 | 0.34 |
| 0.16 | 0.55 | 0.36 | 0.34 |
| 0.16 | 0.55 | 0.36 | 0.34 |
| 0.16 | 0.55 | 0.36 | 0.34 |
| 0.16 | 0.55 | 0.36 | 0.34 |
| 0.16 | 0.55 | 0.36 | 0.35 |
| 0.16 | 0.55 | 0.36 | 0.35 |
| 0.16 | 0.56 | 0.36 | 0.35 |
| 0.16 | 0.56 | 0.36 | 0.35 |
| 0.16 | 0.56 | 0.36 | 0.35 |
| 0.17 | 0.56 | 0.36 | 0.35 |
| 0.17 | 0.56 | 0.37 | 0.35 |
| 0.17 | 0.56 | 0.37 | 0.35 |
| 0.17 | 0.56 | 0.37 | 0.35 |
| 0.17 | 0.56 | 0.37 | 0.35 |
| 0.17 | 0.57 | 0.37 | 0.35 |
| Percentage of Exporting Firms | Initial Values | New Values | New Values (Only Foreign Exporter Entry) |
|---|---|---|---|
| 0.11 | 0.54 | 0.38 | 0.40 |
| 0.11 | 0.54 | 0.39 | 0.40 |
| 0.11 | 0.54 | 0.39 | 0.40 |
| 0.11 | 0.55 | 0.39 | 0.40 |
| 0.11 | 0.55 | 0.39 | 0.40 |
| 0.12 | 0.55 | 0.39 | 0.40 |
| 0.12 | 0.55 | 0.39 | 0.40 |
| 0.12 | 0.55 | 0.39 | 0.40 |
| 0.12 | 0.56 | 0.39 | 0.40 |
| 0.12 | 0.56 | 0.39 | 0.40 |
| 0.12 | 0.56 | 0.39 | 0.40 |
| 0.12 | 0.56 | 0.39 | 0.40 |
| 0.12 | 0.56 | 0.39 | 0.40 |
| 0.12 | 0.56 | 0.39 | 0.40 |
| 0.12 | 0.57 | 0.39 | 0.40 |
| 0.13 | 0.57 | 0.39 | 0.40 |
| 0.13 | 0.57 | 0.39 | 0.40 |
| 0.13 | 0.57 | 0.39 | 0.40 |
| 0.13 | 0.57 | 0.39 | 0.40 |
| 0.13 | 0.58 | 0.39 | 0.40 |
| 0.13 | 0.58 | 0.39 | 0.40 |
| 0.13 | 0.58 | 0.39 | 0.40 |
| 0.13 | 0.58 | 0.39 | 0.40 |
| 0.13 | 0.58 | 0.39 | 0.40 |
| 0.13 | 0.58 | 0.39 | 0.41 |
| 0.14 | 0.59 | 0.39 | 0.41 |
| 0.14 | 0.59 | 0.39 | 0.41 |
| 0.14 | 0.59 | 0.39 | 0.41 |
| 0.14 | 0.59 | 0.39 | 0.41 |
| 0.14 | 0.59 | 0.40 | 0.41 |
| 0.14 | 0.59 | 0.40 | 0.41 |
| 0.14 | 0.60 | 0.40 | 0.41 |
| 0.14 | 0.60 | 0.40 | 0.41 |
| 0.14 | 0.60 | 0.40 | 0.41 |
| 0.14 | 0.60 | 0.40 | 0.41 |
| 0.15 | 0.60 | 0.40 | 0.41 |
| 0.15 | 0.60 | 0.40 | 0.41 |
| 0.15 | 0.60 | 0.40 | 0.41 |
| 0.15 | 0.61 | 0.40 | 0.41 |
| 0.15 | 0.61 | 0.40 | 0.41 |
| 0.15 | 0.61 | 0.40 | 0.41 |
| 0.15 | 0.61 | 0.40 | 0.41 |
| 0.15 | 0.61 | 0.40 | 0.41 |
| 0.15 | 0.61 | 0.40 | 0.41 |
| 0.15 | 0.61 | 0.40 | 0.41 |
| 0.16 | 0.61 | 0.40 | 0.41 |
| 0.16 | 0.62 | 0.40 | 0.41 |
| 0.16 | 0.62 | 0.40 | 0.41 |
| 0.16 | 0.62 | 0.40 | 0.41 |
| 0.16 | 0.62 | 0.40 | 0.41 |
| 0.16 | 0.62 | 0.40 | 0.41 |
| 0.16 | 0.62 | 0.40 | 0.41 |
| 0.16 | 0.62 | 0.40 | 0.41 |
| 0.16 | 0.62 | 0.40 | 0.41 |
| 0.16 | 0.63 | 0.40 | 0.42 |
| 0.17 | 0.63 | 0.40 | 0.42 |
| 0.17 | 0.63 | 0.41 | 0.42 |
| 0.17 | 0.63 | 0.41 | 0.42 |
| 0.17 | 0.63 | 0.41 | 0.42 |
| 0.17 | 0.63 | 0.41 | 0.42 |
| 0.17 | 0.63 | 0.41 | 0.42 |
* We thank Jeannine Bailliu, Martin Bodenstein, Jeff Campbell, Luca Dedola, Joe Gagnon, Jordi Galí, Luca Guerrieri, and seminar participants at the Federal Reserve Board, Federal Reserve Bank of Chicago, Bank of Canada, and Université Laval for helpful comments. The views expressed in this paper are solely the responsibility of the authors and should not be interpreted as reflecting the views of the Board of Governors of the Federal Reserve System or of any other person associated with the Federal Reserve System. Return to text
Corresponding Author: Sylvain Leduc, Telephone 202-452-2399, Fax 202-736-5638. Email addresses: [email protected], [email protected], [email protected]. Return to text
1. See, for example, Corsetti and Pesenti (2005) and Devereux and Engel (2003), who show how optimal monetary policy depends on the extent of exchange-rate pass-through. Return to text
2. See Gust and Sheets (2006) for a discussion of how trade balance dynamics change in a low pass-through environment. Return to text
3. Our empirical evidence is in line with the work of Olivei (2002) and Marazzi, Sheets, and Vigfussen (2005) for the United States. Ihrig, Marazzi, and Rothenberg (2006) also document a fall in pass-through in other G-7 economies, and Otani, Shiratsuka, and Shirota (2003) find a decline in exchange rate pass-through in Japan. Return to text
4. As in Melitz (2003), Ghironi and Melitz (2004), Bergin and Glick (2005), and Alessandria and Choi(2006), we postulate that monopolistically competitive firms face fixed costs of exporting and only a fraction of firms choose to export. Return to text
5. We follow Woodford (2003) and define pricing decisions to be strategic complements if an increase in the prices charged for other goods increases a firm's own optimal price. For a similar approach to modelling the strategic complementarity in an open economy, see Bergin and Feenstra (2001). For a game-theoretic approach, see, for example, Atkeson and Burnstein (2005), Bernard, Eaton, Jensen, and Kortum (2003), or Bodnar, Dumas, and Marston (2002). Return to text
6. In contrast, markups would be constant for a CES demand curves where there is no strategic complementarity. Return to text
7. This result is consistent with the evidence in Chen, Imbs, and Scott (2004) who estimate that markups have fallen in the European Union since 1990. Return to text
8. Industrial supplies include oil, natural gas, non-fuel primary commodities, such as copper, and more processed items, such as chemicals. Return to text
9. We use NIPA data to apply standard chain-aggregation routines to construct both our deflator for imported finished goods and our deflator of U.S. consumption goods that excludes services. Return to text
10. When estimating pass-through, Marazzi, Sheets, and Vigfussen (2005) control for movements in marginal costs using foreign CPIs and commodity prices. The results are also similar if different control variables are used. For instance, pass-through declines to the same extent when unit labor costs and domestic output are respectively used to control for changes in marginal costs and import demand, as in Campa and Goldberg (2004). Return to text
11. This decline in pass-through is most evident for finished goods. The decline in pass-through for total imports is smaller and less precisely estimated. Return to text
12. The fact that tariff and transport costs have been declining throughout the post-war period yields the implication in our model that, other things equal, exchange-rate pass-through to import prices should have declined throughout the post-war period. Unfortunately, our measure of import prices for finished goods industries does not extend back far enough to investigate this possibility. Return to text
13. Using different datasets and methodologies, Rauch, Coe, Subramanian, Tamirisa, and Bhavnani (1999), Coe (2002), and Brun (2002) find that trade costs have fallen continuously since the 1970s. On the other hand, Frankel (1997) and Berthelon and Freund (2004) find no evidence of a significant decline in trade costs. Return to text
14. Although we would prefer a more disaggregated measure, we focus on productivity at the aggregate level due to data limitations for developing countries. Return to text
15. When
,
our demand aggregator can be thought of as the combination of a
Dixit-Stiglitz and Armington aggregator. To see this, note that in
this case we can rewrite our aggregator as:
and
. Our specification of the demand aggregator also rules out
the ``love of variety'' effect. Return to text
16. The
consumer price level can be derived from equating equation
(4) to
and
substituting in the relative demand curves. The price
can be
derived from substituting the relative demand curves into equation
(5). Return to text
17. In our environment with variable markups, heterogeneity in the technologies of firms would considerably complicate the analysis, since computing aggregate prices and quantities would involve accounting for a distribution of markups. In contrast, because the fixed cost does not affect a firm's marginal pricing condition, we can still analyze a symmetric equilibrium in which all firms who decide to export choose the same price and markup. Return to text
18. This assumption is not critical for our analysis. We
assume that
is
stochastic mainly to illustrate how pass-through differs depending
on the type of shock. Return to
text
19. Implicitly, we have assumed that a household faces the same per-unit cost of shipping the good as a firm and bears no fixed cost in transporting the good. To the extent that households also face fixed costs and larger per-unit shipping costs, their ability to engage in arbitrage is more limited than implied by equations (22). Return to text
20. With
the demand curve is less convex than the
CES case. Return to text
21. While the level of foreign productivity is actually lower than U.S. productivity, for simplicity we begin with a calibration in which the two economies are identical. This simplification seems reasonable, since our results for the decline in pass-through depend critically on the change in relative productivity in the two countries rather than their initial levels. Return to text
22. We define the aggregate trade-price elasticity by differentiating aggregate import demand:
23. See Bergin and Feenstra (2001) for a discussion of how the interaction of NCES demand curves with sticky prices denominated in local currency can be helpful in accounting for exchange rate dynamics. Return to text
24. It is interesting to note that the cyclicality of the domestic producers' markups in the home market depends on the source of the shock. Domestic markups are countercyclical conditional on changes in trade costs faced by home exporters and procyclical with respect to the other shocks. The domestic markup is procyclical unconditionally, reflecting the importance of technology shocks. Incorporating nominal rigidities in domestic prices would imply a countercyclical markup. Return to text
25. See Engel and Rogers (2004) and Bergin and Glick (2005). Bergin and Glick (2005) also report puzzling instances in which price dispersion increased over time as barriers to trade fell. Return to text
26. Our model implies that the import share gained through the intensive margin lowers pass-through, whereas import share gained through the extensive margin increases pass-through. These two effects may help explain the empirical results of Feenstra, Gagnon, and Knetter (1996) for automotive exporters. At low levels of market share, they estimate that pass-through declines as market share increases. Whereas, for a high market share, pass-through rises with an increase in market share. See Alessandria (2004) for an alternative theoretical analysis based on search costs that can also account for the observed U-shaped relationship between market share and pass-through. Return to text
This version is optimized for use by screen readers. Descriptions for all mathematical expressions are provided in LaTex format. A printable pdf version is available.