The Federal Reserve Board eagle logo links to home page

Foreign Participation in Local-Currency Bond Markets

John D. Burger and Francis E. Warnock*

NOTE: International Finance Discussion Papers are preliminary materials circulated to stimulate discussion and critical comment. References in publications to International Finance Discussion Papers (other than an acknowledgment that the writer has had access to unpublished material) should be cleared with the author or authors. Recent IFDPs are available on the Web at http://www.federalreserve.gov/pubs/ifdp/. This paper can be downloaded without charge from the Social Science Research Network electronic library at http://www.ssrn.com/.


Abstract:

We analyze the development of, and foreign participation in, 49 local bond markets. Countries with stable inflation rates and strong creditor rights have more developed local bond markets and rely less on foreign-currency-denominated bonds. Less developed bond markets have returns characterized by high variance and negative skewness, factors eschewed by U.S. investors. Results based on a three-moment CAPM indicate, however, that it is diversifiable idiosyncratic risk that U.S. investors appear to shun. Taken as a whole our results hint at a virtuous cycle of bond market development: Creditor friendly policies and laws can spark local bond market development that enables the development of derivatives markets and, in turn, attracts foreign participation.

Keywords: bond market development, home bias, emerging market debt, original sin

JEL Classification: F30, G11, G15, O16

*Burger is Assistant Professor at the Sellinger School of Business and Management at Loyola College of Maryland. Warnock is Economist in the International Finance Division of the Board of Governors of the Federal Reserve System and Adjunct Assistant Professor at the Walsh School of Foreign Service at Georgetown University. An earlier version of this paper was distributed as IFDP#755, ``Diversification, Original Sin, and International Bond Portfolios.'' The authors thank William Griever, Thomas Jans, and Denis Petre for invaluable assistance with data; JP Morgan for providing data on bond returns; and Jillian Faucette, Tamara Hayford, and Sara Holland for research assistance. We thank for helpful comments Morris Goldstein, Bill Helkie, Olivier Jeanne, Steve Kamin, Ross Levine, Ugo Panizza, Vincent Reinhart, Charles Thomas, Joachim Voth, Jon Wongswan, and seminar participants at CEPR/Gerzensee Conference on International Capital Flows, IF Monday Workshop, IMF Research Seminar, Loyola College, and University of North Carolina. All errors are our own. John Burger acknowledges support from the Sellinger School Junior Sabbatical Program. The views in this paper are solely the responsibility of the authors and should not be interpreted as reflecting the views of the Board of Governors of the Federal Reserve System, or of any other person associated with the Federal Reserve System. Email addresses for the authors are [email protected] and [email protected]. Return to text


1  Introduction

A well-functioning domestic bond market provides an important means for firms and governments to borrow funds. Historically, the ability of a country to borrow internationally by selling bonds to foreign investors has enabled expansion (e.g., the funding of the Lousiana Purchase), economic development (railroads), and war (too numerous to cite).1 In a world of asymmetric information, firms needing to raise cash look first to bonds [Myers (1984)], which, unlike equities, enable borrowing without relinquishing control rights. From an investor's perspective, foreign bonds offer potential diversification benefits that have been documented by Levy and Lerman (1988), Jorion (1991), and Levich and Thomas (1993), among others. Indeed, according to U.S. capital flows data, cross-border flows in bonds greatly exceed those in equities; U.S. gross cross-border trading of bonds averaged $8.6 trillion annually in the 1990s, more than three times the trading in equities.

Despite the importance of bond markets, data limitations have hampered research. Unlike equities, information on bonds is not readily available across a wide range of countries, in part because bonds do not typically trade on standardized exchanges. Perhaps because of the relative paucity of bond market data, the literatures on financial development and international portfolio analysis have largely focused on equities with little analysis of the diversification opportunities offered by international bonds. A limited discussion of international bond returns and the home bias is provided by Bekaert and Harvey (2003), Karolyi and Stulz (2002), and Tesar and Werner (1995).2

In this paper we aim to enhance our understanding of global bond markets, focusing on local-currency bonds throughout. We present data on the characteristics of the world bond market portfolio and analyze factors associated with local bond market development. We describe the returns characteristics of hedged and unhedged bonds and note important differences related to bond market development. We then investigate the ability of countries to attract foreign investment by analyzing the determinants of U.S. investors' portfolios.

We begin, in Section 2, with a description and analysis of the world bond market. Compiling data from a number of sources, we present information on the size and currency composition of bond markets in 49 countries. We investigate the determinants of local-currency bond market development (the ratio of the size of the local bond market to GDP) and the local-currency share (the percentage of outstanding bonds issued in local currency). Our analysis reveals roles for both creditor-friendly policies and creditor-friendly laws. Countries with better historical inflation performance (an outcome of creditor-friendly policies) have more developed local bond markets and rely less on foreign-currency-denominated bonds. Creditor-friendly laws matter, too; strong rule of law is associated with deeper local bond markets, while countries with better creditor rights are able to issue a higher share of bonds in their local currency.

The analysis of local-currency bond market development is important for investors and policy makers alike. A country that relies heavily on foreign-currency bonds may suffer from a currency mismatch that could lead it on a downward spiral of self-fulfilling crises [Krugman (1999), Schneider and Tornell (2001), Aghion, Bacchetta and Banerjee (2001)]. Deeper local bond markets can also provide a redundancy of funding sources, something that may well ameliorate financial crises [Greenspan (1999)]. From the investor's perspective, increased breadth of local bond markets provides enhanced opportunities for investors to diversify their bond portfolios. Further, after the recent string of currency crises, investors are likely to keep a close eye on the share of a nation's debt that is denominated in the local currency.

While the bond market analysis in Section 2 provides insights into a country's ability to issue local-currency-denominated debt, it does not address whether these local-currency bonds will be attractive to international investors. We do not have data on all foreigners' investment in local bond markets, but rely instead on high quality data on the international bond positions of one of the largest groups of international bond investors, U.S. investors. We first illustrate in Section 3, from the perspective of a U.S.-based investor, the historical risk and return characteristics of hedged and unhedged local-currency bonds. Returns on unhedged developed country bonds are very volatile because exchange rates are volatile, but they also provide an attractive skewness profile because bad outcomes in these bond markets tend to coincide with capital inflows and currency appreciation. In contrast, returns on emerging market bonds exhibit sizeable volatility and--because periods of poor emerging bond market performance coincide with capital outflows and not with currency appreciations--the most negative skewness. Classifying by the degree of bond market development yields a similar conclusion: Countries with less developed bond markets have returns that are more volatile and left-skewed.

We then, in Section 4, follow work by Kraus and Litzenberger (1976), Athayde and Flores (forthcoming) and Harvey, Liechty, Liechty, and Muller (2003) and sketch a model in which investors care about the mean, variance, and skewness of returns. The model predicts that if these characteristics are priced with respect to the U.S. investor, country weights in U.S. investors' international bond portfolios should be a function of bond market capitalizations and direct barriers to international investment. To the contrary, we find evidence that U.S. investors avoid local-currency bonds that have returns with historically high variance and negative skewness. Decomposing these risks, we find that U.S. investors are avoiding diversifiable idiosyncratic risk, yet another indication of the home bias in portfolios.

We conclude by discussing the possibility of a virtuous cycle in local bond market development. Countries that pursue responsible policies (low, stable inflation and strong institutions) are better able to develop local-currency bond markets. Countries with these policies also have lower variance and more right-skewed bond returns, factors that should attract international investors. In addition, development of local bond markets will allow the creation of derivative markets, thus enabling international investors to hedge currency risk. The ability to hedge currency risk should increase foreign participation and, supporting this, we find some evidence that countries with more active derivatives markets attract a larger U.S. investor presence. If emerging economies are able to borrow internationally in their local currency, they can better avoid the pitfalls of a currency mismatch and thus further stabilize their macroeconomic performance.

2  The World Bond Market Portfolio

In this section we first present salient features of the world bond market portfolio and then analyze determinants of countries' local-currency bond market development.

2.1  The Size and Geography of the World Bond Market

Unlike equity markets, about which information is readily available, comprehensive information on the size of the global bond market is not available from any one source. La Porta, Lopez-de-Silanes, Shleifer, and Vishny (1997, henceforth LLSV) present data on debt finance, but their measure is of private bank debt and nonfinancial bonds. In this section we present information on the size and currency composition of bond markets in 49 countries.3

Our estimates of the size of each country's bond market are derived primarily from unpublished data from the Bank for International Settlements (BIS). For international bonds (i.e., those in foreign currencies or placed abroad), we use the security-level data underlying BIS Quarterly Review Table 14B. To form the security-level international bonds database, the BIS combines information from Capital DATA (Bondware), Thomson Financial Securities Data (Platinum), and Euroclear; identifies and removes duplicates; corrects mistakes; ensures a consistent classification of issuers across the different sources; and performs general quality control. The BIS data on international bonds are likely the most comprehensive available, but they do not include information on Brady bonds, which we obtain from Merrill Lynch (2002). For domestic bonds, we rely again on unpublished data from the BIS. BIS Quarterly Review Table 16A publishes data on outstanding domestic debt securities, but combines both short- and long-term securities. In our study we focus on long-term debt securities--those with an original maturity of more than one year--and so utilize instead the unpublished long-term component of the domestic debt data.

The global bond market totaled $31.1 trillion in 2001 (Table 1). The bulk of outstanding bonds were issued by developed countries (93%), in particular the United States (46%), euro area (22%), and Japan (16%). Emerging market issuance comprised the other 7% of the global bond market, with issuance much greater in emerging Asia (3.8% of the global market) than in Latin America (1.7%). Developed country bond markets not only comprised a large portion of the global bond market, but they were also large relative to the size of their economies: Most developed countries have outstanding bonds that are about equal in magnitude to the size of annual GDP (third column). For example, the bonds-to-GDP ratio is 105% for Germany, 116% in Japan, and 141% in the United States. Emerging bond markets are much smaller, averaging just 39% of annual GDP.

In this paper we focus on local-currency bonds issued by residents of a particular country (for example, Chile) in that country's currency (Chilean pesos), regardless of whether it was placed in the domestic market or offshore. Local-currency bond markets make up the bulk of the global bond market (right panel of Table 1), totaling $28.7 trillion, or 92% of all bonds; the other 8% of outstanding bonds were issued in foreign currencies, primarily the dollar, euro, and sterling.

2.2  The Determinants of Local Bond Market Development

Table 1 reveals quite a bit of variation in the size of local-currency bond markets. Variation is evident among developed countries; Denmark's local bond market is 151% of its GDP, whereas Finland's is only 48%. Variation is evident within regions; Chile's local bond market is 52% of GDP, whereas Mexico's is only 9%. And variation is not just a developing versus emerging market split; were Malaysia considered a developed country, its bond market would be at the median.

In this section we examine the determinants of two measures of local bond market development: the ratio of the size of the local bond market to GDP (Local Development) and the share of a country's outstanding bonds that are denominated in the local currency (Local Share). Understanding the factors associated with the observed variation in local bond market development should be important to both policy makers and investors. Investors, whether they hold local-currency or foreign-currency bonds, should be wary of a country that relies heavily on foreign-currency bonds, as the resulting currency mismatch could lead it on a downward spiral of self-fulfilling crises. From a policy maker's perspective, the determinants of local bond market development may provide a prescription for avoiding the financial fragility inherent in a currency mismatch.4

In our regressions (Table 2), we follow LLSV (1997) and examine the influence of Rule of Law, Creditor Rights, country size (as measured by the log of GDP), and growth rates (annual GDP growth over the preceding ten years).5 As argued in LLSV (1997), country size and growth might influence the breadth of markets. Creditor Rights measures whether the laws of a country are creditor friendly; we also include another variable, Inflation Variance (the variance of the inflation rate over the past ten years), as a measure of whether policies have been creditor friendly. Columns (1) and (2) present results from parsimonious regressions of all 49 countries in our study. Columns (2) and (3) include other variables that have less coverage and reduce the sample to 41 countries.6

All regressions in Table 2 provide strong evidence that large countries and those with better inflation performance (the result, perhaps, of more stable monetary and fiscal policies) have larger local-currency bond markets and rely less on foreign currency bonds.7 Countries with stronger institutions (high score on Rule of Law) have broader local-currency bond markets, and those with stronger Creditor Rights rely less on foreign currency bonds. Overall, our results are similar to LLSV (1997), who analyzed the extent of debt financing (bank debt and nonfinancial bonds), but we also highlight the importance of creditor friendly policies (i.e., stable inflation environment) and perhaps offer a more nuanced explanation of the roles of Rule of Law (which enable local bond market development) and Creditor Rights (which enables borrowing in the local currency and less reliance on foreign currency bonds).8

Our results suggest that countries such as Australia (with a low score on creditor rights), Indonesia (poor inflation performance), or Peru (poor rule of law) might increase the breadth of their local-currency bond market and rely less on foreign currency borrowing if they address their deficient creditor laws and policies. They are also consistent with the model of Jeanne (2002), which shows an important role for monetary policy credibility in explaining the currency composition of a country's debt. To gauge the importance of various factors, our results imply that (ceteris paribus) if Brazil had Denmark's rule of law, its bond market as a share of GDP would be 40 percentage points higher. If Brazil had Denmark's inflation history, its bond market would be 32 percentage points (of GDP) larger. These amounts are both economically significant--Brazil's local-currency bond market is currently only 20 percent of GDP--and suggest an important role for creditor friendly policies in emerging markets. Finally, there may also be virtuous interactions between the development of the bond market and future inflation performance; for example, Eichengreen and Hausmann (1999) suggest that a well-developed domestic bond market may generate a political constituency opposed to inflationary policies.

3  Risk and Return Characteristics of International Bond Portfolios

Having described and analyzed the breadth of bond markets in a wide range of countries, we now analyze factors that attract foreign participation. We do not have data on all foreigners' investment in bond markets, so we rely instead on data on the largest group of international investors in the world, U.S. investors. Before turning to the analysis of international portfolio allocations, in this section we present the (ex post) risk and return characteristics of international bond markets from the perspective of a U.S.-based investor.

Not knowing the extent to which international bond positions are hedged, we form two sets of returns. The first, Unhedged, is comprised of unhedged local-currency bonds for developed countries. For emerging markets, where local-currency bond indices are generally not available, Unhedged is the sum of currency returns and bond returns from the EMBI (which is composed of dollar-denominated bonds). Our second set of returns, Hedged, are comprised of hedged bonds for developed countries and returns on dollar-denominated bonds for emerging markets.9

Table 3 presents statistics on the mean, variance, and skewness of hedged and unhedged historical returns. Three features of returns stand out. First, for developed country bonds, a comparison of hedged and unhedged returns indicates that hedged returns were much higher (7% per year vs. 0.7%) and much less volatile (0.017 vs. 0.140). The mean-variance dominance of hedged bonds is also illustrated in Figure 1, which depicts the risk-return profiles of hedged (dashed line) and unhedged (solid line) bond portfolios for the period from January 1994 to December 2001.10 The higher return that hedged foreign bonds provided U.S. investors is clearly sample dependent; December 2001 coincided with the apex of the dollar's six-year appreciation. But the fact that unhedged returns are much more volatile than hedged returns, on average by a factor of eight, is not sample dependent. From the perspective of a U.S.-based investor, unhedged returns are comprised of returns on the underlying bond and on the foreign currency; the latter component, foreign currency returns, is notoriously volatile. As pointed out in Levich (2001), a negative covariance between currency and bond returns--caused perhaps by tight monetary policy that results in bond losses but capital inflows that appreciate the currency--would reduce the variance of unhedged foreign currency positions somewhat, but the reduction is likely orders of magnitude smaller than the variance of currency returns.

Second, although hedged bonds dominated unhedged bonds in a mean-variance sense during this period, unhedged bonds provided a more attractive skewness profile. The unhedged returns of every developed country bond market (except for Sweden's) exhibited positive skewness, while for most countries hedged returns were negatively skewed. A plausible explanation of this relationship is that in months when developed country bonds experience a large negative return, the currency appreciates and eliminates the infrequent bad outcome for a U.S.-based investor. The case of Japan, with the largest negative skewness among hedged returns for developed countries, is instructive. In December 1998, long-term interest rates in Japan surged following the announcement of various fiscal stimulus measures. U.S. investors holding a hedged portfolio of Japanese bonds experienced a substantial 5% loss during the month; hence, the negative skewness. But a simultaneous appreciation of the yen generated by capital inflows enabled U.S. investors holding unhedged Japanese bonds to earn a positive return in dollar terms. More generally, this relationship is evidence that we do not see `flight-from-quality' in developed country capital markets. Bond returns might at times be negative, and sometimes severely so, but this does not tend to coincide with broad-based capital outflows and, hence, is not associated with currency depreciations.

The third regularity is that returns on emerging market bonds--indeed, less developed bond markets in general, regardless of the level of economic development--were much more volatile and exhibited significantly more negative skewness than developed country bonds. The average variance for emerging market bond returns was 0.8, nearly six times greater than the unhedged developed country bond returns, and the average skewness was negative (-0.95). Returns on dollar-denominated emerging market bonds (bottom right) were also very volatile and negatively skewed. Figure 2 shows that less developed bond markets are characterized by higher variance and more negative skewness, whether returns are assumed to be hedged or not. This highlights a distinct difference between emerging market and developed country bonds (or less developed and more developed bond markets): Periods of negative bond returns for emerging markets do not coincide with currency appreciations. To the contrary, periods of rising interest rates often occur during an episode of financial flight and currency depreciation--the makings of a currency crisis.

4  Foreign Participation in Local Bond Markets

In this section we analyze the extent and determinants of foreign participation in local bond markets. We first present the country allocation of U.S. investors' international bond portfolios, and compare that allocation with the composition of the world bond market portfolio. This shows that U.S. investors severely underweight foreign bonds overall, and the bonds of some countries more than others. We then present a simplified mean-variance-skewness model that informs our regressions on deviations from world portfolio weights.

4.1  Comparison of U.S. Investors' Foreign Bond Portfolio and the World Market Portfolio

Table 4 presents data on U.S. investors' foreign bond portfolios.11 The first column shows two facts that are not terribly surprising. Compared to their weight in the world bond market portfolio ( $ \omega_{m}$ = 46.95%), local-currency bonds have only a very small weight in U.S. investors' bond portfolios ( $ \omega_{us}$ = 1.22%). And the vast majority ($150 billion) of U.S. holdings of local-currency foreign bonds was issued by developed countries, compared to only $3 billion of emerging market bonds.

The underweighting is best illustrated in the final column, which shows the ratio of weights in U.S. portfolios to weights in the world market portfolio. If allocations in U.S. investors' bond portfolios were in line with the world bond market portfolio, this ratio would equal one, but it is much less than one for every country. The underweighting is severe in developed country's bonds ( $ \omega_{us}$ / $ \omega_{m}$ = 0.029) and even more so in emerging markets ( $ \omega_{us}$ / $ \omega_{m}$ = 0.004). But there are exceptions. For example, the relative weight on South African bonds ( $ \omega_{us}$ / $ \omega_{m}$ = 0.029) is greater than the weight on many developed country bonds. In the next subsection, we analyze the variation in relative portfolio weights.

4.2  Historical Returns Characteristics, Capital Account Restrictions, and U.S. Participation

Table 4 establishes that U.S. investors' foreign bond portfolios deviate substantially from the world market portfolio. In this section we sketch a simple model of portfolio allocation that encompasses two features of international bond markets--barriers to international investment and returns that exhibit higher moments--and use the model to inform cross-sectional regressions of the extent to which U.S. investors' portfolio weights deviate from benchmark (market) weights.

We follow the work of Kraus and Litzenberger (1976), Athayde and Flores (forthcoming), and Harvey, Liechty, Liechty, and Muller (2003) and allow for the fact that asset returns exhibit higher moments and that investors with non-increasing absolute risk aversion should care about skewness, in particular, in addition to mean and variance.12 Specifically, we assume that investors choose a vector of portfolio weights, $ \omega$, to maximize utility that is a function of (expected) returns $ x$, variance $ V_{x}$, and skewness $ S_{x}$:

$ U(\omega,x,V_{x},S_{x})=\omega^{\prime}x-\lambda\omega^{\prime}V_{x} \omega+\gamma\omega^{\prime}S_{x}\omega\otimes\omega$ (1)

where $ V_{x}=(x-\overset{-}{m})(x-\overset{-}{m})^{\prime}$  (2)
$ S_{x}=V_{x}\otimes(x-\overset{-}{m})^{\prime}$  (3)

$\displaystyle \overline m =\sum\limits_{i=1}^{N} {xi} /N$ (4)

and $ \lambda$ and $ \gamma$ are the relative utility weights on variance and skewness, respectively. Alternatively, investors can determine the optimal portfolio by minimizing variance subject to expected returns (net of costs) and skewness. Analytical solutions to this optimization problem are rather complicated--see Harvey et al. (2003) and Athayde and Flores (forthcoming), who note that feasible solutions can be calculated in most cases--but take the general form:
$ \omega=f(\overset{+}{x},\overset{-}{V}_{x},\overset{+}{S}_{x})$ (5)

where the signs above the arguments indicate that weights should be higher on countries that add to the portfolio's expected returns and skewness and reduce the portfolio's variance.

In an international setting, we must also control for barriers to international investment. For example, we analyze U.S. positions in local-currency bonds, but some countries have capital controls such as restrictions on the repatriation of investment income. Direct barriers to international investment can be modeled by assuming that they impose a cost, $ C$, that varies across countries and reduces investors' expected returns.13 If , in addition, a separation theorem is invoked (see, for example, Cass and Stiglitz (1970)) and variance and skewness are fully priced, a U.S. investor's optimal allocation can be represented by a vector of portfolio weights, $ \omega_{us}$, that depends on the vector of world market portfolio weights, $ \omega_{m}$, and the vector of costs from barriers to investment, $ C$:

$\displaystyle \omega_{us} =f(\mathop {\omega _m }\limits^{+} ,\mathop C\limits^{-} )$ (6)

Our empirical exercise in this section controls for world market portfolio weights and barriers to international investment and tests whether the expected mean, variance, and skewness of returns affect U.S. portfolio allocations. Specifically, we estimate OLS regressions of the following type:
$\displaystyle \frac{\omega_{i,us} }{\omega_{i,m} }=\alpha_{0} +\alpha_{1} Openness_{i} +\alpha_{2} x_{i} +\alpha_{3} Vi+\alpha_{4} Si+\varepsilon_{i}$ (7)

where $ \omega_{i,us / }\omega_{i,m}$ is the weight of country $ i$ in the U.S. bond portfolio ( $ \omega_{i,us})$ relative to its weight in the world bond market portfolio ( $ \omega_{i,m})$; Openness$ _{i}$ is an average of the 2000 and 2001 measures of capital account openness from Gwartney et al. (2003), ranging from zero (completely closed) to ten (completely open); and $ x_{i}$, $ V_{i}$, and $ S_{i}$ are the expected mean, variance, and skewness of returns.

Empirical implementation of this model requires measures of the expected mean, variance, and skewness of returns. For expected mean returns, we allow for the possibility that investors use past returns to forecast future returns, but also rely on past work indicating that business cycle variables have predictive power for bond returns [Keim and Stambaugh (1986); Chen (1991); and Ilmanen (1995)]. We construct a de-trended real stock market variable, Cycle, equal to one if the country's stock market index is at the long-run trend, greater than one if the stock market is above historical trend, and less than one if it is below trend.14 Expected bond returns should be high at a cyclical peak; when stock prices are high relative to trend, an economic slowdown might be in the offing, which would allow interest rates to fall and produce higher bond returns. For variance and skewness, evidence suggests that historical averages have sufficient predictive power, at least in the cross-section. Erb, Harvey, and Viskanta (2000) suggest as much by noting the constancy of skewness in emerging market bonds. To confirm that historical averages of variance and skewness are reasonable proxies for expected future values, we calculate rank correlations of historical averages (computed over the 1993 - 1997 period) with future values (1998). The rank correlations are quite high, 0.67 for historical and future variance and 0.59 for skewness, indicating that historical values are reasonable proxies for expected values. Not surprisingly, the rank correlation for historical and future mean is somewhat lower at 0.31.

With these observations in mind, our working model is the following cross-sectional regression (with country $ i$ subscripts omitted):

$\displaystyle \frac{\omega_{us} }{\omega_{m} }=\alpha_{0} +\alpha_{1} Openness+\alpha_{2} x_{0} +\alpha_{3} V_{0} +\alpha_{4} S_{0} +\alpha_{5} Cycle+\varepsilon$ (8)

where $ \omega_{us/}\omega_{m}$ is based on end-2001 values, Openness is an average of 2000 and 2001 values, the 0 subscript denotes historical values calculated from monthly excess returns over the 48 month period preceding December 2001, and Cycle is the detrended stock market value as of December 2001.15

The empirical results are presented in Table 5. Because New Zealand is an outlier--U.S. investors hold an exceptionally large percentage of the local-currency New Zealand bond market--we report results both with New Zealand [columns (1), (2), and (4)] and without [columns (2), (3), and (5)]. The left panel, which assumes that returns are unhedged, indicates an aversion to volatile bond markets. To investigate whether this aversion to volatility carries over in the absence of exchange rate risk, we repeat the exercise using hedged returns in the right panel. Due to a high degree of collinearity between the variance and skewness of hedged returns ($ \rho$ = -0.60), we do not include these risk measures together in the same regression. Columns (2) and (3) report a highly significant coefficient on the variance of hedged returns, evidence that exchange rate volatility is not the whole story. Columns (4) and (5) display a positive and statistically significant coefficient for skewness. Evidence of returns-chasing behavior--of either past or prospective returns--is absent; historical returns and Cycle are insignificant in most specifications.

Overall the results in Table 5 suggest that U.S. investors avoid bond markets that exhibit high historical variance and/or negative skewness. The coefficients in column (3) indicate that if a country were able to lower the variance of its hedged bond returns from the emerging market average to the industrial country average, U.S. investors would increase their holdings by 1.3% of bonds outstanding. Likewise, column (5) indicates improving skewness from the emerging market average to the industrial country average would attract an increase in holdings of 1.1% of bonds outstanding. These figures are economically significant; as of end-2001 U.S. investors held on average only 0.4% of local-currency emerging market debt and 2.9% of developed country bonds.

By avoiding bonds with highly volatile and negatively skewed returns, U.S. investors are demonstrating an aversion to two measures of risk. But the measures of returns volatility and skewness in Table 5 fail to separate systematic and idiosyncratic sources of these risks. To disentangle the two, we follow Kraus and Litzenberger's (1976) two-stage approach.16 First, a three-moment CAPM is estimated for each country's bond returns. Specifically, let r$ _{i}$ be country $ i$'s bond returns, r$ _{f}$ the risk-free rate, and r$ _{m}$ returns on the world bond market. For each country $ i$ we estimate the following three-moment CAPM using (at most) 48 months of returns data:

$\displaystyle r_{i} -r_{f} =\alpha_{i} +\beta_{i} (r_{m} -r_{f} )+\gamma_{i} (r_{m} -\bar{r}_{m} )^{2}+\varepsilon_{i}$ (9)

The estimated $ \beta$ and $ \gamma$ coefficients provide measures of systematic variance and skewness, respectively, while the variance of the residual, $ \varepsilon$$ _{i}$, proxies for idiosyncratic risk. We use these in a second stage regression to investigate whether the degree of U.S. investors' under- or over-weighting in a market depends on systematic or idiosyncratic risk:17
-->
$ \frac{\omega_{i,us}}{\omega_{i,m}}=\theta_{1}+\theta_{2} Openness_{i}+\theta_{... ...ehat{\gamma} _{i}+\theta_{5}var\left( \widehat{\varepsilon}_{i}\right) +\mu_{i}$ (10)

Under the null hypothesis, systematic variance and skewness of returns are priced and so should not affect (relative) portfolio weights (i.e., $ \theta_{3}=\theta_{4}$). Optimal allocations will not be as easily calculated as in the traditional two moment CAPM--Athaydes and Flores (forthcoming) and Harvey et al. (2003) show just how complicated they can be--but if expected returns adjust, we should not see a relationship between $ \omega_{us}$/ $ \omega_{m}$ and systematic risk. Similarly, idiosyncratic risk should not matter because it is diversifiable, although the severe home bias depicted in Table 4 suggests that U.S. investors do not fully diversify.

Results from the second stage regressions are presented in Table 6. Once again, unhedged returns are used in the left panel and hedged returns on the right. The coefficients on the measures of systematic variance and skewness are statistically insignificant throughout Table 6. The finding that portfolio weights are not impacted by measures of systematic risk is consistent with the notion that U.S. investors expect to be rewarded with higher returns for holding higher levels of systematic risk. The coefficient on our measure of idiosyncratic risk, however, is negative and statistically significant throughout Table 6. In theory, idiosyncratic risk does not require a return, therefore this result does not suggest a market failure but rather a failure of U.S. investors to sufficiently diversify.

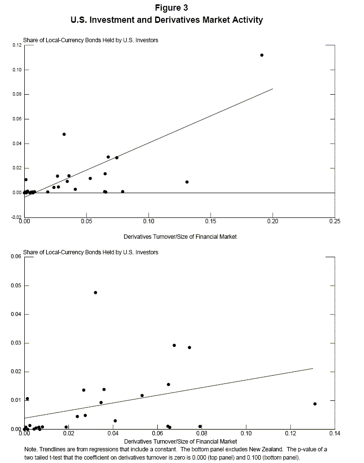
5  Derivatives and Foreign Participation

According to the results in Tables 5 and 6, U.S. investors avoid markets with highly volatile returns when forming their international bond portfolios. Given the prominence of exchange rate fluctuations in driving the volatility of local-currency bond returns, one might expect opportunities to hedge currency risk would be welcomed by international investors. By enabling investors to transfer currency risk to those more willing to bear it, the existence of derivatives markets in a country's currency should make its local bond market more attractive to foreign investors. Active derivatives markets do not exist in every currency; the ability to hedge currency risk is intimately related to bond market development, because without a liquid bond market and an established yield curve, derivative securities cannot be priced and a well-functioning derivatives market will not develop.

In this section we provide a cursory look--limited by data availability--at the link between derivatives markets and foreign participation in local bond markets. In terms of the model in the previous section, the greatest effect of derivatives markets would be to reduce the variance of a foreign investor's returns. Their effect on mean returns would be ambiguous, because not all hedges are profitable ex post.

Unfortunately, data on the breadth of derivatives markets for the currencies of a wide range of countries are not available. Notional amounts outstanding are available in the BIS Quarterly Review, but for only 12 currencies (plus the dollar). Data on derivatives market activity in the currencies of 27 countries are available in the BIS Triennial Central Bank Survey of Foreign Exchange and Derivatives Market Activity 2001. While there is a range of currencies represented, from the baht to the zloty with a number of dollars and krones in between, there are two reasons these data are not ideal for our purposes. One, they are collected in a single month of 2001 (April). There is no evidence that April 2001 was a non-standard month, but we are hesitant to draw conclusions from one month's data. Two, the measure is of trading activity, not market breadth per se.18

With these caveats in mind, Figure 3 presents the relationship between derivatives market activity (scaled by the size of the country's capital markets) and U.S. participation in the local-currency bond markets. The top panel includes New Zealand, an outlier in many dimensions: New Zealand has very small capital markets, but there is a well-functioning derivatives market in New Zealand dollars and U.S. participation in the local bond market is exceptionally high. The bottom panel excludes New Zealand; a positive relationship between derivatives market activity and U.S. participation is still evident, but the relationship is less striking. Overall, we view the evidence in Figure 3 as providing some support of a positive relationship between the existence of derivatives markets and foreign participation in local bond markets.

6  Conclusion

This paper presents data on the characteristics of the world bond market portfolio, analyzes factors associated with local-currency bond market development, and investigates the ability of countries to attract foreign participation in local bond markets. We find that countries with better historical inflation performance and stronger legal institutions have more developed local bond markets and rely less on foreign-currency-denominated bonds. In our analysis of foreign participation we find evidence that U.S. investors avoid local-currency bonds that have returns with historically high variance and negative skewness. Given that the variance of local bond returns is dominated by exchange rate volatility, this suggests an important role for currency hedges--a notion corroborated by preliminary evidence that countries with more active derivatives markets attract a larger U.S. investor presence.

Taken as a whole our findings hint at a virtuous cycle in local bond market development. Countries that pursue responsible policies (low, stable inflation and strong institutions) are better able to develop local-currency bond markets. Deeper bond markets have less volatile and more positively skewed returns, characteristics that attract foreign participation. In addition, development of local bond markets will allow the creation of derivative markets, thus enabling international investors to hedge currency risk. If emerging economies are able to borrow internationally in their local currency, they can better avoid the pitfalls of a currency mismatch and thus further stabilize their macroeconomic performance.

Finally, some limitations of our study should be noted. Some of the bonds included in our analysis may be indexed to inflation or an exchange rate and thus behave a lot like foreign-currency securities. Also, we have said nothing about the quality of bond market development. Historically, an important impetus for financial market development has been exceptional government financing needs, for example to finance large budget deficits that were often incurred to fund a war effort (Rousseau and Sylla, 2001). Indeed, some of the recent bond market development may be financing large budget deficits. Impavido et al. (2002) examine a more benign driver of financial market development, the growth of local contractual savings institutions such as pension funds and life insurance companies. We leave for further work an analysis of the quality of bond market development.

7  References

Aghion, P., P. Bacchetta, and A. Banerjee, 2001. A Corporate Balance Sheet Approach to Currency Crises. Working Paper No. 01.05 (Studienzentrum Gerzensee).

Ahearne, A., W. Griever, and F. Warnock, 2004. Information Costs and Home Bias: An Analysis of U.S. Holdings of Foreign Equities. Journal of International Economics 62: 313-336.

Athayde, G. de, and R. Flores, forthcoming. Finding a Maximum Skewness Portfolio - A General Solution to Three-Moments Portfolio Choice. Journal of Economic Dynamics and Control.

Bartram, S., G. Brown, and F. Fehle, 2003. International Evidence on Financial Derivatives Usage. mimeo, University of North Carolina.

Bayoumi, T., and B. Eichengreen, 1998. Exchange Rate Volatility and Intervention: Implications of the Theory of Optimum Currency Areas. Journal of International Economics 45: 191-209.

Bekaert, G., and C. Harvey, 2003. Emerging Market Finance. Journal of Empirical Finance vol. 10(1/2): 3-56.

Black, F., 1974. International Capital Market Equilibrium with Investment Barriers. Journal of Financial Economics, 1(3): 337-352.

Buch, C., J. Driscoll, and C. Ostergaard, 2003. Cross-Border Diversification in Bank Asset Portfolios. Mimeo, Norwegian School of Management.

Cass, D., and J. Stiglitz, 1970. The Structure of Investor Preferences and Asset Returns, and Separability in Portfolio Allocations: A Contribution to the Pure Theory of Mutual Funds. Journal of Economic Theory 2(2): 122-160.

Claessens, S., D. Klingebiel, and S. Schmukler, 2003. Government Bonds in Domestic and Foreign Currency: The Role of Macroeconomic and Institutional Factors. CEPR Discussion Paper 3789.

Cooper, I., and E. Kaplanis, 1986. Costs to Cross-border Investment and International Equity Market Equilibrium. in J. Edwards, J. Franks, C. Mayer and S. Schaefer (eds.), Recent Developments in Corporate Finance. Cambridge University Press, Cambridge.

Dahlquist, M., L. Pinkowitz, R. Stulz, and R. Williamson, 2003. Corporate Governance and the Home Bias. Journal of Financial and Quantitative Analysis 38(1): 87-110.

Devereux, M., and P. Lane, 2003. Understanding bilateral exchange rate variability. Journal of International Economics 60(1): 109-132.

Eichengreen, B., and R. Hausmann, 1999. Exchange Rates and Financial Fragility. NBER WP#7418.

Eichengreen, B., R. Hausmann, and U. Panizza, 2002. Original Sin: The Pain, the Mystery, and the Road to Redemption. Paper Presented at the IADB Conference ``Currency and Maturity Matchmaking: Redeeming Debt from Original Sin.''

Goldstein, M., 2002. Managed Floating Plus. Institute for International Economics, Washington DC.

Greenspan, A., 1999. Lessons from the Global Crises. Remarks before the World Bank Group and International Monetary Fund, Annual Meetings Program of Seminars, Washington, September 27.

Griever, W., G. Lee, and F. Warnock, 2001. The U.S. System for Measuring Cross-Border Investment in Securities: A Primer with a Discussion of Recent Developments. Federal Reserve Bulletin (October).

Gwartney, J. and R. Lawson with N. Emerick, 2003. Economic Freedom of the World: 2003 Annual Report. Vancouver: The Fraser Institute. Data retrieved from www.freetheworld.com.

Harvey, C., and A. Siddique, 2000. Conditional Skewness in Asset Pricing Tests. Journal of Finance 55(2): 1263-1295.

Harvey, C., J. Liechty, M. Liechty, and P. Muller, 2003. Portfolio Selection with Higher Moments. Mimeo, Drexel University.

Ilmanen, A., 1995. Time-varying Expected Returns in International Bond Markets. Journal of Finance 50: 481-506.

Impavido, G., A. Musalem, and T. Tressel, 2002. The Impact of Contractual Savings Institutions on Securities Markets. Mimeo, World Bank and International Monetary Fund.

International Monetary Fund, 2002. Emerging Local Bond Markets. Global Financial Stability Report (September, Chapter 4).

Jeanne, O., 2002. Why Do Emerging Economies Borrow in Foreign Currency? Paper presented at the IADB Conference ``Currency and Maturity Matchmaking: Redeeming Debt from Original Sin.''

Jorion, P., 1991. International Bonds: The Asset Class. in R. Aliber and B. Bruce (eds.) Global Portfolios. Homewood, IL: Business One Irwin.

Karolyi, G.A., and R. Stulz, 2002. Are Financial Assets Priced Locally or Globally? NBER WP#8994.

Keim, D., and R. Stambaugh, 1986. Predicting Returns in the Stock and Bond Markets. Journal of Financial Economics 17: 357-390.

Kindleberger, C., 1993. A Financial History of Western Europe (2$ ^{nd}$ edition). New York: Oxford Press.

Krugman, P., 1999. Balance Sheets, The Transfer Problem, and Financial Crises. in Isard, P., A. Razin, and A. Rose (eds.) International Finance and Financial Crises: Essays in Honor of Robert P. Flood, Jr. (Boston: Kluwer Academic; Washington: IMF).

La Porta, R., F. Lopez-de-Silanes, A. Shleifer, R. Vishny, 1997. Legal Determinants of External Finance. Journal of Finance 52(2): 1131-1150.

Levich, R., 2001. International Financial Markets: Prices and Policies (2$ ^{nd}$ edition). Boston: McGraw-Hill Irwin.

Levich, R., and L. Thomas, 1993. The Merits of Active Currency Risk Management: Evidence from International Bond Portfolios. Financial Analysts Journal 49(4): 63-70.

Levy, H., and Z. Lerman, 1988. The Benefits of International Diversification in Bonds. Financial Analysts Journal 44(4): 56-64.

Kraus, A., and R. Litzenberger, 1976. Skewness Preferences and the Valuation of Risk Assets. Journal of Finance 31(3): 1085-1100.

Merrill Lynch, 2002. The Size and Structure of the World Bond Market: 2001.

Mihaljek, D., M. Scatigna, and A. Villar, 2002. Recent Trends in Bond Markets. BIS Papers No 11.

Myers, S., 1984. The Capital Structure Puzzle. Journal of Finance 39: 581-582.

Perold, A., and E. Shulman, 1988. The Free Lunch in Currency Hedging: Implications for Investment Policies and Performance Standards. Financial Analysts Journal 44(3): 45-50.

Rosenberg, M., 1990. Why There is No Free Lunch in Currency Hedging. in L. Thomas (ed.) The Currency-Hedging Debate. London: IFR Publishing.

Rousseau, P. and R. Sylla, 2001. Financial Systems, Economic Growth, and Globalization. NBER Working Paper #8323.

Schneider, M., and A. Tornell, 2001. Boom Bust Cycles and the Balance Sheet Effect. mimeo, UCLA.

Stulz, R., 1981. On the Effects of Barriers to International Investment. Journal of Finance, 36: 923-934.

Tesar, L., and I. Werner, 1995. Home Bias and High Turnover. Journal of International Money and Finance 14, 467-493.

Treasury Department, 1998. Report on Foreign Portfolio Investment in the United States as of December 31, 1997.

Warnock, F., S. Chernenko, and J. Rogers, 2004. Exchange Rates and External Asset Positions. mimeo, Board of Governors of the Federal Reserve System.



Figure 1: Efficient Frontiers for International Bond Portfolios

Figure 1 plots the average monthly return (y-axis) against the standard deviation of returns (x-axis) for both hedged and unhedged portfolios, with each curve generally downwardly sloping.  The figure illustrates the mean-variance dominance of hedged bonds, depicting the risk-return profiles of hedged and unhedged bond portfolios for the period from January 1994 to December 2001.

Figure 2: The Relationship Between Variance, Skewness, and Bond Market Development

Figure 2 contains two panels, each being a scatter plot.  The first panel plots both the variance and the skewness of unhedged returns (y-axis) against local bond market development as a percent of GDP (x-axis),  The second panel plots the same variables for hedged returns.  In both panels, the variance and skewness generally become smaller in absolute value for higher values of the measure of local bond market development.

Figure 3: U.S. Investment and Derivatives Market Activity

Figure 3 contains two graphs, each with a scatter plot and regression line for the share of local-currency bonds held by U.S. investors (y-axis) against derivatives turnover relative to the size of the financial market.  The first graph includes New Zealand in its sample, whereas the second graph excludes it.  In both graphs, the regression line is upwardly sloping---more steeply so in the first graph.

Table 1: The World Bond Market Portfolio

All data are as of end-2001. Local-currency-denominated debt is the sum of the long-term debt component of BIS Table 16A (Domestic Debt Securities) and the local currency portion of Table 14B (International Bonds and Notes by Country of Residence). Domestic long-term debt for countries not available in Table 16A and data for Brady bonds are from Merrill Lynch (2002). Included in the total is $2.5 trillion of foreign currency bonds, denominated primarily in dollars, euros, and sterling.

 

 

Total Bonds Outstanding

($ billions)

Total Bonds Outstanding

(% in world bond portfolio)

Total Bonds Outstanding

(% of country's GDP)

Local Currency Bonds Outstanding

($ billions)

Local Currency Bonds Outstanding

(% in world bond portfolio)

Local Currency Bonds Outstanding

(% of country's GDP)

Local Currency Bonds Outstanding

(% of country''s total bonds)

Developed Countries 28,973 93.1 122 27,047 86.9 114 93
Euro Area 6,840 22.0 112 6,055 19.5 99 89
Austria 247 0.8 131 185 0.6 98 75
Belgium 313 1.0 136 303 1.0 132 97
Finland 81 0.3 67 58 0.2 48 72
France 1,254 4.0 96 1,132 3.6 86 90
Germany 1,949 6.3 105 1,789 5.7 96 92
Greece 117 0.4 100 103 0.3 88 88
Ireland 76 0.2 74 47 0.2 46 62
Italy 1,382 4.4 127 1,319 4.2 121 95
Luxumbourg 80 0.3 423 56 0.2 292 69
Netherlands 872 2.8 227 634 2.0 165 73
Portugal 85 0.3 78 77 0.2 70 90
Spain 384 1.2 66 353 1.1 60 92
Other Europe 2,049 6.6 92 1,548 5.0 70 76
Denmark 273 0.9 169 243 0.8 151 89
Iceland 11 0.0 141 7 0.0 94 66
Norway 86 0.3 51 47 0.1 28 54
Sweden 204 0.7 97 125 0.4 60 61
Switzerland 162 0.5 66 154 0.5 63 95
Great Britain 1,313 4.2 92 973 3.1 68 74
Other Developed 20,084 64.5 130 19,444 62.5 126 97
Australia 206 0.7 58 114 0.4 32 55
Canada 639 2.1 91 451 1.4 64 71
Japan 4,825 15.5 116 4,760 15.3 114 99
New Zealand 18 0.1 36 12 0.0 23 64
U.S. 14,396 46.2 141 14,107 45.3 138 98
Emerging Markets 2,156 6.9 39 1,676 5.4 30 78
Latin America 544 1.7 31 262 0.8 15 48
Argentina 130 0.4 48 37 0.1 14 28
Brazil 179 0.6 35 102 0.3 20 57
Chile 44 0.1 66 35 0.1 52 79
Colombia 28 0.1 34 16 0.1 20 58
Mexico 125 0.4 20 58 0.2 9 47
Peru 6 0.0 12 2 0.0 4 36
Venezuela 27 0.1 22 11 0.0 9 40
Uruguay 4 0.0 21 1 0.0 4 21
Emerging Asia 1,198 3.8 42 1,087 3.5 39 91
China 416 1.3 36 403 1.3 35 97
India 127 0.4 27 123 0.4 26 97
Indonesia 50 0.2 34 48 0.2 33 97
Korea 325 1.0 77 281 0.9 66 86
Malaysia 89 0.3 101 73 0.2 82 82
Pakistan 27 0.1 44 27 0.1 44 100
Philippines 32 0.1 45 16 0.1 22 50
Thailand 43 0.1 37 35 0.1 30 81
Taiwan 89 0.3 32 82 0.3 29 92
Financial Centers 98 0.3 39 63 0.2 25 64
Hong Kong 44 0.1 27 23 0.1 14 53
Singapore 54 0.2 63 39 0.1 46 73
Emerging Europe 170 0.5 39 132 0.4 30 77
Czech 11 0.0 20 10 0.0 17 86
Hungary 26 0.1 50 16 0.1 31 61
Poland 42 0.1 24 35 0.1 20 84
Turkey 91 0.3 61 71 0.2 48 78
Other Emerging 146 0.5 56 132 0.4 51 90
Israel 88 0.3 79 81 0.3 72 91
Morocco 14 0.0 40 13 0.0 39 98
South Africa 44 0.1 39 38 0.1 33 86
World 31,129 100 106 28,723 92 98 92

 

 

Table 2: Multivariate Tests of Bond Market Development

OLS regression estimates of Local Development (the size of the local-currency bond market over GDP) and Local Share (the ratio of local currency bonds to total bonds). The explanatory variables include Inflation Variance (the variance of the past ten year's inflation), Rule of Law and Creditor Rights (from LLSV, 1997), the log of GDP, and GDP Growth (the past ten year's average annual growth rate). The results of regressions excluding high-inflation countries (not shown) are very similar, with the exception that Inflation Variance is negative and insignificant in column (4); excluding Luxembourg, which has an extremely large local bond market (relative to GDP) makes ln (GDP) positive and significant in column (1). The p-value, based on robust standard errors, of the two-tailed t-test of equality with zero is reported in parentheses.

 

Local Development

(1)

Local Development

(2)

Local Share

(3)

Local Share

(4)

Inflation Variance -2.672 (0.000) -3.191 (0.000) -2.014 (0.000) -1.486 (0.000)
Rule of Law 0.108 (0.002) 0.062 (0.006) 0.005 (0.685) 0.002 (0.871)
ln (GDP) 0.007 (0.921) 0.122 (0.001) 0.052 (0.001) 0.068 (0.001)
GDP Growth   -2.501 (0.457)   2.473 (0.177)
Creditor Rights   -0.045 (0.182)   0.055 (0.004)
N 49 41 49 41
Adj. R2 0.219 0.345 0.103 0.285

 

 

Table 3. The Mean, Variance, and Skewness of Historical Returns

The underlying returns data, from JP Morgan's GBI, EMBI Global, and JACI, are monthly from January 1998 through December 2001 and are expressed per annum. For emerging markets, hedged returns are returns on dollar-denominated bonds (i.e., they do not include potentially substantial hedging costs) and unhedged returns are constructed by combining these with exchange rate changes. Blank cells indicate that returns data are not available. Aggregates are equally-weighted averages.

 

Unhedged US$ Returns

Mean

Unhedged US$ Returns

Variance

Unhedged US$ Returns

Skewness

Hedged US$ Returns

Mean

Hedged US$ Returns

Variance

Hedged US$ Returns

Skewness

Developed Countries 0.007 0.140 0.58 0.069 0.017 -0.42
Euro Area 0.006 0.137 0.67 0.069 0.016 -0.44
Austria 0.004 0.140 0.60 0.066 0.014 -0.47
Belgium 0.005 0.132 0.70 0.071 0.013 -0.42
Finland 0.003 0.134 0.73 0.070 0.012 -0.52
France 0.002 0.133 0.70 0.069 0.014 -0.42
Germany 0.001 0.130 0.68 0.068 0.013 -0.38
Greece 0.037 0.176 0.34 0.075 0.039 -0.42
Ireland 0.000 0.139 0.76 0.068 0.017 -0.35
Italy 0.004 0.130 0.74 0.068 0.012 -0.44
Luxumbourg            
Netherlands 0.003 0.132 0.67 0.069 0.014 -0.33
Portugal 0.003 0.133 0.73 0.068 0.012 -0.61
Spain 0.004 0.131 0.72 0.069 0.012 -0.42
Other Europe 0.005 0.115 0.42 0.067 0.018 -0.65
Denmark 0.005 0.117 0.74 0.066 0.011 -0.74
Iceland            
Norway -0.004 0.126 0.41      
Sweden -0.014 0.116 -0.19 0.071 0.015 -1.15
Switzerland -0.003 0.140 0.77      
Great Britain 0.041 0.077 0.37 0.065 0.028 -0.06
Other Developed 0.012 0.180 0.54 0.067 0.021 -0.22
Australia -0.001 0.208 0.40 0.061 0.026 0.43
Canada 0.035 0.062 0.36 0.066 0.02 0.77
Japan 0.026 0.237 1.07 0.077 0.021 -2.17
New Zealand -0.013 0.213 0.33 0.065 0.016 0.10
United States       0.066 0.022 -0.35
Emerging Markets 0.004 0.809 -0.95 0.076 0.431 -1.35
Latin America -0.041 1.048 -1.62 0.049 0.665 -1.89
Argentina -0.218 1.369 -2.22 -0.218 1.369 -2.22
Brazil -0.093 2.335 -2.00 0.090 0.695 -2.24
Chile -0.011 0.176 1.10 0.099 0.029 0.06
Colombia -0.052 0.683 -1.59 0.092 0.404 -1.86
Mexico 0.080 0.470 -2.49 0.110 0.164 -2.74
Peru 0.046 0.939 -1.64 0.104 0.759 -1.73
Venezuela -0.038 1.362 -2.48 0.066 1.234 -2.53
Uruguay            
Emerging Asia 0.073 0.926 -0.59 0.088 0.399 -1.00
China 0.096 0.043 0.70 0.096 0.043 0.68
India 0.077 0.037 -1.43 0.119 0.024 -0.92
Indonesia -0.168 3.245 0.28 -0.081 1.370 -0.94
Korea 0.208 0.753 -2.86 0.144 0.227 -1.76
Malaysia 0.104 0.615 0.13 0.098 0.352 -0.38
Pakistan            
Philippines 0.037 0.739 -1.05 0.100 0.321 -2.28
Thailand 0.160 1.048 0.07 0.143 0.454 -1.44
Taiwan            
Financial Centers 0.052 0.041 0.12 0.092 0.027 -0.35
Hong Kong 0.107 0.042 -0.02 0.109 0.041 -0.01
Singapore -0.003 0.040 0.26 0.076 0.013 -0.69
Emerging Europe -0.077 0.567 -0.62 0.084 0.233 -0.78
Czech            
Hungary -0.015 0.133 0.45 0.068 0.011 -0.61
Poland 0.173 0.400 -0.19 0.084 0.117 0.60
Turkey -0.388 1.169 -2.12 0.100 0.571 -2.34
Other Emerging -0.007 0.696 -1.46 0.092 0.427 -2.55
Israel            
Morocco 0.053 0.684 -2.24 0.096 0.624 -3.36
South Africa -0.067 0.708 -0.68 0.088 0.23 -1.74
World ex US 0.006 0.483 -0.20 0.072 0.24 -0.92

 

 

Table 4. U.S. Investors' Local Currency Foreign Bond Portfolio

U.S. Holdings of local currency bonds are from the December 2001 benchmark survey of U.S. investment in foreign securities, available at www.treas.gov/tic/fpis. Totals include only the countries listed. U.S. holdings of U.S. bonds are formed by subtracting foreigners' holdings of U.S. bonds, as estimated in Warnock, Chernenko, and Rogers (2004), from the size of the U.S. bond market. $\omega $us and $\omega $m refer to the weight (in percent) in U.S. investors' bond portfolios and the world market portfolio, respectively. Not shown is the other 2.7% of U.S. investors' bond portfolio, which is comprised mainly of $-denominated bonds.

  U.S. Holdings ($ billions) $\omega $us $\omega $m $\omega $us /$\omega $m
Developed Countries 150.20 1.200 41.569 0.029
Euro Area 82.86 0.662 19.450 0.034
Austria 0.75 0.006 0.595 0.010
Belgium 2.77 0.022 0.972 0.023
Finland 0.57 0.005 0.188 0.024
France 14.70 0.117 3.635 0.032
Germany 38.15 0.305 5.746 0.053
Greece 1.38 0.011 0.329 0.033
Ireland 0.49 0.004 0.152 0.026
Italy 9.55 0.076 4.238 0.018
Luxumbourg 0.83 0.007 0.178 0.037
Netherlands 7.83 0.063 2.036 0.031
Portugal 0.16 0.001 0.246 0.005
Spain 5.69 0.045 1.134 0.040
Other Europe 19.96 0.159 4.974 0.032
Denmark 2.27 0.018 0.781 0.023
Iceland 0.00 0.000 0.023 0.000
Norway 0.41 0.003 0.149 0.022
Sweden 3.66 0.029 0.402 0.073
Switzerland 0.11 0.001 0.494 0.002
Great Britain 13.51 0.108 3.124 0.035
Other Developed 47.38 0.378 62.463 0.006
Australia 3.26 0.026 0.368 0.071
Canada 21.48 0.172 1.448 0.118
Japan 21.35 0.171 15.292 0.011
New Zealand 1.29 0.01 0.037 0.278
Emerging Markets 2.68 0.021 5.384 0.004
Latin America 0.46 0.004 0.842 0.004
Argentina 0.07 0.001 0.118 0.005
Brazil 0.08 0.001 0.326 0.002
Chile 0.01 0.000 0.112 0.001
Colombia 0.00 0.000 0.053 0.000
Mexico 0.29 0.002 0.188 0.012
Peru 0.00 0.000 0.008 0.000
Venezuela 0.02 0.000 0.035 0.003
Uruguay 0.00 0.000 0.003 0.000
Emerging Asia 0.43 0.003 3.493 0.001
China 0.00 0.000 1.295 0.000
India 0.00 0.000 0.395 0.000
Indonesia 0.01 0.000 0.156 0.000
Korea 0.25 0.002 0.901 0.002
Malaysia 0.02 0.000 0.233 0.001
Pakistan 0.00 0.000 0.087 0.000
Philippines 0.01 0.000 0.052 0.001
Thailand 0.03 0.000 0.112 0.002
Taiwan 0.11 0.001 0.264 0.003
Financial Centers 0.11 0.001 0.202 0.004
Hong Kong 0.07 0.001 0.075 0.007
Singapore 0.04 0.000 0.127 0.003
Emerging Europe 0.74 0.006 0.424 0.014
Czech 0.01 0.000 0.031 0.003
Hungary 0.17 0.001 0.051 0.027
Poland 0.55 0.004 0.113 0.039
Turkey 0.00 0.000 0.228 0.000
Other Emerging 0.94 0.007 0.424 0.018
Israel 0.49 0.004 0.26 0.015
Morocco 0.00 0.000 0.043 0.000
South Africa 0.45 0.004 0.121 0.029
World ex US 152.9 1.22 46.95 0.026
memo: US bonds 12,020 96.01 45.32  

 

 

Table 5: Multivariate Tests of U.S. Investment Using Historical Returns

OLS regression estimates of U.S. Investment in local-currency-denominated bonds on Openness, detrended stock index (Cycle), and the Mean, Variance, and Skewness of historical excess returns. For information on the underlying returns data, see Table 3. Openness is an average of the 2000 and 2001 values of the Freedom of the World measure of capital account openness, which ranges from 0 (closed) to 10 (open). Columns (2), (4), and (6) exclude New Zealand. Columns (3) - (6) exclude Switzerland and Norway, for which hedged returns are not available. The p-value, based on robust standard errors, of the two-tailed t- test of equality with zero is reported in parentheses. Results are similar if returns data back to January 1997 are used, with the exception that Skewness becomes significant (p=0.07) in the unhedged regressions.

 

Unhedged (1)

Unhedged (2)

Hedged

(3)

Hedged

(4)

Hedged

(5)

Hedged

(6)

Mean -0.0246 (0.628) -0.013 (0.471) -0.1676 (0.030) -0.1298 (0.012) -0.0437 (0.281) -0.0248 (0.392)
Variance -0.0079 (0.060) -0.0082 (0.016) -0.039 (0.000) -0.0325 (0.000)    
Skewness 0.0040 (0.198) 0.0037 (0.110)     0.0154 (0.0005 0.0113 (0.007)
Openness 0.0043 (0.122) 0.002 (0.175) 0.0042 (0.084) 0.0021 (0.082) 0.0038 (0.095) 0.0002 (0.109)
Cycle 0.0522 (0.216) 0.0162 (0.499) 0.0527 (0.171) 0.0196 (0.353) 0.0587 (0.133) 0.0264 (0.264)
N 41 40 39 38 39 38
Adj. R2 0.01 0.0920 0.090 0.2130 0.1330 0.263

 

Table 6:The Roles of Systematic and Idiosyncratic Risk

OLS regression estimates of U.S. Investment in local-currency-denominated bonds on Openness and, from a three moment CAPM (equation (9), idiosyncractic risk, systematic variance and systematic skewness. For information on the underlying returns data, see Table 3. Systematic and Idiosyncratic risk measures are calculated using at most 48 months of returns data. Openness is an average of the 2000 and 2001 values of the Freedom of the World measure of capital account openness, which ranges from 0 (closed) to 10 (open). Columns (2) and (4) exclude New Zealand. Columns (3) and (4) exclude Switzerland and Norway, for which hedged returns are not available. The p-value, based on robust standard errors, of the two-tailed t- test of equality with zero is reported in parentheses.

 

Unhedged

(1)

Unhedged

(2)

Hedged

(3)

Hedged

(4)

Idiosyncratic Risk -0.0106 (0.026) -0.0086 (0.036) -0.023 (0.002) -0.0174 (0.000)
Systematic Variance 0.0107 (0.235) 0.0080 (0.327) 0.0032 (0.323) 0.0041 (0.145)
Systematic Skewness 0.0008 (0.689) -0.0004 (0.783) 0.0004 (0.135) 0.0003 (0.145)
Openness 0.0037 (0.167) 0.0017 (0.0019) 0.0049 (0.080) 0.0024 (0.082)
N 41 40 39 38
Adj. R2 0.035 0.122 0.058 0.171


Footnotes

1.  For historical accounts of bond markets, see Kindleberger (1993) and Rousseau and Sylla (2001). Return to text

2.  While equities have been the main focus of the literature on international portfolio allocation, recent work by Buch, Driscoll, and Ostergaard (2003) examines the international diversification of banks' portfolios. Return to text

3.  Another source of information on the size of bond markets across countries had been Merrill Lynch's Size & Structure of the World Bond Market, but it was recently discontinued. Other recent discussions of bond market development include IMF (2002) and Mihaljek, Scatigna, and Villar (2002). Return to text

4.  Local bond market development figures prominently in the plan put forward in Goldstein (2002). Return to text

5.  The Rule of Law variable is, as reported in LLSV (1997), an average over 1982-1995 of the International Country Risk Guide assessment of law and order tradition. We supplement this source with 2000 data from Gwartney et al. (2003) for five other countries: China, Czech Republic, Hungary, Poland, and Iceland. Return to text

6.  In columns (2) and (3) we lose one country that does not have ten years of historical GDP (Czech Republic) and seven that do not have data on Creditor Rights (China, Hungary, Iceland, Luxembourg, Morocco, Poland, and Venezuela). Return to text

7.  Country size (ln GDP) is insignificant in column (1), but it is positive and significant if one country, Luxembourg, is omitted. Omitting Luxembourg results in no other substantial changes elsewhere in the table. Omitting three high inflation countries leads to similar results with the exception that inflation variance becomes statistically insignificant in column (3). Return to text

8.  Our results are intuitive and largely consistent with those of LLSV (1997) and the contemporaneous Claessens, Klingebiel, and Schmukler (2003) study of 36 government bonds markets, but they contrast sharply with those of Eichengreen, Hausmann, and Panizza (2002), who find that only country size matters. The reason for the contrasting results is that Eichengreen et al. study only bonds that were initially placed abroad or denominated in a foreign currency; such bonds comprise just one-fifth of the global bond market. Return to text

9.  The reader should note that our Hedged series for emerging markets does not include hedging costs, which may be prohibitively high. Return to text

10.  On each line in Figure 1, portfolios vary from 100 percent U.S. bonds (at the end labeled `US') to 100 percent foreign bonds (at the end labeled `ROW'). The mean-variance tradeoffs for various holding periods starting from 1988 and ending in 2001 (not shown) are very similar. For 1977-1990, Levich and Thomas (1993) find that currency volatility more than outweighed the increased returns and the optimal (ex post) unhedged bond portfolio would have been composed mainly of U.S. bonds. Recent papers on exchange rate volatility include Bayoumi and Eichengreen (1998) and Devereux and Lane (2003). Return to text

11.  The positions data, which come from the comprehensive benchmark survey of U.S. investment abroad as of December 2001, are analogous to the 1997 data on equity positions used in Ahearne, Griever, and Warnock (2004) and Dahlquist, Pinkowitz, Stulz, and Williamson (2003). For a primer on the benchmark surveys, see Griever, Lee, and Warnock (2001). Return to text

12.  As Kraus and Litzenberger (1976) note, while one could include fourth and higher moments, we lack compelling behavioristic arguments for investor attitudes toward for those moments. Return to text

13.  For portfolio allocation models with barriers to international investment, see Black (1974), Stulz (1981), and Cooper and Kaplanis (1986). Return to text

14.  Cycle, which is defined as $ \frac{P_{t} }{(P_{t-1} +0.9\ast P_{t-2} +0.9^{2}\ast P_{t-3} +...)\ast0.1}$, where P$ _{t}$ is the real value of a country's equity index at time t, is the inverse of a measure used by Ilmanen (1995) to forecast one-month ahead bond returns. We assume bond investors have a longer time horizon and therefore offer an alternative interpretation. Return to text

15.  Excess returns are calculated by subtracting the 1-month U.S. T-bill rate. Expanding the historical sample to begin in January 1997, and thus fully including the Asian financial crises, does not substantively change the results that follow. We exclude 7 countries for which returns data are unavailable (see Table 3). We include six countries with less than 48 months of returns data (start date in parentheses): Indonesia, India, and Hong Kong (Jan. 1999); Hungary (Feb. 1999); Chile (June 1999); and Singapore (January 2000). Return to text

16.  Harvey and Siddique (2000) estimate a conditional version of the three-moment CAPM. With relatively short time series, we opt for the simpler approach of Kraus and Litzenberger (1976). Return to text

17.  This regression includes generated regressors, which will cause OLS standard errors to be understated and bias our results toward rejection of the null hypothesis. However, the variance of these generated regressors across countries likely far exceeds the noise in an individual country's estimate, so the estimated $ \theta_{i}$ will be consistent and unbiased. Put another way, there is enough variation between countries that it should not materially affect cross-sectional regressions if we estimate country $ i$'s $ \beta$ to be 1.2 when it is truly 1.4. Return to text

18.  For a comprehensive examination of derivatives market activity, see Bartram, Brown, and Fehle (2003). Return to text


This version is optimized for use by screen readers. A printable pdf version is available.

Home | Economic research and data | Publications and education resources
Accessibility | Contact us
Last update: October 24, 2006