
Board of Governors of the Federal Reserve System
International Finance Discussion Papers
Number 1085, August 2013 --- Screen Reader
Version*
NOTE: International Finance Discussion Papers are preliminary materials circulated to stimulate discussion and critical comment. References in publications to International Finance Discussion Papers (other than an acknowledgment that the writer has had access to unpublished material) should be cleared with the author or authors. Recent IFDPs are available on the Web at http://www.federalreserve.gov/pubs/ifdp/. This paper can be downloaded without charge from the Social Science Research Network electronic library at http://www.ssrn.com/.
Abstract:
This paper uses a panel structural vector autoregressive (VAR) model to investigate the extent to which global nancial conditions, i.e., a global risk-free interest rate and global nancial risk, and country spreads contribute to macroeconomic uctuations in emerging countries. The main ndings are: (1) Global nancial risk shocks explain about 20 percent of movements both in the country spread and in the aggregate activity in emerging economies. (2) The contribution of global risk-free interest rate shocks to macroeconomic uctuations in emerging economies is negligible. Its role, which was emphasized in the literature, is taken up by global nancial risk shocks. (3) Country spread shocks explain about 15 percent of the business cycles in emerging economies. (4) Interdependence between economic activity and the country spread is a key mechanism through which global nancial shocks are transmitted to emerging economies.
Keywords: Global financial risk, country risk premium, international business cycles
JEL classification: F41; G15
The cost of borrowing that emerging economies face in the international financial markets is highly correlated with global financial risk. Moreover, this borrowing cost appears to be more related to global financial risk than it is to a global risk-free real interest rate. These observations are illustrated in Figure 1, which shows the evolution of the first principal component of country borrowing spreads of several emerging economies in the international financial markets, along with U.S. based proxies for global financial risk and a global risk-free interest rate.1 Periods of higher global financial risk are typically associated with higher borrowing spreads for emerging economies and times of low risk are often associated with lower borrowing spreads. However, the relation between the global risk-free real interest rate and the country spread is not very strong, as depicted in the lower right panel of the figure.
Another important feature of emerging economies is that there is a negative comovement between the country borrowing spread and real economic activity, as depicted in Figure 2. The figure shows detrended output and the country spread for several emerging economies between 1994 and 2011. Periods of low borrowing spreads in the international financial markets are typically associated with economic expansions. Conversely, phases of high interest rates are often characterized by depressed levels of aggregate economic activity.2
These two observations suggest that global financial risk shocks might play an important role in driving country spreads and economic activity in emerging economies. The existing literature has identified the U.S. risk-free real interest rate as the main global financial factor affecting country spreads and aggregate fluctuations in emerging markets. The underlying assumption of such studies is that international lenders are risk neutral, and changes in the U.S. real interest rate will affect the country interest rate in international markets through the usual arbitrage relation plus the higher risk premium required for the probability of default. However, international lenders are indeed risk averse and the actual interest rate that sovereigns face in international markets includes not only a default risk premium, but also an additional premium that compensates international lenders for changes in their appetite for taking default risk. Nonetheless, the empirical business cycle literature is silent about the extent to which global financial risk shocks drive business cycle fluctuations in emerging countries.
Understanding the impact of global financial shocks on business cycle fluctuations in emerging economies is complicated by the fact that global financial shocks affect aggregate fluctuations not only directly but also through the interdependence between country spreads and the domestic economy. This linkage occurs because emerging country spreads react both to global financial shocks and to domestic macroeconomic variables. In other words, country spreads serve as a transmission mechanism of global financial conditions. The impact of global financial shocks on aggregate fluctuations in emerging economies might be amplified or dampened as country spreads also respond to domestic fundamentals. This complicated relationship between global financial conditions, country spreads and the domestic activity makes quantifying the impact of global financial conditions on emerging economy business cycle fluctuations more difficult.
In this paper, I attempt to disentangle the intricate relationships between country spreads, global financial risk, the global risk-free real interest rate and business cycles in emerging economies. I do so by estimating a panel structural vector autoregressive (VAR) model with quarterly data from several emerging economies. The estimated model in this paper closely follows the empirical specification in Uribe and Yue (2006), which I augment to incorporate a global financial risk shock. In particular, the model includes a global risk-free real interest rate, a proxy for global financial risk, a country spread, and a number of domestic macroeconomic variables.
The estimated model is used to extract information about three aspects of the data. First, I identify three structural shocks: a global risk-free interest rate shock, a global financial risk shock and a country spread shock. A global risk-free interest rate shock is defined as an identified innovation in U.S. real interest rates. A global financial risk shock is defined as an identified innovation on a measure of investment risk such as U.S. corporate bond spreads.3 The essence of the identification scheme is to assume that (i) global financial variables (i.e., U.S. financial risk and the U.S. real interest rate) are exogenous to emerging countries; (ii) the U.S. real interest rate affects U.S. financial risk contemporaneously, while U.S. financial risk affects the U.S. real rates with a lag and (iii) innovations in international financial markets take one quarter to affect real domestic variables, whereas real shocks in domestic product markets are picked up by financial markets contemporaneously.4 Second, I uncover the business cycles impact of the identified shocks by computing impulse response functions. Finally, I measure the importance of the three identified shocks in explaining movements in domestic macroeconomic variables by performing variance decompositions based on the estimated structural VAR model.
The main findings of the paper are: (1) Global financial risk shocks explain about 20 percent of movements in aggregate activity in emerging economies at business cycle frequency. (2) The contribution of the U.S. real interest rate shock to emerging market business cycle fluctuations is negligible. Its role in driving business cycle fluctuations in emerging economies, which was emphasized in the previous literature (see for example Uribe and Yue (2006))), is replaced by the global financial risk shock in my model which allows for such shocks. (3) Country spread shocks explain about 15 percent of business cycle movements in emerging economies. (4) About 20 percent of movements in country spreads are explained by global financial risk shocks, 15 percent of fluctuations by real domestic variables, and 5 percent of the movements by the U.S. real interest rate. (5) Global financial risk shocks affect domestic macroeconomic variables mostly through their effects on country spreads. When the country spread is assumed not to respond directly to variations in global financial risk, the variance of output, investment, and the trade balance-to-output ratio explained by global financial risk shocks is about two-thirds smaller. (6) Based on the empirical model extended to incorporate a measure of domestic banking sector risk, I find that the country spread shock has a significant impact on the banking sector borrowing-lending spread in emerging economies. Higher sovereign risk leads to higher banking sector borrowing-lending spreads and lower economic activity. However, the impact of global financial risk shocks on the banking sector borrowing-lending spreads is weak, supporting my findings that most of the impact of the global financial risk is transmitted to emerging economies through its impact on country spreads.
This paper is related to a growing body of empirical and theoretical research in emerging economy real business cycle fluctuations. A number of papers (see for example Calvo et al. (1993) and Calvo (2002)) have observed that emerging market risk premia are correlated with international factors, in particular worldwide measures of investors' appetite for risk, for instance, the spread between the yield on U.S. corporate bonds and that on U.S. Treasuries. The work by Garcia-Herrero et al. (2006) contributed to the literature by analyzing how investors' attitudes toward risk affects Latin American sovereign spreads, by treating the default risk in emerging economies as purely an exogenous process. The closest paper to the present study in the literature is an influential paper by Uribe and Yue (2006). They investigated the relationship between the country interest premium, the U.S. interest rate and business conditions in emerging markets in a structural panel VAR framework. They pointed out the importance of the U.S. interest rate shock, the only global financial shock in the model, in driving macroeconomic fluctuations in emerging markets. Agenor et al. (2008) studied the effect of external shocks on the banking sector borrowing-lending spreads and output fluctuations in Argentina during the early 1990s. They did not incorporate any global variables into the estimation and modeled an external shock as an identified innovation in the country spread.
The empirical literature on the impact of external shocks to emerging economies is not restricted to real business cycle models. Empirical monetary models studied the effectiveness of the inflation targeting regime in coping with external shocks, such as oil price and exchange rates shocks, in emerging economies (see, among others, Mishkin and Schmidt-Hebbel (2007). Studies on the impact of terms of trade shocks mainly focused on the implications for the choice of exchange rates (see, among others, Broda (2004) and Edwards and Levy Yeyati (2005)). Other empirical monetary models analyzed the impact of U.S. monetary policy shocks on macroeconomic fluctuations in emerging markets. Canova (2005) showed that U.S. monetary shocks produce significant fluctuations in Latin American output. Mackowiah (2007) argued that U.S. monetary policy shocks affect interest rates and the exchange rate in a typical emerging market rather quickly and strongly.
My empirical model in this paper is consistent with theoretical models developed in the emerging market business cycle literature.5 In particular, the work by Lizarazo (2013), which develops a quantitative model of debt and default for small open economies that interact with risk averse international investors, provides a theoretical justification for including global financial risk into an empirical model. In the presence of risk averse international investors, this paper decomposes the risk premium in the asset prices of the sovereign countries into a base premium that compensates the investors for the probability of default and an excess premium that compensates them for taking the risk of default. The amplification of business cycle fluctuations through a feedback loop between country spreads and domestic fundamentals in emerging economies is theoretically modeled in Mendoza and Yue (2012) and Akinci (2012). These papers show that introducing microfounded default risk into a small open economy model helps the model to account for salient characteristics of emerging market economies, such as countercyclical country borrowing spreads and higher aggregate consumption volatility relative to real gross domestic product volatility. The theoretical models of an emerging economy with explicit intermediation sector (see, among others, Edwards and Vegh (1997) and Oviedo (2005)) predict that sovereign risk systematically affects private-sector borrowing conditions in emerging economies.
Because of the recent financial crises, there has been a renewed interest in understanding the role of global factors in explaining the variation in the country spreads. According to Blanchard et al. (2010), an increase in global financial risk was an important channel through which the crisis was propagated to emerging economies. The empirical evidence in Longstaff et al. (2011) suggests that global factors explain a large fraction of the variation in the international interest rate. The recent paper by Gilchrist et al. (2013) also shows the importance of global financial risk factors in accounting for the movements in sovereign bond spreads. These studies concentrate mainly on the role of global factors in driving country spreads; nothing is said about the implications of higher global financial risk on business cycle fluctuations in emerging economies, which is the focus of the present paper.
The remainder of the paper is organized in five sections. Section 2 presents the model and discusses the identification of a global risk-free interest rate shock, a global financial risk shock and a country spread shock. Section 3 analyzes the business cycles implied by these three sources of uncertainty with the help of impulse responses and variance decompositions. Section 4 discusses the role of domestic banking sector risk in the transmission of global financial shocks and country spread shocks to aggregate fluctuations in emerging economies. Section 5 discusses the robustness of the results. The last section concludes the paper.
The goal of this section is to lay out the empirical model and to identify shocks to the global risk-free real interest rate, global financial risk and country spreads. The empirical model closely follows the model specification in Uribe and Yue (2006):
|
(1) |
where
is a fixed effect,
denotes countries,
indicates time period and
|
|||
|
denotes real gross domestic product,
denotes real gross domestic investment,
denotes the trade balance-to-output
ratio,
denotes the gross real U.S. interest
rate,
is an indicator for global financial risk,
which is proxied by the U.S. BAA corporate spread in the baseline
scenario, and
denotes the country specific interest
rate.6 A hat on
and
denotes log deviations from a log-linear
trend. A hat on
,
and
denotes the log. The trade balance-to
output ratio,
, is expressed in percentage points. I
measure
as the 3-month gross U.S. Treasury
bill rate deflated using a measure of expected U.S. inflation.7
I measure the U.S. BAA corporate spread as the difference between
the U.S. BAA corporate borrowing rate calculated by Moody's and
long term U.S. Treasury bond rate. The country borrowing rate in
the international financial markets,
, is measured
as the sum of J. P. Morgan 's EMBI+ sovereign spread and the U.S.
real interest rate. Output, investment, and the trade balance are
seasonally adjusted. The variables,
and
, are common across countries included in
the sample. More details on the data are provided in the Appendix.
I note that some measures from the U.S. financial markets are included in the estimation in order to capture broad changes in the state of the global economy. There are several reasons for choosing financial variables related to the U.S. economy as the global macroeconomic forces external to small open economies in the sample: (i) the U.S. is not one of the sovereigns included in my sample; (ii) there is extensive evidence that shocks to the U.S. financial markets are transmitted globally; (iii) as the largest economy in the world, the U.S. has a direct effect on the economies and financial markets of many other sovereigns, but emerging economies are too small to have an impact on the financial system in the U.S..
I obtain structural identification of the empirical model by
imposing the restriction that the matrix A be lower triangular with
unit diagonal elements. There are two additional restrictions in
the identifications of structural shocks. First, I assume that
global financial variables,
and
, are exogenous to emerging countries
(i.e., they follow a two-variable VAR process). In particular, I
impose the restriction
for all
and
. Second, I assume that innovations
in the real U.S. Treasury bill rate (i.e., a global risk-free real
interest rate) have a contemporaneous impact on U.S. corporate
spreads (i.e., global financial risk) but that innovations in U.S.
corporate spreads have no contemporaneous impact on the real U.S.
Treasury bill rate. It is reasonable to assume that changes in the
real short-term interest rate contemporaneously affect the risk
premium on longer term borrowing instruments in the U.S., such as
U.S. investment grade corporate bonds. As I discuss in the
robustness section 5.4.1, the order of
the variables within the exogenous block does not affect the main
results of the paper.8
I note that the standard recursive identification restriction imposed on matrix A assumes that innovations in global financial conditions and innovations in country spreads affect domestic real variables with a one-period lag, while real domestic shocks contemporaneously affect financial markets. This identification strategy is a natural one in order to capture primarily the exogenous component of the country spread shock.9 It is also reasonable to assume that financial markets are able to react quickly to news about the state of the business cycle in emerging economies.
I further note that the country interest rate shock can
equivalently be interpreted as a country spread shock in the VAR
system (1). Country
borrowing rate,
, is measured as the sum of J. P.
Morgan 's EMBI+ sovereign spread and the U.S. real interest rate.
Because
appears as a regressor in the bottom
equation of the VAR system (1), the estimated
residual,
, would be identical to a country
spread shock. Therefore, throughout the paper I refer to
as a country spread shock.
I estimate the structural VAR (1) by pooling
quarterly data from Argentina, Brazil, Mexico, Peru, South Africa
and Turkey using the least square estimator with country specific
dummies. The sample begins in the first quarter of 1994 and ends in
the third quarter of 2011. The so-called least square dummy
variable estimator (LSDV) or fixed effect estimator is one of the
widely applied techniques to estimate panel VARs from macroeconomic
data with a large time series dimension. The purpose of introducing
country specific dummies, which corresponds to the fixed effect,
, in the VAR model (1), is to estimate
the country specific intercept term for each country in the sample.
This estimation procedure, however, imposes that the matrices A and
B are the same across the six countries from which I pool
information. The simplifying assumption seems appropriate in light
of the fact that estimations using individual country data yield
similar results for the dynamic effects of global financial shocks
and country spread shocks on the macroeconomic aggregates.10 The
exogenous block (the global risk-free interest rate and global
financial risk equations) is estimated by an ordinary least square
(OLS) method for the longer time span from 1987Q3 to 2011Q4. Two
lags are included in the VAR.11
A potential concern with the panel VAR is the inconsistency of the LSDV estimates due to the combination of fixed effects and lagged dependent variables (e.g., Nickell (1981)). However, because the time series dimension of my data is large, the inconsistency problem is likely not to be a major concern.12 Finally, I note that country spread shocks are assumed to be independent in the cross section of the emerging markets, a common assumption in this type of panel VAR models.
In this section I discuss how and by how much global financial risk shocks, global risk-free real interest rate shocks and country spread shocks affect real domestic variables such as output, investment and the trade balance in emerging economies. I also investigate how and by how much country spreads move in response to innovations in emerging country fundamentals, in the global financial risk and in the global risk-free real interest rate.
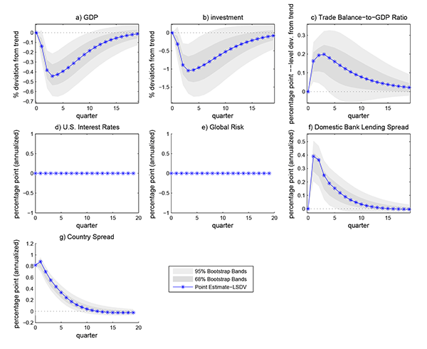
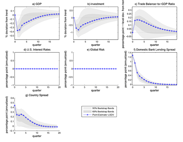
The impulse responses following one standard deviation increase in a measure of global financial risk are shown in Figure 3. The global financial risk shock has a large effect on emerging economies; when global financial risk rises, output and investment fall and the trade balance improves. Country spreads in emerging economies also respond strongly to innovations in global financial risk. In response to an unanticipated one standard deviation shock to U.S. BAA corporate spreads (0.3 percentage point on an annual basis), the country spread increases by 0.4 percentage point on an annual basis on impact and stays high for two quarters after the shock. The U.S. real interest rate increases by 0.6 percentage point on an annual basis in the two periods following the shock.
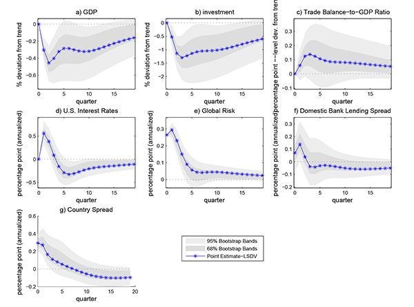
Figure 4 displays the response of the variables included in the VAR system (1) to one standard deviation increase in the U.S. real interest rate. The U.S. real interest rate is used in the existing literature to identify the impact of global shocks on country spreads and domestic variables. Under the maintained assumption that global financial risk contemporaneously responds to the U.S. real interest rate shock, global financial risk decreases on impact and continues to decline two periods after the shock. This result is not in line with what one would expect. Theoretical models would predict that an increase in the short term real interest rate leads to an increase in the longer term U.S. credit spreads. This counterintuitive result is mainly driven by the financial crises period. Once the sample period is restricted to the pre-crises period (sample ends in 2007Q4), global financial risk increases in response to the U.S. real interest rate shock, but with a short delay.13
The response of country spreads to innovations in the U.S. interest rate is qualitatively the same both in the pre-crises sample and in the baseline sample: Country spreads increase in response to U.S. real interest rates shocks, but with a short delay. Output and investment improve after a positive shock to U.S. real interest rates but, as argued before, it is mainly because output and investment respond strongly to changes in global financial risk. If the sample is restricted to the pre-crises period, output and investment decrease following the U.S. real interest rate shock but again with a short delay. Overall, it can be argued that the response of macroeconomic variables to the U.S. real interest rate shock are in line with what one would expect, but quantitatively its impact is not large. Furthermore, all the impulse responses due to an innovation in the U.S. real interest rate shock are measured with a significant error. Both 68 percent and 95 percent error bands are very wide and the responses of variables in the VAR system (1) are not statistically significant. These results, combined with impulse responses to the global financial risk shock, show that the role of the U.S. real interest rate as the main global driving force for emerging economy business cycle fluctuations is replaced by the global financial risk shock.
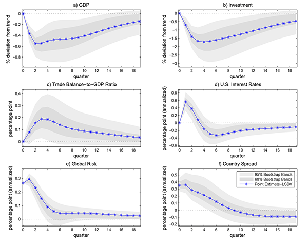
Figure 5 displays the response of the variables included in the VAR system (1) to one standard deviation increase in the country spread shock. In response to an unanticipated country spread shock, the country spread itself increases and then falls toward its steady state level. The half-life of the country spread response is about one and a half years. Output, investment, and the trade balance-to-output ratio respond as one would expect. In the two periods following the country spread shock, output and investment fall, and then recover gradually until they reach their pre-shock level. The trade balance improves in the two periods following the shock. The trough in the output response following the country spread shock is about the same in magnitude as the one following the global financial risk shock.
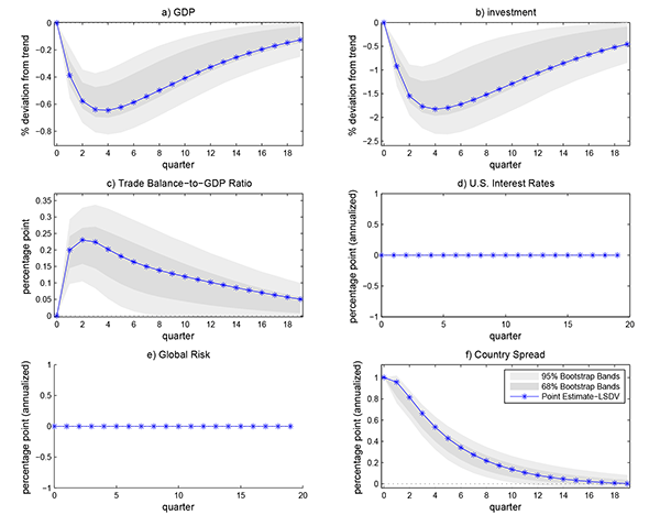
Figure 6 displays the variance decomposition of the variables contained in the VAR system (1) at different horizons. For the purpose of the present discussion, I associate business cycle fluctuations with the variance of the forecasting error at a horizon of about five years (20 quarters).
According to my estimate of the VAR system given in equation (1), innovations in the global financial risk explain 18 percent of movements in aggregate activity and the U.S. real interest rate accounts for about 6 percent of aggregate fluctuations in emerging countries at business cycle frequency.14
Country spread shocks account for about 18 percent of aggregate fluctuations in these countries. Therefore, around 40 percent of business cycles in emerging economies is explained by global financial shocks and country spreads shocks. These disturbances play a smaller role in explaining movements in the trade balance. In effect, global financial risk shocks and country spread shocks are responsible for about 15 percent of movements in the trade balance-to-output ratio in the countries included in our panel. The majority of variance of the international transaction is explained by the shock to trade balance-to-output ratio itself and shocks to the real investment. This result suggests that investment specific shocks could be an important source of the fluctuations in the trade balance-to-output ratio in emerging economies. Variations in country spreads are largely explained by innovations in country spreads themselves, the global financial risk, and country specific variables. The contribution of domestic macroeconomic variables to fluctuations in sovereign spreads (15 percent) is slightly lower than the contribution of global financial risk (18 percent). These two sources of uncertainty jointly account for about 35 percent of the fluctuations in sovereign spreads.15
The second largest shock contributing to the fluctuations in
country spreads (after the country spread shock itself) is the
global financial risk shock. The natural question to ask in this
context is to what extent the responsiveness of country spreads to
global financial shocks contributes to aggregate fluctuations in
emerging countries. This question is addressed by means of a
counterfactual exercise. Without re-estimating the model, I modify
the VAR system given in equation (1) such that the
country spread does not directly depend on the global financial
conditions (both global risk-free real interest rates and global
financial risk). Specifically, the country interest rate equation,
, in the VAR system (1) is modified by
setting to zero coefficients on
and
for
. I then compute the impulse response
functions and perform variance decomposition based on the modified
VAR system.
The variance decomposition of the country specific variables contained in the VAR system (1) under this counterfactual exercise is shown in Figure 7. When I shut off the response of the country spread to global financial conditions, the variance of domestic macroeconomic variables explained by global financial shocks is about two-thirds smaller than in the baseline scenario. This result is robust to different measures of the global financial risk used in the estimation of the VAR system (1). Therefore, I conclude that global financial shocks affect domestic variables mostly through their effects on country spreads.16
This section investigates the impact of global financial conditions and sovereign risk on banking sector borrowing-lending spreads and macroeconomic fluctuations in emerging economies. The banking sector borrowing-lending spread is defined as the difference between the domestic lending rate by banks to the corporate sector and the deposit rate. It is used as a proxy for banking sector risk in the present analysis. Sovereign distress has often gone hand in hand with banking risk in emerging market economies. The linkage between the sovereign risk and banking sector risk might lead to amplification of emerging economy business cycle fluctuations driven by global financial shocks.
I extend the model given in equation (1) to incorporate a measure of banking sector risk.
|
(2) |
where
is a fixed effect,
denotes countries,
indicates time period
and
|
|||
|
denotes the banking sector
borrowing-lending spread. All other variables are same as defined
in equation (1).
Movements in the banking sector borrowing-lending spread depend on changes in the risk premium that banks charge to their borrowers; this premium, in turn, reflects changes in the (perceived) risk of default. To the extent that default risk tends to vary with the state of the business cycle during recessions, default rates tend to increase, and vice versa. The order of the banking sector borrowing-lending spread after domestic macroeconomic aggregates in the VAR model (2) captures the endogenous component of the banking sector borrowing-lending spreads. But the banking sector borrowing-lending spread also moves due to exogenous reasons. This behavior is captured by the exogenous component of the banking sector borrowing-lending spread shock in the extended model.
The contemporaneous comovement between the banking sector borrowing-lending spreads and the sovereign spreads is interpreted as caused by the banking sector risk in emerging economies.17 Changes in the sovereign spreads, on the other hand, affect the banking sector borrowing-lending spreads with a one period lag. The assumption is maintained that it takes one period for the developments in the financial markets to be effective in real economic activity.
The structural VAR is estimated by pooling quarterly data from the same group of countries as in the baseline model: Argentina, Brazil, Mexico, Peru, South Africa and Turkey. However, the sample period for some of the countries is shorter than the baseline model, based on the availability of the banking sector borrowing-lending spread data. The sample also begins in the first quarter of 1994 and ends in the third quarter of 2011. The only difference is that the sample for Brazil starts from 1999Q3 instead of 1995Q1, and for Turkey from 2003Q1 instead of 1999Q3. I estimate the banking sector borrowing-lending spread, output, investment, trade balance-to-output ratio and country interest rate equations of the VAR system (2) by the LSDV method. The exogenous block (the global risk-free real interest rate and global financial risk equations) is estimated by the OLS method for the longer time span from 1987Q3 to 2011Q4.
This section focuses on the role of banking sector borrowing-lending spreads in the transmission process of global financial shocks to output. Figure 8 displays the response of the variables included in the VAR system (2) to one standard deviation increase in the banking sector borrowing-lending spread shock. In response to an unanticipated one standard deviation shock to banking sector borrowing-lending spread (1.3 percentage points annually), the country spread increases by about 0.5 percentage point on an annual basis and then falls toward its steady state level. The output and investment fall significantly one period after the shock and then recover to their steady state level. The trade balance improves significantly in the year following the shock.
Figure 9 displays the response of the variables included in the VAR system (2) to one standard deviation increase in the country spread shock. In response to an unanticipated country spread shock, the country spread itself increases on impact, stays high one period after the shock and then falls toward its steady state level. The impact of heightened country risk on the banking sector borrowing-lending spreads is statistically significant. An 0.8 percentage point increase in the country risk premium leads to a 0.4 percentage point increase in the banking sector borrowing-lending spread in emerging economies. The half-life of the banking sector borrowing-lending spread is about a year. The country spread shock has a large effect on domestic macroeconomic aggregates. Output and investment fall, and the trade balance improves significantly in the three periods following the shock.
Finally, the impulse responses following one standard deviation increase in a measure of global financial risk is shown in Figure 10. The effect of the global financial risk on banking sector borrowing-lending spreads is negligible. But, as in the baseline model, the global financial risk shock has a large effect on macroeconomic aggregates; when global financial risk rises, output and investment fall and the trade balance improves.
The estimation results for the extended model show that the country spread shock has a strong effect on the banking sector borrowing-lending spread, but the impact of global financial risk shock on the banking sector borrowing-lending spread is weak. This finding supports my earlier findings that most of the impact of the global financial risk is transmitted to emerging economies through its impact on the country spreads.
The results in the previous two sections lend support to the view that global financial risk shocks significantly contribute to the business cycle fluctuations in emerging economies. This conclusion, however, is reached based on (i) a specific proxy used for global financial risk; (ii) a specific period of time including recent financial crises; (iii) a specific group of the emerging market economies; (iv) a particular identification assumption of the VAR system and (v) a particular panel VAR estimation method. In this section, I analyze whether results are robust to alternative specifications and to alternative estimation methods.
I estimate the baseline model with the U.S. BAA corporate spreads as a measure of global financial risk. In this section, I discuss the estimation results of the VAR system (1) for different measures of the global financial risk, such as U.S. high-yield corporate bond spreads and the U.S. stock market volatility index, and compare the results with the baseline estimation results.
As depicted in Figure 11, innovations in the U.S. high yield spreads explain slightly more than 20 percent of the movements in aggregate activity, while the U.S. stock market volatility and the U.S. BAA corporate spreads explain slightly less than 20 percent of the aggregate fluctuations in emerging economies. The robust finding across different measures of the global financial risk is that the U.S. real interest rate accounts for a negligible portion of the variance of domestic variables in emerging countries at business cycle frequency. Country spread shocks account for about 20 percent of the aggregate fluctuations when the U.S. BAA corporate spread and the U.S. stock market volatility are used, while it accounts for 15 percent when the U.S. high yield corporate spread is used. Therefore, around 40 percent of the business cycles in emerging economies is explained by disturbances in global financial conditions and country spreads. These disturbances play a smaller role in explaining movements in the trade balance-to-output ratio.18
One natural question in this context is whether the results presented in this study are driven by the global crises in 2008. There is a tendency for comovement in financial markets indicators to increase during crisis periods. In light of this observation, the baseline VAR system (1) is re-run for the time period between 1994Q1-2007Q3. I find that global financial risk is still important in driving sovereign spreads and macroeconomic fluctuations in emerging economies. The percentage of forecast error variance explained by global financial risk for output and investment decreases only slightly. The role of the U.S. real interest rate on business cycle fluctuations of the countries included in the sample is still small. The contribution of country spreads to the fluctuations in output and investment is unchanged.
To study the robustness of the results to the sample of countries used in the estimation, I augment the sample by adding four more emerging economies: Chile, Colombia, Malaysia, and the Philippines. I also deepen the sample in the temporal dimension by enlarging the Argentine sample to the period 1983Q1 to 2001Q3. I find that global financial shocks and country spread shocks still account for an important fraction of the variance explained in emerging economies. Around 30 percent of the fluctuations in economic activity is explained jointly by global financial conditions and country spreads.19
An alternative identification assumption for global financial shocks is possible. If I assume that the U.S. real interest rate is ordered after the global financial risk indicators; i.e, the U.S. interest rate responds to global financial risk shock contemporaneously but U.S. interest rates affect global financial risk with one period lag, I find that the contribution of the U.S. interest rate to aggregate fluctuations is very small, around 2 percent. The contribution of the global risk shock to aggregate fluctuations in emerging economies, on the other hand, is slightly higher (up from 18 percent to about 20 percent under the baseline scenario). Therefore, the result of the paper is strengthened by this alternative identification assumption, but this recursive identification assumption is harder to justify on theoretical grounds.
An alternative identification assumption for the banking sector borrowing-lending spread shock is possible. If I assume that the banking sector borrowing-lending spread is ordered after the sovereign spread; i.e, borrowing-lending spreads increase contemporaneously in response to heightened sovereign spreads but domestic banking sector risk affects sovereign risk with a one period lag, the results of the extended model do not change.
The panel VAR model given in equation (1) has additive individual time invariant intercepts (fixed effects) along with parameters common to every country used in the sample. The LSDV method controls for the fixed effects. A potential concern with the LSDV estimation of the panel VAR models is the inconsistency of the least squares parameter estimates due to the combination of fixed effects and lagged dependent variables, but the associated bias decreases in T; see, Nickell (1981). This section investigates whether the results of the paper are robust to alternative panel VAR estimation methods.20
One of the methods used in the literature for this purpose is the bias-corrected fixed effects estimator (LSDVBC) developed by Hahn and Kuersteiner (2002). As depicted in the online appendix to this paper, the impulse responses predicted by the LSDV and the LSDVBC turn out to be fairly similar for the panel VAR system given in equation 1. The LSDVBC responses lie within the confidence bands predicted by the LSDV method. Overall, it can be argued that estimated impulse response functions obtained using the LSDV estimator are reasonably close to the LSDVBC estimator, though they tend to understate the persistence of shock effect. Since the time series dimension of my data is significantly larger than the cross section dimension, the LSDV method produces estimates with a small bias, and when converted into impulse responses and variance decompositions, the results obtained with the LSDVBC method are fairly close to the results predicted by the simple LSDV method.21
After recent financial crises, there has been a renewed interest in understanding the role of global factors in explaining the variation in country spreads and in business cycle fluctuations in emerging economies. This paper has explored the role of global financial shocks in accounting for the path and volatility of macroeconomic aggregates in emerging economies. Impulse response and variance decomposition exercises show that global financial risk shocks explain about 20 percent of movements in economic activity in emerging market economies, while the contribution of U.S. interest rate shocks is negligible. In other words, my analysis shows that the role of U.S. interest rate shocks, which was emphasized in the previous literature, is taken up by global financial risk shocks, when such shocks are allowed. Country spread shocks explain about 15 percent of business cycles in emerging economies. But, importantly, country spreads play a significant role in propagating global shocks. For instance, I find that global financial risk shocks explain about 20 percent of movements in output. This is a large number. But most of the contribution of global financial risk to business cycles in emerging markets is due to the fact that country spreads respond systematically to variations in this variable. Specifically, if country spreads were independent of global financial risk, then the variance of emerging countries’ output explained by global financial risk would fall by about two thirds.
The dataset includes quarterly data for Argentina, Brazil, Mexico, Peru, South Africa and Turkey. The sample periods vary across countries. They are: Argentina 1994Q1-2001Q3, Brazil 1995Q1-2011Q3, Mexico 1994Q1-2011Q3, Peru 1997Q1-2011Q3, South Africa 1994Q4-2011Q3, and Turkey 1999Q3-2011Q3. The default period in Argentina is excluded from the analysis, as the country interest rate in that period was not allocative. In total, the dataset contains 345 observations. My choice of countries and sample period is guided mainly by data availability. The countries I consider belong to the set of countries included in J. P. Morgan’s EMBI+ data set for emerging-country spreads. In the EMBI+ database, time series for country spreads begin in 1994:1 or later.
Quarterly series for GDP, investment and net exports are from the IMF's International Financial Statistics. All of these variables are deflated using the GDP deflator. The country spread is measured using data on spreads from J.P.Morgan’s Emerging Markets Bond Index Plus (EMBI+). The U.S. real interest rate is measured by the interest rate on three-month U.S. Treasury bill minus a measure of U.S. expected inflation. EMBI+ is a composite index of different U.S. dollar-denominated bonds on four markets: Brady bonds, Eurobonds, U.S. dollar local markets and loans. The spreads are computed as an arithmetic, market-capitalization-weighted average of bond spreads over U.S. Treasury bonds of comparable duration. The banking sector borrowing-lending spread in emerging economies is the difference between the domestic lending rate by banks to the corporate sector and the deposit rate, as reported in the International Financial Statistics of the International Monetary Fund. The data for Turkey is from the Central Bank of the Republic of Turkey.
The U.S. stock market volatility index is the monthly (averages of daily values) U.S. implied stock market volatility (VXO index: Chicago Board of Options Exchange VXO index of percentage implied volatility, on a hypothetical at the money S&P500 option 30 days to expiration). The U.S. high yield corporate spread is the spread between the yield of the Merrill Lynch high yield master II index and U.S. 20 year government bond yields. The U.S. BAA corporate spread is calculated as the difference between U.S. BAA corporate rate and U.S. 20 year government bond yields. The U.S. real interest rate is measured as the 3-month gross U.S. Treasury Bill rate deflated using a measure of the expected U.S. inflation (see Schmitt-Grohe and Uribe (2011) for details of the calculation of the expected U.S. Inflation). I use two lags of inflation when calculating the expected U.S. inflation. The results are robust to using higher lags of inflation in calculating real interest rates. Sovereign spreads (EMBI+) are downloaded from Global Financial Data and Bloomberg. The three-month U.S. Treasury bill rate, the U.S. CPI, the U.S. BAA corporate bond rate and the 20 year government bond yield are obtained from the St. Louis Fed. FRED Database. The Merrill Lynch high yield master II index is from Bloomberg.
Agenor, P.-R., Aizenman, J., Homaister, A. W., 2008. External Shocks, Bank Lending Spreads, and Output Fluctuations. Review of International Economics, Vol. 16, No. 1, pp. 1-20, February 2008. 1
Aguiar, M., Gopinath, G., 2007. Emerging market business cycles: The cycle is the trend. Journal of Political Economy 115, 69-102. URL http://ideas.repec.org/a/ucp/jpolec/v115y2007p69-102.html 5
Akinci, O., 2012. Financial frictions and macroeconomic fluctuations in emerging economies. Mimeo, Federal Reserve Board of Governors. 1
Arellano, M., Bond, S., April 1991. Some tests of specification for panel data: Monte carlo evidence and an application to employment equations. Review of Economic Studies 58 (2), 277-97. URL http://ideas.repec.org/a/bla/restud/v58y1991i2p277-97.html 21
Blanchard, O. J., Das, M., Faruqee, H., 2010. The initial impact of the crisis on emerging market countries. Brookings Papers on Economic Activity 41 (1 (Spring), 263-323. URL http://ideas.repec.org/a/bin/bpeajo/v41y2010i2010-01p263-323.html 1
Broda, C., May 2004. Terms of trade and exchange rate regimes in developing countries. Journal of International Economics 63 (1), 31-58. URL http://ideas.repec.org/a/eee/inecon/v63y2004i1p31-58.html 1
Bruno, V., Shin, H. S., April 2013. Capital flows and the risk-taking channel of monetary policy. Working Paper 18942, National Bureau of Economic Research. URL http://www.nber.org/papers/w18942 8
Calvo, G., 2002. Globalization hazard and delayed reform in emerging markets. Journal of LACEA Economia. URL http://ideas.repec.org/a/col/000425/008696.html 1
Calvo, G. A., Leiderman, L., Reinhart, C. M., 1993. Capital in flows and real exchange rate appreciation in latin america: The role of external factors. Staff Papers - International Monetary Fund 40 (1), pp. 108-151. URL http://www.jstor.org/stable/3867379 1
Canova, F., 2005. The transmission of us shocks to latin america. Journal of Applied Econometrics 20 (2), 229-251. URL http://ideas.repec.org/a/jae/japmet/v20y2005i2p229-251.html 1
Chang, R., Fernandez, A., Forthcoming. On the sources of aggregate fluctuations in emerging economies. International Economic Review. 5
Edwards, S., Levy Yeyati, E., November 2005. Flexible exchange rates as shock absorbers. European Economic Review 49 (8), 2079-2105. URL http://ideas.repec.org/a/eee/eecrev/v49y2005i8p2079-2105.html 1
Edwards, S., Vegh, C. A., October 1997. Banks and macroeconomic disturbances under predetermined exchange rates. Journal of Monetary Economics 40 (2), 239-278. URL http://ideas.repec.org/a/eee/moneco/v40y1997i2p239-278.html 1
Garcia-Cicco, J., Pancrazi, R., Uribe, M., 2010. Real business cycles in emerging countries? American Economic Review 100 (5), 2510-31. URL http://www.aeaweb.org/articles.php?doi=10.1257/aer.100.5.2510 5
Garcia-Herrero, A., Ortiz, A., Cowan, K., 2006. The role of global risk aversion in explaining sovereign spreads [with comments]. Economia 7 (1), pp. 125-155. URL http://www.jstor.org/stable/20065508 1
Gilchrist, S., Yue, V. Z., Zakrajsek, E., 2013. Sovereign risk and financial risk. Mimeo, Federal Reserve Board of Governors. 1
Hahn, J., Kuersteiner, G., July 2002. Asymptotically unbiased inference for a dynamic panel model with fixed effects when both n and t are large. Econometrica 70 (4), 1639-1657. URL http://ideas.repec.org/a/ecm/emetrp/v70y2002i4p1639-1657.html 12, 5.5
Judson, R. A., Owen, A. L., October 1999. Estimating dynamic panel data models: a guide for macroeconomists. Economics Letters 65 (1), 9-15. URL http://ideas.repec.org/a/eee/ecolet/v65y1999i1p9-15.html 20
Juessen, F., Linnemann, L., 2010. Estimating panel vars from macroeconomic data: Some monte carlo evidence and an application to oecd public spending shocks. Working Paper SFB 823, TU Dortmund University. 20, 21
Lizarazo, S. V., 2013. Default risk and risk averse international investors. Journal of International Economics 89 (2), 317-330. URL http://ideas.repec.org/a/eee/inecon/v89y2013i2p317-330.html 1
Longstaff, F. A., Pan, J., Pedersen, L. H., Singleton, K. J., April 2011. How sovereign is sovereign credit risk? American Economic Journal: Macroeconomics 3 (2), 75-103. URL http://ideas.repec.org/a/aea/aejmac/v3y2011i2p75-103.html 1
Mackowiak, B., November 2007. External shocks, u.s. monetary policy and macroeconomic fluctuations in emerging markets. Journal of Monetary Economics 54 (8), 2512-2520. URL http://ideas.repec.org/a/eee/moneco/v54y2007i8p2512-2520.html 1
Mendoza, E. G., 1991. Real business cycles in a small open economy. The American Economic Review 81 (4), pp. 797-818. URL http://www.jstor.org/stable/2006643 5
Mendoza, E. G., Yue, V. Z., 2012. A general equilibrium model of sovereign default and business cycles. The Quarterly Journal of Economics 127 (2), 889-946. URL http://ideas.repec.org/a/oup/qjecon/v127y2012i2p889-946.html 1
Mishkin, F. S., Schmidt-Hebbel, K., January 2007. Does inflation targeting make a difference? Working Paper 12876, National Bureau of Economic Research. URL http://www.nber.org/papers/w12876 1
Neumeyer, P. A., Perri, F., March 2005. Business cycles in emerging economies: the role of interest rates. Journal of Monetary Economics 52 (2), 345-380. URL http://ideas.repec.org/a/eee/moneco/v52y2005i2p345-380.html 2, 5
Nickell, S. J., November 1981. Biases in dynamic models with xed eects. Econometrica 49 (6), 1417-26. URL http://ideas.repec.org/a/ecm/emetrp/v49y1981i6p1417-26.html 2.2, 5.5
Oviedo, P. M., May 2005. World interest rate, business cycles, and financial intermediation in small open economies. Staff General Research Papers 12360, Iowa State University, Department of Economics. URL http://ideas.repec.org/p/isu/genres/12360.html 1
Schmitt-Grohe, S., Uribe, M., October 2003. Closing small open economy models. Journal of International Economics 61 (1), 163-185. URL http://ideas.repec.org/a/eee/inecon/v61y2003i1p163-185.html 5
Schmitt-Grohe, S., Uribe, M., March 2011. Pegs and pain. Working Paper 16847, National Bureau of Economic Research. URL http://www.nber.org/papers/w16847 7, 6
Uribe, M., Yue, V. Z., June 2006. Country spreads and emerging countries: Who drives whom? Journal of International Economics 69 (1), 6-36. URL http://ideas.repec.org/a/eee/inecon/v69y2006i1p6-36.html 2, 1, 2, 10
Figure 1: Global Financial Risk, the U.S. Real Interest Rate and the Country Spread
Notes: The common factor of spreads is the rst principal component based on sovereign spreads of Brazil, Chile, Colombia, Malaysia, Mexico, Peru, the Philippines, South Africa and Turkey. It explains 87 percent of the variation in the country spreads during the 1998-2011 sample period in this sample of emerging economies. Argentina is excluded from the group of countries because of sovereign default in 2001. The common factor is measured on the left axis. Restricting the sample to those countries included in the baseline analysis (Brazil, Mexico, Peru, South Africa and Turkey) yields very similar correlation coefficients with U.S. financial market variables. See appendix for the data sources.
Figure 2: Country Spreads and Output in Six Emerging Countries
Notes: Output is seasonally adjusted and detrended using a log-linear trend. EMBI+ is an index of country interest rates which are real yields on dollar-denominated bonds of emerging countries issued in international financial markets. Data source: Output, IFS; EMBI+,Global Financial Data.
Figure 3: Impulse Response to a One Standard Deviation Shock to the Global Financial Risk
Notes: Solid lines with stars show point estimates of impulse responses; and 68% and 95% condence bands are depicted with dark-gray and light-gray shaded areas, respectively. The responses of output and investment are expressed in percent deviation from their respective log-linear trends. The response of the trade balance-to-output ratio, the country spread, the U.S. interest rate and the global financial risk are expressed in (annualized) percentage points. Bootstrap condence bands are based on 10,000 repetitions. The U.S. BAA corporate spread is used as a proxy for the global financial risk.
Figure 4: Impulse Response to a One Standard Deviation Shock to the U.S. Real Interest Rate
Notes: Solid lines with stars show point estimates of impulse responses; and 68% and 95% confidence bands are depicted with dark-gray and light-gray shaded areas, respectively. The responses of output and investment are expressed in percent deviation from their respective log-linear trends. The response of the trade balance-to-output ratio, the country spread, the U.S. interest rate and the global financial risk are expressed in (annualized) percentage points. Bootstrap confidence bands are based on 10,000 repetitions. The U.S. BAA corporate spread is used as a proxy for the global financial risk.
Figure 5: Impulse Response to a One Standard Deviation Shock to the Country Spread
Notes: Solid lines with stars show point estimates of impulse responses; and 68% and 95% condence bands are depicted with dark-gray and light-gray shaded areas, respectively. The responses of output and investment are expressed in percent deviation from their respective log-linear trends. The response of the trade balance-to-output ratio, the country spread, the U.S. interest rate and the global financial risk are expressed in (annualized) percentage points. Bootstrap condence bands are based on 10,000 repetitions. The U.S. BAA corporate spread is used as a proxy for the global financial risk.
Figure 6: Forecast Error Variance Decomposition at Different Horizons
Notes: Solid lines depict the fraction of the variance of the k-quarter ahead forecasting error explained by the U.S. real interest rate shocks (shown in the rst row), by the global financial risk shocks (shown in the second row) and by the country spread shocks (shown in the last row) at different horizons. The U.S. BAA corporate spread is used as a proxy for the global financial risk.
Figure 7: Forecast Error Variance Decomposition at Different Horizons-Counterfactual
Notes: Solid lines depict the fraction of the variance of the k-quarter ahead forecasting error explained by the U.S. real
interest rate shocks (shown in the rst row) and the global financial risk shocks (shown in the second row). Dashed lines
show the fraction of the variance of the k-quarter ahead forecasting error explained by the U.S. real interest rate shocks
(shown in the first row) and by the global financial risk shocks (shown in the second row), when the country spread is
assumed not to respond directly to variations in the U.S. nancial variables. The U.S. B
AA corporate spread is used as a
proxy for the global financial risk.
Figure 8: Impulse Response to a One Standard Deviation Shock to the Banking Sector Borrowing-Lending Spread in the Extended Model
Notes: Solid lines with stars show point estimates of impulse responses; and 68% and 95% confidence bands are depicted with dark-gray and light-gray shaded areas, respectively. The responses of output and investment are expressed in percent deviation from their respective log-linear trends. The response of the trade balance-to-output ratio, the country spread, the U.S. interest rate, the banking sector borrowing-lending spread and the global financial risk are expressed in (annualized) percentage points. Bootstrap condence bands are based on 10,000 repetitions. The U.S. BAA corporate spread is used as a proxy for the global financial risk.
Figure 9: Impulse Response to a One Standard Deviation Shock to the Country Spread in the Extended Model
Notes: Solid lines with stars show point estimates of impulse responses; and 68% and 95% confidence bands are depicted with dark-gray and light-gray shaded areas, respectively. The responses of output and investment are expressed in percent deviation from their respective log-linear trends. The response of the trade balance-to-output ratio, the country spread, the U.S. interest rate, the banking sector borrowing-lending spread and the global financial risk are expressed in (annualized) percentage points. Bootstrap condence bands are based on 10,000 repetitions. The U.S. BAA corporate spread is used as a proxy for the global financial risk.
Figure 10: Impulse Response to a One Standard Deviation Shock to the Global Financial Risk in the Extended Model
Notes: Solid lines with stars show point estimates of impulse responses; and 68% and 95% confidence bands are depicted with dark-gray and light-gray shaded areas, respectively. The responses of output and investment are expressed in percent deviation from their respective log-linear trends. The response of the trade balance-to-output ratio, the country spread, the U.S. interest rate, the banking sector borrowing-lending spread and the global financial risk are expressed in (annualized) percentage points. Bootstrap condence bands are based on 10,000 repetitions. The U.S. BAA corporate spread is used as a proxy for the global financial risk.
Figure 11: Forecast Error Variance Decomposition at Different Horizons for Alternative Measures of the Global Financial Risk
Notes: Solid lines with circles depict the fraction of the variance of the k-quarter ahead forecasting error explained jointly by the U.S. real interest rate, the global financial risk and country spread shocks. Solid lines show the fraction of the variance of the k-quarter ahead forecasting error explained jointly by the U.S. real interest rate and the global financial risk. Broken lines depict the fraction of the variance of the forecasting error explained by the U.S. real interest rate shock. The first row shows the forecast error variance decomposition at different horizons when the U.S. BAA corporate spread is used as a proxy for the global financial risk. The second row shows the forecast error variance decomposition at different horizons when the U.S. stock market volatility index is used as a proxy for the global financial risk. The third row shows the forecast error variance decomposition at different horizons when the U.S. high yield spread is used as a proxy for the global financial risk.
** I am grateful to Martin Uribe and Stephanie Schmitt-Grohe for their support and suggestions. Thanks to Shaghil Ahmed, Bruce Preston, Albert Queralto Olive, Sebastian Rondeau and Jon Steinsson, as well as participants in the Columbia University Economic Fluctuations Colloquium, for helpful comments and suggestions. I also thank the two anonymous referees for their valuable comments. The views in this paper are solely the responsibility of the author and should not be interpreted as reflecting the views of the Board of Governors of the Federal Reserve System or of any other person associated with the Federal Reserve System. Return to text
† Ozge Akinci, Division of International Finance, Federal Reserve Board, 20th and C St. NW, Washington, DC 20551. Email: [email protected]. Return to text
1. Country borrowing spreads are calculated as the difference of returns on dollar-denominated bonds of emerging countries issued in international financial markets and the U.S. Treasury of the same maturity. The term global financial risk is used to refer to worldwide measures of investors' appetite for risk. Return to text
2. The negative comovement between real economic activity and country borrowing rates has been widely documented in the literature (see, among others, Neumeyer and Perri (2005) and Uribe and Yue (2006)). Return to text
3. I use two other proxies for global financial risk: the U.S. high yield corporate spreads and the U.S. stock market volatility index. See section 5.1 for the robustness of the results to the proxies for global financial risk. Return to text
4. Identification assumption on the recursivity between the U.S. financial risk and the U.S. real interest rate is released later. See section 5.4.1 for the robustness of results to this assumption. Return to text
5. Most models in this literature build on the canonical small open economy real business cycle (SOE-RBC) model presented in Mendoza (1991) and Schmitt-Grohe and Uribe (2003). Neumeyer and Perri (2005) augmented the canonical model with financial frictions. Aguiar and Gopinath (2007) argue that introducing shocks to trend output in an otherwise standard SOE-RBC model can account for the key features of fluctuations in emerging countries. Garcia-Cicco et al. (2010) and Chang and Fernandez (Forthcoming) developed and estimated an encompassing model for an emerging economy with both trend shocks and financial frictions. Return to text
6. Two other measures used as a proxy for global financial risk are the U.S. stock market volatility index and the U.S. high yield corporate spread. Return to text
7. I use the method proposed in Schmitt-Grohe and Uribe (2011) to calculate the U.S. real interest rates,
. Specifically, I construct the
time series for the quarterly gross real U.S. interest rate as
, where
denotes the 3-month U.S. Treasury bill
rate and
is the U.S. CPI inflation.
is measured by the
fitted component of a regression of
onto a constant and two
lags. The results are robust to using higher lags of inflation in
calculating real interest rates. Return
to text
8. Proxies used for global financial risk (i.e., the U.S. BAA corporate spread, the U.S. stock market volatility index and the U.S. high yield corporate spread) are fast moving financial variables. The recent work by Bruno and Shin (2013) modeled the U.S. stock market volatility index as depending on the contemporaneous values of the slower moving variables such as the Federal Funds target rate. Return to text
9. Movements in country spreads depend on changes in the risk premium that international investors charge to their borrowers; this premium, in turn, reflects changes in the risk of default. To the extent that country default risk tends to vary with the state of the business cycle during recessions, default rates tend to increase, and vice versa. The order of the country spread after domestic macroeconomic aggregates in the VAR model (1) captures the endogenous component of country spreads. But country spreads also move due to exogenous reasons. This behavior is captured by the exogenous component of the country spread shock in my model. Return to text
10. My choice of countries in the baseline estimation is primarily guided by (i) the availability of reliable quarterly data and (ii) my desire to keep the sample of countries close to the Uribe and Yue (2006) sample in order to facilitate the comparison of the results. Individual country estimates are available upon request. Return to text
11. The Akaike Information Criterion (AIC) is -23.57 for the AR(1) specification, -23.60 for the AR(2) specification, -23.57 for the AR(3) specification, and -23.55 for the AR(4) specification. The likelihood ratio (LR) and Hannan-Quinn (HQ) information criteria chose 2 lags as well. According to the lag exclusion test result, joint p-value for lag 3 is 0.1241, implying that the third lag can be excluded from the equation, while joint p-value for lag 2 is 0.0078, implying that the second lag is significant and should be included in the estimation. Return to text
12. I calculate the bias using a slightly modified version of the methodology proposed in Hahn and Kuersteiner (2002). The estimated impulse responses using the bias corrected least square dummy variable method (LSDVBC) is very close to those obtained using the LSDV method. Section 5.5 compares the estimated impulse response functions predicted by different estimation methods. Return to text
13. Interested readers can find impulse responses to the U.S. real interest rate shock for the pre-crises sample in the online appendix of the paper. Return to text
14. The impact of U.S. real interest rates on macroeconomic variables is driven mainly by the contemporaneous response of global financial risk to U.S. real interest rates. If the impact effect of the U.S. real interest rate on the global financial risk was eliminated, the variance of output explained by the U.S. real interest rate would significantly decrease (from 6 percent to 2 percent). Return to text
15. An alternative identification scheme was also explored that allows for real domestic variables to react contemporaneously to innovations in financial variables. Global financial shocks and country spread shocks jointly account for about 45 percent of the fluctuations in the domestic activity with this identification assumption. The contribution of the U.S. interest rate shock is still negligible. Return to text
16. It is known that this counterfactual exercise is subject to Lucas (1976) critique. A more satisfactory approach involves the use of a theoretical model economy in which private decisions change in response to alterations in the country spread process. Return to text
17. I acknowledge that there might be other reasons for the observed contemporaneous comovement between the banking sector borrowing-lending spread and the country spread. I release this assumption later to study the robustness of the results to this assumption (see section 5.4.2). Return to text
18. The responses of the country spread and domestic variables to different measures of global financial risk are very similar. There is deep recession in emerging economies after a positive shock to global financial risk, irrespective of the proxy used in the estimation. The figure is presented in the online appendix. Return to text
19. Forecast error variance decompositions for the pre-crises period and for the ten country sample are presented in the online appendix. Return to text
20. Judson and Owen (1999) and Juessen and Linnemann (2010) compared the performance of widely applied techniques to estimate panel VARs from macroeconomic data with the help of Monte Carlo simulations. Return to text
21. The other method used in the literature to correct the bias is the GMM method developed by Arellano and Bond (1991). One would expect the GMM method to yield more persistent impulse responses than the LSDV, because the LSDV is biased toward yielding little persistence and the GMM, when correctly specified, is unbiased. However, the GMM techniques have been designed for the case of a large cross-sectional dimension relative to the time dimension. In fact, when the VAR model in equation 1 is estimated by the GMM method, the GMM results show much less persistence than the LSDV results. The substantial negative bias in the GMM estimations for the panel VAR system 1 translates into impulse response functions dying out very quickly, in line with the Monte Carlo evidence presented in Jussen and Linnemann (2010). Since the time series dimension is significantly larger than the cross-sectional dimension (i.e., number of countries) in the present study, it is reasonable to attach little weight to the GMM results. Return to text
This version is optimized for use by screen readers. Descriptions for all mathematical expressions are provided in LaTex format. A printable pdf version is available. Return to text