
Board of Governors of the Federal Reserve System
International Finance Discussion Papers
Number 983, October 2009 --- Screen Reader
Version*
NOTE: International Finance Discussion Papers are preliminary materials circulated to stimulate discussion and critical comment. References in publications to International Finance Discussion Papers (other than an acknowledgment that the writer has had access to unpublished material) should be cleared with the author or authors. Recent IFDPs are available on the Web at http://www.federalreserve.gov/pubs/ifdp/. This paper can be downloaded without charge from the Social Science Research Network electronic library at http://www.ssrn.com/.
Abstract:
In a two-country DSGE model, the effects of foreign demand shocks on the home country are greatly amplified if the home economy is constrained by the zero lower bound for policy interest rates. This result applies even to countries that are relatively closed to trade such as the United States. The duration of the liquidity trap is determined endogenously. Adverse foreign shocks can extend the duration of the liquidity trap, implying more contractionary effects for the home country; conversely, large positive shocks can prompt an early exit, implying effects that are closer to those when the zero bound constraint is not binding.
Keywords: Zero lower bound, spillover effects, DSGE models
JEL classification: F32, F41
For large and relatively closed economies such as the United States and the euro area, foreign shocks are often perceived as having small effects on domestic output. Thus, researchers, policymakers, and forecasters frequently abstract from the open economy dimension in analyzing business cycle fluctuations in large economies.1
The expanding literature that uses open economy DSGE models to analyze the transmission of shocks across countries appears to corroborate this view. Drawing on the two country real business cycle model of [Backus et al. 1992], [Baxter and Crucini 1995] show that a positive country-specific productivity shock in the foreign sector induces a small contraction in domestic output. Thus, accounting for positive comovement in output across countries requires substantial correlation in the underlying shocks. More recent analysis that incorporates nominal price rigidities and a wider set of shocks, including work by [Lubik and Schorfheide 2005] and [Adolfson et al. 2007], also finds that country-specific shocks abroad tend to have very small effects on home output.2
Although these results support the view that foreign shocks typically have a small impact on large economies such as the United States, a key qualification is that they are derived under the assumption that monetary policy has complete latitude to offset shocks by adjusting policy rates. A wide group of economies - including the United States and Japan - have been constrained from reducing policy rates for some time. In our analysis, the effects of foreign shocks on domestic output are greatly amplified by a prolonged liquidity trap, even for relatively closed economies.
We analyze the spillover effects of country-specific foreign shocks in a two country DSGE model that imposes the zero bound constraint on policy rates. The model incorporates nominal and real rigidities that have been found to be empirically relevant in both the closed and open economy DSGE literature, including sticky prices and wages, and habit persistence in consumption.3 Our benchmark simulations assume that only the home country is constrained by the zero lower bound, though we also conduct sensitivity analysis which allows for both economies to be constrained.
The model is calibrated based on data for the United States (the home country) and an aggregate of its trading partners. A foreign demand shock that reduces foreign output by 1 percent induces U.S. GDP to fall only around 0.3 percent in normal circumstances in which U.S. short-term interest rates decline as prescribed by a standard linear Taylor rule. With the United States in a liquidity trap lasting 10 quarters (our benchmark case), the same foreign shock causes U.S. output to fall 0.7 percent.
The foreign shock has a similar contractionary effect on home exports irrespective of whether domestic monetary policy is constrained: exports fall in response to lower foreign absorption, and because lower foreign policy rates cause the home real exchange rate to appreciate. With policy rates unconstrained, the impact on home output is cushioned by a robust expansion of private domestic demand, as monetary policy responds immediately to lower demand and inflation, and real rates fall at all maturities. By contrast, because home policy rates remain frozen for some time in a liquidity trap, the fall in expected inflation pushes up short-term real interest rates, implying a much smaller expansion in domestic demand than in the unconstrained case. If the liquidity trap is sufficiently prolonged, private demand can even fall.
An important feature of our modeling framework is the endogenous determination of the duration of the liquidity trap. In our simulations the exit date from the trap depends both on the underlying domestic shock that is assumed to generate the liquidity trap - a preference shock that depresses the natural real interest rate - and on the characteristics of the foreign demand shock. The effects of a foreign shock on domestic GDP are linear provided that the size of the shock is small. However, if foreign shocks are large enough to affect the duration of the liquidity trap, their effects become nonlinear. Intuitively, negative foreign shocks of larger magnitude extend the duration of the liquidity trap, implying more contractionary marginal effects; conversely, positive shocks can prompt an early exit, implying effects that are closer to those when the zero bound constraint is not binding.
We conduct sensitivity analysis on several dimensions, including to the conduct of domestic and foreign monetary policy, to the trade price elasticities, and to the nature of the shocks affecting the foreign economy. Our result that the effects of foreign shocks are greatly magnified in a liquidity trap does not hinge on our particular specification of the rule that home monetary policy follows after exiting the liquidity trap. If foreign GDP contracts 1 percent, the spillover effect to U.S. GDP remains in the range of 0.7 even under the assumption that monetary policy reacts very aggressively to inflation and/or the output gap.
When the zero bound is not binding, increasing the trade price elasticity of demand magnifies the decline of home real net exports caused by a foreign demand contraction. However, the spillover effects on home output are partly offset by a more vigorous reaction of domestic monetary policy. By contrast, in a liquidity trap, monetary policy is unable to compensate in such a manner, and the larger effects on real net exports translate into much greater effects on home output.
The magnitude of the spillover effects in our benchmark case depend on the nature of the foreign shocks. Foreign demand shocks exert larger effects on domestic exports and imports than foreign supply shocks, because their impact on the real exchange rate and foreign activity reinforce each other.4 For example, a negative taste shock abroad reduces foreign absorption, and causes the domestic exchange rate to appreciate. By contrast, near unit-root technology shocks, the typical source of fluctuations in open economy models, have comparatively small effects on domestic real net exports because they affect foreign activity and the real exchange rate in an offsetting manner.5 Thus, foreign demand shocks have larger effects on domestic output than foreign supply shocks even under normal conditions in which policy can react; but the disparity becomes much greater in a liquidity trap.
It might be expected that the spillover effects of foreign shocks would be further magnified if the foreign sector were also in a liquidity trap. However, our analysis shows that the effects of a given structural shock abroad are similar, irrespective of whether the foreign economy is in a liquidity trap or not. For example, although an adverse foreign demand shock causes foreign absorption to fall more when the foreign economy is in a liquidity trap, it also reduces the appreciation of the home real exchange rate since foreign long-term real interest rates fall by less. Analogously, the transmission of domestic shocks is hardly affected by whether the foreign economy is in a liquidity trap.
In related work, [Reifschneider and Williams 2000] argue that there is a significant increase in the volatility of output in a liquidity trap, but their methodology does not allow them to link this higher volatility to structural shocks. Other papers that are related to our analysis, but abstract from the open economy dimension, are [Eggertsson 2006] and [Christiano et al. 2009]. [Coenen and Wieland 2003] investigate the quantitative effects of exchange rate based policies in a model that is partly optimization-based but does not explore the spillover effects of foreign shocks and their dependence on different model parameters.6
Apart from the explicit treatment of the zero-lower bound on policy rates, our two-country model is close to [Erceg et al. 2006] and [Erceg et al. 2008] who themselves build on [Christiano et al. 2005] and [Smets and Wouters 2003]. We focus on describing the home country as the setup for the foreign country is analogous. The calibration for the home country reflects key features of the United States.
Production of Domestic Intermediate Goods. There is a
continuum of differentiated intermediate goods (indexed by
) in the home country, each of which
is produced by a single monopolistically competitive firm. Firms
charge different prices at home and abroad, i.e., they practice
pricing to market. In the home market, firm
faces a
demand function that varies inversely with its output price
and directly with aggregate demand
at home ![]()
|
(1) |
where
, and
is an aggregate price index defined below. Similarly,
in the foreign market, firm
faces the demand
function:
|
(2) |
where
denotes the foreign quantity
demanded of home good
,
denotes the price, denominated
in foreign currency, that firm
sets in the foreign
market,
is the foreign import price index,
and
is aggregate foreign imports.
Each producer utilizes capital services
and a labor index
(defined below) to
produce its respective output good. The production function has a
constant-elasticity of substitution form:
|
(3) |
where
is a country-specific shock to the
level of technology. Firms face perfectly competitive factor
markets for hiring capital and labor.
The prices of intermediate goods are determined by Calvo-style
staggered contracts, see [Calvo 1983]. Each period, a firm faces a
constant probability,
, to reoptimize its
price at home
and probability of
to reoptimize the price that it
sets in the foreign country of
. These probabilities are
independent across firms, time, and countries.
Production of the Domestic Output Index. A representative
aggregator combines the differentiated intermediate products into a
composite home-produced good
according
to
|
(4) |
The optimal bundle of goods minimizes the cost of producing
taking the price of each intermediate
good as given. A unit of the sectoral output index sells at the
price
:
|
(5) |
Similarly, a representative aggregator in the foreign economy
combines the differentiated home products
into a single index for foreign imports:
|
(6) |
and sells
at price
:
|
(7) |
Production of Consumption and Investment Goods. Assuming
equal import content of consumption and investment, there is
effectively one final good
that is used
for consumption or investment, (i.e.,
, allowing us to
interpret
as private absorption).
Domestically-produced goods and imported goods are combined to
produce final goods
according to
|
(8) |
where
denotes the distributor's demand for
the domestically-produced good and
denotes
the distributor's demand for imports. The quasi-share parameter
determines the degree of home bias
in private absorption, and
determines
the elasticity of substitution between home and foreign goods. Each
representative distributor chooses a plan for
and
to minimize its costs of
producing the final good
and sells
to households at a price
.
Accordingly, the prices of consumption and investment are
equalized.
A continuum of monopolistically competitive households (indexed
on the unit interval) supplies a differentiated labor service to
the intermediate goods-producing sector. A representative labor
aggregator combines the households' labor hours in the same
proportions as firms would choose. This labor index
has the Dixit-Stiglitz form:
|
(9) |
where
and
is hours worked by a typical member of household
.
The aggregator minimizes the cost of producing a given amount of
the aggregate labor index, taking each household's wage rate
as given. One unit of
the labor index sells at the unit cost
:
|
(10) |
is referred to as the aggregate wage
index. The aggregator's demand for the labor services of household
satisfies
|
(11) |
The utility functional of a representative household
is:
|
|
|
(12) |
where the discount factor
satisfies
As in [Smets and Wouters
2003], we allow for the possibility of external habits. At date
household
cares about
consumption relative to lagged per capita consumption,
. The preference shock
follows an exogenous first order process with a persistence
parameter of
. The parameter
controls for population size. The household's period
utility function depends on current leisure
, the end-of-period
real money balances,
. The
liquidity-service function
is increasing in real
money balances at a decreasing rate up to a satiation level. Beyond
the satiation level, utility from liquidity services is constant.
With this specification of the utility function, the demand for
real money balances is always positive regardless of the level of
the nominal interest rate.7
The budget constraint of each household is given by:
|
(13) |
Final consumption and investment goods are purchased at a price
Investment in physical capital
augments the per capita capital stock
according to a linear transition
law of the form:
| (14) |
where
is the depreciation rate of capital.
The term
in the budget
constraint represents the proceeds to the household from renting
capital to firms net of capital taxes.
Financial asset accumulation consists of increases in nominal
money holdings
and the net
acquisition of international bonds. Trade in international assets
is restricted to a non-state contingent nominal bond.
represents the quantity of the
international bond purchased by household
at time
that pays one unit of foreign currency in
the subsequent period.
is the foreign currency price
of the bond, and
is the nominal exchange rate
expressed in units of home currency per unit of foreign currency.
Following [Turnovsky 1985] households pay an intermediation fee
.8 The intermediation fee
depends on the ratio of economy-wide holdings of net foreign assets
to nominal output according to:
|
(15) |
If the home economy has an overall net lender position, a household will earn a lower return on any holdings of foreign bonds. By contrast, if the economy has a net debtor position, a household will pay a higher return on any foreign debt.
Households earn labor income,
,
lease capital to firms at the rental rate
,
and receive an aliquot share
of the profits of
all firms. Furthermore, they pay a lump-sum tax
. We follow [Christiano et al. 2005] in assuming
that households bear a cost of changing the level of gross
investment from the previous period, so that the acceleration in
the capital stock is penalized:
|
(16) |
Households maximizes the utility functional (29) with respect to
consumption, investment, (end-of-period) capital stock, money
balances, and holdings of foreign bonds, subject to the labor
demand function (11), budget constraint (13), and transition equation for
capital (14). They also set nominal wages
in staggered contracts that are analogous to the price contracts
described above. In particular, each member of a household is
allowed to re-optimize its wage contract with probability
.
Monetary policy follows an interest rate reaction function as
suggested by [Taylor 1993]. However, when policy rates reach zero,
we assume that no further actions are taken by the central bank.
The notional rate that is dictated by the interest rate reaction
function is denoted by
, whereas the actual policy rate
that is implemented is denoted by
. The two
differ only if the notional rate turns negative:
|
(17) |
and the actual (short-term) policy interest rate satisfies
| (18) |
The terms
and
are
the steady-state values for the nominal interest rate and
inflation, respectively. The inflation rate
is expressed as the logarithmic percentage change of the domestic
price level,
. The term
denotes the output gap, given by
the log difference between actual and potential output, where the
latter is the level of output that would prevail in the absence of
nominal rigidities. Notice that the coefficient
is divided by four as the rule is
expressed in terms of quarterly inflation and interest rates. The
parameter
allows for interest rate
smoothing. 9
Government purchases are a constant fraction of output
and they fall exclusively on the
domestically-produced good. These purchases make no direct
contribution to household utility. To finance its purchases, the
government imposes a lump-sum tax on households that is adjusted so
that the government's budget is balanced every period.
The home economy's aggregate resource constraint satisfies:
| (19) |
The composite domestically-produced good
,
net of investment adjustment costs
, is
used to produce final consumption and investment goods (
), or directly to
satisfy government demand. Moreover, since each individual
intermediate goods producer can sell its output either at home or
abroad, there are also a continuum of resource constraints that
apply at the firm level.
The model is calibrated at a quarterly frequency. The values of
key parameters are presented in Table 1 and reflect fairly standard calibration
choices for the U.S. economy. We choose
to be consistent with an
import share of output of 15%. The domestic and foreign population
levels, respectively
and
, are set so that the home country constitutes 25
percent of world output. Balanced trade in steady state implies an
import (or export) share of output of the foreign country of 5
percent. Because the foreign country is assumed to be identical to
the home country except in its size,
. We set
, so that the price elasticity of
import demand is 1.1.
Nominal rigidities in prices and wages have an average duration
of four quarters, determined by the parameters
and
. Export price rigidities have
a shorter duration of 2 quarters, as implied by the parameter
. As noted above, monetary
policy follows the Taylor rule, aside from allowing for interest
rate smoothing and taking account of the zero lower bound
constraint. Thus, the parameter
on the inflation gap is 0.5 and
the parameter
on the output gap is also 0.5; we
set the smoothing parameter
to 0.7. The steady state real
interest rate is set to 2% per year (
). Given steady state inflation
equal to zero, the implied steady
state nominal interest rate is two percent. The values of remaining
parameters are also fairly standard in the literature, and are
summarized in Table 1.
All equilibrium conditions except the non-linear policy rule are linearized around the model's non-stochastic steady state. We solve the model using a shooting algorithm first proposed by [Laffargue 1990] and extended by [Boucekkine 1995] and [Juillard 1996], which in turn builds on the algorithm by [Fair and Taylor 1983]. This algorithm stacks all equations through time, which is equivalent to collapsing the Type I and II iterations in the Fair-Taylor shooting algorithm into one step. The size of the first-derivative used to implement a Newton-type recursion is kept manageable by exploiting the sparsity of the stacked system. The end point of the shooting algorithm imposes that the economy will eventually exit from the liquidity trap. 10
The solution from our algorithm is numerically equivalent to that obtained following the method described by [Eggertsson and Woodford 2003] and [Jung et al. 2005]. The solution proposed by these authors recognizes that the model is piecewise-linear. All model equations are linear when the zero bound constraint binds, and they are also linear, albeit modified, when the zero bound constraint does not bind. However, the time period for which the economy is at the zero bound is a non-linear function of the exogenous disturbances.11
Relative to [Eggertsson and Woodford 2003] and [Jung et al. 2005], our method deals easily with shocks whose effects build up over time and only eventually lead to zero short-term interest rates. Moreover, our algorithm extends naturally to deal with the case when both countries are constrained by the zero lower bound on nominal interest rates.
Our principal goal is to compare the impact of foreign shocks on the home country when it faces a liquidity trap with the effects that occur when policy rates can be freely adjusted. In the former case, the impact of a foreign shock depends on the economic conditions that precipitated the liquidity trap. Intuitively, the effects of an adverse foreign shock against the backdrop of a recession-induced liquidity trap in the home country should depend on the expected severity of the recession, and the perceived duration of the liquidity trap. In a shallow recession in which interest rates are only constrained for a short period, the effects of the foreign shock would not differ substantially from the usual case in which rates could be cut immediately.12 By contrast, the effects of the foreign shock on the home country might be amplified substantially if it occurred against the backdrop of a steep recession in which policy rates were expected to be constrained from falling for a protracted period.
We use the term "initial baseline path" to describe the evolution of the economy that would prevail in the absence of the foreign shock. Given agents' full knowledge of the model, the initial baseline path depends on the underlying shocks that push the economy into a liquidity trap, including their magnitude and persistence, as these features play an important role in determining agents' perceptions about the duration of the liquidity trap.
Our analysis focuses on the effects of foreign shocks against
the backdrop of an initial baseline path that is intended to
capture a severe recession in the home country. This "severe
recession" baseline is depicted in Figure 1 by the solid lines. It is generated by a
preference shock
that follows an
autoregressive process with persistence parameter equal to 0.75.
The shock reduces the home country's marginal utility of
consumption. As the shock occurs exclusively in the home country,
the foreign economy has latitude to offset much of the
contractionary impact of the shock by reducing its policy
rate.13
As shown in Figure 1 policy rates immediately fall to 0 (2 percentage points below their steady state value at annualized rates) and remain frozen at this level for ten quarters.14 Given that the shock drives inflation persistently below its steady state value and that nominal interest rates are constrained from falling by the zero bound, real rates increase substantially in the near term. This increase in real interest rates accounts in part for the substantial output decline, which peaks in magnitude at about 9 percent below its steady state value. Real interest rates decline in the longer term, helping the economy recover.15 This longer term decline also causes the home currency to depreciate in real terms, and the ensuing expansion of real net exports mitigates the effects of the shock on domestic output. However, the improvement in real net exports is delayed due to the zero bound constraint, since higher real interest rates limit the size of the depreciation of the home currency in the near-term.
For purposes of comparison, the figure also shows the effects of the same shocks in the case in which the home country's policy rates can be adjusted, i.e., ignoring the zero bound constraint. In this linear simulation, the home nominal interest rate falls more sharply, turns negative, and induces a decline in real interest rates in the short term. Hence, the fall in home output is smaller than in the benchmark framework in which the zero bound constraint is binding. The home output contraction is also mitigated by a more substantial improvement in real net exports. Given that real interest rates fall very quickly, the real depreciation is considerably larger and more front-loaded, contributing to a more rapid improvement in real net exports.
We turn to assessing the impact of a negative foreign
consumption preference shock
when the home country faces a
liquidity trap. The foreign shock is scaled to induce a 1 percent
reduction in foreign output relative to the initial baseline when
it occurs against the backdrop of the severe recession scenario in
Figure 1. The size of the foreign
shock is small enough that the duration of the liquidity trap in
the home country remains at ten quarters.
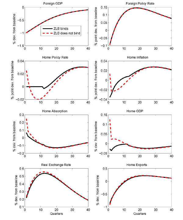
Figure 2 shows the effects of the foreign shock abroad, while Figure 3 reports the effects on the home country. The solid lines show the responses when the zero bound constraint is imposed on home policy rates, while the dashed lines report the responses to the same shock when the zero lower bound is ignored. To be specific, the responses in Figures 2 and 3 are derived from a simulation that adds both the adverse domestic taste shock from Figure 1 and the foreign taste shock, and then subtracts the impulse response functions associated with the domestic taste shock alone.16 Thus, all variables are measured as deviations from the baseline path shown in Figure 1.
As shown in Figure 2 the preference shock leads to a contraction in foreign output. Foreign policy rates are cut. As real rates also drop, investment is stimulated. Lower real rates contribute to a real exchange rate depreciation that boosts foreign exports. Perhaps surprisingly, whether the home country is at the zero lower bound or not has minimal implications for the foreign responses. This reflects that there are offsetting effects on the exports of the foreign country that arise from the responses of home activity and relative prices, as more fully discussed below.
By contrast, the effects of the foreign demand shock on the home country, shown in Figure 3, are strikingly different whether the zero lower bound is imposed or not. Although the foreign shock has nearly the same effect on foreign output across the two cases, the effects on home output are more than twice as large when the zero bound constraint is imposed.17 In either case home real net exports contract because foreign absorption falls and the home real exchange rate appreciates. However, in a liquidity trap, the decline in home export demand causes a fall in the marginal cost of production and inflation that is not accompanied by lower policy rates. The zero bound constraint keeps nominal rates from declining for ten quarters. Real rates rise sharply in the short run, even though they fall at longer horizons. Consequently, domestic absorption does not expand as much as when policy rates can be cut immediately. If the initial recession were more pronounced, private absorption could even fall, as shown below. With net exports falling and with domestic absorption not filling the gap, output falls by nearly as much in the home country as abroad.18
The analysis so far has been based on one particular choice of the size of the underlying baseline shock and the size of the additional foreign shock. Sensitivity to these values and to alternative monetary policy rules is examined below.
Alternative Initial Baseline Paths
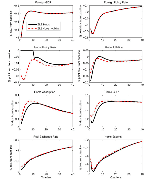
In Figure 4, we change the
assumptions concerning the initial domestic recession by increasing
its persistence. The underlying initial domestic preference shock
is now assumed to follow an
autoregressive process of order one with persistence parameter
equal to 0.9 instead of 0.75. With this prolonged recession, the
liquidity trap is initially expected to last 16 quarters, instead
of the 10 quarters considered previously. The figure compares the
effects of the same additional foreign consumption shock with the
liquidity trap lasting 10 quarters and with the trap lasting 16
quarters. When the duration of the liquidity trap is extended, the
rise in short-term real interest rate at home is so large as to
generate a initial drop in absorption, thus widening the fall in
home output. The analysis that follows traces more systematically
how the duration of the liquidity trap affects the spillover of
foreign shocks.
In Figure 5, we consider
the impact of the same foreign consumption shock
under different initial
baseline paths and policy rules. For each baseline path, we choose
the size of the domestic shock to ensure that the zero lower bound
will bind for the number of quarters in the figure's abscissae. We
calculate the spillover effects of the foreign shock
as the ratio of the shock's
effects on home GDP (expressed in deviation from the baseline path)
to the effects on foreign GDP (also expressed in deviation from the
baseline path). The figure's ordinates show an average of these
spillover effects for the first four quarters.
Focusing first on the results for the benchmark Taylor rule, the same rule used for Figures 1 to 3, the spillover effects become larger as the number of periods spent at the zero lower bound increases. Intuitively, the longer the policy rates are constrained from adjusting, the higher is the increase in the home real interest rates stemming from the contractionary foreign demand shock. As real interest rates rise more, they progressively hinder domestic absorption from cushioning the contraction in home GDP that is caused by the fall in net exports. When policy rates in the home economy are expected to be constrained for longer than two years, the spillover effects from a small foreign consumption shock more than double relative to the unconstrained case.
The figure also shows the same measure of spillover effects
under alternative interest rate rules. Both rules leave the basic
form of reaction function described in Equation (17) unchanged. However, the rule that is labeled
"more aggressive on inflation" doubles the elasticity with
respect to inflation
from 1.5 to 3, while the rule
that is labeled "more aggressive on output gap" uses an
elasticity with respect to the output gap
equal to 4 instead of 0.5. When
the baseline conditions lead to a higher number of periods spent at
the zero lower bound, both alternative rules imply a substantial
increase in the spillover effects of the foreign consumption shock,
confirming that our results do not hinge on the specific weights in
the policy rule.
Alternative Foreign Consumption Shocks
The spillover effects shown in Figure 5 abstract from non-linear dynamics that are associated with changes in the number of periods for which the zero lower bound is expected to bind. As long as the foreign consumption shock does not affect the duration of the liquidity trap, the effects of the shock are linear in the size of its innovation. However, there is a size of the innovation above which the duration of the liquidity trap is extended, thus decoupling the marginal and average effects of shocks. Furthermore, the duration of the liquidity trap is a nonlinear function of the size of the innovations.19
These properties are illustrated in Figure 6 using the same baseline path as in Figure 1. Figure 6shows the effects of progressively larger foreign shocks on the duration of the liquidity trap (upper panel), as well as the spillover effect to the home country. The magnitude of the foreign shock is measured by the change in foreign GDP relative to the baseline path (on average over the first four quarters).
We first consider the case of the benchmark Taylor rule (the solid lines). If the foreign shock is sufficiently small, the number of periods at the zero lower bound does not change relative to the initial baseline and remains at 10 quarters, as reported in the upper panel. Then, the spillover effect shown in the lower panel of Figure 6 is roughly 3/4, the same magnitude as in Figure 5 when the trap lasts 10 quarters. The spillover effects are linear in the size of the shock and remain 3/4 as long as the additional shock does not vary the duration of the liquidity trap. Hence, within that range, the marginal and average effects of the foreign shock coincide.
Once the magnitude of the foreign shocks is sufficiently large, the shocks can affect the duration of the liquidity trap, as shown in the top panel. As negative foreign shocks prolong the time spent at the zero lower bound, the spillover effects become larger. Conversely, larger and larger expansionary shocks abroad can shorten the time for which the zero lower bound constraint binds at home, and thus reduce the spillover effects. However, even shocks that are sufficiently large to push the economy out of the liquidity trap cause spillovers that are elevated relative to the case when the zero bound does not bind initially (the latter case is shown in the bottom right panel).20 The reason is that the average effect of the shock differs from the shock's marginal effect. The latter falls below the former and the two will only coincide again asymptotically.
We now turn to comparing the effects of the foreign shocks under alternative monetary policy rules. For the given initial baseline shock, the rules that are more aggressive on inflation or the output gap tend to increase the duration of the liquidity trap although they dampen the contraction of the economy. Intuitively, more aggressive rules call for a more sustained fall in the interest rate in reaction to a deflationary shock, and may extend the number of periods spent at the zero lower bound. For the specific rules chosen, the benchmark Taylor rule delivers larger marginal spillover effects when the foreign shock is too small to affect the number of periods spent at the zero lower bound, as shown in the bottom panel.
The top panel of Figure 6 also shows that different rules imply different threshold sizes for shocks to influence the duration of the liquidity trap. The rule that is more aggressive on inflation requires larger foreign expansionary shocks to reduce the home economy's time spent at the zero lower bound.
The value of the import price elasticity of demand is an important determinant of the duration of a liquidity trap and the spillover effects of country-specific shocks. When the zero bound is not binding, increasing the trade price elasticity of demand magnifies the decline of home real net exports caused by a foreign demand contraction. The spillover effects on home output are partly offset by a more vigorous reaction of domestic monetary policy. However, in a liquidity trap, monetary policy is unable to compensate in such a manner, and the larger effects on real net exports translate into greater effects on home output.
Figure 7 shows how the spillover effects of a foreign consumption shock are affected by a higher elasticity, equal to 1.5 versus 1.1 in our original calibration, or a lower elasticity, equal to 0.75. Away from the zero lower bound, the linearization of the model ensures that spillover effects are unrelated to the size of shocks. The figure's bottom right panel, shows that when the policy rule is unconstrained, a higher elasticity increases the spillover effects. The higher elasticity reduces the responsiveness of exchange rates to country-specific shocks. However, the increased sensitivity to movements in relative import prices more than offsets the decreased volatility of exchange rates. Accordingly, with the higher elasticity, home country net exports drop by more in response to a contractionary foreign consumption shock, leading to a larger fall in home GDP.
The figure's bottom left and top panels consider instead how the spillover effects are influenced by the size of the foreign shock against the backdrop of the same domestic recession considered above. The top panel of Figure 7 shows that the higher the trade elasticity the smaller is the size of foreign shocks that can lift the home economy out of the liquidity trap. The lower panel confirms that the zero lower bound constraint magnifies the spillover effects regardless of the elasticity chosen. However, the higher the trade price elasticity of demand, the more pronounced is the magnification.
Near unit-root technology shocks are the typical source of fluctuations in open economy models. However, the spillover effects of country-specific technology shocks are quite small and remain so even in a liquidity trap. The basic reason is that lower foreign activity retards the demand for home exports, but this effect is counterbalanced by a depreciation of the home real exchange rate, which boosts home exports. Under our benchmark calibration, the exchange rate channel initially dominates, implying a rise in home real net exports, and a small and short-lived expansion in home GDP; the effects when the home country is constrained by the zero lower bound aren't noticeably different.
It is possible for a negative foreign technology shock to induce
a contraction of home GDP if domestic and foreign absorption
respond more quickly to the foreign shock. This is illustrated in
Figure 8, which shows the effects
of a foreign technology shock
under a
model calibration which eliminates consumption habits and
investment adjustment costs.21 In the absence of these real
rigidities, foreign absorption falls more quickly, inducing home
real exports to contract rapidly. If interest rates can't fall
immediately to counteract the export contraction - as in the
liquidity trap case - then home output declines; nevertheless, the
fall in home GDP is only a tiny fraction of that abroad.
We showed that when one country is in a liquidity trap, the spillover effects of foreign shocks are greatly amplified. We next consider whether or not these spillover effects reverberate back and forth when both countries are mired a liquidity trap, further exacerbating the domestic spillovers of a foreign shock.
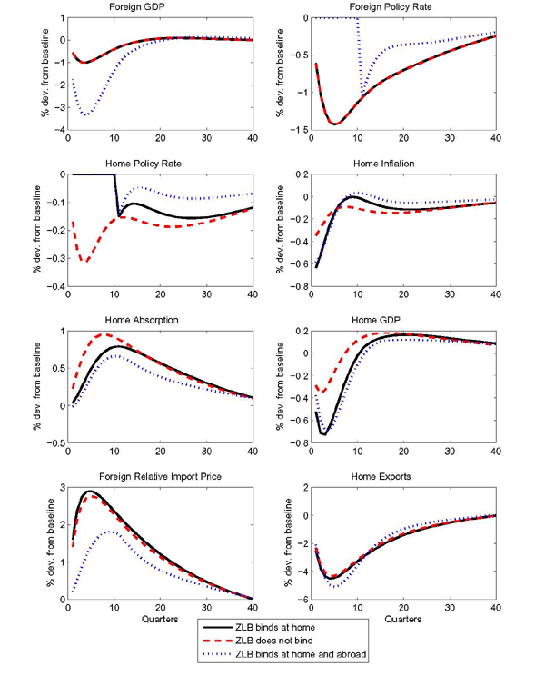
Figure 9 illustrates the effects of a foreign consumption preference shock under three distinct initial baseline paths: both countries are at the zero bound for 10 quarters (the dotted line), only the home country is at the zero bound for 10 quarters (the solid line), and no country is at the zero bound (the dashed line). In each case, the baseline paths were constructed using different domestic consumption shocks.
The size of the foreign consumption shock is unchanged across the three scenarios and is set to induce a 1% decline of foreign GDP if neither country is at the zero bound. Unsurprisingly, the effects of the foreign consumption shock on foreign GDP are greatly amplified if the foreign country is constrained by the zero bound. The maximum decline of foreign GDP is about 3.5% relative to baseline if the zero bound binds (dotted line) but only 1 if the policy rate is unconstrained.
However, the the spillover effects on the home country of the foreign shock are little changed irrespective of whether the foreign economy is in a liquidity trap, so the dotted and solid lines almost overlap. Although an adverse foreign demand shock causes foreign absorption to fall more when the foreign economy is in a liquidity trap, it also reduces the appreciation of the home real exchange rate since foreign long-term real interest rates fall by less. As the relative price movement offsets the movement in foreign activity, home exports and GDP are little varied.
The apparent irrelevance of the foreign zero lower bound for the spillover effects on the home country is predicated on the particular calibration of the trade price elasticity. With a lower trade elasticity, the activity channel dominates the relative price channel. With real net exports responding more vigorously, spillover effects on home GDP are larger when the foreign economy is at the zero lower bound, as illustrated in Figure 10. Each line in the figure is constructed by subtracting the impulse responses to a foreign consumption shock in the case when both countries are at the zero bound from those which obtain when only the home country is at the zero bound. This difference captures the reverberation effects on the home country that are associated with the liquidity trap in the foreign country.22
Figure 10 considers two cases: the benchmark elasticity equal to 1.1 (the solid lines), and a case in which the elasticity is equal to 0.5. When the foreign economy is also at the zero lower bound, lower foreign activity causes a bigger contraction in home exports, which exacerbates the contraction in home GDP relative to the case when only the home economy is at the zero lower bound.23
When monetary policy is unconstrained, it can cushion the impact of foreign disturbances. By contrast, in a liquidity trap, monetary policy cannot crowd in domestic demand as effectively, and the spillover effects of foreign shocks can be magnified greatly. The amplification of idiosyncratic foreign shocks depends both on the duration of the liquidity trap and the size of the foreign shock, as well as on key structural features such as the trade price elasticity.
Our model results allay fears that a global liquidity trap is likely to worsen the spillover effects of a given-size country-specific shock, relative to the case in which the trap is limited to one region. Although demand shocks abroad cause foreign activity to fall more sharply when the foreign economy is also in a liquidity trap, the home real exchange rate appreciates less, so that home exports are roughly unaffected. Hence, the spillover effects on the home GDP are very similar to those when only the home country is in a liquidity trap.
Our analysis suggests that the benefits of policy coordination across countries are enhanced in a liquidity trap. In fact, although coordinated policy actions by major central banks are rare when policy rates are unconstrained, coordination has become frequent since 2008, when many economies became constrained by the zero lower bound. In future research, it will be useful to quantify the benefits from such coordination.
Adam, K. and R. M. Billi (2006). Optimal Monetary Policy under Commitment with a Zero Bound on Nominal Interest Rates. Journal of Money, Credit, and Banking 7, 1877-1905.
Adam, K. and R. M. Billi (2007). Discretionary Monetary Policy and the Zero Lower Bound on Nominal Interest Rates. Journal of Monetary Economics 3, 728-752.
Adolfson, M., S. Laséen, J. Lindé, and M. Villani (2007). Bayesian estimation of an open economy DSGE model with incomplete pass-through. Journal of International Economics 72, 482-511.
Anderson, G. (1999). Analyses in Macroeconomic Modelling, Chapter 9: Accelerating Non Linear Perfect Foresight Model Solution by Exploiting the Steady State Linearization, pp. 57-85. Springer.
Backus, D. K., P. J. Kehoe, and F. E. Kydland (1992). International Real Business Cycles. Journal of Political Economy 100, 745-775.
Baxter, M. and M. Crucini (1995). Business Cycles and the Asset Structure of Foreign Trade. International Economic Review 36(4), 821-854.
Bodenstein, M. (2009). Closing Large Open Economy Models. International Finance Discussion Paper 867.
Boucekkine, R. (1995). An Alternative Methodology for Solving Nonlinear Forward-Looking Models. Journal of Economic Dynamics and Control 19, 711-734.
Calvo, G. A. (1983). Staggered Prices in a Utility-Maximizing Framework. Journal of Monetary Economics 12, 383-398.
Christiano, L. (2004). The Zero-Bound, Zero-Inflation Targetting, and Output Collapse.
Christiano, L., M. Eichenbaum, and S. Rebelo (2009). When is the Government Spending Multiplier Large?
Christiano, L. J., M. Eichenbaum, and C. L. Evans (2005). Nominal Rigidities and the Dynamic Effects of a Shock to Monetary Policy. Journal of Political Economy 113(1), 1-45.
Coenen, G. and V. Wieland (2003). The zero-interest-rate bound and the role of the exchange rate for monetary policy in Japan. Journal of Monetary Economics 50(5), 1071-1101.
Cole, H. and M. Obstfeld (1991). Commodity Trade and International Risk Sharing: How Much Do Financial Markets Matter? Journal of Monetary Economics 28, 3-24.
Doyle, B. and J. Faust (2005, November). Breaks in the Variability and Co-Movement of G-7 Economic Growth. Review of Economics and Statistics 87(4), 721-740.
Eggertsson, G. (2006). Was the New Deal Contractionary? Federal Reserve Bank of New York, Staff Report 264.
Eggertsson, G. B. and M. Woodford (2003). The Zero Bound on Interest Rates and Optimal Monetary Policy. Brookings Papers on Economic Activity (1), 139-233.
Erceg, C. J., L. Guerrieri, and C. Gust (2006). SIGMA: A New Open Economy Model for Policy Analysis. International Journal of Central Banking, 1-50.
Erceg, C. J., L. Guerrieri, and C. Gust (2008). Trade Adjustment and the Composition of Trade. Journal of Economic Dynamics and Control, 2622-2650.
Fair, R. and J. B. Taylor (1983). Solution and Maximum Likelihood Estimation of Dynamic Nonlinear Rational Expectations Models. Economectrica 51, 1169-1185.
Hebden, J., J. Lindé, and L. Svensson (2009). Monetay policy projections under the zero lower bound. Working Paper, Federal Reserve Board.
Jeanne, O. and L. E. Svensson (2007). Credible Commitment to Optimal Escape from a Liquidity Trap: The Role of the Balance Sheet of an Independent Central Bank. American Economic Review 97, 474-490.
Juillard, M. (1996). DYNARE: A Program for the Resolution and Simulation of Dynamic Models with Forward Variables Through the Use of a Relaxation Algorithm. CEPREMAP Working Paper No. 9602.
Jung, T., Y. Teranishi, and T. Watanabe (2005). Zero Bound on Nominal Interest Rates and Optimal Monetary Policy. Journal of Money, Credit, and Banking 37, 813-836.
Kose, M., C. Otrok, and C. Whiteman (2003). International Business Cycles: World, Region, and Country-Specific Factors. American Economic Review 93, 1216-1239.
Laffargue, J. P. (1990). Résolution d'un modèle macroéconomique avec anticipations rationnelles. Annales d'Economie et Statistique 17, 97-119.
Lubik, T. A. and F. Schorfheide (2005). A Bayesian Look at New Open Economy Macroeconomics. In M. Gertler (Ed.), NBER Macroeconomics Annual. NBER.
McCallum, B. (2000). Theoretical Analysis Regarding a Zero Lower Bound on Nominal Interest Rates. Journal of Money, Credit, and Banking 32, 870-904.
Orphanides, A. and V. Wieland (2000). Efficient monetary policy design near price stability. Journal of the Japanese and International Economies 14, 327-365.
Reifschneider, D. and J. C. Williams (2000). Three Lessons for Monetary Policy in Low Inflation Era. Journal of Money, Credit, and Banking 32(4), 936-966.
Schmitt-Grohe, S. and M. Uribe (2003). Closing Small Open Economy Models. Journal of International Economics 61(3), 163-185.
Smets, F. and R. Wouters (2003). An Estimated Dynamic Stochastic General Equilibrium Model of the Euro Area. Journal of the European Economic Association 1, 1124-1175.
Stock, J. and M. Watson (2005). Understanding Changes in International Business Cycle Dynamics. Journal of the European Economic Association 3, 968-1006.
Stockman, A. C. and L. L. Tesar (1995). Tastes and Technology in a Two-Country Model of the Business Cycle: Explaining International Comovements. American Economic Review 85(1), 168-185.
Svensson, L. E. (2004). The Magic of the Exchange Rate: Optimal Escape from a Liquidity Trap in Small and Large Open Economies.
Taylor, J. B. (1993). Discretion versus Policy Rules in Practice. Carnegie-Rochester Conference Series on Public Policy 39, 195-214.
Turnovsky, S. J. (1985). Domestic and Foreign Disturbances in an Optimizing Model of Exchange-Rate Determination. Journal of International Money and Finance 4(1), 151-71.
Table 1. Calibration*
| Parameter | Determines: |
|---|---|
| | s.s. real interest rate = 2% per year |
| leisure's share of time = 1/2 | |
| intertemporal substitution elast. 1/2 | |
| capital-labor substitution elast. = 1/2 | |
| | import share of output = 15% |
| population size | |
| | consumption habits |
| | wage markup = 10% |
| | price contract
expected duration = 4 quarters |
| | export price contract
expected duration = 2 quarters |
| | monetary policy's
weight on lagged interest rate |
| | monetary policy's
weight on output gap |
| | depreciation rate = 10% per year |
| labor supply elasticity = 1/5 | |
| | interest elasticity of foreign assets |
| | long-run import price elasticity = 1.1 |
| | foreign import share of output = 5% |
| | foreign population size |
| | investment adjustment costs |
| | domestic/export price markup = 10% |
| | wage contract expected
duration = 4 quarters |
| | capital tax rate |
| | monetary policy's
weight on inflation |
Parameter values for the foreign country are chosen
identical to their home country counterparts except for the
population size
and the import share
.
Figure 1. Severe Domestic Recession Scenario (Initial Baseline Path)

Data for Figure 1 (Solid Line)
| Period | Home Absorption | Home Policy Rate | Home Inflation | Home Real Interest Rate | Home GDP | Real Exchange Rate |
|---|---|---|---|---|---|---|
| 1 | -7.2502 | 0 | -5.6052 | 6.4589 | -5.5356 | 3.2986 |
| 2 | -10.7453 | 0 | -4.4488 | 4.9016 | -8.0483 | 4.389 |
| 3 | -11.8235 | 0 | -2.8916 | 3.3756 | -8.6796 | 5.1375 |
| 4 | -11.443 | 0 | -1.3655 | 2.0863 | -8.2177 | 5.5329 |
| 5 | -10.269 | 0 | -0.0762 | 1.1033 | -7.1935 | 5.6186 |
| 6 | -8.7465 | 0 | 0.9067 | 0.4204 | -5.9519 | 5.4587 |
| 7 | -7.1589 | 0 | 1.5897 | -0.0068 | -4.706 | 5.1198 |
| 8 | -5.674 | 0 | 2.0168 | -0.2366 | -3.5765 | 4.662 |
| 9 | -4.379 | 0 | 2.2467 | -0.328 | -2.6216 | 4.1336 |
| 10 | -3.307 | 0 | 2.338 | -0.3328 | -1.8577 | 3.5706 |
| 11 | -2.4553 | 0.2001 | 2.3428 | -0.0922 | -1.2741 | 2.9968 |
| 12 | -1.796 | 0.6586 | 2.3023 | 0.4243 | -0.8384 | 2.4764 |
| 13 | -1.2893 | 0.9846 | 2.2443 | 0.8109 | -0.5104 | 2.0807 |
| 14 | -0.9027 | 1.2093 | 2.1837 | 1.0913 | -0.2635 | 1.7797 |
| 15 | -0.6099 | 1.3597 | 2.128 | 1.2894 | -0.0788 | 1.5485 |
| 16 | -0.3904 | 1.4579 | 2.0804 | 1.4262 | 0.0575 | 1.3679 |
| 17 | -0.2276 | 1.5203 | 2.0418 | 1.5185 | 0.1555 | 1.2232 |
| 18 | -0.1088 | 1.5594 | 2.0119 | 1.5795 | 0.2235 | 1.1035 |
| 19 | -0.0237 | 1.5839 | 1.99 | 1.619 | 0.2679 | 1.0012 |
| 20 | 0.0356 | 1.5996 | 1.9749 | 1.6443 | 0.2937 | 0.9106 |
| 21 | 0.0754 | 1.6108 | 1.9654 | 1.6603 | 0.3052 | 0.828 |
| 22 | 0.1006 | 1.62 | 1.9606 | 1.6706 | 0.3057 | 0.7506 |
| 23 | 0.1151 | 1.6287 | 1.9594 | 1.6777 | 0.298 | 0.6768 |
| 24 | 0.1219 | 1.638 | 1.961 | 1.6833 | 0.2843 | 0.6056 |
| 25 | 0.1233 | 1.6483 | 1.9648 | 1.6883 | 0.2665 | 0.5363 |
| 26 | 0.1212 | 1.6597 | 1.97 | 1.6934 | 0.246 | 0.4686 |
| 27 | 0.1169 | 1.6722 | 1.9763 | 1.6991 | 0.2239 | 0.4023 |
| 28 | 0.1113 | 1.6858 | 1.9832 | 1.7054 | 0.2012 | 0.3375 |
| 29 | 0.1054 | 1.7001 | 1.9904 | 1.7125 | 0.1784 | 0.2743 |
| 30 | 0.0996 | 1.7151 | 1.9976 | 1.7204 | 0.1562 | 0.2128 |
| 31 | 0.0943 | 1.7304 | 2.0047 | 1.729 | 0.1349 | 0.1531 |
| 32 | 0.0897 | 1.7459 | 2.0115 | 1.7381 | 0.1147 | 0.0954 |
| 33 | 0.0861 | 1.7614 | 2.0178 | 1.7478 | 0.0958 | 0.0397 |
| 34 | 0.0834 | 1.7768 | 2.0237 | 1.7578 | 0.0784 | -0.0138 |
| 35 | 0.0817 | 1.7919 | 2.029 | 1.7681 | 0.0624 | -0.065 |
| 36 | 0.0809 | 1.8065 | 2.0338 | 1.7786 | 0.048 | -0.1139 |
| 37 | 0.0811 | 1.8207 | 2.0379 | 1.7892 | 0.0349 | -0.1604 |
| 38 | 0.0821 | 1.8342 | 2.0415 | 1.7997 | 0.0233 | -0.2046 |
| 39 | 0.0839 | 1.8472 | 2.0445 | 1.8102 | 0.013 | -0.2464 |
| 40 | 0.0863 | 1.8594 | 2.047 | 1.8205 | 0.0039 | -0.2858 |
Data for Figure 1 (Dashed Line)
| Period | Home Absorption | Home Policy Rate | Home Inflation | Home Real Interest Rate | Home GDP | Real Exchange Rate |
|---|---|---|---|---|---|---|
| 1 | -5.6136 | -0.9108 | -3.2884 | 3.6714 | -3.5767 | 8.904 |
| 2 | -8.1161 | -2.6112 | -2.5721 | 1.0293 | -5.0738 | 9.3014 |
| 3 | -8.7465 | -3.3706 | -1.6304 | -0.6341 | -5.3457 | 9.0921 |
| 4 | -8.3311 | -3.4625 | -0.7264 | -1.4808 | -4.9575 | 8.4956 |
| 5 | -7.3996 | -3.1359 | 0.0284 | -1.7322 | -4.2637 | 7.6962 |
| 6 | -6.2762 | -2.5892 | 0.6063 | -1.5998 | -3.4751 | 6.8289 |
| 7 | -5.1476 | -1.9635 | 1.0206 | -1.2544 | -2.7084 | 5.9822 |
| 8 | -4.1123 | -1.3484 | 1.301 | -0.8188 | -2.0213 | 5.2066 |
| 9 | -3.2135 | -0.7942 | 1.4805 | -0.3728 | -1.4363 | 4.5255 |
| 10 | -2.4627 | -0.3227 | 1.5887 | 0.0377 | -0.9564 | 3.9442 |
| 11 | -1.8533 | 0.0622 | 1.6497 | 0.3907 | -0.5744 | 3.457 |
| 12 | -1.3702 | 0.3667 | 1.6815 | 0.6797 | -0.2784 | 3.0527 |
| 13 | -0.9951 | 0.6022 | 1.697 | 0.9074 | -0.0555 | 2.718 |
| 14 | -0.7096 | 0.7817 | 1.7048 | 1.0813 | 0.107 | 2.4397 |
| 15 | -0.4966 | 0.9174 | 1.7104 | 1.2105 | 0.2206 | 2.2056 |
| 16 | -0.3412 | 1.0203 | 1.7169 | 1.3045 | 0.295 | 2.0054 |
| 17 | -0.2307 | 1.0994 | 1.7259 | 1.3715 | 0.3388 | 1.8309 |
| 18 | -0.1545 | 1.1618 | 1.7379 | 1.4188 | 0.3589 | 1.6752 |
| 19 | -0.1043 | 1.2128 | 1.753 | 1.4521 | 0.3611 | 1.5334 |
| 20 | -0.0732 | 1.2565 | 1.7707 | 1.476 | 0.35 | 1.4018 |
| 21 | -0.0558 | 1.2955 | 1.7905 | 1.4938 | 0.3295 | 1.2778 |
| 22 | -0.0478 | 1.3318 | 1.8118 | 1.508 | 0.3025 | 1.1595 |
| 23 | -0.0462 | 1.3666 | 1.8339 | 1.5203 | 0.2715 | 1.0458 |
| 24 | -0.0484 | 1.4005 | 1.8564 | 1.5319 | 0.2383 | 0.9361 |
| 25 | -0.0525 | 1.4339 | 1.8786 | 1.5436 | 0.2044 | 0.8299 |
| 26 | -0.0574 | 1.467 | 1.9004 | 1.5558 | 0.1708 | 0.7271 |
| 27 | -0.0619 | 1.4997 | 1.9212 | 1.5688 | 0.1384 | 0.6277 |
| 28 | -0.0656 | 1.532 | 1.941 | 1.5826 | 0.1078 | 0.5317 |
| 29 | -0.0679 | 1.5637 | 1.9595 | 1.5972 | 0.0793 | 0.4393 |
| 30 | -0.0686 | 1.5947 | 1.9766 | 1.6125 | 0.0532 | 0.3506 |
| 31 | -0.0677 | 1.6247 | 1.9922 | 1.6284 | 0.0296 | 0.2657 |
| 32 | -0.0651 | 1.6537 | 2.0064 | 1.6448 | 0.0085 | 0.1847 |
| 33 | -0.061 | 1.6816 | 2.019 | 1.6614 | -0.01 | 0.1076 |
| 34 | -0.0554 | 1.7081 | 2.0302 | 1.6782 | -0.0262 | 0.0346 |
| 35 | -0.0485 | 1.7334 | 2.04 | 1.695 | -0.0401 | -0.0345 |
| 36 | -0.0404 | 1.7572 | 2.0484 | 1.7117 | -0.0518 | -0.0995 |
| 37 | -0.0313 | 1.7796 | 2.0555 | 1.7281 | -0.0615 | -0.1606 |
| 38 | -0.0215 | 1.8005 | 2.0615 | 1.7443 | -0.0695 | -0.2178 |
| 39 | -0.011 | 1.8201 | 2.0663 | 1.76 | -0.0758 | -0.2713 |
| 40 | -0.0001 | 1.8382 | 2.0701 | 1.7752 | -0.0806 | -0.3212 |
Figure 2. Effects of Foreign Consumption Shock Against Backdrop of Domestic Recession

Data for Figure 2 (Solid Line)
| Period | Foreign GDP | Foreign Policy Rate | Foreign Consumption | Foreign Inflation | Foreign Investment | Foreign Exports |
|---|---|---|---|---|---|---|
| 1 | -0.5465 | -0.6775 | -1.5778 | -1.3234 | 1.2081 | 2.0773 |
| 2 | -0.8459 | -1.082 | -2.6296 | -1.2377 | 2.3168 | 3.1869 |
| 3 | -0.9736 | -1.3104 | -3.2916 | -1.1148 | 3.2619 | 3.7433 |
| 4 | -0.9896 | -1.4162 | -3.6674 | -0.987 | 4.0122 | 3.9793 |
| 5 | -0.9384 | -1.4389 | -3.8352 | -0.871 | 4.5614 | 4.029 |
| 6 | -0.8507 | -1.4087 | -3.8538 | -0.7731 | 4.9202 | 3.9714 |
| 7 | -0.7465 | -1.3485 | -3.7672 | -0.6941 | 5.1091 | 3.8534 |
| 8 | -0.6386 | -1.2742 | -3.6082 | -0.6319 | 5.1538 | 3.7034 |
| 9 | -0.5343 | -1.1962 | -3.4012 | -0.5833 | 5.0805 | 3.5378 |
| 10 | -0.4377 | -1.1209 | -3.1645 | -0.545 | 4.9148 | 3.3671 |
| 11 | -0.3504 | -1.0512 | -2.9116 | -0.514 | 4.6793 | 3.1982 |
| 12 | -0.273 | -0.9885 | -2.6524 | -0.488 | 4.3938 | 3.0364 |
| 13 | -0.2058 | -0.9327 | -2.3942 | -0.4653 | 4.0749 | 2.878 |
| 14 | -0.1483 | -0.8833 | -2.1424 | -0.4446 | 3.7363 | 2.7229 |
| 15 | -0.0997 | -0.8394 | -1.9005 | -0.4251 | 3.3888 | 2.5717 |
| 16 | -0.0592 | -0.7999 | -1.6711 | -0.406 | 3.0408 | 2.425 |
| 17 | -0.0259 | -0.764 | -1.4558 | -0.3871 | 2.699 | 2.2832 |
| 18 | 0.001 | -0.7309 | -1.2555 | -0.3683 | 2.3681 | 2.1465 |
| 19 | 0.0223 | -0.6999 | -1.0706 | -0.3494 | 2.0518 | 2.0148 |
| 20 | 0.0386 | -0.6705 | -0.9011 | -0.3305 | 1.7525 | 1.8878 |
| 21 | 0.0508 | -0.6423 | -0.7467 | -0.3116 | 1.4718 | 1.7654 |
| 22 | 0.0593 | -0.6151 | -0.6068 | -0.2929 | 1.2107 | 1.6474 |
| 23 | 0.0648 | -0.5887 | -0.4808 | -0.2744 | 0.9697 | 1.5335 |
| 24 | 0.0677 | -0.563 | -0.368 | -0.2562 | 0.7487 | 1.4236 |
| 25 | 0.0685 | -0.5378 | -0.2674 | -0.2383 | 0.5475 | 1.3175 |
| 26 | 0.0676 | -0.5132 | -0.1782 | -0.221 | 0.3655 | 1.2151 |
| 27 | 0.0653 | -0.4892 | -0.0996 | -0.2041 | 0.202 | 1.1164 |
| 28 | 0.062 | -0.4657 | -0.0307 | -0.1878 | 0.0562 | 1.0214 |
| 29 | 0.058 | -0.4427 | 0.0293 | -0.1722 | -0.0729 | 0.9298 |
| 30 | 0.0533 | -0.4203 | 0.0812 | -0.1572 | -0.1863 | 0.8419 |
| 31 | 0.0484 | -0.3985 | 0.1258 | -0.1429 | -0.2851 | 0.7574 |
| 32 | 0.0432 | -0.3774 | 0.1637 | -0.1293 | -0.3702 | 0.6765 |
| 33 | 0.038 | -0.3569 | 0.1957 | -0.1164 | -0.4428 | 0.599 |
| 34 | 0.0329 | -0.337 | 0.2223 | -0.1043 | -0.5038 | 0.525 |
| 35 | 0.0279 | -0.3178 | 0.2442 | -0.0929 | -0.5542 | 0.4544 |
| 36 | 0.0231 | -0.2993 | 0.2618 | -0.0822 | -0.5951 | 0.3872 |
| 37 | 0.0186 | -0.2816 | 0.2756 | -0.0722 | -0.6273 | 0.3234 |
| 38 | 0.0144 | -0.2645 | 0.2862 | -0.0629 | -0.6517 | 0.2628 |
| 39 | 0.0106 | -0.2482 | 0.2938 | -0.0543 | -0.669 | 0.2054 |
| 40 | 0.007 | -0.2326 | 0.2989 | -0.0463 | -0.6802 | 0.1511 |
Data for Figure 2 (Dashed Line)
| Period | Foreign GDP | Foreign Policy Rate | Foreign Consumption | Foreign Inflation | Foreign Investment | Foreign Exports |
|---|---|---|---|---|---|---|
| 1 | -0.5561 | -0.6807 | -1.5764 | -1.3273 | 1.2143 | 1.9809 |
| 2 | -0.8539 | -1.086 | -2.6271 | -1.239 | 2.3273 | 3.1197 |
| 3 | -0.9769 | -1.3134 | -3.2883 | -1.1141 | 3.2742 | 3.7391 |
| 4 | -0.9888 | -1.4175 | -3.6637 | -0.9855 | 4.0245 | 4.0318 |
| 5 | -0.9349 | -1.4386 | -3.8315 | -0.8695 | 4.5729 | 4.1178 |
| 6 | -0.8458 | -1.4075 | -3.8501 | -0.7723 | 4.9307 | 4.0745 |
| 7 | -0.7414 | -1.3469 | -3.7636 | -0.6942 | 5.1191 | 3.9529 |
| 8 | -0.6338 | -1.2727 | -3.6046 | -0.6329 | 5.1638 | 3.7869 |
| 9 | -0.53 | -1.1954 | -3.3976 | -0.585 | 5.0914 | 3.5984 |
| 10 | -0.4339 | -1.1207 | -3.1608 | -0.5473 | 4.927 | 3.4017 |
| 11 | -0.3472 | -1.0519 | -2.9076 | -0.5167 | 4.6933 | 3.2055 |
| 12 | -0.2706 | -0.9899 | -2.6482 | -0.491 | 4.4098 | 3.0149 |
| 13 | -0.2039 | -0.9348 | -2.3898 | -0.4685 | 4.0928 | 2.8326 |
| 14 | -0.1466 | -0.886 | -2.1377 | -0.4478 | 3.7558 | 2.6595 |
| 15 | -0.098 | -0.8424 | -1.8957 | -0.4282 | 3.4095 | 2.4958 |
| 16 | -0.0574 | -0.8032 | -1.6661 | -0.4091 | 3.0623 | 2.3413 |
| 17 | -0.0239 | -0.7674 | -1.4507 | -0.3903 | 2.7207 | 2.1951 |
| 18 | 0.0031 | -0.7344 | -1.2504 | -0.3714 | 2.3897 | 2.0566 |
| 19 | 0.0245 | -0.7034 | -1.0655 | -0.3525 | 2.0728 | 1.925 |
| 20 | 0.041 | -0.6741 | -0.896 | -0.3337 | 1.7726 | 1.7997 |
| 21 | 0.0531 | -0.6459 | -0.7416 | -0.3149 | 1.4908 | 1.6799 |
| 22 | 0.0617 | -0.6188 | -0.6018 | -0.2961 | 1.2285 | 1.5653 |
| 23 | 0.0671 | -0.5924 | -0.4759 | -0.2776 | 0.986 | 1.4554 |
| 24 | 0.07 | -0.5667 | -0.3632 | -0.2594 | 0.7636 | 1.3499 |
| 25 | 0.0707 | -0.5415 | -0.2627 | -0.2416 | 0.5608 | 1.2484 |
| 26 | 0.0696 | -0.5169 | -0.1736 | -0.2241 | 0.3773 | 1.1508 |
| 27 | 0.0673 | -0.4929 | -0.0952 | -0.2072 | 0.2123 | 1.057 |
| 28 | 0.0638 | -0.4694 | -0.0264 | -0.1909 | 0.0649 | 0.9668 |
| 29 | 0.0596 | -0.4464 | 0.0334 | -0.1751 | -0.0657 | 0.8801 |
| 30 | 0.0549 | -0.4239 | 0.0852 | -0.16 | -0.1805 | 0.7969 |
| 31 | 0.0497 | -0.4021 | 0.1296 | -0.1456 | -0.2806 | 0.7171 |
| 32 | 0.0445 | -0.3809 | 0.1674 | -0.1319 | -0.367 | 0.6406 |
| 33 | 0.0391 | -0.3603 | 0.1992 | -0.1189 | -0.4408 | 0.5674 |
| 34 | 0.0338 | -0.3403 | 0.2256 | -0.1067 | -0.5029 | 0.4975 |
| 35 | 0.0287 | -0.321 | 0.2473 | -0.0951 | -0.5544 | 0.4308 |
| 36 | 0.0238 | -0.3025 | 0.2647 | -0.0843 | -0.5962 | 0.3672 |
| 37 | 0.0192 | -0.2846 | 0.2784 | -0.0742 | -0.6292 | 0.3068 |
| 38 | 0.0149 | -0.2674 | 0.2888 | -0.0648 | -0.6543 | 0.2494 |
| 39 | 0.0109 | -0.251 | 0.2962 | -0.056 | -0.6724 | 0.1949 |
| 40 | 0.0072 | -0.2352 | 0.3012 | -0.048 | -0.6841 | 0.1434 |
Figure 3. Effects of Foreign Consumption Shock Against Backdrop of Domestic Recession

Data for Figure 3 (Soild Line)
| Period | Home GDP | Home Policy Rate | Home Absorption | Home Inflation | Home Exports | Home Real Interest Rate | Real Exchange Rate | Home Trade Balance |
|---|---|---|---|---|---|---|---|---|
| 1 | -0.5185 | 0 | 0.0274 | -0.6346 | -2.4717 | 0.1305 | -3.525 | -0.4552 |
| 2 | -0.7081 | 0 | 0.1187 | -0.5219 | -3.703 | 0.0952 | -3.5346 | -0.5204 |
| 3 | -0.7226 | 0 | 0.2374 | -0.3809 | -4.2568 | 0.0629 | -3.4476 | -0.5478 |
| 4 | -0.6494 | 0 | 0.3599 | -0.2517 | -4.4314 | 0.0375 | -3.3039 | -0.5512 |
| 5 | -0.5382 | 0 | 0.4723 | -0.1498 | -4.3918 | 0.0195 | -3.1302 | -0.5397 |
| 6 | -0.4168 | 0 | 0.5676 | -0.078 | -4.232 | 0.0083 | -2.9443 | -0.5193 |
| 7 | -0.3004 | 0 | 0.6429 | -0.0332 | -4.0078 | 0.0026 | -2.7574 | -0.4941 |
| 8 | -0.1963 | 0 | 0.6985 | -0.0104 | -3.7528 | 0.001 | -2.5757 | -0.4664 |
| 9 | -0.1073 | 0 | 0.7357 | -0.0039 | -3.4873 | 0.0022 | -2.4022 | -0.438 |
| 10 | -0.0342 | 0 | 0.7568 | -0.0088 | -3.2243 | 0.0052 | -2.2373 | -0.4095 |
| 11 | 0.0233 | -0.1453 | 0.7638 | -0.0209 | -2.9728 | -0.0271 | -2.0804 | -0.3817 |
| 12 | 0.0626 | -0.1191 | 0.7559 | -0.0368 | -2.7417 | -0.0166 | -1.9669 | -0.358 |
| 13 | 0.0903 | -0.1053 | 0.7388 | -0.0528 | -2.5256 | -0.0096 | -1.8528 | -0.3345 |
| 14 | 0.1104 | -0.1003 | 0.7159 | -0.067 | -2.3231 | -0.0054 | -1.7406 | -0.3118 |
| 15 | 0.125 | -0.1011 | 0.6897 | -0.0789 | -2.1342 | -0.0032 | -1.6315 | -0.2901 |
| 16 | 0.1358 | -0.1054 | 0.6618 | -0.0884 | -1.9588 | -0.0024 | -1.5265 | -0.2696 |
| 17 | 0.1436 | -0.1115 | 0.6331 | -0.0958 | -1.7966 | -0.0026 | -1.4259 | -0.2504 |
| 18 | 0.149 | -0.1181 | 0.6042 | -0.1011 | -1.6467 | -0.0033 | -1.3297 | -0.2323 |
| 19 | 0.1526 | -0.1247 | 0.5753 | -0.1049 | -1.5085 | -0.0044 | -1.2379 | -0.2154 |
| 20 | 0.1545 | -0.1306 | 0.5468 | -0.1072 | -1.3808 | -0.0056 | -1.1501 | -0.1996 |
| 21 | 0.1552 | -0.1358 | 0.5186 | -0.1083 | -1.2628 | -0.0068 | -1.0662 | -0.1847 |
| 22 | 0.1547 | -0.1401 | 0.4908 | -0.1084 | -1.1534 | -0.0081 | -0.9859 | -0.1707 |
| 23 | 0.1534 | -0.1434 | 0.4636 | -0.1078 | -1.0518 | -0.0092 | -0.909 | -0.1575 |
| 24 | 0.1512 | -0.1458 | 0.4369 | -0.1064 | -0.9571 | -0.0103 | -0.8353 | -0.145 |
| 25 | 0.1485 | -0.1474 | 0.4108 | -0.1045 | -0.8686 | -0.0113 | -0.7647 | -0.1332 |
| 26 | 0.1452 | -0.1482 | 0.3853 | -0.1021 | -0.7858 | -0.0122 | -0.6971 | -0.1221 |
| 27 | 0.1414 | -0.1483 | 0.3604 | -0.0993 | -0.708 | -0.013 | -0.6323 | -0.1115 |
| 28 | 0.1374 | -0.1478 | 0.3361 | -0.0962 | -0.6349 | -0.0137 | -0.5702 | -0.1014 |
| 29 | 0.1331 | -0.1467 | 0.3126 | -0.0928 | -0.566 | -0.0144 | -0.5108 | -0.0918 |
| 30 | 0.1286 | -0.1451 | 0.2897 | -0.0893 | -0.5009 | -0.0149 | -0.454 | -0.0826 |
| 31 | 0.124 | -0.143 | 0.2676 | -0.0855 | -0.4394 | -0.0153 | -0.3998 | -0.0739 |
| 32 | 0.1193 | -0.1405 | 0.2463 | -0.0816 | -0.3813 | -0.0157 | -0.3481 | -0.0657 |
| 33 | 0.1147 | -0.1377 | 0.2257 | -0.0777 | -0.3263 | -0.016 | -0.2988 | -0.0578 |
| 34 | 0.11 | -0.1346 | 0.2059 | -0.0736 | -0.2743 | -0.0163 | -0.252 | -0.0503 |
| 35 | 0.1054 | -0.1313 | 0.1869 | -0.0696 | -0.225 | -0.0164 | -0.2074 | -0.0431 |
| 36 | 0.1009 | -0.1277 | 0.1688 | -0.0656 | -0.1783 | -0.0165 | -0.1652 | -0.0364 |
| 37 | 0.0965 | -0.1239 | 0.1514 | -0.0615 | -0.1341 | -0.0166 | -0.1252 | -0.0299 |
| 38 | 0.0922 | -0.12 | 0.1348 | -0.0576 | -0.0923 | -0.0166 | -0.0874 | -0.0238 |
| 39 | 0.0881 | -0.1159 | 0.1191 | -0.0536 | -0.0528 | -0.0165 | -0.0517 | -0.018 |
| 40 | 0.0841 | -0.1118 | 0.1041 | -0.0498 | -0.0154 | -0.0164 | -0.018 | -0.0125 |
Data for Figure 3 (Dashed Line)
| Period | Home GDP | Home Policy Rate | Home Absorption | Home Inflation | Home Exports | Home Real Interest Rate | Real Exchange Rate | Home Trade Balance |
|---|---|---|---|---|---|---|---|---|
| 1 | -0.2855 | -0.1988 | 0.2229 | -0.3466 | -2.2558 | 0.0218 | -2.8563 | -0.4038 |
| 2 | -0.3565 | -0.2924 | 0.4315 | -0.2858 | -3.4469 | -0.0189 | -2.9741 | -0.4899 |
| 3 | -0.3262 | -0.3212 | 0.6056 | -0.2166 | -4.0261 | -0.0403 | -3.0001 | -0.534 |
| 4 | -0.2546 | -0.3127 | 0.7383 | -0.16 | -4.2422 | -0.0478 | -2.9585 | -0.5492 |
| 5 | -0.1725 | -0.2851 | 0.8303 | -0.1217 | -4.2396 | -0.0463 | -2.8693 | -0.5449 |
| 6 | -0.0949 | -0.2508 | 0.8868 | -0.1 | -4.1063 | -0.0399 | -2.749 | -0.5279 |
| 7 | -0.0279 | -0.2179 | 0.9142 | -0.0913 | -3.898 | -0.0316 | -2.6106 | -0.5033 |
| 8 | 0.0267 | -0.1906 | 0.9192 | -0.0914 | -3.6509 | -0.0235 | -2.4638 | -0.4745 |
| 9 | 0.0695 | -0.1705 | 0.9079 | -0.0967 | -3.3882 | -0.0165 | -2.3155 | -0.444 |
| 10 | 0.102 | -0.1576 | 0.8852 | -0.1045 | -3.1251 | -0.0111 | -2.1701 | -0.4133 |
| 11 | 0.126 | -0.1507 | 0.8552 | -0.113 | -2.8706 | -0.0075 | -2.0304 | -0.3834 |
| 12 | 0.1433 | -0.1486 | 0.8207 | -0.1209 | -2.6301 | -0.0053 | -1.8978 | -0.3551 |
| 13 | 0.1552 | -0.1499 | 0.7839 | -0.1276 | -2.4061 | -0.0043 | -1.7728 | -0.3284 |
| 14 | 0.163 | -0.1533 | 0.7461 | -0.1328 | -2.1996 | -0.0042 | -1.6555 | -0.3036 |
| 15 | 0.1676 | -0.1577 | 0.7084 | -0.1365 | -2.0104 | -0.0048 | -1.5454 | -0.2806 |
| 16 | 0.1698 | -0.1625 | 0.6713 | -0.1386 | -1.8377 | -0.0058 | -1.442 | -0.2594 |
| 17 | 0.1701 | -0.1671 | 0.6352 | -0.1394 | -1.6801 | -0.007 | -1.3447 | -0.2398 |
| 18 | 0.169 | -0.1712 | 0.6001 | -0.1391 | -1.5363 | -0.0084 | -1.2529 | -0.2217 |
| 19 | 0.1668 | -0.1744 | 0.5663 | -0.1377 | -1.4049 | -0.0097 | -1.166 | -0.2049 |
| 20 | 0.1636 | -0.1769 | 0.5338 | -0.1355 | -1.2845 | -0.0111 | -1.0835 | -0.1893 |
| 21 | 0.1599 | -0.1784 | 0.5024 | -0.1326 | -1.1739 | -0.0123 | -1.005 | -0.1748 |
| 22 | 0.1556 | -0.1791 | 0.4721 | -0.1292 | -1.072 | -0.0134 | -0.93 | -0.1613 |
| 23 | 0.151 | -0.179 | 0.443 | -0.1254 | -0.9777 | -0.0145 | -0.8584 | -0.1486 |
| 24 | 0.1462 | -0.1781 | 0.415 | -0.1212 | -0.8901 | -0.0154 | -0.7898 | -0.1366 |
| 25 | 0.1411 | -0.1766 | 0.3879 | -0.1167 | -0.8085 | -0.0161 | -0.7241 | -0.1254 |
| 26 | 0.1359 | -0.1745 | 0.3619 | -0.1121 | -0.7322 | -0.0168 | -0.6612 | -0.1148 |
| 27 | 0.1307 | -0.1719 | 0.3369 | -0.1073 | -0.6607 | -0.0174 | -0.6008 | -0.1047 |
| 28 | 0.1255 | -0.1689 | 0.3128 | -0.1024 | -0.5934 | -0.0178 | -0.5429 | -0.0952 |
| 29 | 0.1204 | -0.1654 | 0.2896 | -0.0975 | -0.53 | -0.0182 | -0.4874 | -0.0862 |
| 30 | 0.1153 | -0.1616 | 0.2674 | -0.0925 | -0.4702 | -0.0185 | -0.4343 | -0.0776 |
| 31 | 0.1103 | -0.1576 | 0.246 | -0.0876 | -0.4135 | -0.0187 | -0.3835 | -0.0695 |
| 32 | 0.1055 | -0.1533 | 0.2256 | -0.0827 | -0.3599 | -0.0189 | -0.3349 | -0.0617 |
| 33 | 0.1008 | -0.1488 | 0.206 | -0.0778 | -0.309 | -0.0189 | -0.2885 | -0.0543 |
| 34 | 0.0963 | -0.1442 | 0.1873 | -0.0731 | -0.2607 | -0.0189 | -0.2443 | -0.0473 |
| 35 | 0.0919 | -0.1394 | 0.1694 | -0.0684 | -0.2149 | -0.0189 | -0.2022 | -0.0406 |
| 36 | 0.0877 | -0.1346 | 0.1524 | -0.0638 | -0.1714 | -0.0188 | -0.1622 | -0.0342 |
| 37 | 0.0837 | -0.1297 | 0.1362 | -0.0594 | -0.1301 | -0.0187 | -0.1242 | -0.0282 |
| 38 | 0.0799 | -0.1248 | 0.1208 | -0.0551 | -0.0909 | -0.0185 | -0.0882 | -0.0224 |
| 39 | 0.0763 | -0.1198 | 0.1061 | -0.0509 | -0.0537 | -0.0182 | -0.0541 | -0.017 |
| 40 | 0.0729 | -0.1149 | 0.0923 | -0.0469 | -0.0184 | -0.018 | -0.0218 | -0.0118 |
Figure 4. Effects of Foreign Consumption Shock Against Backdrop of Deeper Domestic Recession

Data for Figure 4 (Soild Line)
| Period | Foreign GDP | Foreign Policy Rate | Home Policy Rate | Home Inflation | Home Absorption | Home GDP | Foreign Relative Import Price | Home Exports |
|---|---|---|---|---|---|---|---|---|
| 1 | -0.5465 | -0.6775 | 0 | -0.6346 | 0.0274 | -0.5185 | 1.5848 | -2.4717 |
| 2 | -0.8459 | -1.082 | 0 | -0.5219 | 0.1187 | -0.7081 | 2.3468 | -3.703 |
| 3 | -0.9736 | -1.3104 | 0 | -0.3809 | 0.2374 | -0.7226 | 2.6938 | -4.2568 |
| 4 | -0.9896 | -1.4162 | 0 | -0.2517 | 0.3599 | -0.6494 | 2.8231 | -4.4314 |
| 5 | -0.9384 | -1.4389 | 0 | -0.1498 | 0.4723 | -0.5382 | 2.8332 | -4.3918 |
| 6 | -0.8507 | -1.4087 | 0 | -0.078 | 0.5676 | -0.4168 | 2.7756 | -4.232 |
| 7 | -0.7465 | -1.3485 | 0 | -0.0332 | 0.6429 | -0.3004 | 2.6789 | -4.0078 |
| 8 | -0.6386 | -1.2742 | 0 | -0.0104 | 0.6985 | -0.1963 | 2.5599 | -3.7528 |
| 9 | -0.5343 | -1.1962 | 0 | -0.0039 | 0.7357 | -0.1073 | 2.4291 | -3.4873 |
| 10 | -0.4377 | -1.1209 | 0 | -0.0088 | 0.7568 | -0.0342 | 2.2936 | -3.2243 |
| 11 | -0.3504 | -1.0512 | -0.1453 | -0.0209 | 0.7638 | 0.0233 | 2.1595 | -2.9728 |
| 12 | -0.273 | -0.9885 | -0.1191 | -0.0368 | 0.7559 | 0.0626 | 2.0341 | -2.7417 |
| 13 | -0.2058 | -0.9327 | -0.1053 | -0.0528 | 0.7388 | 0.0903 | 1.9124 | -2.5256 |
| 14 | -0.1483 | -0.8833 | -0.1003 | -0.067 | 0.7159 | 0.1104 | 1.7937 | -2.3231 |
| 15 | -0.0997 | -0.8394 | -0.1011 | -0.0789 | 0.6897 | 0.125 | 1.6785 | -2.1342 |
| 16 | -0.0592 | -0.7999 | -0.1054 | -0.0884 | 0.6618 | 0.1358 | 1.5675 | -1.9588 |
| 17 | -0.0259 | -0.764 | -0.1115 | -0.0958 | 0.6331 | 0.1436 | 1.4613 | -1.7966 |
| 18 | 0.001 | -0.7309 | -0.1181 | -0.1011 | 0.6042 | 0.149 | 1.36 | -1.6467 |
| 19 | 0.0223 | -0.6999 | -0.1247 | -0.1049 | 0.5753 | 0.1526 | 1.2635 | -1.5085 |
| 20 | 0.0386 | -0.6705 | -0.1306 | -0.1072 | 0.5468 | 0.1545 | 1.1716 | -1.3808 |
| 21 | 0.0508 | -0.6423 | -0.1358 | -0.1083 | 0.5186 | 0.1552 | 1.0841 | -1.2628 |
| 22 | 0.0593 | -0.6151 | -0.1401 | -0.1084 | 0.4908 | 0.1547 | 1.0006 | -1.1534 |
| 23 | 0.0648 | -0.5887 | -0.1434 | -0.1078 | 0.4636 | 0.1534 | 0.921 | -1.0518 |
| 24 | 0.0677 | -0.563 | -0.1458 | -0.1064 | 0.4369 | 0.1512 | 0.845 | -0.9571 |
| 25 | 0.0685 | -0.5378 | -0.1474 | -0.1045 | 0.4108 | 0.1485 | 0.7724 | -0.8686 |
| 26 | 0.0676 | -0.5132 | -0.1482 | -0.1021 | 0.3853 | 0.1452 | 0.703 | -0.7858 |
| 27 | 0.0653 | -0.4892 | -0.1483 | -0.0993 | 0.3604 | 0.1414 | 0.6367 | -0.708 |
| 28 | 0.062 | -0.4657 | -0.1478 | -0.0962 | 0.3361 | 0.1374 | 0.5733 | -0.6349 |
| 29 | 0.058 | -0.4427 | -0.1467 | -0.0928 | 0.3126 | 0.1331 | 0.5128 | -0.566 |
| 30 | 0.0533 | -0.4203 | -0.1451 | -0.0893 | 0.2897 | 0.1286 | 0.455 | -0.5009 |
| 31 | 0.0484 | -0.3985 | -0.143 | -0.0855 | 0.2676 | 0.124 | 0.4 | -0.4394 |
| 32 | 0.0432 | -0.3774 | -0.1405 | -0.0816 | 0.2463 | 0.1193 | 0.3475 | -0.3813 |
| 33 | 0.038 | -0.3569 | -0.1377 | -0.0777 | 0.2257 | 0.1147 | 0.2976 | -0.3263 |
| 34 | 0.0329 | -0.337 | -0.1346 | -0.0736 | 0.2059 | 0.11 | 0.2502 | -0.2743 |
| 35 | 0.0279 | -0.3178 | -0.1313 | -0.0696 | 0.1869 | 0.1054 | 0.2052 | -0.225 |
| 36 | 0.0231 | -0.2993 | -0.1277 | -0.0656 | 0.1688 | 0.1009 | 0.1625 | -0.1783 |
| 37 | 0.0186 | -0.2816 | -0.1239 | -0.0615 | 0.1514 | 0.0965 | 0.1222 | -0.1341 |
| 38 | 0.0144 | -0.2645 | -0.12 | -0.0576 | 0.1348 | 0.0922 | 0.0841 | -0.0923 |
| 39 | 0.0106 | -0.2482 | -0.1159 | -0.0536 | 0.1191 | 0.0881 | 0.0482 | -0.0528 |
| 40 | 0.007 | -0.2326 | -0.1118 | -0.0498 | 0.1041 | 0.0841 | 0.0144 | -0.0154 |
Data for Figure 4 (Dashed Line)
| Period | Foreign GDP | Foreign Policy Rate | Home Policy Rate | Home Inflation | Home Absorption | Home GDP | Foreign Relative Import Price | Home Exports |
|---|---|---|---|---|---|---|---|---|
| 1 | -0.5425 | -0.6762 | 0 | -0.8299 | -0.0651 | -0.6256 | 1.6656 | -2.5615 |
| 2 | -0.8427 | -1.0804 | 0 | -0.6952 | -0.0354 | -0.8767 | 2.4439 | -3.8114 |
| 3 | -0.9723 | -1.3093 | 0 | -0.523 | 0.0449 | -0.9252 | 2.7858 | -4.36 |
| 4 | -0.99 | -1.4159 | 0 | -0.3606 | 0.1462 | -0.8688 | 2.9066 | -4.5256 |
| 5 | -0.94 | -1.4392 | 0 | -0.227 | 0.2497 | -0.7636 | 2.911 | -4.4798 |
| 6 | -0.8529 | -1.4095 | 0 | -0.1267 | 0.3445 | -0.6415 | 2.8522 | -4.319 |
| 7 | -0.749 | -1.3494 | 0 | -0.0573 | 0.4252 | -0.5204 | 2.7585 | -4.0985 |
| 8 | -0.641 | -1.275 | 0 | -0.0134 | 0.4898 | -0.409 | 2.6458 | -3.8509 |
| 9 | -0.5365 | -1.1967 | 0 | 0.0108 | 0.5388 | -0.311 | 2.5232 | -3.5952 |
| 10 | -0.4395 | -1.121 | 0 | 0.021 | 0.5738 | -0.2272 | 2.3965 | -3.3426 |
| 11 | -0.3521 | -1.0509 | 0 | 0.0217 | 0.5969 | -0.1565 | 2.269 | -3.0991 |
| 12 | -0.2749 | -0.9879 | 0 | 0.0163 | 0.6103 | -0.0973 | 2.1427 | -2.8677 |
| 13 | -0.2079 | -0.9318 | 0 | 0.0075 | 0.6163 | -0.0477 | 2.0187 | -2.6498 |
| 14 | -0.1504 | -0.8821 | 0 | -0.003 | 0.6165 | -0.0059 | 1.8977 | -2.4453 |
| 15 | -0.1019 | -0.8379 | 0 | -0.0142 | 0.6124 | 0.0295 | 1.7798 | -2.254 |
| 16 | -0.0615 | -0.7982 | 0 | -0.0256 | 0.6048 | 0.0596 | 1.6654 | -2.0751 |
| 17 | -0.0282 | -0.7621 | -0.0435 | -0.0366 | 0.5942 | 0.0848 | 1.5553 | -1.9088 |
| 18 | -0.0013 | -0.7287 | -0.0784 | -0.0473 | 0.5799 | 0.104 | 1.4513 | -1.7563 |
| 19 | 0.0201 | -0.6974 | -0.0805 | -0.0569 | 0.562 | 0.1178 | 1.353 | -1.6163 |
| 20 | 0.0365 | -0.6677 | -0.0847 | -0.065 | 0.5419 | 0.1278 | 1.2586 | -1.4859 |
| 21 | 0.0487 | -0.6394 | -0.0901 | -0.0715 | 0.5203 | 0.1352 | 1.1675 | -1.3639 |
| 22 | 0.0572 | -0.612 | -0.0959 | -0.0765 | 0.4978 | 0.1404 | 1.0796 | -1.2495 |
| 23 | 0.0627 | -0.5855 | -0.1015 | -0.0802 | 0.4747 | 0.1438 | 0.9949 | -1.142 |
| 24 | 0.0656 | -0.5597 | -0.1066 | -0.0827 | 0.4512 | 0.1459 | 0.9135 | -1.041 |
| 25 | 0.0664 | -0.5345 | -0.1111 | -0.0843 | 0.4276 | 0.1467 | 0.8353 | -0.9461 |
| 26 | 0.0655 | -0.5099 | -0.1149 | -0.0849 | 0.4039 | 0.1464 | 0.7604 | -0.8567 |
| 27 | 0.0633 | -0.4858 | -0.1179 | -0.0849 | 0.3804 | 0.1453 | 0.6886 | -0.7726 |
| 28 | 0.0601 | -0.4623 | -0.1202 | -0.0842 | 0.3571 | 0.1434 | 0.62 | -0.6932 |
| 29 | 0.0561 | -0.4393 | -0.1218 | -0.083 | 0.3341 | 0.1409 | 0.5545 | -0.6182 |
| 30 | 0.0516 | -0.4169 | -0.1227 | -0.0813 | 0.3115 | 0.1379 | 0.4919 | -0.5474 |
| 31 | 0.0467 | -0.3952 | -0.1229 | -0.0793 | 0.2893 | 0.1344 | 0.4323 | -0.4805 |
| 32 | 0.0417 | -0.374 | -0.1227 | -0.0769 | 0.2677 | 0.1306 | 0.3757 | -0.4172 |
| 33 | 0.0366 | -0.3535 | -0.1219 | -0.0742 | 0.2466 | 0.1265 | 0.3218 | -0.3574 |
| 34 | 0.0316 | -0.3337 | -0.1206 | -0.0713 | 0.2262 | 0.1223 | 0.2707 | -0.3008 |
| 35 | 0.0268 | -0.3146 | -0.119 | -0.0683 | 0.2064 | 0.1179 | 0.2224 | -0.2473 |
| 36 | 0.0221 | -0.2962 | -0.117 | -0.065 | 0.1874 | 0.1135 | 0.1766 | -0.1968 |
| 37 | 0.0178 | -0.2785 | -0.1146 | -0.0617 | 0.169 | 0.109 | 0.1334 | -0.149 |
| 38 | 0.0137 | -0.2616 | -0.112 | -0.0584 | 0.1515 | 0.1045 | 0.0927 | -0.104 |
| 39 | 0.01 | -0.2453 | -0.1091 | -0.055 | 0.1347 | 0.1002 | 0.0544 | -0.0615 |
| 40 | 0.0065 | -0.2298 | -0.1061 | -0.0515 | 0.1187 | 0.0958 | 0.0185 | -0.0214 |
Figure 5. Effects of Foreign Consumption Shock Against the Backdrop of Domestic Recession Alternative Monetary Policy Rules*

The parameters
for the policy rule described in equation (17) are chosen as:
for
the benchmark Taylor rule; the rule more aggressive on inflation
takes
while leaving the other
parameters unchanged; and the rule more aggressive on the output
gap takes
while leaving the other
parameters unchanged.
The spillover effects are defined as
the ratio of the response of home GDP (in log deviation from the
path implied by the initial baseline recession) to the response of
foreign GDP (also in deviation from its initial path). The measure
shown is an average of the spillover effects over the first four
quarters. The size of the foreign consumption shock is small enough
not to influence the number of periods for which the zero lower
bound on policy rates is binding.
Data for Figure 5
| Taylor Rule | More aggressive on inflation | More aggressive on output gap |
|---|---|---|
0.3571 |
0.3052 |
0.2711 |
0.3788 |
0.3273 |
0.2826 |
0.4016 |
0.3301 |
0.3231 |
0.4757 |
0.4177 |
0.3575 |
0.5261 |
0.4496 |
0.3963 |
0.5535 |
0.5008 |
0.4346 |
0.6073 |
0.5511 |
0.4694 |
0.6593 |
0.5651 |
0.5112 |
0.6688 |
0.6148 |
0.5495 |
0.7183 |
0.66 |
0.5619 |
0.7639 |
0.699 |
0.5975 |
0.8053 |
0.7302 |
0.6288 |
0.8427 |
0.7527 |
0.6561 |
0.8768 |
0.7669 |
0.6798 |
Figure 6. Effects of Foreign Consumption Shock Against Backdrop of Domestic Recession Alternative Monetary Policy Rules*

The parameters
for the policy rule described in equation (17) are chosen as:
for
the benchmark Taylor rule; the rule more aggressive on inflation
takes
while leaving the other
parameters unchanged; and the rule more aggressive on the output
gap takes
while leaving the other
parameters unchanged.
The spillover
effects are defined as the ratio of the response of home GDP (in
deviation from the path implied by the initial baseline recession)
to the response of foreign GDP (also in deviation from its initial
path). The measure shown is an average of the spillover effects
over the first four quarters.
Data for Figure 6 (Top Panel)
| Average percent change in foreign GDP | Baseline Monetary Policy Rule | Average percent change in foreign GDP | More aggressive on inflation | Average percent change in foreign GDP | More aggressive on output gap |
|---|---|---|---|---|---|
| -9.4813 | 13 | -9.4588 | 11 | -9.4955 | 15 |
| -9.4451 | 13 | -9.403 | 11 | -9.4604 | 15 |
| -9.409 | 13 | -9.3471 | 11 | -9.4254 | 15 |
| -9.3728 | 13 | -9.2913 | 11 | -9.3904 | 15 |
| -9.3366 | 13 | -9.2355 | 11 | -9.3553 | 15 |
| -9.3005 | 13 | -9.1797 | 11 | -9.3203 | 15 |
| -9.2643 | 13 | -9.1239 | 11 | -9.2853 | 15 |
| -9.2281 | 13 | -9.068 | 11 | -9.2502 | 15 |
| -9.192 | 13 | -9.0122 | 11 | -9.2152 | 15 |
| -9.1558 | 13 | -8.9564 | 11 | -9.1802 | 15 |
| -9.1196 | 13 | -8.9006 | 11 | -9.1451 | 15 |
| -9.0834 | 13 | -8.8448 | 11 | -9.1101 | 15 |
| -9.0473 | 13 | -8.7889 | 11 | -9.0751 | 15 |
| -9.0111 | 13 | -8.7331 | 11 | -9.04 | 15 |
| -8.9749 | 13 | -8.6773 | 11 | -9.005 | 15 |
| -8.9388 | 13 | -8.6215 | 11 | -8.97 | 15 |
| -8.9026 | 13 | -8.5657 | 11 | -8.9349 | 15 |
| -8.8664 | 13 | -8.5098 | 11 | -8.8999 | 15 |
| -8.8303 | 13 | -8.454 | 11 | -8.8649 | 15 |
| -8.7941 | 13 | -8.3982 | 11 | -8.8299 | 15 |
| -8.7579 | 13 | -8.3424 | 11 | -8.7948 | 15 |
| -8.7217 | 13 | -8.2866 | 11 | -8.7598 | 15 |
| -8.6856 | 13 | -8.2308 | 11 | -8.7248 | 15 |
| -8.6494 | 13 | -8.1749 | 11 | -8.6897 | 14 |
| -8.6132 | 13 | -8.1191 | 11 | -8.6547 | 14 |
| -8.5771 | 13 | -8.0633 | 11 | -8.6196 | 14 |
| -8.5409 | 13 | -8.0075 | 11 | -8.5846 | 14 |
| -8.5047 | 13 | -7.9517 | 11 | -8.5496 | 14 |
| -8.4686 | 13 | -7.8958 | 11 | -8.5145 | 14 |
| -8.4324 | 13 | -7.84 | 11 | -8.4795 | 14 |
| -8.3962 | 13 | -7.7842 | 11 | -8.4445 | 14 |
| -8.36 | 13 | -7.7284 | 11 | -8.4094 | 14 |
| -8.3239 | 13 | -7.6726 | 11 | -8.3744 | 14 |
| -8.2877 | 13 | -7.6167 | 11 | -8.3393 | 14 |
| -8.2515 | 13 | -7.5609 | 11 | -8.3043 | 14 |
| -8.2154 | 13 | -7.5051 | 11 | -8.2693 | 14 |
| -8.1792 | 13 | -7.4493 | 11 | -8.2342 | 14 |
| -8.143 | 13 | -7.3935 | 11 | -8.1992 | 14 |
| -8.1069 | 13 | -7.3376 | 11 | -8.1641 | 14 |
| -8.0707 | 13 | -7.2818 | 11 | -8.1291 | 14 |
| -8.0345 | 13 | -7.226 | 11 | -8.0941 | 14 |
| -7.9983 | 13 | -7.1702 | 11 | -8.059 | 14 |
| -7.9622 | 13 | -7.1144 | 11 | -8.024 | 14 |
| -7.926 | 13 | -7.0585 | 11 | -7.989 | 14 |
| -7.8898 | 13 | -7.0027 | 11 | -7.9539 | 14 |
| -7.8537 | 13 | -6.9469 | 11 | -7.9189 | 14 |
| -7.8175 | 13 | -6.8911 | 11 | -7.8838 | 14 |
| -7.7813 | 13 | -6.8353 | 11 | -7.8488 | 14 |
| -7.7452 | 13 | -6.7795 | 11 | -7.8138 | 14 |
| -7.709 | 13 | -6.7236 | 11 | -7.7787 | 14 |
| -7.6728 | 13 | -6.6678 | 11 | -7.7437 | 14 |
| -7.6366 | 13 | -6.612 | 11 | -7.7086 | 14 |
| -7.6005 | 13 | -6.5562 | 11 | -7.6736 | 14 |
| -7.5643 | 13 | -6.5004 | 11 | -7.6386 | 14 |
| -7.5281 | 13 | -6.4445 | 11 | -7.6035 | 14 |
| -7.492 | 13 | -6.3887 | 11 | -7.5685 | 14 |
| -7.4558 | 13 | -6.3329 | 11 | -7.5335 | 14 |
| -7.4196 | 13 | -6.2771 | 11 | -7.4984 | 14 |
| -7.3835 | 13 | -6.2213 | 11 | -7.4634 | 14 |
| -7.3473 | 13 | -6.1654 | 11 | -7.4283 | 14 |
| -7.3111 | 13 | -6.1096 | 11 | -7.3933 | 14 |
| -7.2749 | 13 | -6.0538 | 11 | -7.3583 | 14 |
| -7.2388 | 13 | -5.998 | 11 | -7.3232 | 14 |
| -7.2026 | 13 | -5.9422 | 11 | -7.2882 | 14 |
| -7.1664 | 13 | -5.8863 | 11 | -7.2531 | 14 |
| -7.1303 | 13 | -5.8305 | 11 | -7.2181 | 14 |
| -7.0941 | 13 | -5.7747 | 11 | -7.1831 | 14 |
| -7.0579 | 13 | -5.7189 | 11 | -7.148 | 14 |
| -7.0217 | 12 | -5.6631 | 11 | -7.113 | 14 |
| -6.9856 | 12 | -5.6072 | 11 | -7.078 | 14 |
| -6.9494 | 12 | -5.5514 | 11 | -7.0429 | 14 |
| -6.9132 | 12 | -5.4956 | 11 | -7.0079 | 14 |
| -6.877 | 12 | -5.4398 | 11 | -6.9728 | 14 |
| -6.8408 | 12 | -5.384 | 11 | -6.9378 | 14 |
| -6.8046 | 12 | -5.3282 | 11 | -6.9028 | 14 |
| -6.7685 | 12 | -5.2723 | 11 | -6.8677 | 14 |
| -6.7323 | 12 | -5.2165 | 11 | -6.8327 | 14 |
| -6.6961 | 12 | -5.1607 | 11 | -6.7976 | 14 |
| -6.6599 | 12 | -5.1049 | 11 | -6.7626 | 14 |
| -6.6237 | 12 | -5.0491 | 11 | -6.7276 | 14 |
| -6.5875 | 12 | -4.9932 | 11 | -6.6925 | 14 |
| -6.5514 | 12 | -4.9374 | 11 | -6.6575 | 14 |
| -6.5152 | 12 | -4.8816 | 11 | -6.6225 | 14 |
| -6.479 | 12 | -4.8258 | 11 | -6.5874 | 14 |
| -6.4428 | 12 | -4.77 | 11 | -6.5524 | 14 |
| -6.4066 | 12 | -4.7141 | 11 | -6.5173 | 14 |
| -6.3704 | 12 | -4.6583 | 11 | -6.4823 | 14 |
| -6.3343 | 12 | -4.6025 | 11 | -6.4473 | 14 |
| -6.2981 | 12 | -4.5467 | 11 | -6.4122 | 14 |
| -6.2619 | 12 | -4.4909 | 11 | -6.3772 | 14 |
| -6.2257 | 12 | -4.435 | 11 | -6.3421 | 14 |
| -6.1895 | 12 | -4.3792 | 11 | -6.3071 | 14 |
| -6.1533 | 12 | -4.3234 | 11 | -6.2721 | 14 |
| -6.1172 | 12 | -4.2676 | 11 | -6.237 | 14 |
| -6.081 | 12 | -4.2118 | 11 | -6.202 | 14 |
| -6.0448 | 12 | -4.1559 | 11 | -6.167 | 14 |
| -6.0086 | 12 | -4.1001 | 11 | -6.1319 | 14 |
| -5.9724 | 12 | -4.0443 | 11 | -6.0969 | 14 |
| -5.9362 | 12 | -3.9885 | 11 | -6.0618 | 14 |
| -5.9001 | 12 | -3.9327 | 11 | -6.0268 | 14 |
| -5.8639 | 12 | -3.8769 | 11 | -5.9918 | 14 |
| -5.8277 | 12 | -3.821 | 11 | -5.9567 | 14 |
| -5.7915 | 12 | -3.7652 | 11 | -5.9217 | 14 |
| -5.7553 | 12 | -3.7094 | 11 | -5.8866 | 14 |
| -5.7191 | 12 | -3.6536 | 11 | -5.8516 | 14 |
| -5.6829 | 12 | -3.5978 | 11 | -5.8166 | 14 |
| -5.6468 | 12 | -3.5419 | 11 | -5.7815 | 14 |
| -5.6106 | 12 | -3.4861 | 11 | -5.7465 | 14 |
| -5.5744 | 12 | -3.4303 | 11 | -5.7115 | 14 |
| -5.5382 | 12 | -3.3745 | 11 | -5.6764 | 14 |
| -5.502 | 12 | -3.3187 | 11 | -5.6414 | 14 |
| -5.4658 | 12 | -3.2628 | 11 | -5.6063 | 14 |
| -5.4297 | 12 | -3.207 | 11 | -5.5713 | 14 |
| -5.3935 | 12 | -3.1512 | 11 | -5.5363 | 14 |
| -5.3573 | 12 | -3.0954 | 11 | -5.5012 | 14 |
| -5.3211 | 12 | -3.0396 | 11 | -5.4662 | 14 |
| -5.2849 | 12 | -2.9837 | 11 | -5.4311 | 14 |
| -5.2487 | 12 | -2.9279 | 11 | -5.3961 | 14 |
| -5.2126 | 12 | -2.8721 | 11 | -5.3611 | 14 |
| -5.1764 | 12 | -2.8163 | 11 | -5.326 | 14 |
| -5.1402 | 12 | -2.7605 | 11 | -5.291 | 14 |
| -5.104 | 12 | -2.7046 | 11 | -5.256 | 14 |
| -5.0678 | 12 | -2.6488 | 11 | -5.2209 | 14 |
| -5.0316 | 12 | -2.593 | 11 | -5.1859 | 14 |
| -4.9955 | 12 | -2.5372 | 11 | -5.1508 | 14 |
| -4.9593 | 12 | -2.4814 | 11 | -5.1158 | 14 |
| -4.9231 | 12 | -2.4256 | 11 | -5.0808 | 14 |
| -4.8869 | 12 | -2.3697 | 11 | -5.0457 | 14 |
| -4.8507 | 12 | -2.3139 | 11 | -5.0107 | 14 |
| -4.8145 | 12 | -2.2581 | 11 | -4.9756 | 14 |
| -4.7784 | 12 | -2.2023 | 11 | -4.9406 | 14 |
| -4.7422 | 12 | -2.1465 | 11 | -4.9056 | 14 |
| -4.706 | 12 | -2.0906 | 11 | -4.8705 | 14 |
| -4.6698 | 12 | -2.0348 | 11 | -4.8355 | 14 |
| -4.6336 | 12 | -1.979 | 11 | -4.8005 | 14 |
| -4.5974 | 12 | -1.9232 | 11 | -4.7654 | 14 |
| -4.5613 | 12 | -1.8674 | 11 | -4.7304 | 14 |
| -4.5251 | 12 | -1.8115 | 11 | -4.6953 | 14 |
| -4.4889 | 12 | -1.7557 | 11 | -4.6603 | 13 |
| -4.4527 | 12 | -1.6999 | 11 | -4.6253 | 13 |
| -4.4165 | 12 | -1.6441 | 11 | -4.5902 | 13 |
| -4.3803 | 12 | -1.5883 | 11 | -4.5552 | 13 |
| -4.3441 | 12 | -1.5324 | 11 | -4.5201 | 13 |
| -4.308 | 12 | -1.4766 | 11 | -4.4851 | 13 |
| -4.2718 | 12 | -1.4208 | 11 | -4.45 | 13 |
| -4.2356 | 12 | -1.365 | 11 | -4.415 | 13 |
| -4.1994 | 12 | -1.3092 | 11 | -4.3799 | 13 |
| -4.1632 | 12 | -1.2533 | 11 | -4.3449 | 13 |
| -4.127 | 12 | -1.1975 | 11 | -4.3098 | 13 |
| -4.0909 | 12 | -1.1417 | 11 | -4.2748 | 13 |
| -4.0547 | 12 | -1.0859 | 11 | -4.2398 | 13 |
| -4.0185 | 12 | -1.0301 | 11 | -4.2047 | 13 |
| -3.9823 | 12 | -0.9743 | 11 | -4.1697 | 13 |
| -3.9461 | 12 | -0.9184 | 11 | -4.1346 | 13 |
| -3.9099 | 11 | -0.8626 | 11 | -4.0996 | 13 |
| -3.8737 | 11 | -0.8068 | 11 | -4.0645 | 13 |
| -3.8375 | 11 | -0.751 | 11 | -4.0295 | 13 |
| -3.8013 | 11 | -0.6952 | 11 | -3.9944 | 13 |
| -3.7651 | 11 | -0.6393 | 11 | -3.9594 | 13 |
| -3.7289 | 11 | -0.5835 | 11 | -3.9243 | 13 |
| -3.6927 | 11 | -0.5277 | 11 | -3.8893 | 13 |
| -3.6566 | 11 | -0.4719 | 11 | -3.8542 | 13 |
| -3.6204 | 11 | -0.4161 | 11 | -3.8192 | 13 |
| -3.5842 | 11 | -0.3602 | 11 | -3.7842 | 13 |
| -3.548 | 11 | -0.3044 | 11 | -3.7491 | 13 |
| -3.5118 | 11 | -0.2486 | 11 | -3.7141 | 13 |
| -3.4756 | 11 | -0.1928 | 11 | -3.679 | 13 |
| -3.4394 | 11 | -0.137 | 11 | -3.644 | 13 |
| -3.4032 | 11 | -0.0811 | 11 | -3.6089 | 13 |
| -3.367 | 11 | -0.0253 | 11 | -3.5739 | 13 |
| -3.3308 | 11 | 0.0305 | 11 | -3.5388 | 13 |
| -3.2946 | 11 | 0.0863 | 11 | -3.5038 | 13 |
| -3.2584 | 11 | 0.1421 | 11 | -3.4687 | 13 |
| -3.2222 | 11 | 0.198 | 11 | -3.4337 | 13 |
| -3.186 | 11 | 0.2538 | 11 | -3.3987 | 13 |
| -3.1498 | 11 | 0.3096 | 11 | -3.3636 | 13 |
| -3.1136 | 11 | 0.3654 | 11 | -3.3286 | 13 |
| -3.0774 | 11 | 0.4212 | 11 | -3.2935 | 13 |
| -3.0412 | 11 | 0.477 | 11 | -3.2585 | 13 |
| -3.005 | 11 | 0.5329 | 11 | -3.2234 | 13 |
| -2.9688 | 11 | 0.5887 | 11 | -3.1884 | 13 |
| -2.9326 | 11 | 0.6445 | 11 | -3.1533 | 13 |
| -2.8964 | 11 | 0.7003 | 11 | -3.1183 | 13 |
| -2.8602 | 11 | 0.7561 | 11 | -3.0832 | 13 |
| -2.824 | 11 | 0.812 | 11 | -3.0482 | 13 |
| -2.7878 | 11 | 0.8678 | 11 | -3.0132 | 13 |
| -2.7516 | 11 | 0.9236 | 11 | -2.9781 | 13 |
| -2.7154 | 11 | 0.9794 | 11 | -2.9431 | 13 |
| -2.6792 | 11 | 1.0352 | 11 | -2.908 | 13 |
| -2.643 | 11 | 1.0911 | 11 | -2.873 | 13 |
| -2.6068 | 11 | 1.1469 | 11 | -2.8379 | 13 |
| -2.5706 | 11 | 1.2027 | 11 | -2.8029 | 13 |
| -2.5344 | 11 | 1.2585 | 11 | -2.7678 | 13 |
| -2.4982 | 11 | 1.3143 | 11 | -2.7328 | 13 |
| -2.462 | 11 | 1.3702 | 11 | -2.6977 | 13 |
| -2.4258 | 11 | 1.426 | 11 | -2.6627 | 13 |
| -2.3896 | 11 | 1.4818 | 11 | -2.6277 | 13 |
| -2.3534 | 11 | 1.5376 | 11 | -2.5926 | 13 |
| -2.3172 | 11 | 1.5934 | 11 | -2.5576 | 13 |
| -2.281 | 11 | 1.6493 | 11 | -2.5225 | 13 |
| -2.2448 | 11 | 1.7051 | 11 | -2.4875 | 13 |
| -2.2086 | 11 | 1.7609 | 11 | -2.4524 | 13 |
| -2.1724 | 11 | 1.8167 | 11 | -2.4174 | 13 |
| -2.1362 | 11 | 1.8725 | 11 | -2.3823 | 13 |
| -2.1 | 11 | 1.9283 | 11 | -2.3473 | 13 |
| -2.0638 | 11 | 1.9842 | 11 | -2.3122 | 13 |
| -2.0276 | 11 | 2.04 | 11 | -2.2772 | 13 |
| -1.9915 | 11 | 2.0958 | 11 | -2.2422 | 13 |
| -1.9553 | 11 | 2.1516 | 11 | -2.2071 | 13 |
| -1.9191 | 11 | 2.2074 | 11 | -2.1721 | 13 |
| -1.8829 | 11 | 2.2633 | 11 | -2.137 | 13 |
| -1.8467 | 11 | 2.3191 | 11 | -2.102 | 13 |
| -1.8105 | 11 | 2.3749 | 11 | -2.0669 | 13 |
| -1.7743 | 11 | 2.4307 | 11 | -2.0319 | 13 |
| -1.7381 | 11 | 2.4865 | 11 | -1.9968 | 13 |
| -1.7019 | 11 | 2.5424 | 11 | -1.9618 | 13 |
| -1.6657 | 11 | 2.5982 | 10 | -1.9267 | 13 |
| -1.6295 | 11 | 2.654 | 10 | -1.8917 | 13 |
| -1.5933 | 11 | 2.7099 | 10 | -1.8567 | 13 |
| -1.5571 | 11 | 2.7657 | 10 | -1.8216 | 13 |
| -1.5209 | 11 | 2.8215 | 10 | -1.7866 | 13 |
| -1.4847 | 11 | 2.8774 | 10 | -1.7515 | 13 |
| -1.4485 | 11 | 2.9332 | 10 | -1.7165 | 13 |
| -1.4123 | 11 | 2.9891 | 10 | -1.6814 | 13 |
| -1.3761 | 11 | 3.0449 | 10 | -1.6464 | 13 |
| -1.3399 | 11 | 3.1007 | 10 | -1.6113 | 13 |
| -1.3037 | 11 | 3.1566 | 10 | -1.5763 | 13 |
| -1.2675 | 11 | 3.2124 | 10 | -1.5412 | 13 |
| -1.2313 | 11 | 3.2683 | 10 | -1.5062 | 13 |
| -1.1951 | 11 | 3.3241 | 10 | -1.4712 | 13 |
| -1.1589 | 11 | 3.3799 | 10 | -1.4361 | 13 |
| -1.1227 | 11 | 3.4358 | 10 | -1.4011 | 13 |
| -1.0865 | 11 | 3.4916 | 10 | -1.366 | 13 |
| -1.0503 | 11 | 3.5475 | 10 | -1.331 | 13 |
| -1.0141 | 11 | 3.6033 | 10 | -1.2959 | 13 |
| -0.9779 | 11 | 3.6591 | 10 | -1.2609 | 13 |
| -0.9417 | 11 | 3.715 | 10 | -1.2258 | 13 |
| -0.9055 | 11 | 3.7708 | 10 | -1.1908 | 12 |
| -0.8693 | 11 | 3.8267 | 10 | -1.1557 | 12 |
| -0.8331 | 11 | 3.8825 | 10 | -1.1207 | 12 |
| -0.7969 | 11 | 3.9383 | 10 | -1.0856 | 12 |
| -0.7607 | 11 | 3.9942 | 10 | -1.0506 | 12 |
| -0.7245 | 10 | 4.05 | 10 | -1.0155 | 12 |
| -0.6883 | 10 | 4.1059 | 10 | -0.9805 | 12 |
| -0.6521 | 10 | 4.1617 | 10 | -0.9454 | 12 |
| -0.6159 | 10 | 4.2175 | 10 | -0.9104 | 12 |
| -0.5797 | 10 | 4.2734 | 10 | -0.8753 | 12 |
| -0.5435 | 10 | 4.3292 | 10 | -0.8403 | 12 |
| -0.5072 | 10 | 4.3851 | 10 | -0.8052 | 12 |
| -0.471 | 10 | 4.4409 | 10 | -0.7702 | 12 |
| -0.4348 | 10 | 4.4967 | 10 | -0.7351 | 12 |
| -0.3986 | 10 | 4.5526 | 10 | -0.7 | 12 |
| -0.3624 | 10 | 4.6084 | 10 | -0.665 | 12 |
| -0.3262 | 10 | 4.6643 | 10 | -0.6299 | 12 |
| -0.29 | 10 | 4.7201 | 10 | -0.5949 | 12 |
| -0.2538 | 10 | 4.7759 | 10 | -0.5598 | 12 |
| -0.2175 | 10 | 4.8318 | 10 | -0.5248 | 12 |
| -0.1813 | 10 | 4.8876 | 10 | -0.4897 | 12 |
| -0.1451 | 10 | 4.9435 | 10 | -0.4547 | 12 |
| -0.1089 | 10 | 4.9993 | 10 | -0.4196 | 12 |
| -0.0727 | 10 | 5.0551 | 10 | -0.3846 | 12 |
| -0.0365 | 10 | 5.111 | 10 | -0.3495 | 12 |
| -0.0003 | 10 | 5.1668 | 10 | -0.3145 | 12 |
| 0.0359 | 10 | 5.2227 | 10 | -0.2794 | 12 |
| 0.0722 | 10 | 5.2785 | 10 | -0.2444 | 12 |
| 0.1084 | 10 | 5.3343 | 10 | -0.2093 | 12 |
| 0.1446 | 10 | 5.3902 | 10 | -0.1743 | 12 |
| 0.1808 | 10 | 5.446 | 10 | -0.1392 | 12 |
| 0.217 | 10 | 5.5019 | 10 | -0.1042 | 12 |
| 0.2532 | 10 | 5.5577 | 10 | -0.0691 | 12 |
| 0.2894 | 10 | 5.6135 | 10 | -0.034 | 12 |
| 0.3256 | 10 | 5.6694 | 10 | 0.001 | 12 |
| 0.3619 | 10 | 5.7252 | 10 | 0.0361 | 12 |
| 0.3981 | 10 | 5.7811 | 10 | 0.0711 | 12 |
| 0.4343 | 10 | 5.8369 | 10 | 0.1062 | 12 |
| 0.4705 | 10 | 5.8927 | 10 | 0.1412 | 12 |
| 0.5067 | 10 | 5.9486 | 10 | 0.1763 | 12 |
| 0.5429 | 10 | 6.0044 | 10 | 0.2113 | 12 |
| 0.5791 | 10 | 6.0603 | 10 | 0.2464 | 12 |
| 0.6153 | 10 | 6.1161 | 10 | 0.2814 | 12 |
| 0.6515 | 10 | 6.1719 | 10 | 0.3165 | 12 |
| 0.6878 | 10 | 6.2278 | 10 | 0.3515 | 12 |
| 0.724 | 10 | 6.2836 | 10 | 0.3866 | 12 |
| 0.7602 | 10 | 6.3395 | 10 | 0.4216 | 12 |
| 0.7964 | 10 | 6.3953 | 10 | 0.4567 | 12 |
| 0.8326 | 10 | 6.4511 | 10 | 0.4917 | 12 |
| 0.8688 | 10 | 6.507 | 10 | 0.5268 | 12 |
| 0.905 | 10 | 6.5628 | 10 | 0.5619 | 12 |
| 0.9412 | 10 | 6.6187 | 10 | 0.5969 | 12 |
| 0.9775 | 10 | 6.6745 | 10 | 0.632 | 12 |
| 1.0137 | 10 | 6.7303 | 10 | 0.667 | 12 |
| 1.0499 | 10 | 6.7862 | 10 | 0.7021 | 12 |
| 1.0861 | 10 | 6.842 | 10 | 0.7371 | 12 |
| 1.1223 | 10 | 6.8979 | 10 | 0.7722 | 12 |
| 1.1585 | 10 | 6.9537 | 10 | 0.8072 | 12 |
| 1.1947 | 10 | 7.0095 | 10 | 0.8423 | 12 |
| 1.2309 | 10 | 7.0654 | 10 | 0.8773 | 12 |
| 1.2672 | 10 | 7.1212 | 10 | 0.9124 | 12 |
| 1.3034 | 10 | 7.1771 | 10 | 0.9474 | 12 |
| 1.3396 | 10 | 7.2329 | 10 | 0.9825 | 12 |
| 1.3758 | 10 | 7.2887 | 10 | 1.0175 | 12 |
| 1.412 | 10 | 7.3446 | 10 | 1.0526 | 12 |
| 1.4482 | 10 | 7.4004 | 10 | 1.0876 | 12 |
| 1.4844 | 10 | 7.4563 | 10 | 1.1227 | 12 |
| 1.5206 | 10 | 7.5121 | 10 | 1.1577 | 12 |
| 1.5569 | 10 | 7.5679 | 10 | 1.1928 | 12 |
| 1.5931 | 10 | 7.6238 | 10 | 1.2279 | 12 |
| 1.6293 | 10 | 7.6796 | 10 | 1.2629 | 12 |
| 1.6655 | 10 | 7.7355 | 10 | 1.298 | 12 |
| 1.7017 | 10 | 7.7913 | 10 | 1.333 | 12 |
| 1.7379 | 10 | 7.8471 | 10 | 1.3681 | 12 |
| 1.7741 | 10 | 7.903 | 10 | 1.4031 | 12 |
| 1.8103 | 10 | 7.9588 | 10 | 1.4382 | 12 |
| 1.8466 | 10 | 8.0147 | 10 | 1.4732 | 12 |
| 1.8828 | 10 | 8.0705 | 10 | 1.5083 | 12 |
| 1.919 | 10 | 8.1263 | 10 | 1.5433 | 12 |
| 1.9552 | 10 | 8.1822 | 9 | 1.5784 | 12 |
| 1.9914 | 10 | 8.2381 | 9 | 1.6134 | 12 |
| 2.0276 | 10 | 8.2939 | 9 | 1.6485 | 12 |
| 2.0638 | 10 | 8.3498 | 9 | 1.6835 | 11 |
| 2.1 | 10 | 8.4056 | 9 | 1.7186 | 11 |
| 2.1363 | 10 | 8.4615 | 9 | 1.7537 | 11 |
| 2.1725 | 9 | 8.5174 | 9 | 1.7887 | 11 |
| 2.2087 | 9 | 8.5733 | 8 | 1.8238 | 11 |
| 2.2449 | 9 | 8.6291 | 8 | 1.8588 | 11 |
| 2.2811 | 9 | 8.685 | 8 | 1.8939 | 11 |
| 2.3174 | 9 | 8.7409 | 8 | 1.929 | 11 |
| 2.3536 | 9 | 8.7968 | 8 | 1.964 | 11 |
| 2.3898 | 9 | 8.8527 | 8 | 1.9991 | 11 |
| 2.4261 | 9 | 8.9086 | 8 | 2.0341 | 11 |
| 2.4623 | 9 | 8.9644 | 8 | 2.0692 | 11 |
| 2.4985 | 9 | 9.0203 | 8 | 2.1043 | 11 |
| 2.5347 | 9 | 9.0762 | 8 | 2.1393 | 11 |
| 2.571 | 9 | 9.1321 | 8 | 2.1744 | 11 |
| 2.6072 | 9 | 9.188 | 8 | 2.2094 | 11 |
| 2.6434 | 9 | 9.2439 | 8 | 2.2445 | 11 |
| 2.6797 | 9 | 9.2997 | 8 | 2.2796 | 11 |
| 2.7159 | 9 | 9.3556 | 8 | 2.3146 | 11 |
| 2.7521 | 9 | 9.4115 | 8 | 2.3497 | 11 |
| 2.7883 | 9 | 9.4674 | 8 | 2.3847 | 11 |
| 2.8246 | 9 | 9.5233 | 8 | 2.4198 | 11 |
| 2.8608 | 9 | 9.5792 | 8 | 2.4549 | 11 |
| 2.897 | 9 | 9.635 | 8 | 2.4899 | 11 |
| 2.9332 | 9 | 9.6909 | 8 | 2.525 | 11 |
| 2.9695 | 9 | 9.7468 | 8 | 2.56 | 11 |
| 3.0057 | 9 | 9.8027 | 8 | 2.5951 | 11 |
| 3.0419 | 9 | 9.8586 | 8 | 2.6302 | 11 |
| 3.0782 | 9 | 9.9145 | 8 | 2.6652 | 11 |
| 3.1144 | 9 | 9.9701 | 7 | 2.7003 | 11 |
| 3.1506 | 9 | 10.0261 | 7 | 2.7353 | 11 |
| 3.1868 | 9 | 10.0821 | 7 | 2.7704 | 11 |
| 3.2231 | 9 | 10.138 | 7 | 2.8055 | 11 |
| 3.2593 | 9 | 10.194 | 7 | 2.8405 | 11 |
| 3.2955 | 9 | 10.2499 | 7 | 2.8756 | 11 |
| 3.3317 | 9 | 10.3059 | 7 | 2.9106 | 11 |
| 3.368 | 9 | 10.3618 | 7 | 2.9457 | 11 |
| 3.4042 | 9 | 10.4178 | 7 | 2.9808 | 11 |
| 3.4404 | 9 | 10.4737 | 7 | 3.0158 | 11 |
| 3.4767 | 9 | 10.5297 | 7 | 3.0509 | 11 |
| 3.5129 | 9 | 10.5856 | 7 | 3.0859 | 11 |
| 3.5491 | 9 | 10.6416 | 7 | 3.121 | 11 |
| 3.5853 | 9 | 10.6975 | 7 | 3.1561 | 11 |
| 3.6216 | 9 | 10.7535 | 6 | 3.1911 | 11 |
| 3.6578 | 9 | 10.8094 | 6 | 3.2262 | 11 |
| 3.694 | 9 | 10.8654 | 5 | 3.2612 | 11 |
| 3.7302 | 9 | 10.9215 | 5 | 3.2963 | 11 |
| 3.7665 | 9 | 10.9775 | 5 | 3.3314 | 11 |
| 3.8027 | 9 | 11.0336 | 5 | 3.3664 | 11 |
| 3.8389 | 9 | 11.0897 | 5 | 3.4015 | 11 |
| 3.8752 | 9 | 11.1457 | 5 | 3.4365 | 11 |
| 3.9114 | 9 | 11.2018 | 5 | 3.4716 | 11 |
| 3.9476 | 9 | 11.2578 | 5 | 3.5067 | 11 |
| 3.9838 | 9 | 11.3139 | 5 | 3.5417 | 11 |
| 4.0201 | 9 | 11.37 | 5 | 3.5768 | 11 |
| 4.0563 | 9 | 11.426 | 5 | 3.6118 | 11 |
| 4.0925 | 9 | 11.4822 | 4 | 3.6469 | 11 |
| 4.1287 | 9 | 11.5383 | 4 | 3.682 | 11 |
| 4.165 | 9 | 11.5944 | 4 | 3.717 | 11 |
| 4.2012 | 9 | 11.6506 | 4 | 3.7521 | 11 |
| 4.2374 | 9 | 11.7067 | 4 | 3.7871 | 11 |
| 4.2737 | 9 | 11.7629 | 4 | 3.8222 | 11 |
| 4.3099 | 9 | 11.819 | 4 | 3.8573 | 11 |
| 4.3461 | 9 | 11.8752 | 4 | 3.8923 | 10 |
| 4.3823 | 9 | 11.9313 | 3 | 3.9274 | 10 |
| 4.4186 | 9 | 11.9875 | 3 | 3.9625 | 10 |
| 4.4548 | 9 | 12.0437 | 3 | 3.9975 | 10 |
| 4.491 | 9 | 12.0998 | 2 | 4.0326 | 10 |
| 4.5272 | 9 | 12.156 | 2 | 4.0677 | 10 |
| 4.5635 | 9 | 12.2122 | 2 | 4.1027 | 10 |
| 4.5997 | 8 | 12.2684 | 2 | 4.1378 | 10 |
| 4.6359 | 8 | 12.3246 | 2 | 4.1729 | 10 |
| 4.6722 | 8 | 12.3807 | 1 | 4.2079 | 10 |
| 4.7084 | 8 | 12.4369 | 1 | 4.243 | 10 |
| 4.7447 | 8 | 12.4931 | 1 | 4.2781 | 10 |
| 4.7809 | 8 | 12.5493 | 1 | 4.3131 | 10 |
| 4.8172 | 8 | 12.6055 | 0 | 4.3482 | 10 |
| 4.8534 | 8 | 12.6617 | 0 | 4.3833 | 10 |
| 4.8896 | 8 | 12.7179 | 0 | 4.4183 | 10 |
| 4.9259 | 8 | 12.7741 | 0 | 4.4534 | 10 |
| 4.9621 | 8 | 12.8303 | 0 | 4.4885 | 10 |
| 4.9984 | 8 | 12.8864 | 0 | 4.5235 | 10 |
| 5.0346 | 8 | 12.9426 | 0 | 4.5586 | 10 |
| 5.0709 | 8 | 12.9988 | 0 | 4.5937 | 10 |
| 5.1071 | 8 | 13.055 | 0 | 4.6288 | 10 |
| 5.1434 | 8 | 13.1112 | 0 | 4.6638 | 10 |
| 5.1796 | 8 | 13.1674 | 0 | 4.6989 | 10 |
| 5.2158 | 8 | 13.2236 | 0 | 4.734 | 10 |
| 5.2521 | 7 | 13.2798 | 0 | 4.769 | 10 |
| 5.2883 | 7 | 13.336 | 0 | 4.8041 | 10 |
| 5.3246 | 7 | 13.3922 | 0 | 4.8392 | 10 |
| 5.3608 | 7 | 13.4484 | 0 | 4.8742 | 10 |
| 5.3971 | 7 | 13.5045 | 0 | 4.9093 | 10 |
| 5.4333 | 7 | 13.5607 | 0 | 4.9444 | 10 |
| 5.4696 | 7 | 13.6169 | 0 | 4.9794 | 10 |
| 5.5058 | 7 | 13.6731 | 0 | 5.0145 | 10 |
| 5.5421 | 7 | 13.7293 | 0 | 5.0496 | 10 |
| 5.5783 | 7 | 13.7855 | 0 | 5.0846 | 10 |
| 5.6146 | 7 | 13.8417 | 0 | 5.1197 | 10 |
| 5.6508 | 7 | 13.8979 | 0 | 5.1548 | 10 |
| 5.6871 | 7 | 13.9541 | 0 | 5.1898 | 10 |
| 5.7233 | 7 | 14.0103 | 0 | 5.2249 | 10 |
| 5.7596 | 7 | 14.0664 | 0 | 5.26 | 10 |
| 5.7958 | 7 | 14.1226 | 0 | 5.295 | 10 |
| 5.8321 | 7 | 14.1788 | 0 | 5.3301 | 10 |
| 5.8683 | 7 | 14.235 | 0 | 5.3652 | 9 |
| 5.9046 | 7 | 14.2912 | 0 | 5.4003 | 9 |
| 5.9408 | 7 | 14.3474 | 0 | 5.4353 | 9 |
| 5.9771 | 7 | 14.4036 | 0 | 5.4704 | 9 |
| 6.0133 | 7 | 14.4598 | 0 | 5.5055 | 9 |
| 6.0496 | 7 | 14.516 | 0 | 5.5406 | 8 |
| 6.0858 | 7 | 14.5722 | 0 | 5.5756 | 8 |
| 6.1221 | 7 | 14.6284 | 0 | 5.6107 | 8 |
| 6.1583 | 7 | 14.6845 | 0 | 5.6458 | 8 |
| 6.1946 | 7 | 14.7407 | 0 | 5.6809 | 8 |
| 6.2308 | 7 | 14.7969 | 0 | 5.716 | 8 |
| 6.2671 | 7 | 14.8531 | 0 | 5.7511 | 8 |
| 6.3033 | 7 | 14.9093 | 0 | 5.7862 | 8 |
| 6.3396 | 7 | 14.9655 | 0 | 5.8212 | 8 |
| 6.3758 | 7 | 15.0217 | 0 | 5.8563 | 8 |
| 6.4121 | 7 | 15.0779 | 0 | 5.8914 | 8 |
| 6.4483 | 7 | 15.1341 | 0 | 5.9265 | 8 |
| 6.4846 | 6 | 15.1903 | 0 | 5.9616 | 8 |
| 6.5209 | 6 | 15.2464 | 0 | 5.9967 | 8 |
| 6.5571 | 6 | 15.3026 | 0 | 6.0318 | 8 |
| 6.5934 | 6 | 15.3588 | 0 | 6.0668 | 8 |
| 6.6297 | 6 | 15.415 | 0 | 6.1019 | 8 |
| 6.6659 | 6 | 15.4712 | 0 | 6.137 | 8 |
| 6.7022 | 6 | 15.5274 | 0 | 6.1721 | 8 |
| 6.7385 | 6 | 15.5836 | 0 | 6.2072 | 8 |
| 6.7747 | 6 | 15.6398 | 0 | 6.2423 | 8 |
| 6.811 | 6 | 15.696 | 0 | 6.2773 | 8 |
| 6.8473 | 6 | 15.7522 | 0 | 6.3124 | 8 |
| 6.8835 | 6 | 15.8084 | 0 | 6.3475 | 8 |
| 6.9198 | 6 | 15.8645 | 0 | 6.3826 | 8 |
| 6.9561 | 6 | 15.9207 | 0 | 6.4177 | 8 |
| 6.9924 | 6 | 15.9769 | 0 | 6.4528 | 8 |
| 7.0286 | 6 | 16.0331 | 0 | 6.4879 | 8 |
| 7.0649 | 6 | 16.0893 | 0 | 6.5229 | 8 |
| 7.1012 | 6 | 16.1455 | 0 | 6.558 | 8 |
| 7.1374 | 6 | 16.2017 | 0 | 6.5931 | 8 |
| 7.1737 | 6 | 16.2579 | 0 | 6.6282 | 8 |
| 7.21 | 6 | 16.3141 | 0 | 6.6633 | 8 |
| 7.2462 | 6 | 16.3703 | 0 | 6.6984 | 8 |
| 7.2825 | 6 | 16.4265 | 0 | 6.7335 | 7 |
| 7.3188 | 6 | 16.4826 | 0 | 6.7686 | 7 |
| 7.355 | 6 | 16.5388 | 0 | 6.8037 | 7 |
| 7.3913 | 6 | 16.595 | 0 | 6.8387 | 7 |
| 7.4276 | 6 | 16.6512 | 0 | 6.8738 | 7 |
| 7.4638 | 6 | 16.7074 | 0 | 6.9089 | 7 |
| 7.5001 | 6 | 16.7636 | 0 | 6.944 | 7 |
| 7.5364 | 6 | 16.8198 | 0 | 6.9791 | 7 |
| 7.5726 | 6 | 16.876 | 0 | 7.0142 | 7 |
| 7.6089 | 6 | 16.9322 | 0 | 7.0493 | 7 |
| 7.6452 | 6 | 16.9884 | 0 | 7.0844 | 7 |
| 7.6814 | 6 | 17.0445 | 0 | 7.1195 | 7 |
| 7.7177 | 6 | 17.1007 | 0 | 7.1546 | 7 |
| 7.754 | 6 | 17.1569 | 0 | 7.1897 | 7 |
| 7.7902 | 6 | 17.2131 | 0 | 7.2248 | 7 |
| 7.8265 | 5 | 17.2693 | 0 | 7.2599 | 7 |
| 7.8628 | 4 | 17.3255 | 0 | 7.295 | 7 |
| 7.8991 | 4 | 17.3817 | 0 | 7.3301 | 7 |
| 7.9355 | 4 | 17.4379 | 0 | 7.3652 | 7 |
| 7.9718 | 4 | 17.4941 | 0 | 7.4003 | 6 |
| 8.0081 | 4 | 17.5503 | 0 | 7.4354 | 6 |
| 8.0444 | 4 | 17.6065 | 0 | 7.4705 | 6 |
| 8.0807 | 4 | 17.6626 | 0 | 7.5057 | 5 |
| 8.117 | 4 | 17.7188 | 0 | 7.5408 | 5 |
| 8.1533 | 4 | 17.775 | 0 | 7.5759 | 5 |
| 8.1896 | 4 | 17.8312 | 0 | 7.6111 | 5 |
| 8.2259 | 4 | 17.8874 | 0 | 7.6462 | 5 |
| 8.2622 | 4 | 17.9436 | 0 | 7.6814 | 5 |
| 8.2986 | 4 | 17.9998 | 0 | 7.7165 | 5 |
| 8.3349 | 4 | 18.056 | 0 | 7.7516 | 5 |
| 8.3712 | 4 | 18.1122 | 0 | 7.7868 | 5 |
| 8.4075 | 4 | 18.1684 | 0 | 7.8219 | 5 |
| 8.4438 | 4 | 18.2245 | 0 | 7.857 | 5 |
| 8.4801 | 4 | 18.2807 | 0 | 7.8922 | 5 |
| 8.5164 | 4 | 18.3369 | 0 | 7.9273 | 5 |
| 8.5527 | 4 | 18.3931 | 0 | 7.9625 | 5 |
| 8.589 | 4 | 18.4493 | 0 | 7.9976 | 5 |
| 8.6254 | 4 | 18.5055 | 0 | 8.0327 | 4 |
| 8.6617 | 4 | 18.5617 | 0 | 8.0679 | 3 |
| 8.698 | 3 | 18.6179 | 0 | 8.1031 | 3 |
| 8.7343 | 3 | 18.6741 | 0 | 8.1383 | 3 |
| 8.7707 | 3 | 18.7303 | 0 | 8.1735 | 3 |
| 8.807 | 2 | 18.7865 | 0 | 8.2087 | 3 |
| 8.8434 | 2 | 18.8426 | 0 | 8.2439 | 3 |
| 8.8798 | 2 | 18.8988 | 0 | 8.2791 | 3 |
| 8.9161 | 2 | 18.955 | 0 | 8.3143 | 3 |
| 8.9525 | 2 | 19.0112 | 0 | 8.3495 | 2 |
| 8.9889 | 2 | 19.0674 | 0 | 8.3847 | 1 |
| 9.0252 | 2 | 19.1236 | 0 | 8.42 | 1 |
| 9.0616 | 2 | 19.1798 | 0 | 8.4552 | 1 |
| 9.098 | 2 | 19.236 | 0 | 8.4905 | 0 |
| 9.1343 | 1 | 19.2922 | 0 | 8.5257 | 0 |
| 9.1707 | 1 | 19.3484 | 0 | 8.561 | 0 |
| 9.2072 | 0 | 19.4046 | 0 | 8.5962 | 0 |
| 9.2436 | 0 | 19.4607 | 0 | 8.6315 | 0 |
| 9.28 | 0 | 19.5169 | 0 | 8.6668 | 0 |
| 9.3164 | 0 | 19.5731 | 0 | 8.702 | 0 |
| 9.3529 | 0 | 19.6293 | 0 | 8.7373 | 0 |
| 9.3893 | 0 | 19.6855 | 0 | 8.7725 | 0 |
| 9.4257 | 0 | 19.7417 | 0 | 8.8078 | 0 |
| 9.4621 | 0 | 19.7979 | 0 | 8.843 | 0 |
| 9.4986 | 0 | 19.8541 | 0 | 8.8783 | 0 |
| 9.535 | 0 | 19.9103 | 0 | 8.9136 | 0 |
| 9.5714 | 0 | 19.9665 | 0 | 8.9488 | 0 |
| 9.6078 | 0 | 8.9841 | 0 | ||
| 9.6443 | 0 | 9.0193 | 0 | ||
| 9.6807 | 0 | 9.0546 | 0 | ||
| 9.7171 | 0 | 9.0898 | 0 | ||
| 9.7535 | 0 | 9.1251 | 0 | ||
| 9.79 | 0 | 9.1604 | 0 | ||
| 9.8264 | 0 | 9.1956 | 0 | ||
| 9.8628 | 0 | 9.2309 | 0 | ||
| 9.8992 | 0 | 9.2661 | 0 | ||
| 9.9357 | 0 | 9.3014 | 0 | ||
| 9.9721 | 0 | 9.3366 | 0 | ||
| 10.0085 | 0 | 9.3719 | 0 | ||
| 10.0449 | 0 | 9.4072 | 0 | ||
| 10.0814 | 0 | 9.4424 | 0 | ||
| 10.1178 | 0 | 9.4777 | 0 | ||
| 10.1542 | 0 | 9.5129 | 0 | ||
| 10.1906 | 0 | 9.5482 | 0 | ||
| 10.2271 | 0 | 9.5835 | 0 | ||
| 10.2635 | 0 | 9.6187 | 0 | ||
| 10.2999 | 0 | 9.654 | 0 | ||
| 10.3363 | 0 | 9.6892 | 0 | ||
| 10.3728 | 0 | 9.7245 | 0 | ||
| 10.4092 | 0 | 9.7597 | 0 | ||
| 10.4456 | 0 | 9.795 | 0 | ||
| 10.482 | 0 | 9.8303 | 0 | ||
| 10.5185 | 0 | 9.8655 | 0 | ||
| 10.5549 | 0 | 9.9008 | 0 | ||
| 10.5913 | 0 | 9.936 | 0 | ||
| 10.6277 | 0 | 9.9713 | 0 | ||
| 10.6642 | 0 | 10.0065 | 0 | ||
| 10.7006 | 0 | 10.0418 | 0 | ||
| 10.737 | 0 | 10.0771 | 0 | ||
| 10.7734 | 0 | 10.1123 | 0 | ||
| 10.8099 | 0 | 10.1476 | 0 | ||
| 10.8463 | 0 | 10.1828 | 0 | ||
| 10.8827 | 0 | 10.2181 | 0 | ||
| 10.9191 | 0 | 10.2533 | 0 | ||
| 10.9556 | 0 | 10.2886 | 0 | ||
| 10.992 | 0 | 10.3239 | 0 | ||
| 11.0284 | 0 | 10.3591 | 0 | ||
| 11.0648 | 0 | 10.3944 | 0 | ||
| 11.1013 | 0 | 10.4296 | 0 | ||
| 11.1377 | 0 | 10.4649 | 0 | ||
| 11.1741 | 0 | 10.5001 | 0 | ||
| 11.2105 | 0 | 10.5354 | 0 | ||
| 11.247 | 0 | 10.5707 | 0 | ||
| 11.2834 | 0 | 10.6059 | 0 | ||
| 11.3198 | 0 | 10.6412 | 0 | ||
| 11.3562 | 0 | 10.6764 | 0 | ||
| 11.3927 | 0 | 10.7117 | 0 | ||
| 11.4291 | 0 | 10.747 | 0 | ||
| 11.4655 | 0 | 10.7822 | 0 | ||
| 11.5019 | 0 | 10.8175 | 0 | ||
| 11.5383 | 0 | 10.8527 | 0 | ||
| 11.5748 | 0 | 10.888 | 0 | ||
| 11.6112 | 0 | 10.9232 | 0 | ||
| 11.6476 | 0 | 10.9585 | 0 | ||
| 11.684 | 0 | 10.9938 | 0 | ||
| 11.7205 | 0 | 11.029 | 0 | ||
| 11.7569 | 0 | 11.0643 | 0 | ||
| 11.7933 | 0 | 11.0995 | 0 | ||
| 11.8297 | 0 | 11.1348 | 0 | ||
| 11.8662 | 0 | 11.17 | 0 | ||
| 11.9026 | 0 | 11.2053 | 0 | ||
| 11.939 | 0 | 11.2406 | 0 | ||
| 11.9754 | 0 | 11.2758 | 0 | ||
| 12.0119 | 0 | 11.3111 | 0 | ||
| 12.0483 | 0 | 11.3463 | 0 | ||
| 12.0847 | 0 | 11.3816 | 0 | ||
| 12.1211 | 0 | 11.4168 | 0 | ||
| 12.1576 | 0 | 11.4521 | 0 | ||
| 12.194 | 0 | 11.4874 | 0 | ||
| 12.2304 | 0 | 11.5226 | 0 | ||
| 12.2668 | 0 | 11.5579 | 0 | ||
| 12.3033 | 0 | 11.5931 | 0 | ||
| 12.3397 | 0 | 11.6284 | 0 | ||
| 12.3761 | 0 | 11.6637 | 0 | ||
| 12.4125 | 0 | 11.6989 | 0 | ||
| 12.449 | 0 | 11.7342 | 0 | ||
| 12.4854 | 0 | 11.7694 | 0 | ||
| 12.5218 | 0 | 11.8047 | 0 | ||
| 12.5582 | 0 | 11.8399 | 0 | ||
| 12.5947 | 0 | 11.8752 | 0 | ||
| 12.6311 | 0 | 11.9105 | 0 | ||
| 12.6675 | 0 | 11.9457 | 0 | ||
| 12.7039 | 0 | 11.981 | 0 | ||
| 12.7404 | 0 | 12.0162 | 0 | ||
| 12.7768 | 0 | 12.0515 | 0 | ||
| 12.8132 | 0 | 12.0867 | 0 | ||
| 12.8496 | 0 | 12.122 | 0 | ||
| 12.8861 | 0 | 12.1573 | 0 | ||
| 12.9225 | 0 | 12.1925 | 0 | ||
| 12.9589 | 0 | 12.2278 | 0 | ||
| 12.9953 | 0 | 12.263 | 0 | ||
| 13.0318 | 0 | 12.2983 | 0 | ||
| 13.0682 | 0 | 12.3335 | 0 | ||
| 13.1046 | 0 | 12.3688 | 0 | ||
| 13.141 | 0 | 12.4041 | 0 | ||
| 13.1775 | 0 | 12.4393 | 0 | ||
| 13.2139 | 0 | 12.4746 | 0 | ||
| 13.2503 | 0 | 12.5098 | 0 | ||
| 13.2867 | 0 | 12.5451 | 0 | ||
| 13.3232 | 0 | 12.5803 | 0 | ||
| 13.3596 | 0 | 12.6156 | 0 | ||
| 13.396 | 0 | 12.6509 | 0 | ||
| 13.4324 | 0 | 12.6861 | 0 | ||
| 13.4689 | 0 | 12.7214 | 0 | ||
| 13.5053 | 0 | 12.7566 | 0 | ||
| 13.5417 | 0 | 12.7919 | 0 | ||
| 13.5781 | 0 | 12.8272 | 0 | ||
| 13.6146 | 0 | 12.8624 | 0 | ||
| 13.651 | 0 | 12.8977 | 0 | ||
| 13.6874 | 0 | 12.9329 | 0 | ||
| 13.7238 | 0 | 12.9682 | 0 | ||
| 13.7603 | 0 | 13.0034 | 0 | ||
| 13.7967 | 0 | 13.0387 | 0 | ||
| 13.8331 | 0 | 13.074 | 0 | ||
| 13.8695 | 0 | 13.1092 | 0 | ||
| 13.906 | 0 | 13.1445 | 0 | ||
| 13.9424 | 0 | 13.1797 | 0 | ||
| 13.9788 | 0 | 13.215 | 0 | ||
| 14.0152 | 0 | 13.2502 | 0 | ||
| 14.0517 | 0 | 13.2855 | 0 | ||
| 14.0881 | 0 | 13.3208 | 0 | ||
| 14.1245 | 0 | 13.356 | 0 | ||
| 14.1609 | 0 | 13.3913 | 0 | ||
| 14.1974 | 0 | 13.4265 | 0 | ||
| 14.2338 | 0 | 13.4618 | 0 | ||
| 14.2702 | 0 | 13.497 | 0 | ||
| 14.3066 | 0 | 13.5323 | 0 | ||
| 14.3431 | 0 | 13.5676 | 0 | ||
| 14.3795 | 0 | 13.6028 | 0 | ||
| 14.4159 | 0 | 13.6381 | 0 | ||
| 14.4523 | 0 | 13.6733 | 0 | ||
| 14.4888 | 0 | 13.7086 | 0 | ||
| 14.5252 | 0 | 13.7439 | 0 | ||
| 14.5616 | 0 | 13.7791 | 0 | ||
| 14.598 | 0 | 13.8144 | 0 | ||
| 14.6345 | 0 | 13.8496 | 0 | ||
| 14.6709 | 0 | 13.8849 | 0 | ||
| 14.7073 | 0 | 13.9201 | 0 | ||
| 14.7437 | 0 | 13.9554 | 0 | ||
| 14.7802 | 0 | 13.9907 | 0 | ||
| 14.8166 | 0 | 14.0259 | 0 | ||
| 14.853 | 0 | 14.0612 | 0 | ||
| 14.8894 | 0 | 14.0964 | 0 | ||
| 14.9259 | 0 | 14.1317 | 0 | ||
| 14.9623 | 0 | 14.1669 | 0 | ||
| 14.9987 | 0 | 14.2022 | 0 | ||
| 15.0351 | 0 | 14.2375 | 0 | ||
| 15.0716 | 0 | 14.2727 | 0 | ||
| 15.108 | 0 | 14.308 | 0 | ||
| 15.1444 | 0 | 14.3432 | 0 | ||
| 15.1808 | 0 | 14.3785 | 0 | ||
| 15.2173 | 0 | 14.4137 | 0 | ||
| 15.2537 | 0 | 14.449 | 0 | ||
| 15.2901 | 0 | 14.4843 | 0 | ||
| 15.3265 | 0 | 14.5195 | 0 | ||
| 15.363 | 0 | 14.5548 | 0 | ||
| 15.3994 | 0 | 14.59 | 0 | ||
| 15.4358 | 0 | 14.6253 | 0 | ||
| 15.4722 | 0 | 14.6605 | 0 | ||
| 15.5087 | 0 | 14.6958 | 0 | ||
| 15.5451 | 0 | 14.7311 | 0 | ||
| 15.5815 | 0 | 14.7663 | 0 | ||
| 15.6179 | 0 | 14.8016 | 0 | ||
| 15.6544 | 0 | 14.8368 | 0 | ||
| 15.6908 | 0 | 14.8721 | 0 | ||
| 15.7272 | 0 | 14.9074 | 0 | ||
| 15.7636 | 0 | 14.9426 | 0 | ||
| 15.8001 | 0 | 14.9779 | 0 | ||
| 15.8365 | 0 | 15.0131 | 0 | ||
| 15.8729 | 0 | 15.0484 | 0 | ||
| 15.9093 | 0 | 15.0836 | 0 | ||
| 15.9458 | 0 | 15.1189 | 0 | ||
| 15.9822 | 0 | 15.1542 | 0 | ||
| 16.0186 | 0 | 15.1894 | 0 | ||
| 16.055 | 0 | 15.2247 | 0 | ||
| 16.0915 | 0 | 15.2599 | 0 | ||
| 16.1279 | 0 | 15.2952 | 0 | ||
| 16.1643 | 0 | 15.3304 | 0 | ||
| 16.2007 | 0 | 15.3657 | 0 | ||
| 16.2372 | 0 | 15.401 | 0 | ||
| 16.2736 | 0 | 15.4362 | 0 | ||
| 16.31 | 0 | 15.4715 | 0 | ||
| 16.3464 | 0 | 15.5067 | 0 | ||
| 16.3829 | 0 | 15.542 | 0 | ||
| 16.4193 | 0 | 15.5772 | 0 | ||
| 16.4557 | 0 | 15.6125 | 0 | ||
| 16.4921 | 0 | 15.6478 | 0 | ||
| 16.5286 | 0 | 15.683 | 0 | ||
| 16.565 | 0 | 15.7183 | 0 | ||
| 16.6014 | 0 | 15.7535 | 0 | ||
| 16.6378 | 0 | 15.7888 | 0 | ||
| 16.6743 | 0 | 15.824 | 0 | ||
| 16.7107 | 0 | 15.8593 | 0 | ||
| 16.7471 | 0 | 15.8946 | 0 | ||
| 16.7835 | 0 | 15.9298 | 0 | ||
| 16.82 | 0 | 15.9651 | 0 | ||
| 16.8564 | 0 | 16.0003 | 0 | ||
| 16.8928 | 0 | 16.0356 | 0 | ||
| 16.9292 | 0 | 16.0709 | 0 | ||
| 16.9657 | 0 | 16.1061 | 0 | ||
| 17.0021 | 0 | 16.1414 | 0 | ||
| 17.0385 | 0 | 16.1766 | 0 | ||
| 17.0749 | 0 | 16.2119 | 0 | ||
| 17.1114 | 0 | 16.2471 | 0 | ||
| 17.1478 | 0 | 16.2824 | 0 | ||
| 17.1842 | 0 | 16.3177 | 0 | ||
| 17.2206 | 0 | 16.3529 | 0 | ||
| 17.2571 | 0 | 16.3882 | 0 | ||
| 17.2935 | 0 | 16.4234 | 0 | ||
| 17.3299 | 0 | 16.4587 | 0 | ||
| 17.3663 | 0 | 16.4939 | 0 | ||
| 17.4028 | 0 | 16.5292 | 0 | ||
| 17.4392 | 0 | 16.5645 | 0 | ||
| 17.4756 | 0 | 16.5997 | 0 | ||
| 17.512 | 0 | 16.635 | 0 | ||
| 17.5485 | 0 | 16.6702 | 0 | ||
| 17.5849 | 0 | 16.7055 | 0 | ||
| 17.6213 | 0 | 16.7407 | 0 | ||
| 17.6577 | 0 | 16.776 | 0 | ||
| 17.6942 | 0 | 16.8113 | 0 | ||
| 17.7306 | 0 | 16.8465 | 0 | ||
| 17.767 | 0 | 16.8818 | 0 | ||
| 17.8034 | 0 | 16.917 | 0 | ||
| 17.8399 | 0 | 16.9523 | 0 | ||
| 17.8763 | 0 | 16.9876 | 0 | ||
| 17.9127 | 0 | 17.0228 | 0 | ||
| 17.9491 | 0 | 17.0581 | 0 | ||
| 17.9856 | 0 | 17.0933 | 0 | ||
| 18.022 | 0 | 17.1286 | 0 | ||
| 18.0584 | 0 | 17.1638 | 0 | ||
| 18.0948 | 0 | 17.1991 | 0 | ||
| 18.1313 | 0 | 17.2344 | 0 | ||
| 18.1677 | 0 | 17.2696 | 0 | ||
| 18.2041 | 0 | 17.3049 | 0 | ||
| 18.2405 | 0 | 17.3401 | 0 | ||
| 18.277 | 0 | 17.3754 | 0 | ||
| 18.3134 | 0 | 17.4106 | 0 | ||
| 18.3498 | 0 | 17.4459 | 0 | ||
| 18.3862 | 0 | 17.4812 | 0 | ||
| 18.4227 | 0 | 17.5164 | 0 | ||
| 18.4591 | 0 | 17.5517 | 0 | ||
| 18.4955 | 0 | 17.5869 | 0 | ||
| 18.5319 | 0 | 17.6222 | 0 | ||
| 18.5684 | 0 | 17.6574 | 0 | ||
| 18.6048 | 0 | 17.6927 | 0 | ||
| 18.6412 | 0 | 17.728 | 0 | ||
| 18.6776 | 0 | 17.7632 | 0 | ||
| 18.7141 | 0 | 17.7985 | 0 | ||
| 18.7505 | 0 | 17.8337 | 0 | ||
| 18.7869 | 0 | 17.869 | 0 | ||
| 18.8233 | 0 | 17.9042 | 0 | ||
| 18.8598 | 0 | 17.9395 | 0 | ||
| 18.8962 | 0 | 17.9748 | 0 | ||
| 18.9326 | 0 | 18.01 | 0 | ||
| 18.969 | 0 | 18.0453 | 0 | ||
| 19.0055 | 0 | 18.0805 | 0 | ||
| 19.0419 | 0 | 18.1158 | 0 | ||
| 19.0783 | 0 | 18.1511 | 0 | ||
| 19.1147 | 0 | 18.1863 | 0 | ||
| 19.1512 | 0 | 18.2216 | 0 | ||
| 19.1876 | 0 | 18.2568 | 0 | ||
| 19.224 | 0 | 18.2921 | 0 | ||
| 19.2604 | 0 | 18.3273 | 0 | ||
| 19.2969 | 0 | 18.3626 | 0 | ||
| 19.3333 | 0 | 18.3979 | 0 | ||
| 19.3697 | 0 | 18.4331 | 0 | ||
| 19.4061 | 0 | 18.4684 | 0 | ||
| 19.4426 | 0 | 18.5036 | 0 | ||
| 19.479 | 0 | 18.5389 | 0 | ||
| 19.5154 | 0 | 18.5741 | 0 | ||
| 19.5518 | 0 | 18.6094 | 0 | ||
| 19.5883 | 0 | 18.6447 | 0 | ||
| 19.6247 | 0 | 18.6799 | 0 | ||
| 19.6611 | 0 | 18.7152 | 0 | ||
| 19.6975 | 0 | 18.7504 | 0 | ||
| 19.734 | 0 | 18.7857 | 0 | ||
| 19.7704 | 0 | 18.8209 | 0 | ||
| 19.8068 | 0 | 18.8562 | 0 | ||
| 19.8432 | 0 | 18.8915 | 0 | ||
| 19.8796 | 0 | 18.9267 | 0 | ||
| 19.9161 | 0 | 18.962 | 0 | ||
| 19.9525 | 0 | 18.9972 | 0 | ||
| 19.9889 | 0 | 19.0325 | 0 | ||
| 19.0678 | 0 | ||||
| 19.103 | 0 | ||||
| 19.1383 | 0 | ||||
| 19.1735 | 0 | ||||
| 19.2088 | 0 | ||||
| 19.244 | 0 | ||||
| 19.2793 | 0 | ||||
| 19.3146 | 0 | ||||
| 19.3498 | 0 | ||||
| 19.3851 | 0 | ||||
| 19.4203 | 0 | ||||
| 19.4556 | 0 | ||||
| 19.4908 | 0 | ||||
| 19.5261 | 0 | ||||
| 19.5614 | 0 | ||||
| 19.5966 | 0 | ||||
| 19.6319 | 0 | ||||
| 19.6671 | 0 | ||||
| 19.7024 | 0 | ||||
| 19.7376 | 0 | ||||
| 19.7729 | 0 | ||||
| 19.8082 | 0 | ||||
| 19.8434 | 0 | ||||
| 19.8787 | 0 | ||||
| 19.9139 | 0 | ||||
| 19.9492 | 0 | ||||
| 19.9844 | 0 |
Data for Figure 6 (Bottom Left Panel)
| Average percent change in foreign GDP | Baseline Monetary Policy Rule | Average percent change in foreign GDP | More aggressive on inflation | Average percent change in foreign GDP | More aggressive on output gap |
|---|---|---|---|---|---|
| -9.4813 | 0.8327 | -9.4588 | 0.7302 | -9.4955 | 0.6887 |
| -9.4451 | 0.8325 | -9.403 | 0.7302 | -9.4604 | 0.6886 |
| -9.409 | 0.8323 | -9.3471 | 0.7302 | -9.4254 | 0.6885 |
| -9.3728 | 0.8322 | -9.2913 | 0.7302 | -9.3904 | 0.6884 |
| -9.3366 | 0.832 | -9.2355 | 0.7302 | -9.3553 | 0.6883 |
| -9.3005 | 0.8318 | -9.1797 | 0.7302 | -9.3203 | 0.6882 |
| -9.2643 | 0.8316 | -9.1239 | 0.7302 | -9.2853 | 0.6881 |
| -9.2281 | 0.8315 | -9.068 | 0.7302 | -9.2502 | 0.688 |
| -9.192 | 0.8313 | -9.0122 | 0.7302 | -9.2152 | 0.6878 |
| -9.1558 | 0.8311 | -8.9564 | 0.7302 | -9.1802 | 0.6877 |
| -9.1196 | 0.8309 | -8.9006 | 0.7302 | -9.1451 | 0.6876 |
| -9.0834 | 0.8307 | -8.8448 | 0.7302 | -9.1101 | 0.6875 |
| -9.0473 | 0.8306 | -8.7889 | 0.7302 | -9.0751 | 0.6874 |
| -9.0111 | 0.8304 | -8.7331 | 0.7302 | -9.04 | 0.6872 |
| -8.9749 | 0.8302 | -8.6773 | 0.7302 | -9.005 | 0.6871 |
| -8.9388 | 0.83 | -8.6215 | 0.7302 | -8.97 | 0.687 |
| -8.9026 | 0.8298 | -8.5657 | 0.7302 | -8.9349 | 0.6869 |
| -8.8664 | 0.8296 | -8.5098 | 0.7302 | -8.8999 | 0.6867 |
| -8.8303 | 0.8294 | -8.454 | 0.7302 | -8.8649 | 0.6866 |
| -8.7941 | 0.8292 | -8.3982 | 0.7302 | -8.8299 | 0.6865 |
| -8.7579 | 0.829 | -8.3424 | 0.7302 | -8.7948 | 0.6864 |
| -8.7217 | 0.8288 | -8.2866 | 0.7302 | -8.7598 | 0.6862 |
| -8.6856 | 0.8286 | -8.2308 | 0.7302 | -8.7248 | 0.6861 |
| -8.6494 | 0.8284 | -8.1749 | 0.7302 | -8.6897 | 0.686 |
| -8.6132 | 0.8282 | -8.1191 | 0.7302 | -8.6547 | 0.686 |
| -8.5771 | 0.828 | -8.0633 | 0.7302 | -8.6196 | 0.6859 |
| -8.5409 | 0.8278 | -8.0075 | 0.7302 | -8.5846 | 0.6858 |
| -8.5047 | 0.8276 | -7.9517 | 0.7302 | -8.5496 | 0.6858 |
| -8.4686 | 0.8274 | -7.8958 | 0.7302 | -8.5145 | 0.6857 |
| -8.4324 | 0.8272 | -7.84 | 0.7302 | -8.4795 | 0.6857 |
| -8.3962 | 0.827 | -7.7842 | 0.7302 | -8.4445 | 0.6856 |
| -8.36 | 0.8268 | -7.7284 | 0.7302 | -8.4094 | 0.6855 |
| -8.3239 | 0.8265 | -7.6726 | 0.7302 | -8.3744 | 0.6855 |
| -8.2877 | 0.8263 | -7.6167 | 0.7302 | -8.3393 | 0.6854 |
| -8.2515 | 0.8261 | -7.5609 | 0.7302 | -8.3043 | 0.6853 |
| -8.2154 | 0.8259 | -7.5051 | 0.7302 | -8.2693 | 0.6853 |
| -8.1792 | 0.8257 | -7.4493 | 0.7302 | -8.2342 | 0.6852 |
| -8.143 | 0.8254 | -7.3935 | 0.7302 | -8.1992 | 0.6851 |
| -8.1069 | 0.8252 | -7.3376 | 0.7302 | -8.1641 | 0.6851 |
| -8.0707 | 0.825 | -7.2818 | 0.7302 | -8.1291 | 0.685 |
| -8.0345 | 0.8247 | -7.226 | 0.7302 | -8.0941 | 0.685 |
| -7.9983 | 0.8245 | -7.1702 | 0.7302 | -8.059 | 0.6849 |
| -7.9622 | 0.8243 | -7.1144 | 0.7302 | -8.024 | 0.6848 |
| -7.926 | 0.824 | -7.0585 | 0.7302 | -7.989 | 0.6847 |
| -7.8898 | 0.8238 | -7.0027 | 0.7302 | -7.9539 | 0.6847 |
| -7.8537 | 0.8235 | -6.9469 | 0.7302 | -7.9189 | 0.6846 |
| -7.8175 | 0.8233 | -6.8911 | 0.7302 | -7.8838 | 0.6845 |
| -7.7813 | 0.823 | -6.8353 | 0.7302 | -7.8488 | 0.6845 |
| -7.7452 | 0.8228 | -6.7795 | 0.7302 | -7.8138 | 0.6844 |
| -7.709 | 0.8225 | -6.7236 | 0.7302 | -7.7787 | 0.6843 |
| -7.6728 | 0.8223 | -6.6678 | 0.7302 | -7.7437 | 0.6842 |
| -7.6366 | 0.822 | -6.612 | 0.7302 | -7.7086 | 0.6842 |
| -7.6005 | 0.8218 | -6.5562 | 0.7302 | -7.6736 | 0.6841 |
| -7.5643 | 0.8215 | -6.5004 | 0.7302 | -7.6386 | 0.684 |
| -7.5281 | 0.8212 | -6.4445 | 0.7302 | -7.6035 | 0.684 |
| -7.492 | 0.821 | -6.3887 | 0.7302 | -7.5685 | 0.6839 |
| -7.4558 | 0.8207 | -6.3329 | 0.7302 | -7.5335 | 0.6838 |
| -7.4196 | 0.8204 | -6.2771 | 0.7302 | -7.4984 | 0.6837 |
| -7.3835 | 0.8201 | -6.2213 | 0.7302 | -7.4634 | 0.6836 |
| -7.3473 | 0.8199 | -6.1654 | 0.7302 | -7.4283 | 0.6836 |
| -7.3111 | 0.8196 | -6.1096 | 0.7302 | -7.3933 | 0.6835 |
| -7.2749 | 0.8193 | -6.0538 | 0.7302 | -7.3583 | 0.6834 |
| -7.2388 | 0.819 | -5.998 | 0.7302 | -7.3232 | 0.6833 |
| -7.2026 | 0.8187 | -5.9422 | 0.7302 | -7.2882 | 0.6832 |
| -7.1664 | 0.8184 | -5.8863 | 0.7302 | -7.2531 | 0.6832 |
| -7.1303 | 0.8181 | -5.8305 | 0.7302 | -7.2181 | 0.6831 |
| -7.0941 | 0.8178 | -5.7747 | 0.7302 | -7.1831 | 0.683 |
| -7.0579 | 0.8175 | -5.7189 | 0.7302 | -7.148 | 0.6829 |
| -7.0217 | 0.8174 | -5.6631 | 0.7302 | -7.113 | 0.6828 |
| -6.9856 | 0.8173 | -5.6072 | 0.7302 | -7.078 | 0.6827 |
| -6.9494 | 0.8171 | -5.5514 | 0.7302 | -7.0429 | 0.6826 |
| -6.9132 | 0.817 | -5.4956 | 0.7302 | -7.0079 | 0.6825 |
| -6.877 | 0.8169 | -5.4398 | 0.7302 | -6.9728 | 0.6825 |
| -6.8408 | 0.8167 | -5.384 | 0.7302 | -6.9378 | 0.6824 |
| -6.8046 | 0.8166 | -5.3282 | 0.7302 | -6.9028 | 0.6823 |
| -6.7685 | 0.8165 | -5.2723 | 0.7302 | -6.8677 | 0.6822 |
| -6.7323 | 0.8163 | -5.2165 | 0.7302 | -6.8327 | 0.6821 |
| -6.6961 | 0.8162 | -5.1607 | 0.7302 | -6.7976 | 0.682 |
| -6.6599 | 0.816 | -5.1049 | 0.7302 | -6.7626 | 0.6819 |
| -6.6237 | 0.8159 | -5.0491 | 0.7302 | -6.7276 | 0.6818 |
| -6.5875 | 0.8157 | -4.9932 | 0.7302 | -6.6925 | 0.6817 |
| -6.5514 | 0.8156 | -4.9374 | 0.7302 | -6.6575 | 0.6816 |
| -6.5152 | 0.8154 | -4.8816 | 0.7302 | -6.6225 | 0.6815 |
| -6.479 | 0.8153 | -4.8258 | 0.7302 | -6.5874 | 0.6814 |
| -6.4428 | 0.8151 | -4.77 | 0.7302 | -6.5524 | 0.6813 |
| -6.4066 | 0.815 | -4.7141 | 0.7302 | -6.5173 | 0.6812 |
| -6.3704 | 0.8148 | -4.6583 | 0.7302 | -6.4823 | 0.6811 |
| -6.3343 | 0.8147 | -4.6025 | 0.7302 | -6.4473 | 0.681 |
| -6.2981 | 0.8145 | -4.5467 | 0.7302 | -6.4122 | 0.6809 |
| -6.2619 | 0.8143 | -4.4909 | 0.7302 | -6.3772 | 0.6808 |
| -6.2257 | 0.8142 | -4.435 | 0.7302 | -6.3421 | 0.6807 |
| -6.1895 | 0.814 | -4.3792 | 0.7302 | -6.3071 | 0.6806 |
| -6.1533 | 0.8138 | -4.3234 | 0.7302 | -6.2721 | 0.6804 |
| -6.1172 | 0.8137 | -4.2676 | 0.7302 | -6.237 | 0.6803 |
| -6.081 | 0.8135 | -4.2118 | 0.7302 | -6.202 | 0.6802 |
| -6.0448 | 0.8133 | -4.1559 | 0.7302 | -6.167 | 0.6801 |
| -6.0086 | 0.8131 | -4.1001 | 0.7302 | -6.1319 | 0.68 |
| -5.9724 | 0.813 | -4.0443 | 0.7302 | -6.0969 | 0.6799 |
| -5.9362 | 0.8128 | -3.9885 | 0.7302 | -6.0618 | 0.6798 |
| -5.9001 | 0.8126 | -3.9327 | 0.7302 | -6.0268 | 0.6796 |
| -5.8639 | 0.8124 | -3.8769 | 0.7302 | -5.9918 | 0.6795 |
| -5.8277 | 0.8122 | -3.821 | 0.7302 | -5.9567 | 0.6794 |
| -5.7915 | 0.812 | -3.7652 | 0.7302 | -5.9217 | 0.6793 |
| -5.7553 | 0.8118 | -3.7094 | 0.7302 | -5.8866 | 0.6791 |
| -5.7191 | 0.8116 | -3.6536 | 0.7302 | -5.8516 | 0.679 |
| -5.6829 | 0.8114 | -3.5978 | 0.7302 | -5.8166 | 0.6789 |
| -5.6468 | 0.8112 | -3.5419 | 0.7302 | -5.7815 | 0.6787 |
| -5.6106 | 0.811 | -3.4861 | 0.7302 | -5.7465 | 0.6786 |
| -5.5744 | 0.8108 | -3.4303 | 0.7302 | -5.7115 | 0.6785 |
| -5.5382 | 0.8106 | -3.3745 | 0.7302 | -5.6764 | 0.6783 |
| -5.502 | 0.8104 | -3.3187 | 0.7302 | -5.6414 | 0.6782 |
| -5.4658 | 0.8102 | -3.2628 | 0.7302 | -5.6063 | 0.6781 |
| -5.4297 | 0.81 | -3.207 | 0.7302 | -5.5713 | 0.6779 |
| -5.3935 | 0.8098 | -3.1512 | 0.7302 | -5.5363 | 0.6778 |
| -5.3573 | 0.8095 | -3.0954 | 0.7302 | -5.5012 | 0.6776 |
| -5.3211 | 0.8093 | -3.0396 | 0.7302 | -5.4662 | 0.6775 |
| -5.2849 | 0.8091 | -2.9837 | 0.7302 | -5.4311 | 0.6773 |
| -5.2487 | 0.8089 | -2.9279 | 0.7302 | -5.3961 | 0.6772 |
| -5.2126 | 0.8086 | -2.8721 | 0.7302 | -5.3611 | 0.677 |
| -5.1764 | 0.8084 | -2.8163 | 0.7302 | -5.326 | 0.6769 |
| -5.1402 | 0.8081 | -2.7605 | 0.7302 | -5.291 | 0.6767 |
| -5.104 | 0.8079 | -2.7046 | 0.7302 | -5.256 | 0.6766 |
| -5.0678 | 0.8076 | -2.6488 | 0.7302 | -5.2209 | 0.6764 |
| -5.0316 | 0.8074 | -2.593 | 0.7302 | -5.1859 | 0.6763 |
| -4.9955 | 0.8071 | -2.5372 | 0.7302 | -5.1508 | 0.6761 |
| -4.9593 | 0.8069 | -2.4814 | 0.7302 | -5.1158 | 0.6759 |
| -4.9231 | 0.8066 | -2.4256 | 0.7302 | -5.0808 | 0.6758 |
| -4.8869 | 0.8063 | -2.3697 | 0.7302 | -5.0457 | 0.6756 |
| -4.8507 | 0.8061 | -2.3139 | 0.7302 | -5.0107 | 0.6754 |
| -4.8145 | 0.8058 | -2.2581 | 0.7302 | -4.9756 | 0.6752 |
| -4.7784 | 0.8055 | -2.2023 | 0.7302 | -4.9406 | 0.6751 |
| -4.7422 | 0.8052 | -2.1465 | 0.7302 | -4.9056 | 0.6749 |
| -4.706 | 0.8049 | -2.0906 | 0.7302 | -4.8705 | 0.6747 |
| -4.6698 | 0.8047 | -2.0348 | 0.7302 | -4.8355 | 0.6745 |
| -4.6336 | 0.8044 | -1.979 | 0.7302 | -4.8005 | 0.6743 |
| -4.5974 | 0.8041 | -1.9232 | 0.7302 | -4.7654 | 0.6741 |
| -4.5613 | 0.8037 | -1.8674 | 0.7302 | -4.7304 | 0.6739 |
| -4.5251 | 0.8034 | -1.8115 | 0.7302 | -4.6953 | 0.6737 |
| -4.4889 | 0.8031 | -1.7557 | 0.7302 | -4.6603 | 0.6737 |
| -4.4527 | 0.8028 | -1.6999 | 0.7302 | -4.6253 | 0.6736 |
| -4.4165 | 0.8025 | -1.6441 | 0.7302 | -4.5902 | 0.6736 |
| -4.3803 | 0.8021 | -1.5883 | 0.7302 | -4.5552 | 0.6735 |
| -4.3441 | 0.8018 | -1.5324 | 0.7302 | -4.5201 | 0.6735 |
| -4.308 | 0.8015 | -1.4766 | 0.7302 | -4.4851 | 0.6734 |
| -4.2718 | 0.8011 | -1.4208 | 0.7302 | -4.45 | 0.6734 |
| -4.2356 | 0.8008 | -1.365 | 0.7302 | -4.415 | 0.6733 |
| -4.1994 | 0.8004 | -1.3092 | 0.7302 | -4.3799 | 0.6733 |
| -4.1632 | 0.8 | -1.2533 | 0.7302 | -4.3449 | 0.6732 |
| -4.127 | 0.7996 | -1.1975 | 0.7302 | -4.3098 | 0.6732 |
| -4.0909 | 0.7993 | -1.1417 | 0.7302 | -4.2748 | 0.6731 |
| -4.0547 | 0.7989 | -1.0859 | 0.7302 | -4.2398 | 0.6731 |
| -4.0185 | 0.7985 | -1.0301 | 0.7302 | -4.2047 | 0.673 |
| -3.9823 | 0.7981 | -0.9743 | 0.7302 | -4.1697 | 0.673 |
| -3.9461 | 0.7977 | -0.9184 | 0.7302 | -4.1346 | 0.6729 |
| -3.9099 | 0.7975 | -0.8626 | 0.7302 | -4.0996 | 0.6728 |
| -3.8737 | 0.7974 | -0.8068 | 0.7302 | -4.0645 | 0.6728 |
| -3.8375 | 0.7973 | -0.751 | 0.7302 | -4.0295 | 0.6727 |
| -3.8013 | 0.7972 | -0.6952 | 0.7302 | -3.9944 | 0.6727 |
| -3.7651 | 0.7972 | -0.6393 | 0.7302 | -3.9594 | 0.6726 |
| -3.7289 | 0.7971 | -0.5835 | 0.7302 | -3.9243 | 0.6725 |
| -3.6927 | 0.797 | -0.5277 | 0.7302 | -3.8893 | 0.6725 |
| -3.6566 | 0.7969 | -0.4719 | 0.7302 | -3.8542 | 0.6724 |
| -3.6204 | 0.7968 | -0.4161 | 0.7302 | -3.8192 | 0.6723 |
| -3.5842 | 0.7967 | -0.3602 | 0.7302 | -3.7842 | 0.6723 |
| -3.548 | 0.7967 | -0.3044 | 0.7302 | -3.7491 | 0.6722 |
| -3.5118 | 0.7966 | -0.2486 | 0.7302 | -3.7141 | 0.6721 |
| -3.4756 | 0.7965 | -0.1928 | 0.7302 | -3.679 | 0.672 |
| -3.4394 | 0.7964 | -0.137 | 0.7302 | -3.644 | 0.672 |
| -3.4032 | 0.7963 | -0.0811 | 0.7302 | -3.6089 | 0.6719 |
| -3.367 | 0.7962 | -0.0253 | 0.7302 | -3.5739 | 0.6718 |
| -3.3308 | 0.7961 | 0.0305 | 0.7302 | -3.5388 | 0.6717 |
| -3.2946 | 0.796 | 0.0863 | 0.7302 | -3.5038 | 0.6717 |
| -3.2584 | 0.7959 | 0.1421 | 0.7302 | -3.4687 | 0.6716 |
| -3.2222 | 0.7958 | 0.198 | 0.7302 | -3.4337 | 0.6715 |
| -3.186 | 0.7957 | 0.2538 | 0.7302 | -3.3987 | 0.6714 |
| -3.1498 | 0.7956 | 0.3096 | 0.7302 | -3.3636 | 0.6713 |
| -3.1136 | 0.7955 | 0.3654 | 0.7302 | -3.3286 | 0.6712 |
| -3.0774 | 0.7953 | 0.4212 | 0.7302 | -3.2935 | 0.6711 |
| -3.0412 | 0.7952 | 0.477 | 0.7302 | -3.2585 | 0.671 |
| -3.005 | 0.7951 | 0.5329 | 0.7302 | -3.2234 | 0.671 |
| -2.9688 | 0.795 | 0.5887 | 0.7302 | -3.1884 | 0.6709 |
| -2.9326 | 0.7949 | 0.6445 | 0.7302 | -3.1533 | 0.6708 |
| -2.8964 | 0.7947 | 0.7003 | 0.7302 | -3.1183 | 0.6707 |
| -2.8602 | 0.7946 | 0.7561 | 0.7302 | -3.0832 | 0.6706 |
| -2.824 | 0.7945 | 0.812 | 0.7302 | -3.0482 | 0.6704 |
| -2.7878 | 0.7943 | 0.8678 | 0.7302 | -3.0132 | 0.6703 |
| -2.7516 | 0.7942 | 0.9236 | 0.7302 | -2.9781 | 0.6702 |
| -2.7154 | 0.794 | 0.9794 | 0.7302 | -2.9431 | 0.6701 |
| -2.6792 | 0.7939 | 1.0352 | 0.7302 | -2.908 | 0.67 |
| -2.643 | 0.7937 | 1.0911 | 0.7302 | -2.873 | 0.6699 |
| -2.6068 | 0.7936 | 1.1469 | 0.7302 | -2.8379 | 0.6698 |
| -2.5706 | 0.7934 | 1.2027 | 0.7302 | -2.8029 | 0.6696 |
| -2.5344 | 0.7932 | 1.2585 | 0.7302 | -2.7678 | 0.6695 |
| -2.4982 | 0.793 | 1.3143 | 0.7302 | -2.7328 | 0.6694 |
| -2.462 | 0.7929 | 1.3702 | 0.7302 | -2.6977 | 0.6692 |
| -2.4258 | 0.7927 | 1.426 | 0.7302 | -2.6627 | 0.6691 |
| -2.3896 | 0.7925 | 1.4818 | 0.7302 | -2.6277 | 0.669 |
| -2.3534 | 0.7923 | 1.5376 | 0.7302 | -2.5926 | 0.6688 |
| -2.3172 | 0.7921 | 1.5934 | 0.7302 | -2.5576 | 0.6687 |
| -2.281 | 0.7919 | 1.6493 | 0.7302 | -2.5225 | 0.6685 |
| -2.2448 | 0.7917 | 1.7051 | 0.7302 | -2.4875 | 0.6683 |
| -2.2086 | 0.7914 | 1.7609 | 0.7302 | -2.4524 | 0.6682 |
| -2.1724 | 0.7912 | 1.8167 | 0.7302 | -2.4174 | 0.668 |
| -2.1362 | 0.791 | 1.8725 | 0.7302 | -2.3823 | 0.6678 |
| -2.1 | 0.7907 | 1.9283 | 0.7302 | -2.3473 | 0.6677 |
| -2.0638 | 0.7905 | 1.9842 | 0.7302 | -2.3122 | 0.6675 |
| -2.0276 | 0.7902 | 2.04 | 0.7302 | -2.2772 | 0.6673 |
| -1.9915 | 0.7899 | 2.0958 | 0.7302 | -2.2422 | 0.6671 |
| -1.9553 | 0.7896 | 2.1516 | 0.7302 | -2.2071 | 0.6669 |
| -1.9191 | 0.7893 | 2.2074 | 0.7302 | -2.1721 | 0.6667 |
| -1.8829 | 0.789 | 2.2633 | 0.7302 | -2.137 | 0.6665 |
| -1.8467 | 0.7887 | 2.3191 | 0.7302 | -2.102 | 0.6662 |
| -1.8105 | 0.7884 | 2.3749 | 0.7302 | -2.0669 | 0.666 |
| -1.7743 | 0.788 | 2.4307 | 0.7302 | -2.0319 | 0.6658 |
| -1.7381 | 0.7877 | 2.4865 | 0.7302 | -1.9968 | 0.6655 |
| -1.7019 | 0.7873 | 2.5424 | 0.7302 | -1.9618 | 0.6653 |
| -1.6657 | 0.7869 | 2.5982 | 0.7298 | -1.9267 | 0.665 |
| -1.6295 | 0.7865 | 2.654 | 0.7292 | -1.8917 | 0.6647 |
| -1.5933 | 0.7861 | 2.7099 | 0.7286 | -1.8567 | 0.6645 |
| -1.5571 | 0.7856 | 2.7657 | 0.728 | -1.8216 | 0.6642 |
| -1.5209 | 0.7852 | 2.8215 | 0.7274 | -1.7866 | 0.6639 |
| -1.4847 | 0.7847 | 2.8774 | 0.7268 | -1.7515 | 0.6635 |
| -1.4485 | 0.7842 | 2.9332 | 0.7263 | -1.7165 | 0.6632 |
| -1.4123 | 0.7836 | 2.9891 | 0.7258 | -1.6814 | 0.6629 |
| -1.3761 | 0.7831 | 3.0449 | 0.7253 | -1.6464 | 0.6625 |
| -1.3399 | 0.7825 | 3.1007 | 0.7248 | -1.6113 | 0.6621 |
| -1.3037 | 0.7818 | 3.1566 | 0.7244 | -1.5763 | 0.6617 |
| -1.2675 | 0.7812 | 3.2124 | 0.7239 | -1.5412 | 0.6613 |
| -1.2313 | 0.7804 | 3.2683 | 0.7235 | -1.5062 | 0.6609 |
| -1.1951 | 0.7797 | 3.3241 | 0.7231 | -1.4712 | 0.6605 |
| -1.1589 | 0.7789 | 3.3799 | 0.7227 | -1.4361 | 0.66 |
| -1.1227 | 0.778 | 3.4358 | 0.7223 | -1.4011 | 0.6595 |
| -1.0865 | 0.7771 | 3.4916 | 0.7219 | -1.366 | 0.659 |
| -1.0503 | 0.7762 | 3.5475 | 0.7216 | -1.331 | 0.6584 |
| -1.0141 | 0.7751 | 3.6033 | 0.7212 | -1.2959 | 0.6578 |
| -0.9779 | 0.774 | 3.6591 | 0.7209 | -1.2609 | 0.6572 |
| -0.9417 | 0.7728 | 3.715 | 0.7206 | -1.2258 | 0.6566 |
| -0.9055 | 0.7715 | 3.7708 | 0.7202 | -1.1908 | 0.6561 |
| -0.8693 | 0.7701 | 3.8267 | 0.7199 | -1.1557 | 0.6561 |
| -0.8331 | 0.7686 | 3.8825 | 0.7196 | -1.1207 | 0.6561 |
| -0.7969 | 0.7669 | 3.9383 | 0.7193 | -1.0856 | 0.6561 |
| -0.7607 | 0.7651 | 3.9942 | 0.7191 | -1.0506 | 0.6561 |
| -0.7245 | 0.7639 | 4.05 | 0.7188 | -1.0155 | 0.6561 |
| -0.6883 | 0.7639 | 4.1059 | 0.7185 | -0.9805 | 0.6561 |
| -0.6521 | 0.7639 | 4.1617 | 0.7182 | -0.9454 | 0.6561 |
| -0.6159 | 0.7639 | 4.2175 | 0.718 | -0.9104 | 0.6561 |
| -0.5797 | 0.7639 | 4.2734 | 0.7177 | -0.8753 | 0.6561 |
| -0.5435 | 0.7639 | 4.3292 | 0.7175 | -0.8403 | 0.6561 |
| -0.5072 | 0.7639 | 4.3851 | 0.7173 | -0.8052 | 0.6561 |
| -0.471 | 0.7639 | 4.4409 | 0.717 | -0.7702 | 0.6561 |
| -0.4348 | 0.7639 | 4.4967 | 0.7168 | -0.7351 | 0.6561 |
| -0.3986 | 0.7639 | 4.5526 | 0.7166 | -0.7 | 0.6561 |
| -0.3624 | 0.7639 | 4.6084 | 0.7164 | -0.665 | 0.6561 |
| -0.3262 | 0.7639 | 4.6643 | 0.7162 | -0.6299 | 0.6561 |
| -0.29 | 0.7639 | 4.7201 | 0.716 | -0.5949 | 0.6561 |
| -0.2538 | 0.7639 | 4.7759 | 0.7158 | -0.5598 | 0.6561 |
| -0.2175 | 0.7639 | 4.8318 | 0.7156 | -0.5248 | 0.6561 |
| -0.1813 | 0.7639 | 4.8876 | 0.7154 | -0.4897 | 0.6561 |
| -0.1451 | 0.7639 | 4.9435 | 0.7152 | -0.4547 | 0.6561 |
| -0.1089 | 0.7639 | 4.9993 | 0.715 | -0.4196 | 0.6561 |
| -0.0727 | 0.7639 | 5.0551 | 0.7148 | -0.3846 | 0.6561 |
| -0.0365 | 0.7639 | 5.111 | 0.7147 | -0.3495 | 0.6561 |
| -0.0003 | 0.7639 | 5.1668 | 0.7145 | -0.3145 | 0.6561 |
| 0.0359 | 0.7639 | 5.2227 | 0.7143 | -0.2794 | 0.6561 |
| 0.0722 | 0.7639 | 5.2785 | 0.7142 | -0.2444 | 0.6561 |
| 0.1084 | 0.7639 | 5.3343 | 0.714 | -0.2093 | 0.6561 |
| 0.1446 | 0.7639 | 5.3902 | 0.7139 | -0.1743 | 0.6561 |
| 0.1808 | 0.7639 | 5.446 | 0.7137 | -0.1392 | 0.6561 |
| 0.217 | 0.7639 | 5.5019 | 0.7136 | -0.1042 | 0.6561 |
| 0.2532 | 0.7639 | 5.5577 | 0.7134 | -0.0691 | 0.6561 |
| 0.2894 | 0.7639 | 5.6135 | 0.7133 | -0.034 | 0.6561 |
| 0.3256 | 0.7639 | 5.6694 | 0.7131 | 0.001 | 0.6561 |
| 0.3619 | 0.7639 | 5.7252 | 0.713 | 0.0361 | 0.6561 |
| 0.3981 | 0.7639 | 5.7811 | 0.7129 | 0.0711 | 0.6561 |
| 0.4343 | 0.7639 | 5.8369 | 0.7127 | 0.1062 | 0.6561 |
| 0.4705 | 0.7639 | 5.8927 | 0.7126 | 0.1412 | 0.6561 |
| 0.5067 | 0.7639 | 5.9486 | 0.7125 | 0.1763 | 0.6561 |
| 0.5429 | 0.7639 | 6.0044 | 0.7123 | 0.2113 | 0.6561 |
| 0.5791 | 0.7639 | 6.0603 | 0.7122 | 0.2464 | 0.6561 |
| 0.6153 | 0.7639 | 6.1161 | 0.7121 | 0.2814 | 0.6561 |
| 0.6515 | 0.7639 | 6.1719 | 0.712 | 0.3165 | 0.6561 |
| 0.6878 | 0.7639 | 6.2278 | 0.7119 | 0.3515 | 0.6561 |
| 0.724 | 0.7639 | 6.2836 | 0.7117 | 0.3866 | 0.6561 |
| 0.7602 | 0.7639 | 6.3395 | 0.7116 | 0.4216 | 0.6561 |
| 0.7964 | 0.7639 | 6.3953 | 0.7115 | 0.4567 | 0.6561 |
| 0.8326 | 0.7639 | 6.4511 | 0.7114 | 0.4917 | 0.6561 |
| 0.8688 | 0.7639 | 6.507 | 0.7113 | 0.5268 | 0.6561 |
| 0.905 | 0.7639 | 6.5628 | 0.7112 | 0.5619 | 0.6561 |
| 0.9412 | 0.7639 | 6.6187 | 0.7111 | 0.5969 | 0.6561 |
| 0.9775 | 0.7639 | 6.6745 | 0.711 | 0.632 | 0.6561 |
| 1.0137 | 0.7639 | 6.7303 | 0.7109 | 0.667 | 0.6561 |
| 1.0499 | 0.7639 | 6.7862 | 0.7108 | 0.7021 | 0.6561 |
| 1.0861 | 0.7639 | 6.842 | 0.7107 | 0.7371 | 0.6561 |
| 1.1223 | 0.7639 | 6.8979 | 0.7106 | 0.7722 | 0.6561 |
| 1.1585 | 0.7639 | 6.9537 | 0.7105 | 0.8072 | 0.6561 |
| 1.1947 | 0.7639 | 7.0095 | 0.7104 | 0.8423 | 0.6561 |
| 1.2309 | 0.7639 | 7.0654 | 0.7103 | 0.8773 | 0.6561 |
| 1.2672 | 0.7639 | 7.1212 | 0.7102 | 0.9124 | 0.6561 |
| 1.3034 | 0.7639 | 7.1771 | 0.7102 | 0.9474 | 0.6561 |
| 1.3396 | 0.7639 | 7.2329 | 0.7101 | 0.9825 | 0.6561 |
| 1.3758 | 0.7639 | 7.2887 | 0.71 | 1.0175 | 0.6561 |
| 1.412 | 0.7639 | 7.3446 | 0.7099 | 1.0526 | 0.6561 |
| 1.4482 | 0.7639 | 7.4004 | 0.7098 | 1.0876 | 0.6561 |
| 1.4844 | 0.7639 | 7.4563 | 0.7097 | 1.1227 | 0.6561 |
| 1.5206 | 0.7639 | 7.5121 | 0.7097 | 1.1577 | 0.6561 |
| 1.5569 | 0.7639 | 7.5679 | 0.7096 | 1.1928 | 0.6561 |
| 1.5931 | 0.7639 | 7.6238 | 0.7095 | 1.2279 | 0.6561 |
| 1.6293 | 0.7639 | 7.6796 | 0.7094 | 1.2629 | 0.6561 |
| 1.6655 | 0.7639 | 7.7355 | 0.7094 | 1.298 | 0.6561 |
| 1.7017 | 0.7639 | 7.7913 | 0.7093 | 1.333 | 0.6561 |
| 1.7379 | 0.7639 | 7.8471 | 0.7092 | 1.3681 | 0.6561 |
| 1.7741 | 0.7639 | 7.903 | 0.7091 | 1.4031 | 0.6561 |
| 1.8103 | 0.7639 | 7.9588 | 0.7091 | 1.4382 | 0.6561 |
| 1.8466 | 0.7639 | 8.0147 | 0.709 | 1.4732 | 0.6561 |
| 1.8828 | 0.7639 | 8.0705 | 0.7089 | 1.5083 | 0.6561 |
| 1.919 | 0.7639 | 8.1263 | 0.7089 | 1.5433 | 0.6561 |
| 1.9552 | 0.7639 | 8.1822 | 0.7086 | 1.5784 | 0.6561 |
| 1.9914 | 0.7639 | 8.2381 | 0.7083 | 1.6134 | 0.6561 |
| 2.0276 | 0.7639 | 8.2939 | 0.7079 | 1.6485 | 0.6561 |
| 2.0638 | 0.7639 | 8.3498 | 0.7076 | 1.6835 | 0.6557 |
| 2.1 | 0.7639 | 8.4056 | 0.7073 | 1.7186 | 0.6551 |
| 2.1363 | 0.7639 | 8.4615 | 0.707 | 1.7537 | 0.6546 |
| 2.1725 | 0.7639 | 8.5174 | 0.7067 | 1.7887 | 0.6541 |
| 2.2087 | 0.7632 | 8.5733 | 0.7063 | 1.8238 | 0.6536 |
| 2.2449 | 0.7624 | 8.6291 | 0.7059 | 1.8588 | 0.6531 |
| 2.2811 | 0.7617 | 8.685 | 0.7055 | 1.8939 | 0.6527 |
| 2.3174 | 0.7611 | 8.7409 | 0.7051 | 1.929 | 0.6523 |
| 2.3536 | 0.7604 | 8.7968 | 0.7047 | 1.964 | 0.6518 |
| 2.3898 | 0.7598 | 8.8527 | 0.7043 | 1.9991 | 0.6514 |
| 2.4261 | 0.7591 | 8.9086 | 0.7039 | 2.0341 | 0.651 |
| 2.4623 | 0.7585 | 8.9644 | 0.7035 | 2.0692 | 0.6507 |
| 2.4985 | 0.758 | 9.0203 | 0.7031 | 2.1043 | 0.6503 |
| 2.5347 | 0.7574 | 9.0762 | 0.7027 | 2.1393 | 0.6499 |
| 2.571 | 0.7568 | 9.1321 | 0.7024 | 2.1744 | 0.6496 |
| 2.6072 | 0.7563 | 9.188 | 0.702 | 2.2094 | 0.6493 |
| 2.6434 | 0.7558 | 9.2439 | 0.7016 | 2.2445 | 0.649 |
| 2.6797 | 0.7553 | 9.2997 | 0.7013 | 2.2796 | 0.6486 |
| 2.7159 | 0.7548 | 9.3556 | 0.7009 | 2.3146 | 0.6483 |
| 2.7521 | 0.7543 | 9.4115 | 0.7006 | 2.3497 | 0.648 |
| 2.7883 | 0.7538 | 9.4674 | 0.7002 | 2.3847 | 0.6478 |
| 2.8246 | 0.7534 | 9.5233 | 0.6999 | 2.4198 | 0.6475 |
| 2.8608 | 0.7529 | 9.5792 | 0.6995 | 2.4549 | 0.6472 |
| 2.897 | 0.7525 | 9.635 | 0.6992 | 2.4899 | 0.647 |
| 2.9332 | 0.7521 | 9.6909 | 0.6989 | 2.525 | 0.6467 |
| 2.9695 | 0.7517 | 9.7468 | 0.6986 | 2.56 | 0.6465 |
| 3.0057 | 0.7513 | 9.8027 | 0.6982 | 2.5951 | 0.6462 |
| 3.0419 | 0.7509 | 9.8586 | 0.6979 | 2.6302 | 0.646 |
| 3.0782 | 0.7505 | 9.9145 | 0.6976 | 2.6652 | 0.6458 |
| 3.1144 | 0.7501 | 9.9701 | 0.6983 | 2.7003 | 0.6455 |
| 3.1506 | 0.7498 | 10.0261 | 0.6976 | 2.7353 | 0.6453 |
| 3.1868 | 0.7494 | 10.0821 | 0.697 | 2.7704 | 0.6451 |
| 3.2231 | 0.7491 | 10.138 | 0.6964 | 2.8055 | 0.6449 |
| 3.2593 | 0.7487 | 10.194 | 0.6958 | 2.8405 | 0.6447 |
| 3.2955 | 0.7484 | 10.2499 | 0.6951 | 2.8756 | 0.6445 |
| 3.3317 | 0.748 | 10.3059 | 0.6945 | 2.9106 | 0.6443 |
| 3.368 | 0.7477 | 10.3618 | 0.6939 | 2.9457 | 0.6441 |
| 3.4042 | 0.7474 | 10.4178 | 0.6933 | 2.9808 | 0.644 |
| 3.4404 | 0.7471 | 10.4737 | 0.6927 | 3.0158 | 0.6438 |
| 3.4767 | 0.7468 | 10.5297 | 0.6921 | 3.0509 | 0.6436 |
| 3.5129 | 0.7465 | 10.5856 | 0.6916 | 3.0859 | 0.6435 |
| 3.5491 | 0.7462 | 10.6416 | 0.691 | 3.121 | 0.6433 |
| 3.5853 | 0.7459 | 10.6975 | 0.6904 | 3.1561 | 0.6431 |
| 3.6216 | 0.7457 | 10.7535 | 0.6898 | 3.1911 | 0.643 |
| 3.6578 | 0.7454 | 10.8094 | 0.6891 | 3.2262 | 0.6428 |
| 3.694 | 0.7451 | 10.8654 | 0.6883 | 3.2612 | 0.6427 |
| 3.7302 | 0.7449 | 10.9215 | 0.6872 | 3.2963 | 0.6425 |
| 3.7665 | 0.7446 | 10.9775 | 0.686 | 3.3314 | 0.6424 |
| 3.8027 | 0.7444 | 11.0336 | 0.6849 | 3.3664 | 0.6422 |
| 3.8389 | 0.7441 | 11.0897 | 0.6839 | 3.4015 | 0.6421 |
| 3.8752 | 0.7439 | 11.1457 | 0.6828 | 3.4365 | 0.642 |
| 3.9114 | 0.7436 | 11.2018 | 0.6817 | 3.4716 | 0.6418 |
| 3.9476 | 0.7434 | 11.2578 | 0.6807 | 3.5067 | 0.6417 |
| 3.9838 | 0.7432 | 11.3139 | 0.6796 | 3.5417 | 0.6416 |
| 4.0201 | 0.743 | 11.37 | 0.6786 | 3.5768 | 0.6414 |
| 4.0563 | 0.7427 | 11.426 | 0.6776 | 3.6118 | 0.6413 |
| 4.0925 | 0.7425 | 11.4822 | 0.6762 | 3.6469 | 0.6412 |
| 4.1287 | 0.7423 | 11.5383 | 0.6748 | 3.682 | 0.6411 |
| 4.165 | 0.7421 | 11.5944 | 0.6735 | 3.717 | 0.641 |
| 4.2012 | 0.7419 | 11.6506 | 0.6722 | 3.7521 | 0.6408 |
| 4.2374 | 0.7417 | 11.7067 | 0.6709 | 3.7871 | 0.6407 |
| 4.2737 | 0.7415 | 11.7629 | 0.6696 | 3.8222 | 0.6406 |
| 4.3099 | 0.7413 | 11.819 | 0.6683 | 3.8573 | 0.6405 |
| 4.3461 | 0.7411 | 11.8752 | 0.667 | 3.8923 | 0.6403 |
| 4.3823 | 0.7409 | 11.9313 | 0.6657 | 3.9274 | 0.6399 |
| 4.4186 | 0.7407 | 11.9875 | 0.6642 | 3.9625 | 0.6395 |
| 4.4548 | 0.7406 | 12.0437 | 0.6628 | 3.9975 | 0.6392 |
| 4.491 | 0.7404 | 12.0998 | 0.6613 | 4.0326 | 0.6388 |
| 4.5272 | 0.7402 | 12.156 | 0.6598 | 4.0677 | 0.6385 |
| 4.5635 | 0.74 | 12.2122 | 0.6583 | 4.1027 | 0.6381 |
| 4.5997 | 0.7398 | 12.2684 | 0.6568 | 4.1378 | 0.6378 |
| 4.6359 | 0.7393 | 12.3246 | 0.6554 | 4.1729 | 0.6374 |
| 4.6722 | 0.7387 | 12.3807 | 0.6539 | 4.2079 | 0.6371 |
| 4.7084 | 0.7382 | 12.4369 | 0.6524 | 4.243 | 0.6368 |
| 4.7447 | 0.7377 | 12.4931 | 0.6509 | 4.2781 | 0.6364 |
| 4.7809 | 0.7371 | 12.5493 | 0.6494 | 4.3131 | 0.6361 |
| 4.8172 | 0.7366 | 12.6055 | 0.6479 | 4.3482 | 0.6358 |
| 4.8534 | 0.7361 | 12.6617 | 0.6463 | 4.3833 | 0.6355 |
| 4.8896 | 0.7356 | 12.7179 | 0.6448 | 4.4183 | 0.6352 |
| 4.9259 | 0.7351 | 12.7741 | 0.6433 | 4.4534 | 0.6349 |
| 4.9621 | 0.7346 | 12.8303 | 0.6419 | 4.4885 | 0.6346 |
| 4.9984 | 0.7342 | 12.8864 | 0.6404 | 4.5235 | 0.6343 |
| 5.0346 | 0.7337 | 12.9426 | 0.6389 | 4.5586 | 0.634 |
| 5.0709 | 0.7332 | 12.9988 | 0.6375 | 4.5937 | 0.6338 |
| 5.1071 | 0.7328 | 13.055 | 0.6361 | 4.6288 | 0.6335 |
| 5.1434 | 0.7323 | 13.1112 | 0.6346 | 4.6638 | 0.6332 |
| 5.1796 | 0.7319 | 13.1674 | 0.6332 | 4.6989 | 0.633 |
| 5.2158 | 0.7314 | 13.2236 | 0.6318 | 4.734 | 0.6327 |
| 5.2521 | 0.731 | 13.2798 | 0.6305 | 4.769 | 0.6324 |
| 5.2883 | 0.7305 | 13.336 | 0.6291 | 4.8041 | 0.6322 |
| 5.3246 | 0.73 | 13.3922 | 0.6277 | 4.8392 | 0.6319 |
| 5.3608 | 0.7295 | 13.4484 | 0.6264 | 4.8742 | 0.6317 |
| 5.3971 | 0.729 | 13.5045 | 0.625 | 4.9093 | 0.6314 |
| 5.4333 | 0.7286 | 13.5607 | 0.6237 | 4.9444 | 0.6312 |
| 5.4696 | 0.7281 | 13.6169 | 0.6224 | 4.9794 | 0.631 |
| 5.5058 | 0.7277 | 13.6731 | 0.6211 | 5.0145 | 0.6307 |
| 5.5421 | 0.7272 | 13.7293 | 0.6198 | 5.0496 | 0.6305 |
| 5.5783 | 0.7268 | 13.7855 | 0.6185 | 5.0846 | 0.6303 |
| 5.6146 | 0.7263 | 13.8417 | 0.6173 | 5.1197 | 0.63 |
| 5.6508 | 0.7259 | 13.8979 | 0.616 | 5.1548 | 0.6298 |
| 5.6871 | 0.7255 | 13.9541 | 0.6147 | 5.1898 | 0.6296 |
| 5.7233 | 0.7251 | 14.0103 | 0.6135 | 5.2249 | 0.6294 |
| 5.7596 | 0.7246 | 14.0664 | 0.6123 | 5.26 | 0.6292 |
| 5.7958 | 0.7242 | 14.1226 | 0.6111 | 5.295 | 0.629 |
| 5.8321 | 0.7238 | 14.1788 | 0.6098 | 5.3301 | 0.6288 |
| 5.8683 | 0.7234 | 14.235 | 0.6086 | 5.3652 | 0.6285 |
| 5.9046 | 0.723 | 14.2912 | 0.6074 | 5.4003 | 0.6282 |
| 5.9408 | 0.7227 | 14.3474 | 0.6063 | 5.4353 | 0.6279 |
| 5.9771 | 0.7223 | 14.4036 | 0.6051 | 5.4704 | 0.6277 |
| 6.0133 | 0.7219 | 14.4598 | 0.6039 | 5.5055 | 0.6274 |
| 6.0496 | 0.7215 | 14.516 | 0.6028 | 5.5406 | 0.627 |
| 6.0858 | 0.7211 | 14.5722 | 0.6016 | 5.5756 | 0.6265 |
| 6.1221 | 0.7208 | 14.6284 | 0.6005 | 5.6107 | 0.6261 |
| 6.1583 | 0.7204 | 14.6845 | 0.5993 | 5.6458 | 0.6256 |
| 6.1946 | 0.7201 | 14.7407 | 0.5982 | 5.6809 | 0.6251 |
| 6.2308 | 0.7197 | 14.7969 | 0.5971 | 5.716 | 0.6246 |
| 6.2671 | 0.7194 | 14.8531 | 0.596 | 5.7511 | 0.6242 |
| 6.3033 | 0.719 | 14.9093 | 0.5949 | 5.7862 | 0.6237 |
| 6.3396 | 0.7187 | 14.9655 | 0.5938 | 5.8212 | 0.6233 |
| 6.3758 | 0.7183 | 15.0217 | 0.5927 | 5.8563 | 0.6228 |
| 6.4121 | 0.718 | 15.0779 | 0.5917 | 5.8914 | 0.6224 |
| 6.4483 | 0.7177 | 15.1341 | 0.5906 | 5.9265 | 0.622 |
| 6.4846 | 0.7172 | 15.1903 | 0.5896 | 5.9616 | 0.6215 |
| 6.5209 | 0.7166 | 15.2464 | 0.5885 | 5.9967 | 0.6211 |
| 6.5571 | 0.716 | 15.3026 | 0.5875 | 6.0318 | 0.6207 |
| 6.5934 | 0.7154 | 15.3588 | 0.5864 | 6.0668 | 0.6203 |
| 6.6297 | 0.7148 | 15.415 | 0.5854 | 6.1019 | 0.6199 |
| 6.6659 | 0.7142 | 15.4712 | 0.5844 | 6.137 | 0.6195 |
| 6.7022 | 0.7136 | 15.5274 | 0.5834 | 6.1721 | 0.6191 |
| 6.7385 | 0.7131 | 15.5836 | 0.5824 | 6.2072 | 0.6187 |
| 6.7747 | 0.7125 | 15.6398 | 0.5814 | 6.2423 | 0.6183 |
| 6.811 | 0.7119 | 15.696 | 0.5804 | 6.2773 | 0.6179 |
| 6.8473 | 0.7114 | 15.7522 | 0.5794 | 6.3124 | 0.6175 |
| 6.8835 | 0.7108 | 15.8084 | 0.5784 | 6.3475 | 0.6172 |
| 6.9198 | 0.7103 | 15.8645 | 0.5775 | 6.3826 | 0.6168 |
| 6.9561 | 0.7098 | 15.9207 | 0.5765 | 6.4177 | 0.6164 |
| 6.9924 | 0.7092 | 15.9769 | 0.5756 | 6.4528 | 0.6161 |
| 7.0286 | 0.7087 | 16.0331 | 0.5746 | 6.4879 | 0.6157 |
| 7.0649 | 0.7082 | 16.0893 | 0.5737 | 6.5229 | 0.6154 |
| 7.1012 | 0.7077 | 16.1455 | 0.5727 | 6.558 | 0.615 |
| 7.1374 | 0.7071 | 16.2017 | 0.5718 | 6.5931 | 0.6147 |
| 7.1737 | 0.7066 | 16.2579 | 0.5709 | 6.6282 | 0.6143 |
| 7.21 | 0.7061 | 16.3141 | 0.57 | 6.6633 | 0.614 |
| 7.2462 | 0.7056 | 16.3703 | 0.5691 | 6.6984 | 0.6136 |
| 7.2825 | 0.7052 | 16.4265 | 0.5682 | 6.7335 | 0.6131 |
| 7.3188 | 0.7047 | 16.4826 | 0.5673 | 6.7686 | 0.6126 |
| 7.355 | 0.7042 | 16.5388 | 0.5664 | 6.8037 | 0.6121 |
| 7.3913 | 0.7037 | 16.595 | 0.5655 | 6.8387 | 0.6115 |
| 7.4276 | 0.7032 | 16.6512 | 0.5646 | 6.8738 | 0.611 |
| 7.4638 | 0.7028 | 16.7074 | 0.5637 | 6.9089 | 0.6105 |
| 7.5001 | 0.7023 | 16.7636 | 0.5629 | 6.944 | 0.61 |
| 7.5364 | 0.7019 | 16.8198 | 0.562 | 6.9791 | 0.6095 |
| 7.5726 | 0.7014 | 16.876 | 0.5612 | 7.0142 | 0.609 |
| 7.6089 | 0.701 | 16.9322 | 0.5603 | 7.0493 | 0.6085 |
| 7.6452 | 0.7005 | 16.9884 | 0.5595 | 7.0844 | 0.6081 |
| 7.6814 | 0.7001 | 17.0445 | 0.5586 | 7.1195 | 0.6076 |
| 7.7177 | 0.6996 | 17.1007 | 0.5578 | 7.1546 | 0.6071 |
| 7.754 | 0.6992 | 17.1569 | 0.557 | 7.1897 | 0.6066 |
| 7.7902 | 0.6988 | 17.2131 | 0.5561 | 7.2248 | 0.6062 |
| 7.8265 | 0.6982 | 17.2693 | 0.5553 | 7.2599 | 0.6057 |
| 7.8628 | 0.6974 | 17.3255 | 0.5545 | 7.295 | 0.6053 |
| 7.8991 | 0.6966 | 17.3817 | 0.5537 | 7.3301 | 0.6048 |
| 7.9355 | 0.6958 | 17.4379 | 0.5529 | 7.3652 | 0.6044 |
| 7.9718 | 0.6951 | 17.4941 | 0.5521 | 7.4003 | 0.6037 |
| 8.0081 | 0.6943 | 17.5503 | 0.5513 | 7.4354 | 0.6031 |
| 8.0444 | 0.6935 | 17.6065 | 0.5505 | 7.4705 | 0.6025 |
| 8.0807 | 0.6928 | 17.6626 | 0.5498 | 7.5057 | 0.6018 |
| 8.117 | 0.692 | 17.7188 | 0.549 | 7.5408 | 0.6011 |
| 8.1533 | 0.6913 | 17.775 | 0.5482 | 7.5759 | 0.6003 |
| 8.1896 | 0.6906 | 17.8312 | 0.5474 | 7.6111 | 0.5995 |
| 8.2259 | 0.6898 | 17.8874 | 0.5467 | 7.6462 | 0.5988 |
| 8.2622 | 0.6891 | 17.9436 | 0.5459 | 7.6814 | 0.598 |
| 8.2986 | 0.6884 | 17.9998 | 0.5452 | 7.7165 | 0.5973 |
| 8.3349 | 0.6877 | 18.056 | 0.5444 | 7.7516 | 0.5965 |
| 8.3712 | 0.687 | 18.1122 | 0.5437 | 7.7868 | 0.5958 |
| 8.4075 | 0.6863 | 18.1684 | 0.543 | 7.8219 | 0.5951 |
| 8.4438 | 0.6856 | 18.2245 | 0.5422 | 7.857 | 0.5944 |
| 8.4801 | 0.6849 | 18.2807 | 0.5415 | 7.8922 | 0.5937 |
| 8.5164 | 0.6843 | 18.3369 | 0.5408 | 7.9273 | 0.593 |
| 8.5527 | 0.6836 | 18.3931 | 0.54 | 7.9625 | 0.5923 |
| 8.589 | 0.6829 | 18.4493 | 0.5393 | 7.9976 | 0.5916 |
| 8.6254 | 0.6823 | 18.5055 | 0.5386 | 8.0327 | 0.5908 |
| 8.6617 | 0.6816 | 18.5617 | 0.5379 | 8.0679 | 0.5898 |
| 8.698 | 0.6808 | 18.6179 | 0.5372 | 8.1031 | 0.5888 |
| 8.7343 | 0.6799 | 18.6741 | 0.5365 | 8.1383 | 0.5877 |
| 8.7707 | 0.6791 | 18.7303 | 0.5358 | 8.1735 | 0.5867 |
| 8.807 | 0.6781 | 18.7865 | 0.5351 | 8.2087 | 0.5857 |
| 8.8434 | 0.6771 | 18.8426 | 0.5344 | 8.2439 | 0.5847 |
| 8.8798 | 0.6761 | 18.8988 | 0.5338 | 8.2791 | 0.5837 |
| 8.9161 | 0.6752 | 18.955 | 0.5331 | 8.3143 | 0.5828 |
| 8.9525 | 0.6742 | 19.0112 | 0.5324 | 8.3495 | 0.5817 |
| 8.9889 | 0.6732 | 19.0674 | 0.5317 | 8.3847 | 0.5805 |
| 9.0252 | 0.6723 | 19.1236 | 0.5311 | 8.42 | 0.5793 |
| 9.0616 | 0.6713 | 19.1798 | 0.5304 | 8.4552 | 0.5781 |
| 9.098 | 0.6704 | 19.236 | 0.5298 | 8.4905 | 0.5768 |
| 9.1343 | 0.6694 | 19.2922 | 0.5291 | 8.5257 | 0.5756 |
| 9.1707 | 0.6683 | 19.3484 | 0.5285 | 8.561 | 0.5743 |
| 9.2072 | 0.6671 | 19.4046 | 0.5278 | 8.5962 | 0.5731 |
| 9.2436 | 0.6659 | 19.4607 | 0.5272 | 8.6315 | 0.5718 |
| 9.28 | 0.6647 | 19.5169 | 0.5265 | 8.6668 | 0.5706 |
| 9.3164 | 0.6635 | 19.5731 | 0.5259 | 8.702 | 0.5694 |
| 9.3529 | 0.6623 | 19.6293 | 0.5253 | 8.7373 | 0.5682 |
| 9.3893 | 0.6611 | 19.6855 | 0.5246 | 8.7725 | 0.567 |
| 9.4257 | 0.6599 | 19.7417 | 0.524 | 8.8078 | 0.5658 |
| 9.4621 | 0.6587 | 19.7979 | 0.5234 | 8.843 | 0.5646 |
| 9.4986 | 0.6576 | 19.8541 | 0.5228 | 8.8783 | 0.5635 |
| 9.535 | 0.6564 | 19.9103 | 0.5222 | 8.9136 | 0.5623 |
| 9.5714 | 0.6553 | 19.9665 | 0.5215 | 8.9488 | 0.5612 |
| 9.6078 | 0.6542 | 8.9841 | 0.56 | ||
| 9.6443 | 0.653 | 9.0193 | 0.5589 | ||
| 9.6807 | 0.6519 | 9.0546 | 0.5578 | ||
| 9.7171 | 0.6508 | 9.0898 | 0.5567 | ||
| 9.7535 | 0.6497 | 9.1251 | 0.5556 | ||
| 9.79 | 0.6486 | 9.1604 | 0.5545 | ||
| 9.8264 | 0.6476 | 9.1956 | 0.5534 | ||
| 9.8628 | 0.6465 | 9.2309 | 0.5523 | ||
| 9.8992 | 0.6454 | 9.2661 | 0.5512 | ||
| 9.9357 | 0.6444 | 9.3014 | 0.5502 | ||
| 9.9721 | 0.6433 | 9.3366 | 0.5491 | ||
| 10.0085 | 0.6423 | 9.3719 | 0.5481 | ||
| 10.0449 | 0.6412 | 9.4072 | 0.547 | ||
| 10.0814 | 0.6402 | 9.4424 | 0.546 | ||
| 10.1178 | 0.6392 | 9.4777 | 0.545 | ||
| 10.1542 | 0.6382 | 9.5129 | 0.544 | ||
| 10.1906 | 0.6372 | 9.5482 | 0.543 | ||
| 10.2271 | 0.6362 | 9.5835 | 0.542 | ||
| 10.2635 | 0.6352 | 9.6187 | 0.541 | ||
| 10.2999 | 0.6342 | 9.654 | 0.54 | ||
| 10.3363 | 0.6332 | 9.6892 | 0.539 | ||
| 10.3728 | 0.6323 | 9.7245 | 0.538 | ||
| 10.4092 | 0.6313 | 9.7597 | 0.5371 | ||
| 10.4456 | 0.6303 | 9.795 | 0.5361 | ||
| 10.482 | 0.6294 | 9.8303 | 0.5352 | ||
| 10.5185 | 0.6285 | 9.8655 | 0.5342 | ||
| 10.5549 | 0.6275 | 9.9008 | 0.5333 | ||
| 10.5913 | 0.6266 | 9.936 | 0.5323 | ||
| 10.6277 | 0.6257 | 9.9713 | 0.5314 | ||
| 10.6642 | 0.6247 | 10.0065 | 0.5305 | ||
| 10.7006 | 0.6238 | 10.0418 | 0.5296 | ||
| 10.737 | 0.6229 | 10.0771 | 0.5287 | ||
| 10.7734 | 0.622 | 10.1123 | 0.5278 | ||
| 10.8099 | 0.6211 | 10.1476 | 0.5269 | ||
| 10.8463 | 0.6203 | 10.1828 | 0.526 | ||
| 10.8827 | 0.6194 | 10.2181 | 0.5251 | ||
| 10.9191 | 0.6185 | 10.2533 | 0.5243 | ||
| 10.9556 | 0.6176 | 10.2886 | 0.5234 | ||
| 10.992 | 0.6168 | 10.3239 | 0.5225 | ||
| 11.0284 | 0.6159 | 10.3591 | 0.5217 | ||
| 11.0648 | 0.6151 | 10.3944 | 0.5208 | ||
| 11.1013 | 0.6142 | 10.4296 | 0.52 | ||
| 11.1377 | 0.6134 | 10.4649 | 0.5191 | ||
| 11.1741 | 0.6125 | 10.5001 | 0.5183 | ||
| 11.2105 | 0.6117 | 10.5354 | 0.5175 | ||
| 11.247 | 0.6109 | 10.5707 | 0.5167 | ||
| 11.2834 | 0.6101 | 10.6059 | 0.5158 | ||
| 11.3198 | 0.6092 | 10.6412 | 0.515 | ||
| 11.3562 | 0.6084 | 10.6764 | 0.5142 | ||
| 11.3927 | 0.6076 | 10.7117 | 0.5134 | ||
| 11.4291 | 0.6068 | 10.747 | 0.5126 | ||
| 11.4655 | 0.606 | 10.7822 | 0.5118 | ||
| 11.5019 | 0.6053 | 10.8175 | 0.5111 | ||
| 11.5383 | 0.6045 | 10.8527 | 0.5103 | ||
| 11.5748 | 0.6037 | 10.888 | 0.5095 | ||
| 11.6112 | 0.6029 | 10.9232 | 0.5087 | ||
| 11.6476 | 0.6021 | 10.9585 | 0.508 | ||
| 11.684 | 0.6014 | 10.9938 | 0.5072 | ||
| 11.7205 | 0.6006 | 11.029 | 0.5064 | ||
| 11.7569 | 0.5999 | 11.0643 | 0.5057 | ||
| 11.7933 | 0.5991 | 11.0995 | 0.505 | ||
| 11.8297 | 0.5984 | 11.1348 | 0.5042 | ||
| 11.8662 | 0.5976 | 11.17 | 0.5035 | ||
| 11.9026 | 0.5969 | 11.2053 | 0.5027 | ||
| 11.939 | 0.5962 | 11.2406 | 0.502 | ||
| 11.9754 | 0.5954 | 11.2758 | 0.5013 | ||
| 12.0119 | 0.5947 | 11.3111 | 0.5006 | ||
| 12.0483 | 0.594 | 11.3463 | 0.4999 | ||
| 12.0847 | 0.5933 | 11.3816 | 0.4992 | ||
| 12.1211 | 0.5926 | 11.4168 | 0.4985 | ||
| 12.1576 | 0.5919 | 11.4521 | 0.4978 | ||
| 12.194 | 0.5912 | 11.4874 | 0.4971 | ||
| 12.2304 | 0.5905 | 11.5226 | 0.4964 | ||
| 12.2668 | 0.5898 | 11.5579 | 0.4957 | ||
| 12.3033 | 0.5891 | 11.5931 | 0.495 | ||
| 12.3397 | 0.5884 | 11.6284 | 0.4943 | ||
| 12.3761 | 0.5877 | 11.6637 | 0.4936 | ||
| 12.4125 | 0.587 | 11.6989 | 0.493 | ||
| 12.449 | 0.5864 | 11.7342 | 0.4923 | ||
| 12.4854 | 0.5857 | 11.7694 | 0.4916 | ||
| 12.5218 | 0.585 | 11.8047 | 0.491 | ||
| 12.5582 | 0.5844 | 11.8399 | 0.4903 | ||
| 12.5947 | 0.5837 | 11.8752 | 0.4897 | ||
| 12.6311 | 0.5831 | 11.9105 | 0.489 | ||
| 12.6675 | 0.5824 | 11.9457 | 0.4884 | ||
| 12.7039 | 0.5818 | 11.981 | 0.4877 | ||
| 12.7404 | 0.5811 | 12.0162 | 0.4871 | ||
| 12.7768 | 0.5805 | 12.0515 | 0.4865 | ||
| 12.8132 | 0.5799 | 12.0867 | 0.4858 | ||
| 12.8496 | 0.5792 | 12.122 | 0.4852 | ||
| 12.8861 | 0.5786 | 12.1573 | 0.4846 | ||
| 12.9225 | 0.578 | 12.1925 | 0.484 | ||
| 12.9589 | 0.5774 | 12.2278 | 0.4834 | ||
| 12.9953 | 0.5767 | 12.263 | 0.4828 | ||
| 13.0318 | 0.5761 | 12.2983 | 0.4822 | ||
| 13.0682 | 0.5755 | 12.3335 | 0.4815 | ||
| 13.1046 | 0.5749 | 12.3688 | 0.4809 | ||
| 13.141 | 0.5743 | 12.4041 | 0.4804 | ||
| 13.1775 | 0.5737 | 12.4393 | 0.4798 | ||
| 13.2139 | 0.5731 | 12.4746 | 0.4792 | ||
| 13.2503 | 0.5725 | 12.5098 | 0.4786 | ||
| 13.2867 | 0.5719 | 12.5451 | 0.478 | ||
| 13.3232 | 0.5713 | 12.5803 | 0.4774 | ||
| 13.3596 | 0.5707 | 12.6156 | 0.4768 | ||
| 13.396 | 0.5702 | 12.6509 | 0.4763 | ||
| 13.4324 | 0.5696 | 12.6861 | 0.4757 | ||
| 13.4689 | 0.569 | 12.7214 | 0.4751 | ||
| 13.5053 | 0.5684 | 12.7566 | 0.4746 | ||
| 13.5417 | 0.5679 | 12.7919 | 0.474 | ||
| 13.5781 | 0.5673 | 12.8272 | 0.4735 | ||
| 13.6146 | 0.5667 | 12.8624 | 0.4729 | ||
| 13.651 | 0.5662 | 12.8977 | 0.4723 | ||
| 13.6874 | 0.5656 | 12.9329 | 0.4718 | ||
| 13.7238 | 0.5651 | 12.9682 | 0.4712 | ||
| 13.7603 | 0.5645 | 13.0034 | 0.4707 | ||
| 13.7967 | 0.564 | 13.0387 | 0.4702 | ||
| 13.8331 | 0.5634 | 13.074 | 0.4696 | ||
| 13.8695 | 0.5629 | 13.1092 | 0.4691 | ||
| 13.906 | 0.5624 | 13.1445 | 0.4686 | ||
| 13.9424 | 0.5618 | 13.1797 | 0.468 | ||
| 13.9788 | 0.5613 | 13.215 | 0.4675 | ||
| 14.0152 | 0.5608 | 13.2502 | 0.467 | ||
| 14.0517 | 0.5602 | 13.2855 | 0.4665 | ||
| 14.0881 | 0.5597 | 13.3208 | 0.466 | ||
| 14.1245 | 0.5592 | 13.356 | 0.4654 | ||
| 14.1609 | 0.5587 | 13.3913 | 0.4649 | ||
| 14.1974 | 0.5581 | 13.4265 | 0.4644 | ||
| 14.2338 | 0.5576 | 13.4618 | 0.4639 | ||
| 14.2702 | 0.5571 | 13.497 | 0.4634 | ||
| 14.3066 | 0.5566 | 13.5323 | 0.4629 | ||
| 14.3431 | 0.5561 | 13.5676 | 0.4624 | ||
| 14.3795 | 0.5556 | 13.6028 | 0.4619 | ||
| 14.4159 | 0.5551 | 13.6381 | 0.4614 | ||
| 14.4523 | 0.5546 | 13.6733 | 0.4609 | ||
| 14.4888 | 0.5541 | 13.7086 | 0.4604 | ||
| 14.5252 | 0.5536 | 13.7439 | 0.46 | ||
| 14.5616 | 0.5531 | 13.7791 | 0.4595 | ||
| 14.598 | 0.5526 | 13.8144 | 0.459 | ||
| 14.6345 | 0.5521 | 13.8496 | 0.4585 | ||
| 14.6709 | 0.5517 | 13.8849 | 0.458 | ||
| 14.7073 | 0.5512 | 13.9201 | 0.4576 | ||
| 14.7437 | 0.5507 | 13.9554 | 0.4571 | ||
| 14.7802 | 0.5502 | 13.9907 | 0.4566 | ||
| 14.8166 | 0.5497 | 14.0259 | 0.4562 | ||
| 14.853 | 0.5493 | 14.0612 | 0.4557 | ||
| 14.8894 | 0.5488 | 14.0964 | 0.4552 | ||
| 14.9259 | 0.5483 | 14.1317 | 0.4548 | ||
| 14.9623 | 0.5479 | 14.1669 | 0.4543 | ||
| 14.9987 | 0.5474 | 14.2022 | 0.4539 | ||
| 15.0351 | 0.5469 | 14.2375 | 0.4534 | ||
| 15.0716 | 0.5465 | 14.2727 | 0.453 | ||
| 15.108 | 0.546 | 14.308 | 0.4525 | ||
| 15.1444 | 0.5456 | 14.3432 | 0.4521 | ||
| 15.1808 | 0.5451 | 14.3785 | 0.4516 | ||
| 15.2173 | 0.5447 | 14.4137 | 0.4512 | ||
| 15.2537 | 0.5442 | 14.449 | 0.4507 | ||
| 15.2901 | 0.5438 | 14.4843 | 0.4503 | ||
| 15.3265 | 0.5433 | 14.5195 | 0.4499 | ||
| 15.363 | 0.5429 | 14.5548 | 0.4494 | ||
| 15.3994 | 0.5424 | 14.59 | 0.449 | ||
| 15.4358 | 0.542 | 14.6253 | 0.4486 | ||
| 15.4722 | 0.5416 | 14.6605 | 0.4481 | ||
| 15.5087 | 0.5411 | 14.6958 | 0.4477 | ||
| 15.5451 | 0.5407 | 14.7311 | 0.4473 | ||
| 15.5815 | 0.5403 | 14.7663 | 0.4469 | ||
| 15.6179 | 0.5399 | 14.8016 | 0.4465 | ||
| 15.6544 | 0.5394 | 14.8368 | 0.446 | ||
| 15.6908 | 0.539 | 14.8721 | 0.4456 | ||
| 15.7272 | 0.5386 | 14.9074 | 0.4452 | ||
| 15.7636 | 0.5382 | 14.9426 | 0.4448 | ||
| 15.8001 | 0.5377 | 14.9779 | 0.4444 | ||
| 15.8365 | 0.5373 | 15.0131 | 0.444 | ||
| 15.8729 | 0.5369 | 15.0484 | 0.4436 | ||
| 15.9093 | 0.5365 | 15.0836 | 0.4432 | ||
| 15.9458 | 0.5361 | 15.1189 | 0.4428 | ||
| 15.9822 | 0.5357 | 15.1542 | 0.4424 | ||
| 16.0186 | 0.5353 | 15.1894 | 0.442 | ||
| 16.055 | 0.5349 | 15.2247 | 0.4416 | ||
| 16.0915 | 0.5345 | 15.2599 | 0.4412 | ||
| 16.1279 | 0.5341 | 15.2952 | 0.4408 | ||
| 16.1643 | 0.5337 | 15.3304 | 0.4404 | ||
| 16.2007 | 0.5333 | 15.3657 | 0.44 | ||
| 16.2372 | 0.5329 | 15.401 | 0.4396 | ||
| 16.2736 | 0.5325 | 15.4362 | 0.4392 | ||
| 16.31 | 0.5321 | 15.4715 | 0.4389 | ||
| 16.3464 | 0.5317 | 15.5067 | 0.4385 | ||
| 16.3829 | 0.5313 | 15.542 | 0.4381 | ||
| 16.4193 | 0.5309 | 15.5772 | 0.4377 | ||
| 16.4557 | 0.5306 | 15.6125 | 0.4373 | ||
| 16.4921 | 0.5302 | 15.6478 | 0.437 | ||
| 16.5286 | 0.5298 | 15.683 | 0.4366 | ||
| 16.565 | 0.5294 | 15.7183 | 0.4362 | ||
| 16.6014 | 0.529 | 15.7535 | 0.4359 | ||
| 16.6378 | 0.5287 | 15.7888 | 0.4355 | ||
| 16.6743 | 0.5283 | 15.824 | 0.4351 | ||
| 16.7107 | 0.5279 | 15.8593 | 0.4348 | ||
| 16.7471 | 0.5275 | 15.8946 | 0.4344 | ||
| 16.7835 | 0.5272 | 15.9298 | 0.434 | ||
| 16.82 | 0.5268 | 15.9651 | 0.4337 | ||
| 16.8564 | 0.5264 | 16.0003 | 0.4333 | ||
| 16.8928 | 0.5261 | 16.0356 | 0.433 | ||
| 16.9292 | 0.5257 | 16.0709 | 0.4326 | ||
| 16.9657 | 0.5253 | 16.1061 | 0.4322 | ||
| 17.0021 | 0.525 | 16.1414 | 0.4319 | ||
| 17.0385 | 0.5246 | 16.1766 | 0.4315 | ||
| 17.0749 | 0.5243 | 16.2119 | 0.4312 | ||
| 17.1114 | 0.5239 | 16.2471 | 0.4308 | ||
| 17.1478 | 0.5236 | 16.2824 | 0.4305 | ||
| 17.1842 | 0.5232 | 16.3177 | 0.4302 | ||
| 17.2206 | 0.5228 | 16.3529 | 0.4298 | ||
| 17.2571 | 0.5225 | 16.3882 | 0.4295 | ||
| 17.2935 | 0.5221 | 16.4234 | 0.4291 | ||
| 17.3299 | 0.5218 | 16.4587 | 0.4288 | ||
| 17.3663 | 0.5215 | 16.4939 | 0.4285 | ||
| 17.4028 | 0.5211 | 16.5292 | 0.4281 | ||
| 17.4392 | 0.5208 | 16.5645 | 0.4278 | ||
| 17.4756 | 0.5204 | 16.5997 | 0.4275 | ||
| 17.512 | 0.5201 | 16.635 | 0.4271 | ||
| 17.5485 | 0.5198 | 16.6702 | 0.4268 | ||
| 17.5849 | 0.5194 | 16.7055 | 0.4265 | ||
| 17.6213 | 0.5191 | 16.7407 | 0.4261 | ||
| 17.6577 | 0.5187 | 16.776 | 0.4258 | ||
| 17.6942 | 0.5184 | 16.8113 | 0.4255 | ||
| 17.7306 | 0.5181 | 16.8465 | 0.4252 | ||
| 17.767 | 0.5178 | 16.8818 | 0.4248 | ||
| 17.8034 | 0.5174 | 16.917 | 0.4245 | ||
| 17.8399 | 0.5171 | 16.9523 | 0.4242 | ||
| 17.8763 | 0.5168 | 16.9876 | 0.4239 | ||
| 17.9127 | 0.5164 | 17.0228 | 0.4236 | ||
| 17.9491 | 0.5161 | 17.0581 | 0.4233 | ||
| 17.9856 | 0.5158 | 17.0933 | 0.4229 | ||
| 18.022 | 0.5155 | 17.1286 | 0.4226 | ||
| 18.0584 | 0.5152 | 17.1638 | 0.4223 | ||
| 18.0948 | 0.5148 | 17.1991 | 0.422 | ||
| 18.1313 | 0.5145 | 17.2344 | 0.4217 | ||
| 18.1677 | 0.5142 | 17.2696 | 0.4214 | ||
| 18.2041 | 0.5139 | 17.3049 | 0.4211 | ||
| 18.2405 | 0.5136 | 17.3401 | 0.4208 | ||
| 18.277 | 0.5133 | 17.3754 | 0.4205 | ||
| 18.3134 | 0.513 | 17.4106 | 0.4202 | ||
| 18.3498 | 0.5126 | 17.4459 | 0.4199 | ||
| 18.3862 | 0.5123 | 17.4812 | 0.4196 | ||
| 18.4227 | 0.512 | 17.5164 | 0.4193 | ||
| 18.4591 | 0.5117 | 17.5517 | 0.419 | ||
| 18.4955 | 0.5114 | 17.5869 | 0.4187 | ||
| 18.5319 | 0.5111 | 17.6222 | 0.4184 | ||
| 18.5684 | 0.5108 | 17.6574 | 0.4181 | ||
| 18.6048 | 0.5105 | 17.6927 | 0.4178 | ||
| 18.6412 | 0.5102 | 17.728 | 0.4175 | ||
| 18.6776 | 0.5099 | 17.7632 | 0.4172 | ||
| 18.7141 | 0.5096 | 17.7985 | 0.4169 | ||
| 18.7505 | 0.5093 | 17.8337 | 0.4166 | ||
| 18.7869 | 0.509 | 17.869 | 0.4163 | ||
| 18.8233 | 0.5087 | 17.9042 | 0.4161 | ||
| 18.8598 | 0.5084 | 17.9395 | 0.4158 | ||
| 18.8962 | 0.5082 | 17.9748 | 0.4155 | ||
| 18.9326 | 0.5079 | 18.01 | 0.4152 | ||
| 18.969 | 0.5076 | 18.0453 | 0.4149 | ||
| 19.0055 | 0.5073 | 18.0805 | 0.4146 | ||
| 19.0419 | 0.507 | 18.1158 | 0.4144 | ||
| 19.0783 | 0.5067 | 18.1511 | 0.4141 | ||
| 19.1147 | 0.5064 | 18.1863 | 0.4138 | ||
| 19.1512 | 0.5061 | 18.2216 | 0.4135 | ||
| 19.1876 | 0.5059 | 18.2568 | 0.4133 | ||
| 19.224 | 0.5056 | 18.2921 | 0.413 | ||
| 19.2604 | 0.5053 | 18.3273 | 0.4127 | ||
| 19.2969 | 0.505 | 18.3626 | 0.4124 | ||
| 19.3333 | 0.5047 | 18.3979 | 0.4122 | ||
| 19.3697 | 0.5045 | 18.4331 | 0.4119 | ||
| 19.4061 | 0.5042 | 18.4684 | 0.4116 | ||
| 19.4426 | 0.5039 | 18.5036 | 0.4114 | ||
| 19.479 | 0.5036 | 18.5389 | 0.4111 | ||
| 19.5154 | 0.5034 | 18.5741 | 0.4108 | ||
| 19.5518 | 0.5031 | 18.6094 | 0.4106 | ||
| 19.5883 | 0.5028 | 18.6447 | 0.4103 | ||
| 19.6247 | 0.5025 | 18.6799 | 0.41 | ||
| 19.6611 | 0.5023 | 18.7152 | 0.4098 | ||
| 19.6975 | 0.502 | 18.7504 | 0.4095 | ||
| 19.734 | 0.5017 | 18.7857 | 0.4093 | ||
| 19.7704 | 0.5015 | 18.8209 | 0.409 | ||
| 19.8068 | 0.5012 | 18.8562 | 0.4087 | ||
| 19.8432 | 0.5009 | 18.8915 | 0.4085 | ||
| 19.8796 | 0.5007 | 18.9267 | 0.4082 | ||
| 19.9161 | 0.5004 | 18.962 | 0.408 | ||
| 19.9525 | 0.5002 | 18.9972 | 0.4077 | ||
| 19.9889 | 0.4999 | 19.0325 | 0.4075 | ||
| 19.0678 | 0.4072 | ||||
| 19.103 | 0.407 | ||||
| 19.1383 | 0.4067 | ||||
| 19.1735 | 0.4065 | ||||
| 19.2088 | 0.4062 | ||||
| 19.244 | 0.406 | ||||
| 19.2793 | 0.4057 | ||||
| 19.3146 | 0.4055 | ||||
| 19.3498 | 0.4052 | ||||
| 19.3851 | 0.405 | ||||
| 19.4203 | 0.4047 | ||||
| 19.4556 | 0.4045 | ||||
| 19.4908 | 0.4043 | ||||
| 19.5261 | 0.404 | ||||
| 19.5614 | 0.4038 | ||||
| 19.5966 | 0.4035 | ||||
| 19.6319 | 0.4033 | ||||
| 19.6671 | 0.4031 | ||||
| 19.7024 | 0.4028 | ||||
| 19.7376 | 0.4026 | ||||
| 19.7729 | 0.4024 | ||||
| 19.8082 | 0.4021 | ||||
| 19.8434 | 0.4019 | ||||
| 19.8787 | 0.4017 | ||||
| 19.9139 | 0.4014 | ||||
| 19.9492 | 0.4012 | ||||
| 19.9844 | 0.401 |
Data for Figure 6 (Bottom Right Panel)
| Baseline Monetary Policy Rule | More aggressive on inflation | More aggressive on output gap |
|---|---|---|
0.3571 |
0.3052 |
0.2711 |
Figure 7. Effects of Foreign Consumption Shock Against the Backdrop of Domestic Recession Alternative Trade Elasticities*

The baseline
trade elasticity is 1.1; the high trade elasticity is 1.5; the low
trade elasticity is 0.75.
The spillover
effects are defined as the ratio of the response of home GDP (in
deviation from the path implied by the initial baseline recession)
to the response of foreign GDP (also in deviation from its initial
path). The measure shown is an average of the spillover effects
over the first four quarters.
Data for Figure 7 (Top Panel)
| Average percent change in foreign GDP | Baseline Trade Elasticity | Average percent change in foreign GDP | High Trade Elasticity | Average percent change in foreign GDP | Low Trade Elasticity |
|---|---|---|---|---|---|
| -9.4813 | 13 | -9.4898 | 16 | -9.4545 | 12 |
| -9.4451 | 13 | -9.4595 | 16 | -9.3911 | 12 |
| -9.409 | 13 | -9.4292 | 16 | -9.3278 | 12 |
| -9.3728 | 13 | -9.3989 | 16 | -9.2645 | 12 |
| -9.3366 | 13 | -9.3685 | 16 | -9.2011 | 12 |
| -9.3005 | 13 | -9.3382 | 16 | -9.1378 | 12 |
| -9.2643 | 13 | -9.3079 | 16 | -9.0745 | 12 |
| -9.2281 | 13 | -9.2775 | 16 | -9.0111 | 12 |
| -9.192 | 13 | -9.2472 | 15 | -8.9478 | 12 |
| -9.1558 | 13 | -9.2169 | 15 | -8.8845 | 12 |
| -9.1196 | 13 | -9.1865 | 15 | -8.8211 | 12 |
| -9.0834 | 13 | -9.1562 | 15 | -8.7578 | 12 |
| -9.0473 | 13 | -9.1258 | 15 | -8.6945 | 12 |
| -9.0111 | 13 | -9.0955 | 15 | -8.6311 | 12 |
| -8.9749 | 13 | -9.0651 | 15 | -8.5678 | 12 |
| -8.9388 | 13 | -9.0348 | 15 | -8.5044 | 12 |
| -8.9026 | 13 | -9.0044 | 15 | -8.4411 | 12 |
| -8.8664 | 13 | -8.9741 | 15 | -8.3778 | 12 |
| -8.8303 | 13 | -8.9437 | 15 | -8.3144 | 12 |
| -8.7941 | 13 | -8.9133 | 15 | -8.2511 | 12 |
| -8.7579 | 13 | -8.883 | 15 | -8.1878 | 12 |
| -8.7217 | 13 | -8.8526 | 15 | -8.1244 | 12 |
| -8.6856 | 13 | -8.8223 | 15 | -8.0611 | 12 |
| -8.6494 | 13 | -8.7919 | 15 | -7.9978 | 12 |
| -8.6132 | 13 | -8.7616 | 15 | -7.9344 | 12 |
| -8.5771 | 13 | -8.7312 | 15 | -7.8711 | 12 |
| -8.5409 | 13 | -8.7009 | 15 | -7.8077 | 12 |
| -8.5047 | 13 | -8.6705 | 15 | -7.7444 | 12 |
| -8.4686 | 13 | -8.6402 | 15 | -7.6811 | 12 |
| -8.4324 | 13 | -8.6098 | 15 | -7.6177 | 12 |
| -8.3962 | 13 | -8.5795 | 15 | -7.5544 | 12 |
| -8.36 | 13 | -8.5491 | 15 | -7.4911 | 12 |
| -8.3239 | 13 | -8.5188 | 15 | -7.4277 | 12 |
| -8.2877 | 13 | -8.4884 | 15 | -7.3644 | 12 |
| -8.2515 | 13 | -8.4581 | 15 | -7.3011 | 12 |
| -8.2154 | 13 | -8.4277 | 15 | -7.2377 | 12 |
| -8.1792 | 13 | -8.3974 | 15 | -7.1744 | 12 |
| -8.143 | 13 | -8.367 | 15 | -7.111 | 12 |
| -8.1069 | 13 | -8.3367 | 15 | -7.0477 | 11 |
| -8.0707 | 13 | -8.3063 | 15 | -6.9844 | 11 |
| -8.0345 | 13 | -8.276 | 14 | -6.921 | 11 |
| -7.9983 | 13 | -8.2456 | 14 | -6.8577 | 11 |
| -7.9622 | 13 | -8.2152 | 14 | -6.7943 | 11 |
| -7.926 | 13 | -8.1848 | 14 | -6.731 | 11 |
| -7.8898 | 13 | -8.1545 | 14 | -6.6677 | 11 |
| -7.8537 | 13 | -8.1241 | 14 | -6.6043 | 11 |
| -7.8175 | 13 | -8.0937 | 14 | -6.541 | 11 |
| -7.7813 | 13 | -8.0633 | 14 | -6.4776 | 11 |
| -7.7452 | 13 | -8.033 | 14 | -6.4143 | 11 |
| -7.709 | 13 | -8.0026 | 14 | -6.3509 | 11 |
| -7.6728 | 13 | -7.9722 | 14 | -6.2876 | 11 |
| -7.6366 | 13 | -7.9418 | 14 | -6.2243 | 11 |
| -7.6005 | 13 | -7.9115 | 14 | -6.1609 | 11 |
| -7.5643 | 13 | -7.8811 | 14 | -6.0976 | 11 |
| -7.5281 | 13 | -7.8507 | 14 | -6.0342 | 11 |
| -7.492 | 13 | -7.8203 | 14 | -5.9709 | 11 |
| -7.4558 | 13 | -7.7899 | 14 | -5.9076 | 11 |
| -7.4196 | 13 | -7.7596 | 14 | -5.8442 | 11 |
| -7.3835 | 13 | -7.7292 | 14 | -5.7809 | 11 |
| -7.3473 | 13 | -7.6988 | 14 | -5.7175 | 11 |
| -7.3111 | 13 | -7.6684 | 14 | -5.6542 | 11 |
| -7.2749 | 13 | -7.6381 | 14 | -5.5908 | 11 |
| -7.2388 | 13 | -7.6077 | 14 | -5.5275 | 11 |
| -7.2026 | 13 | -7.5773 | 14 | -5.4642 | 11 |
| -7.1664 | 13 | -7.5469 | 14 | -5.4008 | 11 |
| -7.1303 | 13 | -7.5166 | 14 | -5.3375 | 11 |
| -7.0941 | 13 | -7.4862 | 14 | -5.2741 | 11 |
| -7.0579 | 13 | -7.4558 | 14 | -5.2108 | 11 |
| -7.0217 | 12 | -7.4254 | 14 | -5.1474 | 11 |
| -6.9856 | 12 | -7.3951 | 14 | -5.0841 | 11 |
| -6.9494 | 12 | -7.3647 | 14 | -5.0208 | 11 |
| -6.9132 | 12 | -7.3343 | 14 | -4.9574 | 11 |
| -6.877 | 12 | -7.3039 | 14 | -4.8941 | 11 |
| -6.8408 | 12 | -7.2736 | 14 | -4.8307 | 11 |
| -6.8046 | 12 | -7.2432 | 14 | -4.7674 | 11 |
| -6.7685 | 12 | -7.2128 | 14 | -4.7041 | 11 |
| -6.7323 | 12 | -7.1824 | 14 | -4.6407 | 11 |
| -6.6961 | 12 | -7.1521 | 14 | -4.5774 | 11 |
| -6.6599 | 12 | -7.1217 | 14 | -4.514 | 11 |
| -6.6237 | 12 | -7.0913 | 14 | -4.4507 | 11 |
| -6.5875 | 12 | -7.0609 | 14 | -4.3873 | 11 |
| -6.5514 | 12 | -7.0306 | 14 | -4.324 | 11 |
| -6.5152 | 12 | -7.0002 | 14 | -4.2607 | 11 |
| -6.479 | 12 | -6.9698 | 14 | -4.1973 | 11 |
| -6.4428 | 12 | -6.9394 | 14 | -4.134 | 11 |
| -6.4066 | 12 | -6.9091 | 14 | -4.0706 | 11 |
| -6.3704 | 12 | -6.8787 | 14 | -4.0073 | 11 |
| -6.3343 | 12 | -6.8483 | 14 | -3.944 | 11 |
| -6.2981 | 12 | -6.8179 | 14 | -3.8806 | 11 |
| -6.2619 | 12 | -6.7875 | 13 | -3.8173 | 11 |
| -6.2257 | 12 | -6.7571 | 13 | -3.7539 | 11 |
| -6.1895 | 12 | -6.7267 | 13 | -3.6906 | 11 |
| -6.1533 | 12 | -6.6963 | 13 | -3.6272 | 11 |
| -6.1172 | 12 | -6.6659 | 13 | -3.5639 | 11 |
| -6.081 | 12 | -6.6355 | 13 | -3.5006 | 11 |
| -6.0448 | 12 | -6.6051 | 13 | -3.4372 | 11 |
| -6.0086 | 12 | -6.5747 | 13 | -3.3739 | 11 |
| -5.9724 | 12 | -6.5443 | 13 | -3.3105 | 11 |
| -5.9362 | 12 | -6.5139 | 13 | -3.2472 | 11 |
| -5.9001 | 12 | -6.4835 | 13 | -3.1838 | 11 |
| -5.8639 | 12 | -6.4531 | 13 | -3.1205 | 11 |
| -5.8277 | 12 | -6.4227 | 13 | -3.0572 | 11 |
| -5.7915 | 12 | -6.3923 | 13 | -2.9938 | 11 |
| -5.7553 | 12 | -6.3619 | 13 | -2.9305 | 11 |
| -5.7191 | 12 | -6.3315 | 13 | -2.8671 | 11 |
| -5.6829 | 12 | -6.3011 | 13 | -2.8038 | 11 |
| -5.6468 | 12 | -6.2707 | 13 | -2.7405 | 11 |
| -5.6106 | 12 | -6.2403 | 13 | -2.6771 | 11 |
| -5.5744 | 12 | -6.2099 | 13 | -2.6138 | 11 |
| -5.5382 | 12 | -6.1795 | 13 | -2.5504 | 11 |
| -5.502 | 12 | -6.1491 | 13 | -2.4871 | 11 |
| -5.4658 | 12 | -6.1187 | 13 | -2.4237 | 11 |
| -5.4297 | 12 | -6.0883 | 13 | -2.3604 | 11 |
| -5.3935 | 12 | -6.0579 | 13 | -2.2971 | 11 |
| -5.3573 | 12 | -6.0275 | 13 | -2.2337 | 11 |
| -5.3211 | 12 | -5.9971 | 13 | -2.1704 | 11 |
| -5.2849 | 12 | -5.9667 | 13 | -2.107 | 11 |
| -5.2487 | 12 | -5.9363 | 13 | -2.0437 | 11 |
| -5.2126 | 12 | -5.9059 | 13 | -1.9804 | 11 |
| -5.1764 | 12 | -5.8755 | 13 | -1.917 | 11 |
| -5.1402 | 12 | -5.8451 | 13 | -1.8537 | 11 |
| -5.104 | 12 | -5.8147 | 13 | -1.7903 | 11 |
| -5.0678 | 12 | -5.7843 | 13 | -1.727 | 11 |
| -5.0316 | 12 | -5.7539 | 13 | -1.6636 | 11 |
| -4.9955 | 12 | -5.7235 | 13 | -1.6003 | 11 |
| -4.9593 | 12 | -5.6931 | 13 | -1.537 | 11 |
| -4.9231 | 12 | -5.6627 | 13 | -1.4736 | 11 |
| -4.8869 | 12 | -5.6323 | 13 | -1.4103 | 11 |
| -4.8507 | 12 | -5.6019 | 13 | -1.3469 | 11 |
| -4.8145 | 12 | -5.5715 | 13 | -1.2836 | 11 |
| -4.7784 | 12 | -5.5411 | 13 | -1.2202 | 11 |
| -4.7422 | 12 | -5.5107 | 13 | -1.1569 | 11 |
| -4.706 | 12 | -5.4803 | 13 | -1.0936 | 11 |
| -4.6698 | 12 | -5.4499 | 13 | -1.0302 | 11 |
| -4.6336 | 12 | -5.4195 | 13 | -0.9669 | 11 |
| -4.5974 | 12 | -5.3891 | 13 | -0.9035 | 11 |
| -4.5613 | 12 | -5.3587 | 13 | -0.8402 | 11 |
| -4.5251 | 12 | -5.3283 | 13 | -0.7769 | 11 |
| -4.4889 | 12 | -5.2979 | 13 | -0.7135 | 11 |
| -4.4527 | 12 | -5.2675 | 13 | -0.6502 | 11 |
| -4.4165 | 12 | -5.2371 | 13 | -0.5868 | 11 |
| -4.3803 | 12 | -5.2067 | 13 | -0.5235 | 11 |
| -4.3441 | 12 | -5.1763 | 13 | -0.4601 | 10 |
| -4.308 | 12 | -5.1459 | 13 | -0.3968 | 10 |
| -4.2718 | 12 | -5.1155 | 13 | -0.3334 | 10 |
| -4.2356 | 12 | -5.0851 | 13 | -0.2701 | 10 |
| -4.1994 | 12 | -5.0547 | 13 | -0.2068 | 10 |
| -4.1632 | 12 | -5.0243 | 13 | -0.1434 | 10 |
| -4.127 | 12 | -4.9939 | 13 | -0.0801 | 10 |
| -4.0909 | 12 | -4.9635 | 13 | -0.0167 | 10 |
| -4.0547 | 12 | -4.9331 | 13 | 0.0466 | 10 |
| -4.0185 | 12 | -4.9027 | 12 | 0.11 | 10 |
| -3.9823 | 12 | -4.8722 | 12 | 0.1733 | 10 |
| -3.9461 | 12 | -4.8418 | 12 | 0.2367 | 10 |
| -3.9099 | 11 | -4.8114 | 12 | 0.3 | 10 |
| -3.8737 | 11 | -4.7809 | 12 | 0.3634 | 10 |
| -3.8375 | 11 | -4.7505 | 12 | 0.4267 | 10 |
| -3.8013 | 11 | -4.7201 | 12 | 0.4901 | 10 |
| -3.7651 | 11 | -4.6897 | 12 | 0.5534 | 10 |
| -3.7289 | 11 | -4.6592 | 12 | 0.6168 | 10 |
| -3.6927 | 11 | -4.6288 | 12 | 0.6801 | 10 |
| -3.6566 | 11 | -4.5984 | 12 | 0.7434 | 10 |
| -3.6204 | 11 | -4.5679 | 12 | 0.8068 | 10 |
| -3.5842 | 11 | -4.5375 | 12 | 0.8701 | 10 |
| -3.548 | 11 | -4.5071 | 12 | 0.9335 | 10 |
| -3.5118 | 11 | -4.4767 | 12 | 0.9968 | 10 |
| -3.4756 | 11 | -4.4462 | 12 | 1.0602 | 10 |
| -3.4394 | 11 | -4.4158 | 12 | 1.1235 | 10 |
| -3.4032 | 11 | -4.3854 | 12 | 1.1869 | 10 |
| -3.367 | 11 | -4.3549 | 12 | 1.2502 | 10 |
| -3.3308 | 11 | -4.3245 | 12 | 1.3136 | 10 |
| -3.2946 | 11 | -4.2941 | 12 | 1.3769 | 10 |
| -3.2584 | 11 | -4.2637 | 12 | 1.4403 | 10 |
| -3.2222 | 11 | -4.2332 | 12 | 1.5036 | 10 |
| -3.186 | 11 | -4.2028 | 12 | 1.567 | 10 |
| -3.1498 | 11 | -4.1724 | 12 | 1.6303 | 10 |
| -3.1136 | 11 | -4.1419 | 12 | 1.6936 | 10 |
| -3.0774 | 11 | -4.1115 | 12 | 1.757 | 10 |
| -3.0412 | 11 | -4.0811 | 12 | 1.8203 | 10 |
| -3.005 | 11 | -4.0507 | 12 | 1.8837 | 10 |
| -2.9688 | 11 | -4.0202 | 12 | 1.947 | 10 |
| -2.9326 | 11 | -3.9898 | 12 | 2.0104 | 10 |
| -2.8964 | 11 | -3.9594 | 12 | 2.0737 | 10 |
| -2.8602 | 11 | -3.9289 | 12 | 2.1371 | 10 |
| -2.824 | 11 | -3.8985 | 12 | 2.2004 | 10 |
| -2.7878 | 11 | -3.8681 | 12 | 2.2638 | 10 |
| -2.7516 | 11 | -3.8377 | 12 | 2.3271 | 10 |
| -2.7154 | 11 | -3.8072 | 12 | 2.3905 | 10 |
| -2.6792 | 11 | -3.7768 | 12 | 2.4538 | 10 |
| -2.643 | 11 | -3.7464 | 12 | 2.5172 | 10 |
| -2.6068 | 11 | -3.7159 | 12 | 2.5805 | 10 |
| -2.5706 | 11 | -3.6855 | 12 | 2.6438 | 10 |
| -2.5344 | 11 | -3.6551 | 12 | 2.7072 | 10 |
| -2.4982 | 11 | -3.6247 | 12 | 2.7705 | 10 |
| -2.462 | 11 | -3.5942 | 12 | 2.8339 | 10 |
| -2.4258 | 11 | -3.5638 | 12 | 2.8972 | 10 |
| -2.3896 | 11 | -3.5334 | 12 | 2.9606 | 10 |
| -2.3534 | 11 | -3.503 | 12 | 3.0239 | 10 |
| -2.3172 | 11 | -3.4725 | 12 | 3.0873 | 10 |
| -2.281 | 11 | -3.4421 | 12 | 3.1506 | 10 |
| -2.2448 | 11 | -3.4117 | 12 | 3.214 | 10 |
| -2.2086 | 11 | -3.3812 | 12 | 3.2773 | 10 |
| -2.1724 | 11 | -3.3508 | 12 | 3.3407 | 10 |
| -2.1362 | 11 | -3.3204 | 12 | 3.404 | 10 |
| -2.1 | 11 | -3.29 | 12 | 3.4674 | 10 |
| -2.0638 | 11 | -3.2595 | 12 | 3.5307 | 10 |
| -2.0276 | 11 | -3.2291 | 12 | 3.5941 | 10 |
| -1.9915 | 11 | -3.1987 | 12 | 3.6574 | 10 |
| -1.9553 | 11 | -3.1682 | 12 | 3.7207 | 10 |
| -1.9191 | 11 | -3.1378 | 12 | 3.7841 | 10 |
| -1.8829 | 11 | -3.1074 | 12 | 3.8474 | 10 |
| -1.8467 | 11 | -3.077 | 12 | 3.9108 | 10 |
| -1.8105 | 11 | -3.0465 | 12 | 3.9741 | 10 |
| -1.7743 | 11 | -3.0161 | 12 | 4.0375 | 10 |
| -1.7381 | 11 | -2.9857 | 12 | 4.1008 | 10 |
| -1.7019 | 11 | -2.9552 | 12 | 4.1642 | 10 |
| -1.6657 | 11 | -2.9248 | 12 | 4.2275 | 10 |
| -1.6295 | 11 | -2.8944 | 12 | 4.2909 | 10 |
| -1.5933 | 11 | -2.864 | 12 | 4.3542 | 10 |
| -1.5571 | 11 | -2.8335 | 11 | 4.4176 | 10 |
| -1.5209 | 11 | -2.8031 | 11 | 4.4809 | 10 |
| -1.4847 | 11 | -2.7726 | 11 | 4.5443 | 10 |
| -1.4485 | 11 | -2.7421 | 11 | 4.6076 | 10 |
| -1.4123 | 11 | -2.7117 | 11 | 4.6709 | 10 |
| -1.3761 | 11 | -2.6812 | 11 | 4.7343 | 10 |
| -1.3399 | 11 | -2.6508 | 11 | 4.7976 | 10 |
| -1.3037 | 11 | -2.6203 | 11 | 4.861 | 10 |
| -1.2675 | 11 | -2.5899 | 11 | 4.9243 | 10 |
| -1.2313 | 11 | -2.5594 | 11 | 4.9877 | 10 |
| -1.1951 | 11 | -2.5289 | 11 | 5.051 | 10 |
| -1.1589 | 11 | -2.4985 | 11 | 5.1144 | 10 |
| -1.1227 | 11 | -2.468 | 11 | 5.1777 | 10 |
| -1.0865 | 11 | -2.4376 | 11 | 5.2411 | 10 |
| -1.0503 | 11 | -2.4071 | 11 | 5.3044 | 10 |
| -1.0141 | 11 | -2.3767 | 11 | 5.3678 | 10 |
| -0.9779 | 11 | -2.3462 | 11 | 5.4311 | 10 |
| -0.9417 | 11 | -2.3157 | 11 | 5.4945 | 10 |
| -0.9055 | 11 | -2.2853 | 11 | 5.5578 | 10 |
| -0.8693 | 11 | -2.2548 | 11 | 5.6212 | 9 |
| -0.8331 | 11 | -2.2244 | 11 | 5.6845 | 9 |
| -0.7969 | 11 | -2.1939 | 11 | 5.7479 | 9 |
| -0.7607 | 11 | -2.1635 | 11 | 5.8112 | 9 |
| -0.7245 | 10 | -2.133 | 11 | 5.8746 | 9 |
| -0.6883 | 10 | -2.1025 | 11 | 5.9379 | 9 |
| -0.6521 | 10 | -2.0721 | 11 | 6.0013 | 9 |
| -0.6159 | 10 | -2.0416 | 11 | 6.0646 | 9 |
| -0.5797 | 10 | -2.0112 | 11 | 6.128 | 9 |
| -0.5435 | 10 | -1.9807 | 11 | 6.1913 | 9 |
| -0.5072 | 10 | -1.9503 | 11 | 6.2547 | 9 |
| -0.471 | 10 | -1.9198 | 11 | 6.318 | 9 |
| -0.4348 | 10 | -1.8893 | 11 | 6.3814 | 9 |
| -0.3986 | 10 | -1.8589 | 11 | 6.4447 | 9 |
| -0.3624 | 10 | -1.8284 | 11 | 6.5081 | 9 |
| -0.3262 | 10 | -1.798 | 11 | 6.5714 | 9 |
| -0.29 | 10 | -1.7675 | 11 | 6.6348 | 9 |
| -0.2538 | 10 | -1.7371 | 11 | 6.6981 | 9 |
| -0.2175 | 10 | -1.7066 | 11 | 6.7615 | 9 |
| -0.1813 | 10 | -1.6761 | 11 | 6.8248 | 9 |
| -0.1451 | 10 | -1.6457 | 11 | 6.8882 | 9 |
| -0.1089 | 10 | -1.6152 | 11 | 6.9515 | 9 |
| -0.0727 | 10 | -1.5848 | 11 | 7.0149 | 9 |
| -0.0365 | 10 | -1.5543 | 11 | 7.0782 | 9 |
| -0.0003 | 10 | -1.5239 | 11 | 7.1416 | 9 |
| 0.0359 | 10 | -1.4934 | 11 | 7.2049 | 9 |
| 0.0722 | 10 | -1.4629 | 11 | 7.2683 | 9 |
| 0.1084 | 10 | -1.4325 | 11 | 7.3316 | 9 |
| 0.1446 | 10 | -1.402 | 11 | 7.395 | 9 |
| 0.1808 | 10 | -1.3716 | 11 | 7.4583 | 9 |
| 0.217 | 10 | -1.3411 | 11 | 7.5217 | 9 |
| 0.2532 | 10 | -1.3107 | 11 | 7.585 | 9 |
| 0.2894 | 10 | -1.2802 | 11 | 7.6484 | 9 |
| 0.3256 | 10 | -1.2497 | 11 | 7.7117 | 9 |
| 0.3619 | 10 | -1.2193 | 11 | 7.7751 | 9 |
| 0.3981 | 10 | -1.1888 | 11 | 7.8384 | 9 |
| 0.4343 | 10 | -1.1584 | 11 | 7.9018 | 9 |
| 0.4705 | 10 | -1.1279 | 11 | 7.9651 | 9 |
| 0.5067 | 10 | -1.0975 | 11 | 8.0285 | 9 |
| 0.5429 | 10 | -1.067 | 11 | 8.0918 | 9 |
| 0.5791 | 10 | -1.0365 | 11 | 8.1552 | 9 |
| 0.6153 | 10 | -1.0061 | 11 | 8.2185 | 9 |
| 0.6515 | 10 | -0.9756 | 11 | 8.2819 | 9 |
| 0.6878 | 10 | -0.9452 | 11 | 8.3452 | 9 |
| 0.724 | 10 | -0.9147 | 11 | 8.4086 | 9 |
| 0.7602 | 10 | -0.8843 | 11 | 8.4719 | 9 |
| 0.7964 | 10 | -0.8538 | 11 | 8.5353 | 9 |
| 0.8326 | 10 | -0.8233 | 11 | 8.5986 | 9 |
| 0.8688 | 10 | -0.7929 | 10 | 8.662 | 9 |
| 0.905 | 10 | -0.7624 | 10 | 8.7253 | 9 |
| 0.9412 | 10 | -0.7319 | 10 | 8.7887 | 9 |
| 0.9775 | 10 | -0.7014 | 10 | 8.852 | 9 |
| 1.0137 | 10 | -0.6709 | 10 | 8.9154 | 9 |
| 1.0499 | 10 | -0.6404 | 10 | 8.9787 | 9 |
| 1.0861 | 10 | -0.6099 | 10 | 9.0421 | 9 |
| 1.1223 | 10 | -0.5795 | 10 | 9.1054 | 9 |
| 1.1585 | 10 | -0.549 | 10 | 9.1688 | 9 |
| 1.1947 | 10 | -0.5185 | 10 | 9.2321 | 9 |
| 1.2309 | 10 | -0.488 | 10 | 9.2955 | 9 |
| 1.2672 | 10 | -0.4575 | 10 | 9.3588 | 9 |
| 1.3034 | 10 | -0.427 | 10 | 9.4222 | 8 |
| 1.3396 | 10 | -0.3965 | 10 | 9.4855 | 8 |
| 1.3758 | 10 | -0.366 | 10 | 9.5489 | 8 |
| 1.412 | 10 | -0.3355 | 10 | 9.6123 | 8 |
| 1.4482 | 10 | -0.3051 | 10 | 9.6756 | 8 |
| 1.4844 | 10 | -0.2746 | 10 | 9.739 | 8 |
| 1.5206 | 10 | -0.2441 | 10 | 9.8023 | 8 |
| 1.5569 | 10 | -0.2136 | 10 | 9.8657 | 8 |
| 1.5931 | 10 | -0.1831 | 10 | 9.929 | 8 |
| 1.6293 | 10 | -0.1526 | 10 | 9.9924 | 8 |
| 1.6655 | 10 | -0.1221 | 10 | 10.0557 | 8 |
| 1.7017 | 10 | -0.0916 | 10 | 10.1191 | 8 |
| 1.7379 | 10 | -0.0612 | 10 | 10.1824 | 8 |
| 1.7741 | 10 | -0.0307 | 10 | 10.2458 | 8 |
| 1.8103 | 10 | -0.0002 | 10 | 10.3091 | 8 |
| 1.8466 | 10 | 0.0303 | 10 | 10.3725 | 7 |
| 1.8828 | 10 | 0.0608 | 10 | 10.4358 | 7 |
| 1.919 | 10 | 0.0913 | 10 | 10.4992 | 7 |
| 1.9552 | 10 | 0.1218 | 10 | 10.5625 | 7 |
| 1.9914 | 10 | 0.1523 | 10 | 10.6259 | 7 |
| 2.0276 | 10 | 0.1827 | 10 | 10.6893 | 7 |
| 2.0638 | 10 | 0.2132 | 10 | 10.7526 | 7 |
| 2.1 | 10 | 0.2437 | 10 | 10.816 | 7 |
| 2.1363 | 10 | 0.2742 | 10 | 10.8793 | 7 |
| 2.1725 | 9 | 0.3047 | 10 | 10.9427 | 7 |
| 2.2087 | 9 | 0.3352 | 10 | 11.006 | 7 |
| 2.2449 | 9 | 0.3657 | 10 | 11.0694 | 7 |
| 2.2811 | 9 | 0.3962 | 10 | 11.1327 | 7 |
| 2.3174 | 9 | 0.4266 | 10 | 11.1961 | 7 |
| 2.3536 | 9 | 0.4571 | 10 | 11.2595 | 7 |
| 2.3898 | 9 | 0.4876 | 10 | 11.3228 | 7 |
| 2.4261 | 9 | 0.5181 | 10 | 11.3862 | 7 |
| 2.4623 | 9 | 0.5486 | 10 | 11.4495 | 7 |
| 2.4985 | 9 | 0.5791 | 10 | 11.5129 | 7 |
| 2.5347 | 9 | 0.6096 | 10 | 11.5762 | 7 |
| 2.571 | 9 | 0.6401 | 10 | 11.6396 | 7 |
| 2.6072 | 9 | 0.6706 | 10 | 11.7029 | 7 |
| 2.6434 | 9 | 0.701 | 10 | 11.7663 | 7 |
| 2.6797 | 9 | 0.7315 | 10 | 11.8297 | 7 |
| 2.7159 | 9 | 0.762 | 10 | 11.893 | 7 |
| 2.7521 | 9 | 0.7925 | 10 | 11.9564 | 7 |
| 2.7883 | 9 | 0.823 | 10 | 12.0197 | 7 |
| 2.8246 | 9 | 0.8535 | 10 | 12.0831 | 7 |
| 2.8608 | 9 | 0.884 | 10 | 12.1464 | 7 |
| 2.897 | 9 | 0.9145 | 10 | 12.2098 | 7 |
| 2.9332 | 9 | 0.9449 | 10 | 12.2731 | 7 |
| 2.9695 | 9 | 0.9754 | 10 | 12.3365 | 7 |
| 3.0057 | 9 | 1.0059 | 10 | 12.3999 | 7 |
| 3.0419 | 9 | 1.0364 | 10 | 12.4632 | 7 |
| 3.0782 | 9 | 1.0669 | 9 | 12.5266 | 7 |
| 3.1144 | 9 | 1.0974 | 9 | 12.5899 | 7 |
| 3.1506 | 9 | 1.128 | 9 | 12.6533 | 7 |
| 3.1868 | 9 | 1.1585 | 9 | 12.7166 | 7 |
| 3.2231 | 9 | 1.189 | 9 | 12.78 | 7 |
| 3.2593 | 9 | 1.2195 | 9 | 12.8433 | 7 |
| 3.2955 | 9 | 1.25 | 9 | 12.9067 | 7 |
| 3.3317 | 9 | 1.2806 | 9 | 12.97 | 7 |
| 3.368 | 9 | 1.3111 | 9 | 13.0334 | 7 |
| 3.4042 | 9 | 1.3416 | 9 | 13.0968 | 7 |
| 3.4404 | 9 | 1.3721 | 9 | 13.1601 | 7 |
| 3.4767 | 9 | 1.4027 | 9 | 13.2235 | 7 |
| 3.5129 | 9 | 1.4332 | 9 | 13.2868 | 7 |
| 3.5491 | 9 | 1.4637 | 9 | 13.3502 | 7 |
| 3.5853 | 9 | 1.4942 | 9 | 13.4135 | 6 |
| 3.6216 | 9 | 1.5247 | 9 | 13.4769 | 6 |
| 3.6578 | 9 | 1.5553 | 9 | 13.5403 | 5 |
| 3.694 | 9 | 1.5858 | 9 | 13.6036 | 5 |
| 3.7302 | 9 | 1.6163 | 9 | 13.667 | 5 |
| 3.7665 | 9 | 1.6468 | 9 | 13.7304 | 5 |
| 3.8027 | 9 | 1.6773 | 9 | 13.7937 | 5 |
| 3.8389 | 9 | 1.7079 | 9 | 13.8571 | 5 |
| 3.8752 | 9 | 1.7384 | 9 | 13.9205 | 5 |
| 3.9114 | 9 | 1.7689 | 9 | 13.9838 | 5 |
| 3.9476 | 9 | 1.7994 | 9 | 14.0472 | 5 |
| 3.9838 | 9 | 1.8299 | 9 | 14.1105 | 5 |
| 4.0201 | 9 | 1.8605 | 9 | 14.1739 | 5 |
| 4.0563 | 9 | 1.891 | 9 | 14.2373 | 5 |
| 4.0925 | 9 | 1.9215 | 9 | 14.3006 | 5 |
| 4.1287 | 9 | 1.952 | 9 | 14.364 | 5 |
| 4.165 | 9 | 1.9826 | 9 | 14.4274 | 5 |
| 4.2012 | 9 | 2.0131 | 9 | 14.4907 | 5 |
| 4.2374 | 9 | 2.0436 | 9 | 14.5541 | 5 |
| 4.2737 | 9 | 2.0741 | 9 | 14.6175 | 5 |
| 4.3099 | 9 | 2.1046 | 9 | 14.6808 | 5 |
| 4.3461 | 9 | 2.1352 | 9 | 14.7442 | 5 |
| 4.3823 | 9 | 2.1657 | 9 | 14.8076 | 5 |
| 4.4186 | 9 | 2.1962 | 9 | 14.8709 | 5 |
| 4.4548 | 9 | 2.2267 | 9 | 14.9343 | 5 |
| 4.491 | 9 | 2.2572 | 9 | 14.9977 | 4 |
| 4.5272 | 9 | 2.2878 | 9 | 15.061 | 4 |
| 4.5635 | 9 | 2.3183 | 9 | 15.1244 | 4 |
| 4.5997 | 8 | 2.3488 | 9 | 15.1878 | 4 |
| 4.6359 | 8 | 2.3793 | 9 | 15.2512 | 4 |
| 4.6722 | 8 | 2.4099 | 9 | 15.3145 | 4 |
| 4.7084 | 8 | 2.4404 | 9 | 15.3779 | 3 |
| 4.7447 | 8 | 2.4709 | 9 | 15.4413 | 3 |
| 4.7809 | 8 | 2.5014 | 9 | 15.5047 | 3 |
| 4.8172 | 8 | 2.5319 | 9 | 15.5681 | 3 |
| 4.8534 | 8 | 2.5625 | 9 | 15.6314 | 3 |
| 4.8896 | 8 | 2.593 | 9 | 15.6948 | 3 |
| 4.9259 | 8 | 2.6235 | 9 | 15.7582 | 3 |
| 4.9621 | 8 | 2.654 | 8 | 15.8216 | 3 |
| 4.9984 | 8 | 2.6846 | 8 | 15.885 | 2 |
| 5.0346 | 8 | 2.7152 | 8 | 15.9483 | 2 |
| 5.0709 | 8 | 2.7457 | 8 | 16.0117 | 2 |
| 5.1071 | 8 | 2.7763 | 8 | 16.0751 | 2 |
| 5.1434 | 8 | 2.8068 | 8 | 16.1385 | 2 |
| 5.1796 | 8 | 2.8374 | 8 | 16.2019 | 2 |
| 5.2158 | 8 | 2.868 | 8 | 16.2653 | 1 |
| 5.2521 | 7 | 2.8985 | 8 | 16.3287 | 1 |
| 5.2883 | 7 | 2.9291 | 8 | 16.3921 | 0 |
| 5.3246 | 7 | 2.9596 | 8 | 16.4555 | 0 |
| 5.3608 | 7 | 2.9902 | 8 | 16.5189 | 0 |
| 5.3971 | 7 | 3.0207 | 8 | 16.5823 | 0 |
| 5.4333 | 7 | 3.0513 | 8 | 16.6457 | 0 |
| 5.4696 | 7 | 3.0819 | 8 | 16.7091 | 0 |
| 5.5058 | 7 | 3.1124 | 8 | 16.7725 | 0 |
| 5.5421 | 7 | 3.143 | 8 | 16.8359 | 0 |
| 5.5783 | 7 | 3.1735 | 8 | 16.8993 | 0 |
| 5.6146 | 7 | 3.2041 | 8 | 16.9627 | 0 |
| 5.6508 | 7 | 3.2346 | 8 | 17.0261 | 0 |
| 5.6871 | 7 | 3.2652 | 8 | 17.0895 | 0 |
| 5.7233 | 7 | 3.2958 | 8 | 17.1529 | 0 |
| 5.7596 | 7 | 3.3263 | 8 | 17.2163 | 0 |
| 5.7958 | 7 | 3.3569 | 7 | 17.2797 | 0 |
| 5.8321 | 7 | 3.3875 | 7 | 17.3431 | 0 |
| 5.8683 | 7 | 3.418 | 7 | 17.4065 | 0 |
| 5.9046 | 7 | 3.4486 | 7 | 17.4699 | 0 |
| 5.9408 | 7 | 3.4792 | 7 | 17.5333 | 0 |
| 5.9771 | 7 | 3.5097 | 7 | 17.5967 | 0 |
| 6.0133 | 7 | 3.5403 | 7 | 17.6601 | 0 |
| 6.0496 | 7 | 3.5709 | 7 | 17.7235 | 0 |
| 6.0858 | 7 | 3.6015 | 7 | 17.7869 | 0 |
| 6.1221 | 7 | 3.632 | 7 | 17.8503 | 0 |
| 6.1583 | 7 | 3.6626 | 7 | 17.9137 | 0 |
| 6.1946 | 7 | 3.6932 | 7 | 17.9771 | 0 |
| 6.2308 | 7 | 3.7238 | 7 | 18.0405 | 0 |
| 6.2671 | 7 | 3.7543 | 7 | 18.1039 | 0 |
| 6.3033 | 7 | 3.7849 | 7 | 18.1673 | 0 |
| 6.3396 | 7 | 3.8155 | 7 | 18.2307 | 0 |
| 6.3758 | 7 | 3.846 | 7 | 18.2941 | 0 |
| 6.4121 | 7 | 3.8766 | 7 | 18.3575 | 0 |
| 6.4483 | 7 | 3.9072 | 7 | 18.4209 | 0 |
| 6.4846 | 6 | 3.9378 | 6 | 18.4843 | 0 |
| 6.5209 | 6 | 3.9684 | 6 | 18.5477 | 0 |
| 6.5571 | 6 | 3.999 | 6 | 18.6111 | 0 |
| 6.5934 | 6 | 4.0296 | 6 | 18.6745 | 0 |
| 6.6297 | 6 | 4.0602 | 6 | 18.7379 | 0 |
| 6.6659 | 6 | 4.0909 | 6 | 18.8013 | 0 |
| 6.7022 | 6 | 4.1215 | 6 | 18.8647 | 0 |
| 6.7385 | 6 | 4.1521 | 6 | 18.9281 | 0 |
| 6.7747 | 6 | 4.1827 | 6 | 18.9915 | 0 |
| 6.811 | 6 | 4.2133 | 6 | 19.0549 | 0 |
| 6.8473 | 6 | 4.2439 | 6 | 19.1183 | 0 |
| 6.8835 | 6 | 4.2745 | 6 | 19.1817 | 0 |
| 6.9198 | 6 | 4.3052 | 6 | 19.2451 | 0 |
| 6.9561 | 6 | 4.3358 | 6 | 19.3085 | 0 |
| 6.9924 | 6 | 4.3664 | 6 | 19.3719 | 0 |
| 7.0286 | 6 | 4.397 | 6 | 19.4353 | 0 |
| 7.0649 | 6 | 4.4276 | 6 | 19.4987 | 0 |
| 7.1012 | 6 | 4.4582 | 6 | 19.5621 | 0 |
| 7.1374 | 6 | 4.4888 | 6 | 19.6255 | 0 |
| 7.1737 | 6 | 4.5194 | 6 | 19.6889 | 0 |
| 7.21 | 6 | 4.5501 | 6 | 19.7523 | 0 |
| 7.2462 | 6 | 4.5807 | 6 | 19.8157 | 0 |
| 7.2825 | 6 | 4.6113 | 6 | 19.8791 | 0 |
| 7.3188 | 6 | 4.6419 | 6 | 19.9425 | 0 |
| 7.355 | 6 | 4.6725 | 6 | ||
| 7.3913 | 6 | 4.7031 | 6 | ||
| 7.4276 | 6 | 4.7337 | 6 | ||
| 7.4638 | 6 | 4.7644 | 6 | ||
| 7.5001 | 6 | 4.795 | 6 | ||
| 7.5364 | 6 | 4.8256 | 6 | ||
| 7.5726 | 6 | 4.8562 | 6 | ||
| 7.6089 | 6 | 4.8868 | 6 | ||
| 7.6452 | 6 | 4.9174 | 5 | ||
| 7.6814 | 6 | 4.9481 | 5 | ||
| 7.7177 | 6 | 4.9788 | 5 | ||
| 7.754 | 6 | 5.0094 | 5 | ||
| 7.7902 | 6 | 5.0401 | 5 | ||
| 7.8265 | 5 | 5.0707 | 5 | ||
| 7.8628 | 4 | 5.1014 | 5 | ||
| 7.8991 | 4 | 5.1321 | 5 | ||
| 7.9355 | 4 | 5.1627 | 5 | ||
| 7.9718 | 4 | 5.1934 | 5 | ||
| 8.0081 | 4 | 5.2241 | 5 | ||
| 8.0444 | 4 | 5.2547 | 5 | ||
| 8.0807 | 4 | 5.2854 | 4 | ||
| 8.117 | 4 | 5.3161 | 4 | ||
| 8.1533 | 4 | 5.3468 | 4 | ||
| 8.1896 | 4 | 5.3775 | 4 | ||
| 8.2259 | 4 | 5.4082 | 4 | ||
| 8.2622 | 4 | 5.4389 | 4 | ||
| 8.2986 | 4 | 5.4696 | 4 | ||
| 8.3349 | 4 | 5.5003 | 4 | ||
| 8.3712 | 4 | 5.531 | 4 | ||
| 8.4075 | 4 | 5.5617 | 4 | ||
| 8.4438 | 4 | 5.5925 | 4 | ||
| 8.4801 | 4 | 5.6232 | 3 | ||
| 8.5164 | 4 | 5.654 | 3 | ||
| 8.5527 | 4 | 5.6847 | 3 | ||
| 8.589 | 4 | 5.7155 | 3 | ||
| 8.6254 | 4 | 5.7462 | 3 | ||
| 8.6617 | 4 | 5.777 | 3 | ||
| 8.698 | 3 | 5.8078 | 3 | ||
| 8.7343 | 3 | 5.8385 | 3 | ||
| 8.7707 | 3 | 5.8693 | 3 | ||
| 8.807 | 2 | 5.9 | 3 | ||
| 8.8434 | 2 | 5.9308 | 3 | ||
| 8.8798 | 2 | 5.9616 | 2 | ||
| 8.9161 | 2 | 5.9924 | 2 | ||
| 8.9525 | 2 | 6.0232 | 2 | ||
| 8.9889 | 2 | 6.054 | 1 | ||
| 9.0252 | 2 | 6.0849 | 1 | ||
| 9.0616 | 2 | 6.1158 | 1 | ||
| 9.098 | 2 | 6.1467 | 1 | ||
| 9.1343 | 1 | 6.1776 | 1 | ||
| 9.1707 | 1 | 6.2085 | 0 | ||
| 9.2072 | 0 | 6.2395 | 0 | ||
| 9.2436 | 0 | 6.2704 | 0 | ||
| 9.28 | 0 | 6.3013 | 0 | ||
| 9.3164 | 0 | 6.3323 | 0 | ||
| 9.3529 | 0 | 6.3632 | 0 | ||
| 9.3893 | 0 | 6.3941 | 0 | ||
| 9.4257 | 0 | 6.4251 | 0 | ||
| 9.4621 | 0 | 6.456 | 0 | ||
| 9.4986 | 0 | 6.487 | 0 | ||
| 9.535 | 0 | 6.5179 | 0 | ||
| 9.5714 | 0 | 6.5488 | 0 | ||
| 9.6078 | 0 | 6.5798 | 0 | ||
| 9.6443 | 0 | 6.6107 | 0 | ||
| 9.6807 | 0 | 6.6417 | 0 | ||
| 9.7171 | 0 | 6.6726 | 0 | ||
| 9.7535 | 0 | 6.7035 | 0 | ||
| 9.79 | 0 | 6.7345 | 0 | ||
| 9.8264 | 0 | 6.7654 | 0 | ||
| 9.8628 | 0 | 6.7963 | 0 | ||
| 9.8992 | 0 | 6.8273 | 0 | ||
| 9.9357 | 0 | 6.8582 | 0 | ||
| 9.9721 | 0 | 6.8892 | 0 | ||
| 10.0085 | 0 | 6.9201 | 0 | ||
| 10.0449 | 0 | 6.951 | 0 | ||
| 10.0814 | 0 | 6.982 | 0 | ||
| 10.1178 | 0 | 7.0129 | 0 | ||
| 10.1542 | 0 | 7.0439 | 0 | ||
| 10.1906 | 0 | 7.0748 | 0 | ||
| 10.2271 | 0 | 7.1057 | 0 | ||
| 10.2635 | 0 | 7.1367 | 0 | ||
| 10.2999 | 0 | 7.1676 | 0 | ||
| 10.3363 | 0 | 7.1985 | 0 | ||
| 10.3728 | 0 | 7.2295 | 0 | ||
| 10.4092 | 0 | 7.2604 | 0 | ||
| 10.4456 | 0 | 7.2914 | 0 | ||
| 10.482 | 0 | 7.3223 | 0 | ||
| 10.5185 | 0 | 7.3532 | 0 | ||
| 10.5549 | 0 | 7.3842 | 0 | ||
| 10.5913 | 0 | 7.4151 | 0 | ||
| 10.6277 | 0 | 7.446 | 0 | ||
| 10.6642 | 0 | 7.477 | 0 | ||
| 10.7006 | 0 | 7.5079 | 0 | ||
| 10.737 | 0 | 7.5389 | 0 | ||
| 10.7734 | 0 | 7.5698 | 0 | ||
| 10.8099 | 0 | 7.6007 | 0 | ||
| 10.8463 | 0 | 7.6317 | 0 | ||
| 10.8827 | 0 | 7.6626 | 0 | ||
| 10.9191 | 0 | 7.6936 | 0 | ||
| 10.9556 | 0 | 7.7245 | 0 | ||
| 10.992 | 0 | 7.7554 | 0 | ||
| 11.0284 | 0 | 7.7864 | 0 | ||
| 11.0648 | 0 | 7.8173 | 0 | ||
| 11.1013 | 0 | 7.8482 | 0 | ||
| 11.1377 | 0 | 7.8792 | 0 | ||
| 11.1741 | 0 | 7.9101 | 0 | ||
| 11.2105 | 0 | 7.9411 | 0 | ||
| 11.247 | 0 | 7.972 | 0 | ||
| 11.2834 | 0 | 8.0029 | 0 | ||
| 11.3198 | 0 | 8.0339 | 0 | ||
| 11.3562 | 0 | 8.0648 | 0 | ||
| 11.3927 | 0 | 8.0958 | 0 | ||
| 11.4291 | 0 | 8.1267 | 0 | ||
| 11.4655 | 0 | 8.1576 | 0 | ||
| 11.5019 | 0 | 8.1886 | 0 | ||
| 11.5383 | 0 | 8.2195 | 0 | ||
| 11.5748 | 0 | 8.2504 | 0 | ||
| 11.6112 | 0 | 8.2814 | 0 | ||
| 11.6476 | 0 | 8.3123 | 0 | ||
| 11.684 | 0 | 8.3433 | 0 | ||
| 11.7205 | 0 | 8.3742 | 0 | ||
| 11.7569 | 0 | 8.4051 | 0 | ||
| 11.7933 | 0 | 8.4361 | 0 | ||
| 11.8297 | 0 | 8.467 | 0 | ||
| 11.8662 | 0 | 8.4979 | 0 | ||
| 11.9026 | 0 | 8.5289 | 0 | ||
| 11.939 | 0 | 8.5598 | 0 | ||
| 11.9754 | 0 | 8.5908 | 0 | ||
| 12.0119 | 0 | 8.6217 | 0 | ||
| 12.0483 | 0 | 8.6526 | 0 | ||
| 12.0847 | 0 | 8.6836 | 0 | ||
| 12.1211 | 0 | 8.7145 | 0 | ||
| 12.1576 | 0 | 8.7455 | 0 | ||
| 12.194 | 0 | 8.7764 | 0 | ||
| 12.2304 | 0 | 8.8073 | 0 | ||
| 12.2668 | 0 | 8.8383 | 0 | ||
| 12.3033 | 0 | 8.8692 | 0 | ||
| 12.3397 | 0 | 8.9001 | 0 | ||
| 12.3761 | 0 | 8.9311 | 0 | ||
| 12.4125 | 0 | 8.962 | 0 | ||
| 12.449 | 0 | 8.993 | 0 | ||
| 12.4854 | 0 | 9.0239 | 0 | ||
| 12.5218 | 0 | 9.0548 | 0 | ||
| 12.5582 | 0 | 9.0858 | 0 | ||
| 12.5947 | 0 | 9.1167 | 0 | ||
| 12.6311 | 0 | 9.1477 | 0 | ||
| 12.6675 | 0 | 9.1786 | 0 | ||
| 12.7039 | 0 | 9.2095 | 0 | ||
| 12.7404 | 0 | 9.2405 | 0 | ||
| 12.7768 | 0 | 9.2714 | 0 | ||
| 12.8132 | 0 | 9.3023 | 0 | ||
| 12.8496 | 0 | 9.3333 | 0 | ||
| 12.8861 | 0 | 9.3642 | 0 | ||
| 12.9225 | 0 | 9.3952 | 0 | ||
| 12.9589 | 0 | 9.4261 | 0 | ||
| 12.9953 | 0 | 9.457 | 0 | ||
| 13.0318 | 0 | 9.488 | 0 | ||
| 13.0682 | 0 | 9.5189 | 0 | ||
| 13.1046 | 0 | 9.5498 | 0 | ||
| 13.141 | 0 | 9.5808 | 0 | ||
| 13.1775 | 0 | 9.6117 | 0 | ||
| 13.2139 | 0 | 9.6427 | 0 | ||
| 13.2503 | 0 | 9.6736 | 0 | ||
| 13.2867 | 0 | 9.7045 | 0 | ||
| 13.3232 | 0 | 9.7355 | 0 | ||
| 13.3596 | 0 | 9.7664 | 0 | ||
| 13.396 | 0 | 9.7974 | 0 | ||
| 13.4324 | 0 | 9.8283 | 0 | ||
| 13.4689 | 0 | 9.8592 | 0 | ||
| 13.5053 | 0 | 9.8902 | 0 | ||
| 13.5417 | 0 | 9.9211 | 0 | ||
| 13.5781 | 0 | 9.952 | 0 | ||
| 13.6146 | 0 | 9.983 | 0 | ||
| 13.651 | 0 | 10.0139 | 0 | ||
| 13.6874 | 0 | 10.0449 | 0 | ||
| 13.7238 | 0 | 10.0758 | 0 | ||
| 13.7603 | 0 | 10.1067 | 0 | ||
| 13.7967 | 0 | 10.1377 | 0 | ||
| 13.8331 | 0 | 10.1686 | 0 | ||
| 13.8695 | 0 | 10.1996 | 0 | ||
| 13.906 | 0 | 10.2305 | 0 | ||
| 13.9424 | 0 | 10.2614 | 0 | ||
| 13.9788 | 0 | 10.2924 | 0 | ||
| 14.0152 | 0 | 10.3233 | 0 | ||
| 14.0517 | 0 | 10.3542 | 0 | ||
| 14.0881 | 0 | 10.3852 | 0 | ||
| 14.1245 | 0 | 10.4161 | 0 | ||
| 14.1609 | 0 | 10.4471 | 0 | ||
| 14.1974 | 0 | 10.478 | 0 | ||
| 14.2338 | 0 | 10.5089 | 0 | ||
| 14.2702 | 0 | 10.5399 | 0 | ||
| 14.3066 | 0 | 10.5708 | 0 | ||
| 14.3431 | 0 | 10.6017 | 0 | ||
| 14.3795 | 0 | 10.6327 | 0 | ||
| 14.4159 | 0 | 10.6636 | 0 | ||
| 14.4523 | 0 | 10.6946 | 0 | ||
| 14.4888 | 0 | 10.7255 | 0 | ||
| 14.5252 | 0 | 10.7564 | 0 | ||
| 14.5616 | 0 | 10.7874 | 0 | ||
| 14.598 | 0 | 10.8183 | 0 | ||
| 14.6345 | 0 | 10.8493 | 0 | ||
| 14.6709 | 0 | 10.8802 | 0 | ||
| 14.7073 | 0 | 10.9111 | 0 | ||
| 14.7437 | 0 | 10.9421 | 0 | ||
| 14.7802 | 0 | 10.973 | 0 | ||
| 14.8166 | 0 | 11.0039 | 0 | ||
| 14.853 | 0 | 11.0349 | 0 | ||
| 14.8894 | 0 | 11.0658 | 0 | ||
| 14.9259 | 0 | 11.0968 | 0 | ||
| 14.9623 | 0 | 11.1277 | 0 | ||
| 14.9987 | 0 | 11.1586 | 0 | ||
| 15.0351 | 0 | 11.1896 | 0 | ||
| 15.0716 | 0 | 11.2205 | 0 | ||
| 15.108 | 0 | 11.2515 | 0 | ||
| 15.1444 | 0 | 11.2824 | 0 | ||
| 15.1808 | 0 | 11.3133 | 0 | ||
| 15.2173 | 0 | 11.3443 | 0 | ||
| 15.2537 | 0 | 11.3752 | 0 | ||
| 15.2901 | 0 | 11.4061 | 0 | ||
| 15.3265 | 0 | 11.4371 | 0 | ||
| 15.363 | 0 | 11.468 | 0 | ||
| 15.3994 | 0 | 11.499 | 0 | ||
| 15.4358 | 0 | 11.5299 | 0 | ||
| 15.4722 | 0 | 11.5608 | 0 | ||
| 15.5087 | 0 | 11.5918 | 0 | ||
| 15.5451 | 0 | 11.6227 | 0 | ||
| 15.5815 | 0 | 11.6536 | 0 | ||
| 15.6179 | 0 | 11.6846 | 0 | ||
| 15.6544 | 0 | 11.7155 | 0 | ||
| 15.6908 | 0 | 11.7465 | 0 | ||
| 15.7272 | 0 | 11.7774 | 0 | ||
| 15.7636 | 0 | 11.8083 | 0 | ||
| 15.8001 | 0 | 11.8393 | 0 | ||
| 15.8365 | 0 | 11.8702 | 0 | ||
| 15.8729 | 0 | 11.9012 | 0 | ||
| 15.9093 | 0 | 11.9321 | 0 | ||
| 15.9458 | 0 | 11.963 | 0 | ||
| 15.9822 | 0 | 11.994 | 0 | ||
| 16.0186 | 0 | 12.0249 | 0 | ||
| 16.055 | 0 | 12.0558 | 0 | ||
| 16.0915 | 0 | 12.0868 | 0 | ||
| 16.1279 | 0 | 12.1177 | 0 | ||
| 16.1643 | 0 | 12.1487 | 0 | ||
| 16.2007 | 0 | 12.1796 | 0 | ||
| 16.2372 | 0 | 12.2105 | 0 | ||
| 16.2736 | 0 | 12.2415 | 0 | ||
| 16.31 | 0 | 12.2724 | 0 | ||
| 16.3464 | 0 | 12.3033 | 0 | ||
| 16.3829 | 0 | 12.3343 | 0 | ||
| 16.4193 | 0 | 12.3652 | 0 | ||
| 16.4557 | 0 | 12.3962 | 0 | ||
| 16.4921 | 0 | 12.4271 | 0 | ||
| 16.5286 | 0 | 12.458 | 0 | ||
| 16.565 | 0 | 12.489 | 0 | ||
| 16.6014 | 0 | 12.5199 | 0 | ||
| 16.6378 | 0 | 12.5509 | 0 | ||
| 16.6743 | 0 | 12.5818 | 0 | ||
| 16.7107 | 0 | 12.6127 | 0 | ||
| 16.7471 | 0 | 12.6437 | 0 | ||
| 16.7835 | 0 | 12.6746 | 0 | ||
| 16.82 | 0 | 12.7055 | 0 | ||
| 16.8564 | 0 | 12.7365 | 0 | ||
| 16.8928 | 0 | 12.7674 | 0 | ||
| 16.9292 | 0 | 12.7984 | 0 | ||
| 16.9657 | 0 | 12.8293 | 0 | ||
| 17.0021 | 0 | 12.8602 | 0 | ||
| 17.0385 | 0 | 12.8912 | 0 | ||
| 17.0749 | 0 | 12.9221 | 0 | ||
| 17.1114 | 0 | 12.9531 | 0 | ||
| 17.1478 | 0 | 12.984 | 0 | ||
| 17.1842 | 0 | 13.0149 | 0 | ||
| 17.2206 | 0 | 13.0459 | 0 | ||
| 17.2571 | 0 | 13.0768 | 0 | ||
| 17.2935 | 0 | 13.1077 | 0 | ||
| 17.3299 | 0 | 13.1387 | 0 | ||
| 17.3663 | 0 | 13.1696 | 0 | ||
| 17.4028 | 0 | 13.2006 | 0 | ||
| 17.4392 | 0 | 13.2315 | 0 | ||
| 17.4756 | 0 | 13.2624 | 0 | ||
| 17.512 | 0 | 13.2934 | 0 | ||
| 17.5485 | 0 | 13.3243 | 0 | ||
| 17.5849 | 0 | 13.3552 | 0 | ||
| 17.6213 | 0 | 13.3862 | 0 | ||
| 17.6577 | 0 | 13.4171 | 0 | ||
| 17.6942 | 0 | 13.4481 | 0 | ||
| 17.7306 | 0 | 13.479 | 0 | ||
| 17.767 | 0 | 13.5099 | 0 | ||
| 17.8034 | 0 | 13.5409 | 0 | ||
| 17.8399 | 0 | 13.5718 | 0 | ||
| 17.8763 | 0 | 13.6028 | 0 | ||
| 17.9127 | 0 | 13.6337 | 0 | ||
| 17.9491 | 0 | 13.6646 | 0 | ||
| 17.9856 | 0 | 13.6956 | 0 | ||
| 18.022 | 0 | 13.7265 | 0 | ||
| 18.0584 | 0 | 13.7574 | 0 | ||
| 18.0948 | 0 | 13.7884 | 0 | ||
| 18.1313 | 0 | 13.8193 | 0 | ||
| 18.1677 | 0 | 13.8503 | 0 | ||
| 18.2041 | 0 | 13.8812 | 0 | ||
| 18.2405 | 0 | 13.9121 | 0 | ||
| 18.277 | 0 | 13.9431 | 0 | ||
| 18.3134 | 0 | 13.974 | 0 | ||
| 18.3498 | 0 | 14.005 | 0 | ||
| 18.3862 | 0 | 14.0359 | 0 | ||
| 18.4227 | 0 | 14.0668 | 0 | ||
| 18.4591 | 0 | 14.0978 | 0 | ||
| 18.4955 | 0 | 14.1287 | 0 | ||
| 18.5319 | 0 | 14.1596 | 0 | ||
| 18.5684 | 0 | 14.1906 | 0 | ||
| 18.6048 | 0 | 14.2215 | 0 | ||
| 18.6412 | 0 | 14.2525 | 0 | ||
| 18.6776 | 0 | 14.2834 | 0 | ||
| 18.7141 | 0 | 14.3143 | 0 | ||
| 18.7505 | 0 | 14.3453 | 0 | ||
| 18.7869 | 0 | 14.3762 | 0 | ||
| 18.8233 | 0 | 14.4071 | 0 | ||
| 18.8598 | 0 | 14.4381 | 0 | ||
| 18.8962 | 0 | 14.469 | 0 | ||
| 18.9326 | 0 | 14.5 | 0 | ||
| 18.969 | 0 | 14.5309 | 0 | ||
| 19.0055 | 0 | 14.5618 | 0 | ||
| 19.0419 | 0 | 14.5928 | 0 | ||
| 19.0783 | 0 | 14.6237 | 0 | ||
| 19.1147 | 0 | 14.6547 | 0 | ||
| 19.1512 | 0 | 14.6856 | 0 | ||
| 19.1876 | 0 | 14.7165 | 0 | ||
| 19.224 | 0 | 14.7475 | 0 | ||
| 19.2604 | 0 | 14.7784 | 0 | ||
| 19.2969 | 0 | 14.8093 | 0 | ||
| 19.3333 | 0 | 14.8403 | 0 | ||
| 19.3697 | 0 | 14.8712 | 0 | ||
| 19.4061 | 0 | 14.9022 | 0 | ||
| 19.4426 | 0 | 14.9331 | 0 | ||
| 19.479 | 0 | 14.964 | 0 | ||
| 19.5154 | 0 | 14.995 | 0 | ||
| 19.5518 | 0 | 15.0259 | 0 | ||
| 19.5883 | 0 | 15.0569 | 0 | ||
| 19.6247 | 0 | 15.0878 | 0 | ||
| 19.6611 | 0 | 15.1187 | 0 | ||
| 19.6975 | 0 | 15.1497 | 0 | ||
| 19.734 | 0 | 15.1806 | 0 | ||
| 19.7704 | 0 | 15.2115 | 0 | ||
| 19.8068 | 0 | 15.2425 | 0 | ||
| 19.8432 | 0 | 15.2734 | 0 | ||
| 19.8796 | 0 | 15.3044 | 0 | ||
| 19.9161 | 0 | 15.3353 | 0 | ||
| 19.9525 | 0 | 15.3662 | 0 | ||
| 19.9889 | 0 | 15.3972 | 0 | ||
| 15.4281 | 0 | ||||
| 15.459 | 0 | ||||
| 15.49 | 0 | ||||
| 15.5209 | 0 | ||||
| 15.5519 | 0 | ||||
| 15.5828 | 0 | ||||
| 15.6137 | 0 | ||||
| 15.6447 | 0 | ||||
| 15.6756 | 0 | ||||
| 15.7066 | 0 | ||||
| 15.7375 | 0 | ||||
| 15.7684 | 0 | ||||
| 15.7994 | 0 | ||||
| 15.8303 | 0 | ||||
| 15.8612 | 0 | ||||
| 15.8922 | 0 | ||||
| 15.9231 | 0 | ||||
| 15.9541 | 0 | ||||
| 15.985 | 0 | ||||
| 16.0159 | 0 | ||||
| 16.0469 | 0 | ||||
| 16.0778 | 0 | ||||
| 16.1088 | 0 | ||||
| 16.1397 | 0 | ||||
| 16.1706 | 0 | ||||
| 16.2016 | 0 | ||||
| 16.2325 | 0 | ||||
| 16.2634 | 0 | ||||
| 16.2944 | 0 | ||||
| 16.3253 | 0 | ||||
| 16.3563 | 0 | ||||
| 16.3872 | 0 | ||||
| 16.4181 | 0 | ||||
| 16.4491 | 0 | ||||
| 16.48 | 0 | ||||
| 16.5109 | 0 | ||||
| 16.5419 | 0 | ||||
| 16.5728 | 0 | ||||
| 16.6038 | 0 | ||||
| 16.6347 | 0 | ||||
| 16.6656 | 0 | ||||
| 16.6966 | 0 | ||||
| 16.7275 | 0 | ||||
| 16.7585 | 0 | ||||
| 16.7894 | 0 | ||||
| 16.8203 | 0 | ||||
| 16.8513 | 0 | ||||
| 16.8822 | 0 | ||||
| 16.9131 | 0 | ||||
| 16.9441 | 0 | ||||
| 16.975 | 0 | ||||
| 17.006 | 0 | ||||
| 17.0369 | 0 | ||||
| 17.0678 | 0 | ||||
| 17.0988 | 0 | ||||
| 17.1297 | 0 | ||||
| 17.1607 | 0 | ||||
| 17.1916 | 0 | ||||
| 17.2225 | 0 | ||||
| 17.2535 | 0 | ||||
| 17.2844 | 0 | ||||
| 17.3153 | 0 | ||||
| 17.3463 | 0 | ||||
| 17.3772 | 0 | ||||
| 17.4082 | 0 | ||||
| 17.4391 | 0 | ||||
| 17.47 | 0 | ||||
| 17.501 | 0 | ||||
| 17.5319 | 0 | ||||
| 17.5628 | 0 | ||||
| 17.5938 | 0 | ||||
| 17.6247 | 0 | ||||
| 17.6557 | 0 | ||||
| 17.6866 | 0 | ||||
| 17.7175 | 0 | ||||
| 17.7485 | 0 | ||||
| 17.7794 | 0 | ||||
| 17.8104 | 0 | ||||
| 17.8413 | 0 | ||||
| 17.8722 | 0 | ||||
| 17.9032 | 0 | ||||
| 17.9341 | 0 | ||||
| 17.965 | 0 | ||||
| 17.996 | 0 | ||||
| 18.0269 | 0 | ||||
| 18.0579 | 0 | ||||
| 18.0888 | 0 | ||||
| 18.1197 | 0 | ||||
| 18.1507 | 0 | ||||
| 18.1816 | 0 | ||||
| 18.2126 | 0 | ||||
| 18.2435 | 0 | ||||
| 18.2744 | 0 | ||||
| 18.3054 | 0 | ||||
| 18.3363 | 0 | ||||
| 18.3672 | 0 | ||||
| 18.3982 | 0 | ||||
| 18.4291 | 0 | ||||
| 18.4601 | 0 | ||||
| 18.491 | 0 | ||||
| 18.5219 | 0 | ||||
| 18.5529 | 0 | ||||
| 18.5838 | 0 | ||||
| 18.6147 | 0 | ||||
| 18.6457 | 0 | ||||
| 18.6766 | 0 | ||||
| 18.7076 | 0 | ||||
| 18.7385 | 0 | ||||
| 18.7694 | 0 | ||||
| 18.8004 | 0 | ||||
| 18.8313 | 0 | ||||
| 18.8623 | 0 | ||||
| 18.8932 | 0 | ||||
| 18.9241 | 0 | ||||
| 18.9551 | 0 | ||||
| 18.986 | 0 | ||||
| 19.0169 | 0 | ||||
| 19.0479 | 0 | ||||
| 19.0788 | 0 | ||||
| 19.1098 | 0 | ||||
| 19.1407 | 0 | ||||
| 19.1716 | 0 | ||||
| 19.2026 | 0 | ||||
| 19.2335 | 0 | ||||
| 19.2645 | 0 | ||||
| 19.2954 | 0 | ||||
| 19.3263 | 0 | ||||
| 19.3573 | 0 | ||||
| 19.3882 | 0 | ||||
| 19.4191 | 0 | ||||
| 19.4501 | 0 | ||||
| 19.481 | 0 | ||||
| 19.512 | 0 | ||||
| 19.5429 | 0 | ||||
| 19.5738 | 0 | ||||
| 19.6048 | 0 | ||||
| 19.6357 | 0 | ||||
| 19.6666 | 0 | ||||
| 19.6976 | 0 | ||||
| 19.7285 | 0 | ||||
| 19.7595 | 0 | ||||
| 19.7904 | 0 | ||||
| 19.8213 | 0 | ||||
| 19.8523 | 0 | ||||
| 19.8832 | 0 | ||||
| 19.9142 | 0 | ||||
| 19.9451 | 0 | ||||
| 19.976 | 0 |
Data for Figure 7 (Bottom Left Panel)
| Average percent change in foreign GDP | Baseline Trade Elasticity | Average percent change in foreign GDP | High Trade Elasticity | Average percent change in foreign GDP | Low Trade Elasticity |
|---|---|---|---|---|---|
| -9.4813 | 0.8327 | -9.4898 | 1.2069 | -9.4545 | 0.5039 |
| -9.4451 | 0.8325 | -9.4595 | 1.2064 | -9.3911 | 0.5038 |
| -9.409 | 0.8323 | -9.4292 | 1.2058 | -9.3278 | 0.5037 |
| -9.3728 | 0.8322 | -9.3989 | 1.2053 | -9.2645 | 0.5036 |
| -9.3366 | 0.832 | -9.3685 | 1.2047 | -9.2011 | 0.5035 |
| -9.3005 | 0.8318 | -9.3382 | 1.2041 | -9.1378 | 0.5034 |
| -9.2643 | 0.8316 | -9.3079 | 1.2036 | -9.0745 | 0.5033 |
| -9.2281 | 0.8315 | -9.2775 | 1.203 | -9.0111 | 0.5032 |
| -9.192 | 0.8313 | -9.2472 | 1.2025 | -8.9478 | 0.5031 |
| -9.1558 | 0.8311 | -9.2169 | 1.202 | -8.8845 | 0.503 |
| -9.1196 | 0.8309 | -9.1865 | 1.2016 | -8.8211 | 0.5029 |
| -9.0834 | 0.8307 | -9.1562 | 1.2012 | -8.7578 | 0.5028 |
| -9.0473 | 0.8306 | -9.1258 | 1.2007 | -8.6945 | 0.5026 |
| -9.0111 | 0.8304 | -9.0955 | 1.2003 | -8.6311 | 0.5025 |
| -8.9749 | 0.8302 | -9.0651 | 1.1998 | -8.5678 | 0.5024 |
| -8.9388 | 0.83 | -9.0348 | 1.1994 | -8.5044 | 0.5023 |
| -8.9026 | 0.8298 | -9.0044 | 1.1989 | -8.4411 | 0.5022 |
| -8.8664 | 0.8296 | -8.9741 | 1.1985 | -8.3778 | 0.5021 |
| -8.8303 | 0.8294 | -8.9437 | 1.198 | -8.3144 | 0.5019 |
| -8.7941 | 0.8292 | -8.9133 | 1.1976 | -8.2511 | 0.5018 |
| -8.7579 | 0.829 | -8.883 | 1.1971 | -8.1878 | 0.5017 |
| -8.7217 | 0.8288 | -8.8526 | 1.1966 | -8.1244 | 0.5016 |
| -8.6856 | 0.8286 | -8.8223 | 1.1961 | -8.0611 | 0.5014 |
| -8.6494 | 0.8284 | -8.7919 | 1.1957 | -7.9978 | 0.5013 |
| -8.6132 | 0.8282 | -8.7616 | 1.1952 | -7.9344 | 0.5012 |
| -8.5771 | 0.828 | -8.7312 | 1.1947 | -7.8711 | 0.501 |
| -8.5409 | 0.8278 | -8.7009 | 1.1942 | -7.8077 | 0.5009 |
| -8.5047 | 0.8276 | -8.6705 | 1.1937 | -7.7444 | 0.5008 |
| -8.4686 | 0.8274 | -8.6402 | 1.1933 | -7.6811 | 0.5006 |
| -8.4324 | 0.8272 | -8.6098 | 1.1928 | -7.6177 | 0.5005 |
| -8.3962 | 0.827 | -8.5795 | 1.1923 | -7.5544 | 0.5003 |
| -8.36 | 0.8268 | -8.5491 | 1.1918 | -7.4911 | 0.5002 |
| -8.3239 | 0.8265 | -8.5188 | 1.1912 | -7.4277 | 0.5 |
| -8.2877 | 0.8263 | -8.4884 | 1.1907 | -7.3644 | 0.4999 |
| -8.2515 | 0.8261 | -8.4581 | 1.1902 | -7.3011 | 0.4997 |
| -8.2154 | 0.8259 | -8.4277 | 1.1897 | -7.2377 | 0.4995 |
| -8.1792 | 0.8257 | -8.3974 | 1.1892 | -7.1744 | 0.4994 |
| -8.143 | 0.8254 | -8.367 | 1.1887 | -7.111 | 0.4992 |
| -8.1069 | 0.8252 | -8.3367 | 1.1881 | -7.0477 | 0.4991 |
| -8.0707 | 0.825 | -8.3063 | 1.1876 | -6.9844 | 0.4991 |
| -8.0345 | 0.8247 | -8.276 | 1.1872 | -6.921 | 0.4991 |
| -7.9983 | 0.8245 | -8.2456 | 1.1868 | -6.8577 | 0.499 |
| -7.9622 | 0.8243 | -8.2152 | 1.1864 | -6.7943 | 0.499 |
| -7.926 | 0.824 | -8.1848 | 1.186 | -6.731 | 0.499 |
| -7.8898 | 0.8238 | -8.1545 | 1.1857 | -6.6677 | 0.499 |
| -7.8537 | 0.8235 | -8.1241 | 1.1853 | -6.6043 | 0.499 |
| -7.8175 | 0.8233 | -8.0937 | 1.1849 | -6.541 | 0.499 |
| -7.7813 | 0.823 | -8.0633 | 1.1845 | -6.4776 | 0.499 |
| -7.7452 | 0.8228 | -8.033 | 1.1841 | -6.4143 | 0.4989 |
| -7.709 | 0.8225 | -8.0026 | 1.1837 | -6.3509 | 0.4989 |
| -7.6728 | 0.8223 | -7.9722 | 1.1833 | -6.2876 | 0.4989 |
| -7.6366 | 0.822 | -7.9418 | 1.1829 | -6.2243 | 0.4989 |
| -7.6005 | 0.8218 | -7.9115 | 1.1825 | -6.1609 | 0.4989 |
| -7.5643 | 0.8215 | -7.8811 | 1.1821 | -6.0976 | 0.4989 |
| -7.5281 | 0.8212 | -7.8507 | 1.1817 | -6.0342 | 0.4989 |
| -7.492 | 0.821 | -7.8203 | 1.1813 | -5.9709 | 0.4988 |
| -7.4558 | 0.8207 | -7.7899 | 1.1809 | -5.9076 | 0.4988 |
| -7.4196 | 0.8204 | -7.7596 | 1.1805 | -5.8442 | 0.4988 |
| -7.3835 | 0.8201 | -7.7292 | 1.18 | -5.7809 | 0.4988 |
| -7.3473 | 0.8199 | -7.6988 | 1.1796 | -5.7175 | 0.4988 |
| -7.3111 | 0.8196 | -7.6684 | 1.1792 | -5.6542 | 0.4987 |
| -7.2749 | 0.8193 | -7.6381 | 1.1787 | -5.5908 | 0.4987 |
| -7.2388 | 0.819 | -7.6077 | 1.1783 | -5.5275 | 0.4987 |
| -7.2026 | 0.8187 | -7.5773 | 1.1779 | -5.4642 | 0.4987 |
| -7.1664 | 0.8184 | -7.5469 | 1.1774 | -5.4008 | 0.4987 |
| -7.1303 | 0.8181 | -7.5166 | 1.177 | -5.3375 | 0.4986 |
| -7.0941 | 0.8178 | -7.4862 | 1.1765 | -5.2741 | 0.4986 |
| -7.0579 | 0.8175 | -7.4558 | 1.1761 | -5.2108 | 0.4986 |
| -7.0217 | 0.8174 | -7.4254 | 1.1756 | -5.1474 | 0.4986 |
| -6.9856 | 0.8173 | -7.3951 | 1.1752 | -5.0841 | 0.4986 |
| -6.9494 | 0.8171 | -7.3647 | 1.1747 | -5.0208 | 0.4985 |
| -6.9132 | 0.817 | -7.3343 | 1.1742 | -4.9574 | 0.4985 |
| -6.877 | 0.8169 | -7.3039 | 1.1738 | -4.8941 | 0.4985 |
| -6.8408 | 0.8167 | -7.2736 | 1.1733 | -4.8307 | 0.4985 |
| -6.8046 | 0.8166 | -7.2432 | 1.1728 | -4.7674 | 0.4984 |
| -6.7685 | 0.8165 | -7.2128 | 1.1723 | -4.7041 | 0.4984 |
| -6.7323 | 0.8163 | -7.1824 | 1.1718 | -4.6407 | 0.4984 |
| -6.6961 | 0.8162 | -7.1521 | 1.1713 | -4.5774 | 0.4983 |
| -6.6599 | 0.816 | -7.1217 | 1.1708 | -4.514 | 0.4983 |
| -6.6237 | 0.8159 | -7.0913 | 1.1703 | -4.4507 | 0.4983 |
| -6.5875 | 0.8157 | -7.0609 | 1.1698 | -4.3873 | 0.4982 |
| -6.5514 | 0.8156 | -7.0306 | 1.1693 | -4.324 | 0.4982 |
| -6.5152 | 0.8154 | -7.0002 | 1.1688 | -4.2607 | 0.4982 |
| -6.479 | 0.8153 | -6.9698 | 1.1683 | -4.1973 | 0.4981 |
| -6.4428 | 0.8151 | -6.9394 | 1.1678 | -4.134 | 0.4981 |
| -6.4066 | 0.815 | -6.9091 | 1.1672 | -4.0706 | 0.4981 |
| -6.3704 | 0.8148 | -6.8787 | 1.1667 | -4.0073 | 0.498 |
| -6.3343 | 0.8147 | -6.8483 | 1.1662 | -3.944 | 0.498 |
| -6.2981 | 0.8145 | -6.8179 | 1.1656 | -3.8806 | 0.498 |
| -6.2619 | 0.8143 | -6.7875 | 1.1652 | -3.8173 | 0.4979 |
| -6.2257 | 0.8142 | -6.7571 | 1.1648 | -3.7539 | 0.4979 |
| -6.1895 | 0.814 | -6.7267 | 1.1645 | -3.6906 | 0.4978 |
| -6.1533 | 0.8138 | -6.6963 | 1.1642 | -3.6272 | 0.4978 |
| -6.1172 | 0.8137 | -6.6659 | 1.1638 | -3.5639 | 0.4977 |
| -6.081 | 0.8135 | -6.6355 | 1.1635 | -3.5006 | 0.4977 |
| -6.0448 | 0.8133 | -6.6051 | 1.1632 | -3.4372 | 0.4976 |
| -6.0086 | 0.8131 | -6.5747 | 1.1628 | -3.3739 | 0.4976 |
| -5.9724 | 0.813 | -6.5443 | 1.1625 | -3.3105 | 0.4975 |
| -5.9362 | 0.8128 | -6.5139 | 1.1621 | -3.2472 | 0.4975 |
| -5.9001 | 0.8126 | -6.4835 | 1.1617 | -3.1838 | 0.4974 |
| -5.8639 | 0.8124 | -6.4531 | 1.1614 | -3.1205 | 0.4974 |
| -5.8277 | 0.8122 | -6.4227 | 1.161 | -3.0572 | 0.4973 |
| -5.7915 | 0.812 | -6.3923 | 1.1606 | -2.9938 | 0.4972 |
| -5.7553 | 0.8118 | -6.3619 | 1.1603 | -2.9305 | 0.4971 |
| -5.7191 | 0.8116 | -6.3315 | 1.1599 | -2.8671 | 0.4971 |
| -5.6829 | 0.8114 | -6.3011 | 1.1595 | -2.8038 | 0.497 |
| -5.6468 | 0.8112 | -6.2707 | 1.1591 | -2.7405 | 0.4969 |
| -5.6106 | 0.811 | -6.2403 | 1.1588 | -2.6771 | 0.4968 |
| -5.5744 | 0.8108 | -6.2099 | 1.1584 | -2.6138 | 0.4967 |
| -5.5382 | 0.8106 | -6.1795 | 1.158 | -2.5504 | 0.4967 |
| -5.502 | 0.8104 | -6.1491 | 1.1576 | -2.4871 | 0.4966 |
| -5.4658 | 0.8102 | -6.1187 | 1.1572 | -2.4237 | 0.4965 |
| -5.4297 | 0.81 | -6.0883 | 1.1568 | -2.3604 | 0.4963 |
| -5.3935 | 0.8098 | -6.0579 | 1.1564 | -2.2971 | 0.4962 |
| -5.3573 | 0.8095 | -6.0275 | 1.1559 | -2.2337 | 0.4961 |
| -5.3211 | 0.8093 | -5.9971 | 1.1555 | -2.1704 | 0.496 |
| -5.2849 | 0.8091 | -5.9667 | 1.1551 | -2.107 | 0.4959 |
| -5.2487 | 0.8089 | -5.9363 | 1.1547 | -2.0437 | 0.4957 |
| -5.2126 | 0.8086 | -5.9059 | 1.1543 | -1.9804 | 0.4956 |
| -5.1764 | 0.8084 | -5.8755 | 1.1538 | -1.917 | 0.4954 |
| -5.1402 | 0.8081 | -5.8451 | 1.1534 | -1.8537 | 0.4952 |
| -5.104 | 0.8079 | -5.8147 | 1.1529 | -1.7903 | 0.495 |
| -5.0678 | 0.8076 | -5.7843 | 1.1525 | -1.727 | 0.4948 |
| -5.0316 | 0.8074 | -5.7539 | 1.152 | -1.6636 | 0.4946 |
| -4.9955 | 0.8071 | -5.7235 | 1.1516 | -1.6003 | 0.4944 |
| -4.9593 | 0.8069 | -5.6931 | 1.1511 | -1.537 | 0.4941 |
| -4.9231 | 0.8066 | -5.6627 | 1.1506 | -1.4736 | 0.4939 |
| -4.8869 | 0.8063 | -5.6323 | 1.1502 | -1.4103 | 0.4936 |
| -4.8507 | 0.8061 | -5.6019 | 1.1497 | -1.3469 | 0.4933 |
| -4.8145 | 0.8058 | -5.5715 | 1.1492 | -1.2836 | 0.4929 |
| -4.7784 | 0.8055 | -5.5411 | 1.1487 | -1.2202 | 0.4925 |
| -4.7422 | 0.8052 | -5.5107 | 1.1482 | -1.1569 | 0.4921 |
| -4.706 | 0.8049 | -5.4803 | 1.1477 | -1.0936 | 0.4916 |
| -4.6698 | 0.8047 | -5.4499 | 1.1472 | -1.0302 | 0.491 |
| -4.6336 | 0.8044 | -5.4195 | 1.1467 | -0.9669 | 0.4904 |
| -4.5974 | 0.8041 | -5.3891 | 1.1462 | -0.9035 | 0.4897 |
| -4.5613 | 0.8037 | -5.3587 | 1.1457 | -0.8402 | 0.4889 |
| -4.5251 | 0.8034 | -5.3283 | 1.1451 | -0.7769 | 0.488 |
| -4.4889 | 0.8031 | -5.2979 | 1.1446 | -0.7135 | 0.4869 |
| -4.4527 | 0.8028 | -5.2675 | 1.1441 | -0.6502 | 0.4855 |
| -4.4165 | 0.8025 | -5.2371 | 1.1435 | -0.5868 | 0.4839 |
| -4.3803 | 0.8021 | -5.2067 | 1.143 | -0.5235 | 0.4819 |
| -4.3441 | 0.8018 | -5.1763 | 1.1424 | -0.4601 | 0.4813 |
| -4.308 | 0.8015 | -5.1459 | 1.1418 | -0.3968 | 0.4813 |
| -4.2718 | 0.8011 | -5.1155 | 1.1413 | -0.3334 | 0.4813 |
| -4.2356 | 0.8008 | -5.0851 | 1.1407 | -0.2701 | 0.4813 |
| -4.1994 | 0.8004 | -5.0547 | 1.1401 | -0.2068 | 0.4813 |
| -4.1632 | 0.8 | -5.0243 | 1.1395 | -0.1434 | 0.4813 |
| -4.127 | 0.7996 | -4.9939 | 1.1389 | -0.0801 | 0.4813 |
| -4.0909 | 0.7993 | -4.9635 | 1.1383 | -0.0167 | 0.4813 |
| -4.0547 | 0.7989 | -4.9331 | 1.1377 | 0.0466 | 0.4813 |
| -4.0185 | 0.7985 | -4.9027 | 1.1372 | 0.11 | 0.4813 |
| -3.9823 | 0.7981 | -4.8722 | 1.1369 | 0.1733 | 0.4813 |
| -3.9461 | 0.7977 | -4.8418 | 1.1366 | 0.2367 | 0.4813 |
| -3.9099 | 0.7975 | -4.8114 | 1.1363 | 0.3 | 0.4813 |
| -3.8737 | 0.7974 | -4.7809 | 1.136 | 0.3634 | 0.4813 |
| -3.8375 | 0.7973 | -4.7505 | 1.1357 | 0.4267 | 0.4813 |
| -3.8013 | 0.7972 | -4.7201 | 1.1354 | 0.4901 | 0.4813 |
| -3.7651 | 0.7972 | -4.6897 | 1.1351 | 0.5534 | 0.4813 |
| -3.7289 | 0.7971 | -4.6592 | 1.1348 | 0.6168 | 0.4813 |
| -3.6927 | 0.797 | -4.6288 | 1.1345 | 0.6801 | 0.4813 |
| -3.6566 | 0.7969 | -4.5984 | 1.1342 | 0.7434 | 0.4813 |
| -3.6204 | 0.7968 | -4.5679 | 1.1338 | 0.8068 | 0.4813 |
| -3.5842 | 0.7967 | -4.5375 | 1.1335 | 0.8701 | 0.4813 |
| -3.548 | 0.7967 | -4.5071 | 1.1332 | 0.9335 | 0.4813 |
| -3.5118 | 0.7966 | -4.4767 | 1.1328 | 0.9968 | 0.4813 |
| -3.4756 | 0.7965 | -4.4462 | 1.1325 | 1.0602 | 0.4813 |
| -3.4394 | 0.7964 | -4.4158 | 1.1321 | 1.1235 | 0.4813 |
| -3.4032 | 0.7963 | -4.3854 | 1.1318 | 1.1869 | 0.4813 |
| -3.367 | 0.7962 | -4.3549 | 1.1314 | 1.2502 | 0.4813 |
| -3.3308 | 0.7961 | -4.3245 | 1.131 | 1.3136 | 0.4813 |
| -3.2946 | 0.796 | -4.2941 | 1.1306 | 1.3769 | 0.4813 |
| -3.2584 | 0.7959 | -4.2637 | 1.1303 | 1.4403 | 0.4813 |
| -3.2222 | 0.7958 | -4.2332 | 1.1299 | 1.5036 | 0.4813 |
| -3.186 | 0.7957 | -4.2028 | 1.1295 | 1.567 | 0.4813 |
| -3.1498 | 0.7956 | -4.1724 | 1.1291 | 1.6303 | 0.4813 |
| -3.1136 | 0.7955 | -4.1419 | 1.1287 | 1.6936 | 0.4813 |
| -3.0774 | 0.7953 | -4.1115 | 1.1283 | 1.757 | 0.4813 |
| -3.0412 | 0.7952 | -4.0811 | 1.1279 | 1.8203 | 0.4813 |
| -3.005 | 0.7951 | -4.0507 | 1.1275 | 1.8837 | 0.4813 |
| -2.9688 | 0.795 | -4.0202 | 1.127 | 1.947 | 0.4813 |
| -2.9326 | 0.7949 | -3.9898 | 1.1266 | 2.0104 | 0.4813 |
| -2.8964 | 0.7947 | -3.9594 | 1.1262 | 2.0737 | 0.4813 |
| -2.8602 | 0.7946 | -3.9289 | 1.1257 | 2.1371 | 0.4813 |
| -2.824 | 0.7945 | -3.8985 | 1.1253 | 2.2004 | 0.4813 |
| -2.7878 | 0.7943 | -3.8681 | 1.1248 | 2.2638 | 0.4813 |
| -2.7516 | 0.7942 | -3.8377 | 1.1244 | 2.3271 | 0.4813 |
| -2.7154 | 0.794 | -3.8072 | 1.1239 | 2.3905 | 0.4813 |
| -2.6792 | 0.7939 | -3.7768 | 1.1234 | 2.4538 | 0.4813 |
| -2.643 | 0.7937 | -3.7464 | 1.1229 | 2.5172 | 0.4813 |
| -2.6068 | 0.7936 | -3.7159 | 1.1224 | 2.5805 | 0.4813 |
| -2.5706 | 0.7934 | -3.6855 | 1.1219 | 2.6438 | 0.4813 |
| -2.5344 | 0.7932 | -3.6551 | 1.1214 | 2.7072 | 0.4813 |
| -2.4982 | 0.793 | -3.6247 | 1.1209 | 2.7705 | 0.4813 |
| -2.462 | 0.7929 | -3.5942 | 1.1203 | 2.8339 | 0.4813 |
| -2.4258 | 0.7927 | -3.5638 | 1.1198 | 2.8972 | 0.4813 |
| -2.3896 | 0.7925 | -3.5334 | 1.1192 | 2.9606 | 0.4813 |
| -2.3534 | 0.7923 | -3.503 | 1.1187 | 3.0239 | 0.4813 |
| -2.3172 | 0.7921 | -3.4725 | 1.1181 | 3.0873 | 0.4813 |
| -2.281 | 0.7919 | -3.4421 | 1.1175 | 3.1506 | 0.4813 |
| -2.2448 | 0.7917 | -3.4117 | 1.117 | 3.214 | 0.4813 |
| -2.2086 | 0.7914 | -3.3812 | 1.1164 | 3.2773 | 0.4813 |
| -2.1724 | 0.7912 | -3.3508 | 1.1157 | 3.3407 | 0.4813 |
| -2.1362 | 0.791 | -3.3204 | 1.1151 | 3.404 | 0.4813 |
| -2.1 | 0.7907 | -3.29 | 1.1145 | 3.4674 | 0.4813 |
| -2.0638 | 0.7905 | -3.2595 | 1.1138 | 3.5307 | 0.4813 |
| -2.0276 | 0.7902 | -3.2291 | 1.1132 | 3.5941 | 0.4813 |
| -1.9915 | 0.7899 | -3.1987 | 1.1125 | 3.6574 | 0.4813 |
| -1.9553 | 0.7896 | -3.1682 | 1.1118 | 3.7207 | 0.4813 |
| -1.9191 | 0.7893 | -3.1378 | 1.1111 | 3.7841 | 0.4813 |
| -1.8829 | 0.789 | -3.1074 | 1.1104 | 3.8474 | 0.4813 |
| -1.8467 | 0.7887 | -3.077 | 1.1097 | 3.9108 | 0.4813 |
| -1.8105 | 0.7884 | -3.0465 | 1.109 | 3.9741 | 0.4813 |
| -1.7743 | 0.788 | -3.0161 | 1.1082 | 4.0375 | 0.4813 |
| -1.7381 | 0.7877 | -2.9857 | 1.1074 | 4.1008 | 0.4813 |
| -1.7019 | 0.7873 | -2.9552 | 1.1067 | 4.1642 | 0.4813 |
| -1.6657 | 0.7869 | -2.9248 | 1.1059 | 4.2275 | 0.4813 |
| -1.6295 | 0.7865 | -2.8944 | 1.105 | 4.2909 | 0.4813 |
| -1.5933 | 0.7861 | -2.864 | 1.1042 | 4.3542 | 0.4813 |
| -1.5571 | 0.7856 | -2.8335 | 1.1038 | 4.4176 | 0.4813 |
| -1.5209 | 0.7852 | -2.8031 | 1.1036 | 4.4809 | 0.4813 |
| -1.4847 | 0.7847 | -2.7726 | 1.1034 | 4.5443 | 0.4813 |
| -1.4485 | 0.7842 | -2.7421 | 1.1031 | 4.6076 | 0.4813 |
| -1.4123 | 0.7836 | -2.7117 | 1.1029 | 4.6709 | 0.4813 |
| -1.3761 | 0.7831 | -2.6812 | 1.1027 | 4.7343 | 0.4813 |
| -1.3399 | 0.7825 | -2.6508 | 1.1024 | 4.7976 | 0.4813 |
| -1.3037 | 0.7818 | -2.6203 | 1.1022 | 4.861 | 0.4813 |
| -1.2675 | 0.7812 | -2.5899 | 1.102 | 4.9243 | 0.4813 |
| -1.2313 | 0.7804 | -2.5594 | 1.1017 | 4.9877 | 0.4813 |
| -1.1951 | 0.7797 | -2.5289 | 1.1015 | 5.051 | 0.4813 |
| -1.1589 | 0.7789 | -2.4985 | 1.1012 | 5.1144 | 0.4813 |
| -1.1227 | 0.778 | -2.468 | 1.1009 | 5.1777 | 0.4813 |
| -1.0865 | 0.7771 | -2.4376 | 1.1007 | 5.2411 | 0.4813 |
| -1.0503 | 0.7762 | -2.4071 | 1.1004 | 5.3044 | 0.4813 |
| -1.0141 | 0.7751 | -2.3767 | 1.1001 | 5.3678 | 0.4813 |
| -0.9779 | 0.774 | -2.3462 | 1.0998 | 5.4311 | 0.4813 |
| -0.9417 | 0.7728 | -2.3157 | 1.0995 | 5.4945 | 0.4813 |
| -0.9055 | 0.7715 | -2.2853 | 1.0992 | 5.5578 | 0.4813 |
| -0.8693 | 0.7701 | -2.2548 | 1.0988 | 5.6212 | 0.4811 |
| -0.8331 | 0.7686 | -2.2244 | 1.0985 | 5.6845 | 0.4809 |
| -0.7969 | 0.7669 | -2.1939 | 1.0982 | 5.7479 | 0.4807 |
| -0.7607 | 0.7651 | -2.1635 | 1.0978 | 5.8112 | 0.4805 |
| -0.7245 | 0.7639 | -2.133 | 1.0975 | 5.8746 | 0.4802 |
| -0.6883 | 0.7639 | -2.1025 | 1.0971 | 5.9379 | 0.48 |
| -0.6521 | 0.7639 | -2.0721 | 1.0967 | 6.0013 | 0.4798 |
| -0.6159 | 0.7639 | -2.0416 | 1.0963 | 6.0646 | 0.4796 |
| -0.5797 | 0.7639 | -2.0112 | 1.0959 | 6.128 | 0.4794 |
| -0.5435 | 0.7639 | -1.9807 | 1.0955 | 6.1913 | 0.4792 |
| -0.5072 | 0.7639 | -1.9503 | 1.0951 | 6.2547 | 0.479 |
| -0.471 | 0.7639 | -1.9198 | 1.0946 | 6.318 | 0.4788 |
| -0.4348 | 0.7639 | -1.8893 | 1.0942 | 6.3814 | 0.4786 |
| -0.3986 | 0.7639 | -1.8589 | 1.0937 | 6.4447 | 0.4784 |
| -0.3624 | 0.7639 | -1.8284 | 1.0932 | 6.5081 | 0.4783 |
| -0.3262 | 0.7639 | -1.798 | 1.0927 | 6.5714 | 0.4781 |
| -0.29 | 0.7639 | -1.7675 | 1.0922 | 6.6348 | 0.4779 |
| -0.2538 | 0.7639 | -1.7371 | 1.0916 | 6.6981 | 0.4777 |
| -0.2175 | 0.7639 | -1.7066 | 1.0911 | 6.7615 | 0.4776 |
| -0.1813 | 0.7639 | -1.6761 | 1.0905 | 6.8248 | 0.4774 |
| -0.1451 | 0.7639 | -1.6457 | 1.0899 | 6.8882 | 0.4772 |
| -0.1089 | 0.7639 | -1.6152 | 1.0893 | 6.9515 | 0.4771 |
| -0.0727 | 0.7639 | -1.5848 | 1.0886 | 7.0149 | 0.4769 |
| -0.0365 | 0.7639 | -1.5543 | 1.0879 | 7.0782 | 0.4768 |
| -0.0003 | 0.7639 | -1.5239 | 1.0872 | 7.1416 | 0.4766 |
| 0.0359 | 0.7639 | -1.4934 | 1.0865 | 7.2049 | 0.4765 |
| 0.0722 | 0.7639 | -1.4629 | 1.0858 | 7.2683 | 0.4763 |
| 0.1084 | 0.7639 | -1.4325 | 1.085 | 7.3316 | 0.4762 |
| 0.1446 | 0.7639 | -1.402 | 1.0841 | 7.395 | 0.4761 |
| 0.1808 | 0.7639 | -1.3716 | 1.0833 | 7.4583 | 0.4759 |
| 0.217 | 0.7639 | -1.3411 | 1.0824 | 7.5217 | 0.4758 |
| 0.2532 | 0.7639 | -1.3107 | 1.0814 | 7.585 | 0.4757 |
| 0.2894 | 0.7639 | -1.2802 | 1.0804 | 7.6484 | 0.4755 |
| 0.3256 | 0.7639 | -1.2497 | 1.0794 | 7.7117 | 0.4754 |
| 0.3619 | 0.7639 | -1.2193 | 1.0783 | 7.7751 | 0.4753 |
| 0.3981 | 0.7639 | -1.1888 | 1.0772 | 7.8384 | 0.4752 |
| 0.4343 | 0.7639 | -1.1584 | 1.076 | 7.9018 | 0.475 |
| 0.4705 | 0.7639 | -1.1279 | 1.0747 | 7.9651 | 0.4749 |
| 0.5067 | 0.7639 | -1.0975 | 1.0733 | 8.0285 | 0.4748 |
| 0.5429 | 0.7639 | -1.067 | 1.0719 | 8.0918 | 0.4747 |
| 0.5791 | 0.7639 | -1.0365 | 1.0704 | 8.1552 | 0.4746 |
| 0.6153 | 0.7639 | -1.0061 | 1.0688 | 8.2185 | 0.4744 |
| 0.6515 | 0.7639 | -0.9756 | 1.0671 | 8.2819 | 0.4743 |
| 0.6878 | 0.7639 | -0.9452 | 1.0653 | 8.3452 | 0.4742 |
| 0.724 | 0.7639 | -0.9147 | 1.0634 | 8.4086 | 0.4741 |
| 0.7602 | 0.7639 | -0.8843 | 1.0614 | 8.4719 | 0.474 |
| 0.7964 | 0.7639 | -0.8538 | 1.0592 | 8.5353 | 0.4739 |
| 0.8326 | 0.7639 | -0.8233 | 1.0568 | 8.5986 | 0.4738 |
| 0.8688 | 0.7639 | -0.7929 | 1.0561 | 8.662 | 0.4737 |
| 0.905 | 0.7639 | -0.7624 | 1.0561 | 8.7253 | 0.4736 |
| 0.9412 | 0.7639 | -0.7319 | 1.0561 | 8.7887 | 0.4735 |
| 0.9775 | 0.7639 | -0.7014 | 1.0561 | 8.852 | 0.4734 |
| 1.0137 | 0.7639 | -0.6709 | 1.0561 | 8.9154 | 0.4733 |
| 1.0499 | 0.7639 | -0.6404 | 1.0561 | 8.9787 | 0.4732 |
| 1.0861 | 0.7639 | -0.6099 | 1.0561 | 9.0421 | 0.4731 |
| 1.1223 | 0.7639 | -0.5795 | 1.0561 | 9.1054 | 0.473 |
| 1.1585 | 0.7639 | -0.549 | 1.0561 | 9.1688 | 0.4729 |
| 1.1947 | 0.7639 | -0.5185 | 1.0561 | 9.2321 | 0.4729 |
| 1.2309 | 0.7639 | -0.488 | 1.0561 | 9.2955 | 0.4728 |
| 1.2672 | 0.7639 | -0.4575 | 1.0561 | 9.3588 | 0.4727 |
| 1.3034 | 0.7639 | -0.427 | 1.0561 | 9.4222 | 0.4726 |
| 1.3396 | 0.7639 | -0.3965 | 1.0561 | 9.4855 | 0.4724 |
| 1.3758 | 0.7639 | -0.366 | 1.0561 | 9.5489 | 0.4723 |
| 1.412 | 0.7639 | -0.3355 | 1.0561 | 9.6123 | 0.4722 |
| 1.4482 | 0.7639 | -0.3051 | 1.0561 | 9.6756 | 0.4721 |
| 1.4844 | 0.7639 | -0.2746 | 1.0561 | 9.739 | 0.472 |
| 1.5206 | 0.7639 | -0.2441 | 1.0561 | 9.8023 | 0.4719 |
| 1.5569 | 0.7639 | -0.2136 | 1.0561 | 9.8657 | 0.4717 |
| 1.5931 | 0.7639 | -0.1831 | 1.0561 | 9.929 | 0.4716 |
| 1.6293 | 0.7639 | -0.1526 | 1.0561 | 9.9924 | 0.4715 |
| 1.6655 | 0.7639 | -0.1221 | 1.0561 | 10.0557 | 0.4714 |
| 1.7017 | 0.7639 | -0.0916 | 1.0561 | 10.1191 | 0.4713 |
| 1.7379 | 0.7639 | -0.0612 | 1.0561 | 10.1824 | 0.4712 |
| 1.7741 | 0.7639 | -0.0307 | 1.0561 | 10.2458 | 0.4711 |
| 1.8103 | 0.7639 | -0.0002 | 1.0561 | 10.3091 | 0.471 |
| 1.8466 | 0.7639 | 0.0303 | 1.0561 | 10.3725 | 0.4707 |
| 1.8828 | 0.7639 | 0.0608 | 1.0561 | 10.4358 | 0.4705 |
| 1.919 | 0.7639 | 0.0913 | 1.0561 | 10.4992 | 0.4703 |
| 1.9552 | 0.7639 | 0.1218 | 1.0561 | 10.5625 | 0.47 |
| 1.9914 | 0.7639 | 0.1523 | 1.0561 | 10.6259 | 0.4698 |
| 2.0276 | 0.7639 | 0.1827 | 1.0561 | 10.6893 | 0.4695 |
| 2.0638 | 0.7639 | 0.2132 | 1.0561 | 10.7526 | 0.4693 |
| 2.1 | 0.7639 | 0.2437 | 1.0561 | 10.816 | 0.4691 |
| 2.1363 | 0.7639 | 0.2742 | 1.0561 | 10.8793 | 0.4689 |
| 2.1725 | 0.7639 | 0.3047 | 1.0561 | 10.9427 | 0.4686 |
| 2.2087 | 0.7632 | 0.3352 | 1.0561 | 11.006 | 0.4684 |
| 2.2449 | 0.7624 | 0.3657 | 1.0561 | 11.0694 | 0.4682 |
| 2.2811 | 0.7617 | 0.3962 | 1.0561 | 11.1327 | 0.468 |
| 2.3174 | 0.7611 | 0.4266 | 1.0561 | 11.1961 | 0.4678 |
| 2.3536 | 0.7604 | 0.4571 | 1.0561 | 11.2595 | 0.4676 |
| 2.3898 | 0.7598 | 0.4876 | 1.0561 | 11.3228 | 0.4674 |
| 2.4261 | 0.7591 | 0.5181 | 1.0561 | 11.3862 | 0.4671 |
| 2.4623 | 0.7585 | 0.5486 | 1.0561 | 11.4495 | 0.4669 |
| 2.4985 | 0.758 | 0.5791 | 1.0561 | 11.5129 | 0.4667 |
| 2.5347 | 0.7574 | 0.6096 | 1.0561 | 11.5762 | 0.4665 |
| 2.571 | 0.7568 | 0.6401 | 1.0561 | 11.6396 | 0.4663 |
| 2.6072 | 0.7563 | 0.6706 | 1.0561 | 11.7029 | 0.4662 |
| 2.6434 | 0.7558 | 0.701 | 1.0561 | 11.7663 | 0.466 |
| 2.6797 | 0.7553 | 0.7315 | 1.0561 | 11.8297 | 0.4658 |
| 2.7159 | 0.7548 | 0.762 | 1.0561 | 11.893 | 0.4656 |
| 2.7521 | 0.7543 | 0.7925 | 1.0561 | 11.9564 | 0.4654 |
| 2.7883 | 0.7538 | 0.823 | 1.0561 | 12.0197 | 0.4652 |
| 2.8246 | 0.7534 | 0.8535 | 1.0561 | 12.0831 | 0.465 |
| 2.8608 | 0.7529 | 0.884 | 1.0561 | 12.1464 | 0.4648 |
| 2.897 | 0.7525 | 0.9145 | 1.0561 | 12.2098 | 0.4647 |
| 2.9332 | 0.7521 | 0.9449 | 1.0561 | 12.2731 | 0.4645 |
| 2.9695 | 0.7517 | 0.9754 | 1.0561 | 12.3365 | 0.4643 |
| 3.0057 | 0.7513 | 1.0059 | 1.0561 | 12.3999 | 0.4641 |
| 3.0419 | 0.7509 | 1.0364 | 1.0561 | 12.4632 | 0.464 |
| 3.0782 | 0.7505 | 1.0669 | 1.0545 | 12.5266 | 0.4638 |
| 3.1144 | 0.7501 | 1.0974 | 1.0525 | 12.5899 | 0.4636 |
| 3.1506 | 0.7498 | 1.128 | 1.0507 | 12.6533 | 0.4635 |
| 3.1868 | 0.7494 | 1.1585 | 1.0489 | 12.7166 | 0.4633 |
| 3.2231 | 0.7491 | 1.189 | 1.0472 | 12.78 | 0.4631 |
| 3.2593 | 0.7487 | 1.2195 | 1.0456 | 12.8433 | 0.463 |
| 3.2955 | 0.7484 | 1.25 | 1.0441 | 12.9067 | 0.4628 |
| 3.3317 | 0.748 | 1.2806 | 1.0426 | 12.97 | 0.4627 |
| 3.368 | 0.7477 | 1.3111 | 1.0412 | 13.0334 | 0.4625 |
| 3.4042 | 0.7474 | 1.3416 | 1.0399 | 13.0968 | 0.4623 |
| 3.4404 | 0.7471 | 1.3721 | 1.0387 | 13.1601 | 0.4622 |
| 3.4767 | 0.7468 | 1.4027 | 1.0375 | 13.2235 | 0.462 |
| 3.5129 | 0.7465 | 1.4332 | 1.0363 | 13.2868 | 0.4619 |
| 3.5491 | 0.7462 | 1.4637 | 1.0352 | 13.3502 | 0.4617 |
| 3.5853 | 0.7459 | 1.4942 | 1.0341 | 13.4135 | 0.4616 |
| 3.6216 | 0.7457 | 1.5247 | 1.0331 | 13.4769 | 0.4613 |
| 3.6578 | 0.7454 | 1.5553 | 1.0321 | 13.5403 | 0.461 |
| 3.694 | 0.7451 | 1.5858 | 1.0312 | 13.6036 | 0.4607 |
| 3.7302 | 0.7449 | 1.6163 | 1.0303 | 13.667 | 0.4603 |
| 3.7665 | 0.7446 | 1.6468 | 1.0294 | 13.7304 | 0.46 |
| 3.8027 | 0.7444 | 1.6773 | 1.0286 | 13.7937 | 0.4596 |
| 3.8389 | 0.7441 | 1.7079 | 1.0278 | 13.8571 | 0.4593 |
| 3.8752 | 0.7439 | 1.7384 | 1.027 | 13.9205 | 0.459 |
| 3.9114 | 0.7436 | 1.7689 | 1.0262 | 13.9838 | 0.4586 |
| 3.9476 | 0.7434 | 1.7994 | 1.0255 | 14.0472 | 0.4583 |
| 3.9838 | 0.7432 | 1.8299 | 1.0248 | 14.1105 | 0.458 |
| 4.0201 | 0.743 | 1.8605 | 1.0241 | 14.1739 | 0.4577 |
| 4.0563 | 0.7427 | 1.891 | 1.0235 | 14.2373 | 0.4573 |
| 4.0925 | 0.7425 | 1.9215 | 1.0228 | 14.3006 | 0.457 |
| 4.1287 | 0.7423 | 1.952 | 1.0222 | 14.364 | 0.4567 |
| 4.165 | 0.7421 | 1.9826 | 1.0216 | 14.4274 | 0.4564 |
| 4.2012 | 0.7419 | 2.0131 | 1.021 | 14.4907 | 0.4561 |
| 4.2374 | 0.7417 | 2.0436 | 1.0205 | 14.5541 | 0.4558 |
| 4.2737 | 0.7415 | 2.0741 | 1.0199 | 14.6175 | 0.4555 |
| 4.3099 | 0.7413 | 2.1046 | 1.0194 | 14.6808 | 0.4552 |
| 4.3461 | 0.7411 | 2.1352 | 1.0189 | 14.7442 | 0.4549 |
| 4.3823 | 0.7409 | 2.1657 | 1.0184 | 14.8076 | 0.4546 |
| 4.4186 | 0.7407 | 2.1962 | 1.0179 | 14.8709 | 0.4543 |
| 4.4548 | 0.7406 | 2.2267 | 1.0174 | 14.9343 | 0.454 |
| 4.491 | 0.7404 | 2.2572 | 1.0169 | 14.9977 | 0.4537 |
| 4.5272 | 0.7402 | 2.2878 | 1.0165 | 15.061 | 0.4533 |
| 4.5635 | 0.74 | 2.3183 | 1.016 | 15.1244 | 0.4528 |
| 4.5997 | 0.7398 | 2.3488 | 1.0156 | 15.1878 | 0.4524 |
| 4.6359 | 0.7393 | 2.3793 | 1.0152 | 15.2512 | 0.452 |
| 4.6722 | 0.7387 | 2.4099 | 1.0148 | 15.3145 | 0.4516 |
| 4.7084 | 0.7382 | 2.4404 | 1.0144 | 15.3779 | 0.4512 |
| 4.7447 | 0.7377 | 2.4709 | 1.014 | 15.4413 | 0.4507 |
| 4.7809 | 0.7371 | 2.5014 | 1.0136 | 15.5047 | 0.4502 |
| 4.8172 | 0.7366 | 2.5319 | 1.0133 | 15.5681 | 0.4498 |
| 4.8534 | 0.7361 | 2.5625 | 1.0129 | 15.6314 | 0.4493 |
| 4.8896 | 0.7356 | 2.593 | 1.0126 | 15.6948 | 0.4488 |
| 4.9259 | 0.7351 | 2.6235 | 1.0122 | 15.7582 | 0.4483 |
| 4.9621 | 0.7346 | 2.654 | 1.0113 | 15.8216 | 0.4479 |
| 4.9984 | 0.7342 | 2.6846 | 1.0101 | 15.885 | 0.4473 |
| 5.0346 | 0.7337 | 2.7152 | 1.0089 | 15.9483 | 0.4468 |
| 5.0709 | 0.7332 | 2.7457 | 1.0077 | 16.0117 | 0.4462 |
| 5.1071 | 0.7328 | 2.7763 | 1.0066 | 16.0751 | 0.4456 |
| 5.1434 | 0.7323 | 2.8068 | 1.0055 | 16.1385 | 0.4451 |
| 5.1796 | 0.7319 | 2.8374 | 1.0044 | 16.2019 | 0.4445 |
| 5.2158 | 0.7314 | 2.868 | 1.0034 | 16.2653 | 0.4439 |
| 5.2521 | 0.731 | 2.8985 | 1.0023 | 16.3287 | 0.4433 |
| 5.2883 | 0.7305 | 2.9291 | 1.0013 | 16.3921 | 0.4426 |
| 5.3246 | 0.73 | 2.9596 | 1.0003 | 16.4555 | 0.4419 |
| 5.3608 | 0.7295 | 2.9902 | 0.9994 | 16.5189 | 0.4412 |
| 5.3971 | 0.729 | 3.0207 | 0.9984 | 16.5823 | 0.4405 |
| 5.4333 | 0.7286 | 3.0513 | 0.9975 | 16.6457 | 0.4398 |
| 5.4696 | 0.7281 | 3.0819 | 0.9966 | 16.7091 | 0.4391 |
| 5.5058 | 0.7277 | 3.1124 | 0.9957 | 16.7725 | 0.4384 |
| 5.5421 | 0.7272 | 3.143 | 0.9948 | 16.8359 | 0.4378 |
| 5.5783 | 0.7268 | 3.1735 | 0.9939 | 16.8993 | 0.4371 |
| 5.6146 | 0.7263 | 3.2041 | 0.9931 | 16.9627 | 0.4364 |
| 5.6508 | 0.7259 | 3.2346 | 0.9922 | 17.0261 | 0.4358 |
| 5.6871 | 0.7255 | 3.2652 | 0.9914 | 17.0895 | 0.4351 |
| 5.7233 | 0.7251 | 3.2958 | 0.9906 | 17.1529 | 0.4345 |
| 5.7596 | 0.7246 | 3.3263 | 0.9898 | 17.2163 | 0.4338 |
| 5.7958 | 0.7242 | 3.3569 | 0.989 | 17.2797 | 0.4332 |
| 5.8321 | 0.7238 | 3.3875 | 0.9881 | 17.3431 | 0.4325 |
| 5.8683 | 0.7234 | 3.418 | 0.9873 | 17.4065 | 0.4319 |
| 5.9046 | 0.723 | 3.4486 | 0.9864 | 17.4699 | 0.4313 |
| 5.9408 | 0.7227 | 3.4792 | 0.9856 | 17.5333 | 0.4307 |
| 5.9771 | 0.7223 | 3.5097 | 0.9847 | 17.5967 | 0.4301 |
| 6.0133 | 0.7219 | 3.5403 | 0.9839 | 17.6601 | 0.4294 |
| 6.0496 | 0.7215 | 3.5709 | 0.9831 | 17.7235 | 0.4288 |
| 6.0858 | 0.7211 | 3.6015 | 0.9824 | 17.7869 | 0.4282 |
| 6.1221 | 0.7208 | 3.632 | 0.9816 | 17.8503 | 0.4276 |
| 6.1583 | 0.7204 | 3.6626 | 0.9808 | 17.9137 | 0.427 |
| 6.1946 | 0.7201 | 3.6932 | 0.9801 | 17.9771 | 0.4265 |
| 6.2308 | 0.7197 | 3.7238 | 0.9794 | 18.0405 | 0.4259 |
| 6.2671 | 0.7194 | 3.7543 | 0.9786 | 18.1039 | 0.4253 |
| 6.3033 | 0.719 | 3.7849 | 0.9779 | 18.1673 | 0.4247 |
| 6.3396 | 0.7187 | 3.8155 | 0.9772 | 18.2307 | 0.4241 |
| 6.3758 | 0.7183 | 3.846 | 0.9766 | 18.2941 | 0.4236 |
| 6.4121 | 0.718 | 3.8766 | 0.9759 | 18.3575 | 0.423 |
| 6.4483 | 0.7177 | 3.9072 | 0.9752 | 18.4209 | 0.4224 |
| 6.4846 | 0.7172 | 3.9378 | 0.9742 | 18.4843 | 0.4219 |
| 6.5209 | 0.7166 | 3.9684 | 0.9729 | 18.5477 | 0.4213 |
| 6.5571 | 0.716 | 3.999 | 0.9717 | 18.6111 | 0.4208 |
| 6.5934 | 0.7154 | 4.0296 | 0.9705 | 18.6745 | 0.4202 |
| 6.6297 | 0.7148 | 4.0602 | 0.9693 | 18.7379 | 0.4197 |
| 6.6659 | 0.7142 | 4.0909 | 0.9681 | 18.8013 | 0.4191 |
| 6.7022 | 0.7136 | 4.1215 | 0.9669 | 18.8647 | 0.4186 |
| 6.7385 | 0.7131 | 4.1521 | 0.9658 | 18.9281 | 0.4181 |
| 6.7747 | 0.7125 | 4.1827 | 0.9646 | 18.9915 | 0.4176 |
| 6.811 | 0.7119 | 4.2133 | 0.9635 | 19.0549 | 0.417 |
| 6.8473 | 0.7114 | 4.2439 | 0.9624 | 19.1183 | 0.4165 |
| 6.8835 | 0.7108 | 4.2745 | 0.9613 | 19.1817 | 0.416 |
| 6.9198 | 0.7103 | 4.3052 | 0.9603 | 19.2451 | 0.4155 |
| 6.9561 | 0.7098 | 4.3358 | 0.9592 | 19.3085 | 0.415 |
| 6.9924 | 0.7092 | 4.3664 | 0.9582 | 19.3719 | 0.4145 |
| 7.0286 | 0.7087 | 4.397 | 0.9572 | 19.4353 | 0.414 |
| 7.0649 | 0.7082 | 4.4276 | 0.9561 | 19.4987 | 0.4134 |
| 7.1012 | 0.7077 | 4.4582 | 0.9551 | 19.5621 | 0.413 |
| 7.1374 | 0.7071 | 4.4888 | 0.9542 | 19.6255 | 0.4125 |
| 7.1737 | 0.7066 | 4.5194 | 0.9532 | 19.6889 | 0.412 |
| 7.21 | 0.7061 | 4.5501 | 0.9522 | 19.7523 | 0.4115 |
| 7.2462 | 0.7056 | 4.5807 | 0.9513 | 19.8157 | 0.411 |
| 7.2825 | 0.7052 | 4.6113 | 0.9504 | 19.8791 | 0.4105 |
| 7.3188 | 0.7047 | 4.6419 | 0.9494 | 19.9425 | 0.41 |
| 7.355 | 0.7042 | 4.6725 | 0.9485 | ||
| 7.3913 | 0.7037 | 4.7031 | 0.9476 | ||
| 7.4276 | 0.7032 | 4.7337 | 0.9468 | ||
| 7.4638 | 0.7028 | 4.7644 | 0.9459 | ||
| 7.5001 | 0.7023 | 4.795 | 0.945 | ||
| 7.5364 | 0.7019 | 4.8256 | 0.9442 | ||
| 7.5726 | 0.7014 | 4.8562 | 0.9433 | ||
| 7.6089 | 0.701 | 4.8868 | 0.9425 | ||
| 7.6452 | 0.7005 | 4.9174 | 0.9415 | ||
| 7.6814 | 0.7001 | 4.9481 | 0.9402 | ||
| 7.7177 | 0.6996 | 4.9788 | 0.9389 | ||
| 7.754 | 0.6992 | 5.0094 | 0.9376 | ||
| 7.7902 | 0.6988 | 5.0401 | 0.9363 | ||
| 7.8265 | 0.6982 | 5.0707 | 0.9351 | ||
| 7.8628 | 0.6974 | 5.1014 | 0.9338 | ||
| 7.8991 | 0.6966 | 5.1321 | 0.9326 | ||
| 7.9355 | 0.6958 | 5.1627 | 0.9314 | ||
| 7.9718 | 0.6951 | 5.1934 | 0.9302 | ||
| 8.0081 | 0.6943 | 5.2241 | 0.929 | ||
| 8.0444 | 0.6935 | 5.2547 | 0.9279 | ||
| 8.0807 | 0.6928 | 5.2854 | 0.9267 | ||
| 8.117 | 0.692 | 5.3161 | 0.9253 | ||
| 8.1533 | 0.6913 | 5.3468 | 0.9239 | ||
| 8.1896 | 0.6906 | 5.3775 | 0.9226 | ||
| 8.2259 | 0.6898 | 5.4082 | 0.9213 | ||
| 8.2622 | 0.6891 | 5.4389 | 0.92 | ||
| 8.2986 | 0.6884 | 5.4696 | 0.9187 | ||
| 8.3349 | 0.6877 | 5.5003 | 0.9174 | ||
| 8.3712 | 0.687 | 5.531 | 0.9161 | ||
| 8.4075 | 0.6863 | 5.5617 | 0.9149 | ||
| 8.4438 | 0.6856 | 5.5925 | 0.9137 | ||
| 8.4801 | 0.6849 | 5.6232 | 0.9122 | ||
| 8.5164 | 0.6843 | 5.654 | 0.9106 | ||
| 8.5527 | 0.6836 | 5.6847 | 0.909 | ||
| 8.589 | 0.6829 | 5.7155 | 0.9074 | ||
| 8.6254 | 0.6823 | 5.7462 | 0.9058 | ||
| 8.6617 | 0.6816 | 5.777 | 0.9043 | ||
| 8.698 | 0.6808 | 5.8078 | 0.9028 | ||
| 8.7343 | 0.6799 | 5.8385 | 0.9012 | ||
| 8.7707 | 0.6791 | 5.8693 | 0.8997 | ||
| 8.807 | 0.6781 | 5.9 | 0.8983 | ||
| 8.8434 | 0.6771 | 5.9308 | 0.8968 | ||
| 8.8798 | 0.6761 | 5.9616 | 0.8953 | ||
| 8.9161 | 0.6752 | 5.9924 | 0.8936 | ||
| 8.9525 | 0.6742 | 6.0232 | 0.8919 | ||
| 8.9889 | 0.6732 | 6.054 | 0.8901 | ||
| 9.0252 | 0.6723 | 6.0849 | 0.8881 | ||
| 9.0616 | 0.6713 | 6.1158 | 0.8861 | ||
| 9.098 | 0.6704 | 6.1467 | 0.8841 | ||
| 9.1343 | 0.6694 | 6.1776 | 0.8821 | ||
| 9.1707 | 0.6683 | 6.2085 | 0.8799 | ||
| 9.2072 | 0.6671 | 6.2395 | 0.8778 | ||
| 9.2436 | 0.6659 | 6.2704 | 0.8757 | ||
| 9.28 | 0.6647 | 6.3013 | 0.8735 | ||
| 9.3164 | 0.6635 | 6.3323 | 0.8715 | ||
| 9.3529 | 0.6623 | 6.3632 | 0.8694 | ||
| 9.3893 | 0.6611 | 6.3941 | 0.8673 | ||
| 9.4257 | 0.6599 | 6.4251 | 0.8653 | ||
| 9.4621 | 0.6587 | 6.456 | 0.8633 | ||
| 9.4986 | 0.6576 | 6.487 | 0.8613 | ||
| 9.535 | 0.6564 | 6.5179 | 0.8593 | ||
| 9.5714 | 0.6553 | 6.5488 | 0.8574 | ||
| 9.6078 | 0.6542 | 6.5798 | 0.8554 | ||
| 9.6443 | 0.653 | 6.6107 | 0.8535 | ||
| 9.6807 | 0.6519 | 6.6417 | 0.8516 | ||
| 9.7171 | 0.6508 | 6.6726 | 0.8497 | ||
| 9.7535 | 0.6497 | 6.7035 | 0.8479 | ||
| 9.79 | 0.6486 | 6.7345 | 0.846 | ||
| 9.8264 | 0.6476 | 6.7654 | 0.8442 | ||
| 9.8628 | 0.6465 | 6.7963 | 0.8424 | ||
| 9.8992 | 0.6454 | 6.8273 | 0.8406 | ||
| 9.9357 | 0.6444 | 6.8582 | 0.8388 | ||
| 9.9721 | 0.6433 | 6.8892 | 0.837 | ||
| 10.0085 | 0.6423 | 6.9201 | 0.8353 | ||
| 10.0449 | 0.6412 | 6.951 | 0.8335 | ||
| 10.0814 | 0.6402 | 6.982 | 0.8318 | ||
| 10.1178 | 0.6392 | 7.0129 | 0.8301 | ||
| 10.1542 | 0.6382 | 7.0439 | 0.8284 | ||
| 10.1906 | 0.6372 | 7.0748 | 0.8267 | ||
| 10.2271 | 0.6362 | 7.1057 | 0.8251 | ||
| 10.2635 | 0.6352 | 7.1367 | 0.8234 | ||
| 10.2999 | 0.6342 | 7.1676 | 0.8218 | ||
| 10.3363 | 0.6332 | 7.1985 | 0.8202 | ||
| 10.3728 | 0.6323 | 7.2295 | 0.8186 | ||
| 10.4092 | 0.6313 | 7.2604 | 0.817 | ||
| 10.4456 | 0.6303 | 7.2914 | 0.8154 | ||
| 10.482 | 0.6294 | 7.3223 | 0.8138 | ||
| 10.5185 | 0.6285 | 7.3532 | 0.8123 | ||
| 10.5549 | 0.6275 | 7.3842 | 0.8108 | ||
| 10.5913 | 0.6266 | 7.4151 | 0.8092 | ||
| 10.6277 | 0.6257 | 7.446 | 0.8077 | ||
| 10.6642 | 0.6247 | 7.477 | 0.8062 | ||
| 10.7006 | 0.6238 | 7.5079 | 0.8047 | ||
| 10.737 | 0.6229 | 7.5389 | 0.8033 | ||
| 10.7734 | 0.622 | 7.5698 | 0.8018 | ||
| 10.8099 | 0.6211 | 7.6007 | 0.8003 | ||
| 10.8463 | 0.6203 | 7.6317 | 0.7989 | ||
| 10.8827 | 0.6194 | 7.6626 | 0.7975 | ||
| 10.9191 | 0.6185 | 7.6936 | 0.7961 | ||
| 10.9556 | 0.6176 | 7.7245 | 0.7947 | ||
| 10.992 | 0.6168 | 7.7554 | 0.7933 | ||
| 11.0284 | 0.6159 | 7.7864 | 0.7919 | ||
| 11.0648 | 0.6151 | 7.8173 | 0.7905 | ||
| 11.1013 | 0.6142 | 7.8482 | 0.7892 | ||
| 11.1377 | 0.6134 | 7.8792 | 0.7878 | ||
| 11.1741 | 0.6125 | 7.9101 | 0.7865 | ||
| 11.2105 | 0.6117 | 7.9411 | 0.7851 | ||
| 11.247 | 0.6109 | 7.972 | 0.7838 | ||
| 11.2834 | 0.6101 | 8.0029 | 0.7825 | ||
| 11.3198 | 0.6092 | 8.0339 | 0.7812 | ||
| 11.3562 | 0.6084 | 8.0648 | 0.7799 | ||
| 11.3927 | 0.6076 | 8.0958 | 0.7786 | ||
| 11.4291 | 0.6068 | 8.1267 | 0.7774 | ||
| 11.4655 | 0.606 | 8.1576 | 0.7761 | ||
| 11.5019 | 0.6053 | 8.1886 | 0.7749 | ||
| 11.5383 | 0.6045 | 8.2195 | 0.7736 | ||
| 11.5748 | 0.6037 | 8.2504 | 0.7724 | ||
| 11.6112 | 0.6029 | 8.2814 | 0.7712 | ||
| 11.6476 | 0.6021 | 8.3123 | 0.77 | ||
| 11.684 | 0.6014 | 8.3433 | 0.7688 | ||
| 11.7205 | 0.6006 | 8.3742 | 0.7676 | ||
| 11.7569 | 0.5999 | 8.4051 | 0.7664 | ||
| 11.7933 | 0.5991 | 8.4361 | 0.7652 | ||
| 11.8297 | 0.5984 | 8.467 | 0.764 | ||
| 11.8662 | 0.5976 | 8.4979 | 0.7629 | ||
| 11.9026 | 0.5969 | 8.5289 | 0.7617 | ||
| 11.939 | 0.5962 | 8.5598 | 0.7606 | ||
| 11.9754 | 0.5954 | 8.5908 | 0.7594 | ||
| 12.0119 | 0.5947 | 8.6217 | 0.7583 | ||
| 12.0483 | 0.594 | 8.6526 | 0.7572 | ||
| 12.0847 | 0.5933 | 8.6836 | 0.7561 | ||
| 12.1211 | 0.5926 | 8.7145 | 0.755 | ||
| 12.1576 | 0.5919 | 8.7455 | 0.7539 | ||
| 12.194 | 0.5912 | 8.7764 | 0.7528 | ||
| 12.2304 | 0.5905 | 8.8073 | 0.7517 | ||
| 12.2668 | 0.5898 | 8.8383 | 0.7506 | ||
| 12.3033 | 0.5891 | 8.8692 | 0.7496 | ||
| 12.3397 | 0.5884 | 8.9001 | 0.7485 | ||
| 12.3761 | 0.5877 | 8.9311 | 0.7475 | ||
| 12.4125 | 0.587 | 8.962 | 0.7464 | ||
| 12.449 | 0.5864 | 8.993 | 0.7454 | ||
| 12.4854 | 0.5857 | 9.0239 | 0.7444 | ||
| 12.5218 | 0.585 | 9.0548 | 0.7433 | ||
| 12.5582 | 0.5844 | 9.0858 | 0.7423 | ||
| 12.5947 | 0.5837 | 9.1167 | 0.7413 | ||
| 12.6311 | 0.5831 | 9.1477 | 0.7403 | ||
| 12.6675 | 0.5824 | 9.1786 | 0.7393 | ||
| 12.7039 | 0.5818 | 9.2095 | 0.7383 | ||
| 12.7404 | 0.5811 | 9.2405 | 0.7374 | ||
| 12.7768 | 0.5805 | 9.2714 | 0.7364 | ||
| 12.8132 | 0.5799 | 9.3023 | 0.7354 | ||
| 12.8496 | 0.5792 | 9.3333 | 0.7345 | ||
| 12.8861 | 0.5786 | 9.3642 | 0.7335 | ||
| 12.9225 | 0.578 | 9.3952 | 0.7326 | ||
| 12.9589 | 0.5774 | 9.4261 | 0.7316 | ||
| 12.9953 | 0.5767 | 9.457 | 0.7307 | ||
| 13.0318 | 0.5761 | 9.488 | 0.7297 | ||
| 13.0682 | 0.5755 | 9.5189 | 0.7288 | ||
| 13.1046 | 0.5749 | 9.5498 | 0.7279 | ||
| 13.141 | 0.5743 | 9.5808 | 0.727 | ||
| 13.1775 | 0.5737 | 9.6117 | 0.7261 | ||
| 13.2139 | 0.5731 | 9.6427 | 0.7252 | ||
| 13.2503 | 0.5725 | 9.6736 | 0.7243 | ||
| 13.2867 | 0.5719 | 9.7045 | 0.7234 | ||
| 13.3232 | 0.5713 | 9.7355 | 0.7225 | ||
| 13.3596 | 0.5707 | 9.7664 | 0.7216 | ||
| 13.396 | 0.5702 | 9.7974 | 0.7208 | ||
| 13.4324 | 0.5696 | 9.8283 | 0.7199 | ||
| 13.4689 | 0.569 | 9.8592 | 0.719 | ||
| 13.5053 | 0.5684 | 9.8902 | 0.7182 | ||
| 13.5417 | 0.5679 | 9.9211 | 0.7173 | ||
| 13.5781 | 0.5673 | 9.952 | 0.7165 | ||
| 13.6146 | 0.5667 | 9.983 | 0.7156 | ||
| 13.651 | 0.5662 | 10.0139 | 0.7148 | ||
| 13.6874 | 0.5656 | 10.0449 | 0.714 | ||
| 13.7238 | 0.5651 | 10.0758 | 0.7132 | ||
| 13.7603 | 0.5645 | 10.1067 | 0.7123 | ||
| 13.7967 | 0.564 | 10.1377 | 0.7115 | ||
| 13.8331 | 0.5634 | 10.1686 | 0.7107 | ||
| 13.8695 | 0.5629 | 10.1996 | 0.7099 | ||
| 13.906 | 0.5624 | 10.2305 | 0.7091 | ||
| 13.9424 | 0.5618 | 10.2614 | 0.7083 | ||
| 13.9788 | 0.5613 | 10.2924 | 0.7075 | ||
| 14.0152 | 0.5608 | 10.3233 | 0.7067 | ||
| 14.0517 | 0.5602 | 10.3542 | 0.706 | ||
| 14.0881 | 0.5597 | 10.3852 | 0.7052 | ||
| 14.1245 | 0.5592 | 10.4161 | 0.7044 | ||
| 14.1609 | 0.5587 | 10.4471 | 0.7036 | ||
| 14.1974 | 0.5581 | 10.478 | 0.7029 | ||
| 14.2338 | 0.5576 | 10.5089 | 0.7021 | ||
| 14.2702 | 0.5571 | 10.5399 | 0.7014 | ||
| 14.3066 | 0.5566 | 10.5708 | 0.7006 | ||
| 14.3431 | 0.5561 | 10.6017 | 0.6999 | ||
| 14.3795 | 0.5556 | 10.6327 | 0.6991 | ||
| 14.4159 | 0.5551 | 10.6636 | 0.6984 | ||
| 14.4523 | 0.5546 | 10.6946 | 0.6977 | ||
| 14.4888 | 0.5541 | 10.7255 | 0.6969 | ||
| 14.5252 | 0.5536 | 10.7564 | 0.6962 | ||
| 14.5616 | 0.5531 | 10.7874 | 0.6955 | ||
| 14.598 | 0.5526 | 10.8183 | 0.6948 | ||
| 14.6345 | 0.5521 | 10.8493 | 0.6941 | ||
| 14.6709 | 0.5517 | 10.8802 | 0.6934 | ||
| 14.7073 | 0.5512 | 10.9111 | 0.6927 | ||
| 14.7437 | 0.5507 | 10.9421 | 0.692 | ||
| 14.7802 | 0.5502 | 10.973 | 0.6913 | ||
| 14.8166 | 0.5497 | 11.0039 | 0.6906 | ||
| 14.853 | 0.5493 | 11.0349 | 0.6899 | ||
| 14.8894 | 0.5488 | 11.0658 | 0.6892 | ||
| 14.9259 | 0.5483 | 11.0968 | 0.6885 | ||
| 14.9623 | 0.5479 | 11.1277 | 0.6878 | ||
| 14.9987 | 0.5474 | 11.1586 | 0.6872 | ||
| 15.0351 | 0.5469 | 11.1896 | 0.6865 | ||
| 15.0716 | 0.5465 | 11.2205 | 0.6858 | ||
| 15.108 | 0.546 | 11.2515 | 0.6852 | ||
| 15.1444 | 0.5456 | 11.2824 | 0.6845 | ||
| 15.1808 | 0.5451 | 11.3133 | 0.6839 | ||
| 15.2173 | 0.5447 | 11.3443 | 0.6832 | ||
| 15.2537 | 0.5442 | 11.3752 | 0.6826 | ||
| 15.2901 | 0.5438 | 11.4061 | 0.6819 | ||
| 15.3265 | 0.5433 | 11.4371 | 0.6813 | ||
| 15.363 | 0.5429 | 11.468 | 0.6806 | ||
| 15.3994 | 0.5424 | 11.499 | 0.68 | ||
| 15.4358 | 0.542 | 11.5299 | 0.6794 | ||
| 15.4722 | 0.5416 | 11.5608 | 0.6788 | ||
| 15.5087 | 0.5411 | 11.5918 | 0.6781 | ||
| 15.5451 | 0.5407 | 11.6227 | 0.6775 | ||
| 15.5815 | 0.5403 | 11.6536 | 0.6769 | ||
| 15.6179 | 0.5399 | 11.6846 | 0.6763 | ||
| 15.6544 | 0.5394 | 11.7155 | 0.6757 | ||
| 15.6908 | 0.539 | 11.7465 | 0.6751 | ||
| 15.7272 | 0.5386 | 11.7774 | 0.6745 | ||
| 15.7636 | 0.5382 | 11.8083 | 0.6739 | ||
| 15.8001 | 0.5377 | 11.8393 | 0.6733 | ||
| 15.8365 | 0.5373 | 11.8702 | 0.6727 | ||
| 15.8729 | 0.5369 | 11.9012 | 0.6721 | ||
| 15.9093 | 0.5365 | 11.9321 | 0.6715 | ||
| 15.9458 | 0.5361 | 11.963 | 0.6709 | ||
| 15.9822 | 0.5357 | 11.994 | 0.6703 | ||
| 16.0186 | 0.5353 | 12.0249 | 0.6698 | ||
| 16.055 | 0.5349 | 12.0558 | 0.6692 | ||
| 16.0915 | 0.5345 | 12.0868 | 0.6686 | ||
| 16.1279 | 0.5341 | 12.1177 | 0.668 | ||
| 16.1643 | 0.5337 | 12.1487 | 0.6675 | ||
| 16.2007 | 0.5333 | 12.1796 | 0.6669 | ||
| 16.2372 | 0.5329 | 12.2105 | 0.6663 | ||
| 16.2736 | 0.5325 | 12.2415 | 0.6658 | ||
| 16.31 | 0.5321 | 12.2724 | 0.6652 | ||
| 16.3464 | 0.5317 | 12.3033 | 0.6647 | ||
| 16.3829 | 0.5313 | 12.3343 | 0.6641 | ||
| 16.4193 | 0.5309 | 12.3652 | 0.6636 | ||
| 16.4557 | 0.5306 | 12.3962 | 0.663 | ||
| 16.4921 | 0.5302 | 12.4271 | 0.6625 | ||
| 16.5286 | 0.5298 | 12.458 | 0.662 | ||
| 16.565 | 0.5294 | 12.489 | 0.6614 | ||
| 16.6014 | 0.529 | 12.5199 | 0.6609 | ||
| 16.6378 | 0.5287 | 12.5509 | 0.6604 | ||
| 16.6743 | 0.5283 | 12.5818 | 0.6598 | ||
| 16.7107 | 0.5279 | 12.6127 | 0.6593 | ||
| 16.7471 | 0.5275 | 12.6437 | 0.6588 | ||
| 16.7835 | 0.5272 | 12.6746 | 0.6583 | ||
| 16.82 | 0.5268 | 12.7055 | 0.6577 | ||
| 16.8564 | 0.5264 | 12.7365 | 0.6572 | ||
| 16.8928 | 0.5261 | 12.7674 | 0.6567 | ||
| 16.9292 | 0.5257 | 12.7984 | 0.6562 | ||
| 16.9657 | 0.5253 | 12.8293 | 0.6557 | ||
| 17.0021 | 0.525 | 12.8602 | 0.6552 | ||
| 17.0385 | 0.5246 | 12.8912 | 0.6547 | ||
| 17.0749 | 0.5243 | 12.9221 | 0.6542 | ||
| 17.1114 | 0.5239 | 12.9531 | 0.6537 | ||
| 17.1478 | 0.5236 | 12.984 | 0.6532 | ||
| 17.1842 | 0.5232 | 13.0149 | 0.6527 | ||
| 17.2206 | 0.5228 | 13.0459 | 0.6522 | ||
| 17.2571 | 0.5225 | 13.0768 | 0.6517 | ||
| 17.2935 | 0.5221 | 13.1077 | 0.6512 | ||
| 17.3299 | 0.5218 | 13.1387 | 0.6507 | ||
| 17.3663 | 0.5215 | 13.1696 | 0.6503 | ||
| 17.4028 | 0.5211 | 13.2006 | 0.6498 | ||
| 17.4392 | 0.5208 | 13.2315 | 0.6493 | ||
| 17.4756 | 0.5204 | 13.2624 | 0.6488 | ||
| 17.512 | 0.5201 | 13.2934 | 0.6483 | ||
| 17.5485 | 0.5198 | 13.3243 | 0.6479 | ||
| 17.5849 | 0.5194 | 13.3552 | 0.6474 | ||
| 17.6213 | 0.5191 | 13.3862 | 0.6469 | ||
| 17.6577 | 0.5187 | 13.4171 | 0.6465 | ||
| 17.6942 | 0.5184 | 13.4481 | 0.646 | ||
| 17.7306 | 0.5181 | 13.479 | 0.6456 | ||
| 17.767 | 0.5178 | 13.5099 | 0.6451 | ||
| 17.8034 | 0.5174 | 13.5409 | 0.6446 | ||
| 17.8399 | 0.5171 | 13.5718 | 0.6442 | ||
| 17.8763 | 0.5168 | 13.6028 | 0.6437 | ||
| 17.9127 | 0.5164 | 13.6337 | 0.6433 | ||
| 17.9491 | 0.5161 | 13.6646 | 0.6428 | ||
| 17.9856 | 0.5158 | 13.6956 | 0.6424 | ||
| 18.022 | 0.5155 | 13.7265 | 0.6419 | ||
| 18.0584 | 0.5152 | 13.7574 | 0.6415 | ||
| 18.0948 | 0.5148 | 13.7884 | 0.6411 | ||
| 18.1313 | 0.5145 | 13.8193 | 0.6406 | ||
| 18.1677 | 0.5142 | 13.8503 | 0.6402 | ||
| 18.2041 | 0.5139 | 13.8812 | 0.6398 | ||
| 18.2405 | 0.5136 | 13.9121 | 0.6393 | ||
| 18.277 | 0.5133 | 13.9431 | 0.6389 | ||
| 18.3134 | 0.513 | 13.974 | 0.6385 | ||
| 18.3498 | 0.5126 | 14.005 | 0.638 | ||
| 18.3862 | 0.5123 | 14.0359 | 0.6376 | ||
| 18.4227 | 0.512 | 14.0668 | 0.6372 | ||
| 18.4591 | 0.5117 | 14.0978 | 0.6368 | ||
| 18.4955 | 0.5114 | 14.1287 | 0.6363 | ||
| 18.5319 | 0.5111 | 14.1596 | 0.6359 | ||
| 18.5684 | 0.5108 | 14.1906 | 0.6355 | ||
| 18.6048 | 0.5105 | 14.2215 | 0.6351 | ||
| 18.6412 | 0.5102 | 14.2525 | 0.6347 | ||
| 18.6776 | 0.5099 | 14.2834 | 0.6343 | ||
| 18.7141 | 0.5096 | 14.3143 | 0.6339 | ||
| 18.7505 | 0.5093 | 14.3453 | 0.6335 | ||
| 18.7869 | 0.509 | 14.3762 | 0.6331 | ||
| 18.8233 | 0.5087 | 14.4071 | 0.6327 | ||
| 18.8598 | 0.5084 | 14.4381 | 0.6323 | ||
| 18.8962 | 0.5082 | 14.469 | 0.6319 | ||
| 18.9326 | 0.5079 | 14.5 | 0.6315 | ||
| 18.969 | 0.5076 | 14.5309 | 0.6311 | ||
| 19.0055 | 0.5073 | 14.5618 | 0.6307 | ||
| 19.0419 | 0.507 | 14.5928 | 0.6303 | ||
| 19.0783 | 0.5067 | 14.6237 | 0.6299 | ||
| 19.1147 | 0.5064 | 14.6547 | 0.6295 | ||
| 19.1512 | 0.5061 | 14.6856 | 0.6291 | ||
| 19.1876 | 0.5059 | 14.7165 | 0.6287 | ||
| 19.224 | 0.5056 | 14.7475 | 0.6283 | ||
| 19.2604 | 0.5053 | 14.7784 | 0.628 | ||
| 19.2969 | 0.505 | 14.8093 | 0.6276 | ||
| 19.3333 | 0.5047 | 14.8403 | 0.6272 | ||
| 19.3697 | 0.5045 | 14.8712 | 0.6268 | ||
| 19.4061 | 0.5042 | 14.9022 | 0.6264 | ||
| 19.4426 | 0.5039 | 14.9331 | 0.6261 | ||
| 19.479 | 0.5036 | 14.964 | 0.6257 | ||
| 19.5154 | 0.5034 | 14.995 | 0.6253 | ||
| 19.5518 | 0.5031 | 15.0259 | 0.6249 | ||
| 19.5883 | 0.5028 | 15.0569 | 0.6246 | ||
| 19.6247 | 0.5025 | 15.0878 | 0.6242 | ||
| 19.6611 | 0.5023 | 15.1187 | 0.6238 | ||
| 19.6975 | 0.502 | 15.1497 | 0.6235 | ||
| 19.734 | 0.5017 | 15.1806 | 0.6231 | ||
| 19.7704 | 0.5015 | 15.2115 | 0.6228 | ||
| 19.8068 | 0.5012 | 15.2425 | 0.6224 | ||
| 19.8432 | 0.5009 | 15.2734 | 0.622 | ||
| 19.8796 | 0.5007 | 15.3044 | 0.6217 | ||
| 19.9161 | 0.5004 | 15.3353 | 0.6213 | ||
| 19.9525 | 0.5002 | 15.3662 | 0.621 | ||
| 19.9889 | 0.4999 | 15.3972 | 0.6206 | ||
| 15.4281 | 0.6203 | ||||
| 15.459 | 0.6199 | ||||
| 15.49 | 0.6196 | ||||
| 15.5209 | 0.6192 | ||||
| 15.5519 | 0.6189 | ||||
| 15.5828 | 0.6185 | ||||
| 15.6137 | 0.6182 | ||||
| 15.6447 | 0.6178 | ||||
| 15.6756 | 0.6175 | ||||
| 15.7066 | 0.6172 | ||||
| 15.7375 | 0.6168 | ||||
| 15.7684 | 0.6165 | ||||
| 15.7994 | 0.6162 | ||||
| 15.8303 | 0.6158 | ||||
| 15.8612 | 0.6155 | ||||
| 15.8922 | 0.6152 | ||||
| 15.9231 | 0.6148 | ||||
| 15.9541 | 0.6145 | ||||
| 15.985 | 0.6142 | ||||
| 16.0159 | 0.6138 | ||||
| 16.0469 | 0.6135 | ||||
| 16.0778 | 0.6132 | ||||
| 16.1088 | 0.6129 | ||||
| 16.1397 | 0.6126 | ||||
| 16.1706 | 0.6122 | ||||
| 16.2016 | 0.6119 | ||||
| 16.2325 | 0.6116 | ||||
| 16.2634 | 0.6113 | ||||
| 16.2944 | 0.611 | ||||
| 16.3253 | 0.6107 | ||||
| 16.3563 | 0.6103 | ||||
| 16.3872 | 0.61 | ||||
| 16.4181 | 0.6097 | ||||
| 16.4491 | 0.6094 | ||||
| 16.48 | 0.6091 | ||||
| 16.5109 | 0.6088 | ||||
| 16.5419 | 0.6085 | ||||
| 16.5728 | 0.6082 | ||||
| 16.6038 | 0.6079 | ||||
| 16.6347 | 0.6076 | ||||
| 16.6656 | 0.6073 | ||||
| 16.6966 | 0.607 | ||||
| 16.7275 | 0.6067 | ||||
| 16.7585 | 0.6064 | ||||
| 16.7894 | 0.6061 | ||||
| 16.8203 | 0.6058 | ||||
| 16.8513 | 0.6055 | ||||
| 16.8822 | 0.6052 | ||||
| 16.9131 | 0.6049 | ||||
| 16.9441 | 0.6046 | ||||
| 16.975 | 0.6043 | ||||
| 17.006 | 0.604 | ||||
| 17.0369 | 0.6038 | ||||
| 17.0678 | 0.6035 | ||||
| 17.0988 | 0.6032 | ||||
| 17.1297 | 0.6029 | ||||
| 17.1607 | 0.6026 | ||||
| 17.1916 | 0.6023 | ||||
| 17.2225 | 0.602 | ||||
| 17.2535 | 0.6018 | ||||
| 17.2844 | 0.6015 | ||||
| 17.3153 | 0.6012 | ||||
| 17.3463 | 0.6009 | ||||
| 17.3772 | 0.6006 | ||||
| 17.4082 | 0.6004 | ||||
| 17.4391 | 0.6001 | ||||
| 17.47 | 0.5998 | ||||
| 17.501 | 0.5996 | ||||
| 17.5319 | 0.5993 | ||||
| 17.5628 | 0.599 | ||||
| 17.5938 | 0.5987 | ||||
| 17.6247 | 0.5985 | ||||
| 17.6557 | 0.5982 | ||||
| 17.6866 | 0.5979 | ||||
| 17.7175 | 0.5977 | ||||
| 17.7485 | 0.5974 | ||||
| 17.7794 | 0.5971 | ||||
| 17.8104 | 0.5969 | ||||
| 17.8413 | 0.5966 | ||||
| 17.8722 | 0.5963 | ||||
| 17.9032 | 0.5961 | ||||
| 17.9341 | 0.5958 | ||||
| 17.965 | 0.5956 | ||||
| 17.996 | 0.5953 | ||||
| 18.0269 | 0.5951 | ||||
| 18.0579 | 0.5948 | ||||
| 18.0888 | 0.5945 | ||||
| 18.1197 | 0.5943 | ||||
| 18.1507 | 0.594 | ||||
| 18.1816 | 0.5938 | ||||
| 18.2126 | 0.5935 | ||||
| 18.2435 | 0.5933 | ||||
| 18.2744 | 0.593 | ||||
| 18.3054 | 0.5928 | ||||
| 18.3363 | 0.5925 | ||||
| 18.3672 | 0.5923 | ||||
| 18.3982 | 0.592 | ||||
| 18.4291 | 0.5918 | ||||
| 18.4601 | 0.5915 | ||||
| 18.491 | 0.5913 | ||||
| 18.5219 | 0.5911 | ||||
| 18.5529 | 0.5908 | ||||
| 18.5838 | 0.5906 | ||||
| 18.6147 | 0.5903 | ||||
| 18.6457 | 0.5901 | ||||
| 18.6766 | 0.5898 | ||||
| 18.7076 | 0.5896 | ||||
| 18.7385 | 0.5894 | ||||
| 18.7694 | 0.5891 | ||||
| 18.8004 | 0.5889 | ||||
| 18.8313 | 0.5887 | ||||
| 18.8623 | 0.5884 | ||||
| 18.8932 | 0.5882 | ||||
| 18.9241 | 0.588 | ||||
| 18.9551 | 0.5877 | ||||
| 18.986 | 0.5875 | ||||
| 19.0169 | 0.5873 | ||||
| 19.0479 | 0.587 | ||||
| 19.0788 | 0.5868 | ||||
| 19.1098 | 0.5866 | ||||
| 19.1407 | 0.5863 | ||||
| 19.1716 | 0.5861 | ||||
| 19.2026 | 0.5859 | ||||
| 19.2335 | 0.5857 | ||||
| 19.2645 | 0.5854 | ||||
| 19.2954 | 0.5852 | ||||
| 19.3263 | 0.585 | ||||
| 19.3573 | 0.5848 | ||||
| 19.3882 | 0.5845 | ||||
| 19.4191 | 0.5843 | ||||
| 19.4501 | 0.5841 | ||||
| 19.481 | 0.5839 | ||||
| 19.512 | 0.5837 | ||||
| 19.5429 | 0.5834 | ||||
| 19.5738 | 0.5832 | ||||
| 19.6048 | 0.583 | ||||
| 19.6357 | 0.5828 | ||||
| 19.6666 | 0.5826 | ||||
| 19.6976 | 0.5824 | ||||
| 19.7285 | 0.5821 | ||||
| 19.7595 | 0.5819 | ||||
| 19.7904 | 0.5817 | ||||
| 19.8213 | 0.5815 | ||||
| 19.8523 | 0.5813 | ||||
| 19.8832 | 0.5811 | ||||
| 19.9142 | 0.5809 | ||||
| 19.9451 | 0.5807 | ||||
| 19.976 | 0.5805 |
Data for Figure 7 (Bottom Right Panel)
| Baseline Trade Elasticity | High Trade Elasticity | Low Trade Elasticity |
|---|---|---|
| 0.3571 | 0.4454 | 0.2598 |
Figure 8. Foreign Technology Shock When Home Country is at Zero Lower Bound

Data for Figure 8 (Soild Line)
| Period | Foreign GDP | Foreign Policy Rate | Home Policy Rate | Home Inflation | Home Absorption | Home GDP | Real Exchange Rate | Home Exports |
|---|---|---|---|---|---|---|---|---|
| 1 | -0.9933 | -0.0936 | 0 | -0.0353 | 0.0668 | -0.0283 | 0.2195 | -0.865 |
| 2 | -0.9502 | -0.0552 | 0 | -0.0291 | 0.021 | -0.0357 | 0.2839 | -0.6969 |
| 3 | -0.9117 | -0.0222 | 0 | -0.0198 | 0.0052 | -0.0248 | 0.3382 | -0.5704 |
| 4 | -0.8722 | 0.0065 | 0 | -0.0132 | -0.01 | -0.0177 | 0.384 | -0.4639 |
| 5 | -0.8323 | 0.0313 | 0 | -0.0083 | -0.0242 | -0.0127 | 0.4225 | -0.371 |
| 6 | -0.7926 | 0.0528 | 0 | -0.0044 | -0.0373 | -0.0092 | 0.4543 | -0.2886 |
| 7 | -0.7534 | 0.0714 | 0 | -0.0012 | -0.0492 | -0.0067 | 0.4801 | -0.215 |
| 8 | -0.7149 | 0.0872 | 0 | 0.0014 | -0.0598 | -0.005 | 0.5004 | -0.1492 |
| 9 | -0.6774 | 0.1007 | 0 | 0.0036 | -0.0693 | -0.0038 | 0.5159 | -0.0907 |
| 10 | -0.6411 | 0.1119 | 0 | 0.0053 | -0.0777 | -0.0031 | 0.527 | -0.0386 |
| 11 | -0.6059 | 0.1212 | 0 | 0.0067 | -0.085 | -0.0027 | 0.5341 | 0.0074 |
| 12 | -0.572 | 0.1287 | -0.0029 | 0.0076 | -0.0912 | -0.0024 | 0.5377 | 0.0483 |
| 13 | -0.539 | 0.1347 | -0.0017 | 0.0081 | -0.1056 | -0.0103 | 0.5375 | 0.0857 |
| 14 | -0.5078 | 0.1393 | -0.0002 | 0.0103 | -0.1122 | -0.0126 | 0.5344 | 0.1165 |
| 15 | -0.478 | 0.1425 | 0.0017 | 0.0125 | -0.1174 | -0.0147 | 0.5287 | 0.1421 |
| 16 | -0.4497 | 0.1446 | 0.0037 | 0.0146 | -0.1215 | -0.0167 | 0.5209 | 0.1632 |
| 17 | -0.4227 | 0.1458 | 0.0059 | 0.0166 | -0.1245 | -0.0185 | 0.5111 | 0.1803 |
| 18 | -0.3971 | 0.146 | 0.0081 | 0.0185 | -0.1265 | -0.02 | 0.4999 | 0.1937 |
| 19 | -0.3729 | 0.1456 | 0.0104 | 0.0202 | -0.1275 | -0.0213 | 0.4873 | 0.2041 |
| 20 | -0.35 | 0.1444 | 0.0126 | 0.0217 | -0.1277 | -0.0224 | 0.4737 | 0.2116 |
| 21 | -0.3284 | 0.1427 | 0.0148 | 0.0231 | -0.1272 | -0.0232 | 0.4593 | 0.2167 |
| 22 | -0.3081 | 0.1406 | 0.0168 | 0.0243 | -0.126 | -0.0238 | 0.4443 | 0.2196 |
| 23 | -0.2889 | 0.138 | 0.0188 | 0.0253 | -0.1242 | -0.0241 | 0.4288 | 0.2207 |
| 24 | -0.271 | 0.1351 | 0.0206 | 0.0261 | -0.1219 | -0.0243 | 0.413 | 0.2201 |
| 25 | -0.2541 | 0.132 | 0.0223 | 0.0267 | -0.1191 | -0.0243 | 0.3971 | 0.2182 |
| 26 | -0.2382 | 0.1286 | 0.0238 | 0.0272 | -0.116 | -0.0241 | 0.3811 | 0.215 |
| 27 | -0.2234 | 0.1251 | 0.0252 | 0.0275 | -0.1126 | -0.0238 | 0.3652 | 0.2109 |
| 28 | -0.2095 | 0.1214 | 0.0264 | 0.0276 | -0.109 | -0.0233 | 0.3494 | 0.206 |
| 29 | -0.1965 | 0.1177 | 0.0275 | 0.0276 | -0.1051 | -0.0227 | 0.3338 | 0.2004 |
| 30 | -0.1843 | 0.1138 | 0.0284 | 0.0275 | -0.1012 | -0.0221 | 0.3185 | 0.1943 |
| 31 | -0.1729 | 0.11 | 0.0291 | 0.0273 | -0.0971 | -0.0213 | 0.3035 | 0.1877 |
| 32 | -0.1623 | 0.1061 | 0.0297 | 0.0269 | -0.093 | -0.0205 | 0.2889 | 0.1808 |
| 33 | -0.1524 | 0.1023 | 0.0301 | 0.0265 | -0.0888 | -0.0197 | 0.2747 | 0.1737 |
| 34 | -0.1431 | 0.0985 | 0.0304 | 0.026 | -0.0846 | -0.0188 | 0.2609 | 0.1664 |
| 35 | -0.1344 | 0.0948 | 0.0306 | 0.0254 | -0.0805 | -0.0179 | 0.2476 | 0.1591 |
| 36 | -0.1263 | 0.0911 | 0.0307 | 0.0248 | -0.0765 | -0.0169 | 0.2347 | 0.1517 |
| 37 | -0.1188 | 0.0874 | 0.0306 | 0.0241 | -0.0725 | -0.016 | 0.2222 | 0.1443 |
| 38 | -0.1117 | 0.0839 | 0.0305 | 0.0233 | -0.0686 | -0.0151 | 0.2103 | 0.1371 |
| 39 | -0.1052 | 0.0804 | 0.0302 | 0.0225 | -0.0648 | -0.0142 | 0.1988 | 0.1299 |
| 40 | -0.099 | 0.0771 | 0.0299 | 0.0217 | -0.0611 | -0.0133 | 0.1878 | 0.1228 |
Data for Figure 8 (Dashed Line)
| Period | Foreign GDP | Foreign Policy Rate | Home Policy Rate | Home Inflation | Home Absorption | Home GDP | Real Exchange Rate | Home Exports |
|---|---|---|---|---|---|---|---|---|
| 1 | -1.0001 | -0.095 | 0.0249 | 0.0133 | 0.2479 | 0.126 | 0.235 | -0.9101 |
| 2 | -0.9516 | -0.0559 | 0.0098 | -0.0222 | 0.088 | 0.0225 | 0.3044 | -0.7145 |
| 3 | -0.9128 | -0.0223 | -0.0008 | -0.0224 | 0.0593 | 0.0249 | 0.3623 | -0.5725 |
| 4 | -0.873 | 0.0067 | -0.0082 | -0.022 | 0.0335 | 0.0247 | 0.4105 | -0.454 |
| 5 | -0.8329 | 0.0319 | -0.0134 | -0.021 | 0.0099 | 0.0228 | 0.4502 | -0.3521 |
| 6 | -0.7929 | 0.0536 | -0.0169 | -0.0193 | -0.0117 | 0.0198 | 0.4824 | -0.2632 |
| 7 | -0.7534 | 0.0722 | -0.0189 | -0.017 | -0.0312 | 0.0162 | 0.508 | -0.1852 |
| 8 | -0.7147 | 0.0881 | -0.0197 | -0.0144 | -0.0489 | 0.0121 | 0.5275 | -0.1167 |
| 9 | -0.677 | 0.1015 | -0.0197 | -0.0114 | -0.0646 | 0.0079 | 0.5417 | -0.0566 |
| 10 | -0.6404 | 0.1126 | -0.0188 | -0.0082 | -0.0785 | 0.0037 | 0.551 | -0.0043 |
| 11 | -0.605 | 0.1218 | -0.0173 | -0.0049 | -0.0906 | -0.0005 | 0.5561 | 0.0411 |
| 12 | -0.571 | 0.1292 | -0.0154 | -0.0016 | -0.101 | -0.0045 | 0.5575 | 0.08 |
| 13 | -0.5383 | 0.135 | -0.013 | 0.0017 | -0.1098 | -0.0082 | 0.5556 | 0.1132 |
| 14 | -0.5071 | 0.1394 | -0.0104 | 0.0048 | -0.1169 | -0.0116 | 0.5508 | 0.1411 |
| 15 | -0.4772 | 0.1425 | -0.0075 | 0.0079 | -0.1227 | -0.0147 | 0.5436 | 0.1642 |
| 16 | -0.4488 | 0.1445 | -0.0046 | 0.0108 | -0.1271 | -0.0174 | 0.5343 | 0.1831 |
| 17 | -0.4219 | 0.1455 | -0.0015 | 0.0134 | -0.1303 | -0.0198 | 0.5232 | 0.1981 |
| 18 | -0.3963 | 0.1457 | 0.0015 | 0.0159 | -0.1323 | -0.0218 | 0.5106 | 0.2097 |
| 19 | -0.3722 | 0.1452 | 0.0044 | 0.0181 | -0.1334 | -0.0234 | 0.4969 | 0.2183 |
| 20 | -0.3493 | 0.144 | 0.0073 | 0.0201 | -0.1335 | -0.0248 | 0.4822 | 0.2242 |
| 21 | -0.3278 | 0.1423 | 0.0101 | 0.0218 | -0.1328 | -0.0258 | 0.4667 | 0.2278 |
| 22 | -0.3075 | 0.1401 | 0.0127 | 0.0233 | -0.1314 | -0.0265 | 0.4507 | 0.2293 |
| 23 | -0.2884 | 0.1375 | 0.0152 | 0.0246 | -0.1294 | -0.0269 | 0.4344 | 0.2291 |
| 24 | -0.2705 | 0.1346 | 0.0175 | 0.0256 | -0.1268 | -0.0271 | 0.4178 | 0.2274 |
| 25 | -0.2536 | 0.1314 | 0.0196 | 0.0264 | -0.1238 | -0.0271 | 0.4012 | 0.2244 |
| 26 | -0.2378 | 0.128 | 0.0215 | 0.0271 | -0.1204 | -0.0269 | 0.3845 | 0.2203 |
| 27 | -0.223 | 0.1245 | 0.0232 | 0.0275 | -0.1167 | -0.0265 | 0.368 | 0.2154 |
| 28 | -0.2092 | 0.1208 | 0.0247 | 0.0278 | -0.1128 | -0.0259 | 0.3517 | 0.2096 |
| 29 | -0.1962 | 0.1171 | 0.026 | 0.0279 | -0.1087 | -0.0253 | 0.3356 | 0.2033 |
| 30 | -0.1841 | 0.1133 | 0.0271 | 0.0278 | -0.1044 | -0.0245 | 0.3199 | 0.1966 |
| 31 | -0.1727 | 0.1095 | 0.028 | 0.0276 | -0.1001 | -0.0236 | 0.3045 | 0.1895 |
| 32 | -0.1621 | 0.1056 | 0.0288 | 0.0273 | -0.0957 | -0.0227 | 0.2896 | 0.1821 |
| 33 | -0.1522 | 0.1018 | 0.0294 | 0.0269 | -0.0913 | -0.0217 | 0.2751 | 0.1745 |
| 34 | -0.143 | 0.098 | 0.0298 | 0.0264 | -0.0869 | -0.0207 | 0.2611 | 0.1669 |
| 35 | -0.1344 | 0.0943 | 0.0301 | 0.0259 | -0.0825 | -0.0196 | 0.2475 | 0.1592 |
| 36 | -0.1263 | 0.0906 | 0.0303 | 0.0252 | -0.0783 | -0.0186 | 0.2344 | 0.1516 |
| 37 | -0.1188 | 0.087 | 0.0303 | 0.0245 | -0.0741 | -0.0175 | 0.2219 | 0.144 |
| 38 | -0.1117 | 0.0835 | 0.0302 | 0.0237 | -0.07 | -0.0165 | 0.2098 | 0.1365 |
| 39 | -0.1052 | 0.0801 | 0.0301 | 0.023 | -0.066 | -0.0155 | 0.1982 | 0.1291 |
| 40 | -0.0991 | 0.0767 | 0.0298 | 0.0221 | -0.0622 | -0.0145 | 0.1871 | 0.1219 |
Figure 9. Zero Lower Bound Binds at Home and Abroad

Data for Figure 9 (Soild Line)
| Period | Foreign GDP | Foreign Policy Rate | Home Policy Rate | Home Inflation | Home Absorption | Home GDP | Foreign Relative Import Price | Home Exports |
|---|---|---|---|---|---|---|---|---|
| 1 | -0.563 | -0.6073 | 0 | -0.6366 | 0.0324 | -0.5222 | 1.604 | -2.5123 |
| 2 | -0.8671 | -1.0182 | 0 | -0.5231 | 0.1287 | -0.713 | 2.3831 | -3.769 |
| 3 | -0.9916 | -1.2683 | 0 | -0.381 | 0.2519 | -0.727 | 2.7443 | -4.3367 |
| 4 | -1.0005 | -1.3944 | 0 | -0.251 | 0.3783 | -0.6521 | 2.8841 | -4.5165 |
| 5 | -0.9408 | -1.432 | 0 | -0.1484 | 0.4938 | -0.5384 | 2.9008 | -4.4758 |
| 6 | -0.8447 | -1.4121 | 0 | -0.0764 | 0.5914 | -0.4145 | 2.8466 | -4.3112 |
| 7 | -0.7331 | -1.3587 | 0 | -0.0318 | 0.6684 | -0.2956 | 2.7508 | -4.0802 |
| 8 | -0.619 | -1.2889 | 0 | -0.0094 | 0.7249 | -0.1893 | 2.631 | -3.8178 |
| 9 | -0.5099 | -1.2142 | 0 | -0.0037 | 0.7627 | -0.0986 | 2.4983 | -3.545 |
| 10 | -0.4097 | -1.1413 | 0 | -0.0095 | 0.7839 | -0.0241 | 2.3603 | -3.2753 |
| 11 | -0.32 | -1.0736 | -0.1504 | -0.0226 | 0.7908 | 0.0342 | 2.2235 | -3.018 |
| 12 | -0.2412 | -1.0126 | -0.1239 | -0.0394 | 0.7825 | 0.0739 | 2.0954 | -2.7823 |
| 13 | -0.1733 | -0.9584 | -0.11 | -0.0562 | 0.7646 | 0.1018 | 1.9711 | -2.5625 |
| 14 | -0.1158 | -0.9103 | -0.1053 | -0.0712 | 0.741 | 0.1217 | 1.8497 | -2.357 |
| 15 | -0.0679 | -0.8676 | -0.1065 | -0.0837 | 0.7141 | 0.1362 | 1.732 | -2.1656 |
| 16 | -0.0284 | -0.8292 | -0.1112 | -0.0938 | 0.6854 | 0.1467 | 1.6185 | -1.9883 |
| 17 | 0.0035 | -0.7942 | -0.1177 | -0.1016 | 0.6559 | 0.1542 | 1.5098 | -1.8245 |
| 18 | 0.0287 | -0.7617 | -0.1248 | -0.1073 | 0.6261 | 0.1593 | 1.406 | -1.6735 |
| 19 | 0.0482 | -0.7311 | -0.1318 | -0.1112 | 0.5965 | 0.1624 | 1.307 | -1.5342 |
| 20 | 0.0626 | -0.7019 | -0.1381 | -0.1137 | 0.5671 | 0.164 | 1.2127 | -1.4058 |
| 21 | 0.0727 | -0.6738 | -0.1436 | -0.115 | 0.5381 | 0.1643 | 1.1229 | -1.287 |
| 22 | 0.0792 | -0.6464 | -0.1481 | -0.1152 | 0.5096 | 0.1635 | 1.0371 | -1.177 |
| 23 | 0.0826 | -0.6197 | -0.1517 | -0.1146 | 0.4815 | 0.1617 | 0.9552 | -1.0747 |
| 24 | 0.0834 | -0.5935 | -0.1543 | -0.1133 | 0.454 | 0.1592 | 0.8769 | -0.9794 |
| 25 | 0.0822 | -0.5677 | -0.1561 | -0.1114 | 0.427 | 0.156 | 0.802 | -0.8903 |
| 26 | 0.0794 | -0.5424 | -0.157 | -0.109 | 0.4007 | 0.1523 | 0.7303 | -0.8067 |
| 27 | 0.0753 | -0.5176 | -0.1571 | -0.1061 | 0.3749 | 0.1482 | 0.6617 | -0.7282 |
| 28 | 0.0702 | -0.4932 | -0.1566 | -0.1029 | 0.3498 | 0.1437 | 0.5962 | -0.6542 |
| 29 | 0.0645 | -0.4693 | -0.1555 | -0.0995 | 0.3253 | 0.139 | 0.5335 | -0.5844 |
| 30 | 0.0584 | -0.4459 | -0.1539 | -0.0958 | 0.3016 | 0.1342 | 0.4736 | -0.5184 |
| 31 | 0.052 | -0.4231 | -0.1517 | -0.0919 | 0.2786 | 0.1292 | 0.4164 | -0.4559 |
| 32 | 0.0455 | -0.4008 | -0.1492 | -0.0879 | 0.2564 | 0.1241 | 0.362 | -0.3968 |
| 33 | 0.0391 | -0.3792 | -0.1463 | -0.0837 | 0.235 | 0.1191 | 0.3101 | -0.3407 |
| 34 | 0.0329 | -0.3583 | -0.143 | -0.0795 | 0.2144 | 0.1141 | 0.2608 | -0.2875 |
| 35 | 0.0269 | -0.338 | -0.1395 | -0.0753 | 0.1946 | 0.1091 | 0.2141 | -0.237 |
| 36 | 0.0212 | -0.3185 | -0.1357 | -0.0711 | 0.1756 | 0.1043 | 0.1697 | -0.1892 |
| 37 | 0.016 | -0.2996 | -0.1318 | -0.0668 | 0.1574 | 0.0996 | 0.1278 | -0.1439 |
| 38 | 0.0111 | -0.2815 | -0.1277 | -0.0626 | 0.1401 | 0.095 | 0.0881 | -0.1009 |
| 39 | 0.0066 | -0.2642 | -0.1234 | -0.0585 | 0.1236 | 0.0906 | 0.0507 | -0.0602 |
| 40 | 0.0026 | -0.2476 | -0.119 | -0.0545 | 0.108 | 0.0863 | 0.0155 | -0.0217 |
Data for Figure 9 (Dashed Line)
| Period | Foreign GDP | Foreign Policy Rate | Home Policy Rate | Home Inflation | Home Absorption | Home GDP | Foreign Relative Import Price | Home Exports |
|---|---|---|---|---|---|---|---|---|
| 1 | -0.5725 | -0.6105 | -0.1694 | -0.3458 | 0.2281 | -0.2894 | 1.4117 | -2.2978 |
| 2 | -0.875 | -1.0222 | -0.2701 | -0.284 | 0.443 | -0.3601 | 2.1549 | -3.513 |
| 3 | -0.995 | -1.2714 | -0.3116 | -0.2138 | 0.6233 | -0.3273 | 2.5387 | -4.1044 |
| 4 | -0.9998 | -1.3957 | -0.3118 | -0.1569 | 0.7612 | -0.2525 | 2.7154 | -4.3246 |
| 5 | -0.9373 | -1.4318 | -0.2886 | -0.1187 | 0.8571 | -0.1673 | 2.7654 | -4.3208 |
| 6 | -0.8398 | -1.4108 | -0.256 | -0.0978 | 0.916 | -0.087 | 2.7352 | -4.1829 |
| 7 | -0.7279 | -1.357 | -0.2234 | -0.09 | 0.9447 | -0.018 | 2.6541 | -3.9683 |
| 8 | -0.6141 | -1.2875 | -0.1958 | -0.0913 | 0.95 | 0.038 | 2.5419 | -3.7142 |
| 9 | -0.5055 | -1.2133 | -0.1753 | -0.0977 | 0.9385 | 0.0817 | 2.4124 | -3.4446 |
| 10 | -0.4058 | -1.1411 | -0.1622 | -0.1066 | 0.9151 | 0.1148 | 2.275 | -3.1751 |
| 11 | -0.3167 | -1.0742 | -0.1553 | -0.1161 | 0.8842 | 0.139 | 2.1362 | -2.915 |
| 12 | -0.2387 | -1.0141 | -0.1535 | -0.1249 | 0.8487 | 0.1562 | 2.0001 | -2.6696 |
| 13 | -0.1713 | -0.9605 | -0.1551 | -0.1324 | 0.8108 | 0.1679 | 1.8692 | -2.4417 |
| 14 | -0.1141 | -0.9131 | -0.1589 | -0.1382 | 0.772 | 0.1754 | 1.7446 | -2.2321 |
| 15 | -0.0661 | -0.8707 | -0.1639 | -0.1423 | 0.7333 | 0.1796 | 1.627 | -2.0404 |
| 16 | -0.0266 | -0.8326 | -0.1691 | -0.1449 | 0.6952 | 0.1814 | 1.5162 | -1.8657 |
| 17 | 0.0055 | -0.7976 | -0.1742 | -0.146 | 0.6581 | 0.1812 | 1.4119 | -1.7066 |
| 18 | 0.0309 | -0.7652 | -0.1787 | -0.1458 | 0.6222 | 0.1796 | 1.3137 | -1.5617 |
| 19 | 0.0505 | -0.7347 | -0.1823 | -0.1446 | 0.5875 | 0.1769 | 1.2209 | -1.4294 |
| 20 | 0.065 | -0.7055 | -0.1851 | -0.1426 | 0.554 | 0.1734 | 1.1331 | -1.3083 |
| 21 | 0.0751 | -0.6774 | -0.1869 | -0.1398 | 0.5218 | 0.1691 | 1.0497 | -1.1971 |
| 22 | 0.0816 | -0.6501 | -0.1878 | -0.1364 | 0.4907 | 0.1644 | 0.9704 | -1.0947 |
| 23 | 0.0849 | -0.6234 | -0.1879 | -0.1325 | 0.4607 | 0.1594 | 0.8948 | -0.9998 |
| 24 | 0.0857 | -0.5972 | -0.1872 | -0.1283 | 0.4318 | 0.154 | 0.8226 | -0.9117 |
| 25 | 0.0844 | -0.5715 | -0.1857 | -0.1238 | 0.4039 | 0.1485 | 0.7535 | -0.8296 |
| 26 | 0.0815 | -0.5462 | -0.1837 | -0.1191 | 0.377 | 0.143 | 0.6874 | -0.7527 |
| 27 | 0.0773 | -0.5213 | -0.1811 | -0.1142 | 0.3511 | 0.1373 | 0.6241 | -0.6805 |
| 28 | 0.0721 | -0.4969 | -0.178 | -0.1092 | 0.3262 | 0.1317 | 0.5634 | -0.6125 |
| 29 | 0.0662 | -0.473 | -0.1745 | -0.1042 | 0.3021 | 0.1261 | 0.5053 | -0.5483 |
| 30 | 0.0599 | -0.4496 | -0.1707 | -0.0991 | 0.279 | 0.1207 | 0.4497 | -0.4875 |
| 31 | 0.0534 | -0.4267 | -0.1665 | -0.094 | 0.2568 | 0.1153 | 0.3965 | -0.43 |
| 32 | 0.0467 | -0.4044 | -0.1621 | -0.0889 | 0.2355 | 0.1101 | 0.3457 | -0.3754 |
| 33 | 0.0402 | -0.3827 | -0.1575 | -0.0839 | 0.215 | 0.105 | 0.2973 | -0.3235 |
| 34 | 0.0338 | -0.3617 | -0.1527 | -0.0789 | 0.1955 | 0.1001 | 0.2511 | -0.2742 |
| 35 | 0.0277 | -0.3413 | -0.1478 | -0.0741 | 0.1768 | 0.0954 | 0.2071 | -0.2273 |
| 36 | 0.0219 | -0.3216 | -0.1428 | -0.0693 | 0.159 | 0.0909 | 0.1653 | -0.1826 |
| 37 | 0.0165 | -0.3027 | -0.1377 | -0.0646 | 0.142 | 0.0866 | 0.1257 | -0.1402 |
| 38 | 0.0115 | -0.2845 | -0.1325 | -0.0601 | 0.1259 | 0.0825 | 0.0881 | -0.0999 |
| 39 | 0.0069 | -0.267 | -0.1273 | -0.0557 | 0.1106 | 0.0786 | 0.0526 | -0.0616 |
| 40 | 0.0028 | -0.2503 | -0.1222 | -0.0514 | 0.096 | 0.0749 | 0.019 | -0.0252 |
Data for Figure 9 (Dotted Line)
| Period | Foreign GDP | Foreign Policy Rate | Home Policy Rate | Home Inflation | Home Absorption | Home GDP | Foreign Relative Import Price | Home Exports |
|---|---|---|---|---|---|---|---|---|
| 1 | -1.7488 | 0 | 0 | -0.5879 | -0.0132 | -0.3762 | 0.2117 | -2.1026 |
| 2 | -2.7668 | 0 | 0 | -0.5135 | 0.0457 | -0.5983 | 0.5316 | -3.5662 |
| 3 | -3.2501 | 0 | 0 | -0.402 | 0.146 | -0.6888 | 0.8671 | -4.4822 |
| 4 | -3.3577 | 0 | 0 | -0.2833 | 0.2622 | -0.6827 | 1.1693 | -4.9588 |
| 5 | -3.2148 | 0 | 0 | -0.1764 | 0.3762 | -0.6143 | 1.4154 | -5.102 |
| 6 | -2.9178 | 0 | 0 | -0.0908 | 0.4761 | -0.5123 | 1.5989 | -5.006 |
| 7 | -2.5381 | 0 | 0 | -0.0294 | 0.5556 | -0.3981 | 1.7221 | -4.7503 |
| 8 | -2.128 | 0 | 0 | 0.0093 | 0.6126 | -0.2864 | 1.7922 | -4.3991 |
| 9 | -1.7242 | 0 | 0 | 0.0289 | 0.6474 | -0.1863 | 1.8168 | -4.0005 |
| 10 | -1.3526 | 0 | 0 | 0.0343 | 0.6618 | -0.102 | 1.8002 | -3.5874 |
| 11 | -1.0322 | -1.0674 | -0.1421 | 0.03 | 0.6582 | -0.033 | 1.7376 | -3.174 |
| 12 | -0.7956 | -0.8347 | -0.099 | 0.0199 | 0.6366 | 0.023 | 1.6054 | -2.7661 |
| 13 | -0.6156 | -0.6677 | -0.0705 | 0.0061 | 0.6049 | 0.0625 | 1.4585 | -2.4007 |
| 14 | -0.4746 | -0.5534 | -0.0544 | -0.0085 | 0.5687 | 0.088 | 1.3192 | -2.0859 |
| 15 | -0.3611 | -0.4782 | -0.0479 | -0.0218 | 0.5319 | 0.1034 | 1.1951 | -1.8185 |
| 16 | -0.2678 | -0.4303 | -0.0479 | -0.0327 | 0.4966 | 0.1122 | 1.0874 | -1.592 |
| 17 | -0.1901 | -0.4006 | -0.0518 | -0.041 | 0.464 | 0.1169 | 0.9944 | -1.3996 |
| 18 | -0.125 | -0.3825 | -0.0575 | -0.0468 | 0.4343 | 0.1192 | 0.9138 | -1.2352 |
| 19 | -0.0704 | -0.3712 | -0.0637 | -0.0506 | 0.4074 | 0.1201 | 0.8433 | -1.0938 |
| 20 | -0.0248 | -0.3637 | -0.0696 | -0.0527 | 0.3831 | 0.1202 | 0.7807 | -0.9712 |
| 21 | 0.0128 | -0.358 | -0.0747 | -0.0536 | 0.361 | 0.1198 | 0.7243 | -0.8643 |
| 22 | 0.0434 | -0.3529 | -0.0789 | -0.0536 | 0.3408 | 0.119 | 0.6726 | -0.7704 |
| 23 | 0.0678 | -0.3477 | -0.0821 | -0.053 | 0.322 | 0.118 | 0.6247 | -0.6874 |
| 24 | 0.0869 | -0.3421 | -0.0843 | -0.052 | 0.3045 | 0.1167 | 0.5797 | -0.6134 |
| 25 | 0.1012 | -0.3359 | -0.0858 | -0.0507 | 0.2879 | 0.1153 | 0.537 | -0.5471 |
| 26 | 0.1115 | -0.329 | -0.0867 | -0.0492 | 0.2722 | 0.1136 | 0.4962 | -0.4872 |
| 27 | 0.1183 | -0.3215 | -0.087 | -0.0475 | 0.2572 | 0.1118 | 0.4569 | -0.4328 |
| 28 | 0.1221 | -0.3133 | -0.0869 | -0.0458 | 0.2428 | 0.1098 | 0.4189 | -0.383 |
| 29 | 0.1236 | -0.3047 | -0.0864 | -0.044 | 0.2288 | 0.1078 | 0.3821 | -0.3371 |
| 30 | 0.123 | -0.2956 | -0.0856 | -0.0421 | 0.2154 | 0.1056 | 0.3464 | -0.2946 |
| 31 | 0.1208 | -0.2861 | -0.0846 | -0.0403 | 0.2023 | 0.1034 | 0.3116 | -0.255 |
| 32 | 0.1173 | -0.2764 | -0.0834 | -0.0384 | 0.1896 | 0.1011 | 0.2778 | -0.2178 |
| 33 | 0.1129 | -0.2664 | -0.082 | -0.0365 | 0.1773 | 0.0988 | 0.245 | -0.1828 |
| 34 | 0.1077 | -0.2562 | -0.0805 | -0.0347 | 0.1653 | 0.0964 | 0.2131 | -0.1497 |
| 35 | 0.1019 | -0.2459 | -0.0789 | -0.0328 | 0.1536 | 0.0941 | 0.1821 | -0.1182 |
| 36 | 0.0959 | -0.2357 | -0.0771 | -0.0309 | 0.1423 | 0.0917 | 0.1521 | -0.0883 |
| 37 | 0.0896 | -0.2254 | -0.0753 | -0.0291 | 0.1313 | 0.0894 | 0.123 | -0.0597 |
| 38 | 0.0833 | -0.2151 | -0.0734 | -0.0273 | 0.1206 | 0.087 | 0.0949 | -0.0323 |
| 39 | 0.077 | -0.205 | -0.0714 | -0.0255 | 0.1102 | 0.0847 | 0.0678 | -0.0062 |
| 40 | 0.0708 | -0.1951 | -0.0694 | -0.0237 | 0.1002 | 0.0825 | 0.0418 | 0.019 |
Figure 10. Reverberation Effects When Both Countries are in a Liquidity Trap*

Each line is constructed by subtracting the impulse
responses to a foreign consumption shock in the case when both
countries are at the zero bound from those which obtain when only
the home country is at the zero bound.
Data for Figure 10 (Soild Line)
| Period | Foreign Relative Import Price | Home Export | Foreign Absorption | Home GDP |
|---|---|---|---|---|
| 1 | -1.3923 | 0.4096 | -1.1219 | 0.146 |
| 2 | -1.8515 | 0.2028 | -1.8338 | 0.1146 |
| 3 | -1.8773 | -0.1455 | -2.2105 | 0.0382 |
| 4 | -1.7148 | -0.4424 | -2.3287 | -0.0306 |
| 5 | -1.4853 | -0.6262 | -2.2601 | -0.0759 |
| 6 | -1.2477 | -0.6948 | -2.0672 | -0.0978 |
| 7 | -1.0287 | -0.6701 | -1.8016 | -0.1025 |
| 8 | -0.8388 | -0.5813 | -1.5039 | -0.0971 |
| 9 | -0.6815 | -0.4555 | -1.2051 | -0.0877 |
| 10 | -0.5601 | -0.3121 | -0.9282 | -0.0779 |
| 11 | -0.4859 | -0.156 | -0.6904 | -0.0673 |
| 12 | -0.49 | 0.0162 | -0.5228 | -0.0509 |
| 13 | -0.5126 | 0.1617 | -0.4022 | -0.0393 |
| 14 | -0.5306 | 0.2711 | -0.3126 | -0.0338 |
| 15 | -0.5369 | 0.3471 | -0.2434 | -0.0328 |
| 16 | -0.5311 | 0.3963 | -0.188 | -0.0345 |
| 17 | -0.5154 | 0.4249 | -0.142 | -0.0373 |
| 18 | -0.4921 | 0.4383 | -0.1031 | -0.0401 |
| 19 | -0.4637 | 0.4405 | -0.0696 | -0.0424 |
| 20 | -0.4321 | 0.4345 | -0.0407 | -0.0439 |
| 21 | -0.3986 | 0.4227 | -0.0158 | -0.0445 |
| 22 | -0.3645 | 0.4066 | 0.0056 | -0.0445 |
| 23 | -0.3305 | 0.3874 | 0.0238 | -0.0437 |
| 24 | -0.2972 | 0.366 | 0.0391 | -0.0424 |
| 25 | -0.265 | 0.3432 | 0.0517 | -0.0407 |
| 26 | -0.2341 | 0.3195 | 0.062 | -0.0387 |
| 27 | -0.2048 | 0.2954 | 0.0701 | -0.0364 |
| 28 | -0.1772 | 0.2712 | 0.0763 | -0.0339 |
| 29 | -0.1513 | 0.2473 | 0.0808 | -0.0313 |
| 30 | -0.1272 | 0.2238 | 0.0839 | -0.0285 |
| 31 | -0.1048 | 0.201 | 0.0857 | -0.0258 |
| 32 | -0.0841 | 0.179 | 0.0864 | -0.0231 |
| 33 | -0.0651 | 0.1579 | 0.0862 | -0.0203 |
| 34 | -0.0478 | 0.1378 | 0.0853 | -0.0177 |
| 35 | -0.032 | 0.1188 | 0.0837 | -0.0151 |
| 36 | -0.0177 | 0.1009 | 0.0815 | -0.0126 |
| 37 | -0.0048 | 0.0842 | 0.0789 | -0.0102 |
| 38 | 0.0068 | 0.0686 | 0.076 | -0.008 |
| 39 | 0.0171 | 0.0541 | 0.0729 | -0.0058 |
| 40 | 0.0262 | 0.0407 | 0.0695 | -0.0039 |
Data for Figure 10 (Dashed Line)
| Period | Foreign Relative Import Price | Home Export | Foreign Absorption | Home GDP |
|---|---|---|---|---|
| 1 | -1.7234 | -0.3005 | -1.1622 | -0.0273 |
| 2 | -2.3532 | -0.7239 | -1.9005 | -0.1061 |
| 3 | -2.4526 | -1.0655 | -2.2918 | -0.1749 |
| 4 | -2.31 | -1.2602 | -2.4152 | -0.2145 |
| 5 | -2.0734 | -1.3082 | -2.3449 | -0.2251 |
| 6 | -1.8175 | -1.2371 | -2.1459 | -0.2138 |
| 7 | -1.5777 | -1.0826 | -1.8714 | -0.189 |
| 8 | -1.3686 | -0.8794 | -1.5637 | -0.1587 |
| 9 | -1.1957 | -0.657 | -1.2549 | -0.1285 |
| 10 | -1.0632 | -0.4372 | -0.9688 | -0.102 |
| 11 | -0.9823 | -0.2321 | -0.7232 | -0.0805 |
| 12 | -0.9839 | -0.0581 | -0.55 | -0.0643 |
| 13 | -1.0059 | 0.0776 | -0.4253 | -0.055 |
| 14 | -1.0229 | 0.1789 | -0.3326 | -0.0511 |
| 15 | -1.0269 | 0.2527 | -0.2608 | -0.0503 |
| 16 | -1.0174 | 0.3058 | -0.2029 | -0.0511 |
| 17 | -0.9964 | 0.3435 | -0.1547 | -0.0522 |
| 18 | -0.9669 | 0.37 | -0.1135 | -0.053 |
| 19 | -0.9315 | 0.3881 | -0.0777 | -0.0532 |
| 20 | -0.8926 | 0.3998 | -0.0465 | -0.0527 |
| 21 | -0.8518 | 0.4067 | -0.0192 | -0.0517 |
| 22 | -0.8104 | 0.4096 | 0.0045 | -0.05 |
| 23 | -0.7692 | 0.4095 | 0.0248 | -0.048 |
| 24 | -0.729 | 0.4067 | 0.0422 | -0.0456 |
| 25 | -0.6902 | 0.4019 | 0.0568 | -0.043 |
| 26 | -0.6529 | 0.3954 | 0.069 | -0.0402 |
| 27 | -0.6175 | 0.3876 | 0.0788 | -0.0373 |
| 28 | -0.584 | 0.3786 | 0.0867 | -0.0344 |
| 29 | -0.5524 | 0.3689 | 0.0927 | -0.0314 |
| 30 | -0.5228 | 0.3585 | 0.0971 | -0.0284 |
| 31 | -0.4952 | 0.3478 | 0.1002 | -0.0255 |
| 32 | -0.4695 | 0.3368 | 0.102 | -0.0226 |
| 33 | -0.4457 | 0.3257 | 0.1028 | -0.0197 |
| 34 | -0.4238 | 0.3146 | 0.1028 | -0.017 |
| 35 | -0.4036 | 0.3037 | 0.1019 | -0.0143 |
| 36 | -0.3852 | 0.293 | 0.1004 | -0.0118 |
| 37 | -0.3683 | 0.2826 | 0.0984 | -0.0094 |
| 38 | -0.3531 | 0.2725 | 0.096 | -0.0071 |
| 39 | -0.3393 | 0.2629 | 0.0932 | -0.0049 |
| 40 | -0.3269 | 0.2536 | 0.0902 | -0.0029 |
This Appendix provides background notes for implementing the piecewise-linear approach. This approach is very helpful in conducting sensitivity analysis. Moreover, we highlight limited relevance of the initial baseline path with regard to the international spillover effects; we also show that the effects of additional shocks are linear provided that the shock does not affect the duration of the liquidity trap.
For simplicity, assume that a shock immediately depresses the policy rate so that the zero lower bound binds from periods 1 to T.24 If the shock does not also bring down policy rates in the foreign country to the zero lower bound, there are two linear systems that summarize the equilibrium conditions.25
Let the linear system that summarizes the equilibrium conditions
for
be written as
| (20) |
where
is a
vector
stacking all the N variables in the model;
is a
vector stacking the innovations to the shock processes; and
,
,
, are
matrices and
is a
matrix of coefficients. For
, the linear equilibrium
conditions are denoted by
| (21) |
where
is an
matrix and
is a
vector. Furthermore,
for all
.
The matrices
and
differ in one entry only.
Without loss in generality, let the
th row in
these two matrices record the relationship between the nominal
interest rate
and the notional interest rate
, where in the original nonlinear
system
. Let
be the
th entry into
, and
,
be the entry in row
, column
into
and
, respectively. Then
and
.26 The
vector
contains zeros everywhere except in
the
th row, which equals
.27
Dynamics for
The solution of the system
(20)
is given by
| (22) |
where
is the matrix that solves the linear
rational expectations model in which the zero bound constraint on
is ignored.
Dynamics for
As [Eggertsson and Woodford 2003] and [Jung et al. 2005] we
derive the solution using backward induction. In the last period in
which the economy is at the zero bound, the values of the
endogenous variables is computed from
(21)
and the fact that
:
|
||
| (23) |
In all other periods
| (24) |
where
.
Combining (23) and (24) we obtain
. |
(25) |
and
are
generated recursively with
![]() |
||
|
(26) |
with
| (27) |
We can also express the values of the endogenous variables as a function of the time 1 innovations. If
|
then for
![]()
|
||
|
(28) |
where
if
.
Finding
Given the guess for
, compute
and
. The current guess for
is associated with the model's solution
path if
and
. We denote the
number of periods for which policy rates are expected to remain at
the zero lower bound following a set of innovations
by
.
The following statements are implied by these observations.
Proposition 1 Linearity at the
zero bound: Consider the two shock vectors
and
,
. If
, then
.
Corollary 2 Consider the four
different shock realizations:
,
,
,
. Let
. Then
, i.e. the effect of the
does not depend on
the initial conditions
or
, provided that the
duration of the liquidity trap is unchanged.
The effect of a positive and a negative shocks are symmetric if
the duration of the liquidity trap is not affected by the
additional shock
.
Corollary 3 Consider the shocks
and
with
. Then
.
Closely related to the question of how to find
, note that
one can define combinations of the innovations such that agents
expect the zero lower bound to be binding for any number of
periods.
Corollary 4 Any shock vector
that is compatible
with policy rates at the zero bound for
periods
needs to satisfy:
where
is a
vector with zeros everywhere expect for the
th position, which has an entry
of
. If
contains only a
non-zero element in its
th position, then
The magnification of foreign spillover effects is not peculiar to foreign preference shocks. We show in this appendix how shocks to government spending and capital tax rates in the foreign country affect the home economy. We also consider an alternative preference shock that influences intertemporal consumption allocation directly through the discount factor. Furthermore, we provide sensitivity analysis to the degree of price indexation.
Government Spending Shock
Figure 11 shows the impulse responses for the case of a contraction in foreign government spending. The shock follows an AR(1) process with persistence parameter equal to 0.995. The channels for the transmission of the decline in foreign demand are very similar to the ones described for a consumption preference shock. The spillover effects are smaller, because the effects of the government spending shock are less persistent, as consumption habits increase the endogenous persistence of the preference shock. Choosing an AR(2) process for government spending shocks could increase the persistence of the effects of government spending shocks and bring the quantitative responses to this shock closer to those of the preference shock considered in the paper.
Capital Tax Rate Shock
Figure 12 shows the impulse responses for the case of an increase in the foreign capital tax rate. This shock could be interpreted as boosting investment demand and similar effects would obtain in response to a shock increasing the productivity of investment in the capital accumulation equation. The AR(1) persistence parameter for the shock is set to 0.95. In a liquidity trap, the cross-country spillover effects are magnified at least twofold as measured by the reaction of home GDP relative to the movement in foreign GDP. Increases in the shock persistence would again act to increase the spillover effects.
Alternative Consumption Preference Shock
Figure 13 considers an alternative
consumption preference shock. We modified households preferences,
described in equation 12, to
encompass a time-varying discount factor
as follows:
|
|
We let
be governed by the following
process:
| (29) |
where
is an exogenous
innovation. The responses shown in Figure 13 were constructed using an initial shock to
that delivered a liquidity trap
lasting ten quarters in the home country. The additional
contraction in foreign consumption was engineered through a shock
to
.
An increase in
makes postponing consumption
relatively more attractive to the foreign households, just like a
decrease in
considered previously does.
However, an increase in
is associated with a direct
fall in foreign real rates and a robust increase in investment.
These forces underlie the quick and dramatic rebound in foreign
output. After about 10 quarters, foreign output increases 0.5
percent relative to the initial baseline path.
The figure still shows a magnification of the spillover effects
of the foreign shock on home GDP when the zero lower bound is
imposed. The early rebound in foreign activity, leads to a quicker
recovery in the level of home exports. As demand for the home
production inputs is expected to recover quickly, home inflation
does not drop as much. Accordingly, the Taylor rule for monetary
policy, when policy rates are unconstrained, does not call for
quite as much easing as after the shock to
. Accordingly, the magnification of the spillover
effects is not as large as for the benchmark preference shock.
Sensitivity to Inflation Indexation
Finally, Figure 14 offers sensitivity analysis with respect to inflation indexation. The benchmark calibration abstracted from inflation indexation in the setting of domestic prices and wages. The figure considers the effects of a foreign consumption shock when price setting is subject to partial indexation. Those firms that do not receive the Calvo signal are assumed to adjust prices according to a rule of thumb that lets them catch up to 50% of the previous period's aggregate inflation. Whereas the initial fall in inflation is not as dramatic with partial indexation, the persistence of the drop is increased, so that short-term real rates are little changed. This is reflected in a response of domestic private absorption that is little changed across the two columns of Figure 14. Without providing graphical evidence, a flatter Phillips curve, as would obtain with a lower Calvo probability, would result in a similar reduction of the initial inflation response and an increase in the persistence of the inflation movement. There would also be little overall change in the output response relative to the case illustrated for the benchmark calibration.
Figure 11. Foreign Government Spending When Home Country is at Zero Lower Bound

Data for Figure 11 (Soild Line)
| Period | Foreign GDP | Foreign Policy Rate | Home Policy Rate | Home Inflation | Home Absorption | Home GDP | Real Exchange Rate | Home Exports |
|---|---|---|---|---|---|---|---|---|
| 1 | -0.9922 | -0.4601 | 0 | -0.1892 | 0.0378 | -0.2076 | -1.9046 | -0.7223 |
| 2 | -0.745 | -0.5421 | 0 | -0.1416 | 0.0889 | -0.2508 | -1.8668 | -0.962 |
| 3 | -0.5779 | -0.5353 | 0 | -0.0895 | 0.1395 | -0.2266 | -1.7855 | -0.9966 |
| 4 | -0.4692 | -0.4864 | 0 | -0.0483 | 0.1834 | -0.1808 | -1.6952 | -0.9544 |
| 5 | -0.402 | -0.4254 | 0 | -0.0211 | 0.2188 | -0.1339 | -1.6126 | -0.8922 |
| 6 | -0.3636 | -0.368 | 0 | -0.0058 | 0.2459 | -0.0936 | -1.543 | -0.8328 |
| 7 | -0.3441 | -0.3207 | 0 | 0.0007 | 0.2657 | -0.0617 | -1.4865 | -0.7831 |
| 8 | -0.3368 | -0.2845 | 0 | 0.0014 | 0.2796 | -0.0376 | -1.4406 | -0.7436 |
| 9 | -0.3368 | -0.2581 | 0 | -0.0013 | 0.2889 | -0.0198 | -1.4024 | -0.7122 |
| 10 | -0.3409 | -0.2395 | 0 | -0.0056 | 0.2946 | -0.0068 | -1.369 | -0.6865 |
| 11 | -0.3471 | -0.2263 | -0.0255 | -0.0107 | 0.2975 | 0.0025 | -1.3384 | -0.6648 |
| 12 | -0.354 | -0.217 | -0.0224 | -0.0157 | 0.2977 | 0.0084 | -1.3154 | -0.6463 |
| 13 | -0.3609 | -0.2099 | -0.0219 | -0.0201 | 0.2962 | 0.0124 | -1.2921 | -0.6288 |
| 14 | -0.3675 | -0.2042 | -0.023 | -0.0237 | 0.2935 | 0.0154 | -1.2685 | -0.6114 |
| 15 | -0.3734 | -0.1993 | -0.0251 | -0.0267 | 0.29 | 0.0176 | -1.2448 | -0.5938 |
| 16 | -0.3787 | -0.1947 | -0.0276 | -0.029 | 0.286 | 0.0193 | -1.2213 | -0.5759 |
| 17 | -0.3833 | -0.1902 | -0.0301 | -0.0307 | 0.2816 | 0.0207 | -1.1981 | -0.5579 |
| 18 | -0.3872 | -0.1858 | -0.0326 | -0.032 | 0.2768 | 0.0218 | -1.1753 | -0.5397 |
| 19 | -0.3904 | -0.1814 | -0.0348 | -0.033 | 0.2718 | 0.0226 | -1.1529 | -0.5216 |
| 20 | -0.393 | -0.177 | -0.0368 | -0.0337 | 0.2665 | 0.0231 | -1.1312 | -0.5037 |
| 21 | -0.3951 | -0.1726 | -0.0386 | -0.0341 | 0.2611 | 0.0233 | -1.11 | -0.486 |
| 22 | -0.3967 | -0.1683 | -0.04 | -0.0343 | 0.2556 | 0.0234 | -1.0896 | -0.4685 |
| 23 | -0.3977 | -0.1641 | -0.0413 | -0.0344 | 0.2501 | 0.0233 | -1.0698 | -0.4515 |
| 24 | -0.3984 | -0.16 | -0.0423 | -0.0343 | 0.2445 | 0.023 | -1.0508 | -0.4349 |
| 25 | -0.3987 | -0.1561 | -0.0431 | -0.0341 | 0.239 | 0.0225 | -1.0324 | -0.4188 |
| 26 | -0.3987 | -0.1523 | -0.0438 | -0.0338 | 0.2335 | 0.022 | -1.0148 | -0.4032 |
| 27 | -0.3983 | -0.1486 | -0.0442 | -0.0333 | 0.2281 | 0.0214 | -0.9979 | -0.3882 |
| 28 | -0.3977 | -0.1452 | -0.0446 | -0.0328 | 0.2228 | 0.0207 | -0.9816 | -0.3737 |
| 29 | -0.3968 | -0.1419 | -0.0447 | -0.0323 | 0.2176 | 0.0199 | -0.9661 | -0.3598 |
| 30 | -0.3957 | -0.1388 | -0.0448 | -0.0317 | 0.2126 | 0.0192 | -0.9512 | -0.3464 |
| 31 | -0.3945 | -0.1358 | -0.0447 | -0.031 | 0.2077 | 0.0184 | -0.9369 | -0.3336 |
| 32 | -0.393 | -0.133 | -0.0446 | -0.0303 | 0.203 | 0.0176 | -0.9232 | -0.3214 |
| 33 | -0.3915 | -0.1304 | -0.0443 | -0.0296 | 0.1985 | 0.0168 | -0.91 | -0.3096 |
| 34 | -0.3898 | -0.128 | -0.044 | -0.0289 | 0.1942 | 0.016 | -0.8974 | -0.2985 |
| 35 | -0.388 | -0.1257 | -0.0436 | -0.0281 | 0.19 | 0.0153 | -0.8853 | -0.2878 |
| 36 | -0.3861 | -0.1235 | -0.0432 | -0.0274 | 0.1861 | 0.0146 | -0.8737 | -0.2776 |
| 37 | -0.3842 | -0.1215 | -0.0427 | -0.0267 | 0.1823 | 0.014 | -0.8625 | -0.2679 |
| 38 | -0.3822 | -0.1196 | -0.0422 | -0.0259 | 0.1787 | 0.0134 | -0.8518 | -0.2586 |
| 39 | -0.3802 | -0.1178 | -0.0416 | -0.0252 | 0.1752 | 0.0128 | -0.8414 | -0.2498 |
| 40 | -0.3781 | -0.1161 | -0.041 | -0.0245 | 0.1719 | 0.0123 | -0.8314 | -0.2413 |
Data for Figure 11 (Dashed Line)
| Period | Foreign GDP | Foreign Policy Rate | Home Policy Rate | Home Inflation | Home Absorption | Home GDP | Real Exchange Rate | Home Exports |
|---|---|---|---|---|---|---|---|---|
| 1 | -0.9947 | -0.4609 | -0.0787 | -0.1244 | 0.0843 | -0.1517 | -1.7375 | -0.6692 |
| 2 | -0.747 | -0.5431 | -0.087 | -0.0894 | 0.162 | -0.1683 | -1.7324 | -0.9005 |
| 3 | -0.5787 | -0.536 | -0.0933 | -0.0543 | 0.224 | -0.1355 | -1.6812 | -0.9429 |
| 4 | -0.4689 | -0.4867 | -0.0869 | -0.0301 | 0.2685 | -0.0922 | -1.6186 | -0.9122 |
| 5 | -0.4011 | -0.4253 | -0.0729 | -0.0171 | 0.2975 | -0.0539 | -1.5585 | -0.8601 |
| 6 | -0.3624 | -0.3677 | -0.0574 | -0.0127 | 0.3144 | -0.0249 | -1.5055 | -0.8076 |
| 7 | -0.3429 | -0.3203 | -0.0443 | -0.0137 | 0.3227 | -0.0048 | -1.4598 | -0.7616 |
| 8 | -0.3357 | -0.2841 | -0.0351 | -0.0173 | 0.3251 | 0.0081 | -1.4205 | -0.7233 |
| 9 | -0.3359 | -0.2579 | -0.0298 | -0.0219 | 0.324 | 0.0162 | -1.386 | -0.6918 |
| 10 | -0.3402 | -0.2394 | -0.0277 | -0.0264 | 0.3206 | 0.0209 | -1.3551 | -0.6653 |
| 11 | -0.3465 | -0.2265 | -0.0279 | -0.0303 | 0.316 | 0.0236 | -1.3266 | -0.6424 |
| 12 | -0.3535 | -0.2173 | -0.0296 | -0.0335 | 0.3108 | 0.0251 | -1.3 | -0.6218 |
| 13 | -0.3605 | -0.2104 | -0.032 | -0.0359 | 0.3053 | 0.0259 | -1.2745 | -0.6028 |
| 14 | -0.3671 | -0.2048 | -0.0347 | -0.0376 | 0.2995 | 0.0263 | -1.2501 | -0.5847 |
| 15 | -0.3731 | -0.2 | -0.0374 | -0.0388 | 0.2937 | 0.0264 | -1.2263 | -0.5672 |
| 16 | -0.3783 | -0.1954 | -0.0399 | -0.0395 | 0.2877 | 0.0264 | -1.2033 | -0.55 |
| 17 | -0.3828 | -0.191 | -0.042 | -0.0399 | 0.2818 | 0.0262 | -1.1808 | -0.533 |
| 18 | -0.3867 | -0.1866 | -0.0439 | -0.04 | 0.2757 | 0.0258 | -1.1589 | -0.5163 |
| 19 | -0.3899 | -0.1822 | -0.0454 | -0.0399 | 0.2697 | 0.0254 | -1.1377 | -0.4997 |
| 20 | -0.3925 | -0.1778 | -0.0466 | -0.0396 | 0.2636 | 0.0248 | -1.1171 | -0.4833 |
| 21 | -0.3946 | -0.1734 | -0.0476 | -0.0392 | 0.2575 | 0.0242 | -1.0971 | -0.4672 |
| 22 | -0.3961 | -0.1691 | -0.0483 | -0.0387 | 0.2515 | 0.0234 | -1.0778 | -0.4514 |
| 23 | -0.3972 | -0.1649 | -0.0488 | -0.0381 | 0.2456 | 0.0226 | -1.0592 | -0.4359 |
| 24 | -0.3979 | -0.1608 | -0.0492 | -0.0374 | 0.2398 | 0.0218 | -1.0412 | -0.4209 |
| 25 | -0.3983 | -0.1569 | -0.0493 | -0.0366 | 0.234 | 0.0209 | -1.0239 | -0.4062 |
| 26 | -0.3982 | -0.1531 | -0.0493 | -0.0358 | 0.2284 | 0.0199 | -1.0073 | -0.392 |
| 27 | -0.3979 | -0.1494 | -0.0492 | -0.035 | 0.223 | 0.019 | -0.9913 | -0.3783 |
| 28 | -0.3973 | -0.146 | -0.049 | -0.0341 | 0.2178 | 0.0181 | -0.976 | -0.3651 |
| 29 | -0.3965 | -0.1427 | -0.0487 | -0.0332 | 0.2127 | 0.0172 | -0.9613 | -0.3523 |
| 30 | -0.3954 | -0.1395 | -0.0483 | -0.0323 | 0.2078 | 0.0163 | -0.9471 | -0.3401 |
| 31 | -0.3942 | -0.1366 | -0.0478 | -0.0314 | 0.2031 | 0.0154 | -0.9336 | -0.3283 |
| 32 | -0.3928 | -0.1338 | -0.0473 | -0.0305 | 0.1986 | 0.0146 | -0.9205 | -0.317 |
| 33 | -0.3912 | -0.1312 | -0.0467 | -0.0296 | 0.1943 | 0.0138 | -0.908 | -0.3062 |
| 34 | -0.3896 | -0.1287 | -0.046 | -0.0287 | 0.1902 | 0.0131 | -0.8959 | -0.2958 |
| 35 | -0.3878 | -0.1264 | -0.0453 | -0.0278 | 0.1863 | 0.0124 | -0.8844 | -0.2858 |
| 36 | -0.386 | -0.1242 | -0.0446 | -0.027 | 0.1826 | 0.0118 | -0.8732 | -0.2763 |
| 37 | -0.3841 | -0.1221 | -0.0439 | -0.0262 | 0.1791 | 0.0112 | -0.8625 | -0.2672 |
| 38 | -0.3821 | -0.1202 | -0.0432 | -0.0254 | 0.1757 | 0.0107 | -0.8521 | -0.2585 |
| 39 | -0.3801 | -0.1184 | -0.0424 | -0.0246 | 0.1725 | 0.0103 | -0.842 | -0.2501 |
| 40 | -0.3781 | -0.1167 | -0.0417 | -0.0239 | 0.1695 | 0.0099 | -0.8323 | -0.2421 |
Figure 12. An Increase in the Capital Tax Rate When Home Country is at Zero Lower Bound

Data for Figure 12 (Soild Line)
| Period | Foreign GDP | Foreign Policy Rate | Home Policy Rate | Home Inflation | Home Absorption | Home GDP | Real Exchange Rate | Home Exports |
|---|---|---|---|---|---|---|---|---|
| 1 | -0.2985 | -0.3711 | 0 | -0.2458 | 0.0334 | -0.197 | -1.3476 | -1.0486 |
| 2 | -0.5143 | -0.6111 | 0 | -0.2033 | 0.0889 | -0.2697 | -1.371 | -1.6299 |
| 3 | -0.668 | -0.7532 | 0 | -0.1495 | 0.1508 | -0.2733 | -1.3261 | -1.9358 |
| 4 | -0.777 | -0.8209 | 0 | -0.0998 | 0.2092 | -0.2409 | -1.2334 | -2.0713 |
| 5 | -0.8544 | -0.8337 | 0 | -0.0603 | 0.2581 | -0.1921 | -1.1091 | -2.0969 |
| 6 | -0.9094 | -0.8081 | 0 | -0.0323 | 0.2946 | -0.1385 | -0.9655 | -2.0499 |
| 7 | -0.9481 | -0.7574 | 0 | -0.0148 | 0.318 | -0.0868 | -0.8118 | -1.9547 |
| 8 | -0.9745 | -0.6918 | 0 | -0.0058 | 0.3288 | -0.0405 | -0.6545 | -1.8276 |
| 9 | -0.9912 | -0.6185 | 0 | -0.003 | 0.3283 | -0.0012 | -0.4982 | -1.6803 |
| 10 | -0.9997 | -0.5426 | 0 | -0.0045 | 0.3179 | 0.0305 | -0.3459 | -1.5213 |
| 11 | -1.0012 | -0.4674 | -0.0571 | -0.0085 | 0.2993 | 0.0548 | -0.1997 | -1.3576 |
| 12 | -0.9964 | -0.395 | -0.0462 | -0.0136 | 0.273 | 0.0704 | -0.0749 | -1.1955 |
| 13 | -0.9862 | -0.3266 | -0.0399 | -0.0182 | 0.2418 | 0.0803 | 0.0443 | -1.0355 |
| 14 | -0.9713 | -0.263 | -0.0369 | -0.0218 | 0.2078 | 0.0859 | 0.1562 | -0.8793 |
| 15 | -0.9523 | -0.2044 | -0.036 | -0.024 | 0.1726 | 0.0883 | 0.2595 | -0.7289 |
| 16 | -0.9297 | -0.1508 | -0.0361 | -0.0248 | 0.1371 | 0.0884 | 0.3536 | -0.5857 |
| 17 | -0.9041 | -0.1021 | -0.0366 | -0.0245 | 0.1023 | 0.0866 | 0.4382 | -0.4509 |
| 18 | -0.876 | -0.0582 | -0.037 | -0.0231 | 0.0686 | 0.0833 | 0.5133 | -0.3251 |
| 19 | -0.8458 | -0.0187 | -0.037 | -0.0208 | 0.0365 | 0.0789 | 0.579 | -0.2089 |
| 20 | -0.8141 | 0.0165 | -0.0365 | -0.0178 | 0.0062 | 0.0737 | 0.6358 | -0.1023 |
| 21 | -0.7813 | 0.0477 | -0.0354 | -0.0143 | -0.0221 | 0.0678 | 0.6841 | -0.0052 |
| 22 | -0.7478 | 0.0752 | -0.0336 | -0.0103 | -0.0483 | 0.0615 | 0.7243 | 0.0824 |
| 23 | -0.7138 | 0.0992 | -0.0314 | -0.0061 | -0.0722 | 0.055 | 0.7571 | 0.161 |
| 24 | -0.6798 | 0.12 | -0.0286 | -0.0017 | -0.094 | 0.0483 | 0.783 | 0.2308 |
| 25 | -0.646 | 0.1378 | -0.0254 | 0.0028 | -0.1135 | 0.0417 | 0.8025 | 0.2923 |
| 26 | -0.6125 | 0.1529 | -0.0218 | 0.0073 | -0.1309 | 0.0352 | 0.8162 | 0.346 |
| 27 | -0.5797 | 0.1655 | -0.0179 | 0.0117 | -0.1461 | 0.029 | 0.8247 | 0.3923 |
| 28 | -0.5476 | 0.1758 | -0.0138 | 0.016 | -0.1593 | 0.023 | 0.8284 | 0.4318 |
| 29 | -0.5164 | 0.184 | -0.0096 | 0.0201 | -0.1705 | 0.0173 | 0.8278 | 0.4649 |
| 30 | -0.4862 | 0.1904 | -0.0054 | 0.024 | -0.1799 | 0.0121 | 0.8235 | 0.4922 |
| 31 | -0.4571 | 0.195 | -0.0011 | 0.0277 | -0.1875 | 0.0072 | 0.8159 | 0.514 |
| 32 | -0.4291 | 0.1981 | 0.0032 | 0.0311 | -0.1934 | 0.0028 | 0.8054 | 0.5309 |
| 33 | -0.4023 | 0.1999 | 0.0074 | 0.0342 | -0.1978 | -0.0012 | 0.7923 | 0.5434 |
| 34 | -0.3768 | 0.2004 | 0.0114 | 0.0369 | -0.2008 | -0.0047 | 0.7771 | 0.5519 |
| 35 | -0.3524 | 0.1999 | 0.0153 | 0.0394 | -0.2025 | -0.0078 | 0.7602 | 0.5567 |
| 36 | -0.3293 | 0.1985 | 0.019 | 0.0416 | -0.203 | -0.0105 | 0.7417 | 0.5583 |
| 37 | -0.3074 | 0.1963 | 0.0225 | 0.0435 | -0.2024 | -0.0128 | 0.722 | 0.5571 |
| 38 | -0.2867 | 0.1933 | 0.0258 | 0.045 | -0.2009 | -0.0146 | 0.7013 | 0.5534 |
| 39 | -0.2672 | 0.1898 | 0.0288 | 0.0463 | -0.1986 | -0.0161 | 0.6799 | 0.5475 |
| 40 | -0.2489 | 0.1858 | 0.0473 | -0.1954 | -0.0173 | 0.658 | 0.5397 |
Data for Figure 12 (Dashed Line)
| Period | Foreign GDP | Foreign Policy Rate | Home Policy Rate | Home Inflation | Home Absorption | Home GDP | Real Exchange Rate | Home Exports |
|---|---|---|---|---|---|---|---|---|
| 1 | -0.3023 | -0.3724 | -0.0753 | -0.1322 | 0.1103 | -0.1055 | -1.0855 | -0.9639 |
| 2 | -0.5174 | -0.6127 | -0.1117 | -0.1101 | 0.212 | -0.1313 | -1.1509 | -1.5292 |
| 3 | -0.6693 | -0.7544 | -0.1242 | -0.0845 | 0.2959 | -0.1171 | -1.1497 | -1.8449 |
| 4 | -0.7767 | -0.8214 | -0.1223 | -0.0634 | 0.3585 | -0.0851 | -1.0967 | -1.9965 |
| 5 | -0.853 | -0.8336 | -0.1124 | -0.049 | 0.3996 | -0.0475 | -1.0055 | -2.0365 |
| 6 | -0.9075 | -0.8076 | -0.0995 | -0.0409 | 0.4209 | -0.0111 | -0.8878 | -2 |
| 7 | -0.9461 | -0.7568 | -0.0867 | -0.0377 | 0.4254 | 0.0211 | -0.7534 | -1.9111 |
| 8 | -0.9726 | -0.6912 | -0.0759 | -0.0378 | 0.4162 | 0.0478 | -0.6101 | -1.7872 |
| 9 | -0.9895 | -0.6181 | -0.0678 | -0.0397 | 0.3964 | 0.0688 | -0.4639 | -1.6411 |
| 10 | -0.9982 | -0.5425 | -0.0623 | -0.0423 | 0.3688 | 0.0845 | -0.3194 | -1.4821 |
| 11 | -0.9999 | -0.4676 | -0.0592 | -0.0449 | 0.3355 | 0.0954 | -0.1799 | -1.3172 |
| 12 | -0.9954 | -0.3955 | -0.0578 | -0.0468 | 0.2986 | 0.1024 | -0.0476 | -1.1513 |
| 13 | -0.9855 | -0.3275 | -0.0575 | -0.0478 | 0.2597 | 0.1059 | 0.0759 | -0.9882 |
| 14 | -0.9707 | -0.2641 | -0.0578 | -0.0478 | 0.2198 | 0.1067 | 0.1898 | -0.8305 |
| 15 | -0.9516 | -0.2056 | -0.0583 | -0.0467 | 0.18 | 0.1052 | 0.2936 | -0.6799 |
| 16 | -0.929 | -0.1521 | -0.0587 | -0.0447 | 0.1409 | 0.1019 | 0.3871 | -0.5378 |
| 17 | -0.9033 | -0.1035 | -0.0586 | -0.0418 | 0.1031 | 0.0971 | 0.4703 | -0.4048 |
| 18 | -0.8751 | -0.0596 | -0.0579 | -0.0381 | 0.0671 | 0.0912 | 0.5437 | -0.2814 |
| 19 | -0.8449 | -0.0201 | -0.0567 | -0.0338 | 0.033 | 0.0845 | 0.6075 | -0.1679 |
| 20 | -0.8132 | 0.0151 | -0.0548 | -0.0291 | 0.0011 | 0.0773 | 0.6622 | -0.0642 |
| 21 | -0.7804 | 0.0463 | -0.0522 | -0.0239 | -0.0285 | 0.0697 | 0.7083 | 0.0299 |
| 22 | -0.7468 | 0.0737 | -0.0491 | -0.0186 | -0.0556 | 0.0619 | 0.7464 | 0.1146 |
| 23 | -0.7129 | 0.0977 | -0.0454 | -0.0131 | -0.0804 | 0.0541 | 0.7772 | 0.1903 |
| 24 | -0.6789 | 0.1185 | -0.0414 | -0.0075 | -0.1027 | 0.0463 | 0.801 | 0.2573 |
| 25 | -0.6451 | 0.1364 | -0.0369 | -0.002 | -0.1226 | 0.0388 | 0.8186 | 0.3161 |
| 26 | -0.6117 | 0.1515 | -0.0322 | 0.0034 | -0.1401 | 0.0316 | 0.8304 | 0.3672 |
| 27 | -0.5789 | 0.164 | -0.0272 | 0.0086 | -0.1554 | 0.0247 | 0.8371 | 0.4111 |
| 28 | -0.5469 | 0.1743 | -0.0222 | 0.0136 | -0.1686 | 0.0183 | 0.8392 | 0.4482 |
| 29 | -0.5158 | 0.1826 | -0.0171 | 0.0183 | -0.1796 | 0.0123 | 0.8371 | 0.4792 |
| 30 | -0.4856 | 0.1889 | -0.0119 | 0.0227 | -0.1887 | 0.0068 | 0.8313 | 0.5043 |
| 31 | -0.4566 | 0.1936 | -0.0068 | 0.0269 | -0.196 | 0.0018 | 0.8224 | 0.5243 |
| 32 | -0.4286 | 0.1967 | -0.0019 | 0.0306 | -0.2016 | -0.0027 | 0.8106 | 0.5395 |
| 33 | -0.4019 | 0.1985 | 0.003 | 0.0341 | -0.2056 | -0.0067 | 0.7964 | 0.5503 |
| 34 | -0.3764 | 0.1991 | 0.0076 | 0.0372 | -0.2082 | -0.0102 | 0.7802 | 0.5572 |
| 35 | -0.3521 | 0.1987 | 0.0121 | 0.0399 | -0.2094 | -0.0132 | 0.7622 | 0.5607 |
| 36 | -0.329 | 0.1973 | 0.0163 | 0.0423 | -0.2095 | -0.0157 | 0.7429 | 0.5611 |
| 37 | -0.3072 | 0.1951 | 0.0202 | 0.0443 | -0.2085 | -0.0178 | 0.7224 | 0.5587 |
| 38 | -0.2866 | 0.1922 | 0.0239 | 0.046 | -0.2065 | -0.0195 | 0.701 | 0.554 |
| 39 | -0.2671 | 0.1887 | 0.0273 | 0.0474 | -0.2037 | -0.0208 | 0.679 | 0.5472 |
| 40 | -0.2488 | 0.1847 | 0.0304 | 0.0484 | -0.2001 | -0.0218 | 0.6565 | 0.5386 |
Figure 13. Alternative Preference Shock to Discount Factor

Data for Figure 13 (Soild Line)
| Period | Foreign GDP | Foreign Policy Rate | Home Policy Rate | Home Inflation | Home Absorption | Home GDP | Real Exchange Rate | Home Exports |
|---|---|---|---|---|---|---|---|---|
| 1 | -0.7861 | -0.6694 | 0 | -0.4972 | 0.0777 | -0.509 | -3.4728 | -2.6865 |
| 2 | -0.9968 | -1.3452 | 0 | -0.3815 | 0.1894 | -0.6602 | -3.4698 | -3.77 |
| 3 | -0.9008 | -1.6943 | 0 | -0.2419 | 0.3013 | -0.6242 | -3.2753 | -3.985 |
| 4 | -0.6689 | -1.7761 | 0 | -0.1218 | 0.3947 | -0.5043 | -2.9732 | -3.7554 |
| 5 | -0.401 | -1.6886 | 0 | -0.0358 | 0.4622 | -0.3605 | -2.6346 | -3.3285 |
| 6 | -0.1496 | -1.5156 | 0 | 0.0159 | 0.5034 | -0.225 | -2.3062 | -2.8446 |
| 7 | 0.0618 | -1.3153 | 0 | 0.0395 | 0.5217 | -0.1121 | -2.0128 | -2.3792 |
| 8 | 0.2265 | -1.1224 | 0 | 0.0431 | 0.5222 | -0.0258 | -1.7638 | -1.9681 |
| 9 | 0.3464 | -0.9542 | 0 | 0.0344 | 0.5104 | 0.0357 | -1.5587 | -1.6237 |
| 10 | 0.4276 | -0.8167 | 0 | 0.0193 | 0.4909 | 0.0765 | -1.3923 | -1.3458 |
| 11 | 0.477 | -0.7093 | -0.0099 | 0.0022 | 0.4674 | 0.1015 | -1.2573 | -1.1279 |
| 12 | 0.5017 | -0.6281 | -0.0074 | -0.0143 | 0.4418 | 0.114 | -1.1562 | -0.9618 |
| 13 | 0.5075 | -0.5679 | -0.007 | -0.0284 | 0.4167 | 0.1192 | -1.0699 | -0.8355 |
| 14 | 0.4995 | -0.5236 | -0.008 | -0.0395 | 0.3936 | 0.1203 | -0.9952 | -0.7398 |
| 15 | 0.4816 | -0.4906 | -0.0097 | -0.0477 | 0.3728 | 0.1193 | -0.9293 | -0.6672 |
| 16 | 0.4569 | -0.4653 | -0.0117 | -0.0534 | 0.3542 | 0.1172 | -0.8699 | -0.6116 |
| 17 | 0.428 | -0.445 | -0.0137 | -0.0572 | 0.3375 | 0.1147 | -0.8151 | -0.5681 |
| 18 | 0.3965 | -0.4274 | -0.0154 | -0.0594 | 0.3222 | 0.1121 | -0.7635 | -0.5329 |
| 19 | 0.3638 | -0.4114 | -0.017 | -0.0605 | 0.308 | 0.1095 | -0.7142 | -0.5031 |
| 20 | 0.3309 | -0.396 | -0.0182 | -0.0607 | 0.2944 | 0.107 | -0.6664 | -0.4765 |
| 21 | 0.2985 | -0.3807 | -0.0192 | -0.0603 | 0.2812 | 0.1046 | -0.6196 | -0.4515 |
| 22 | 0.2673 | -0.3652 | -0.0199 | -0.0595 | 0.2681 | 0.1022 | -0.5738 | -0.427 |
| 23 | 0.2375 | -0.3494 | -0.0205 | -0.0583 | 0.255 | 0.0997 | -0.5287 | -0.4024 |
| 24 | 0.2094 | -0.3333 | -0.0208 | -0.0569 | 0.2419 | 0.0973 | -0.4844 | -0.3772 |
| 25 | 0.1832 | -0.317 | -0.021 | -0.0553 | 0.2287 | 0.0947 | -0.441 | -0.3513 |
| 26 | 0.1589 | -0.3007 | -0.021 | -0.0535 | 0.2153 | 0.0921 | -0.3986 | -0.3247 |
| 27 | 0.1366 | -0.2843 | -0.021 | -0.0516 | 0.202 | 0.0894 | -0.3574 | -0.2973 |
| 28 | 0.1164 | -0.2681 | -0.0208 | -0.0496 | 0.1886 | 0.0866 | -0.3173 | -0.2695 |
| 29 | 0.098 | -0.2521 | -0.0206 | -0.0475 | 0.1753 | 0.0837 | -0.2786 | -0.2412 |
| 30 | 0.0815 | -0.2365 | -0.0203 | -0.0453 | 0.1621 | 0.0808 | -0.2414 | -0.2128 |
| 31 | 0.0668 | -0.2212 | -0.0199 | -0.043 | 0.1491 | 0.0778 | -0.2058 | -0.1845 |
| 32 | 0.0538 | -0.2065 | -0.0195 | -0.0407 | 0.1364 | 0.0748 | -0.1717 | -0.1563 |
| 33 | 0.0423 | -0.1923 | -0.0191 | -0.0384 | 0.124 | 0.0718 | -0.1394 | -0.1286 |
| 34 | 0.0323 | -0.1787 | -0.0186 | -0.036 | 0.1119 | 0.0688 | -0.1087 | -0.1014 |
| 35 | 0.0236 | -0.1657 | -0.018 | -0.0336 | 0.1002 | 0.0658 | -0.0798 | -0.0749 |
| 36 | 0.0162 | -0.1534 | -0.0175 | -0.0312 | 0.089 | 0.0628 | -0.0526 | -0.0493 |
| 37 | 0.0098 | -0.1417 | -0.0169 | -0.0288 | 0.0782 | 0.06 | -0.027 | -0.0246 |
| 38 | 0.0045 | -0.1307 | -0.0163 | -0.0264 | 0.0679 | 0.0571 | -0.0032 | -0.0009 |
| 39 | 0 | -0.1202 | -0.0157 | -0.024 | 0.0581 | 0.0544 | 0.0191 | 0.0217 |
| 40 | -0.0036 | -0.1105 | -0.015 | -0.0217 | 0.0488 | 0.0518 | 0.0397 | 0.0433 |
Data for Figure 13 (Dashed Line)
| Period | Foreign GDP | Foreign Policy Rate | Home Policy Rate | Home Inflation | Home Absorption | Home GDP | Real Exchange Rate | Home Exports |
|---|---|---|---|---|---|---|---|---|
| 1 | -0.7924 | -0.6714 | -0.0507 | -0.3294 | 0.1983 | -0.3643 | -3.0425 | -2.5492 |
| 2 | -1.0019 | -1.3478 | -0.0492 | -0.2464 | 0.379 | -0.4461 | -3.1236 | -3.6107 |
| 3 | -0.903 | -1.6962 | -0.0581 | -0.1511 | 0.5213 | -0.3865 | -3.0003 | -3.8437 |
| 4 | -0.6685 | -1.7769 | -0.0592 | -0.0751 | 0.6168 | -0.2722 | -2.7672 | -3.6432 |
| 5 | -0.3988 | -1.6884 | -0.0525 | -0.0269 | 0.6673 | -0.1515 | -2.4896 | -3.2432 |
| 6 | -0.1465 | -1.5148 | -0.042 | -0.0039 | 0.681 | -0.047 | -2.2086 | -2.7791 |
| 7 | 0.0651 | -1.3142 | -0.0314 | 0.0005 | 0.6678 | 0.0333 | -1.9478 | -2.3251 |
| 8 | 0.2295 | -1.1214 | -0.0226 | -0.0067 | 0.6375 | 0.0895 | -1.7181 | -1.9184 |
| 9 | 0.349 | -0.9536 | -0.0165 | -0.0197 | 0.598 | 0.1252 | -1.5226 | -1.5735 |
| 10 | 0.4296 | -0.8166 | -0.0131 | -0.0344 | 0.5553 | 0.1453 | -1.3598 | -1.2925 |
| 11 | 0.4786 | -0.7098 | -0.0119 | -0.0482 | 0.5133 | 0.1543 | -1.2257 | -1.0701 |
| 12 | 0.5029 | -0.629 | -0.0123 | -0.0598 | 0.4742 | 0.1559 | -1.1155 | -0.8984 |
| 13 | 0.5085 | -0.5692 | -0.0137 | -0.0686 | 0.4392 | 0.1531 | -1.0243 | -0.7683 |
| 14 | 0.5004 | -0.5252 | -0.0156 | -0.0747 | 0.4084 | 0.1479 | -0.9476 | -0.671 |
| 15 | 0.4825 | -0.4924 | -0.0177 | -0.0785 | 0.3816 | 0.1415 | -0.8817 | -0.5988 |
| 16 | 0.4579 | -0.4672 | -0.0196 | -0.0802 | 0.3582 | 0.1348 | -0.8235 | -0.5451 |
| 17 | 0.4291 | -0.4469 | -0.0213 | -0.0805 | 0.3376 | 0.1283 | -0.7708 | -0.5045 |
| 18 | 0.3977 | -0.4294 | -0.0227 | -0.0796 | 0.3192 | 0.1222 | -0.7218 | -0.4729 |
| 19 | 0.365 | -0.4134 | -0.0238 | -0.078 | 0.3024 | 0.1166 | -0.6753 | -0.447 |
| 20 | 0.3322 | -0.398 | -0.0245 | -0.0758 | 0.2867 | 0.1114 | -0.6304 | -0.4244 |
| 21 | 0.2999 | -0.3827 | -0.025 | -0.0732 | 0.2718 | 0.1066 | -0.5867 | -0.4035 |
| 22 | 0.2686 | -0.3672 | -0.0252 | -0.0705 | 0.2575 | 0.1021 | -0.5438 | -0.3832 |
| 23 | 0.2388 | -0.3514 | -0.0253 | -0.0676 | 0.2434 | 0.098 | -0.5016 | -0.3626 |
| 24 | 0.2106 | -0.3353 | -0.0252 | -0.0646 | 0.2296 | 0.0941 | -0.4602 | -0.3414 |
| 25 | 0.1843 | -0.3191 | -0.0249 | -0.0617 | 0.2159 | 0.0903 | -0.4195 | -0.3192 |
| 26 | 0.16 | -0.3027 | -0.0246 | -0.0587 | 0.2024 | 0.0867 | -0.3796 | -0.2962 |
| 27 | 0.1377 | -0.2864 | -0.0241 | -0.0557 | 0.189 | 0.0832 | -0.3408 | -0.2722 |
| 28 | 0.1173 | -0.2701 | -0.0236 | -0.0527 | 0.1758 | 0.0799 | -0.303 | -0.2476 |
| 29 | 0.0989 | -0.2541 | -0.0231 | -0.0498 | 0.1627 | 0.0765 | -0.2665 | -0.2224 |
| 30 | 0.0824 | -0.2385 | -0.0225 | -0.0469 | 0.1499 | 0.0733 | -0.2312 | -0.1968 |
| 31 | 0.0676 | -0.2232 | -0.0219 | -0.044 | 0.1373 | 0.0702 | -0.1974 | -0.171 |
| 32 | 0.0545 | -0.2084 | -0.0212 | -0.0411 | 0.1251 | 0.0671 | -0.1651 | -0.1453 |
| 33 | 0.0429 | -0.1942 | -0.0205 | -0.0383 | 0.1132 | 0.0641 | -0.1343 | -0.1198 |
| 34 | 0.0328 | -0.1806 | -0.0198 | -0.0355 | 0.1018 | 0.0612 | -0.1051 | -0.0947 |
| 35 | 0.0241 | -0.1675 | -0.0191 | -0.0328 | 0.0907 | 0.0583 | -0.0775 | -0.0701 |
| 36 | 0.0165 | -0.1551 | -0.0184 | -0.0301 | 0.0801 | 0.0556 | -0.0514 | -0.0462 |
| 37 | 0.0101 | -0.1433 | -0.0177 | -0.0275 | 0.07 | 0.0529 | -0.027 | -0.023 |
| 38 | 0.0047 | -0.1322 | -0.0169 | -0.0249 | 0.0603 | 0.0504 | -0.0041 | -0.0007 |
| 39 | 0.0002 | -0.1218 | -0.0162 | -0.0225 | 0.0511 | 0.0479 | 0.0173 | 0.0207 |
| 40 | -0.0035 | -0.1119 | -0.0154 | -0.0201 | 0.0425 | 0.0456 | 0.0372 | 0.0411 |
Figure 14. Sensitivity to Degree of Inflation Indexation

Data for Figure 14 (Solid Line)
| Period | No indexation - Home real interest rate | No indexation - Home inflation | No indexation - Home Absorption | No indexation - Home GDP | Partial Indexation - Home real interest rate | Partial Indexation - Home inflation | Partial Indexation - Home Absorption | Partial Indexation - Home GDP |
|---|---|---|---|---|---|---|---|---|
| 1 | 0.5219 | -0.6346 | 0.0274 | -0.5185 | 0.6644 | -0.5327 | 0.0154 | -0.5563 |
| 2 | 0.3809 | -0.5219 | 0.1187 | -0.7081 | 0.5735 | -0.6644 | 0.1085 | -0.7609 |
| 3 | 0.2517 | -0.3809 | 0.2374 | -0.7226 | 0.3988 | -0.5735 | 0.238 | -0.7737 |
| 4 | 0.1498 | -0.2517 | 0.3599 | -0.6494 | 0.2239 | -0.3988 | 0.3738 | -0.6896 |
| 5 | 0.078 | -0.1498 | 0.4723 | -0.5382 | 0.0876 | -0.2239 | 0.4973 | -0.5655 |
| 6 | 0.0332 | -0.078 | 0.5676 | -0.4168 | 0.0004 | -0.0876 | 0.5987 | -0.4341 |
| 7 | 0.0104 | -0.0332 | 0.6429 | -0.3004 | -0.0429 | -0.0004 | 0.675 | -0.3123 |
| 8 | 0.0039 | -0.0104 | 0.6985 | -0.1963 | -0.0532 | 0.0429 | 0.7273 | -0.2073 |
| 9 | 0.0088 | -0.0039 | 0.7357 | -0.1073 | -0.0422 | 0.0532 | 0.7588 | -0.1208 |
| 10 | 0.0209 | -0.0088 | 0.7568 | -0.0342 | -0.0195 | 0.0422 | 0.7735 | -0.0516 |
| 11 | -0.1085 | -0.0209 | 0.7638 | 0.0233 | -0.1051 | 0.0195 | 0.775 | 0.0023 |
| 12 | -0.0664 | -0.0368 | 0.7559 | 0.0626 | -0.0533 | -0.0076 | 0.7641 | 0.0404 |
| 13 | -0.0383 | -0.0528 | 0.7388 | 0.0903 | -0.0221 | -0.0337 | 0.7461 | 0.069 |
| 14 | -0.0214 | -0.067 | 0.7159 | 0.1104 | -0.0063 | -0.0559 | 0.7243 | 0.0915 |
| 15 | -0.0127 | -0.0789 | 0.6897 | 0.125 | -0.0008 | -0.0734 | 0.7004 | 0.1096 |
| 16 | -0.0097 | -0.0884 | 0.6618 | 0.1358 | -0.0015 | -0.0865 | 0.6753 | 0.1241 |
| 17 | -0.0103 | -0.0958 | 0.6331 | 0.1436 | -0.0054 | -0.096 | 0.6495 | 0.1357 |
| 18 | -0.0133 | -0.1011 | 0.6042 | 0.149 | -0.0108 | -0.1026 | 0.6232 | 0.1448 |
| 19 | -0.0175 | -0.1049 | 0.5753 | 0.1526 | -0.0166 | -0.1071 | 0.5967 | 0.1515 |
| 20 | -0.0224 | -0.1072 | 0.5468 | 0.1545 | -0.0224 | -0.1099 | 0.57 | 0.1562 |
| 21 | -0.0274 | -0.1083 | 0.5186 | 0.1552 | -0.0278 | -0.1115 | 0.5432 | 0.1591 |
| 22 | -0.0323 | -0.1084 | 0.4908 | 0.1547 | -0.0328 | -0.1121 | 0.5164 | 0.1606 |
| 23 | -0.037 | -0.1078 | 0.4636 | 0.1534 | -0.0375 | -0.1119 | 0.4897 | 0.1607 |
| 24 | -0.0413 | -0.1064 | 0.4369 | 0.1512 | -0.0417 | -0.111 | 0.4632 | 0.1598 |
| 25 | -0.0453 | -0.1045 | 0.4108 | 0.1485 | -0.0456 | -0.1095 | 0.4369 | 0.1579 |
| 26 | -0.0489 | -0.1021 | 0.3853 | 0.1452 | -0.0492 | -0.1074 | 0.411 | 0.1553 |
| 27 | -0.0521 | -0.0993 | 0.3604 | 0.1414 | -0.0524 | -0.105 | 0.3856 | 0.152 |
| 28 | -0.0549 | -0.0962 | 0.3361 | 0.1374 | -0.0553 | -0.1021 | 0.3606 | 0.1483 |
| 29 | -0.0574 | -0.0928 | 0.3126 | 0.1331 | -0.0579 | -0.0989 | 0.3363 | 0.1442 |
| 30 | -0.0596 | -0.0893 | 0.2897 | 0.1286 | -0.0602 | -0.0955 | 0.3125 | 0.1398 |
| 31 | -0.0614 | -0.0855 | 0.2676 | 0.124 | -0.0622 | -0.0918 | 0.2894 | 0.1351 |
| 32 | -0.0629 | -0.0816 | 0.2463 | 0.1193 | -0.0639 | -0.0879 | 0.2669 | 0.1304 |
| 33 | -0.0641 | -0.0777 | 0.2257 | 0.1147 | -0.0653 | -0.0839 | 0.2453 | 0.1255 |
| 34 | -0.065 | -0.0736 | 0.2059 | 0.11 | -0.0664 | -0.0798 | 0.2243 | 0.1206 |
| 35 | -0.0657 | -0.0696 | 0.1869 | 0.1054 | -0.0673 | -0.0757 | 0.2042 | 0.1157 |
| 36 | -0.0661 | -0.0656 | 0.1688 | 0.1009 | -0.0679 | -0.0715 | 0.1848 | 0.1109 |
| 37 | -0.0663 | -0.0615 | 0.1514 | 0.0965 | -0.0683 | -0.0673 | 0.1663 | 0.1061 |
| 38 | -0.0663 | -0.0576 | 0.1348 | 0.0922 | -0.0685 | -0.0631 | 0.1486 | 0.1014 |
| 39 | -0.0661 | -0.0536 | 0.1191 | 0.0881 | -0.0684 | -0.059 | 0.1317 | 0.0969 |
| 40 | -0.0657 | -0.0498 | 0.1041 | 0.0841 | -0.0549 | 0.1156 | 0.0925 |
Data for Figure 14 (Dashed Line)
| Period | No indexation - Home real interest rate | No indexation - Home inflation | No indexation - Home Absorption | No indexation - Home GDP | Partial Indexation - Home real interest rate | Partial Indexation - Home inflation | Partial Indexation - Home Absorption | Partial Indexation - Home GDP |
|---|---|---|---|---|---|---|---|---|
| 1 | 0.087 | -0.3466 | 0.2229 | -0.2855 | 0.1725 | -0.2724 | 0.234 | -0.2919 |
| 2 | -0.0758 | -0.2858 | 0.4315 | -0.3565 | 0.0038 | -0.3388 | 0.4564 | -0.3654 |
| 3 | -0.1612 | -0.2166 | 0.6056 | -0.3262 | -0.1369 | -0.2972 | 0.6436 | -0.3331 |
| 4 | -0.1911 | -0.16 | 0.7383 | -0.2546 | -0.2142 | -0.2207 | 0.7851 | -0.2572 |
| 5 | -0.185 | -0.1217 | 0.8303 | -0.1725 | -0.2308 | -0.1506 | 0.8808 | -0.1713 |
| 6 | -0.1595 | -0.1 | 0.8868 | -0.0949 | -0.2063 | -0.1028 | 0.9362 | -0.0916 |
| 7 | -0.1265 | -0.0913 | 0.9142 | -0.0279 | -0.162 | -0.0788 | 0.9595 | -0.0244 |
| 8 | -0.0939 | -0.0914 | 0.9192 | 0.0267 | -0.1144 | -0.0736 | 0.9592 | 0.0293 |
| 9 | -0.066 | -0.0967 | 0.9079 | 0.0695 | -0.0732 | -0.0803 | 0.9429 | 0.0707 |
| 10 | -0.0446 | -0.1045 | 0.8852 | 0.102 | -0.0426 | -0.0928 | 0.9162 | 0.1021 |
| 11 | -0.0298 | -0.113 | 0.8552 | 0.126 | -0.0229 | -0.1069 | 0.8836 | 0.1256 |
| 12 | -0.021 | -0.1209 | 0.8207 | 0.1433 | -0.0127 | -0.1198 | 0.8479 | 0.143 |
| 13 | -0.0171 | -0.1276 | 0.7839 | 0.1552 | -0.0095 | -0.1305 | 0.8108 | 0.1558 |
| 14 | -0.0168 | -0.1328 | 0.7461 | 0.163 | -0.011 | -0.1384 | 0.7735 | 0.1648 |
| 15 | -0.0191 | -0.1365 | 0.7084 | 0.1676 | -0.0155 | -0.1438 | 0.7365 | 0.171 |
| 16 | -0.0231 | -0.1386 | 0.6713 | 0.1698 | -0.0214 | -0.1468 | 0.7003 | 0.1747 |
| 17 | -0.028 | -0.1394 | 0.6352 | 0.1701 | -0.0279 | -0.1481 | 0.6649 | 0.1766 |
| 18 | -0.0335 | -0.1391 | 0.6001 | 0.169 | -0.0343 | -0.1479 | 0.6304 | 0.1768 |
| 19 | -0.0389 | -0.1377 | 0.5663 | 0.1668 | -0.0405 | -0.1465 | 0.5968 | 0.1757 |
| 20 | -0.0442 | -0.1355 | 0.5338 | 0.1636 | -0.0461 | -0.1443 | 0.5641 | 0.1735 |
| 21 | -0.0492 | -0.1326 | 0.5024 | 0.1599 | -0.0513 | -0.1414 | 0.5324 | 0.1705 |
| 22 | -0.0537 | -0.1292 | 0.4721 | 0.1556 | -0.0559 | -0.1379 | 0.5015 | 0.1667 |
| 23 | -0.0578 | -0.1254 | 0.443 | 0.151 | -0.06 | -0.134 | 0.4716 | 0.1624 |
| 24 | -0.0614 | -0.1212 | 0.415 | 0.1462 | -0.0637 | -0.1297 | 0.4426 | 0.1577 |
| 25 | -0.0646 | -0.1167 | 0.3879 | 0.1411 | -0.0669 | -0.1251 | 0.4145 | 0.1526 |
| 26 | -0.0673 | -0.1121 | 0.3619 | 0.1359 | -0.0696 | -0.1204 | 0.3873 | 0.1474 |
| 27 | -0.0695 | -0.1073 | 0.3369 | 0.1307 | -0.072 | -0.1154 | 0.3611 | 0.142 |
| 28 | -0.0714 | -0.1024 | 0.3128 | 0.1255 | -0.074 | -0.1104 | 0.3357 | 0.1365 |
| 29 | -0.0729 | -0.0975 | 0.2896 | 0.1204 | -0.0756 | -0.1053 | 0.3113 | 0.131 |
| 30 | -0.0741 | -0.0925 | 0.2674 | 0.1153 | -0.0769 | -0.1001 | 0.2877 | 0.1256 |
| 31 | -0.0749 | -0.0876 | 0.246 | 0.1103 | -0.0779 | -0.0949 | 0.2651 | 0.1203 |
| 32 | -0.0755 | -0.0827 | 0.2256 | 0.1055 | -0.0786 | -0.0898 | 0.2434 | 0.115 |
| 33 | -0.0757 | -0.0778 | 0.206 | 0.1008 | -0.079 | -0.0846 | 0.2225 | 0.1099 |
| 34 | -0.0758 | -0.0731 | 0.1873 | 0.0963 | -0.0791 | -0.0796 | 0.2026 | 0.1049 |
| 35 | -0.0756 | -0.0684 | 0.1694 | 0.0919 | -0.079 | -0.0746 | 0.1835 | 0.1001 |
| 36 | -0.0752 | -0.0638 | 0.1524 | 0.0877 | -0.0788 | -0.0698 | 0.1653 | 0.0955 |
| 37 | -0.0746 | -0.0594 | 0.1362 | 0.0837 | -0.0783 | -0.065 | 0.1479 | 0.0911 |
| 38 | -0.0739 | -0.0551 | 0.1208 | 0.0799 | -0.0776 | -0.0604 | 0.1314 | 0.0869 |
| 39 | -0.073 | -0.0509 | 0.1061 | 0.0763 | -0.0767 | -0.0559 | 0.1158 | 0.0828 |
| 40 | -0.0719 | -0.0469 | 0.0923 | 0.0729 | -0.0757 | -0.0515 | 0.1009 | 0.079 |
** We thank Roberto Billi, Lawrence Christiano, Martin Eichenbaum, Mark Gertler, Christopher Gust, Michel Juillard, Jinil Kim, Lars Svensson, Linda Tesar, Daniel Waggoner, John Williams, and Tao Zha for insightful discussions and comments. We also benefited from comments at presentations at the Atlanta Fed, SAIS Johns Hopkins, the San Francisco Fed, the Bank of Canada, the Bank of Italy, and the NBER Summer Institute (Impulse and Propagation). The views expressed in this paper are solely the responsibility of the authors and should not be interpreted as reflecting the views of the Board of Governors of the Federal Reserve System or of any other person associated with the Federal Reserve System. Return to text
*** Contact information: Martin Bodenstein: phone (202) 452 3796, [email protected]; Christopher Erceg: phone (202) 452 2575, [email protected]; Luca Guerrieri: Telephone (202) 452 2550, E-mail [email protected]. Return to text
1. In support of this perspective, the correlation between U.S. growth and that of its major trading partners is low and has shown little tendency to rise even as trade ties have grown, as documented by [Doyle and Faust 2005]. Return to text
2. Alternatively, a large literature has used dynamic factor analysis to decompose output variation into country-specific and global factors, e.g., [Kose et al. 2003] and [Stock and Watson 2005]. However, the global factors reflect both the effects of shocks that are correlated across countries (such as oil shocks), as well as the spillover effects of country-specific shocks. Return to text
3. See [Christiano et al. 2005] and [Smets and Wouters 2003]. Return to text
4. [Stockman and Tesar 1995] extend the model of [Backus et al. 1992] to include consumption preference shocks. They argue that such shocks can more closely align the model's predictions on the comovement of prices and quantities with the data for the United States. Return to text
5. As highlighted by [Cole and Obstfeld 1991], exchange rate fluctuations provide insurance against country-specific technology shocks. Return to text
6. In an open economy setting, [McCallum 2000], [Orphanides and Wieland 2000], [Svensson 2004], and [Jeanne and Svensson 2007] show how to use an exchange rate depreciation to facilitate the escape from a liquidity trap. Return to text
7. More formally, we follow [Jeanne and
Svensson 2007] in assuming that
,
,
for
, the satiation level of
real money. And
for
, and
for
Return to text
8. The assumption of an intermediation fee ensures that given our solution technique the evolution of net foreign assets is stationary. See [Schmitt-Grohe and Uribe 2003] and [Bodenstein 2009] for a discussion. The intermediation cost is asymmetric, as foreign households do not face these costs. Rather, they collect profits on the monopoly rents associated with these intermediation costs. Return to text
9. [Jung et al. 2005], [Eggertsson and Woodford 2003], [Adam and Billi 2006], and [Adam and Billi 2007] derive the optimal policy under the zero bound constraint in a closed economy. In the face of contractionary shocks, optimal monetary policy calls for keeping interest rates lower for an extended period in a liquidity trap relative to normal times. This feature is captured by interest rate smoothing in our model. Return to text
10. Following [Anderson 1999], instead of using the steady state values as end point, we use a mid-way point from the linear solution computed from standard algorithms. As shown by [Anderson 1999], this alternative procedure leads to a shorter length of the simulation horizon needed to achieve any desired level of accuracy for those values that are at the beginning of the simulation. Return to text
11. [Christiano 2004] suggests an alternative shooting algorithm that also exploits piecewise linearity. [Hebden et al. 2009] implement the max-operator through a sequence of anticipated monetary policy innovations, which can be shown to be equivalent to the method of [Jung et al. 2005] as argued in Appendix A. Return to text
12. In the case of a linear model, the effects of a shock are unrelated to the initial conditions. Return to text
13. We investigate the sensitivity of our results to the initial baseline path in Section 5.1. Return to text
14. In Figure 1, real variables are plotted in deviation from their steady-state values, while nominal variables are in levels to highlight the zero bound constraint. The policy rate, real interest rate and inflation are annualized. Return to text
15. A higher degree of inflation inertia due to lagged indexation as in [Christiano et al. 2005] implies a smaller reaction of inflation on impact. However, the inflation response becomes more persistent. The real interest rate responds less on impact but remains elevated relative to the case shown in Figure 1 as time progresses. Accordingly, the behavior of output and the output gap turn out to be more or less unchanged as do the spillover effects, as shown in Appendix B. Return to text
16. Because the model we solve is linear when the zero lower bound does not bind, the dashed lines in Figures 2 and 3 can also be interpreted as the responses starting from the model's steady state, rather than the severe recession. Return to text
17. As illustrated in Appendix B, similar results obtain if the foreign shock is constructed through time variation in the discount factor. Return to text
18. Appendix B shows that the magnification of the spillover effects of foreign shocks when the home economy is at the zero lower bound is not particular to the consumption shock discussed so far. Return to text
19. We relegate the formal proofs to Appendix A. Return to text
20. It bears emphasizing that the spillover effects are constant at the level shown in the bottom right panel of Figure 6 if the zero lower bound constraint does not bind. Return to text
21. The shock is assumed to follow an AR(1) process with persistence parameter equal to 0.95. Return to text
22. More specifically, the solid line in Figure 10 shows the difference between the dotted and dolid lines of Figure 9. Return to text
23. A high value for the trade elasticity skews the determination of trade flows towards the price channel. In that case, the contraction of home GDP is reduced if the foreign country is also mired in a liquidity trap. Return to text
24. The extension to the case in which the interest rate does not reach zero on impact is straightforward, but is omitted for brevity. Return to text
25. There is a proliferation of the number of linear systems for more complex cases in which the ZLB binds in both countries Return to text
26. Notice that
is
expressed in deviation from its steady state level. Thus, using the
notation of equation 17,
and
. Return to text
27. An alternative way to think about the
dynamics under the zero lower bound is in terms of monetary policy
shocks. Instead of replacing
by
and introducing
, one can simply add a monetary policy shock in the
policy rule of size
and
. Return to text
This version is optimized for use by screen readers. Descriptions for all mathematical expressions are provided in LaTex format. A printable pdf version is available. Return to text