
Keywords: Job displacement, personal bankruptcy, household finance, event study
Abstract:
JEL classification: J6, K35, D14.
More than one million households file for bankruptcy each year. The system is designed to help households that are unable to repay their debts regain control of their finances. By limiting the risk associated with borrowing, however, bankruptcy laws create an incentive for individuals to increase their debt. This tension between the desire to give households a "fresh start" and the moral hazard therein has been a central point of conflict in the politics of bankruptcy reform and in the present academic research on bankruptcy. On the one hand, two-thirds of bankruptcy filers cite the loss of a job or other source of income as the main reasons for filing, by far the most commonly provided motive (Sullivan, Warren, and Westbrook 1999, Warren and Tyagi 2003). These findings form the basis for the claim that unanticipated "adverse events" such as job loss, divorce, or health crises cause bankruptcy. On the other hand, some researchers counter that "strategic" behavior drives the decision to file for bankruptcy, as households continue to borrow and wait until the benefit from filing is at a maximum before discharging their debts. In their influential paper, Fay, Hurst, and White (2002) analyze filing patterns in the PSID and argue that "discharge of debt is the dominant consideration in households' decisions to file" (pg. 716).
This paper shows that the "adverse events" and "strategic filing" perspectives, rather than being mutually exclusive, are both essential to understanding the personal bankruptcy decision. I develop a dynamic, forward-looking model of household behavior where the relationship between income shocks and the decision to file for bankruptcy is explicit. The model implies that agents respond to adverse events optimally, both in their borrowing patterns and in the likelihood and timing of bankruptcy. Intuitively, the decision to file for bankruptcy is irreversible and costly, and as such, there is an option value to delaying (White 1998). Unanticipated shocks lead to asset positions where filing is financially beneficial, while expectations about future earnings play an important role in both the decision to file and the timing of when to file. The model provides two key predictions: First, job separations and other income shocks can lead to lagged responses of bankruptcy filing. Second, the bankruptcy decision crucially depends on both the magnitude and the expected persistence of the income shock.
I test these predictions using individual-level data from the National Longitudinal Survey of Youth (NLSY) and county aggregate data collected from the U.S. Courts. In the NLSY cohort, aged 39-48 in 2004, 13 percent of the sample filed for bankruptcy at some point in their lifetime. The effect of job loss on bankruptcy is estimated using an event-study framework that carefully controls for the timing of income shocks. Unlike previous research on bankruptcy, the event-study methodology I adopt explicitly addresses the source of exogenous variation and allows for estimation of pre-shock differences in bankruptcy likelihoods. Using this approach, I find that households are 2.5 times as likely to file for bankruptcy in the year immediately following a job displacement, at an increased rate of 10 bankruptcies per 1000 job losses. Bankruptcy risk then declines in magnitude but persists for two to three years. The persistence of a higher bankruptcy risk after displacement is consistent with the model, which formalizes the option value to delaying filing. The results starkly contrast with the conclusions of Fay, Hurst, and White (2002), who analyze the PSID and find "little support for the nonstrategic model of the bankruptcy decision." (pg. 714). I discuss the differences between their approach and that of this paper in more detail in section IV.
To explore further the implications of the model and to test additional hypotheses raised by the "adverse events" empirical literature, I investigate the impact of disability and divorce on the household bankruptcy decision. Use the same methodology, I find that the timing of disability is highly related to the timing of bankruptcy. However, in contrast to previous research, I find that divorce is not a "proximate cause" of bankruptcy, as the likelihood of filing for bankruptcy rises prior to divorce. Overall, the evidence suggests that plausibly exogenous job displacement and negative health shocks can play a role in predicting future bankruptcies among those at-risk.
Although the NLSY is the best available panel data to study bankruptcy, its small sample size does not yield the statistical power necessary to distinguish the heterogeneous effects of job loss based on the severity of the displacement or the demographics of the displaced. To examine these issues, I use county-level data from the last three decades to estimate the aggregate relationship between bankruptcy and job loss. This independent analysis, using different data and a different empirical specification, yields similar results to the microdata analysis. I find that 1000 additional job losses are associated with 8 to 11 additional bankruptcies and that the effects of job loss persist for two to three years, consistent with the model and corroborating the individual-level results using the NLSY.
To examine the model's prediction that more permanent income shocks are more likely to lead to bankruptcy, I separate the county-level job losses into manufacturing and non-manufacturing jobs. Manufacturing jobs are generally associated with longer tenure relationships and greater firm-specific human capital.1 Losing a manufacturing job often leads to deeper and more persistent earnings shortfalls (Carrington 1993). Consistent with the model's predictions, I find that the loss of a manufacturing job is three times more likely to lead to bankruptcy than the loss of a non-manufacturing job. This is the first empirical evidence that the structural shift away from the manufacturing sector has contributed to increases in bankruptcy, and confirms that the micro foundations of the dynamic model are supported by the macro patterns in the data.
Separating the effects by county demographics and macroeconomic conditions provides greater insight into the consequences of job loss. I find that job losses are more likely to lead to bankruptcies in counties that are more educated, wealthier, and have a larger fraction of working-age individuals. These results suggest that job loss may be more painful in these types of counties, with losses anticipated to be more permanent, or representing greater destruction of tenure and firm-specific human capital. Similarly, during high-unemployment periods when unemployment durations are expected to be significantly longer, the loss of 1000 jobs leads to 40 more bankruptcies, while during low-unemployment periods the relationship is small and statistically insignificant. These results provide robustness to the main findings and offer an explanation for the cyclical patterns of bankruptcy observed in the aggregate data.
These two complementary empirical analyses at the micro and aggregate levels contribute to the literature on job loss by providing strong evidence that the consequences of displacement extend into the credit market. In a similar context, Sullivan (2008) finds that households increase their unsecured borrowing via credit cards in response to a short-term earnings shock. Though unemployment spells are usually brief (on average eight weeks in the NLSY), these short-term shocks can have larger long-term consequences on a worker's well-being. This is especially true when the associated income shocks are more persistent than anticipated. Recent research has documented decreased long-term earnings and consumption, greater marital discord, and even heightened mortality resulting from job losses.2 The results presented here expand this list to include bankruptcy, while raising the question of why households are unable to insure against or smooth consumption around these shocks.
The next section describes the institutional details of filing for bankruptcy and discusses the costs and benefits to doing so. In section III, I develop a model that formally connects job losses, earnings shocks and bankruptcy and provides intuitive predictions about which households are most likely to file. Section IV describes the data, the NLSY, and the event study methods used to identify the relationship between the timing of job loss and the timing of bankruptcy. An analysis of aggregate trends in bankruptcy using county-level data is presented in section V. Section VI concludes with policy implications and directions for future research.
The empirical analysis of this paper focuses on the time period prior to the passage of the Bankruptcy Abuse Prevention and Consumer Protection Act of 2005 (BAPCPA), which reformed United States bankruptcy law.3 Between 1980 and 2004, when the bankruptcy code was largely unchanged and the "insurance" value of personal bankruptcy in the U.S. was considered one of the most generous in the world, filing rates increased from 2.0 per thousand working-age adults in 1980 to 8.5 per thousand in 2004. Households were able to choose between two different options for resolving outstanding debts in bankruptcy court.4 The first, known as Chapter 7, permitted full discharge of allowable debts after deducting non-exempt assets. Back taxes, alimony, child support, and student loans are generally not dischargeable liabilities, but all other unsecured debts are discharged under Chapter 7 rules.5
In theory, under Chapter 7 any non-exempt assets are forfeited to pay off these debts. In practice, however, non-exempt assets usually amount to less than 5% of all debts recovered by creditors (Livshits, MacGee, and Tertilt 2007a). Exemption rules vary by state (Gropp et al. 1997), but generally protect retirement plans such as IRAs and 401(k)s, provide a homestead exemption up to a dollar amount (unlimited in a few states), and grant additional exemptions for automobiles and personal belongings such as clothing.
The alternative to filing for discharge is a reorganization of debts, Chapter 13. Under Chapter 13, households agree to a repayment plan of a portion of their debts, worked out through the bankruptcy court with their creditors. These repayment plans are usually scheduled for 3 to 5 years, however most Chapter 13 filers fall behind and many re-file in Chapter 7. An AOUSC report found that between 1980 and 1988, only 36% of Chapter 13 filers completed their repayment plan (GAO 1999). Individuals are not allowed to file again for seven years if filing Chapter 7, but can re-file sooner if filing Chapter 13.6 For the purposes of the micro-level analysis, I pool Chapter 7 and Chapter 13 non-business filings together and treat both filing options as having the same costs and benefits. This choice is standard in the literature, often because of small sample sizes for a given chapter and because the decision of which chapter to file is often made after consulting with a bankruptcy attorney. In the aggregate analysis, however, I distinguish between Chapter 7 and Chapter 13 filings.
In addition to the discharge of eligible debts, another benefit to filing is the suspension of all garnishment and other debt collection techniques. Aggressive collection tactics, such as harassing phone calls, as well as wage garnishment and repossession efforts are often cited as a "last straw" in leading households to file (Luckett 2002). The tangible costs of filing are the fees to file the paperwork and pay a bankruptcy lawyer which are on the order of $500 to $1500. The most costly aspect of bankruptcy is the flag placed on one's credit score, which is present for up to ten years and has a strong impact on both access to credit and the price of credit (Musto 1999; Fisher et al. 2004; Han and Li 2009).
An often-discussed intangible cost of filing is the role of "stigma," the emotional punishment inflicted by oneself or one's peers for filing for bankruptcy. While there have been claims that declining stigma can explain some of the growth in bankruptcy filing (Fay, Hurst, and White 2002; Gross and Souleles 2002), subjective survey research indicates that individuals' distaste for bankruptcy has been relatively constant over time (NORC, as cited in Sullivan et al. 2006). In fact, Sullivan et al. (2006) point out that the increased transparency of searchable online bankruptcy databases has, if anything, likely led to more stigmatizing experiences from bankruptcy.
Thus households with negative assets must weigh the benefits (debt discharge) and costs (access and price of future credit, forfeiture of assets, stigma) against the alternative of not filing and repaying their outstanding debts. Intuitively, households which experience a "large enough" negative deviation from average lifetime expected earnings such that debt repayment is more painful than the costs of filing should optimally file for bankruptcy. The decision is heavily influenced both by the amount of outstanding debt and the magnitude and persistence of the income shock. This intuition is formalized in the model presented in the next section.
In this section I outline a dynamic model where the relationship between unemployment and bankruptcy is explicit in order to highlight the role of shocks on both the incidence and timing of bankruptcy. The full model can be found in Appendix A. The model yields two key predictions: First, job separations and other income shocks can lead to lagged responses of bankruptcy filing, in addition to the obvious immediate filing response. Second, the bankruptcy decision depends crucially on both the magnitude and the expected persistence of the income shock. The model implies that strategic agents respond to adverse events optimally, both in their borrowing patterns and in the likelihood and timing of bankruptcy. Thus, in a framework with optimizing forward-looking borrowers, every default has elements of both "strategic borrowing" and "adverse events" behavior. However, shocks that predict prolonged periods of low income are more likely to lead to defaults than other shocks. This dynamic perspective clarifies the policy implications of increased bankruptcy filing and the potential role for intervention, as discussed in section VI.
The model of household choice presented here is intended to provide qualitative predictions about the relationship between shock persistence and bankruptcy and to motivate the empirical work based on consumers' choices. The model builds on the work of Lawrence (1995), which presents a two-period model where the consumer default decision is static and therefore cannot address the timing of the decision. I extend the Lawrence model to allow for employment shocks and to include multiple periods in order to formalize the dynamic role of income shocks in determining the likelihood and timing of bankruptcy.
A number of recent papers have solved structural models of bankruptcy, which have improved our understanding of the behavior of borrowers and banks in a lending environment that includes the possibility of default.7 Although these general equilibrium models have at their core the dynamic relationship between income shocks and the bankruptcy decision, they do not emphasize the potential of delayed filing in response to shocks or make an explicit link between unemployment and bankruptcy. I incorporate aspects of the more complex structural models (income shock processes, wage garnishment) to better capture the costs of bankruptcy and to highlight the timing choices in the bankruptcy decision.
In the multi-period model, households face a risk of unemployment with known separation and re-employment probabilities, which shape their expectations of their unemployment duration. Households choose how much to borrow or save based on their employment situation, current income, their expected future income, and the value of filing for bankruptcy. The bankruptcy decision (either to repay debts in full or to discharge as in Chapter 7) is based on the amount of outstanding debt and the magnitude and persistence of the household's income/employment shock.
Consider a multi-period model where household income,
, is random in all periods, and when employed, log earnings follow an AR(1) process:
. Households face a risk of unemployment, in which case they receive unemployment insurance benefits,
. The risk of unemployment follows a Markov process, where the probability of staying employed, given employment in the previous period, is
and the probability of staying unemployed, given unemployment in the previous period, is
. In other words,
is the separation probability and
is the job finding probability. The values of
and
shape households' expectations of the length their employment and unemployment relationships.8 In the first period all households begin in the employed state.
As most household debt is shared between spouses, and most bankruptcy petitions are jointly filed, bankruptcy is treated here as a household-level decision. Bankruptcy is not allowed in period 1 but is allowed in all subsequent periods. If a household chooses to file for bankruptcy, they face three punishments in the model. First, they are constrained from the credit market in the period they file and in subsequent periods, able neither to borrow nor to save.9 This assumption is broadly consistent with the bankruptcy flag which appears on the filer's credit report for up to 10 years, and the potentially prohibitively high cost of obtaining credit (Musto, 1999).
Second, the household pays a portion of their earnings,
, to the bankruptcy court in the year in which they file. This garnishment is intended to represent the inability of households
to hide their nonexempt assets from the bankruptcy courts. Finally, the third cost of filing is to repay a portion of the debt even in filing (
for debt service), which will be shown to be
necessary for interior optimal borrowing behavior, i.e. not borrowing up to the credit limit in all periods. These costs are built into the model to best fit the real-world punishments from bankruptcy, and are adapted from previous models (see, e.g., Livshits et al. 2007a). The model does not
directly incorporate the bankruptcy "stigma" as an additional cost. If stigma was hypothesized to be proportional to household earnings, then a portion of
could be interpreted as such.
Similarly, if stigma was considered proportional to the amount of debt discharged, then
would reflect the cost of stigma.
Let
be the value function for a given debt (
) or asset
(
) level in period
, where
is an indicator for whether the household had previously filed for bankruptcy. The value function for filing for bankruptcy is given by
and not filing given by
. If households receive a positive income shock then they save,
, and earn interest
. If they experience a negative income shock, either due to a low draw from the wage distribution or from an unanticipated
unemployment spell, households accumulate debt,
, with exogenously determined interest rate
charged by the bank to offset write-offs from bankruptcies. Households are assumed to be borrowing constrained up to a fraction of current income.10
The model can be solved by backwards induction. The essential features of the multi-period model are described most easily in a three-period setting. In period 3, the final period, the household chooses whether or not to file for bankruptcy, giving the value function in the last period:

In period 2 (and any additional "mid-life" periods in a multiple-period setting), the decision rule is more complicated; the household chooses the amount to consume,
, or equivalently
the amount to borrow or save,
, as well as whether to file for bankruptcy:

![]() |
Appendix A presents the simulations of the model in detail. The main conclusions of that simulation are described here. Depending on the household's asset position and income shock, the household either files immediately, borrows while waiting to see the next period's draw, or implicitly plans to never file by saving. These responses are consistent with both the "strategic" and "non-strategic" explanations for filing in the empirical literature, as those who file immediately respond to the adverse unemployment shock, while those who accumulate debt intend to maximize the value of filing in period 3. In contrast to existing empirical work which analyzes a one-year horizon (e.g. Fay, Hurst, and White 2002), these results imply that longer windows of observation around a job separation or other income shock may be necessary to appropriately identify its full dynamic impact.
The model also reveals that changes in expectations can have a serious impact on the bankruptcy decision. As shown in Appendix Figure 3, when unemployment is expected to be more persistent (as represented by
), a larger fraction of households are expected to file for bankruptcy. Measures used in previous studies to proxy for "stigma," such as prior filing rates in the same state, take into consideration other households' expectations about future earnings. Similarly, Gross
and Souleles (2002) argue that a change in the fit of a model could represent a shift in the underlying distaste for debt. However, the decrease in the goodness of fit also may be indicative of changing expectations about future earnings. Thus proxies for stigma are potentially identified from the
omitted variation in expectations about income trajectories. In addition, differences in expected earnings can allow for two households who appear similar in terms of indebtedness to behave very differently in making bankruptcy filing decisions.
The central prediction of the model is that the timing and likelihood of bankruptcy are determined by the magnitude and persistence of income and employment shocks. Thus negative household shocks can have delayed effects on the bankruptcy decision. See Appendix A for more details of the model and households' simulated responses to income shocks. The model provides insight into the inherently dynamic nature of the bankruptcy decision and the role of shocks and expectations in household decision-making. The next two sections investigate this central prediction empirically, using both individual and aggregate data as independent tests of the relationship between job separations and bankruptcy.
The National Longitudinal Survey of Youth initiated a panel study of young people aged 14-21 in 1979. The survey was conducted annually until 1994, and has been biennial thereafter. Questions about education, employment, family formation and dissolution, and respondents' health have been asked in every wave of the survey. When the respondents had all reached the legal age of adulthood in 1985, they were asked about their assets and debts (independent of their parents' resources).11 These questions have expanded as the respondents have aged and accumulated diverse assets and debts, such as 401(k)s, stock portfolios, and mortgages.12
The core set of questions on assets and debts can be used to estimate the overall net worth of each respondent. I obtained the restricted-license NLSY data in order to identify the respondents' state of residence which determines the relevant bankruptcy exemptions, as discussed above.13 Thus the benefit of filing for bankruptcy in any given year can be estimated by deducting a respondent's exempted assets from her net worth.
In the wave of the survey conducted in 2004, respondents were asked if they had ever filed for personal bankruptcy and if so, in what year.14 Respondents also provided the chapter of filing and whether the filing was due to a business failure.15 In the analysis that follows, I combine Chapter 7 and Chapter 13 filings, and I focus exclusively on non-business filings by omitting any filings which were classified as a Chapter 11 business reorganization or where the respondent reported that filing was due to the failure of a business. In Appendix B, I provide an assessment of the quality of the retrospective responses to the bankruptcy questions.
The lack of representative micro-level data on bankruptcies has made understanding the household decision particularly challenging. Evidence based only on surveys of filers cannot identify any timing relationships between shocks and bankruptcy. These surveys lack a control group of individuals who have experienced shocks but not filed for bankruptcy.16 Unlike previous research which has relied on the PSID, this paper uses the NLSY to investigate the timing and financial determinants of bankruptcy.17 Although the wealth questions in the PSID have more detail than those in the NLSY, respondents answer them only every five years (and now biennially). Estimating wealth between PSID supplements would require interpolating wealth data across five-year periods where a bankruptcy may have occurred in the interim. In addition, the sample size of bankruptcy filers in the PSID is much smaller than in the NLSY. The PSID only has 200 bankruptcy cases, whereas the NLSY has nearly five times as many cases, which allows for more precise estimates of the household response to "non-strategic" income shocks.
To carefully identify the timing of filing for bankruptcy around plausibly exogenous shocks, I follow the event study framework of Jacobson, LaLonde, and Sullivan (1993), which has been used in many contexts related to job loss (see, e.g., Sullivan and von Wachter 2007). In this framework, the regressions take the form:
![]() |
The above equation is estimated using a linear probability model.18 The individual-level characteristics,
, are a full set of age dummies, race, and education. The core results presented below are qualitatively similar when additional control variables were included. Most notably, specifications which included pre-shock values of the
wealth and marital status of the respondent are nearly identical. Pre-shock values were included because of their potentially endogeneity to the income shock (see, e.g. Charles and Stephens 2004). In addition, specifications which include state of residence fixed effects also yield similar results.
Standard errors are clustered to allow for arbitrary heteroscedasticity and correlation of errors over time for individuals.19
Figure 1 shows the pattern of the relative year coefficients for male job losses, defined as the respondent's first time on Unemployment Insurance (UI), with the coefficients reported in Column 1 of Table 1.20 The sample consists of all male respondents who worked full-time in the year previous to a UI spell, with the control group of full-time male workers who never experienced a UI spell (worked at least 45 weeks). I use two-year bins because the biennial NLSY surveys do not allow me to identify responses within the two year window. The coefficients are relative to the group of respondents who have never received UI benefits (never experienced job loss while covered by Unemployment Insurance). There is a spike in the coefficient in the year in which the job loss is experienced: households which experience a job displacement are over twice as likely to file for bankruptcy than those which have not lost a job, at a rate of 0.010, or 10 bankruptcies for 1000 displacements. The heightened likelihood of bankruptcy filing then falls to 0.004, though still significantly different from zero, in the 2-3 years after bankruptcy. Subsequent years are no longer significantly different from the group who never experienced a job loss.
In addition, prior to job separation there is no difference in the likelihood of filing for bankruptcy between future job losers and the never-unemployed. The estimated coefficients of the pre-displacement relative time indicators are not significantly different from zero, as shown by the joint test in the next-to-last row of Table 1. Furthermore, the coefficient for the period immediately prior to job loss (-1 to -2 years) is statistically different from the time of job loss (year 0 and 1).21 Thus the bankruptcy hazard in the year of job separation is not only significantly different from the non-separation control group, but is also different from the years prior to job separation. The event study methodology confirms that job separations are indeed a `shock' to these households based on the timing of bankruptcy filing.
Figure 2 shows the relative job loss year coefficients for female job separations. These coefficients exhibit a similar pattern to those of men, with double the likelihood of filing in the year of job displacement and the year following displacement relative to those who are never displaced.
However, the test of pre-separation coefficients is weaker for women, as the test of the null of equality of the pre-separation coefficient and the year of separation (
) cannot be rejected (p=0.10). While the statistical relationship is weaker, the pattern of coefficients is consistent with the timing of bankruptcy depending on the
timing of job loss.
The results for job separations confirm that the timing of bankruptcy is strongly related to the timing of job displacement, particularly for male respondents. Unlike the previous empirical methodology on bankruptcy, the event study framework allows for estimation of pre-shock differences in bankruptcy likelihoods, and to test the coefficients across years. The results support the dynamic forward-looking model presented above, which predicted that households which suffer large negative shocks would file immediately upon receiving information about future employment and permanent income, while other households will delay filing as its effect on permanent income may not be immediately known. These findings highlight the role of timing, even in response to adverse events, reconciling the arguments of the previous empirical literature in a dynamic context.22
Proponents of the adverse events hypothesis also suggest that divorce and health problems lead directly to bankruptcy. I test these additional claims in Figures 3 and 4 (with the coefficients reported in Table 1). Figure 3 presents the effect of relative time of divorce or separation, defined
here as being married in year (t-1) and unmarried in year t. The control group is those individuals who have been married and never divorced or separated. Although significantly different from those who never filed for divorce, the bankruptcy likelihood begins increasing one to two years prior to
divorce. Further, we cannot reject the test of equality of the pre-divorce and year of divorce coefficients (
). Thus while bankruptcy is correlated with marital separation, the results presented here suggest that divorce is also related to money problems on their own.23
There is less power in the NLSY to detect an impact on bankruptcy from a disability shock, as the NLSY cohort is (for the most part) young and healthy. Nonetheless, 36% of the sample has experienced a health limitation which has reduced their ability to work at some point. Following Burkhauser
and Daly (1996), I define a disability shock as the first time a respondent reports being healthy for one period and then limited for two consecutive periods.24The results based on this negative health shock, shown in Figure 4, show an increased likelihood of bankruptcy at the time of the shock, with unhealthy individuals more likely to file for bankruptcy than those who never experienced this pattern of health at a rate of 7
bankruptcies per 1000 disability cases. An F-test for the equality of the pre-shock and year-of-shock coefficients (
) can be rejected at the 4% level. These results, which are presented in the fourth column of Table 1, suggest that disability shocks appear to act as a direct
"trigger" for bankruptcy independent of income and wealth. This finding is consistent with the forward-looking model of bankruptcy filing, where a disability shock permanently reduces expectations regarding lifetime income.
The results from the NLSY stand in stark contrast to the findings of Fay, Hurst, and White (2002), who use the PSID and find "little support for the nonstrategic model of the bankruptcy decision" (pg. 714). Their empirical approach uses a pooled probit regression with a wide range of control variables in addition to indicator variables for adverse events, namely unemployment, divorce, or health problems. The PSID analysis is limited by a much smaller sample of bankruptcies; Only 200 personal bankruptcy filings are in the sample when the sample weights are used, which leads to relatively imprecise estimates.
Appendix C describes in further detail the specification and methodology of the previous research. When the event study approach described above is used with the PSID sample, I find statistically weaker results because of the smaller sample size, but a significant effect on the year of unemployment on the likelihood of filing. I also replicate their pooled probit approach and find that the results are highly sensitive to the inclusion of potentially endogenous control variables. A slightly modified probit specification using the PSID yields significant effects of an unemployment spell, with the coefficient roughly three times larger than in the specification previously presented.
Specifically, Fay, Hurst, and White include contemporaneous measures of self-employment status, homeownership, and family size. It is plausible that these three characteristics would change around the timing of unemployment, bankruptcy, and divorce. And indeed, when lagged versions of these variables are included instead of the contemporaneous values, self-employment in the prior year is a significant predictor of bankruptcy, whereas there is no relationship between homeownership (consistent with my findings in the NLSY) or family size. Lagging these potentially endogenous control variables, along with other minor modifications described in Appendix C, triples the magnitude of the unemployment coefficient in the bankruptcy probit regression.
A simple assessment of the timing of filing and the incidence of shocks in the previous three years in the PSID and NLSY is presented in Table 2. The table shows the frequency of displacement, divorce, and disability shocks in the three years prior to bankruptcy filing for respondents of the PSID and the NLSY. The results confirm that these shocks are relatively common among those who never file for bankruptcy, but much more prevalent among those who do file.
In the three years prior to filing for bankruptcy, 23.6% of NLSY respondents have experienced a job loss, 19.5% have experienced a divorce, and 15.2% have experienced a health problem. The fraction of all bankruptcies which the survey literature would attribute to these shocks is thus 58.3%. For the PSID, the numbers are comparable: 18.8% have experienced a job loss, 14.1% have experienced a divorce, and 15.2% have experienced a health problem. The results suggest that the patterns in the PSID and the NLSY are not meaningfully different, and that a clean methodology such as the event study framework used here establishes the role of these "non-strategic" shocks in the timing of personal bankruptcy. The use of relatively narrow definitions of shocks leaves about 40% of bankruptcies "unexplained" by this methodology.
While the results above suggest a strong relationship between job loss and bankruptcy in the cross-section, the NLSY follows only one cohort over time, and the sample is not large enough to detect differences in the effects of job loss based on the severity of the displacement or the demographics of the displaced. I thus turn to an aggregate analysis to investigate the relationship between job losses and bankruptcy using county-level data. This independent empirical approach corroborates the evidence provided using the individual-level panel data, and reinforces the importance of the model in interpreting the employment-bankruptcy relationship.
The bankruptcy data are collected from the Administrative Office of the U.S. Courts. The dataset contains the number of business and non-business filings, by chapter, for each county for each year from 1980-2004, but no information is collected on the causes of bankruptcy or the characteristics of the filer at this level.25 Data on employment at the county level is collected from County Business Patterns (CBP) from 1980-2004. As described earlier, the bankruptcy code was essentially unchanged from 1980-2004.26 I construct county-level measures of manufacturing, non-manufacturing, and total employment for 1980-2004.27 The model suggests that the bankruptcy decision should be made on the basis of new information. As such, in the specifications which follow the change in the number of jobs is the independent variable of interest, rather than the stock of jobs at a given time.
I regress the total number of new personal bankruptcies in county
in year
,
, on the annual change in the number of jobs,
, in the same county:
The results from the aggregate analysis are presented in Table 3. All else equal, counties which experience more job losses have a greater number of bankruptcies. The top panel of Table 3, Column 1 shows that 1000 additional jobs lost in a county lead to 10 more bankruptcies, even after accounting for the fixed attributes of the county and the macroeconomic conditions in the year of observation. Columns 2 and 3 add in lagged changes in jobs, and the point estimates are similar for the lags as well as the change in the current year, which suggests that job losses have lasting effects on the local bankruptcy rate. The effects are significant for two to three years, but additional lag terms are not statistically significant (see Column 4). This finding is highly consistent with the timing of the effects of unemployment shocks in the NLSY. That the aggregate results support the findings from the microdata further establishes the importance of the dynamic aspect of the household bankruptcy decision.
Manufacturing jobs are generally more likely to be unionized, have longer tenures, and provide better health care and pensions than non-manufacturing jobs (Anderson and Meyer 1994, Brown 1989). These are also jobs where the accumulation of specific human capital may be particularly important in determining the costs of job separation (Topel 1990, Carrington 1993). The lower panel of Table 3 separates the county-level changes in jobs by manufacturing and non-manufacturing job changes. I find that manufacturing job losses are three times more likely to lead to bankruptcy than non-manufacturing jobs. For every additional 1000 manufacturing jobs lost in a county there are more than 26 additional bankruptcies. These results suggest that the changing structure of employment, towards shorter-tenure jobs and away from manufacturing industries, which provided steadier employment and better benefits, has been a contributing factor to the growth in consumer bankruptcies. In terms of the model presented in Section III, the manufacturing losses have been both more severe (in terms of dollar magnitude) and more persistent (in terms of future earnings) than non-manufacturing job displacements.
As unemployment durations during recessions are much longer on average than during booms (see, e.g. Valletta 2005, CBO 2007), as an additional test, I interact the job change coefficient with whether the aggregate unemployment rate is above the median for the sample period. This interaction specification focuses attention on job losses in those counties that were more affected by high unemployment rates than others. The results are presented in the first column of Table 4. For 1977-2004, the median annual national unemployment rate was 6%. During high-unemployment periods, when unemployment durations are expected to be long, the loss of 1000 additional jobs leads to 48 more bankruptcies, while during low-unemployment periods the relationship is small and statistically insignificant. Thus the cyclical component of unemployment has a meaningful impact on the relationship between job displacement and bankruptcy, and provides an explanation for the cyclical pattern in the national bankruptcy filing rate observed in Appendix Figure 4.
What types of counties are driving these effects? Table 4 explores this question by including the interaction of demographic characteristics of counties in 1980 with the number of job losses in the county. The main effect of the demographic characteristic in the county is removed by the county
fixed effect, as the measure is not time-varying. Column 2 shows that job losses in more educated counties are more likely to lead to bankruptcy. The coefficient on "Change in Total Jobs" provides the estimated relationship in less educated counties (defined as below the median in fraction with a
high school degree), while the coefficient on the interaction of the change in total jobs and the education variable gives the difference between above-median education and below-median education counties. Thus the effect of job loss on bankruptcy in highly educated counties is the sum of the
coefficients,
.
Columns 3 through 7 of Table 4 display the results from similar specifications, with different county demographic characteristics interacted with the county's change in jobs. Separating the effects in this manner shows that job losses are more likely to lead to bankruptcies in counties that are more educated, wealthier, and younger, as well as those counties with a smaller fraction of African-American households. These results suggest that job loss may be more painful in these types of counties, with losses anticipated to be more permanent, or greater destruction of tenure and firm-specific human capital. An additional explanation may simply be that individuals living in wealthier counties were more able to receive credit from lenders and thus amass larger amounts of debt. Alternatively, households in these counties may be more willing to respond to a job loss by filing for bankruptcy for other reasons, such as a greater willingness to contact a lawyer or a lower community-wide stigma from filing. The model predicts increased likelihood of bankruptcy filing when losses are more severe or more persistent, and the results in Table 4 appear consistent with that prediction.
Separate specifications for bankruptcies by type of filing suggest that job loss has a bigger impact on Chapter 7 filings than on Chapter 13 filings. In results not shown based on these specifications, 1000 additional lost jobs lead to seven new Chapter 7 filings and three new Chapter 13 filings, which adds up to the total filings coefficient of 0.010 in Column 1 of the top panel of Table 3. The effect of losing a manufacturing job is seven times larger than losing a non-manufacturing job on Chapter 7 filings, whereas the effect of each type is roughly equivalent for Chapter 13 filings. That manufacturing job losses are so strongly related to Chapter 7 filings fits the model's prediction as Chapter 7 filings could be taken as evidence of a lower likelihood of even partial repayment (as in a Chapter 13 reorganization).
Although the bankruptcy and job loss variables are estimated as deviations from county means, larger counties would likely have more bankruptcies than smaller counties even in deviations. When I include measures of county size, such as the number of households, to address this potentially confounding relationship, the coefficient on job changes is not significantly different: An additional 1000 jobs lost in a county now leads to 9 more bankruptcies rather than 10. A specification which normalizes both the measures of bankruptcies and and job changes by the size of the county population yields a similar result.29 These specifications suggest that differences in county size are not driving factors in the observed relationship between job loss and bankruptcy.
To address the potentially confounding role of localized growth patterns in bankruptcy, county-specific linear and quadratic time trends were added to the fixed-effects regressions (results not shown). The results are similar, as 1000 lost jobs are now associated with 7.5 more bankruptcies, the coefficients remain statistically significant, and manufacturing job losses continue to drive this result. However, the impact of lagged changes in jobs are smaller and generally less statistically significant. These checks verify that the results are not merely an artifact of correlated trends in job losses and bankruptcy at the local level, as they are robust to controlling for county-specific patterns of growth in filings.
Note that because the people in the county who file for bankruptcy are not necessarily the same people who suffered the loss of a job, job losses could have both direct and indirect effects on bankruptcy in this aggregate analysis. In the direct case, the household which loses the job also files for bankruptcy. If the job losses have an indirect effect on other members of the regional economy (through the service sector or the housing market, for instance) then these general equilibrium effects would also be included in the reduced-form estimates. Note also that if the indirect effects take time to develop, they could give the illusion that lagged job losses matter in predicting bankruptcy, when in fact the household-level direct response could be instantaneous.
The results from the county-level data confirm the predictions of the dynamic model and corroborate the findings using the individual-level panel data of the NLSY. Both approaches suggest that 1000 additional job losses leads to 10 additional bankruptcies, all else equal. Job displacement increases the likelihood of bankruptcy and has persistent effects over two to three years after separation, and the effects are strongest when the job losses are likely the source of permanent negative income shocks.
Filing for personal bankruptcy has become so common that over 13% of NLSY households aged 39-48 have experienced it at some point in their lives. And yet economists know very little about the determinants of bankruptcy, due in large part to the lack of representative micro-level data with information on bankruptcies. Evidence based only on surveys of filers cannot identify any timing relationships between shocks and bankruptcy, while previous longitudinal studies have used the PSID, which has a limited sample size. Unlike previous research, this paper takes advantage of a new retrospective bankruptcy question in the NLSY to identify the role which job loss plays in the timing and likelihood of filing for bankruptcy.30
The results for both the NLSY and the county-level analysis suggest a pattern of bankruptcy filing in response to negative labor market shocks which is consistent with the model of the household bankruptcy decision presented in Section III. In particular, even though the duration of the unemployment shocks analyzed in this paper are brief, only eight weeks on average, they potentially signal changes in expected permanent income. Although easing credit constraints should theoretically improve households' ability to smooth consumption, there has been a marked increase in consumption volatility over the last 25 years (Gorbachev 2007; Keys 2008). For some households, credit expansion clearly has not kept pace with the growth in earnings volatility as documented by Moffitt and Gottschalk (2002) and Shin and Solon (2008). Some shocks are sufficiently large that households must file for bankruptcy and select a new consumption path.
The filing and borrowing behavior in the model reconciles aspects of the "strategic" and "non-strategic" motivations for filing discussed in the empirical literature, and clarifies the relationship between income shocks and bankruptcy in existing structural models. In addition, the effects of job displacement in both the NLSY and the county-level data are of comparable magnitude (10 bankruptcies per 1000 job losses) and duration (effects lasting for two to three years), an empirical regularity across independent datasets and different estimation methodologies. These empirical results reinforce the importance of dynamic micro-foundations in interpreting both household decision-making and aggregate patterns in unemployment and bankruptcy. Overall, the results suggest that labor market shocks are crucial to understanding the timing and likelihood of personal bankruptcy. The household bankruptcy decision relies not only on current income and wealth, but also on expectations about future employment and earnings possibilities.
This appendix provides simulated household responses to employment shocks in an environment with a bankruptcy option. Consider a multi-period model where household income,
, is random in all periods, and when employed, log earnings follow an AR(1) process:
. Households face a risk of unemployment, in which case they receive unemployment insurance benefits,
.31The risk of unemployment follows a Markov process, where the probability of staying
employed, given employment in the previous period, is
and the probability of staying unemployed, given unemployment in the previous period, is
. In other words,
is the separation probability and
is the job finding probability. The values of
and
shape households' expectations of the length their employment and unemployment relationships.32 In the first period all households begin in the employed state.
As most household debt is shared between spouses, and most bankruptcy petitions are jointly filed, bankruptcy is treated here as a household-level decision. Bankruptcy is not allowed in period 1 but is allowed in all subsequent periods. If a household chooses to file for bankruptcy, they face three punishments in the model. First, they are constrained from the credit market in the period they file and in subsequent periods, able neither to borrow nor to save.33 This assumption is broadly consistent with the bankruptcy flag which appears on the filer's credit report for up to 10 years, and the potentially prohibitively high cost of obtaining credit (Musto, 1999).
Second, the household pays a portion of their earnings,
, to the bankruptcy court in the year in which they file. This garnishment is intended to represent the inability of households
to hide their nonexempt assets from the bankruptcy courts. Finally, the third cost of filing is to repay a portion of the debt even in filing (
for debt service), which will be shown to be
necessary for interior optimal borrowing behavior, i.e. not borrowing up to the credit limit in all periods. These costs are built into the model to best fit the real-world punishments from bankruptcy, and are adapted from previous models (see, e.g., Livshits et al. 2007a). The model does not
directly incorporate the bankruptcy "stigma" as an additional cost. If stigma was hypothesized to be proportional to household earnings, then a portion of
could be interpreted as such.
Similarly, if stigma was considered proportional to the amount of debt discharged, then
would reflect the cost of stigma.
Let
be the value function for a given debt (
) or asset
(
) level in period
, where
is an indicator for whether the household had previously filed for bankruptcy. The maximized value function for filing for bankruptcy is given by
and not filing given by
. If households receive a positive income shock then they save,
, and earn interest
. If they experience a negative income shock, either due to a low draw from the wage distribution or from an
unanticipated unemployment spell, households accumulate debt,
, with exogenously determined interest rate
charged by the bank to offset write-offs from bankruptcies. Households are assumed to be borrowing constrained up to a fraction of current income.34
The model can be solved by backwards induction. The essential features of the multi-period model are described most easily in a three-period setting. In period 3, the final period, the household chooses whether or not to file for bankruptcy, giving the value function in the last period:

In period 2 (and any additional "mid-life" periods in a multiple-period setting), the decision rule is more complicated; the household chooses the amount to consume,
, or equivalently
the amount to borrow or save,
, as well as whether to file for bankruptcy:

![]() |
The model is simulated to provide an understanding of the household response to income and employment shocks. The qualitative insights that I highlight are captured by the optimal Bellman equation in period 2. Periods 1 and 3 in this setting are discussed in less detail, as the choices made in these periods are designed to capture the dynamic aspects of the household's period 2 decision.36 The predictions from the model motivate the empirical methodology used in sections IV and V.
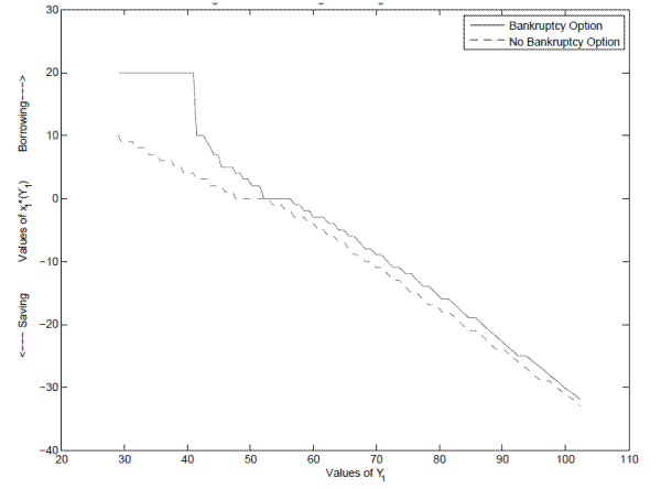
Figure Appendix-1 shows the period 1 decision of how much to borrow or save,
, depending on the values of the income draw,
. The solid line represents the choices of households when bankruptcy is an available option in later periods. Households with low income borrow, but most borrow relatively small amounts. Households with the lowest
income borrow such that the borrowing constraint binds, which leads to the flat portion of the borrowing curve. Because of the uncertainty of income and possible job separation in the subsequent periods, households with high income save a significant fraction of their income.
The decision whether to borrow or save in the first period is based not only on the income draw but also on expected future draws and the value of filing for bankruptcy (even though households cannot file in this period). As a counterfactual, the dashed line in Figure Appendix-1 presents the optimal choices of households when there is no option to file for bankruptcy in later periods. Low-income households borrow much less than when they possess a default option in the future, and even wealthy households save more in a bankruptcy-free world than in a world which allows for a "fresh start." The difference between the solid and the dashed lines highlights the strategic aspect of the optimal bankruptcy decision: borrowing (dis-saving) is everywhere higher when bankruptcy is available, and especially so for households in debt.
The amount borrowed or saved in period 1 is brought into period 2, where the most interesting decisions occur. The household chooses whether to file for bankruptcy or decide to wait and see the income realization in period 3 before filing. Thus delaying filing has an option value. If the household files in period 2, it cannot borrow or save to smooth consumption in the next period, and it must pay both the garnishment and the debt service penalties. On the other hand, if the household chooses to borrow, it has the option of filing in the subsequent period, so it will borrow more than if it was required to repay all debt in period 3.
Figure Appendix-2 shows the borrowing and saving decision in period 2, based on the income draws in periods 1 and 2,
and
, among the employed. Among employed households, as second period income increases (moving to the right in the graph), households first borrow more in anticipation of bankruptcy in the subsequent period, then begin
saving. Those individuals with the worst draws are borrowing constrained and cannot borrow as much as they would like, leading to the flat part of the graph on the left hand side. The individuals with high income in the first period but low in the second choose to draw down their savings but not
borrow (the flat part at "0" for the 80th percentile, the "high" income line). The individuals with relatively good income realizations in period 1 and bad income draws in period 2 borrow heavily in anticipation of bankruptcy in the next period. Given that the likelihood of employment in the
next period is high for those who are currently employed,
, none of the employed file for bankruptcy in period 2 in this simulation. If plotted for all percentiles of the
distribution, the graph would not be symmetric because the expected distribution of future income draws,
, depends only on
and not on
.
The only households who choose to file for bankruptcy in period 2 are those with bad income realizations while employed in period 1 and subsequently unemployed in period 2, who borrowed in period 1 in anticipation of a better outcome and now wish to default on their debts. Given the high value
of
, unemployment was a relatively low-probability event. Figure Appendix-3 shows the bankruptcy decision in period 2, depending on the expected
persistence of the unemployment shock,
. Each point on the graph is from a separate simulation, and represents the maximum value of income in the first period,
, for which a household who is unemployed in period 2 would file for bankruptcy.
For low values of unemployment persistence, the household expects to return to the labor force quickly, so only those households with very low values of
(and thus very high values of
period 1 debt) file for bankruptcy in period 2. However, as the persistence of unemployment increases, more and more households file immediately in response to the unemployment shock. When
, and the unemployment spell is expected to be permanent, 50% more households file for bankruptcy. I test this prediction of the model directly in the county level analysis in
Section V. The simulated results highlight the important role which the persistence of shocks and the formation of expectations, only relevant in a dynamic context, play in shaping the household's bankruptcy decision.
The two main critiques of retrospective survey data on bankruptcy are that bankruptcies may be underreported and that individuals may not remember the precise timing of their filing date. First, it is possible that respondents do not report events which may have a negative "stigma" attached to them. In their analysis of PSID data, Fay, Hurst, and White (2002) find that the bankruptcy rate in the sample is roughly one-half of the national rate. In other words, there is potentially 50% under-reporting of bankruptcy experiences. In Appendix Figure 4, I compare the national bankruptcy rate to the filing rate in the NLSY, the PSID, and the Survey of Consumer Finances (SCF), which asked a similar retrospective question of a nationally representative sample in 2004.37 The national rates are calculated by dividing the total number of non-business bankruptcies by the Census Bureau's estimate of the total number of US households.
Although the NLSY only follows one cohort over time, the level and trend of the filing rate is consistent with aggregate patterns, albeit slightly below the national rate and slightly above that of the PSID. Turning to the overall rate of ever having filed, the NLSY cohort's rate is 13.3%, whereas the rate in the SCF is 12.2% for respondents of the same age range (aged 39-48 in 2004). That the reported annual filing rates are lower in a retrospective survey such as the SCF and the NLSY is not surprising, as some individuals from the cohort interviewed would not have been old enough to file for bankruptcy in 1979, and some individuals who filed multiple times would only be counted as filing once. In the NLSY, 9% of filers say they have filed more than once, yet respondents were given the opportunity to report only one date of bankruptcy filing.
Alternatively, respondents may not remember the timing of their bankruptcy filing, which would lead to measurement error (and potentially inconsistent estimates) in all subsequent analysis. Without administrative confirmation, there is no way to exhaustively assess the magnitude of this problem. One approach is to compare the respondents' reported retrospective date of bankruptcy with their debt and asset levels which were reported in each survey year. If the bankruptcy information provided in 2004 can predict a break in the asset and debt data provided in each survey, then the timing of the bankruptcy is sensible.38
In Appendix Figures 5 through 7, I confirm that respondents accurately remember the year in which they filed for bankruptcy. The numbers from the figures are reported in Appendix Table 1. Appendix Figure 5 shows the total debt reported by bankruptcy filers, plotted against the relative years before or after bankruptcy, relative to the debts of respondents who never filed for bankruptcy.39 Year 0 is the year of filing for bankruptcy, and the years to the left are years prior to bankruptcy; to the right are years since filing. The plotted points are relative to those who have never filed for bankruptcy to control for time effects (as described below in more detail), so the "0" on the y-axis is equivalent to the mean value of debts for non-filers, $36,961. The figure shows that total debts fall by $15,000 upon discharge, with a large drop in the year reported as the bankruptcy year. The figure also suggests that debts re-accumulate after bankruptcy, and almost as rapidly as prior to bankruptcy.
The increase in total debts in the years following bankruptcy is a surprising pattern in Appendix Figure 5 given the damage which bankruptcy does to one's credit score. Other questions in the NLSY provide clear evidence that filing for bankruptcy has a large negative impact on post-bankruptcy credit access: over half of filers who applied for credit were rejected or received less than they asked for, compared to only 20% of non-filers who did not receive the loan they desired. This difference remains nearly thirty percentage points even after controlling for income, age, gender, race, marital status, family size, and education. Furthermore, 32% of bankruptcy filers were dissuaded from applying for credit because they anticipated rejection compared to only 13% of non-filers. Although some debts are re-accumulating well before the removal of the bankruptcy flag on the credit report (ten years), these are likely at a high cost of credit.40
Appendix Figure 6 presents the relative average amounts of "other" debts, as classified by the NLSY, which importantly includes credit card debt, around the time of bankruptcy filing. Again, these coefficients are relative to those who never filed for bankruptcy, so the "0" on the y-axis is equivalent to the mean value of debts for non-filers, $2,669. The amount of these "other" debts peaks in the two years prior to bankruptcy, and then falls by nearly $5,000. This component of debt does not re-accumulate in the six years following bankruptcy but begins to increase in years 8-10. In Appendix Figure 7, the homeownership rate of bankruptcy filers is plotted in a similar fashion, relative to those who never filed. As this is a young cohort, the mean homeownership rate for never-filers is only 33% (which should be interpreted as the "0" value on the y-axis in the figure). The fraction of bankruptcy filers owning a home falls by ten percentage points around the timing of bankruptcy. Homeownership does rebound in the years following bankruptcy, which likely contributes to the increase in total debts shown in Appendix Figure 5 (which includes mortgage debt). These graphs document the challenges to post-bankruptcy credit access and show that the dates reported retrospectively by respondents in 2004 accurately identify the inflection points in debt reported in earlier years.
For completeness, Appendix Table 1 presents the summary statistics of the NLSY data. The top portion of the table shows the mean values of standard demographic characteristics such as age, race, gender, education and parents' education. The bottom portion of the table provides a summary of what events respondents have experienced by the time of the 2004 survey. Using my definition of non-business bankruptcy, 12% of respondents have filed at some point in their lives. Many more households have experienced a displacement (a head or a spouse on UI), a health problem, or a divorce, with the proportion of the sample for each ranging from 30-48%. These shocks form the basis of the tests of the model, whether households respond to shocks in the timing and likelihood of filing for bankruptcy.
In 1995, the PSID asked respondents a similar retrospective question on whether they had filed for personal bankruptcy. In their influential study, Fay, Hurst, and White (2002, henceforth FHW) analyzed their responses to this question and used a pooled probit model to identify the drivers of the household bankruptcy decision.
The regression methodology does not take advantage of the panel dimension of the PSID. In addition, the regression does not exclude observations after individuals have filed for bankruptcy, even though they would be ineligible to file for seven years after filing (in the case of Chapter 7).
The specification of FHW includes both state and year fixed effects, which is sensible, but also includes state-level characteristics which should be captured by fixed-effects, such as the standard deviation of income over the period for a given state. This measure should be constant across time within a given state. However, it is not constant as measured by Fay, Hurst, and White.
Their reported specifications also include plausibly endogenous or simultaneously determined household-level variables, namely self-employment status, homeownership, and family size. It is feasible that these three characteristics would change around the timing of unemployment, bankruptcy, and divorce.
In Appendix Table 3, I attempt to replicate the findings of Fay, Hurst, and White (2002) using an extract of the PSID provided by Erik Hurst on his website. In Column 1 I report the estimates from FHW (2002). In Column 2 I try to replicate their reported specification. Although the numbers (and sample size) are not identical, they are exceptionally close, particularly for the "adverse event" variables of interest. With their specification, I find no significant effect of unemployment, divorce, or health problems.
When I remove all of the control variables except those which are clearly predetermined (age, race, and education), I find that the coefficient on unemployment more than doubles (reported in Column 3). In Column 4, my preferred specification, I lag self-employment status, homeownership, and family size, and exclude the state-level variables, as well as remove post-bankruptcy observations. Self-employment in the prior year is now a significant predictor of bankruptcy, whereas there is now no relationship between homeownership (consistent with my findings in the NLSY) or family size.
The coefficient on the unemployment spell with this specification is three times larger than in the replication in Column 2. This specification also yields the same finding of insignificant results on divorce and health problems. The results from this alternative specification using the same PSID extract, with only minor adjustments to the variables included in the regression, suggests a high degree of sensitivity to the chosen specification. A sensible pooled specification which removes plausibly simultaneous controls finds a strong result for the role of unemployment in predicting bankruptcy.
Alternatively, we can re-investigate the PSID by using the event study methodology as in the NLSY analysis discussed in the text and compare the results. Appendix Table 4 presents the result of this analysis. The timing of an unemployment shock is a clear predictor of bankruptcy in the year of the shock (or the following year), as the coefficient is five times larger in that year than in the pre-shock period. There are no significant effects of divorce or health problems. Again, the limited sample size of only 200 bankruptcy events in a sample of 60839 observations makes it difficult to identify any role of these shocks on the bankruptcy decision. When made comparable, the event-study results are consistent with the NLSY results, albeit statistically weaker due to sample size limitations.
Figure Appendix-1: The borrowing and saving decision in period 1
Figure Appendix-2: The borrowing and saving decision in period 2 - Employed
Figure Appendix-3: The bankruptcy decision in period 2 { Maximum value of Y1 which results in bankruptcy, by persistence of unemployment
Figure Appendix- 4. Comparison of NLSY, PSID, and SCF filing rates to national filing rate, 19792002
Figure Appendix-5. Total debts of bankruptcy filers, relative to nonfilers, by time of bankruptcy shock
Figure Appendix-6. "Other" debts of bankruptcy filers, relative to nonfilers, by time of bankruptcy shock
Figure Appendix-7. Homeownership rates of bankruptcy filers, relative to nonfilers, by time of bankruptcy shockFigure 7: FRB/US Gap
Figure 1. Probability of bankruptcy filing for men, by relative time from UI shock, NLSY
Figure 2: Probability of bankruptcy filing for women by relative time from UI shock, NLSY
Figure 3. Probability of bankruptcy filing, by relative time from divorce, NLSY
Figure 4. Probability of bankruptcy filing by relative time from disability, NLSY
| By type of asset or debt Relative Time Coefficients | Total Debt Coef. | Total Debt SE | "Other" Debts Coef. | "Other" Debts SE | Own Home? Coef. | Own Home? SE |
|---|---|---|---|---|---|---|
| 9 or more years before | -9026 | 1226 | 765 | 230 | -0.03 | 0.01 |
| 7-8 years before | -7800 | 1860 | 1240 | 436 | -0.04 | 0.02 |
| 5-6 years before | -6136 | 1851 | 790 | 305 | -0.02 | 0.02 |
| 3-4 years before | -556 | 1968 | 2388 | 420 | 0.01 | 0.02 |
| 1-2 years before | 2480 | 2334 | 3856 | 675 | 0.00 | 0.02 |
| year of bankruptcy + 1 year after | -9042 | 2133 | 2788 | 914 | -0.07 | 0.02 |
| 2-3 years after | -15755 | 1768 | -565 | 228 | -0.09 | 0.02 |
| 4-5 years after | -12333 | 2166 | -397 | 292 | -0.08 | 0.02 |
| 6-7 years after | -9771 | 2451 | -655 | 321 | -0.05 | 0.03 |
| 8-9 years after | -7491 | 3131 | 956 | 637 | -0.04 | 0.03 |
| 10 or more years after | -8368 | 3522 | 433 | 626 | -0.04 | 0.03 |
| Individuals | 7661 | 7659 | 7661 | |||
| Observations | 96354 | 87735 | 129198 | |||
| Non-filer mean | $36,961 | $2,669 | 0.33 |
Source: Author's calculations using NLSY79, 1979-2004. Estimates derived from fixed-effects model, see text for details. Standard errors clustered by individuals. "Other" debts include credit card debt, medical and legal bills and other outstanding debts.
| Variable | Obs | Mean | Std. Dev. |
|---|---|---|---|
| Less than High School | 7661 | 8.2% | 0.27 |
| High School | 7661 | 42.0% | 0.49 |
| Some College | 7661 | 23.2% | 0.42 |
| College and Up | 7661 | 26.6% | 0.44 |
| Age | 7661 | 43.3 | 2.32 |
| Mother's highest grade completed | 7188 | 11.6 | 2.78 |
| Father's highest grade completed | 6534 | 11.8 | 3.60 |
| Male | 7661 | 50.9% | 0.50 |
| African-American | 7661 | 14.3% | 0.35 |
| Ever filed for bankruptcy | 7661 | 11.1% | 0.31 |
| Ever on UI - male | 7661 | 40.5% | 0.49 |
| Ever on UI - female | 7661 | 28.0% | 0.45 |
| Ever had health problem | 7661 | 8.8% | 0.28 |
| Ever divorced | 7661 | 45.4% | 0.50 |
Source: NLSY79, 1979-2004. Observations weighted using sample weights.
| Probit coefficients Variable | FHW (2002) (1) | (2) | (3) | (4) |
|---|---|---|---|---|
| Period of unemployment | 0.110 | 0.095 | 0.229* | 0.271** |
| Period of unemployment Standard errors | (0.123) | (0.122) | (0.117) | (0.121) |
| Divorce | 0.228* | 0.213 | 0.201* | 0.202 |
| Divorce Standard errors | (0.129) | (0.131) | (0.122) | (0.130) |
| Health problems | 0.092 | 0.079 | 0.051 | 0.082 |
| Health problems Standard errors | (0.117) | (0.113) | (0.111) | (0.114) |
| Age of household head | 0.018 | 0.020 | 0.008 | 0.009 |
| Age of household head Standard errors | (0.013) | (0.013) | (0.013) | (0.014) |
| Age2 | -0.000352** | -0.00035** | -0.00027* | -0.00023 |
| Standard errors Age2 | (0.000147) | (0.00014) | (0.00015) | (0.00016) |
| Years of education | -0.037 | -0.026** | -0.037*** | -0.029** |
| Years of education Standard errors | (0.011) | (0.012) | (0.010) | (0.012) |
| African-American | -- | -0.116 | -0.069 | -0.180* |
| African-American Standard errors | -- | (0.098) | (0.096) | (0.101) |
| Financial benefit | 5.61e-05** | 2.51e-06*** | 2.83e-06*** | |
| Financial benefit Standard errors | (1.14e-05) | (5.70e-07) | (5.84e-07) | |
| Financial benefit^2 | -1.03e-9*** | -1.64e-12 | -2.13e-12 | |
| Financial benefit^2 Standard errors | (4.00e-10) | (2.47e-12) | (2.86e-12) | |
| Lagged bankruptcy rate | 5.78** | 5.760* | 5.365 | |
| Lagged bankruptcy rate Standard errors | (2.59) | (3.362) | (4.188) | |
| Family size1 | 0.032* | 0.038** | 0.021 | |
| Family size1 Standard errors | (0.017) | (0.017) | (0.020) | |
| Own home1 | -0.192** | -0.138* | 0.021 | |
| Own home1 Standard errors | (0.068) | (0.072) | (0.077) | |
| Own business1 | 0.092 | 0.186** | 0.252*** | |
| Own business1 Standard errors | (0.090) | (0.091) | (0.090) | |
| Lawyers per capita | -0.535 | -0.908 | -0.891 | |
| Lawyers per capita Standard errors | (0.797) | (0.730) | (0.618) | |
| County unemployment rate | -0.005 | 0.009 | -0.008 | |
| County unemployment rate Standard errors | (0.016) | (0.024) | (0.027) | |
| State income growth | -1.84 | -1.832 | ||
| State income growth Standard errors | (1.18) | (1.184) | ||
| State income deviation | -0.134 | -0.118 | ||
| State income deviation Standard errors | (0.091) | (0.087) | ||
| Constant | -1.95*** | -1.805*** | -2.435*** | -2.817*** |
| Constant Standard errors | (0.524) | (0.586) | (0.480) | (0.632) |
| State fixed effects | yes | yes | yes | yes |
| Year fixed effects | yes | yes | yes | yes |
| Remove post-bankruptcy obs | no | no | no | yes |
| Observations | 55,487 | 55,202 | 60,332 | 48,830 |
Source: Fay, Hurst, and White (2002) in column 1, author's calculations using PSID in columns 2-4. Standard errors (in parentheses) clustered to allow error terms for the same households to be correlated over time. *** p<0.01, ** p<0.05, * p<0.1. All regressions use the PSID family weights. 1 Family size, home ownership, and business ownership are lagged in column 4.
| By type of event Relative Time Coefficients | Unemployment Coef. | Unemployment SE | Divorce Coef. | Divorce SE | Health Problem Coef. | Health Problem SE |
|---|---|---|---|---|---|---|
| 7 or more years before | 0.002 | 0.002 | 0.001 | 0.002 | 0.001 | 0.002 |
| 5-6 years before | 0.001 | 0.002 | -0.001 | 0.001 | -0.002 | 0.000 |
| 3-4 years before | 0.004 | 0.003 | 0.001 | 0.001 | 0.002 | 0.002 |
| 1-2 years before | 0.001 | 0.001 | 0.001 | 0.002 | 0.000 | 0.001 |
| year of event + 1 year after | 0.005 | 0.002 | 0.001 | 0.002 | 0.001 | 0.001 |
| 2-3 years after | 0.000 | 0.002 | 0.000 | 0.002 | 0.000 | 0.001 |
| 4-5 years after | 0.001 | 0.002 | 0.003 | 0.002 | 0.002 | 0.002 |
| 6-7 years after | 0.001 | 0.002 | 0.004 | 0.003 | 0.003 | 0.002 |
| 8-9 years after | 0.002 | 0.003 | -0.004 | 0.001 | -0.001 | 0.001 |
| 10 or more years after | 0.006 | 0.005 | -0.005 | 0.001 | 0.006 | 0.005 |
| Additional Controls | Yes | Yes | Yes | |||
| Individuals | 6062 | 5679 | 6062 | |||
| Observations | 60839 | 57345 | 60839 | |||
| Baseline (never shocked) | 0.002 | 0.003 | 0.003 | |||
| p-value for test of pre-shock coefs. = 0 | 0.06 | 0.43 | 0.60 | |||
| p-value for test of shock year = previous year | 0.13 | 0.99 | 0.56 |
Source: Author's calculations using PSID, 1984-1995, with family weights. Estimates from linear probability model, see text for definition of events. Standard errors clustered by individuals. Additional controls are education (highest grade completed) and race.
| By type of event Relative Time Coefficients | UI - Men | UI - Men SE | UI - Women Coef. | UI - Women SE | Divorce Coef. | Divorce SE | Disability Coef. | Disability SE |
|---|---|---|---|---|---|---|---|---|
| 7 or more years before | 0.002 | 0.001 | 0.002 | 0.001 | 0.001 | 0.000 | 0.001 | 0.001 |
| 5-6 years before | -0.001 | 0.001 | -0.001 | 0.001 | 0.001 | 0.001 | 0.001 | 0.002 |
| 3-4 years before | 0.000 | 0.001 | 0.002 | 0.002 | 0.001 | 0.001 | 0.006 | 0.003 |
| 1-2 years before | 0.003 | 0.002 | 0.005 | 0.003 | 0.003 | 0.001 | -0.002 | 0.002 |
| year of event + 1 year after | 0.010 | 0.003 | 0.012 | 0.004 | 0.006 | 0.002 | 0.007 | 0.004 |
| 2-3 years after | 0.004 | 0.002 | 0.002 | 0.003 | 0.006 | 0.002 | 0.006 | 0.004 |
| 4-5 years after | -0.000 | 0.002 | -0.004 | 0.002 | 0.005 | 0.002 | 0.004 | 0.004 |
| 6-7 years after | 0.000 | 0.002 | 0.002 | 0.004 | 0.000 | 0.002 | 0.009 | 0.005 |
| 8-9 years after | 0.002 | 0.003 | 0.007 | 0.005 | 0.001 | 0.002 | 0.003 | 0.005 |
| 10 or more years after | 0.008 | 0.002 | 0.001 | 0.003 | 0.008 | 0.002 | -0.001 | 0.003 |
| Additional Controls | Yes | Yes | Yes | Yes | ||||
| Individuals | 2661 | 2900 | 6541 | 7615 | ||||
| Observations | 35671 | 31435 | 125872 | 146621 | ||||
| Baseline (never shocked) | 0.004 | 0.006 | 0.004 | 0.006 | ||||
| p-value for test of pre-shock coefs. = 0 | 0.19 | 0.14 | 0.02 | 0.19 | ||||
| p-value for test of shock year = previous year | 0.04 | 0.10 | 0.10 | 0.04 |
Source: Author's calculations using NLSY, 1979-2004. Estimates from linear probability model, see text for definition of spells. Standard errors clustered by individuals. Additional controls are education (highest grade completed) and race. Respondents' gender is included as a covariate in the last two specifications.
| In the last three years | All shocks Filers | All shocks Non-filers | First instance Filers | First instance Non-filers |
|---|---|---|---|---|
| PSID Period of unemployment | 18.8 | 10.9** | 14.3 | 8.1** |
| PSID Divorce | 14.1 | 10.2 | 11.2 | 8.7 |
| PSID Health problems | 15.2 | 14.4 | 9.8 | 9.9 |
| NLSY Any UI | 23.6 | 17.3*** | 9.1 | 5.0*** |
| NLSY Man UI spell (men) | 23.3 | 16.0*** | 10.7 | 8.7 |
| NLSY Woman UI spell (women) | 14.7 | 10.7** | 9.1 | 6.7** |
| NLSY Divorce | 19.5 | 8.4*** | 13.3 | 6.6*** |
| NLSY Work limitation | 15.2 | 10.5 | 2.9 | 1.3*** |
Source: Author's calculations using PSID and NLSY. Stars indicate difference across columns for filers and non-filers, *** p<0.01, ** p<0.05, * p<0.1.
| (1) | (2) | (3) | (4) | |
|---|---|---|---|---|
| Change in Total Jobs | -0.010*** | -0.011*** | -0.014*** | -0.018*** |
| Change in Total Jobs Standard errors | (0.001) | (0.002) | (0.003) | (0.005) |
| 1st lag | -0.008*** | -0.009*** | -0.012*** | |
| 1st lag Standard errors | (0.001) | (0.001) | (0.002) | |
| 2nd lag | -0.002 | -0.005*** | ||
| 2nd lag Standard errors | (0.002) | (0.002) | ||
| 3rd lag | 0.006 | |||
| 3rd lag Standard errors | (0.006) | |||
| Change in Manufacturing jobs | -0.026*** | -0.034*** | -0.042*** | -0.074*** |
| Change in Manufacturing jobs Standard errors | (0.009) | (0.010) | (0.010) | (0.016) |
| 1st lag | -0.006 | -0.014** | -0.021** | |
| 1st lag Standard errors | (0.006) | (0.006) | (0.008) | |
| 2nd lag | 0.010 | 0.002 | ||
| 2nd lag Standard errors | (0.012) | (0.012) | ||
| 3rd lag | -0.009 | |||
| 3rd lag Standard errors | (0.007) | |||
| Change in Non-manufacturing jobs | -0.008*** | -0.008*** | -0.010*** | -0.011*** |
| Change in Non-manufacturing jobs Standard errors | (0.002) | (0.002) | (0.002) | (0.003) |
| 1st lag | -0.008*** | -0.009*** | -0.012*** | |
| 1st lag Standard errors | (0.002) | (0.001) | (0.002) | |
| 2nd lag | -0.005** | -0.007*** | ||
| 2nd lag Standard errors | (0.002) | (0.001) | ||
| 3rd lag | 0.006 | |||
| 3rd lag Standard errors | (0.008) | |||
| County fixed effects? | Yes | Yes | Yes | Yes |
| Year fixed effects? | Yes | Yes | Yes | Yes |
| Control for change in households? | Yes | Yes | Yes | Yes |
| Number of counties | 3135 | 3135 | 3135 | 3135 |
| Number of observations | 75240 | 72105 | 68970 | 65835 |
Dependent variable = number of non-business bankruptcies in a county Standard errors (in parentheses) clustered at the county level. *** p<0.01, ** p<0.05, * p<0.1
Note: The bottom panel presents 3 separate regressions (where the changes in manufacturing and non-manufacturing jobs enter the equation separately). Sources: Bankruptcy data: AOUSC 1980-2004, Employment data: CBP 1977-2004.
| Interacted Covariate | (1) High Unemp. Rate | (2) Above Median in 1980: Fraction w/HS diploma | (3) Above Median in 1980: Fraction w/college degree | (4) Above Median in 1980: % African-American | (5) Above Median in 1980: Median Age | (6) Above Median in 1980: County Population | (7) Above Median in 1980: Median Household Income |
|---|---|---|---|---|---|---|---|
| Change in Total Jobs | 0.001 | -0.004 | -0.005*** | -0.014** | -0.014*** | -0.005** | -0.004* |
| Change in Total Jobs Standard errors | (0.006) | (0.003) | (0.002) | (0.007) | (0.002) | (0.002) | (0.002) |
| Change in Total Jobs x Covariate | -0.044*** | -0.006** | -0.006*** | 0.004 | 0.006* | -0.005** | -0.007*** |
| Change in Total Jobs x Covariate Standard errors | (0.011) | (0.003) | (0.002) | (0.007) | (0.003) | (0.002) | (0.002) |
| County fixed effects | Yes | Yes | Yes | Yes | Yes | Yes | Yes |
| Year fixed effects | Yes | Yes | Yes | Yes | Yes | Yes | Yes |
| Change in HHs? | Yes | Yes | Yes | Yes | Yes | Yes | Yes |
| Number of counties | 3135 | 3135 | 3135 | 3135 | 3135 | 3135 | 3135 |
| Number of obs | 75240 | 75240 | 75240 | 75240 | 75240 | 75240 | 75240 |
Dependent variable = number of non-business bankruptcies in a county Standard errors (in parentheses) clustered at the county level. *** p<0.01, ** p<0.05, * p<0.1
In Column 1, high unemployment = 1 if national unemployment>6%, the median for 1977-2004.
In Columns 2-7, each covariate = 1 if the 1980 value is greater than the median for all 3135 counties. Sources: Bankruptcy data: AOUSC 1980-2004, Employment data: CBP 1977-2004 Unemployment Rate: BLS, Demographic data: 1980 Census