
Board of Governors of the Federal Reserve System
International Finance Discussion Papers
Number 942, September 2008 --- Screen Reader
Version*
NOTE: International Finance Discussion Papers are preliminary materials circulated to stimulate discussion and critical comment. References in publications to International Finance Discussion Papers (other than an acknowledgment that the writer has had access to unpublished material) should be cleared with the author or authors. Recent IFDPs are available on the Web at http://www.federalreserve.gov/pubs/ifdp/. This paper can be downloaded without charge from the Social Science Research Network electronic library at http://www.ssrn.com/.
Abstract:
This study assesses the role of the Asian financial crisis of the late 1990s in the emergence and persistence of the large current account surpluses across non-China emerging Asia, which have been a significant counterpart to the U.S. current account deficit. Using panel data encompassing nearly 3,750 firms, we trace the current account surpluses to a marked and broad-based decline in corporate expenditures on fixed investment in the aftermath of the crisis that cuts across a wide spectrum of countries, industries, and firms. The lower corporate spending in turn depressed aggregate investment rates, widened the saving-investment gap, and allowed the region to turn into a net exporter of capital. We then consider the factors behind this reduction in postcrisis corporate investment. While weaker firm-level fundamentals in the postcrisis period seem to explain part of the drop in investment rates, ongoing re-structuring owing to large debts accumulated and excess investment undertaken in the run-up to the crisis has been the main source of restraint postcrisis corporate investment. The results suggest that even after a decade, the effect of the financial crisis is still affecting corporate investment decisions in emerging Asia, and that as the restructuring completes its course, investment rates will likely rise to contribute to a gradual reduction in the region's current account surpluses.
Keywords: Global imbalance, emerging asia, current account, investment
JEL classification: F3, F21
In the aftermath of the East Asian financial crisis of 1997 and 1998, the ratio of aggregate investment to Gross Domestic Product (GDP) in emerging Asia excluding China fell from an average of around 33 percent to about 25 percent, and has remained at about this level in subsequent years. At the same time, aggregate savings as percent of GDP in these countries have declined only slightly, leading to a swing in the current account balances from slight deficits in the period leading up to the crisis to substantial surpluses in the postcrisis era. These surpluses enabled the region to become an exporter capital in defiance of theory suggesting that capital should flow from capital-abundant to capital-scarce countries where returns on capital are higher. Indeed, data on the patterns of global current account imbalances indicate that the wider saving-investment gap for the region has been a significant counterpart to the large current account deficits in the United States since 1997, suggesting a possible role of the Asian financial crisis in the emergence of global imbalances.
Global imbalances, the growing current account deficit of the United States and the corresponding current account surpluses and accumulation of foreign exchange reserves in others countries-mainly in East Asia and, more recently, in oil-exporting economies-have been portrayed as perhaps the most important risk to the global economy. Chief among the risks is the possibility that the imbalances could unwind abruptly, with sharp contractions in assets prices (including the U.S. dollar), paving the way for a global financial and economic crisis. Concerns of this nature have been voiced by Obstfeld and Rogoff [2000], Blanchard et al. [2005], Mussa [2004], and others.1 The quest to understand the causes of these imbalances and how they might unwind has generated a considerable amount of research that has tended to emphasize four broad explanations: differences in stages of demographic transitions (Feroli, 2003; Ferrero, 2002), differences in economic growth (Engel and Rogers, 2005), heterogeneity in stages of financial market development (Caballero et. al, 2006; Mendoza et al., 2007), and emerging market financial crises (Bernanke, 2005; Kamin and Gruber, 2007).2 The contribution of this paper is in spirit of the fourth explanation.
Bernanke [2005] was among the early advocates of the view that financial crises in emerging markets contributed to the emergence of global imbalances. He argues that the global imbalances owe to the availability of excess saving (or a savings glut) from overseas that has financed the U.S. current account deficit. Bernanke notes that the global excess saving has mainly originated in emerging market economies, a development that he attributes to the series of financial crises, including the Asian financial crises in the 1990s. Gruber and Kamin [2007] more formally test this hypothesis for emerging Asia and confirm the predominant role of the Asian financial crisis as an explanation for the patterns of global imbalances. Using aggregate data and a panel regression model similar to the approach in Chinn and Prasad [2003], they find that none of the standard fundamental determinants of current accounts can explain either the large surpluses in emerging Asia or the large U.S. current account deficit unless the model is augmented to account for the Asian financial crisis of the late 1990s. They conclude that the Asian financial crisis played a key role in promoting current account surpluses for the economies in the region.
Our study extends this line of inquiry by attempting to uncover the mechanism that links the decade old financial crisis to the current account surpluses in non-China emerging Asia. While the link between the crisis and current account surpluses has been established by previous research, the mechanisms through which it might be occurring remain a open question. There are two main channels through which the financial crisis could have caused the region to run current account surpluses. The first (more direct) channel suggests that the postcrisis current account surpluses are the result of private optimizing behavior in the aftermath of the crisis. For example, the crisis could have disrupted financial intermediation within the economy resulting in a credit crunch or the crisis could have weakened the balances sheets of firms prompting prolonged cut backs in corporate investment spending. The second (indirect) channel suggests that the current account surpluses could be the result of shifts in government policies in the aftermath of the crisis such as keeping exchange rates undervalued to promote export-led growth, and to help accumulate foreign exchange reserves as a buffer against future crises (see for example Mann [2004]).
Disentangling the source of the postcrisis investment drag has important implications for the future adjustment of these imbalances. If the surpluses are the consequence of optimal private behavior, one might expect the imbalances between saving and investment to narrow as the effect of the financial crisis fades. If, as advocated by some studies, the surpluses are the result of deliberate government policies to promote economic development through export-led growth, they could persist for the foreseeable future. To better understand the link between the financial crisis and current account surpluses, we use a large cross-country panel data set of 3,750 publicly traded firms in eight emerging Asian countries (Hong Kong, Indonesia, Malaysia, the Philippines, Singapore, South Korea, Taiwan, and Thailand). Using firm level data affords the unique opportunity to conduct a granular assessment of the determinants of investment, and to study the mechanism through which the financial crisis could be affecting investment dynamics in the region. To our knowledge, this is the first comprehensive micro study on the determinants of emerging Asia's current account surpluses and on the unique role of the financial crisis.
The results from the study confirm the predominant role of the financial crisis in generating the current account surpluses in the region since 1998. We find that the shortfall in the region's aggregate investment that generated the current account surpluses owes to a marked and broad-based decline in corporate spending on fixed investment in the aftermath of the crisis that cuts across a wide spectrum of countries, industries, and firms. We then consider the factors behind the postcrisis lower investment. The analysis indicates that weaker postcrisis fundamentals (valuation, profitability etc.) account for part of the lower corporate investment spending, but more importantly, ongoing re-structuring owing to large debts accumulated and the excess investment undertaken in the period leading up to the crisis appear to be the main factors weighing down the postcrisis investment. These findings support the hypothesis that the region's current account surpluses are a direct result of the financial crisis, and suggest that as restructuring completes its course and excess capacity wanes, investment rates could rise to reduce the current account surpluses.
The remainder of the study is structured as follows: in the next section, we review the pattern of global imbalances. In section 3, we describe the firm-level data used for the analysis. Section 4 shows the effect of the financial crisis on balance sheets of firms and corporate investment. Section 5 estimates an econometric model of firm investment and presents the results. In Section 6 we further analyze the unique role of excess debt on corporate investment, discuss the implications for the path of current account surpluses in Section 7, and conclude in Section 8.
Table 1 presents the patterns of the global current account balances and highlights the importance of emerging Asia. The growing deficit in the United States (U.S.), particularly since the Asian financial crisis, mirrors the growing surplus in emerging Asia. Adjusting the current accounts to exclude oil imports and exports paints a clear picture of U.S. deficits almost totally offset by emerging Asia's surpluses as indicated in Table 2.3 At the eve of the crisis in 1996, emerging Asia excluding China registered a $6 billion current account deficit. The deficit reversed to a $110 billion surplus in 1998 that widened further to over $200 billion in 2005. During the same period, China's current account surplus rose from $11 billion in 1996 to $214 billion in 2005. Emerging Asia as a whole remains the single largest counterpart to the U.S. current account balance, tallying a $416 billion surplus to the U.S. $556 billion deficit, excluding oil, in 2005. This surplus is split nearly down the middle between China and the combined surplus in the Asia-8 region: Hong Kong, Indonesia, Korea, Malaysia, the Philippines, Singapore, Taiwan, and Thailand. These patterns of global current account balances popularized the conundrum that developing economies have turned into net exporters of capital, which contradicts theory suggesting that capital should flow from capital-abundant advanced countries to capital-scarce developing countries where returns on capital are higher.
As indicated in Figure 1, the current account of the emerging Asia-8 economies switched from slight deficits prior to the crisis to sustained surpluses averaging over 5 percent of GDP since 1998- around the time when the U.S. current account began to deteriorate. Figure 2 shows the current account surpluses for the Asia-8 economies in terms of the excess of national saving over investment. Saving rates on average have declined only slightly on balance, but investment rates dropped sharply from an average of about 33 percent between 1990 and 1997 to 25 percent in 1998, and have stayed at around this level ever since.4
Figure 3 breaks down investment into private and public sector components. Nearly all of the decline in the aggregate investment rate can be attributed to private investment behavior, as the public sector's investment rate held steady at about 5 percent of GDP since 1991. The private investment rate on the other hand dropped significantly during the crisis period, from over 27 percent of GDP in 1996 to below 20 percent in 1999. The drop in the private sector investment rate (even as the saving rates remained high) accounts for the swing in the current account from deficits to surpluses among the Asia-8 economies since 1998, and appears to have played a large role in the emergence of current account surpluses.
For our analysis, we use an unbalanced panel of annual firm-level data from 1991 to 2005. The firm-level data were constructed using information from the Worldscope Database and include data from 3,750 publicly listed companies in eight countries that were more affected by the financial crisis. Although data are available for some firms prior to 1991, the coverage is generally quite thin prior to 1991 so we limit our sample to the period from 1991 to 2005. The number of firms available in the Worldscope dataset grows substantially over the course of the sample period, which suggests that changes in sample composition may be an important issue. For this reason, we focus exclusively on regression estimates in the within dimension and control for identifiable firm characteristics in order to limit the effect on our estimates of changing sample composition.
We construct the following variables: The investment rate (
), Tobin's Q (
), the rate of cash flow (
), the flow of external
financing (
), the debt-to-equity ratio (
), debt-to-capital ratio
(
), and the ratio of short-term
cash assets to capital (
). In addition, in order to
control for the effect of firm size on behavior, we constructed a
binary variable for each firm in each year using quartiles of their
capital replacement values: Firms with capital holdings in the
lowest quartile in any given year were defined as small (
), while firms with holdings in
the largest quartile are defined as large (
). To remove the effect of
outliers, we drop observations for any variable that are in the
extreme tails (below the ¼ percentile and above the
99 - ¾ percentile) of the their
cross-sectional distribution in any given year. Appendix B provides
a detailed description of the Worldscope variables used and the
data construction process.
The guiding principle of our analysis is that aggregate variations in investment can only be explained by changes in fundamentals that cut across all firms. For this reason, we begin by looking at the systematic components of investment and fundamentals before diving into a more detailed analysis. Yearly variations in investment and each relevant fundamental can be decomposed into fixed effects, aggregate effects, group effects for small and large firms, and idiosyncratic components:
|
(1) |
where
is a vector of relevant
investment fundamentals for
. This equation
decomposes the investment rate for a given firm i into three broad
components:
the fixed effect,
the aggregate component at t = 1991, ..., 2005, and
the idiosyncratic component;
,
and
are the corresponding
components of the vector
.5 Dummies for small and
large firms are included to control for group effects related to
the relative size of the firm, which many studies have shown to
affect investment behavior.6
We use panel regressions to estimate decompositions in (1). For each variable we normalize the year effect to be zero in our base year of 1996- the year that immediately preceded the crisis.7 The estimated year effects in all other years capture the total effect of latent aggregate factors relative to their effect in this base year. Figure 4 shows the time path of our estimated year effects for the investment rate, along with aggregate effects for three commonly cited fundamentals: Tobin's Q, internal cash flow, and the rate of return on assets (ROA). The estimated time path for the firm-level investment rate-depicted in the top left panel of Figure 4-shows a distinct pattern that closely resembles the trajectory of aggregate investment shown in Figure 2. At the time of the crisis, the investment rate fell noticeably and then remained persistently low through the remainder of our sample period. The postcrisis investment rate is about 12 percentage points below the precrisis average, though the drag appears to attenuate late in the sample. The aggregate component of Q follows a pattern over our sample that broadly resembles that of investment, including a large decline during the crisis years and little sign of postcrisis recovery. This hints that less-favorable investment prospects may have played some role in the postcrisis investment slump. Return on assets (ROA) and cash flow deteriorated consistently in the years prior to crisis through 1998. Since then, both ROA and cash flow have improved steadily, peaking in 2004 at levels only somewhat below their precrisis norms.
In Figure 5, we plot the time path of estimated year effects for external funding flows and for some other selected financial indicators that may influence firms' access to external funding: the debt-to-equity ratio, and ratios of debt obligations and cash holdings to capital. These indicators suggest that, on balance, firms relied extensively on external financing in the leadup to the crisis, which resulted in a substantial buildup of debt relative to capital and equity on the eve of the turmoil even as profitability declined and cash holdings deteriorated. After the crisis, external financing dropped significantly and debt levels moved down steadily.
This preliminary analysis suggests that the marked downturn in investment at the time of the crisis coincided with a broad deterioration in firms' investment fundamentals and financial health. But since the crisis, debt levels have gradually fallen and most fundamentals have shown signs of recovery that have not yet fed through to investment spending. One notable exception to this pattern is Tobin's Q, which has shown little signs of improvement. Theory suggests that Tobin's Q should, under ideal conditions, summarize all information that is pertinent for the current rate of investment. Taken at face value, the lack of meaningful improvement in Tobin's Q provides some rationale for the drop in investment over the postcrisis period. We explore more formally whether investment fundamentals are behind the drop in the postcrisis investment in the next section.
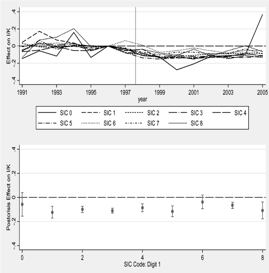
The intensity of the postcrisis investment drag appears to be
similar across industries, countries, and firm sizes. Figure
6
considers the country dimension, showing estimated year effects
from our panel of firms for each of the Asia-8 countries. We obtain
these estimates using a regression of the form shown in Equation
(1) but with the
year dummies interacted with separate dummy variables for the eight
countries in our panel. The bottom panel of the figure shows a
somewhat simpler cut of the data. We replace the full set of year
dummies in our panel regression with each country dummy interacted
with a "postcrisis" dummy
that is set to one from 1997
onward. Results using this specification indicate that all the
countries in our sample experienced a postcrisis investment drag,
though the effect appears to be less pronounced for Hong Kong and
Taiwan. Figure 7 repeats the same
exercise, but with separate postcrisis dummies for nine broad
industry categories, where industries are categorized according to
the first digit of the firm's SIC (Standard Industrial
Classification) code. There do not appear to be significant
differences in the postcrisis investment drag across industries.
Though estimated postcrisis effect for two of the
industries-industry 0 (Agriculture, Forestry and Fishing) and
industry 6 (Finance, Insurance and Real Estate)--are not
distinguishable from zero at standard significance levels, formal
tests (not shown) cannot distinguish the magnitude of the
postcrisis effect across these nine industries. Figure 8 shows the
results from a similar exercise using dummies for firm size. Firms
in all three size categories have experienced postcrisis investment
declines, and the effect appears to have been stronger for smaller
firms. In sum, the shortfall in region's aggregate investment cuts
across a wide spectrum of countries, industries, and firms.
Our econometric specification is motivated by a standard value
maximization problem for a competitive firm that faces adjustment
costs for capital (see Appendix A for details).
The specification relates the firm's rate of investment
to its
current value of Q, which is a valid summary of relevant
investment fundamentals for a firm that faces no financial
constraints or costs that limit its ability to raise funding for
investment and is small enough that it treats all prices as
given.8 We augment this specification by
including the same set of controls used in equation (1),
along with additional firm-specific variables intended to capture
the effect of restricted access to outside funding and other
factors. Though these additional variables shouldn't matter under
the idealized conditions set out above, empirical studies using
firm-level data provide ample reason to believe that internal cash
flows, non-price credit rationing, capital structure, and other
factors influence investment even after controlling for Q.9 For
now, rather than estimating a full set of year effects to capture
unexplained aggregate variation, we restrict the time pattern of
these effects somewhat by simply including a single dummy variable
for the crisis and postcrisis period (
). We also interact this
postcrisis effect with some of the firm characteristics identified
above in order to allow the postcrisis effect to vary for firms
with different selected characteristics:
| (2) | ||
|
where
is a dummy that indicates whether
firm
is located in Hong Kong, Singapore or
Taiwan, and
is a dummy variable that
controls for all industries n = 1, ..., N, with the exception of our
baseline industry
.10 For practical
reasons, we chose our baseline industry to be manufacturing, mainly
because this category accounts for about three-fifths of the firms
in our sample.11 Given this specification, the
coefficient
on the postcrisis dummy
can be interpreted as the
unexplained aggregate component of investment over the postcrisis
period for our baseline firm: A medium-sized manufacturing entity
located in Indonesia, Malaysia, South Korea, Thailand, or the
Philippines. The coefficients on the various interaction terms show
the incremental effect on investment from latent aggregate
factors for firms with that specific attribute. For instance, the
coefficient
on
represents the additional postcrisis effect on investment for small
firms, over and above the baseline effect for medium-sized firms.
Results using variations of this specification are shown in
Table 3. As a basis of
comparison for subsequent estimates, the first column of the table
shows results with no controls other than the postcrisis dummy and
size effects, while the estimates shown in the second column
include all of the controls in equation (2) except
the fundamentals
. According to these
estimates, the investment rate for our baseline firm declined by
about
percentage points in the postcrisis
period, with a very narrow confidence interval. This postcrisis
drag did not differ in a statistically meaningful way for small and
large firms, but was about 7½ percentage
points less intense (but significant nonetheless) for the countries
in our sample that appear to have been less affected by the crisis
(Taiwan, Hong Kong, and Singapore).12
In the next steps of the analysis, we include other variables that could be relevant for investment in order to assess how much of the 12 percentage point postcrisis decline in the investment rate can be explained by fundamentals. As mentioned earlier, a voluminous empirical literature suggests that Q does not always summarize all the factors that are relevant for determining investment in practice. For this reason, we view Q as an imperfect proxy of a firm's perceived investment prospects, and estimate alternative specifications that include additional controls for other fundamentals such as internal cash flows, external funding, and the debt-to-equity ratio.13 Results using these specifications are presented in columns (2) through (5). When we simply include Tobin's Q in the regression as a proxy for time-series variation in investment opportunities, this reduces the contribution in the postcrisis period of latent aggregate factors to about 9¼ percentage points; the other variables explain even less.14
To allow for the possibility that independent variations in these fundamentals may collectively explain the postcrisis investment drag, columns (6) through (8) include combinations of these variables. Column (6) shows results from a specification that includes both Tobin's Q and internal cash flow as measures of fundamentals. Both of these variables enter significantly into the regression with high significance. Even so, the postcrisis drag is trimmed to about 8½ percent--down just 3½ percentage points from the baseline specification--and it remains highly significant. Column (7) includes the same variables in the third column, along with the debt-to-equity ratio, while column (8) adds both the debt-to-equity ratio and external funds. The estimates show that the debt-to-equity ratio adds almost no additional explanatory power for the aggregate effect (or investment in general) over and above Q and cash flow. And, though we have strong reservations about whether the external funding flow can be plausibly regarded as exogenous, including this information only seems to explain another percentage point of the aggregate effect, leaving a still-substantial 7½ percentage points unexplained.
The last column of the table considers whether the sensitivity of investment to any of these fundamentals has changed over the postcrisis period, which might give insights about the nature of the latent aggregate factors that appear to have held back capital spending. These estimates suggest no statistically significant interaction between the postcrisis aggregate effect and Tobin's Q or the debt-to-equity ratio. For external financing, the interaction is negative and statistically significant, suggesting (subject to our caveat about endogeneity) that the effect of the aggregate shock has been more intense for firms that were more reliant on external financing prior to the crisis. In any case, although these interactions are intriguing, they explain little or none of the postcrisis effect. Even the most favorable specification shown in column (9) leaves unexplained about one-half of the postcrisis drag on aggregate investment.
Table 4 examines whether the unexplained portion of the aggregate drag on investment over the postcrisis period has been accentuated by cross-sectional differences in firms' balance sheets on the eve of the crisis. For this purpose, we interact our postcrisis dummy with readings for selected firm-specific variables in 1996--the year that immediately preceded the crisis. We consider precrisis values of Tobin's Q, external financing, cash flow, debt-to-equity, and debt-to-capital. Columns (1) through (4) indicate that variations across firms' Tobin's Q, external financing, cash flow, and the debt-to-equity ratio on the eve of the crisis do not help explain the postcrisis drag. However, when we condition the postcrisis effect on the include the control for the debt-to-capital ratio at the eve of the crisis, we find--quite stunningly--that this interaction term essentially explains the remainder of the drop in the postcrisis investment rate. For this case, the postcrisis investment drag is reduced to about 2 percent, but it is not statistically significant from zero. This suggests that the precrisis debt level affected the magnitude of the postcrisis investment drag above and beyond what can be justified by firms' investment fundamentals.
Figure 9 shows estimates of how each of these four factors (list the four factors here) contributed to the total drop in capital spending over time. These results are obtained by estimating year effects after controlling for various factors. The bottom solid line shows the entire set of aggregate effects (relative to their 1996 value) without conditioning for any fundamentals. The area between each chart and the bottom solid line captures the portion of the postcrisis investment drag that is explained away by each of the variables shown. For example, controlling for Tobin's Q, reduces the postcrisis investment drag by about 3 percentage points on average. Cash flow and external financing, taken together, explain an even smaller fraction of the postcrisis investment drag- around 1 percentage point. However, when we allow the year effects to interact with the eve-of-the-crisis debt-to-capital ratio, the postcrisis investment drag is almost entirely accounted for. Taken at face value, these estimates suggest that while poorer fundamentals contributed to the drop in capital spending after the crisis-cross-sectional, variations in the debt-to-capital ratio on the eve of the crisis appear to be the single most important factor behind the postcrisis investment drag. According to the estimates in this figure, this debt hangover effect has been attenuating in recent years. In the following section, we further explore this finding in more detail.
To further understand the apparent debt hangover effect identified in the previous section, we plot in Figures 10 and 11 some characteristics of firms grouped by their debt-to-capital distribution in 1996 (top quartile, mid quartiles, and bottom quartile). Firms in the top quartile of the 1996 debt-to-capital distribution accumulated sizeable debt obligations in the years leading up to the crisis. This is consistent with the substantial amount of capital that flowed into the region over this period, which--it is widely believed-reflected the abundant credit availability for many firms in this region.15 In particular, the bulk of this debt build up appears to have been concentrated in firms in the top quartile, whose debt levels exceeded both their total capital holding and the value of their equity. Indeed, for the rest of the firms in our sample, debt levels remained relatively steady throughout the sample period. This debt accumulation by these high-debt firms appears to have gone hand in hand with very high levels of capital spending: investment rates for these firms rose to roughly 20 percent in 1996. This suggests that the debt-to-equity effect identified in the previous section might also be described as a capital overhang. To assess this conjecture, for excess precrisis investment by constructing a binary dummy variable that takes a value of one for firms whose average investment rate in 1995 and 1996 was at least two standard deviations above the yearly cross-sectional mean. Interestingly, when we reestimate our regression with the debt-overhang variable replaced with an interaction between this crude proxy for overinvestment and the postcrisis dummy, the postcrisis investment drag also becomes insignificant (Column (6)). This suggests that these two variables largely capture the same effect, which supporting the argument that firms borrowed heavily to invest excessively.16 On balance, this high investment occurred amid a backdrop of weakening fundamentals. For example, firms in the high-debt group had lower values of Tobin's Q prior to the crisis than other firms, and these values were dropping rapidly in 1995 and 1996. At the eve of the crisis, returns-on-assets and cash flow had also declined sharply for the median firm in this high-debt group.
As indicated earlier, investment declined the most during the crisis and the postcrisis drag was more pronounced for the firms in the top quartile of the 1996 debt-to-capital ratio distribution. Tobin's Q has improved somewhat since the crisis, notably for firms in the lower-debt group, but less so for firms in the high-debt category. Nonetheless, Tobin's Q remains below the standard benchmark of "1", above which, theory suggests that firms should resume investment spending. Profitability and cash flow have improved significantly for all firms including those in the high-debt group. External financing has also declined substantially for this group, turning negative since 1998, suggesting that they have been using generated cash flows to repay debt accumulated during the runup to the crisis. Consistent with this observation, debt-to-capital and debt-to-equity ratios have fallen significantly to levels comparable to those of other firms. For firms with lower debt, part of the cash flow has been allocated to dividend payments, and investment has improved a bit for these firms in the recent years.
All told, the evidence suggests the postcrisis investment drag is indeed a direct effect of the financial crisis, rather than a consequence of deliberate government policies to boost the current account. Since the crisis, however, investment rates have remained low despite significant improvements in fundamentals such as profitability and cash flow, consistent with a scenario where excess capacity inherited from the precrisis period reduced the need for additional investment spending in the postcrisis period as indicated by lower values of Tobin's Q. The financial crisis effect is most pronounced for high-debt firms that, taken together, accounted for about 25 percent of total investment in 1996. These firms apparently used high levels of debt financing to maintain excessive levels of capital spending during the runup to the crisis.
In theory, under ideal conditions, Tobin's Q should summarize all information that is relevant for a firm's investment, including the effect of large debts or excess capacity of capital. Under this ideal scenario, the level of debt prior to the crisis should not offer additional information that is relevant for the postcrisis investment behavior. Many empirical studies have documented that Tobin's Q falls well short of this standard in practice. We interpret our result as reflecting violations of the assumptions that support the Q-theory of investment. Indeed, the debt can affect investment by raising, for example, the agency cost of external financing. Whited [1992] finds that including the effect of a debt constraint in a standard firm investment model greatly improves the model's performance, suggesting an important role for debt levels in investment behavior.17
The drop in postcrisis investment that we document in this study could be rationalized along two dimensions. In the first scenario, the excessive debt accumulated by many firms prior to the crisis raised the perceived riskiness associated with providing capital to these firms, boosting their postcrisis cost of capital and thereby pushing down their investment. In the second scenario, current investment levels, though lower, are consistent with desired levels of investment by these firms given their perceived cost of capital. In this view, firms have been efficiently allocating their financial resources over the postcrisis period to pay down debts, pay out dividends, or to accumulate liquid assets that can be used to fund investment when solid prospects arise.
Due to data limitations, we are unable to analyze whether the drop in capital spending since the crisis has been associated with higher costs of external funding. Instead, we test whether the level of debt in 1996 affected firms' postcrisis investment response to changes in the cash flow. The rationale behind this test is that firms that have more access to internal funds should be less affected by funding limitations imposed from external sources. As such, the postcrisis investment drag for these firms should be less intense for firms with higher cash flows and/or more ample liquid asset holdings.18 Similarly, investment should be more sensitive to cash flow for firms that have accumulated more debt. We test both of these conjectures and report the results in columns (7) and (8).
For both of these cases, the results show no evidence that investment in the aftermath of the crisis was more sensitive to cash flow, even when we restrict our regression sample to firms in the top quartile of the 1996 debt distribution-column (8). In column (9), we test the second conjecture by interacting three variables: the postcrisis dummy, cash flow, and the 1996 debt-to-capital variable. This interaction term captures differences in the sensitivity of the postcrisis investment to cash flow for firms with greater debt holdings on the eve of the crisis. If high debt inherited from the crisis is restraining investment by raising the cost of external funds, we would expect the postcrisis investment by firms with higher precrisis debt holdings to be more sensitive to cash flow than firms with lower precrisis debt. The coefficient on this interaction term is negative and statistically significant. At best, the result suggests that the postcrisis investment was less (not more) sensitive to cash flow for firms with high precrisis debt levels.
In sum, the evidence suggests that higher costs of external funding were not behind the drop in capital expenditures since crisis. Instead, it appears that investment prospects were not strong enough to encourage higher investment spending beyond the capacity inherited from the precrisis period. As a result, firms allocated internal funds to accumulate liquid assets, make dividend payments and, in the case of high-debt firms, repay debt. In the next section, we review possible implications for the future adjustment of the current accounts balances.
Though it seems hard to believe that the adverse effects of the Asian financial crisis can still affect investment decisions after a decade, the results from this study indicate that the effect of the 1997 financial crisis continues to be a drag on firm investment. This drag in investment has played a big role in generating the current account surpluses in emerging Asia, and has enabled the region to export capital as the anemic domestic investment is unable to absorb the region's savings. The most important factor weighing on investment is the effect of excessive debt and excess investment that occurred in the years leading up to the crisis. As restructuring completes its course and excess capacity wanes, it is conceivable that corporate investment will continue to improve. We believe, however, that investment rates would likely not rise back up to the highs seen in the period leading up to the crisis. Since roughly one-third of the postcrisis investment drag can be attributed to fundamentals, it seems reasonable to expect investment rates to recoup only one-third of their declines after the effect of the crisis dissipates. For aggregate investment rates, this would imply increases in the vicinity of 3 percentage points, contributing to an equivalent reduction in current account surpluses all else equal.
The results from this study have implications that present challenges for some alternative explanations for emerging Asia's current account surpluses. Recent papers by Dooley, Folkerts-Landau and Garber argue that the current account surpluses in emerging market economies are the result of deliberate government policies to promote export led-growth. According to this explanation, investment from domestic sources is inefficient for fostering growth and emerging market economies require foreign direct investment to reach their development objectives. This argument suggests that current account surpluses are necessary to accumulate assets that are in turn invested in developed economies as potential collateral to induce inward foreign direct investment (FDI) from those developed countries (see Dooley, Folkerts-Landau and Garber, 2003, 2004). A similar line of argument by Mann [2004] suggests that the current account surpluses in Asia are the result of a shift in policy to promote export-led growth after domestic-led growth in the early 1990s resulted in the Asian financial crisis. Yet another popular explanation attributes emerging Asia's surpluses to underdeveloped financial systems that are unable to intermediate domestic saving (Prasad, Rajan, and Subramanian [2006]) or to fulfill local residents' needs for high quality foreign financial assets (Mendoza, Quadrini, and Rios-Rull [2007]).
An implication for these various explanations is that Asia's current account surpluses would persist for the foreseeable future. While the results from this study do not directly refute these explanations, they rationalize the current account surpluses in a way that suggests that the surpluses need not persist. The study documents the predominant effect of the role of the financial crisis on current account surpluses through its adverse effect on firms' balance sheets. As firms complete the restructuring of their balance sheets and prospects strengthen, investment could rise to reduce the current account surpluses. However, it remains unlikely that investment rates would rise to the highs seen in the years leading up to the crisis as these rates seem to have been fueled by investment beyond levels supported by fundamentals. Eliminating the region's current account surpluses would require reductions in the region's savings rates which are among the highest in the world.
This study reviewed the role of emerging Asia's current account surpluses in global imbalances and assessed the unique role of the financial crisis using a cross-country data set of 3,750 firms. The results indicated that the current account surpluses in the region are a direct result of the effect of the financial crisis. In the aftermath of the crisis, corporate expenditures on fixed investment declined significantly, contributing to lower aggregate investment rates. The shortfall in corporate spending generated investment that fell short of saving, turning the region into a net exporter of capital. We then considered the factors behind the postcrisis lower investment rates.
Our analysis indicated that weaker postcrisis fundamentals account for a portion of the lower investment rates, but ongoing re-structuring owing to large debts accumulated and the excess investment undertaken in the period leading up to the crisis are the main factors weighing on the postcrisis corporate investment. These results support the hypothesis that the region's current account surpluses are a direct result of private restructuring behavior in response to the financial crisis. As this restructuring completes it course, investment rates will likely rise to reduce the region's current account surpluses, contrary to alternative explanations for Asia's current account surpluses that imply that they will persist for the foreseeable future. We do not, however, expect investment rates to rise back up to the unsustainable levels that prevailed at the eve of the crisis. A full adjustment of the surpluses would require reductions in the region's saving rates. Future research on the determinants and prospect of the region's saving rates is well indicated.
Our theoretical framework for firm investment is motivated by a fairly standard neoclassical q-theory of investment where firms face adjustment costs for adjusting their capital stock. Briefly summarizing this framework, we assume that markets are perfectly competitive, that all market participants share the same costless information, and that firms face no internal adjustment costs other than those for capital. The neoclassical firm chooses an investment rate that maximizes the market value of its future cash flows from capital, which is represented by the value function (see also Hubbard [1998]):
| (3) |
where
is given by the following capital
accumulation condition:
| (4) |
In this formulation,
and
denote the firm and time period respectively, and
is the relevant discount factor for future cash flows.
is the firm's
(gross) profit function, which, after optimizing out variable
production factors, is a function of its current capital stock
and a random variable
that captures changes in productivity and/or the
market price of variable inputs. The firm treats
as given.
is a function that
captures internal capital adjustment costs,
investment,
is the relative price of capital
goods net of the capitalized value of future tax shields. The
random variable
is an adjustment cost shock
that is observed by the firm but not by econometricians, and
is the rate of depreciation of
capital for firm
.
is an expectation
conditional on information available at time
.
The first-order condition for value maximization provides the following familiar investment equation:
|
(5) |
where
is marginal q: The shadow value to
the firm of an incremental unit of capital in the following period,
reckoned in terms of capital. In turn, this shadow value is the
present value of anticipated cash flows that the firm expects from
a marginal increase in next period's capital stock, in units of
capital:
Equation (5)
shows that -- given the form of the adjustment cost function, its
capital stock, and the adjustment cost shock
-- marginal q is
sufficient to determine the firm's current investment flow.
To obtain an econometric model, we assume that the adjustment cost function takes the following quadratic form:
|
(6) |
which is linearly homogeneous in capital and investment. Substituting equation (6) into equation (5) provides the following structural equation:
|
(7) |
Assuming that, as in Hayashi
[1982], the firm is a price taker in all markets, its profit
function is linear in capital (which requires that the production
function be linearly homogenous in all inputs), and financing and
investment decisions are independent, the shadow value of capital
in equation (7)
can be replaced with the average value of capital
, where the value of the firm is measured excluding
the current dividend. This yields the following reduced-form
specification:
|
(8) |
where we have assumed that each firm's adjustment cost shock
is composed of three
separate components: A firm-level fixed effect
, a latent effect
that is common
to all firms, and an idiosyncratic effect
that varies randomly over
time.
For each firm in our panel, annual values of each variable are determined as follows:
Blanchard, Olivier, Giavazzi, Francesco and Sa, Filipa (2005), "The U.S. Current Account and the Dollar." NBER Working Paper 11137.
Bernanke, Ben S. (2005), "The Global Saving Glut and the U.S. Current Account Deficit," Homer Jones Lecture, St. Louis, Missouri, April 14.
Bordo, Michael D. (2005), "Historical Perspective on Global Imbalances," NBER Working Paper #11383.
Calvo, Guillermo A. and Carmen M. Reinhart (1999) "When Capital Inflows Come to a Sudden Stop: Consequences and Policy Options" in Emerging Capital Markets in Turmoil: Bad Luck or Bad Policy?, Cambridge, MA: MIT Press 2005.
Caballero, R., E. Farhi and P. Gourinchas (2006) "An Equilibrium Model of 'Global Imbalances' and Low Interest Rates," Working Paper, MIT.
Chinn, M.D, and Prasad, E.S. (2003). "Medium-term Determinants of Current Accounts in Industrial and Developing Countries: An Empirical Exploration," Journal of International Economics 59, 47-76.
Dooley, M.P., Folkerts-Landau D., and Garber, P. (2003) "An Essay on the Revised Bretton Woods System" NBER Working Paper 9971.
Dooley, M.P., Folkerts-Landau D., and Garber, P. (2004) "Direct Investment, Rising Real Wages and the Absorption of Excess Labor in the Periphery" NBER Working Paper 10626.
Engel, C. and Rogers J. (2005), "The U.S. Current Account Deficit and the Expected Share of World Output," Working Paper, University of Wisconsin.
Erickson, Timothy and Whited, Toni M. (2000), "Measurement Error and the Relationship between Investment and q," Journal of Political Economy, 108(2000), 1027-1057.
Fazzari, Steven and Michael Athey (1987), "Asymmetric Information, Financing Constraints and Investment", Review of Economics and Statistics 69, 481-487.
Fazzari, Steven M.; Hubbard, R. Glenn and Petersen, Bruce C. (1988a) "Financing Constraints and Corporate Investment," Brookings Papers on Economic Activity, 1988(1), 141-206.
Fazzari, Steven M., Hubbard, R. Glenn and Petersen, Bruce C. (1988b) "Investment, Financing Decisions, and Tax Policy," American Economic Review, May, 78 (2), 200-205.
Feroli, M. (2003) "Capital Flows Among the G-7 Nations: A Demographic Perspective," Finance and Economics Discussion Series No. 54. Board of Governors of the Federal Reserve System.
Ferrero, A. (2005) "Demographic Trends, Fiscal Policy and Trade Deficits," Working Paper, New York University.
Hausmann, Ricardo and Federico Sturzenegger (2005), "Dark Matter Makes the U.S. Deficit Disappear," Financial Times (8 December), A15.
Hayashi, Fumio (1982), "Tobin's Marginal q and Average Q: A Neoclassical Interpretation," Econometrica, 50 (1), 213-224.
Hubbard, R. Glenn (1998) "Capital-Market Imperfections and Investment", Journal of Economic Literature, Vol. 36, No. 1, 193-225.
Gilchrist, Simon and Himmelberg, Charles P. (1995), "Evidence on the Role of Cash Flow for Investment," Journal of Monetary Economics, 36, 531-572.
Gruber, Joseph W. and Kamin, Steven B. (2007), "Explaining the Global Pattern of Current Account Imbalances," Journal of International Money and Finance, 26, 500-522.
Kamin, Steven B. (2007), "The Revived Bretton Woods System: Does It Explain Developments in Non-China Developing Asia?," Paper presented at the Federal Reserve Bank of San Francisco conference, "The Revived Bretton Woods System: A New Paradigm for Asian Development?" Available from: http://www.frbsf.org/economics/conferences/0502/kamin.pdf.
Takatoshi, Ito (1999) "Capital Flows in Asia," NBER Working paper #7134.
Kaplan, Steven N. and Zingales, Luigi (1997), "Do Investment-Cash Flow Sensitivities Provide Useful Measures of Financing Constraints," Quarterly Journal of Economics, 112(1), 169-215.
Mussa, Michael (2004), "Exchange Rate Adjustments Needed to Reduce Global Payments Imbalances," in C. Fred Bergsten and John Williamson eds, Dollar Adjustment: How far? Against What? Washington, D.C.: Institute for International Economics, 113-138.
Mann, Catherine (2004), "Managing Exchange Rates: Achievement of Global Re-balancing or Evidence of Global Co-Dependence?" unpublished manuscript, Institute for International Economics (July).
Mendoza, E.G., Quadrini, V., and Rios-Rull, J.S. (2007), "Financial Integration, Financial Deepness, and Global Imbalances" NBER Working Paper 12909.
Modigliani, Franco and Miller, Merton (1959), "The Cost of Capital, Corporation Finance and the Theory of Investment," American Economic Review, 48(June), 261-297.
Myers, Stewart C. (1977). "Determinants of corporate borrowing," Journal of Financial Economics 5, 147-175.
Myers, Stewart C. and Nicholas S. Majluf, (1984), "Corporate financing decisions when firms have investment information that investors do not," Journal of Financial Economics 13, 187-220.
Modigliani, Franco and Miller, Merton (1963), "Corporate income taxes and the cost of capital: a correction." American Economic Review, 53(3), 433-443.
Obstfeld, Maurice and Rogoff, Kenneth (2000), "Perspectives on OECD Capital Market Integration: Implications for U.S. Current Account Adjustment," in Global Economic Integration: Opportunities and Challenges, Kansas City: Federal Reserve Bank of Kansas City, 169-208.
Obstfeld, Maurice and Rogoff, Kenneth (2004), "The Unsustainable U.S. Current Account Position Revisited," NBER Working Paper no. 10869 (October).
Obstfeld, Maurice and Rogoff, Kenneth (2005), "Global Current Account Imbalances and Exchange Rate Adjustments," Working Paper, UC Berkeley.
Prasad, E.S., Rajan, R., and Subramanian, A. (2006) "Foreign Capital and Economic Growth" NBER Working Paper 13619.
Roubini, Nouriel and Setser, Brad (2004), "The US as Net Debtor: The Sustainability of the US External Imbalances," New York University (mimeo), November 2004.
Summers, Lawrence H. (1981), "Taxation and Corporate Investment: A q-Theory Approach," Brookings Papers on Economic Activity, 1981(1), 67-127.
Tobin, James (1969), "A General Equilibrium Approach to Monetary Theory," Journal of Money, Credit and Banking, 1(1), 15-29.
Whited, T. (1992), "Liquidity Constraints and Corporate Investment: Evidence from Panel Data," Journal of Finance, 47(4), 1425-1460.
Figure 1: Annual current account balance as percent of Gross Domestic Product for the United States, China, and the Asia-8 region, 1980-2005.

Data for Figure 1
| Year | China | Asia-8 | USA |
|---|---|---|---|
| 1980 | -1.74 | -2.89 | 0.07 |
| 1981 | 0.68 | -4.33 | 0.16 |
| 1982 | 2.81 | -4.11 | -0.16 |
| 1983 | 1.86 | -3.46 | -1.08 |
| 1984 | 0.79 | 0.52 | -2.39 |
| 1985 | -3.75 | 2.41 | -2.79 |
| 1986 | -2.38 | 5.66 | -3.30 |
| 1987 | 0.11 | 6.72 | -3.39 |
| 1988 | -1.24 | 5.08 | -2.38 |
| 1989 | -1.26 | 3.16 | -1.82 |
| 1990 | 3.38 | 0.56 | -1.36 |
| 1991 | 3.52 | -0.22 | 0.06 |
| 1992 | 1.53 | 0.38 | -0.79 |
| 1993 | -2.70 | 0.50 | -1.27 |
| 1994 | 1.37 | -0.26 | -1.72 |
| 1995 | 0.22 | -1.63 | -1.54 |
| 1996 | 0.85 | -1.89 | -1.59 |
| 1997 | 3.12 | -0.73 | -1.69 |
| 1998 | 2.88 | 7.75 | -2.44 |
| 1999 | 1.95 | 6.09 | -3.23 |
| 2000 | 1.71 | 4.04 | -4.23 |
| 2001 | 1.31 | 4.55 | -3.84 |
| 2002 | 2.44 | 4.90 | -4.51 |
| 2003 | 2.80 | 6.40 | -4.82 |
| 2004 | 3.55 | 6.09 | -5.67 |
| 2005 | 7.23 | 5.15 | -6.35 |
Figure 2: Aggregate national saving and private investment as percent of Gross Domestic Product for the Asia-8 region, 1980-2005.

Data for Figure 2
| Year | Investment | Saving |
|---|---|---|
| 1980 | 28.73 | 24.31 |
| 1981 | 29.22 | 24.81 |
| 1982 | 28.74 | 23.57 |
| 1983 | 29.59 | 26.49 |
| 1984 | 27.51 | 27.29 |
| 1985 | 25.54 | 26.77 |
| 1986 | 24.84 | 29.40 |
| 1987 | 26.20 | 32.29 |
| 1988 | 28.04 | 33.28 |
| 1989 | 29.87 | 32.63 |
| 1990 | 31.98 | 32.32 |
| 1991 | 33.15 | 31.70 |
| 1992 | 32.27 | 31.58 |
| 1993 | 32.20 | 32.77 |
| 1994 | 33.09 | 33.14 |
| 1995 | 34.21 | 32.77 |
| 1996 | 33.89 | 32.34 |
| 1997 | 32.80 | 32.50 |
| 1998 | 24.63 | 32.47 |
| 1999 | 24.16 | 30.42 |
| 2000 | 26.54 | 31.32 |
| 2001 | 24.27 | 29.02 |
| 2002 | 23.51 | 29.06 |
| 2003 | 22.81 | 30.28 |
| 2004 | 24.78 | 31.78 |
| 2005 | 24.82 | 30.85 |
Figure 3: Aggregate private and public investment as percent of Gross Domestic Product for the Asia-8 region, 1991-2005.

Data for Figure 3
| Year | Private Investment | Public Investment |
|---|---|---|
| 1991 | 26.82 | 5.54 |
| 1992 | 25.62 | 6.05 |
| 1993 | 26.11 | 5.84 |
| 1994 | 26.71 | 5.34 |
| 1995 | 27.15 | 5.90 |
| 1996 | 27.24 | 5.97 |
| 1997 | 25.90 | 5.99 |
| 1998 | 21.24 | 6.09 |
| 1999 | 19.10 | 6.09 |
| 2000 | 20.75 | 5.36 |
| 2001 | 19.08 | 5.30 |
| 2002 | 18.27 | 5.08 |
| 2003 | 18.72 | 5.19 |
| 2004 | 20.27 | 5.02 |
| 2005 | 21.60 | 4.10 |
Figure 4: Estimated year effects for selected firm-level variables from a regression using data from our full sample of Asian firms, 1991-2005, with 95 percent confidence interval. Regressions control for fixed effects and firm size

Note: For all variables, the time effect for 1996 is set to zero.
Data for Figure 4
| Year | Fixed Investment: Estimate | Fixed Investment: Upper | Fixed Investment: Lower | Tobin's Q: Estimate | Tobin's Q: Upper | Tobin's Q: Lower | Cash Flow: Estimate | Cash Flow: Upper | Cash Flow: Lower | ROA: Estimate | ROA: Upper | ROA: Lower |
|---|---|---|---|---|---|---|---|---|---|---|---|---|
| 1991 | -0.0293 | 0.0149 | -0.0735 | -0.1949 | 0.2886 | -0.6785 | 0.0303 | 0.0782 | -0.0176 | -0.0953 | 1.3374 | -1.5279 |
| 1992 | 0.0261 | 0.0673 | -0.0151 | 0.2852 | 0.6342 | -0.0638 | 0.0929 | 0.1670 | 0.0187 | 2.2572 | 3.4677 | 1.0466 |
| 1993 | -0.0066 | 0.0248 | -0.0379 | 0.0285 | 0.2723 | -0.2152 | 0.0556 | 0.0966 | 0.0147 | 1.9274 | 3.1666 | 0.6881 |
| 1994 | 0.0189 | 0.0557 | -0.0179 | 1.1630 | 1.4881 | 0.8379 | 0.0418 | 0.0720 | 0.0115 | 1.6162 | 2.7727 | 0.4598 |
| 1995 | -0.0175 | 0.0069 | -0.0418 | 0.4023 | 0.5912 | 0.2134 | 0.0035 | 0.0261 | -0.0191 | 0.8555 | 1.5939 | 0.1172 |
| 1996 | 0.0000 | - | - | 0.0000 | - | - | 0.0000 | - | - | 0.0000 | - | - |
| 1997 | -0.0627 | -0.0361 | -0.0893 | 0.2238 | 0.4150 | 0.0325 | -0.0520 | -0.0266 | -0.0774 | -3.7993 | -2.7821 | -4.8165 |
| 1998 | -0.0898 | -0.0643 | -0.1153 | -0.3132 | -0.1304 | -0.4960 | -0.0896 | -0.0633 | -0.1159 | -4.9988 | -3.8280 | -6.1696 |
| 1999 | -0.1283 | -0.1038 | -0.1528 | -0.9115 | -0.7517 | -1.0712 | -0.0738 | -0.0483 | -0.0992 | -3.0218 | -1.9098 | -4.1339 |
| 2000 | -0.1169 | -0.0931 | -0.1407 | -0.3362 | -0.1659 | -0.5065 | -0.0498 | -0.0262 | -0.0734 | -1.1443 | 0.4012 | -2.6899 |
| 2001 | -0.1172 | -0.0939 | -0.1405 | -0.7121 | -0.5439 | -0.8804 | -0.0638 | -0.0401 | -0.0874 | -1.8272 | -0.5854 | -3.0691 |
| 2002 | -0.1094 | -0.0832 | -0.1356 | -0.5721 | -0.3959 | -0.7482 | -0.0305 | -0.0054 | -0.0555 | -0.4983 | 1.6759 | -2.6724 |
| 2003 | -0.1114 | -0.0879 | -0.1350 | -0.8999 | -0.7290 | -1.0707 | -0.0123 | 0.0127 | -0.0372 | -0.3453 | 0.9882 | -1.6788 |
| 2004 | -0.0871 | -0.0637 | -0.1105 | -0.5070 | -0.3283 | -0.6856 | 0.0224 | 0.0470 | -0.0023 | -0.1922 | 1.1782 | -1.5626 |
| 2005 | -0.0951 | -0.0668 | -0.1233 | -1.0460 | -0.8706 | -1.2214 | -0.0365 | -0.0114 | -0.0616 | -0.8231 | 0.5950 | -2.2412 |
Figure 5: Estimated year effects for selected firm-level variables from a regression using data from our full sample of Asian firms, 1991-2005, with 95 percent confidence interval. Regressions control for fixed effects and firm size

Note: For all variables, the time effect for 1996 is set to zero.
Data for Figure 5
| Year | External Financing: Estimate | External Financing: Upper | External Financing: Lower | Debt / Equity: Estimate | Debt / Equity: Upper | Debt / Equity: Lower | Debt / Capital: Estimate | Debt / Capital: Upper | Debt / Capital: Lower | Cash / Capital: Estimate | Cash / Capital: Upper | Cash / Capital: Lower |
|---|---|---|---|---|---|---|---|---|---|---|---|---|
| 1991 | -0.0884 | -0.0013 | -0.1755 | 0.2717 | 1.2283 | -0.6849 | -0.1415 | -0.0634 | -0.2196 | -0.0628 | 0.0202 | -0.1458 |
| 1992 | -0.0202 | 0.0384 | -0.0787 | -0.0845 | 0.6276 | -0.7966 | -0.0266 | 0.0826 | -0.1358 | 0.0440 | 0.1317 | -0.0438 |
| 1993 | -0.0231 | 0.0355 | -0.0817 | -0.3803 | 0.3431 | -1.1036 | -0.0725 | 0.0151 | -0.1600 | 0.0493 | 0.1067 | -0.0081 |
| 1994 | 0.0330 | 0.1048 | -0.0388 | -0.5014 | 0.1486 | -1.1513 | -0.0590 | -0.0039 | -0.1140 | 0.0684 | 0.1209 | 0.0160 |
| 1995 | -0.0292 | 0.0108 | -0.0691 | -0.2538 | 0.1978 | -0.7054 | 0.0114 | 0.0588 | -0.0360 | -0.0009 | 0.0407 | -0.0425 |
| 1996 | 0.0000 | - | - | 0.0000 | - | - | 0.0000 | - | - | 0.0000 | - | - |
| 1997 | -0.0228 | 0.0254 | -0.0710 | 2.6534 | 3.2309 | 2.0759 | -0.1364 | -0.0909 | -0.1820 | -0.0652 | -0.0210 | -0.1094 |
| 1998 | -0.1072 | -0.0643 | -0.1502 | 3.5102 | 4.2214 | 2.7989 | -0.0692 | -0.0217 | -0.1166 | -0.0772 | -0.0328 | -0.1216 |
| 1999 | -0.1521 | -0.1134 | -0.1907 | 2.6240 | 3.6795 | 1.5685 | -0.1683 | -0.1256 | -0.2111 | -0.0583 | -0.0131 | -0.1036 |
| 2000 | -0.1057 | -0.0655 | -0.1460 | 3.0481 | 3.6904 | 2.4058 | -0.1867 | -0.1439 | -0.2294 | -0.0178 | 0.0255 | -0.0611 |
| 2001 | -0.1275 | -0.0898 | -0.1652 | 2.9213 | 3.5893 | 2.2532 | -0.2205 | -0.1754 | -0.2655 | 0.0098 | 0.0623 | -0.0428 |
| 2002 | -0.1107 | -0.0711 | -0.1503 | 2.3040 | 2.9603 | 1.6476 | -0.1956 | -0.1484 | -0.2428 | 0.0601 | 0.1127 | 0.0074 |
| 2003 | -0.0989 | -0.0587 | -0.1390 | 1.3215 | 1.8806 | 0.7624 | -0.1876 | -0.1402 | -0.2351 | 0.0878 | 0.1353 | 0.0402 |
| 2004 | -0.0629 | -0.0153 | -0.1105 | 1.2235 | 1.7934 | 0.6536 | -0.1244 | -0.0739 | -0.1749 | 0.0876 | 0.1423 | 0.0329 |
| 2005 | -0.0963 | -0.0557 | -0.1369 | 1.3809 | 2.0687 | 0.6930 | -0.1828 | -0.1346 | -0.2311 | 0.0479 | 0.1074 | -0.0115 |
Figure 6: Top Panel: Estimated aggregate time effects on investment rate for each country from a regression using our panel of firms in Asia-8 countries, 1991-2005. Bottom Panel: Estimated mean postcrisis drag on investment rate for each country, with 95 percent confidence interval. Both regressions also control for fixed effects

Data for Figure 6: Top Panel
| Year | Hong Kong: Estimate | Hong Kong: Upper | Hong Kong: Lower | Indonesia: Estimate | Indonesia: Upper | Indonesia: Lower | Korea: Estimate | Korea: Upper | Korea: Lower | Malaysia: Estimate | Malaysia: Upper | Malaysia: Lower | Philippines: Estimate | Philippines: Upper | Philippines: Lower | Singapore: Estimate | Singapore: Upper | Singapore: Lower | Thailand: Estimate | Thailand: Upper | Thailand: Lower | Taiwan: Estimate | Taiwan: Upper | Taiwan: Lower |
|---|---|---|---|---|---|---|---|---|---|---|---|---|---|---|---|---|---|---|---|---|---|---|---|---|
| 1991 | -0.0136 | 0.0349 | -0.0621 | 0.3046 | 0.9193 | -0.3101 | 0.1053 | 0.2232 | -0.0125 | -0.1059 | -0.0005 | -0.2114 | -0.0370 | 0.1354 | -0.2094 | -0.0975 | -0.0136 | -0.1814 | 0.2115 | 0.2772 | 0.1457 | -0.0113 | 0.0740 | -0.0966 |
| 1992 | 0.0749 | 0.1467 | 0.0031 | 0.0661 | 0.1760 | -0.0439 | -0.0234 | 0.0308 | -0.0776 | -0.0920 | 0.0014 | -0.1854 | 0.0393 | 0.1940 | -0.1154 | 0.0087 | 0.1701 | -0.1528 | 0.1586 | 0.2925 | 0.0247 | -0.0125 | 0.0382 | -0.0633 |
| 1993 | -0.0032 | 0.0484 | -0.0548 | -0.0189 | 0.0900 | -0.1277 | -0.0396 | 0.0187 | -0.0979 | -0.0825 | 0.0076 | -0.1726 | -0.0598 | 0.0775 | -0.1971 | 0.0724 | 0.2043 | -0.0595 | 0.0487 | 0.1005 | -0.0031 | 0.0011 | 0.0640 | -0.0618 |
| 1994 | 0.0333 | 0.0905 | -0.0238 | 0.0003 | 0.0928 | -0.0921 | -0.0155 | 0.0226 | -0.0536 | -0.0241 | 0.0975 | -0.1457 | -0.0928 | -0.0006 | -0.1851 | 0.0412 | 0.1715 | -0.0890 | 0.0793 | 0.1368 | 0.0218 | -0.0180 | 0.0314 | -0.0673 |
| 1995 | 0.0233 | 0.0693 | -0.0226 | -0.0724 | 0.0022 | -0.1469 | 0.0100 | 0.0387 | -0.0188 | -0.0926 | -0.0013 | -0.1839 | -0.1003 | -0.0252 | -0.1755 | 0.0010 | 0.0749 | -0.0729 | 0.0357 | 0.0735 | -0.0021 | -0.0069 | 0.0411 | -0.0549 |
| 1996 | 0.0000 | - | - | 0.0000 | - | - | 0.0000 | - | - | 0.0000 | - | - | 0.0000 | - | - | 0.0000 | - | - | 0.0000 | - | - | 0.0000 | - | - |
| 1997 | 0.0261 | 0.0680 | -0.0158 | -0.1204 | -0.0500 | -0.1908 | -0.0845 | -0.0570 | -0.1120 | -0.1136 | -0.0061 | -0.2212 | -0.1184 | -0.0525 | -0.1843 | -0.0238 | 0.0465 | -0.0942 | -0.0783 | -0.0454 | -0.1111 | -0.0113 | 0.0308 | -0.0533 |
| 1998 | 0.0039 | 0.0459 | -0.0381 | -0.1557 | -0.0830 | -0.2284 | -0.0833 | -0.0461 | -0.1204 | -0.1761 | -0.0770 | -0.2751 | -0.1652 | -0.0882 | -0.2421 | -0.0591 | 0.0046 | -0.1228 | -0.1039 | -0.0666 | -0.1412 | -0.0118 | 0.0310 | -0.0547 |
| 1999 | -0.0560 | -0.0203 | -0.0916 | -0.2215 | -0.1516 | -0.2914 | -0.1099 | -0.0761 | -0.1437 | -0.2030 | -0.1058 | -0.3002 | -0.2207 | -0.1503 | -0.2912 | -0.1341 | -0.0808 | -0.1875 | -0.1298 | -0.0970 | -0.1626 | -0.0311 | 0.0082 | -0.0705 |
| 2000 | -0.0387 | -0.0030 | -0.0744 | -0.2052 | -0.1360 | -0.2744 | -0.1289 | -0.0829 | -0.1748 | -0.1989 | -0.1110 | -0.2867 | -0.2082 | -0.1377 | -0.2788 | -0.0997 | -0.0454 | -0.1539 | -0.1125 | -0.0793 | -0.1458 | -0.0165 | 0.0243 | -0.0572 |
| 2001 | -0.0176 | 0.0256 | -0.0609 | -0.1810 | -0.1120 | -0.2500 | -0.1206 | -0.0825 | -0.1586 | -0.2015 | -0.1104 | -0.2927 | -0.2075 | -0.1335 | -0.2816 | -0.0993 | -0.0459 | -0.1528 | -0.0847 | -0.0512 | -0.1182 | -0.0697 | -0.0321 | -0.1074 |
| 2002 | 0.0118 | 0.0811 | -0.0576 | -0.1764 | -0.1070 | -0.2459 | -0.1095 | -0.0725 | -0.1465 | -0.1840 | -0.0892 | -0.2787 | -0.2110 | -0.1393 | -0.2828 | -0.1045 | -0.0449 | -0.1641 | -0.0596 | -0.0247 | -0.0944 | -0.0866 | -0.0481 | -0.1251 |
| 2003 | -0.0059 | 0.0452 | -0.0570 | -0.1551 | -0.0847 | -0.2254 | -0.1304 | -0.0953 | -0.1655 | -0.1913 | -0.1003 | -0.2824 | -0.2154 | -0.1440 | -0.2868 | -0.1258 | -0.0709 | -0.1806 | -0.0431 | -0.0088 | -0.0774 | -0.0690 | -0.0299 | -0.1082 |
| 2004 | 0.0190 | 0.0717 | -0.0336 | -0.1794 | -0.1098 | -0.2491 | -0.0963 | -0.0582 | -0.1345 | -0.1720 | -0.0838 | -0.2602 | -0.1962 | -0.1248 | -0.2677 | -0.1045 | -0.0461 | -0.1629 | -0.0067 | 0.0302 | -0.0437 | -0.0409 | -0.0018 | -0.0799 |
| 2005 | -0.0180 | 0.0319 | -0.0679 | -0.1600 | -0.0881 | -0.2318 | -0.0539 | 0.0511 | -0.1590 | -0.1734 | -0.0855 | -0.2613 | -0.1935 | -0.1219 | -0.2651 | -0.1399 | -0.0843 | -0.1955 | -0.0180 | 0.0207 | -0.0567 | -0.0583 | -0.0159 | -0.1007 |
Data for Figure 6: Bottom Panel
| Country | Estimate | Upper | Lower |
|---|---|---|---|
| Hong Kong | -0.0214 | -0.0007 | -0.0421 |
| Taiwan | -0.0381 | -0.0139 | -0.0622 |
| Indonesia | -0.1640 | -0.1283 | -0.1997 |
| Korea | -0.1025 | -0.0859 | -0.1191 |
| Malaysia | -0.1260 | -0.0855 | -0.1666 |
| Philippines | -0.1470 | -0.1024 | -0.1915 |
| Singapore | -0.1029 | -0.0595 | -0.1463 |
| Thailand | -0.1128 | -0.0901 | -0.1354 |
Figure 7: Top Panel: Estimated aggregate time effects on investment rate for each one-digit industry level from a regression using our panel of firms in Asia-8 countries, 1991-2005. Bottom Panel: Estimated mean postcrisis drag on investment rate for each one-digit industry level, with 95 percent confidence interval. Both regressions also control for fixed effects

Data for Figure 7: Top Panel
| Year | SIC 0: Estimate | SIC 0: Upper | SIC 0: Lower | SIC 1: Estimate | SIC 1: Upper | SIC 1: Lower | SIC 2: Estimate | SIC 2: Upper | SIC 2: Lower | SIC 3: Estimate | SIC 3: Upper | SIC 3: Lower | SIC 4: Estimate | SIC 4: Upper | SIC 4: Lower | SIC 5: Estimate | SIC 5: Upper | SIC 5: Lower | SIC 6: Estimate | SIC 6: Upper | SIC 6: Lower | SIC 7: Estimate | SIC 7: Upper | SIC 7: Lower | SIC 8: Estimate | SIC 8: Upper | SIC 8: Lower |
|---|---|---|---|---|---|---|---|---|---|---|---|---|---|---|---|---|---|---|---|---|---|---|---|---|---|---|---|
| 1991 | -0.1459 | -0.0188 | -0.2729 | 0.0431 | 0.1935 | -0.1073 | 0.0304 | 0.1476 | -0.0868 | -0.0529 | 0.0159 | -0.1218 | -0.0659 | 0.0203 | -0.1520 | -0.0569 | 0.0616 | -0.1755 | -0.0406 | 0.0588 | -0.1399 | -0.0064 | 0.0704 | -0.0832 | -0.1323 | 0.0131 | -0.2777 |
| 1992 | -0.0548 | 0.0705 | -0.1801 | 0.1713 | 0.3175 | 0.0252 | -0.0095 | 0.0611 | -0.0801 | 0.0368 | 0.1198 | -0.0462 | -0.0468 | 0.0252 | -0.1188 | 0.0684 | 0.2322 | -0.0955 | 0.0186 | 0.1245 | -0.0873 | 0.0310 | 0.1353 | -0.0733 | 0.0706 | 0.2163 | -0.0751 |
| 1993 | -0.1161 | 0.0437 | -0.2759 | 0.0707 | 0.2098 | -0.0684 | -0.0226 | 0.0383 | -0.0836 | 0.0101 | 0.0621 | -0.0419 | -0.0049 | 0.1001 | -0.1099 | -0.0390 | 0.0776 | -0.1556 | 0.0355 | 0.1384 | -0.0674 | -0.0106 | 0.0475 | -0.0687 | 0.1037 | 0.2297 | -0.0222 |
| 1994 | 0.1583 | 0.5723 | -0.2558 | 0.0352 | 0.1699 | -0.0996 | 0.0088 | 0.0728 | -0.0552 | 0.0282 | 0.0882 | -0.0318 | -0.0528 | 0.0255 | -0.1311 | 0.0123 | 0.1678 | -0.1431 | 0.0248 | 0.1282 | -0.0786 | -0.0047 | 0.0612 | -0.0706 | 0.2039 | 0.4612 | -0.0534 |
| 1995 | -0.1333 | 0.0625 | -0.3290 | -0.0404 | 0.0352 | -0.1160 | 0.0031 | 0.0599 | -0.0536 | -0.0010 | 0.0368 | -0.0388 | -0.0550 | 0.0161 | -0.1260 | -0.0502 | 0.0223 | -0.1228 | -0.0126 | 0.1008 | -0.1261 | -0.0211 | 0.0346 | -0.0769 | -0.0074 | 0.0586 | -0.0735 |
| 1996 | 0.0000 | - | - | 0.0000 | - | - | 0.0000 | - | - | 0.0000 | - | - | 0.0000 | - | - | 0.0000 | - | - | 0.0000 | - | - | 0.0000 | - | - | 0.0000 | - | - |
| 1997 | -0.0313 | 0.1152 | -0.1777 | -0.0543 | 0.0349 | -0.1435 | -0.0800 | -0.0180 | -0.1420 | -0.0734 | -0.0417 | -0.1052 | -0.0347 | 0.0386 | -0.1080 | -0.0758 | 0.0189 | -0.1705 | 0.0632 | 0.2559 | -0.1296 | -0.0233 | 0.0307 | -0.0773 | -0.0487 | 0.0460 | -0.1435 |
| 1998 | -0.1126 | 0.0301 | -0.2554 | -0.0362 | 0.0648 | -0.1372 | -0.1013 | -0.0394 | -0.1632 | -0.0855 | -0.0519 | -0.1191 | -0.0835 | -0.0181 | -0.1489 | -0.1375 | -0.0503 | -0.2247 | 0.0103 | 0.1142 | -0.0937 | -0.0707 | -0.0201 | -0.1213 | -0.0375 | 0.0625 | -0.1376 |
| 1999 | -0.1268 | 0.0174 | -0.2709 | -0.1378 | -0.0565 | -0.2191 | -0.1327 | -0.0721 | -0.1933 | -0.1236 | -0.0907 | -0.1565 | -0.1383 | -0.0782 | -0.1984 | -0.1512 | -0.0697 | -0.2327 | -0.0727 | 0.0369 | -0.1824 | -0.1027 | -0.0546 | -0.1508 | -0.0832 | -0.0182 | -0.1481 |
| 2000 | -0.2781 | 0.1422 | -0.6983 | -0.1360 | -0.0508 | -0.2212 | -0.1270 | -0.0727 | -0.1813 | -0.1037 | -0.0697 | -0.1376 | -0.1183 | -0.0569 | -0.1797 | -0.1402 | -0.0659 | -0.2145 | -0.0542 | 0.0487 | -0.1572 | -0.0707 | -0.0196 | -0.1217 | -0.1087 | -0.0213 | -0.1960 |
| 2001 | -0.2072 | 0.0500 | -0.4644 | -0.1423 | -0.0570 | -0.2276 | -0.1075 | -0.0530 | -0.1620 | -0.1219 | -0.0908 | -0.1529 | -0.1523 | -0.0873 | -0.2173 | -0.1356 | -0.0548 | -0.2164 | -0.0216 | 0.0913 | -0.1345 | -0.0719 | -0.0187 | -0.1251 | -0.0367 | 0.0480 | -0.1215 |
| 2002 | -0.1203 | 0.0950 | -0.3355 | -0.1342 | -0.0482 | -0.2203 | -0.0908 | -0.0328 | -0.1489 | -0.1202 | -0.0811 | -0.1593 | -0.1042 | -0.0289 | -0.1796 | -0.1304 | -0.0573 | -0.2035 | -0.0552 | 0.0549 | -0.1653 | -0.0902 | -0.0217 | -0.1586 | -0.1155 | -0.0352 | -0.1958 |
| 2003 | -0.1116 | 0.1103 | -0.3334 | -0.1162 | -0.0301 | -0.2022 | -0.0895 | -0.0318 | -0.1472 | -0.1226 | -0.0897 | -0.1554 | -0.1473 | -0.0868 | -0.2078 | -0.1289 | -0.0555 | -0.2022 | -0.0821 | 0.0252 | -0.1894 | -0.0849 | -0.0166 | -0.1533 | -0.0534 | 0.0254 | -0.1321 |
| 2004 | -0.1030 | 0.1346 | -0.3406 | -0.0883 | 0.0033 | -0.1800 | -0.0795 | -0.0233 | -0.1356 | -0.0901 | -0.0576 | -0.1226 | -0.1129 | -0.0507 | -0.1751 | -0.1347 | -0.0606 | -0.2088 | -0.0515 | 0.0571 | -0.1602 | -0.0332 | 0.0313 | -0.0977 | 0.0036 | 0.0889 | -0.0816 |
| 2005 | 0.3678 | 1.2011 | -0.4655 | -0.1144 | -0.0231 | -0.2056 | -0.0858 | -0.0313 | -0.1403 | -0.1108 | -0.0735 | -0.1482 | -0.1313 | -0.0692 | -0.1935 | -0.1176 | -0.0440 | -0.1911 | -0.0502 | 0.0651 | -0.1655 | -0.0891 | -0.0338 | -0.1444 | -0.0655 | 0.0144 | -0.1454 |
Data for Figure 7: Bottom Panel
| SIC | Estimate | Upper | Lower |
|---|---|---|---|
| 4 | -0.0857 | -0.0533 | -0.1181 |
| 3 | -0.1103 | -0.0906 | -0.1300 |
| 5 | -0.1159 | -0.0709 | -0.1609 |
| 2 | -0.0997 | -0.0735 | -0.1259 |
| 6 | -0.0372 | 0.0194 | -0.0937 |
| 7 | -0.0656 | -0.0399 | -0.0912 |
| 8 | -0.1082 | -0.0388 | -0.1775 |
| 1 | -0.1235 | -0.0746 | -0.1724 |
| 0 | -0.0576 | 0.0403 | -0.1555 |
Figure 8: Top Panel: Estimated aggregate time effects on investment rate of small, medium and large firms from a regression using our panel of firms in Asia-8 countries, 1991-2005. Bottom Panel: Estimated mean postcrisis drag on investment rate for small, medium and large Asia-8 firms, with 95 percent confidence interval. Both regressions also control for fixed effects

Data for Figure 8: Top Panel
| Year | Small: Estimate | Small: Upper | Small: Lower | Medium: Estimate | Medium: Upper | Medium: Lower | Large: Estimate | Large: Upper | Large: Lower |
|---|---|---|---|---|---|---|---|---|---|
| 1991 | -0.1448 | -0.0303 | -0.2592 | 0.0104 | 0.0717 | -0.0509 | -0.0181 | 0.0201 | -0.0563 |
| 1992 | -0.0105 | 0.1034 | -0.1244 | 0.0595 | 0.1174 | 0.0016 | -0.0220 | 0.0217 | -0.0657 |
| 1993 | -0.0115 | 0.0913 | -0.1142 | 0.0195 | 0.0597 | -0.0207 | -0.0563 | -0.0276 | -0.0850 |
| 1994 | 0.1018 | 0.2256 | -0.0221 | 0.0047 | 0.0403 | -0.0308 | -0.0465 | -0.0213 | -0.0717 |
| 1995 | -0.0275 | 0.0584 | -0.1134 | -0.0126 | 0.0154 | -0.0406 | -0.0171 | 0.0060 | -0.0402 |
| 1996 | 0.0000 | - | - | 0.0000 | - | - | 0.0000 | - | - |
| 1997 | -0.1096 | -0.0200 | -0.1992 | -0.0408 | -0.0141 | -0.0676 | -0.0701 | -0.0494 | -0.0908 |
| 1998 | -0.1582 | -0.0736 | -0.2428 | -0.0696 | -0.0418 | -0.0973 | -0.0860 | -0.0612 | -0.1107 |
| 1999 | -0.1811 | -0.0927 | -0.2695 | -0.1119 | -0.0862 | -0.1376 | -0.1249 | -0.1048 | -0.1450 |
| 2000 | -0.1606 | -0.0711 | -0.2500 | -0.0977 | -0.0703 | -0.1251 | -0.1261 | -0.1034 | -0.1488 |
| 2001 | -0.1468 | -0.0557 | -0.2379 | -0.0950 | -0.0688 | -0.1212 | -0.1358 | -0.1156 | -0.1560 |
| 2002 | -0.0815 | 0.0373 | -0.2002 | -0.0985 | -0.0718 | -0.1252 | -0.1380 | -0.1183 | -0.1576 |
| 2003 | -0.0919 | 0.0108 | -0.1945 | -0.1030 | -0.0752 | -0.1308 | -0.1273 | -0.1072 | -0.1474 |
| 2004 | -0.0098 | 0.0963 | -0.1160 | -0.0898 | -0.0622 | -0.1175 | -0.1116 | -0.0910 | -0.1321 |
| 2005 | -0.0813 | 0.0281 | -0.1907 | -0.0831 | -0.0423 | -0.1238 | -0.1087 | -0.0875 | -0.1298 |
Data for Figure 8: Bottom Panel
| Size | Estimate | Upper | Lower |
|---|---|---|---|
| Medium | -0.0907 | -0.0758 | -0.1056 |
| Large | -0.0939 | -0.0820 | -0.1057 |
| Small | -0.1295 | -0.0849 | -0.1741 |
Figure 9: Investment year effects after controlling for fundamentals and precrisis conditions shown. Effects are estimated using our full sample of Asian firms from 1991 to 2005, and control for fixed effects and firm size.

Data for Figure 9
| Year | None | Q | Q, CF/K | Q, CF/K, XF/K | Q, CF/K, XF/K, D/K(96) |
|---|---|---|---|---|---|
| 1991 | -0.0282 | -0.0239 | -0.0329 | -0.0229 | 0.0045 |
| 1992 | 0.0237 | 0.0189 | -0.0044 | 0.0023 | 0.0231 |
| 1993 | -0.0105 | -0.0101 | -0.0250 | -0.0202 | -0.0076 |
| 1994 | 0.0127 | -0.0093 | -0.0108 | -0.0082 | 0.0022 |
| 1995 | -0.0220 | -0.0291 | -0.0268 | -0.0211 | -0.0126 |
| 1996 | 0.0000 | 0.0000 | 0.0000 | 0.0000 | 0.0000 |
| 1997 | -0.0840 | -0.0812 | -0.0714 | -0.0657 | -0.0035 |
| 1998 | -0.1114 | -0.0979 | -0.0818 | -0.0693 | -0.0077 |
| 1999 | -0.1499 | -0.1243 | -0.1172 | -0.1016 | -0.0400 |
| 2000 | -0.1384 | -0.1244 | -0.1192 | -0.1060 | -0.0384 |
| 2001 | -0.1387 | -0.1171 | -0.1109 | -0.0972 | -0.0389 |
| 2002 | -0.1310 | -0.1122 | -0.1136 | -0.1007 | -0.0436 |
| 2003 | -0.1331 | -0.1077 | -0.1166 | -0.1062 | -0.0380 |
| 2004 | -0.1088 | -0.0913 | -0.1064 | -0.0978 | -0.0342 |
| 2005 | -0.1169 | -0.0885 | -0.0918 | -0.0831 | -0.0238 |
Figure 10: Median firm characteristics by debt-to-capital distribution in 1996

Data for Figure 10
| Year | Debt / Capital: Bottom quartile | Debt / Capital: Mid quartile | Debt / Capital: Top quartile | Debt / Equity: Bottom quartile | Debt / Equity: Mid quartile | Debt / Equity: Top quartile | External Financing / Capital: Bottom quartile | External Financing / Capital: Mid quartile | External Financing / Capital: Top quartile | Investment / Capital: Bottom quartile | Investment / Capital: Mid quartile | Investment / Capital: Top quartile |
|---|---|---|---|---|---|---|---|---|---|---|---|---|
| 1991 | 0.1174 | 0.4088 | 0.8404 | 0.0613 | 0.2572 | 1.1528 | 0.0000 | 0.0376 | 0.1171 | 0.0523 | 0.1411 | 0.2672 |
| 1992 | 0.1247 | 0.5124 | 1.2407 | 0.0419 | 0.3279 | 0.4482 | 0.0000 | 0.0242 | 0.0612 | 0.0775 | 0.1388 | 0.1913 |
| 1993 | 0.1144 | 0.4674 | 0.9481 | 0.0407 | 0.1920 | 0.4069 | 0.0000 | 0.0181 | 0.0550 | 0.0713 | 0.1103 | 0.1393 |
| 1994 | 0.1087 | 0.5439 | 1.1114 | 0.0448 | 0.2870 | 0.5382 | 0.0000 | 0.0587 | 0.0685 | 0.0629 | 0.1232 | 0.1618 |
| 1995 | 0.1117 | 0.6112 | 1.2747 | 0.0500 | 0.4663 | 1.1133 | 0.0000 | 0.0794 | 0.1830 | 0.0626 | 0.1329 | 0.1577 |
| 1996 | 0.0986 | 0.5846 | 1.4131 | 0.0309 | 0.4680 | 1.0752 | 0.0000 | 0.0812 | 0.2530 | 0.0711 | 0.1159 | 0.2067 |
| 1997 | 0.1073 | 0.4678 | 0.9165 | 0.0631 | 0.8830 | 3.1840 | 0.0000 | 0.0504 | 0.0936 | 0.0556 | 0.0669 | 0.0813 |
| 1998 | 0.1359 | 0.5458 | 1.0373 | 0.1212 | 1.2453 | 3.7903 | 0.0000 | 0.0067 | 0.0000 | 0.0510 | 0.0509 | 0.0398 |
| 1999 | 0.1695 | 0.4583 | 0.7538 | 0.1263 | 0.8474 | 2.4033 | 0.0000 | -0.0025 | -0.0041 | 0.0436 | 0.0303 | 0.0138 |
| 2000 | 0.1637 | 0.4566 | 0.6404 | 0.1681 | 1.0376 | 2.8704 | 0.0000 | -0.0001 | -0.0066 | 0.0337 | 0.0316 | 0.0169 |
| 2001 | 0.1642 | 0.4263 | 0.6009 | 0.2213 | 1.1844 | 2.0479 | 0.0000 | -0.0012 | -0.0023 | 0.0316 | 0.0261 | 0.0145 |
| 2002 | 0.2057 | 0.4482 | 0.5571 | 0.2493 | 0.9313 | 1.5242 | 0.0000 | -0.0007 | -0.0132 | 0.0254 | 0.0280 | 0.0173 |
| 2003 | 0.2123 | 0.4512 | 0.5497 | 0.1931 | 0.6754 | 0.9237 | 0.0000 | -0.0006 | -0.0002 | 0.0279 | 0.0369 | 0.0226 |
| 2004 | 0.2120 | 0.4606 | 0.5570 | 0.1416 | 0.5798 | 0.9105 | 0.0000 | 0.0000 | -0.0089 | 0.0358 | 0.0429 | 0.0222 |
| 2005 | 0.2129 | 0.4136 | 0.4851 | 0.1710 | 0.6315 | 0.7954 | 0.0000 | 0.0000 | -0.0002 | 0.0432 | 0.0559 | 0.0308 |
Figure 11: Median firm characteristics by debt-to-capital distribution in 1996

Data for Figure 11
| Year | Tobin's Q: Bottom quartile | Tobin's Q: Mid quartile | Tobin's Q: Top quartile | Cash Flow / Capital: Bottom quartile | Cash Flow / Capital: Mid quartile | Cash Flow / Capital: Top quartile | ROA (percent): Bottom quartile | ROA (percent): Mid quartile | ROA (percent): Top quartile | Dividends / Capital: Bottom quartile | Dividends / Capital: Mid quartile | Dividends / Capital: Top quartile |
|---|---|---|---|---|---|---|---|---|---|---|---|---|
| 1991 | 1.3702 | 1.0913 | 1.1063 | 0.1500 | 0.1547 | 0.2512 | 7.9050 | 7.2500 | 9.1800 | 0.0412 | 0.0342 | 0.0419 |
| 1992 | 1.2925 | 1.2501 | 1.4981 | 0.1631 | 0.1636 | 0.2146 | 8.5000 | 7.7075 | 10.7861 | 0.0452 | 0.0373 | 0.0655 |
| 1993 | 1.1517 | 1.2468 | 1.3149 | 0.1371 | 0.1524 | 0.2166 | 8.0000 | 7.9700 | 7.6300 | 0.0342 | 0.0304 | 0.0457 |
| 1994 | 2.1411 | 1.7558 | 1.9559 | 0.1481 | 0.1509 | 0.2228 | 8.0150 | 7.3600 | 7.5400 | 0.0386 | 0.0256 | 0.0360 |
| 1995 | 1.8136 | 1.3289 | 1.0412 | 0.1666 | 0.1384 | 0.1510 | 8.4450 | 6.4303 | 7.0812 | 0.0333 | 0.0170 | 0.0240 |
| 1996 | 1.7325 | 1.1252 | 1.1041 | 0.1542 | 0.1166 | 0.1366 | 7.5143 | 5.5788 | 5.8927 | 0.0268 | 0.0116 | 0.0149 |
| 1997 | 1.8117 | 1.0362 | 0.8756 | 0.1181 | 0.0814 | 0.0623 | 6.4895 | 4.2155 | 2.7800 | 0.0157 | 0.0000 | 0.0000 |
| 1998 | 1.1999 | 0.6714 | 0.6888 | 0.0968 | 0.0703 | 0.0279 | 4.3865 | 4.2700 | 2.7756 | 0.0082 | 0.0000 | 0.0000 |
| 1999 | 0.7307 | 0.5251 | 0.5408 | 0.1003 | 0.0803 | 0.0412 | 5.2000 | 5.0554 | 3.2755 | 0.0100 | 0.0000 | 0.0000 |
| 2000 | 0.7683 | 0.6189 | 0.6807 | 0.0819 | 0.0739 | 0.0481 | 4.2600 | 4.1838 | 2.7153 | 0.0100 | 0.0000 | 0.0000 |
| 2001 | 0.5756 | 0.4778 | 0.5069 | 0.0609 | 0.0674 | 0.0561 | 2.5900 | 3.7300 | 4.0492 | 0.0076 | 0.0000 | 0.0000 |
| 2002 | 0.5422 | 0.4651 | 0.4856 | 0.0857 | 0.0820 | 0.0742 | 3.3600 | 4.2400 | 4.8022 | 0.0122 | 0.0021 | 0.0000 |
| 2003 | 0.5824 | 0.4965 | 0.5001 | 0.0982 | 0.0945 | 0.0822 | 4.5903 | 4.5920 | 4.6401 | 0.0232 | 0.0064 | 0.0000 |
| 2004 | 0.6772 | 0.6080 | 0.5467 | 0.1276 | 0.1186 | 0.0866 | 5.5288 | 5.4727 | 4.5050 | 0.0307 | 0.0124 | 0.0000 |
| 2005 | 0.7618 | 0.6027 | 0.5935 | 0.1279 | 0.1162 | 0.0755 | 6.2500 | 4.8041 | 4.6880 | 0.0345 | 0.0167 | 0.0000 |
Table 1: Geographic Distribution of Global Current Account Imbalances
| Country | Billions U.S. dollars: 1996 |
Billions U.S. dollars: 2000 |
Billions U.S. dollars: 2005 |
Percent of GDP: 1996 |
Percent of GDP: 2000 |
Percent of GDP: 2005 |
|---|---|---|---|---|---|---|
| Industrial | 30 |
-306 |
-573 |
0.1 |
-1.3 |
-1.8 |
| United States | -125 |
-415 |
-792 |
-1.6 |
-4.2 |
-6.4 |
| Japan | 66 |
120 |
166 |
1.4 |
2.6 |
3.6 |
| Euro Area* | 74 |
-41 |
-3 |
1.0 |
-0.7 |
0.0 |
| Other | 15 |
30 |
56 |
0.4 |
0.9 |
1.0 |
| Developing | -83 |
119 |
511 |
-1.2 |
1.6 |
4.3 |
| Asia | -40 |
77 |
252 |
-1.3 |
2.3 |
4.7 |
| China | 7 |
21 |
161 |
0.8 |
1.7 |
7.2 |
| Asia-8 | -32 |
63 |
106 |
-1.9 |
4.0 |
5.0 |
| Other Asia | -15 |
-6 |
-15 |
-3.8 |
1.6 |
0.3 |
| Middle East | 15 |
67 |
183 |
2.9 |
10.7 |
18.5 |
| Africa | -6 |
7 |
18 |
-1.2 |
1.6 |
2.3 |
| Latin America | -39 |
-49 |
34 |
-2.1 |
-2.5 |
1.4 |
| Eastern Europe and Former USSR | -14 |
16 |
24 |
-1.3 |
1.6 |
1.1 |
| Statistical Discrepancy | -53 |
-188 |
-62 |
n.a. |
n.a. |
n.a. |
To maintain consistency, the current account for the Euro area in 1996 was calculated using data from the same set of countries as in 2000. "n.a." denoted not applicable. Source: International Monetary Fund World Economic Outlook September 2006.
Table 2: Evolution of Current Account Balances for the United States, China, and Asia-8 Countries
| Country |
Current Account including Oil Trade: billions US dollars: 1996 |
Current Account including Oil Trade: billions US dollars: 2000 |
Current Account including Oil Trade: billions US dollars: 2005 |
Current Account including Oil Trade: percent of GDP: 1996 |
Current Account including Oil Trade: percent of GDP: 2000 |
Current Account including Oil Trade: percent of GDP: 2005 |
Current Account excluding Oil Trade: billions US dollars:1996 |
Current Account excluding Oil Trade: billions US dollars: 2000 |
Current Account excluding Oil Trade: billions US dollars: 2005 |
Current Account excluding Oil Trade: percent of GDP: 1996 |
Current Account excluding Oil Trade: percent of GDP: 2000 |
Current Account excluding Oil Trade: percent of GDP: 2005 |
|---|---|---|---|---|---|---|---|---|---|---|---|---|
| United States | -125 |
-416 |
-805 |
-1.6 |
-4.2 |
-6.4 |
-53 |
-297 |
-556 |
-0.7 |
-3.0 |
-4.5 |
| China | 7 |
21 |
161 |
0.8 |
1.7 |
7.2 |
11 |
34 |
214 |
1.3 |
2.8 |
9.6 |
| Asia-8 | -32 |
62 |
109 |
-1.9 |
4.0 |
5.1 |
-6 |
104 |
202 |
-0.4 |
6.7 |
9.5 |
| Hong Kong | -2.6 |
7.0 |
19.7 |
-1.6 |
4.1 |
11.1 |
-1.2 |
9.4 |
25.8 |
-0.7 |
5.6 |
14.5 |
| Indonesia | -7.7 |
8.0 |
4.5 |
-3.4 |
4.8 |
1.6 |
-12.7 |
5.2 |
7.9 |
-5.6 |
3.1 |
2.8 |
| South Korea | -23.1 |
12.3 |
16.6 |
-4.1 |
2.4 |
2.1 |
-8.0 |
33.6 |
55.5 |
-1.4 |
6.6 |
7.1 |
| Malaysia | -4.5 |
8.5 |
19.9 |
-4.4 |
9.4 |
15.2 |
-7.0 |
5.4 |
14.5 |
-6.9 |
6.0 |
11.1 |
| Philippines | -4.5 |
-2.2 |
2.4 |
-5.4 |
-2.9 |
2.4 |
-1.8 |
1.3 |
8.2 |
-2.2 |
1.7 |
8.4 |
| Singapore | 13.9 |
10.7 |
33.2 |
15.0 |
11.6 |
28.5 |
18.0 |
17.5 |
47.3 |
19.4 |
18.9 |
40.6 |
| Taiwan | 10.9 |
8.9 |
16.4 |
3.8 |
2.8 |
4.7 |
16.2 |
17.2 |
34.3 |
5.6 |
5.3 |
9.9 |
| Thailand | -14.4 |
9.3 |
-3.7 |
-7.9 |
7.6 |
-2.1 |
-9.7 |
14.7 |
7.8 |
-5.3 |
12.0 |
4.4 |
Current account balances excluding oil are calculated by extracting net trade in oil from the overall balance. Source: International Monetary Fund World Economic Outlook September 2006.
Table 3: Panel Regression of Firm-Level Investment Rate: Firm-Level Fundamentals
(0) | (1) | (2) | (3) | (4) | (5) | (6) | (7) | (8) | (9) | |
|---|---|---|---|---|---|---|---|---|---|---|
| 97+ | -.128 | -.119 | -.096 | -.099 | -.100 | -.116 | -.087 | -.086 | -.078 | -.068 |
| s.e. | (.007) | (.010) | (.010) | (.010) | (.010) | (.010) | (.010) | (.010) | (.010) | (.027) |
- | - | .020 | - | - | - | .012 | .012 | .018 | .005 | |
| s.e. | - | - | (.004) | - | - | - | (.003) | (.002) | (.002) | (.003) |
- | - | - | .301 | - | - | .271 | .271 | .244 | .244 | |
| s.e. | - | - | - | (.050) | - | - | (.047) | (.047) | (.044) | (.138) |
- | - | - | - | .153 | - | - | - | .122 | .206 | |
| s.e. | - | - | - | - | (.023) | - | - | - | (.018) | (.046) |
- | - | - | - | - | -.0006 | - | -.0002 | -.0002 | .005 | |
| s.e. | - | - | - | - | - | (.0002) | - | (.0002) | (.0002) | (.005) |
- | .167 | .139 | .094 | .134 | .168 | .084 | .084 | .071 | .064 | |
| s.e. | - | (.026) | (.024) | (.021) | (.023) | (.026) | (.022) | (.022) | (.020) | (.020) |
- | -.056 | -.038 | -.036 | -.041 | -.057 | -.027 | -.027 | -.021 | -.022 | |
| s.e. | - | (.011) | (.011) | (.011) | (.010) | (.011) | (.011) | (.011) | (.011) | (.011) |
Table 3: Panel Regression of Firm-Level Investment Rate: Firm-Level Fundamentals: 97+ dummy interacted with:
| 97+ dummy interacted with: | (0) | (1) | (2) | (3) | (4) | (5) | (6) | (7) | (8) | (9) |
|---|---|---|---|---|---|---|---|---|---|---|
- | .074 | .057 | .068 | .060 | .072 | .058 | .058 | .051 | .046 | |
| s.e. | - | (.012) | (.012) | (.012) | (.011) | (.012) | (.012) | (.012) | (.011) | (.011) |
- | -.031 | -.034 | -.004 | -.047 | -.032 | -.008 | -.008 | -.023 | -.016 | |
| s.e. | - | (.024) | (.023) | (.022) | (.022) | (.024) | (.022) | (.022) | (.020) | (.019) |
- | -.009 | -.013 | -.019 | -.008 | -.009 | -.020 | -.020 | -.018 | -.014 | |
| s.e. | - | (.010) | (.010) | (.010) | (.009) | (.010) | (.010) | (.010) | (.009) | (.011) |
- | - | - | - | - | - | - | - | - | .004 | |
| s.e. | - | - | - | - | - | - | - | - | - | (.004) |
- | - | - | - | - | - | - | - | - | -.003 | |
| s.e. | - | - | - | - | - | - | - | - | - | (.140) |
- | - | - | - | - | - | - | - | - | -.096 | |
| s.e. | - | - | - | - | - | - | - | - | - | (.050) |
- | - | - | - | - | - | - | - | - | -.005 | |
| s.e. | - | - | - | - | - | - | - | - | - | (.005) |
| R2 | .019 | .036 | .069 | .124 | .113 | .037 | .135 | .136 | .182 | .185 |
| N | 21900 | 21900 | 21900 | 21900 | 21900 | 21900 | 21900 | 21900 | 21900 | 21900 |
All regressions include fixed effects, and all but specification "0" control for firm size and interactions between the postcrisis dummy and industry dummy (not shown). Standard errors are robust to heteroskedasticity and serial correlation.
Table 4: Regressions of Firm-Level Investment Flow: Sensitivity to Precrisis Conditions
Pre-crisis Firm Characteristics: (1) | Pre-crisis Firm Characteristics: (2) | Pre-crisis Firm Characteristics: (3) | (4) | (5) | (6) | (7) | (8) | (9) | |
|---|---|---|---|---|---|---|---|---|---|
| 97+ | -.095 | -.071 | -.089 | -.085 | -.021 | -.016 | -.013 | -.050 | -.021 |
| s.e. | (.019) | (.012) | (.014) | (.030) | (.030) | (.010) | (.039) | (.124) | (.029) |
.006 | .007 | .007 | .007 | .007 | .007 | .007 | .011 | .007 | |
| s.e. | (.003) | (.003) | (.003) | (.002) | (.003) | (.003) | (.004) | (.003) | (.003) |
.297 | .278 | .282 | .272 | .255 | .265 | .279 | .296 | .284 | |
| s.e. | (.081) | (.082) | (.076) | (.070) | (.068) | (.077) | (.104) | (.183) | (.078) |
Table 4: Regressions of Firm-Level Investment Flow: Sensitivity to Precrisis Conditions: 97+ dummy interacted with:
| 97+ dummy interacted with: | (1) | (2) | (3) | (4) | (5) | (6) | (7) | (8) | (9) |
|---|---|---|---|---|---|---|---|---|---|
.001 | - | - | - | - | - | - | - | - | |
| s.e. | (.026) | - | - | - | - | - | - | - | - |
- | -.154 | - | - | - | - | - | - | - | |
| s.e. | - | (.057) | - | - | - | - | - | - | - |
- | - | -.019 | - | - | - | - | - | - | |
| s.e. | - | - | (.033) | - | - | - | - | - | - |
- | - | - | -.007 | - | - | - | - | - | |
| s.e. | - | - | - | (.002) | - | - | - | - | - |
- | - | - | - | -.099 | - | -.098 | -.126 | -.093 | |
| s.e. | - | - | - | - | (.036) | - | (.035) | (.081) | (.034) |
- | - | - | - | - | - | -.056 | -.176 | - | |
| s.e. | - | - | - | - | - | - | (.095) | (.180) | - |
| Over Investment | - | - | - | - | - | -.152 | - | - | - |
| s.e. | - | - | - | - | - | (.012) | - | - | - |
- | - | - | - | - | - | - | - | -.042 | |
| s.e. | - | - | - | - | - | - | - | - | (.019) |
| R2 | .233 | .243 | .223 | .207 | .238 | .245 | .239 | .363 | .244 |
| N | 10346 | 10951 | 10992 | 10863 | 10985 | 10974 | 10985 | 2408 | 10985 |
All regressions include fixed effects, firm size, and interactions between the postcrisis dummy and industry dummy (not shown). Standard errors are robust to heteroskedasticity and serial correlation.
* Coulibaly is Economist in the Division of International Finance of the Federal Reserve System. Jonathan Millar is Economist in the Division of Research and Statistics. Mailing address: Division of International Finance, Board of Governors, Federal Reserve System, Mail Stop 24, Washington D.C. 20551,USA; email: [email protected]. Tel.: (202)-452-2609; fax: (202)-736-5638. We thank Jane Haltmaier and Shaghil Ahmed for helpful comments, and Joshua Mazen and Ross Knippenberg for excellent research assistanceship. The views expressed in the paper are those of the authors and do not necessarily reflect those of the Board of Governors or the Federal Reserve System. Return to text
1. Additional references include Mann [2004], and Roubini and Setser [2004]. Return to text
2. See also, Hubbard (2006), Prasad et al. (2006), Ju and Wei (2006), Obstfeld and Rogoff (2005) and others. Return to text
3. We exclude oil trade because the portion of the global imbalances that owes to oil trade is well understood. It surfaced in tandem with the runup in oil prices, and all else equal, it will most likely fade if oil prices recede and/or the demand for oil falls. The portion of the imbalances from the non-oil trade on the other hand, has been around much longer, and it is much less understood. Return to text
4. The analysis does not include China in part because it was not affected by the financial crisis, which occurred at a time when China maintained restrictions on capital flows, and in part because China's investment and saving appears to be driven by different dynamics. Return to text
5. The firm-level fixed effect also controls for a number of effects that cannot be separately identified, including fixed firm characteristics, country effects, industry effects, and an aggregate effect for our baseline year of 1996. Return to text
6. These controls are warranted, even though we include fixed effects, because the dataset is sufficiently long that the relative size of the incumbent firms in our sample tends to increase over the course of the sample period. Return to text
7. By including controls for firm size, we remove from the aggregate component the portion attributable to shifts in firms between size categories from year to year. This is warranted because our time series is long enough that the size of a given firm could change substantially within the sample. Return to text
8. It also assumes that the homogeneity conditions described by Hayashi [1982] hold, so the measure Tobin's Q is a good proxy variable for the shadow value of capital. Return to text
9. Prominent among numerous examples are Summers [1981], Gilchrist and Himmelberg [1995], and Erickson and Whited [2000]. Return to text
10. We include controls for the postcrisis effect in Hong Kong, Singapore and Taiwan because we felt the Asian financial crisis had less of an effect on these countries, given a priori considerations. The results shown in Figure 6 suggest that South Korea might also be included in this group. Our results are not sensitive to this change in specification. Return to text
11. More specifically, we include in our baseline all firms whose SIC code has a first digit of either 2 or 3. These industry controls have almost no effect on our results. Return to text
12. When one adds the postcrisis effect to the incremental effect for HTS countries, the combined effect is 4½ percent, with a standard error of about 0.1. Return to text
13. We include the debt to equity ratio because the firm's required rate of return on capital-an important investment determinant-is generally a function of its debt-to-equity ratio, except under the special conditions described by Modigliani and Miller [1958]. Return to text
14. Though not a focus in this context, the estimated coefficient on Q (0.023) is similar in magnitude compared to results from previous empirical work. The coefficient on internal cash flow is also in line with estimates in other studies. Return to text
15. See for example Ito [1999] or Calvo and Reinhart [1999] for extended discussions. Return to text
16. The
result is preserved when we control for the interaction betweeen
the postcrisis dummy and
, and the coefficients for both Over Investment and
are both statistically significant. The result is
also preserved when we control for the interaction between the
postcrisis dummy and
, and
interacted with the postcrisis
dummy. Return to text
17. See also Myers [1977] or Myers and Majluf (1984) for additional discussion. Return to text
18. For examples, see Fazzari, Hubbard and Petersen [1988b], Gilchrist and Himmelberg [1995], and others. Return to text
This version is optimized for use by screen readers. Descriptions for all mathematical expressions are provided in LaTex format. A printable pdf version is available. Return to text