Annual Report 2011
Introduction
As required by section 2B of the Federal Reserve Act, the Federal Reserve Board submits written reports to the Congress that contain discussions of "the conduct of monetary policy and economic developments and prospects for the future." The Monetary Policy Report to the Congress, submitted semiannually to the Senate Committee on Banking, Housing, and Urban Affairs and to the House Committee on Banking and Financial Services, is delivered concurrently with testimony from the Federal Reserve Board Chairman.
The following discussion is an annual review of U.S. monetary policy and economic developments in 2011. It includes the text, tables, and selected figures from the February 29, 2012, report; the figures have been renumbered, and therefore the figure numbers differ from those in the report. Also included are the text and table from Parts 1-3 of the July 13, 2011, report; Part 4 of that report is identical to the addendum to the minutes of the June 21-22, 2011, meeting of the Federal Open Market Committee (FOMC) and is presented with those minutes in the "Minutes" section of this annual report.
The complete Monetary Policy Reports are available on the Board's website. Other materials in this annual report related to the conduct of monetary policy include the minutes of the 2011 meetings of the FOMC (see the "Minutes" section) and statistical tables 1-4 (see the "Statistical Tables" section).
Monetary Policy Report of February 2012
Part 1 Overview: Monetary Policy and the Economic Outlook
Economic activity in the United States expanded at a moderate rate in the second half of 2011 following an anemic gain in the first half, and the moderate pace of expansion appears to have continued into the opening months of 2012. Activity was held down in the first half of 2011 by temporary factors, particularly supply chain disruptions stemming from the earthquake in Japan and the damping effect of higher energy prices on consumer spending. As the effects of these factors waned over the second half of the year, economic activity picked up. Conditions in the labor market have improved since last summer, with an increase in the pace of job gains and a noticeable reduction in the unemployment rate. Meanwhile, consumer price inflation has stepped down from the temporarily high levels observed over the first half of 2011, as commodity and import prices retreated and as longer-term inflation expectations remained stable. Looking ahead, growth is likely to be modest during the coming year, as several factors appear likely to continue to restrain activity, including restricted access to credit for many households and small businesses, the still-depressed housing market, tight fiscal policy at all levels of government, and some slowing in global economic growth.
In light of these conditions, the Federal Open Market Committee (FOMC) took a number of steps during the second half of 2011 and early 2012 to provide additional monetary policy accommodation and thereby support a stronger economic recovery in the context of price stability. These steps included modifying the forward rate guidance included in postmeeting statements, increasing the average maturity of the Federal Reserve's securities holdings, and shifting the reinvestment of principal payments on agency securities from Treasury securities to agency-guaranteed mortgage-backed securities (MBS).
Throughout the second half of 2011 and early 2012, participants in financial markets focused on the fiscal and banking crisis in Europe. Concerns regarding the potential for spillovers to the U.S. economy and financial markets weighed on investor sentiment, contributing to significant volatility in a wide range of asset prices and at times prompting sharp pullbacks from risk-taking. Strains eased somewhat in a number of financial markets in late 2011 and early this year as investors seemed to become more confident that European policymakers would take the steps necessary to address the crisis. The more positive market sentiment was bolstered by recent U.S. data releases, which pointed to greater strength, on balance, than investors had expected. Nonetheless, market participants reportedly remain cautious about risks in the financial system, and credit default swap spreads for U.S. financial institutions have widened, on net, since early last summer.
After rising at an annual rate of just 3/4 percent in the first half of 2011, real gross domestic product (GDP) is estimated to have increased at a 2-1/4 percent rate in the second half.1 The growth rate of real consumer spending also firmed a bit in the second half of the year, although the fundamental determinants of household spending improved little: Real household income and wealth stagnated, and access to credit remained tight for many potential borrowers. Consumer sentiment has rebounded from the summer's depressed levels but remains low by historical standards. Meanwhile, real investment in equipment and software and exports posted solid gains over the second half of the year. In contrast, the housing market remains depressed, weighed down by the large inventory of vacant houses for sale, the substantial volume of distressed sales, and homebuyers' concerns about the strength of the recovery and the potential for further declines in house prices. In the government sector, real purchases of goods and services continued to decline over the second half of the year.
Labor market conditions have improved. The unemployment rate moved down from around 9 percent over the first eight months of 2011 to 8-1/4 percent in January 2012. However, even with this improvement, the jobless rate remains quite elevated. Furthermore, the share of the unemployed who have been jobless for more than six months, although down slightly from its peak, was still above 40 percent in January--roughly double the fraction that prevailed during the economic expansion of the previous decade. Meanwhile, private payroll employment gains averaged 165,000 jobs per month in the second half of 2011, a bit slower than the pace in the first half of the year, but gains in December and January were more robust, averaging almost 240,000 per month.
Consumer price inflation stepped down in the second half of 2011. After rising at an annual rate of 3-1/2 percent in the first half of the year, prices for personal consumption expenditures (PCE) rose just 1-1/2 percent in the second half. PCE prices excluding food and energy also decelerated, rising at an annual rate of roughly 1-1/2 percent in the second half of 2011, compared with about 2 percent in the first half. The decline in inflation was largely in response to decreases in global commodity prices following their surge early in 2011, as well as a restoration of supply chains for motor vehicle production that had been disrupted after the earthquake in Japan and some deceleration in the prices of imported goods other than raw commodities.
The European fiscal and banking crisis intensified in the second half of the year. During the summer, the governments of Italy and Spain came under significant financial pressure and borrowing costs increased for many euro-area governments and banks. In early August, the European Central Bank (ECB) responded by resuming purchases of marketable debt securities. Although yields on the government debt of Italy and Spain temporarily moved lower, market conditions deteriorated in the fall and funding pressures for some governments and banks increased further. Over the second half of the year, European leaders worked toward bolstering the financial backstop for euro-area governments, reinforcing the fiscal discipline of those governments, and strengthening the capital and liquidity positions of banks. Additionally, the ECB made a significant injection of euro liquidity via its first three-year refinancing operation, and central banks agreed to reduce the price of U.S. dollar liquidity based on swap lines with the Federal Reserve. Since December, following these actions, yields on the debt of vulnerable European governments declined to some extent and funding pressures on European banks eased.
A number of sources of investor anxiety--including the European crisis, concerns about the sustainability of U.S. fiscal policy, and a slowdown in global growth--weighed on U.S. financial markets early in the second half of 2011. More recently, these concerns eased somewhat, reflecting actions taken by global central banks as well as U.S. data releases that pointed to greater strength, on balance, than market participants had anticipated. Broad equity prices fell notably in August but subsequently retraced, and they are now little changed, on net, since early July. Corporate bond spreads remain elevated. Partly as a result of the forward guidance and ongoing maturity extension program provided by the Federal Reserve, market participants expect the target federal funds rate to remain low for a longer period than they thought early last July, and Treasury yields have moved down significantly. Meanwhile, measures of inflation compensation over the next five years derived from yields on nominal and inflation-indexed Treasury securities are little changed, on balance, though the forward measure 5-to-10 years ahead remains below its level in the middle of last year.
Among nonfinancial corporations, larger and higher-credit-quality firms with access to capital markets took advantage of generally attractive financing conditions to raise funds in the second half of 2011. On the other hand, for smaller firms without access to credit markets and those with less-solid financial situations, borrowing conditions remained more challenging. Reflecting these developments, investment-grade nonfinancial corporations continued to issue debt at a robust pace while speculative-grade issuance declined, as investors' appetite for riskier assets diminished. Similar issuance patterns were evident in the market for syndicated loans, where investment-grade issuance continued to be strong while that of higher-yielding leveraged loans fell back. In addition, commercial and industrial (C&I) loans on banks' books expanded strongly, particularly for larger domestic banks that are most likely to lend to big firms. According to the January Senior Loan Officer Opinion Survey on Bank Lending Practices (SLOOS), domestic banks eased terms on C&I loans and experienced increased loan demand during the fourth quarter of the year, the latter development in part reflecting a shift in some borrowing away from European banks.2 By contrast, although credit supply conditions for smaller firms appear to have eased somewhat in the last several months, they remained tighter relative to historical norms than for larger firms. Commercial mortgage debt continued to decline through the third quarter of 2011, albeit at a more moderate pace than in 2010.
Household debt appears to have declined at a slightly slower pace in the second half of 2011 than in the first half, with the continued contraction in mortgage debt partially offset by growth in consumer credit. Even though mortgage rates continued to be near historically low levels, the volume of new mortgage loans remained muted. The smaller quantity of new mortgage origination reflects potential buyers' lack of either the down payment or credit history required to qualify for these loans, and many appear reluctant to buy a house now because of concerns about their income prospects and employment status, as well as the risk of further declines in house prices. Delinquency rates on most categories of residential mortgages edged lower but stayed near recent highs, and the number of properties in the foreclosure process remained elevated. Issuance of consumer asset-backed securities in the second half of 2011 ran at about the same rate as it had over the previous 18 months. A modest net fraction of SLOOS respondents to both the October and January surveys indicated that they had eased their standards on all categories of consumer loans.
Measures of the profitability of the U.S. banking industry have edged up, on net, since mid-2011, as indicators of credit quality continued to show signs of improvement and banks trimmed noninterest expenses. Meanwhile, banks' regulatory capital ratios remained at historically high levels, as authorities continued to take steps to enhance their regulation of financial institutions. Nonetheless, conditions in unsecured interbank funding markets deteriorated. Strains were particularly evident for European financial institutions, with funding costs increasing and maturities shortening, on balance, as investors focused on counterparty credit risk amid growing anxiety about the ongoing crisis in Europe. Given solid deposit growth and modest expansion in bank credit across the industry, most domestic banks reportedly had limited need for unsecured funding.
Concerns about the condition of financial institutions gave rise to heightened investor anxiety regarding counterparty exposures during the second half of 2011. Responses to the December Senior Credit Officer Opinion Survey on Dealer Financing Terms, or SCOOS, indicated that dealers devoted increased time and attention to the management of concentrated credit exposures to other financial intermediaries over the previous three months, and 80 percent of dealers reported reducing credit limits for some specific counterparties.3 Respondents also reported a broad but moderate tightening of credit terms applicable to important classes of counterparties over the previous three months, importantly reflecting a worsening in general market liquidity and functioning as well as a reduced willingness to take on risk.
In order to support a stronger economic recovery and help ensure that inflation, over time, is at levels consistent with its dual mandate, the FOMC provided additional monetary policy accommodation during the second half of 2011 and early 2012. In August, the Committee modified its forward rate guidance, noting that economic conditions were likely to warrant exceptionally low levels for the federal funds rate at least through mid-2013. The FOMC decided at its September meeting to extend the average maturity of its Treasury holdings, and to reinvest principal payments from its holdings of agency debt and agency MBS in agency MBS rather than in Treasury securities.4 Finally, at the Committee's January 2012 meeting, the FOMC modified its forward guidance to indicate that it expected economic conditions to warrant exceptionally low levels for the federal funds rate at least through late 2014. The Committee noted that it would regularly review the size and composition of its securities holdings and is prepared to adjust those holdings as appropriate to promote a stronger economic recovery in the context of price stability.
In addition to these policy actions, the Federal Reserve took further steps to improve communications regarding its monetary policy decisions and deliberations. At the Committee's January 2012 meeting, the FOMC released a statement of its longer-run goals and policy strategy in an effort to enhance the transparency, accountability, and effectiveness of monetary policy and to facilitate well-informed decisionmaking by households and businesses. The statement emphasizes the Federal Reserve's firm commitment to pursue its congressional mandate to promote maximum employment, stable prices, and moderate long-term interest rates. To clarify how it seeks to achieve these objectives, the FOMC stated that inflation at the rate of 2 percent, as measured by the annual change in the PCE price index, is most consistent over the longer run with the Federal Reserve's statutory mandate. While noting that the Committee's assessments of the maximum level of employment are necessarily uncertain and subject to revision, the statement indicated that the central tendency of FOMC participants' current estimates of the longer-run normal rate of unemployment is between 5.2 and 6.0 percent. It stressed that the Federal Reserve's statutory objectives are generally complementary, but when they are not, the Committee will follow a balanced approach in its efforts to return both inflation and employment to levels consistent with its mandate.
In addition, the January Summary of Economic Projections (SEP) provided information for the first time about FOMC participants' individual assessments of the appropriate timing of the first increase in the target federal funds rate given their view of the economic situation and outlook, as well as participants' assessments of the appropriate level of the target federal funds rate in the fourth quarter of each year through 2014 and over the longer run. The SEP also included qualitative information regarding individual participants' expectations for the Federal Reserve's balance sheet under appropriate monetary policy.
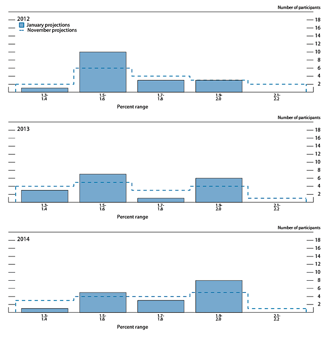
The economic projections in the January SEP (presented in Part 4 of this report) indicated that FOMC participants (the members of the Board of Governors and the presidents of the 12 Federal Reserve Banks) generally anticipated aggregate output to increase at a somewhat faster pace in 2012 than in 2011. Although the participants marked down their GDP growth projections slightly compared with those prepared in November, they stated that the economic information received since that time showed continued gradual improvement in the pace of economic activity during the second half of 2011, as the influence of the temporary factors that damped activity in the first half of the year subsided. However, a number of additional factors, including ongoing weakness in the housing sector, modest growth in real disposable income, and the restraining effects of fiscal consolidation, suggested that the pace of the recovery would be modest in coming quarters. Participants also read the information on economic activity abroad, particularly in Europe, as pointing to weaker demand for U.S. exports. As these factors wane, FOMC participants anticipated that the pace of the economic expansion will gradually strengthen over the 2013-14 period, pushing the rate of increase in real GDP above their estimates of the longer-run rate of output growth. With real GDP expected to increase at a modest rate in 2012, the unemployment rate was projected to decline only a little this year. Participants expected further gradual improvement in labor market conditions over 2013 and 2014 as the pace of output growth picks up. They also noted that inflation expectations had remained stable over the past year despite fluctuations in headline inflation. Most participants anticipated that both headline and core inflation would remain subdued over the 2012-14 period at rates at or below the FOMC's longer-run objective of 2 percent.
With the unemployment rate projected to remain elevated over the projection period and inflation expected to be subdued, most participants expected that the federal funds rate would remain extraordinarily low for some time. Six participants anticipated that, under appropriate monetary policy, the first increase in the target federal funds rate would occur after 2014, and five expected policy firming to commence during 2014. The remaining six participants judged that raising the federal funds rate sooner would be required to forestall inflationary pressures or avoid distortions in the financial system. All of the individual assessments of the appropriate target federal funds rate over the next few years were below the participants' estimates of the longer-run level of the federal funds rate. Eleven of the 17 participants placed the target federal funds rate at 1 percent or lower at the end of 2014, while 5 saw the appropriate rate as 2 percent or higher.
A sizable majority of participants continued to judge the level of uncertainty associated with their projections for real activity and the unemployment rate as exceeding the average of the past 20 years. Many also attached a greater-than-normal level of uncertainty to their forecasts for inflation. As in November, many participants saw downside risks attending their forecasts of real GDP growth and upside risks to their forecasts of the unemployment rate; most participants viewed the risks to their inflation projections as broadly balanced. Participants also reported their assessments of the values to which key macroeconomic variables would be expected to converge over the longer term under appropriate monetary policy and in the absence of further shocks to the economy. The central tendencies of these longer-run projections were 2.3 to 2.6 percent for real GDP growth and 5.2 to 6.0 percent for the unemployment rate. In light of the 2 percent inflation that is the objective included in the statement of longer-run goals and policy strategy adopted at the January meeting, the range and central tendency of participants' projections of longer-run inflation were all equal to 2 percent.
Part 2 Recent Economic and Financial Developments
In this Section:
Real gross domestic product (GDP) increased at an annual rate of 2-1/4 percent in the second half of 2011, according to the advance estimate prepared by the Bureau of Economic Analysis, following growth of less than 1 percent in the first half (figure 1). Activity was held down in the first half of the year by temporary factors, particularly supply chain disruptions stemming from the earthquake in Japan and the damping effect of higher energy prices on consumer spending. As the effects of these factors waned over the second half of the year, the pace of economic activity picked up. But growth remained quite modest compared with previous economic expansions, and a number of factors appear likely to continue to restrain the pace of activity into 2012; these factors include restricted access to credit for many households and small businesses, the depressed housing market, tight fiscal policy, and the spillover effects of the fiscal and financial difficulties in Europe.
Note: Here and in subsequent figures, except as noted, change for a given period is measured to its final quarter from the final quarter of the preceding period.
Source: Department of Commerce, Bureau of Economic Analysis.
Conditions in the labor market have improved since last summer. The pace of private job gains has increased, and the unemployment rate has moved lower. Nonetheless, at 8-1/4 percent, the jobless rate is still quite elevated. Meanwhile, consumer price inflation stepped down from the higher levels observed over the first half of last year, as commodity and import prices retreated while longer-term inflation expectations remained stable.
The fiscal and banking crisis in Europe was a primary focus of financial markets over the course of the second half of 2011 and early 2012. Growing concerns regarding the potential for spillovers to the U.S. economy and financial markets weighed on investor sentiment, contributing to significant volatility in a wide range of asset prices. Nonetheless, developments in financial markets have been mixed, on balance, since July. Unsecured dollar funding markets became significantly strained, particularly for European institutions, though U.S. institutions generally did not appear to face substantial funding difficulties. Risk spreads on corporate debt stayed elevated, on net, but yields on corporate bonds generally moved lower. Broad equity prices, which declined significantly in July and August, subsequently returned to levels near those seen in early July. Credit conditions for most large nonfinancial firms were accommodative and corporate profit growth remained strong.
In response to a pace of economic growth that was somewhat slower than expected, the Federal Reserve provided additional monetary policy accommodation during the second half of 2011 and early 2012. Partly as a result, Treasury yields moved down significantly, and market participants pushed out the date at which they expect the federal funds rate to move above its current target range of 0 to 1/4 percent and built in expectations of a more gradual pace of increase in the federal funds rate after liftoff.
Domestic Developments
The Household Sector
Consumer Spending and Household Finance
Real personal consumption expenditures (PCE) rose at an annual rate of about 2 percent in the second half of 2011, following a rise of just 1-1/2 percent in the first half of the year (figure 2). Part of the spending gain was attributable to a fourth-quarter surge in purchases of motor vehicles following very weak spending last spring and summer stemming from the damping effects of the earthquake in Japan on motor vehicle supply. Even with the step-up, however, PCE growth was modest compared with previous business cycle recoveries. This subpar performance reflects the continued weakness in the underlying determinants of consumption, including sluggish income growth, sentiment that remains relatively low despite recent improvements, the lingering effects of the earlier declines in household wealth, and tight access to credit for many potential borrowers. With consumer spending subdued, the saving rate, although down from its recent high point, remained above levels that prevailed prior to the recession.
Note: The data are quarterly and extend through 2011:Q4.
Source: Department of Commerce, Bureau of Economic Analysis.
Real income growth is currently estimated to have been very weak in 2011. After rising 2 percent in 2010, aggregate real disposable personal income (DPI)--personal income less personal taxes, adjusted for price changes--was essentially flat in 2011. The wage and salary component of real DPI, which reflects both the number of hours worked and average hourly wages adjusted for inflation, rose at an annual rate of 1 percent in 2011. The increase in real wage and salary income reflected the continued, though tepid, recoveries in both employment and hours worked; in contrast, hourly pay was little changed in real terms.
The ratio of household net worth to DPI dropped back a little in the second half of 2011, reflecting further declines in house prices and equity values. The wealth-to-income ratio has hovered close to 5 in recent years, roughly the level that prevailed prior to the late 1990s, but well below the highs recorded during the boom in house prices in the mid-2000s. Consumer sentiment, which dropped sharply last summer, has rebounded since then; nevertheless, these gains only moved sentiment back to near the top of the range that has prevailed since late 2009.
Household debt--the sum of both mortgage and consumer debt--continued to move lower in the second half of 2011. Since peaking in 2008, household debt has fallen a total of 5 percent. The drop in debt in the second half of 2011 reflected a continued contraction in mortgage debt that was only partially offset by a modest expansion in consumer credit. Largely due to the reduction in overall household debt levels in 2011, the debt service ratio--the aggregate required principal and interest payment on existing mortgages and consumer debt relative to income--also decreased further and now is at a level last seen in 1994 and 1995 (figure 3).
Note: The data are quarterly and extend through 2011:Q3. Debt service payments consist of estimated required payments on outstanding mortgage and consumer debt.
Source: Federal Reserve Board, "Household Debt Service and Financial Obligations Ratios," statistical release.
The moderate expansion in consumer credit in the second half of 2011, at an annual rate of about 4-1/2 percent, has been driven primarily by an increase in nonrevolving credit, which accounts for about two-thirds of total consumer credit and is composed mainly of auto and student loans. Revolving consumer credit (primarily credit card lending), while continuing to lag, appeared to pick up somewhat toward the end of the year. The increase in consumer credit is consistent with recent responses to the Senior Loan Officer Opinion Survey on Bank Lending Practices (SLOOS). Indeed, modest net fractions of banks in both the October and January surveys reported that they had eased standards on all major categories of consumer loans, and that demand had strengthened for auto and credit cards loans on balance. However, data on credit card solicitations suggest that lenders in that area are primarily interested in pursuing higher-quality borrowers.
Indicators of consumer credit quality generally improved. Delinquency rates on credit card loans moved down in the second half of 2011 to the low end of the range observed in recent decades. Delinquencies and charge-offs on nonrevolving consumer loans also generally improved. Moreover, a majority of respondents to the January SLOOS reported that they expect further improvement in the quality of credit card and other consumer loans this year.
Interest rates on consumer loans held fairly steady, on net, in the second half of 2011 and into 2012. Interest rates on new-auto loans continued to be quite low, while rates on credit card loans remained stubbornly high. Indeed, spreads of credit card interest rates to the two-year Treasury yield are very elevated.
Consumer asset-backed securities (ABS) issuance in the second half of 2011 was in line with that of the previous 18 months. Securities backed by auto loans continued to dominate the market, while issuance of credit card ABS remained weak, as growth of credit card loans has remained subdued and most major banks have chosen to fund such loans on their balance sheets. Yields on ABS and their spreads over comparable-maturity swap rates were little changed, on net, over the second half of 2011 and early 2012 and remained in the low range that has prevailed since early 2010.
Housing Activity and Finance
Activity in the housing sector remains depressed by historical standards (figure 4). Although affordability has been boosted by declines in house prices and historically low interest rates for conventional mortgages, many potential buyers either lack the down payment and credit history to qualify for loans or are discouraged by ongoing concerns about future income, employment, and the potential for further declines in house prices. Yet other potential buyers--even those with sufficiently good credit records to qualify for a mortgage insured by one of the housing government-sponsored enterprises (GSEs)--continue to face difficulty in obtaining mortgage financing. Moreover, much of the demand that does exist has been channeled to the abundant stock of relatively inexpensive, vacant single-family houses, thereby limiting the need for new construction activity. Given the magnitude of the pipeline of delinquent and foreclosed homes, this factor seems likely to continue to weigh on activity for some time.
Note: The data are monthly and extend through January 2012.
Source: Department of Commerce, Bureau of the Census.
Nonetheless, recent indicators of housing construction activity have been slightly more encouraging. In particular, from July 2011 to January 2012, new single-family homes were started at an average annual rate of about 455,000 units, up a bit from the pace in the first half of 2011. In the multifamily market, demand for apartments appears to be increasing and vacancy rates have fallen, as families who are unable or unwilling to purchase homes are renting properties instead. As a result, starts in the multifamily sector averaged about 200,000 units at an annual rate in the second half of 2011, still below the 300,000-unit rate that had prevailed for much of the previous decade but well above the lows recorded in 2009 and early 2010.
House prices, as measured by several national indexes, fell further over the second half of 2011. One such measure with wide geographic coverage--the CoreLogic repeat-sales index--fell at an annual rate of about 6 percent in the second half of the year. House prices are being held down by the same factors that are restraining housing construction: the high number of distressed sales, the large inventory of unsold homes, tight mortgage credit conditions, and lackluster demand. The inventory of unsold homes likely will remain high for some time, given the large number of homes that are already in the foreclosure pipeline or could be entering the pipeline in the coming months. As a result of the cumulative decline in house prices over the past several years, roughly one in five mortgage holders owe more on their mortgages than their homes are worth.
Indicators of credit quality in the residential mortgage sector continued to reflect strains on homeowners confronting depressed home values and high unemployment. In December, serious delinquency rates on prime and near-prime loans stood at 5 percent and 13 percent for fixed- and variable-rate loans, respectively. While delinquencies on variable-rate mortgages for both prime and subprime borrowers have moved down over the past two years, delinquencies on fixed-rate mortgages have held steady at levels near their peaks in early 2010.5 Meanwhile, delinquency and charge-off rates on second-lien mortgages held by banks also are at elevated levels, and they have declined only slightly from their peaks.
The number of properties at some stage of the foreclosure process remained elevated in 2011. This high level partly reflected the difficulties that mortgage servicers continued to have with resolving deficiencies in their foreclosure procedures. Resolution of these issues could eventually be associated with a sustained increase in the pace of completed foreclosures as servicers work through the backlog of severely delinquent loans.
Interest rates on fixed-rate mortgages fell steadily during the second half of 2011 and in early 2012 (figure 5), though not as much as Treasury yields, leaving spreads to Treasury securities of comparable maturities wider. The ability of potential borrowers to obtain mortgage credit for purchase transactions or refinancing continued to be limited. In part, the low level of mortgage borrowing reflected characteristics of the would-be borrowers, most prominently the widespread incidence of negative equity and unemployment. In addition, credit supply conditions remained tight. Indeed, it appeared that some lenders were reluctant to extend mortgages to borrowers with less-than-pristine credit even when the resulting loans would be eligible for purchase or guarantee by GSEs.6 One manifestation of this constriction was the fact that the distribution of credit scores among borrowers who succeed in obtaining mortgages had shifted up significantly (figure 6). As a result of these influences, the pace of mortgage applications for home purchase declined, on net, over the second half of 2011 and remains very sluggish. The same factors also appear to have limited refinancing activity, which remains subdued compared with the large number of households that would potentially benefit from the low rates available to high-quality borrowers.
The outstanding stock of mortgage-backed securities (MBS) guaranteed by the GSEs was little changed, on net, over the second half of 2011. The securitization market for mortgage loans not guaranteed by a housing-related GSE or the Federal Housing Administration continued to be essentially closed.
Note: The data, which are weekly and extend through February 22, 2012, are contract rates on 30-year mortgages.
Source: Federal Home Loan Mortgage Corporation.
Note: The data, which include purchase mortgages only, are monthly and extend through December 2011.
Source: LPS Applied Analytics.
The Business Sector
Fixed Investment
Real spending by businesses for equipment and software (E&S) rose at an annual rate of about 11 percent over the second half of 2011, a pace that was a bit faster than in the first half (figure 7). Much of this strength was recorded in the third quarter. Spending growth dropped back in the fourth quarter, to 5 percent, likely reflecting--among other influences--heightened uncertainty of business owners about global economic and financial conditions. Although spending by businesses for high-tech equipment has held up reasonably well, outlays for a broad range of other E&S slowed appreciably. More recently, however, indicators of business sentiment and capital spending plans generally have improved, suggesting that firms may be in the process of becoming more willing to undertake new investments.
After tumbling throughout most of 2009 and 2010, real investment in nonresidential structures other than drilling and mining turned up last spring, rising at a surprisingly brisk pace in the second and third quarters of 2011. However, investment dropped back in the fourth quarter. Conditions in the sector remain difficult: Vacancy rates are still high, prices of existing structures are low, and financing conditions for builders are still tight. Spending on drilling and mining structures also dropped back in the fourth quarter, but outlays in this category should continue to be supported by elevated oil prices and advances in technology for horizontal drilling and hydraulic fracturing.
Inventory Investment
Real inventory investment stepped down a bit in the second half of 2011. Stockbuilding outside of motor vehicles increased at a modest pace, and surveys suggest that firms are generally comfortable with their own, and their customers', current inventory positions. In the motor vehicle sector, inventories were drawn down in the second half, as the rise in sales outpaced the rebound in production following the supply disruptions associated with the earthquake in Japan last spring.
Corporate Profits and Business Finance
Operating earnings per share for S&P 500 firms continued to rise in the third quarter of 2011, increasing at a quarterly rate of nearly 10 percent. Fourth-quarter earnings reports by firms in the S&P 500 published through late February indicate that this measure has remained at or near its pre-crisis peaks throughout the second half of 2011.
In the corporate sector as a whole, economic profits, which had been rising rapidly since 2008, increased further in the second half of 2011. This relatively strong profit growth contributed to the continued robust credit quality of nonfinancial firms in the second half of 2011. Although the ratio of liquid assets to total assets on the balance sheets of nonfinancial corporations edged down in the third quarter, it remained at a very high level, and the aggregate ratio of debt to assets--a measure of corporate leverage--stayed low. With corporate balance sheets in generally healthy shape, credit rating upgrades once again outpaced downgrades, and the bond default rate for nonfinancial firms remained low. In addition, the delinquency rate on commercial and industrial (C&I) loans at commercial banks continued to decline and stood at around 1-1/2 percent at year-end, a level near the low end of its historical range. Most banks responding to the January SLOOS reported that they expected further improvements in the credit quality of C&I loans in 2012.
Borrowing by nonfinancial corporations continued at a reasonably robust pace through the second half of 2011, particularly for larger, higher-credit-quality firms. Issuance of investment-grade bonds progressed at a strong pace, similar to that observed in the first half of the year, buoyed by good corporate credit quality, attractive financing conditions, and an improving economic outlook. In contrast to higher-grade bonds, issuance of speculative-grade bonds dropped in the second half of the year as investors' appetite for riskier assets waned. In the market for syndicated loans, investment-grade issuance moved up in the second half of 2011 from its already strong first-half pace, while issuance of higher-yielding syndicated leveraged loans weakened.
C&I loans on banks' books grew steadily over the second half of 2011. Banks reportedly competed aggressively for higher-rated credits in the syndicated leveraged loan market, and some nonfinancial firms reportedly substituted away from bond financing because of volatility in bond spreads. In addition, according to the SLOOS, some domestic banks gained business from customers that shifted away from European banks. Although domestic banks reported little change, on net, in lending standards for C&I loans, they reduced the spreads on these loans as well as the costs of credit lines. Banks that reported having eased their credit standards or terms for C&I loans over the second half of 2011 unanimously cited increased competition from other banks or nonbank sources of funds as a factor.
Borrowing conditions for smaller businesses continued to be tighter than those for larger firms, and their demand for credit remained relatively weak. However, some signs of easing began to emerge. Surveys conducted by the National Federation of Independent Business showed that the net fraction of small businesses reporting that credit had become more difficult to obtain relative to the previous three months declined, on balance, during the second half of 2011. Moreover, the January 2012 SLOOS found that terms for smaller borrowers had continued to ease, and about 15 percent of banks, on net, reported that demand for C&I loans from smaller firms had increased, the highest reading since 2005. Indeed, C&I loans held by regional and community banks--those not in the 25 largest banks and likely to lend mostly to middle-market and small firms--advanced at about a 6 percent annual rate in the second half of 2011, up from a 2-1/2 percent pace in the first half.
Commercial mortgage debt has continued to decline, albeit at a more moderate pace than during 2010. Commercial real estate (CRE) loans held on banks' books contracted further in the second half of 2011 and early 2012, though the runoff appeared to ebb somewhat in 2011. That slowing is more or less consistent with recent SLOOS responses, in which moderate net fractions of domestic banks reported that demand for such loans had strengthened. In the January survey, banks also reported that, for the first time since 2007, they had raised the maximum loan size and trimmed spreads of rates on CRE loans over their cost of funds during the past 12 months. By contrast, life insurance companies reportedly increased their holdings of CRE loans, especially of loans issued to higher-quality borrowers. Although delinquency rates on CRE loans at commercial banks edged down further in the fourth quarter, they remained at high levels, especially on loans for construction and land development; delinquencies on loans held by life insurance companies remained extraordinarily low, as they have done for more than a decade. Vacancy rates for most types of commercial properties are still elevated, exerting downward pressure on property prices and impairing the performance of CRE loans.
Conditions in the market for commercial mortgage-backed securities (CMBS) worsened somewhat in the second half of the year. Risk spreads on highly rated tranches of CMBS moved up, on balance, and about half of the respondents to the December Senior Credit Officer Opinion Survey on Dealer Financing Terms (SCOOS) indicated that liquidity conditions in the markets for such securities had deteriorated somewhat. Issuance of CMBS slowed further, but did not halt completely. Delinquency rates on CRE loans in CMBS pools held steady just below 10 percent.
In the corporate equity market, gross issuance dropped significantly in the third quarter amid substantial equity market volatility, but it retraced a part of that decline in the fourth quarter as some previously withdrawn issues were brought back to the market. Net equity issuance continued to decline in the third quarter, reflecting the continued strength of cash-financed mergers and share repurchases.
The Government Sector
Federal Government
The deficit in the federal unified budget remains very wide. The budget deficit for fiscal year 2011 was $1.3 trillion, or 8-1/2 percent of nominal GDP--a level comparable with deficits recorded in 2009 and 2010 but sharply higher than the deficits recorded prior to the onset of the financial crisis and recession. The budget deficit continued to be boosted by spending that was committed by the American Recovery and Reinvestment Act of 2009 (ARRA) and other stimulus policy actions as well as by the weakness of the economy, which has reduced tax revenues and increased payments for income support.
Tax receipts rose 6-1/2 percent in fiscal 2011. However, the level of receipts remained very low; indeed, at around 15-1/2 percent of GDP, the ratio of receipts to national income is only slightly above the 60-year lows recorded in 2009 and 2010. The rise in revenues in fiscal 2011 was the result of a robust increase of more than 20 percent in individual income tax payments that reflected strong final payments on 2010 income. Social insurance tax receipts fell about 5 percent in fiscal 2011, held down by the temporary 2 percentage point reduction in payroll taxes enacted in 2010. Corporate taxes also fell around 5 percent in 2011, with the decline largely the result of legislation providing more-favorable tax treatment for some business investment. In the first four months of fiscal 2012, total tax receipts increased 4 percent relative to the comparable year-earlier period.
Total federal outlays rose 4 percent in fiscal 2011. Much of the increase relative to last year is attributable to the earlier unwinding of the effects of financial transactions, such as the repayments to the Treasury of obligations for the Troubled Asset Relief Program, which temporarily lowered measured outlays in fiscal 2010. Excluding these transactions, outlays were up about 2 percent in 2011. This small increase reflects reductions in both ARRA spending and unemployment insurance payments as well as a subdued pace of defense and Medicaid spending. By contrast, net interest payments rose sharply, reflecting the increase in federal debt. Spending has remained restrained in the current fiscal year, with outlays (adjusted to exclude financial transactions) down about 5 percent in the first four months of fiscal 2012 relative to the comparable year-earlier period.
As measured in the national income and product accounts (NIPA), real federal expenditures on consumption and gross investment--the part of federal spending that is a direct component of GDP--decreased at an annual rate of about 3 percent in the second half of 2011, a little less rapidly than in the first half of the year (figure 8). Defense spending fell at an annual rate of about 4 percent in the second half of the year, a somewhat sharper pace of decline than in the first half, while nondefense purchases were unchanged over this period.
Federal debt surged in the second half of 2011, after the debt ceiling was raised in early August by the Budget Control Act of 2011.7 Standard and Poor's (S&P), which had put the U.S. long-term sovereign credit rating on credit watch negative in June, downgraded that rating from AAA to AA+ following the passage of the act, citing the risks of a continued rise in federal government debt ratios over the medium term and declining confidence that timely fiscal measures necessary to place U.S. public finances on a sustainable path would be forthcoming. Other credit rating agencies subsequently posted a negative outlook on their rating of U.S. sovereign debt, on similar grounds, but did not change their credit ratings. These actions do not appear to have affected participation in Treasury auctions, which continued to be well subscribed. Demand for Treasury securities was supported by market participants' preference for the relative safety and liquidity of such securities. Bid-to-cover ratios were within historical ranges, and indicators of foreign participation remained near their recent levels. Federal debt held by the public, as a percentage of GDP, continued to rise in the third quarter, reaching about 68 percent.
State and Local Government
State and local governments remain under significant fiscal strain. Since July, employment in the sector has declined by an average of 15,000 jobs per month, just slightly under the pace of job losses recorded for the first half of 2011. Meanwhile, reductions in real construction expenditures abated after a precipitous drop in the first half of 2011. As measured in the NIPA, real state and local expenditures on consumption and gross investment decreased at an annual rate of about 2 percent in the second half of 2011, a somewhat slower pace of decline than in the first half of the year (figure 8).
State and local government revenues appear to have increased modestly in 2011. Notably, at the state level, third-quarter tax revenues rose 5-1/2 percent over the year-earlier period, with the majority of the states experiencing gains. However, this increase in tax revenues was partly offset by a reduction in federal stimulus grants. Tax collections have been less robust at the local level. Property tax receipts have been roughly flat, on net, since the start of 2010 (based on data through the third quarter of 2011), reflecting the downturn in home prices. Furthermore, many localities have experienced a decrease in grants-in-aid from their state government.
Issuance of long-term securities by state and local governments moved up in the second half of 2011 to a pace similar to that seen in 2009 and 2010. Issuance had been subdued during the first half of the year, in part because the expiration of the Build America Bonds program led to some shifting of financing from 2011 into late 2010.
Yields on state and local government securities declined in the second half of 2011 and into 2012, reaching levels near the lower end of their range over the past decade, but they fell to a lesser degree than yields on comparable-maturity Treasury securities. The increase in the ratio of municipal bond yields to Treasury yields likely reflected, in part, continued concern regarding the financial health of state and local governments. Indeed, credit default swap (CDS) indexes for municipal bonds rose, on balance, over the second half of 2011 but have narrowed somewhat in early 2012. Credit rating downgrades outpaced upgrades in the second half of 2011, particularly in December, following the downgrade of a municipal bond guarantor.8
The External Sector
Real exports of goods and services rose at an annual rate of 4-3/4 percent in the second half of 2011, boosted by continued growth in overall foreign economic activity and the lagged effect of declines in the foreign exchange value of the dollar earlier in the year (figure 9). Exports of aircraft and consumer goods registered some of the largest gains. The increase in export demand was concentrated in the emerging market economies (EMEs), while exports to the euro area declined toward the end of the year.
With growth of economic activity in the United States moderate during the second half of 2011, real imports of goods and services rose at only about a 3 percent annual rate, down from about 5 percent in the first half. Import growth was weak across most trading partners in the second half of last year, with the notable exception of imports from Japan, which grew significantly after dropping sharply in the wake of the March earthquake.
Altogether, net exports contributed about 1/4 percentage point to real GDP growth in the second half of 2011, as export growth outpaced import growth. At an annual rate, the current account deficit in the third quarter of 2011 (the latest available data) was $441 billion, or about 3 percent of nominal GDP, a touch narrower than the $470 billion deficit recorded in 2010.
Oil prices moved down, on net, over the second half of last year. The spot price of West Texas Intermediate (WTI) crude oil, which jumped to $110 per barrel last April after a near-complete shutdown of Libyan oil production, subsequently reversed course and declined sharply to an average of just under $86 per barrel in September. The prices of other major benchmark crude oils also fell over this period, although by less than the spot price of WTI (figure 10). The drop in oil prices through September likely was prompted by the winding down of the conflict in Libya as well as growing concern about the strength of global growth as the European sovereign debt crisis intensified, particularly toward the end of summer. From September to January of this year, the price of oil from the North Sea (the Brent benchmark) was essentially flat as the potential implications of increased geopolitical tensions--most notably with Iran--have offset ongoing concern over the strength of global demand and a faster-than-expected rebound in Libyan oil production. In February, the price of Brent moved higher, both with increasing optimism regarding the outlook for global growth as well as a further heightening of tensions with Iran. The spot price of WTI crude oil also increased in February, though by less than Brent, following a relatively rapid rise over the final three months of last year.9
Note: The data are monthly. The oil price is the spot price of Brent crude oil, and the last observation is the average for February 1-24, 2012. The price of nonfuel commodities is an index of 45 primary-commodity prices and extends through January 2012.
Source: For oil, the Commodity Research Bureau; for nonfuel commodities, International Monetary Fund.
After peaking early in 2011, prices of many non-oil commodities also moved lower during the remainder of 2011. Despite moving up recently, copper prices remain well below their early 2011 level. In agricultural markets, corn and wheat prices ended 2011 down about 20 percent from their relatively high levels at the end of August as global production reached record levels. In early 2012, however, corn prices edged up on worries about dry growing conditions in South America.
After increasing at an annual rate of 6-1/2 percent in the first half of 2011, prices of non-oil imported goods were flat in the second half. Fluctuations in prices of imported finished goods (such as consumer goods and capital goods) were moderate.
National Saving
Total U.S. net national saving--that is, the saving of U.S. households, businesses, and governments, net of depreciation charges--remains extremely low by historical standards. After having reached 4 percent of nominal GDP in 2006, net national saving dropped over the subsequent three years, reaching a low of negative 2-1/2 percent in 2009. Since then, the national saving rate has increased on balance: In the third quarter of 2011 (the latest quarter for which data are available), net national saving was negative 1/2 percent of nominal GDP. The recent contour of the saving rate importantly reflects the pattern of federal budget deficits, which widened sharply in 2008 and 2009, but have edged down as a share of GDP since then. National saving will likely remain relatively low this year in light of the continuing large federal budget deficit. If low levels of national saving persist over the longer run, they will likely be associated with both low rates of capital formation and heavy borrowing from abroad, limiting the rise in the standard of living of U.S. residents over time.
The Labor Market
Employment and Unemployment
Conditions in the labor market have improved some of late. Private payroll employment gains averaged 165,000 jobs per month in the second half of 2011, a bit slower than the pace in the first half of the year, but gains in December and January were more robust, averaging almost 240,000 per month (figure 11). The unemployment rate, which hovered around 9 percent for much of last year, is estimated to have moved down noticeably since September, reaching 8-1/4 percent in January, the lowest reading in almost three years (figure 12).
Note: The data are monthly and extend through January 2012.
Source: Department of Labor, Bureau of Labor Statistics.
Note: The data are monthly and extend through January 2012.
Source: Department of Labor, Bureau of Labor Statistics.
Although the recent decline in the jobless rate is encouraging, the level of unemployment remains very elevated. In addition, long-duration joblessness continues to account for an especially large share of the total. Indeed, in January, 5-1/2 million persons among those counted as unemployed--about 43 percent of the total--had been out of work for more than six months, figures that were only a little below record levels (figure 13). Moreover, the number of individuals who are working part time for economic reasons--another indicator of the underutilization of labor--remained roughly twice its pre-recession value.
Note: The data are monthly and extend through January 2012. The series shown is the percentage of total unemployed persons who have been unemployed for 27 weeks or more.
Source: Department of Labor, Bureau of Labor Statistics.
Productivity and Labor Compensation
Labor productivity growth slowed last year. Productivity had risen rapidly in 2009 and 2010 as firms strove to cut costs in an environment of severe economic stress. In 2011, however, with operations leaner and workforces stretched thin, firms needed to add labor inputs to achieve the desired output gains, and output per hour in the nonfarm business sector rose only 1/2 percent.
Increases in hourly compensation remained subdued in 2011, restrained by the wide margin of labor market slack. The employment cost index, which measures both wages and the cost to employers of providing benefits, for private industry rose just 2-1/4 percent in nominal terms in 2011. Nominal compensation per hour in the nonfarm business sector--derived from the labor compensation data in the NIPA--is estimated to have increased only 1-3/4 percent in 2011, well below the average gain of about 4 percent in the years before the recession. Adjusted for the rise in consumer prices, hourly compensation was roughly unchanged in 2011. Unit labor costs rose 1-1/4 percent in 2011, as the rise in nominal hourly compensation outpaced that of labor productivity in the nonfarm business sector. In 2010, unit labor costs fell almost 1 percent.
Prices
Consumer price inflation stepped down in the second half of 2011. After rising at an annual rate of 3-1/2 percent in the first half of the year, the overall PCE chain-type price index increased just 1-1/2 percent in the second half (figure 14). PCE prices excluding food and energy also decelerated in the second half of 2011, rising at an annual rate of about 1-1/2 percent, compared with roughly 2 percent in the first half. The recent contour of consumer price inflation has reflected movements in global commodity prices, which rose sharply early in 2011 but have moved lower during the second half of the year. Information from the consumer price index and other sources suggests that inflation remained subdued through January 2012, although energy prices have turned up more recently.
The index of consumer energy prices, which surged in the first half of 2011, fell back in the second half of the year. The contour mainly reflected the rise and subsequent reversal in the price of crude oil; however, gasoline prices started to rise again in February following a recent upturn in crude oil prices. Consumer natural gas prices also fell at the end of 2011, as unseasonably mild temperatures and increases in supply from new domestic wells helped boost inventories above typical levels. All told, the overall index of consumer energy prices edged lower during the second half of 2011, compared with an increase of almost 30 percent in the first half of the year.
Consumer prices for food and beverages exhibited a similar pattern as that of energy prices. Prices for farm commodities rose briskly early last year, reflecting the combination of poor harvests in several countries that are major producers along with the emerging recovery in the global economy. These commodity price increases fed through to higher consumer prices for meats and a wide range of other more-processed foods. With the downturn in farm commodity prices late in the summer, the index of consumer food prices rose at an annual rate of just 3-3/4 percent in the second half of 2011 after increasing 6-1/2 percent in the first half.
Prices for consumer goods and services other than energy and food have also slowed, on net, in recent months. Core PCE prices had been boosted in the spring and summer of 2011 by a number of transitory factors, including the pass-through of the first-half surge in prices of raw commodities and other imported goods and a boost to motor vehicle prices that stemmed from supply shortages following the earthquake in Japan. As the impulse from these factors faded, core PCE price inflation stepped down so that, for 2011 as a whole, core PCE price inflation was just 1-3/4 percent.
Survey-based measures of near-term inflation expectations are down since the middle of 2011. Median year-ahead inflation expectations as reported in the Thomson Reuters/University of Michigan Surveys of Consumers (Michigan survey), which had risen sharply earlier in the year reflecting the run-up in energy and food prices, subsequently fell back as those prices decelerated. Longer-term expectations have remained generally stable. In the Michigan survey, the inflation rate expected over the next 5 to 10 years was 2.9 percent in February, within the range that has prevailed over the past 10 years; in the Survey of Professional Forecasters, conducted by the Federal Reserve Bank of Philadelphia, expectations for the increase in the price index for PCE over the next 10 years remained at 2-1/4 percent, in the middle of its recent range.
Measures of inflation compensation derived from yields on nominal and inflation-indexed Treasury securities declined early in the second half of 2011 at both medium-term and longer-term horizons, likely reflecting a worsening in the economic outlook and the intensification of the European fiscal crisis. More recently, inflation compensation estimates over the next five years have edged back up, apparently reflecting investors' more optimistic economic outlook, and is about unchanged, on net, for the period. However, the forward measure of five-year inflation compensation five years ahead remains about 55 basis points below its level in the middle of last year.
Financial Developments
In light of the disappointing pace of progress toward meeting its statutory mandate to promote maximum employment and price stability, the Federal Open Market Committee (FOMC) took a number of steps to provide additional monetary policy accommodation during the second half of 2011 and early 2012. These steps included increasing the average maturity of the Federal Reserve's securities holdings, shifting the reinvestment of principal payments on agency securities from Treasury securities to agency-guaranteed MBS, and strengthening the forward rate guidance included in postmeeting statements.
Financial markets were buffeted over the second half of 2011 and in early 2012 by changes in investors' assessments of the ongoing European crisis as well as in their evaluation of the U.S. economic outlook. As a result, developments in financial market conditions have been mixed since July. Unsecured dollar funding markets, particularly for European institutions, became significantly strained, though domestic financial firms generally maintained ready access to short-term unsecured funding. Corporate bond spreads remained elevated, on net, while broad equity prices were little changed, although they exhibited unusually high volatility. Partially reflecting additional monetary policy accommodation, Treasury yields moved down significantly. Similarly, investors pushed out the date at which they expect the federal funds rate to rise above its current target range, and they are currently anticipating a more gradual pace of increase in the funds rate following liftoff than they did last July.
Monetary Policy Expectations and Treasury Rates
In response to the steps taken by the FOMC to strengthen its forward guidance and provide additional support to the economic recovery, market participants pushed out further the date when they expect the federal funds rate to first rise above its current target range of 0 to 1/4 percent and scaled back their expectations of the pace at which monetary policy accommodation will be removed. On balance, quotes on overnight index swap (OIS) contracts, as of late February, imply that investors anticipate the federal funds rate will rise above its current target range in the fourth quarter of 2013, about four quarters later than the date implied in July. Investors expect, on average, that the effective federal funds rate will be about 70 basis points by late 2014, roughly 165 basis points lower than anticipated in mid-2011.10
Yields on nominal Treasury securities declined significantly over the second half of 2011 (figure 15). The bulk of this decline occurred in late July and August, in part reflecting weaker-than-anticipated U.S. economic data and increased investor demand for the relative safety and liquidity of Treasury securities amid an intensification of concerns about the situation in Europe. Following the FOMC announcement of the maturity extension program (MEP) at its September meeting, yields on longer-dated Treasury securities declined further, while yields on shorter-dated securities held steady at very low levels.11 On net, yields on 2-, 5-, and 10-year Treasury notes have declined roughly 10, 65, and 110 basis points from their levels in mid-2011, respectively. The yield on the 30-year bond has dropped about 120 basis points. Though liquidity and functioning in money markets deteriorated notably for several days at the height of the debt ceiling debate last summer, neither the downgrade of the U.S. long-term sovereign credit rating by S&P in August nor the failure of the Joint Select Committee on Deficit Reduction to reach an agreement in November appeared to leave a permanent imprint on the Treasury market. Uncertainty about longer-term interest rates, as measured by the implied volatility on 10-year Treasury securities, moved sideways through most of the second half of 2011 and then declined late in the year and into 2012, reflecting improved sentiment in financial markets following a number of policy actions by central banks and some signs of strengthening in the pace of economic recovery.
Note: The data are daily and extend through February 24, 2012.
Source: Department of the Treasury.
Measures of market functioning suggest that the Treasury market has continued to operate smoothly since mid-2011 despite the S&P downgrade in August. Bid-asked spreads for most Treasury securities were roughly unchanged, though they have widened a bit, on net, for the 30-year bond since August. Dealer transaction volumes have remained within historically normal ranges.
Short-Term Funding Markets
Conditions in unsecured short-term dollar funding markets deteriorated, on net, over the second half of 2011 and in early 2012 amid elevated anxiety about the crisis in Europe and its implications for European firms and their counterparties. Funding costs increased and tenors shortened dramatically for European institutions throughout the third and into the fourth quarter. Funding pressures eased somewhat late in the year following the European Central Bank's (ECB) first injection of euro liquidity via a three-year refinancing operation and the reduction of the price of U.S. dollar liquidity offered by the ECB and other central banks; they subsequently eased further following the passage of year-end. On balance, spreads of London interbank offered rates (LIBOR) over comparable-maturity OIS rates--a measure of stress in short-term bank funding markets--have widened considerably since July, particularly for tenors beyond one month, though they have moved down since late last year. Indeed, throughout much of the third and fourth quarters, many European institutions were reportedly unable to obtain unsecured dollar funding at tenors beyond one week. Additionally, more-forward-looking measures of interbank funding costs--such as the spread between a three-month forward rate agreement and the rate on an OIS contract three to six months ahead--moved up considerably in the second half of 2011 and have only partially retraced in 2012 (figure 16). Despite the pressures faced by European financial institutions, U.S. firms generally maintained ready access to short-term unsecured funding markets. Against a backdrop of solid deposit growth and modest expansion in bank credit across the industry, most domestic banks reportedly had limited need for unsecured funding.
Note: The data are daily and extend through February 24, 2012. An overnight index swap (OIS) is an interest rate swap with the floating rate tied to an index of daily overnight rates, in this case the effective federal funds rate. At maturity, the two parties to the swap agreement exchange, on the basis of the agreed notional amount, the difference between interest accrued at the fixed rate and interest accrued by averaging the floating, or index, rate. The U.S. dollar (USD) spread is calculated from a London interbank offered rate (LIBOR) forward rate agreement (FRA) three to six months in the future and the implied forward OIS rate for the same period.
Source: Bloomberg.
Pressures were also evident in the commercial paper (CP) market. Issuance in the United States of unsecured financial CP and negotiable certificates of deposit by entities with European parents declined significantly in the second half of 2011. By contrast, the pace of issuance by U.S. firms edged down only slightly, on net, over the period. On balance, spreads of rates on unsecured A2/P2 commercial paper over equivalent maturity AA-rated nonfinancial CP rose a bit for both overnight and 30-day tenors. AA-rated asset-backed CP spreads increased more notably over the second half of 2011 but largely retraced following year-end.
In contrast to unsecured dollar funding markets, signs of stress were largely absent in secured short-term dollar funding markets. For example, in the market for repurchase agreements (repos), bid-asked spreads for most collateral types were little changed. In addition, despite a seasonal dip around year-end, volumes in the triparty repo market were largely stable on balance. That said, the composition of collateral pledged in the repo market moved further away from equities and fixed-income collateral that is not eligible for open market operations, shifting even more heavily toward Treasury and agency securities as counterparty concerns became more evident. Respondents to the SCOOS in both September and December noted a continued increase in demand for funding across collateral types but reported a general tightening in credit terms under which several securities types are financed. In addition, market participants reportedly became somewhat less willing to fund riskier collateral types at longer tenors as year-end approached. However, year-end pressures remained muted overall, with few signs of dislocations in either secured or unsecured short-term markets, and conditions in term funding markets have improved in early 2012.
Money market funds, a major provider of funds to short-term funding markets such as those for CP and for repo, experienced significant outflows across fund categories in July, as investors' focus turned to the deteriorating situation in Europe and to the debt ceiling debate in the United States. Those outflows largely shifted to bank deposits, resulting in significant pressure on the regulatory leverage ratios of a few large banks. However, investments in money market funds rose, on net, over the remainder of 2011, with the composition of those increases reflecting the general tone of increased risk aversion, as government-only funds faced notable inflows while prime funds experienced steady outflows.
Financial Institutions
Market sentiment toward the banking industry declined rapidly early in the second half of 2011 as investors turned their focus on exposures to European sovereigns and financial institutions and on the possible spillover effects of the European crisis. Some large U.S. institutions also remained significantly exposed to legal risks stemming from their mortgage banking operations and foreclosure practices.12 More recently, however, investor sentiment has improved somewhat following the actions of central banks and incoming data suggesting a somewhat better economic outlook in the United States. On balance, equity prices for banking organizations have completely retraced their declines from last summer, while CDS spreads (figure 17)--which reflect investors' assessments of and willingness to bear the risk that these institutions will default on their debt obligations--have declined from their peaks reached in the fall, but not all the way back to mid-2011 levels.
Note: The data are daily and extend through February 24, 2012. Median spreads for six bank holding companies and nine other banks.
Source: Markit.
Measures of bank profitability edged up, on net, in recent quarters but remained well below the levels that prevailed before the financial crisis began. Although profits at the largest institutions were supported over that period by reductions in noninterest expenses, net interest margins remained very low, capital markets revenues were subdued, loan loss provisions are still somewhat elevated relative to pre-crisis norms, and a few banks booked large reserves for litigation risks associated with their mortgage portfolios.
Indicators of credit quality at commercial banks continued to show signs of improvement. Aggregate delinquency and charge-off rates moved down, though they remained quite elevated on residential mortgages and both residential and commercial construction loans. Loss provisioning has leveled out in recent quarters near the upper end of its pre-crisis range. Nonetheless, in the January SLOOS, a large fraction of the respondents indicated that they expect credit quality to improve over the next 12 months for most major loan categories if economic activity progresses in line with consensus forecasts.
Credit provided by domestic banks--the sum of loans and securities--increased moderately in the second half of 2011, its first such rise since the first half of 2008. Bank credit grew as holdings of agency MBS expanded steadily and most major loan categories exhibited improvement in the second half of the year. The expansion was consistent with recent SLOOS responses indicating that lending standards and loan terms eased somewhat and that demand for loans from businesses and households increased, on net, in the second half of 2011. In particular, C&I loans showed persistent and considerable strength over the second half of 2011 and into early 2012. Loans to nonbank financial institutions, a category that tends to be volatile, also grew rapidly over that period as did holdings of agency MBS. Consumer loans held by banks edged up in the third and fourth quarters. Those increases offset ongoing declines in commercial real estate and home equity loans, both of which remained very weak.
Regulators continued to take steps to strengthen their oversight of the financial industry. In particular, a variety of measures mandated by the Dodd-Frank Wall Street Reform and Consumer Protection Act of 2010 are being, or are soon to be, implemented, including enhanced capital and liquidity requirements for large banking organizations, annual stress testing, additional risk-management requirements, and the development of early remediation plans (see box 1). As part of those efforts, the Federal Reserve began annual reviews of the capital plans for U.S. bank holding companies with total consolidated assets of $50 billion or more under its Comprehensive Capital Analysis and Review program. Going into those reviews, reported regulatory capital ratios of U.S. banking institutions generally remained at historically high levels over the second half of 2011.
Concerns about the condition of European financial institutions, coupled with periods of heightened attention paid to U.S. securities dealers, raised investor anxiety regarding counterparty exposure to dealers during the second half of 2011. Indeed, responses to the December SCOOS suggested that dealers devoted increased time and attention to the management of concentrated credit exposures to dealers and other financial intermediaries over the previous three months (figure 18).13 In addition, survey respondents reported that they had reduced aggregate credit limits for certain specific institutions. Investors appeared to be particularly concerned about the stability of funding in the event of financial market stress because most dealer firms are highly reliant on short-term secured funding.
Note: The data are drawn from a survey conducted four times per year; the last observation is from the December 2011 survey, which covers 2011:Q4. Net percentage equals the percentage of institutions that reported increasing attention ("increased considerably" or "increased somewhat") minus the percentage of institutions that reported decreasing attention ("decreased considerably" or "decreased somewhat").
Source: Federal Reserve Board, Senior Credit Officer Opinion Survey on Dealer Financing Terms.
Respondents to the December SCOOS reported a broad but moderate tightening of credit terms applicable to important classes of counterparties over the previous three months. This tightening was especially evident for hedge fund clients and trading real estate investment trusts.14 The institutions that reported having tightened credit terms pointed to a worsening in general market liquidity and functioning and a reduced willingness to take on risk as the most important reasons for doing so. Indeed, for each type of collateral covered in the survey, notable net fractions of respondents reported that liquidity and functioning in the underlying asset market had deteriorated over the previous three months. Dealers reported that the demand for funding most types of securities continued to increase over the previous three months, particularly the demand for term funding with a maturity greater than 30 days, which increased for all security types.
Net investment flows to hedge funds in the third and fourth quarters were reportedly significantly smaller than in the first half of the year as hedge funds markedly underperformed the broader market in 2011. Information from a variety of sources suggests that the use of dealer-intermediated leverage has declined, on balance, since mid-2011. Indeed, while the use of dealer-intermediated leverage was roughly unchanged for most types of counterparties according to September and December SCOOS respondents, about half of those surveyed indicated that hedge funds' use of financial leverage, considering the entire range of transactions with such clients, had decreased somewhat.
Box 1. Financial Stability at the Federal Reserve Board
The Federal Reserve's responsibility for promoting financial stability stems from its role in supervising and regulating banks, operating the nation's payments system, and serving as the lender of last resort. In the decades prior to the financial crisis, financial stability policy tended to be overshadowed by monetary policy, which had come to be viewed as the principal function of central banks. However, in the aftermath of the financial crisis, financial stability policy has taken on greater prominence and is now generally considered an equally critical responsibility of central banks. As such, the Federal Reserve has made significant organizational changes and taken other actions to improve its ability to understand and address systemic risk. In addition, its statutory role in maintaining financial stability has been expanded by the Dodd-Frank Wall Street Reform and Consumer Protection Act of 2010 (Dodd-Frank Act).
One key feature of the Dodd-Frank Act is its macroprudential orientation, as reflected in many of the provisions to be implemented by the Federal Reserve and other financial regulators. The macroprudential approach to regulation and supervision still pays close attention to the safety and soundness of individual financial institutions, but it also takes into account the linkages among those entities and the condition of the financial system as a whole. To implement the macroprudential approach, the Dodd-Frank Act established the multiagency Financial Stability Oversight Council (FSOC), which is tasked with promoting a more comprehensive approach to monitoring and mitigating systemic risk. The Federal Reserve is one of 10 voting members of the FSOC.
A significant aspect of the macroprudential approach is the heightened focus on entities whose failure or financial distress could result in outsized destabilizing effects on the rest of the system. Under the Dodd-Frank Act, the Federal Reserve is responsible for the supervision of all systemically important financial institutions (SIFIs), which include both large bank holding companies and nonbank financial firms designated by the FSOC as systemically important. Even before the Dodd-Frank Act was enacted, the Federal Reserve was making organizational changes to facilitate the incorporation of systemic risk considerations into the supervisory process. Notably, it created the Large Institution Supervision Coordinating Committee (LISCC) to bring an interdisciplinary and cross-firm perspective to the supervision of large, complex financial institutions; the LISCC acts to ensure that the financial positions of these large institutions are strong enough to withstand adverse shocks. A similar body has been set up to help in the oversight of systemically important financial market utilities.
The Federal Reserve has also established the Office of Financial Stability Policy and Research (OFS) to help the Federal Reserve more effectively monitor the financial system and develop policies for mitigating systemic risks. The OFS's function is to coordinate and analyze information bearing on financial stability from a wide range of perspectives and to place the supervision of individual institutions within a broader macroeconomic and financial context. In addition, the Federal Reserve works with other U.S. agencies and international bodies on a range of issues to strengthen the financial system.
Systemic financial risks can take several forms. Some risks can be described as structural in nature because they are associated with structural features of financial markets and thus are largely independent of economic conditions; these include, for example, the risk posed by a SIFI whose failure can have outsized effects on the financial system or the degree to which money market mutual funds are susceptible to liquidity pressures. Other risks can be described as cyclical in nature and include, for example, elevated asset valuations and excessive credit growth that arise in buoyant economic times but can unwind in destabilizing ways should conditions change. Attentiveness to both types of risk is critical in the monitoring of systemic risk and the formulation of appropriate macroprudential policy responses.
The Federal Reserve has taken steps to identify structural vulnerabilities in the financial system and to devise policies to mitigate the associated risks. For example, in December 2011, the Board released a proposal to strengthen the regulation and supervision of large bank holding companies and systemically important nonbank financial firms. The proposal comprises a wide range of measures, including risk-based capital and leverage requirements, liquidity requirements, stress tests, single-counterparty credit limits, and early remediation requirements. In addition, in October 2011, the Board approved a final rule to implement the resolution plan (living will) requirement of the Dodd-Frank Act, which is intended to reduce the likelihood that the failure of a SIFI--should it occur--would cause serious damage to the financial system. In all of its rulemaking responsibilities, the Federal Reserve is attentive to the international dimension of financial regulation. It is also working with its regulatory counterparts to improve the quality and timeliness of financial data.
The Federal Reserve is likewise moving forward to address cyclical systemic risks. To identify such risks, it routinely monitors a number of items--including, for example, measures of leverage and maturity mismatch at financial intermediaries--and looks for signs of a credit-induced buildup of systemic risk. In addition, it conducts regular stress tests of the nation's largest banking firms; these tests are based on detailed confidential data about the balance sheets of the firms and provide a comprehensive, rigorous assessment of how the firms' financial conditions would likely evolve over a multiyear period under adverse economic and financial scenarios. Meanwhile, efforts are under way to evaluate and develop new macroprudential tools that could help limit future buildups of cyclical systemic risk.
In summary, the Federal Reserve has taken a series of actions to implement the relevant provisions of the Dodd-Frank Act and to meet its broader financial stability responsibilities in a timely way. The Federal Reserve has made important changes to its organizational structure to support a macroprudential approach to supervision and regulation, and it has instituted processes for identifying and responding to sources of systemic risk.
Return to textCorporate Debt and Equity Markets
On net since July of last year, yields on investment-grade corporate bonds have declined notably, while those on speculative-grade corporate debt posted mixed changes. However, reflecting a decline in investor risk-taking amid concerns about the European situation and heightened volatility in financial markets, spreads of these yields to those on comparable-maturity Treasury securities widened notably in the third quarter and have only partly retraced since that time (figure 19). In the secondary market for leveraged loans, the average bid price dropped in line with the prices of other risk assets in August but has recovered since then, as institutional investors--which include collateralized loan obligations, pension funds, insurance companies and other funds investing in fixed-income instruments--have reportedly continued to exhibit strong appetites for higher-yielding leveraged loans against a backdrop of little new supply of such loans. Liquidity in that market has recovered recently after a sharp deterioration during the summer.
Note: The data are daily and extend through February 24, 2012. The spreads shown are the yields on 10-year bonds less the 10-year Treasury yield.
Source: Derived from smoothed corporate yield curves using Merrill Lynch bond data.
Broad equity prices are about unchanged, on balance, since mid-2011 but exhibited an unusually high level of volatility. Equity markets fell sharply in late July and early August in response to concerns about the European crisis, the U.S. debt ceiling debate, and a possible slowdown in global growth. Equity prices roughly retraced these losses during the fourth quarter of 2011 and early 2012, reflecting somewhat better-than-expected economic data in the United States as well as actions taken by major central banks to mitigate the financial strains in Europe. Nonetheless, equity prices have remained highly sensitive to news regarding developments in Europe. Implied volatility for the S&P 500 index, calculated from option prices, ramped up in the third quarter of 2011 but has since reversed much of that rise.
Amid heightened stock market volatility over the course of the second half of 2011, equity mutual funds experienced sizable outflows. Loan funds, which invest primarily in LIBOR-based syndicated leveraged loans, also experienced outflows as retail investors responded to loan price changes following indications that the Federal Reserve would keep interest rates lower for longer than previously anticipated. With declining yields on fixed-income securities boosting the performance of bond mutual funds, these funds, including speculative-grade and municipal bond funds, attracted net inflows.
Monetary Aggregates and the Federal Reserve's Balance Sheet
The M2 monetary aggregate expanded at an annual rate of about 12 percent over the second half of 2011.15 The rapid growth in M2 appears to be the result of increased demand for safe and liquid assets due to concerns about the European situation, combined with a very low level of interest rates on alternative short-term investments. In addition, a number of regulatory changes have likely boosted M2 of late. In particular, unlimited insurance by the Federal Deposit Insurance Corporation (FDIC) of onshore noninterest-bearing deposits has made these deposits increasingly attractive at times of heightened volatility and uncertainty in financial markets. In addition, the change in the FDIC assessment base in April 2011 added deposits in domestic banks' offshore offices, eliminating some of the benefits to banks of booking deposits abroad and apparently leading, in some cases, to a decision to rebook some of these deposits onshore. Indeed, liquid deposits, the single largest component of M2, grew at an annual rate of 20 percent in the second half of 2011.16 The currency component of the money stock grew at an annual rate of 7 percent over the second half of 2011, a bit faster than the historical average but a slower pace than in the first half of the year. The monetary base--which is equal to the sum of currency in circulation and the reserve balances of depository institutions held at the Federal Reserve--expanded at an annual rate of 3-3/4 percent in the second half of the year, as the rise in currency more than offset a slight decrease in reserve balances.17
The size of the Federal Reserve's balance sheet remained at a historically high level throughout the second half of 2011 and into early 2012 and stood at about $2.9 trillion as of February 22. The small rise of about $61 billion since July largely reflected increases in temporary U.S. dollar liquidity swap balances with the ECB, which were partially offset by a decline in securities holdings (table 1). Holdings of U.S. Treasury securities grew $32 billion over the second half of 2011, as the proceeds from paydowns of agency debt and agency MBS were reinvested in longer-term Treasury securities until the FOMC decision in September to switch the reinvestment of those proceeds to agency MBS; total holdings of MBS declined into the fall. The subsequent small increase in MBS holdings reflects the reinvestment of maturing agency debt into MBS. Agency debt declined about $14 billion over the entire period. The composition of Treasury holdings also changed over this period as a result of the implementation of the MEP. As of February 24, 2012, the Open Market Desk at the Federal Reserve Bank of New York (FRBNY) had purchased $211 billion in Treasury securities with remaining maturities of 6 to 30 years and sold $223 billion in Treasury securities with maturities of 3 years or less.
| Balance sheet item | Dec. 29, 2010 | July 6, 2011 | Feb. 22, 2012 |
|---|---|---|---|
| Total assets | 2,423,457 | 2,874,049 | 2,935,149 |
| Selected assets | |||
| Credit extended to depository institutions and dealers | |||
| Primary credit | 58 | 5 | 3 |
| Central bank liquidity swaps | 75 | 0 | 107,959 |
| Credit extended to other market participants | |||
| Term Asset-Backed Securities Loan Facility (TALF) | 24,704 | 12,488 | 7,629 |
| Net portfolio holdings of TALF LLC | 665 | 757 | 825 |
| Support of critical institutions | |||
| Net portfolio holdings of Maiden Lane LLC, Maiden Lane II LLC, and Maiden Lane III LLC 1 | 66,312 | 59,637 | 30,822 |
| Credit extended to American International Group, Inc. | 20,282 | . . . | . . . |
| Preferred interests in AIA Aurora LLC and ALICO Holdings LLC | 26,057 | . . . | . . . |
| Securities held outright | |||
| U.S. Treasury securities | 1,016,102 | 1,624,515 | 1,656,581 |
| Agency debt securities | 147,460 | 115,070 | 100,817 |
| Agency mortgage-backed securities (MBS) 2 | 992,141 | 908,853 | 853,045 |
| Total liabilities | 2,366,855 | 2,822,382 | 2,880,556 |
| Selected liabilities | |||
| Federal Reserve notes in circulation | 943,749 | 990,861 | 1,048,004 |
| Reverse repurchase agreements | 59,246 | 67,527 | 89,824 |
| Deposits held by depository institutions | 1,025,839 | 1,663,022 | 1,622,800 |
| Of which: Term deposits | 5,113 | 0 | 0 |
| U.S. Treasury, general account | 88,905 | 67,270 | 36,033 |
| U.S. Treasury, Supplementary Financing Account | 199,963 | 5,000 | 0 |
| Total capital | 56,602 | 51,667 | 54,594 |
Note: LLC is a limited liability company.
1. The Federal Reserve has extended credit to several LLCs in conjunction with efforts to support critical institutions. Maiden Lane LLC was formed to acquire certain assets of the Bear Stearns Companies, Inc. Maiden Lane II LLC was formed to purchase residential mortgage-backed securities from the U.S. securities lending reinvestment portfolio of subsidiaries of American International Group, Inc. (AIG). Maiden Lane III LLC was formed to purchase multisector collateralized debt obligations on which the Financial Products group of AIG has written credit default swap contracts. Return to table
2. Includes only MBS purchases that have already settled. Return to table
. . . Not applicable.
Source: Federal Reserve Board, Statistical Release H.4.1, "Factors Affecting Reserve Balances of Depository Institutions and Condition Statement of Federal Reserve Banks."
In the second half of 2011 and early 2012, the Federal Reserve reduced some of its exposure to lending facilities established during the financial crisis to support specific institutions. The portfolio holdings of Maiden Lane LLC, Maiden Lane II LLC, and Maiden Lane III LLC--entities that were created during the crisis to acquire certain assets from the Bear Stearns Companies, Inc., and American International Group, Inc., or AIG, to avoid the disorderly failures of those institutions--declined, on net, primarily as a result of asset sales and principal payments. Of note, the FRBNY sold assets with a face amount of $13 billion from the Maiden Lane II portfolio in early 2012 through two competitive processes conducted by the FRBNY's investment manager.18
Use of regular discount window lending facilities, such as the primary credit facility, continued to be minimal. Loans outstanding under the Term Asset-Backed Securities Loan Facility declined and stood just below $8 billion in late February.
On November 30, 2011, in order to ease strains in global financial markets and thereby mitigate the effects of such strains on the supply of credit to U.S. households and businesses, the Federal Reserve announced coordinated actions with other central banks to enhance their capacity to provide liquidity support to the global financial system.19 The FOMC authorized an extension of the existing temporary U.S. dollar liquidity swap arrangements through February 1, 2013, and the rate on these swap arrangements was reduced from the U.S. dollar OIS rate plus 100 basis points to the OIS rate plus 50 basis points. The lower cost spurred increased use of those swap lines; the outstanding amount of dollars provided through the swap lines rose from zero in July to roughly $108 billion in late February.
On the liability side of the Federal Reserve's balance sheet, reserve balances held by depository institutions declined roughly $40 billion in the second half of 2011 and early 2012 while Federal Reserve notes in circulation increased roughly $57 billion. The Federal Reserve conducted a series of small-scale reverse repurchase transactions involving all eligible collateral types and its expanded list of counterparties. The Federal Reserve also continued to offer small-value term deposits through the Term Deposit Facility. In July of last year, the Treasury reduced the balance of its Supplementary Financing Account at the Federal Reserve from $5 billion to zero.
International Developments
In the second half of the year, financial market developments abroad were heavily influenced by concerns about the heightened fiscal stresses in Europe and the resultant risks to the global economic outlook. Foreign real GDP growth stepped up in the third quarter, as Japan rebounded from the effects of its March earthquake and tsunami, leading to an easing of supply chain disruptions. In contrast, recent data indicate that foreign economic growth slowed in the fourth quarter, as activity in the euro area appears to have contracted and as flooding in Thailand weighed on growth in several economies in Asia.
International Financial Markets
The foreign exchange value of the dollar has risen since July about 3-1/2 percent on a trade-weighted basis against a broad set of currencies (figure 20). Most of the appreciation occurred in September as market participants became increasingly pessimistic about the situation in Europe. Safe-haven flows buoyed the yen and the Swiss franc, and in response, the Bank of Japan and the Swiss National Bank separately intervened to counter further appreciation of their currencies.
Note: The data, which are in foreign currency units per dollar, are daily. The last observation for the series is February 24, 2012. The broad index is a weighted average of the foreign exchange values of the U.S. dollar against the currencies of a large group of the most important U.S. trading partners. The index weights, which change over time, are derived from U.S. export shares and from U.S. and foreign import shares.
Source: Federal Reserve Board, Statistical Release H.10, "Foreign Exchange Rates."
On net in the second half of the year, government bond yields for Canada, Germany, and the United Kingdom fell over 100 basis points to record lows, driven by safe-haven flows as well as a deteriorating global outlook. By contrast, sovereign bond spreads for Greece rose steeply, and Spanish and Italian sovereign spreads over German bunds also increased. Prices of other risky assets were very volatile over the period as market participants reacted to news about the crisis. (See box 2.)
As sovereign funding pressures spread to Italy and Spain in July and August and as concerns also mounted regarding U.S. fiscal policy and the durability of the global recovery, equity prices in the advanced foreign economies (AFEs) generally plunged. Those equity markets remained quite volatile but largely depressed through early December, when market sentiment seemed to take a more concerted turn for the better. Although most AFE equity indexes remain below their midsummer levels, they have risen markedly in the past two months. Emerging markets equity prices followed a path similar to those in the AFEs. Emerging markets bond and equity funds experienced large outflows during periods of heightened concerns about the European crisis, but inflows have resumed more recently.
Euro-area bank stock prices underperformed the broader market, as concerns about the health of European banks intensified over the second half of 2011. The CDS premiums on the debt of many large banks in Europe rose substantially, reflecting market views of increased risk of default. Quarterly earnings for many banks were reduced by write-downs on Greek debt. Although only eight banks failed the European Banking Authority (EBA) European Union-wide stress test in July, concerns about the capital adequacy of large European banks persisted. Partly in response to these concerns, the EBA announced in October that banks would be required to put in place a temporary extraordinary capital buffer by June 2012, boosting their core Tier 1 risk-based capital ratio to 9 percent. As market sentiment about European banks deteriorated over the period, their access to unsecured dollar funding diminished, particularly at tenors beyond one week. (See box 3.) European banks also faced pressure in euro funding markets. As banks' willingness to lend excess liquidity to one another decreased, the cost of obtaining funding in the market rose, and banks relied more heavily on the ECB for funding. The first three-year refinancing operation, held by the ECB on December 21, led to a significant injection of new liquidity, and funding conditions in Europe seemed to improve gradually in the weeks that followed. Short-term euro interbank rates declined, euro-area shorter-duration sovereign bond yields fell sharply, and both governments and banks were able to raise funds more easily.
The Financial Account
Financial flows in the second half of 2011 reflected heightened concerns about risk and the pressures in currency markets resulting from the European crisis. Based on data for the third quarter and monthly indicators for the fourth quarter (not shown), foreign private investors flocked to U.S. Treasury securities as a safe-haven investment while selling U.S. corporate securities, especially in months when appetite for risk was particularly weak. U.S. investors also pulled back from investments in Europe, significantly reducing deposits with European banks and selling securities from euro-area countries. Overall, U.S. purchases of foreign securities edged down in the third quarter.
The large purchases of Treasury securities dominated total private financial flows in the third quarter, a pattern that likely continued in the fourth quarter. Net flows by banks located in the United States were small, but these flows masked large offsetting movements by foreign- and U.S.-owned banks. U.S. branches of European banks brought in substantial funds from affiliates abroad over the course of 2011, building reserve balances in the first half of the year and covering persistent declines in U.S. funding sources. In contrast, U.S. banks, subject to less-severe market stress, sent funds abroad to meet strong dollar demand.
Inflows from foreign official institutions slowed notably in the second half of 2011. A number of advanced countries acquired some U.S. assets, seeking to counteract upward pressure on their currencies by purchasing U.S. dollars in foreign exchange markets. However, inflows from official institutions in the EMEs trended down significantly in 2011, especially in the third and fourth quarters when the strength of the dollar led to reductions in their intervention activity.
Box 2. An Update on the European Fiscal Crisis
The European fiscal crisis intensified in the second half of 2011, as concerns over fiscal sustainability spread to additional euro-area economies amid weakening economic growth prospects and missed fiscal targets. European financial institutions also faced sharply reduced access to funds, given their large exposures to vulnerable sovereigns. In response, policymakers took steps to improve fiscal balances, bolster the region's financial backstop, and address liquidity shortages for banks. On balance, market conditions have improved somewhat since December, but concerns about a possible Greek default and the adequacy of the financial backstop for other vulnerable economies have kept yields on sovereign debt elevated and funding for European financial institutions limited.
The crisis began in smaller euro-area countries with high fiscal deficits or debt and vulnerable banking systems. In 2010 and the first half of 2011, governments in Greece, Ireland, and Portugal suffered reduced access to market funding and required financial assistance from the European Union (EU) and the International Monetary Fund (IMF). Last July, sovereign spreads over German bunds rose markedly for Italy and Spain, as economic growth disappointed, doubts increased over political commitment to fiscal consolidation, and calls for the restructuring of Greek sovereign debt rattled investor confidence. The deterioration of financial conditions led to heightened political tensions in vulnerable economies, contributing to leadership changes in Greece, Italy, and Spain later in the fall.
Financial stresses spread quickly to European banks with large exposures to Italy, Spain, and the other vulnerable economies, and access to funding became limited for all but the shortest maturities and strongest institutions. In turn, concerns over the potential fiscal burdens for governments, should they need to recapitalize financial institutions, caused sovereign yields to rise sharply in the fall for other euro-area countries, including Austria, Belgium, and France.
European leaders responded to these developments with a number of policy measures. In July, amid the growing realization that Greece would need further financial assistance, EU and IMF officials announced plans for a second rescue package, including a call for limited reduction in the value of the debt held by private creditors. In February 2012, in response to Greece's faltering fiscal performance and plunging output, the Greek government and its creditors agreed on an enhanced rescue package, including a larger reduction in private creditors' claims. The Greek government and its creditors are now working to put in place the private-sector debt exchange and the new official-sector support program before a large debt amortization payment comes due in mid-March.
In recent months, European authorities have also made progress on plans to improve fiscal governance within the region. EU members (excluding the United Kingdom and Czech Republic) have agreed on the text of a new fiscal compact treaty designed to strengthen fiscal rules, surveillance, and enforcement. Among other measures, this treaty will require countries to legislate national fiscal rules, which should generally limit structural fiscal deficits to 1/2 percent of gross domestic product. The treaty is expected to be signed in March, after which national parliaments must ratify it and implement the required legislation.
Leaders also took a number of steps to increase the size of the financial backstop for the euro area. The flexibility, scope, and effective lending capacity of the €440 billion European Financial Stability Facility (EFSF), designed to support vulnerable governments, were increased. Authorities also moved up the introduction of the European Stability Mechanism (ESM), a permanent €500 billion lending facility, to July 2012, about a year earlier than originally planned. This March, euro-area leaders will consider lifting the €500 billion ceiling on the combined lending of the EFSF and the ESM. In addition, European officials called for an expansion of the IMF's lending capacity and pledged a joint contribution of €150 billion toward that goal. Finally, to improve the functioning of sovereign debt markets, the European Central Bank (ECB) resumed purchases of euro-area marketable debt in August, reportedly including the debt of Italy and Spain.
Policymakers also took steps to support financial markets and institutions affected by the sovereign crisis. To improve transparency and bolster the ability of European banks to withstand losses on sovereign holdings, the European Banking Authority (EBA) conducted a second stress test of large EU financial institutions, the results of which were released in mid-July, along with detailed information about banks' exposures to borrowers in EU countries. Market concerns about bank capital persisted, however, and in October, the EBA announced that large banks would be required to build up "exceptional and temporary" capital buffers to meet a core Tier 1 capital ratio of 9 percent and cover the cost of marking sovereign exposures to market by the end of June 2012. In December, the EBA disclosed that the aggregate required capital buffer for large banks would be €115 billion if risk-weighted assets were to remain at the levels they had reached at the end of September 2011. The banks submitted their capital plans to their national supervisors for approval, and the EBA has now summarized these plans. Excluding the Greek banks and three other institutions that will be recapitalized separately by national authorities, the remaining 62 banks intend to create capital buffers equivalent to €98 billion, about 25 percent larger than their required buffers, and they plan to use direct capital measures (such as retaining earnings, issuing new shares, and converting hybrid instruments to common equity) to achieve €75 billion of their buffer. The remainder of the buffer will be generated by measures that reduce risk-weighted assets--primarily selling assets and switching from the standardized to the advanced approach to measure risk weights. These measures will be subject to supervisory agreement.
To address spillovers to U.S. dollar funding markets from stresses in Europe, in late November the Federal Reserve, the ECB, and four other major central banks agreed to reduce the fee on draws on their dollar liquidity swap lines and extend the duration of such facilities. In early December, the ECB announced a reduction in its policy interest rate and its reserve requirement, an easing of rules on collateral for ECB refinancing operations, and the provision of three-year refinancing to banks to improve their funding situation. Banks borrowed €489 billion at the new facility in December, raising the total amount of outstanding ECB refinancing operations by roughly €200 billion. A second three-year liquidity operation is scheduled for the end of February.
The improved availability of dollar and euro funds late in the year, against the background of the other policies being employed to address the crisis, appears to have partly allayed market concerns about banks as well as governments in vulnerable euro-area countries. Over the past two months, European banks have seen improvements in their access to funding, and in vulnerable economies, credit spreads on the banks and spreads on government bonds have generally declined. Nevertheless, significant risks remain as Europeans struggle to implement the new Greek program and debt exchange, meet targets for budgets and bank capital, and expand the financial backstop. Over the longer term, the region must meet the difficult challenges of achieving sustained fiscal consolidation, stimulating growth, and improving competitiveness.
Return to textAdvanced Foreign Economies
The intensification of the euro-area sovereign debt crisis was accompanied by a widespread slowing of economic activity in the AFEs. In the euro area, financial tensions increased despite the various measures announced by European leaders to combat the crisis. Real GDP contracted in the euro area at the end of last year according to preliminary estimates, and spillovers from the euro area likely contributed to the fourth-quarter GDP decline in the United Kingdom. In Japan, economic activity rebounded rapidly from the disruptions of the March earthquake and tsunami but dipped again in the last quarter of 2011 as exports slumped. In Canada, elevated commodity prices and a resilient labor market have supported economic activity, but the export sector is showing signs of weakening.
Survey indicators suggest that conditions improved somewhat around the turn of the year, with widespread upticks in different countries' purchasing managers indexes. However, uncertainty about the resolution of the euro-area crisis continues to affect investors' sentiment, while trade and financial spillovers weigh on activity for all of the AFEs.
Twelve-month headline inflation remained elevated in most of the AFEs through the end of 2011, largely reflecting the run-up in commodity prices earlier last year and, in some countries, currency depreciation and increases in taxes. However, underlying inflation pressures remained contained and, in recent months, inflation rates have begun to turn down, reflecting weaker economic activity and, as in the United States, declines in commodity prices since last spring. As with output, inflation performance differs significantly across countries. Twelve-month headline inflation currently ranges from 3.6 percent in the United Kingdom, partly due to hikes in utility prices, to slightly negative in Japan, where deflation resumed toward the end of 2011 as energy price inflation moderated.
Several foreign central banks in the AFEs eased monetary policy in the second half of last year. The ECB cut its policy rate 50 basis points in the fourth quarter, bringing the main refinancing rate back to 1 percent, where it was at the beginning of the year. At its December meeting, the ECB also expanded its provision of liquidity to the banking sector by introducing two three-year longer-term refinancing operations, reducing its reserve ratio requirement from 2 percent to 1 percent, and easing its collateral requirements. The Bank of England has held the Bank Rate at 0.5 percent but announced a £75 billion expansion of its asset purchase facility in October and a further £50 billion increase in February that will bring total asset holdings to £325 billion upon its completion in May 2012. The Bank of Japan also expanded its asset purchase program, raising it from ¥15 trillion to ¥20 trillion in October and then to ¥30 trillion in February.
Emerging Market Economies
Many EMEs experienced a slowdown in economic growth in the third quarter of last year relative to the pace seen in the first half. Both earlier policy tightening, undertaken amid concerns about overheating, and weakening external demand weighed on growth. However, third-quarter growth in China and Mexico remained strong, supported by robust domestic demand. Recent data indicate that the slowdown continued and broadened in the fourth quarter, as the financial crisis in Europe softened external demand and the floods in Thailand impeded supply chains. In the second half of last year, concerns about the global economy prompted EME authorities either to put monetary policy tightening on hold or, in several cases--such as Brazil, China, Indonesia, and Thailand--to loosen monetary policy.
In China, real GDP growth stepped down to an annual rate of about 8 percent in the fourth quarter. Retail sales and fixed-asset investment slowed a touch but continued to grow briskly, reflecting solid domestic demand. But net exports exerted a small drag on growth, as weak external demand damped exports. Twelve-month headline inflation moderated to about 4-1/2 percent in January, as food prices retreated from earlier sharp rises. With growth slowing and inflation on the decline, Chinese authorities reversed the course of monetary policy toward easing by lowering the reserve requirement for large banks 100 basis points to 20.5 percent. In 2011, the Chinese renminbi appreciated 4-1/2 percent against the dollar and about 6 percent on a real trade-weighted basis; the latter measure gauges the renminbi's value against the currencies of China's major trading partners and adjusts for differences in inflation rates.
In Mexico, economic activity accelerated in the second and third quarters as domestic demand expanded robustly. However, incoming indicators, such as tepid growth of exports to the United States, point to a slowdown in the fourth quarter. Mexican consumer price inflation rose sharply in the second half of the year, driven largely by rising food prices and the removal of electrical energy subsidies. In Brazil, in contrast to most EMEs, GDP contracted slightly in the third quarter, but incoming indicators point to a return to growth in the fourth quarter, partly as a result of several rounds of monetary policy easing that began in August. As the direction of capital flows turned to a net outflow, Brazilian authorities loosened capital controls that had been introduced earlier in the face of massive inflows and associated fears of overheating.
Box 3. U.S. Dollar Funding Pressures and Dollar Liquidity Swap Arrangements
As the euro-area crisis intensified, European banks faced greater dollar funding pressures. Many European banks were especially vulnerable to changes in investor sentiment through their reliance on short-term dollar-denominated funding. As market sentiment deteriorated, European banks' access to medium- and long-term dollar funding markets diminished markedly, with many unable to obtain unsecured dollar funding at maturities exceeding one week. The pullback of U.S. money market funds (MMFs) from liabilities of euro-area banks beginning in mid-2011 was an important part of the runoff of short-term dollar funds, although MMFs were not the only investors to reduce their exposures to European banks. As a result, many European banks faced higher dollar funding costs. For example, the cost for euro-area banks to obtain three-month dollar funding through the foreign exchange (FX) swap market rose as financial pressures increased. The cost of dollar funding through this market (the black line in figure A), as banks borrow euros at the euro London interbank offered rate (LIBOR) and swap into dollars in the FX swap market, rose from 40 basis points early last summer to about 200 basis points in late November.
Note: The data are daily. The last observation for each series is February 24, 2012. Three-month dollar funding through the foreign exchange (FX) swap market assumes that the banks first pay euro LIBOR (London interbank offered rate) to obtain euro funding.
Source: Bloomberg.
Although the effects of these dollar funding strains are difficult to gauge, they pose substantial risks for the U.S. economy. Large European banks borrow heavily in dollars partly because they are active in U.S. markets, purchasing government and corporate securities as well as making loans to U.S. households and businesses. A possible response to dollar funding strains, along with heightened capital requirements, might be for European banks to sell their dollar assets or refrain from further dollar lending, which could in turn result in a reduction of the credit they supply to U.S. firms and households while also reducing credit to European and other foreign firms involved in trade with the United States. Therefore, further stresses on European banks could spill over to the United States by weighing on business and consumer activity, restraining our exports, and adding to pressures on U.S. financial markets and institutions.
To address strains in dollar funding markets, the Federal Reserve, the European Central Bank (ECB), and the central banks of Canada, Japan, Switzerland, and the United Kingdom announced an agreement on November 30 to revise, extend, and expand the U.S. dollar swap lines. The revised agreement lowered the price of dollar funding provided through the swaps (the red line in figure A) to a rate of 50 basis points over the dollar overnight index swap rate, a reduction of 50 basis points in the rate at which the foreign central banks had been providing dollar loans since May 2010.
The reduction in dollar funding costs due to the revised pricing of the central bank swap lines helped strengthen the liquidity positions of European and other foreign banks, thereby benefiting the United States by supporting the continued supply of credit to U.S. households and businesses while mitigating other channels of risk. Draws on the swap lines, especially from the ECB, have been significant. On December 7, at the first three-month dollar tender under the new pricing scheme, the ECB allocated about $51 billion, a substantial increase over previous operations. As of February 24, the ECB, the Bank of Japan, and the Swiss National Bank had about $89 billion, $18 billion, and $0.5 billion outstanding, respectively, from their dollar swap line allotments, for a total of about $108 billion. In an indication that the swap lines have been effective at reducing overall dollar funding pressure, the cost of obtaining dollars in the FX swap market has dropped substantially since November 30. Dollar LIBOR, which measures dollar funding costs in the interbank market for U.S. and foreign institutions, has also declined over the past two months.
Return to textPart 3 Monetary Policy: Recent Developments and Outlook
Monetary Policy over the Second Half of 2011 and Early 2012
To promote the Federal Open Market Committee's (FOMC) objectives of maximum employment and price stability, the Committee maintained a target range for the federal funds rate of 0 to 1/4 percent throughout the second half of 2011 and into 2012. With the incoming data suggesting a somewhat slower pace of economic recovery than the Committee had anticipated, and with inflation seen as settling at levels at or below those consistent with its statutory mandate, the Committee took steps during the second half of 2011 and in early 2012 to provide additional monetary accommodation in order to support a stronger economic recovery and to help ensure that inflation, over time, runs at levels consistent with its mandate. These steps included strengthening its forward rate guidance regarding the Committee's expectations for the period over which economic conditions will warrant exceptionally low levels for the federal funds rate, increasing the average maturity of the Federal Reserve's securities holdings through a program of purchases and sales, and reinvesting principal payments on agency securities in agency-guaranteed mortgage-backed securities (MBS) rather than Treasury securities.
On August 1, the Committee met by videoconference to discuss issues associated with contingencies in the event that the Treasury was temporarily unable to meet its obligations because the statutory federal debt limit was not raised or in the event of a downgrade of the U.S. sovereign credit rating. Participants generally anticipated that there would be no need to make changes to existing bank regulations, the operation of the discount window, or the conduct of open market operations.20 With respect to potential policy actions, participants agreed that the appropriate response would depend importantly on the actual conditions in markets and should generally consist of standard operations.
The information reviewed at the regularly scheduled FOMC meeting on August 9 indicated that the pace of the economic recovery had remained slow in recent months and that labor market conditions continued to be weak. In addition, revised data for 2008 through 2010 from the Bureau of Economic Analysis indicated that the recent recession had been deeper than previously thought and that the level of real gross domestic product (GDP) had not yet regained its pre-recession peak by the second quarter of 2011. Moreover, downward revisions to first-quarter GDP growth and the slow growth reported for the second quarter indicated that the recovery had been quite sluggish in the first half of 2011. Private nonfarm payroll employment rose at a considerably slower pace in June and July than earlier in the year, and participants noted a deterioration in labor market conditions, slower household spending, a drop in consumer and business confidence, and continued weakness in the housing sector. Inflation, which had picked up earlier in the year as a result of higher prices for some commodities and imported goods as well as supply chain disruptions resulting from the natural disaster in Japan, moderated more recently as prices of energy and some commodities fell back from their earlier peaks. Longer-term inflation expectations remained stable. U.S. financial markets were strongly influenced by developments regarding the fiscal situations in the United States and in Europe and by generally weaker-than-expected readings on economic activity, as foreign economic growth appeared to have slowed significantly. Yields on nominal Treasury securities fell notably, on net, while yields on both investment- and speculative-grade corporate bonds fell a little less than those on comparable-maturity Treasury securities, leaving risk spreads wider. Broad U.S. stock price indexes declined significantly.
Most members agreed that the economic outlook had deteriorated by enough to warrant a Committee response at the August meeting. Those viewing a shift toward more accommodative policy as appropriate generally agreed that a strengthening of the Committee's forward guidance regarding the federal funds rate, by being more explicit about the period over which the Committee expected the federal funds rate to remain exceptionally low, would be a measured response to the deterioration in the outlook over the intermeeting period. The Committee agreed to keep the target range for the federal funds rate at 0 to 1/4 percent and to state that economic conditions--including low rates of resource utilization and a subdued outlook for inflation over the medium run--are likely to warrant exceptionally low levels for the federal funds rate at least through mid-2013. That anticipated path for the federal funds rate was viewed as appropriate in light of most members' outlook for the economy.
The data in hand at the September 20-21 FOMC meeting indicated that economic activity continued to expand at a slow pace and that labor market conditions remained weak. Consumer price inflation appeared to have moderated since earlier in the year as prices of energy and some commodities declined from their peaks, but it had not yet come down as much as participants had expected at previous meetings. Industrial production expanded in July and August, real business spending on equipment and software appeared to expand further, and real consumer spending posted a solid gain in July. However, private nonfarm employment rose only slightly in August, and the unemployment rate remained high. Consumer sentiment deteriorated significantly further in August and stayed downbeat in early September. Activity in the housing sector continued to be depressed by weak demand, uncertainty about future home prices, tight credit conditions for mortgages and construction loans, and a substantial inventory of foreclosed and distressed properties. Financial markets were volatile over the intermeeting period as investors responded to somewhat disappointing news, on balance, regarding economic activity in the United States and abroad. Weak economic data contributed to rising expectations among market participants of additional monetary accommodation; those expectations and increasing concerns about the financial situation in Europe led to an appreciable decline in intermediate- and longer-term nominal Treasury yields. Fluctuations in investors' level of concern about European fiscal and financial prospects also contributed to market volatility, particularly in equity markets, and spreads of yields on investment- and speculative-grade corporate bonds over those on comparable-maturity Treasury securities rose significantly over the intermeeting period, reaching levels last registered in late 2009.
In the discussion of monetary policy, most members agreed that the outlook had deteriorated somewhat, and that there were significant downside risks to the economic outlook, including strains in global financial markets. As a result, the Committee decided that providing additional monetary accommodation would be appropriate to support a stronger recovery and to help ensure that inflation, over time, was at a level consistent with the Committee's dual mandate. Those viewing greater policy accommodation as appropriate at this meeting generally supported a maturity extension program that would combine asset purchases and sales to extend the average maturity of securities held in the System Open Market Account without generating a substantial expansion of the Federal Reserve's balance sheet or reserve balances. Specifically, those members supported a program under which the Committee would announce its intention to purchase, by the end of June 2012, $400 billion of Treasury securities with remaining maturities of 6 years to 30 years and to sell an equal amount of Treasury securities with remaining maturities of 3 years or less. They expected this program to put downward pressure on longer-term interest rates and to help make broader financial conditions more accommodative. In addition, to help support conditions in mortgage markets, the Committee decided to reinvest principal received from its holdings of agency debt and agency MBS in agency MBS rather than continuing to reinvest those funds in longer-term Treasury securities as had been the Committee's practice since the August 2010 FOMC meeting. At the same time, the Committee decided to maintain its existing policy of rolling over maturing Treasury securities at auction. In its statement, the Committee noted that it would continue to regularly review the size and composition of its securities holdings and that it was prepared to adjust those holdings as appropriate. The Committee also decided to keep the target range for the federal funds rate at 0 to 1/4 percent and to reaffirm its anticipation that economic conditions were likely to warrant exceptionally low levels for the federal funds rate at least through mid-2013.
The information reviewed at the November 1-2 meeting indicated that the pace of economic activity strengthened somewhat in the third quarter, reflecting in part a reversal of the temporary factors that weighed on economic growth in the first half of the year. Global supply chain disruptions associated with the natural disaster in Japan had diminished, and the prices of energy and some commodities had come down from their recent peaks, easing strains on household budgets and likely contributing to a somewhat stronger pace of consumer spending in recent months. Real equipment and software investment expanded appreciably, and real personal consumption expenditures (PCE) rose moderately in the third quarter. However, real disposable income declined in the third quarter and consumer sentiment continued to be downbeat in October. In addition, labor market conditions remained weak as the pace of private-sector job gains in the third quarter as a whole was less than it was in the first half of the year. Overall consumer price inflation was more moderate than earlier in the year, as prices of energy and some commodities declined from their recent peaks, and measures of longer-run inflation expectations remained stable. Financial markets were quite volatile and investor sentiment was strongly influenced by prospects for Europe, as market participants remained highly attuned to developments regarding possible steps to contain the fiscal and banking problems there. Longer-term Treasury yields declined appreciably, on net, over the period, and yields on investment- and speculative-grade corporate bonds moved lower, leaving their spreads to Treasury securities slightly narrower. Although equity markets were volatile, broad U.S. equity price indexes ended the intermeeting period little changed.
Most FOMC members anticipated that the pace of economic growth would remain moderate over coming quarters, with unemployment declining only gradually and inflation settling at or below levels consistent with the dual mandate. Moreover, the recovery was still seen as subject to significant downside risks, including strains in global financial markets. Accordingly, in the discussion of monetary policy, all Committee members agreed to continue the program of extending the average maturity of the Federal Reserve's holdings of securities as announced in September. The Committee decided to maintain its existing policy of reinvesting principal payments from its holdings of agency debt and agency MBS in agency MBS and of rolling over maturing Treasury securities at auction. In addition, the Committee agreed to keep the target range for the federal funds rate at 0 to 1/4 percent and to reiterate its expectation that economic conditions were likely to warrant exceptionally low levels for the federal funds rate at least through mid-2013.
Over subsequent weeks, financial markets appeared to become increasingly concerned that a timely resolution of the European sovereign debt situation might not occur despite the measures that authorities there announced in October; pressures on European sovereign debt markets increased, and conditions in European funding markets deteriorated appreciably. The greater financial stress appeared likely to damp economic activity in the euro area and potentially to pose a risk to the economic recovery in the United States.
On November 28, the Committee met by videoconference to discuss a proposal to amend and augment the Federal Reserve's temporary liquidity swap arrangements with foreign central banks in light of the increased strains in global financial markets. The proposal included a six-month extension of the sunset date and a 50 basis point reduction in the pricing on the existing dollar liquidity swap arrangements with the Bank of Canada, the Bank of England, the Bank of Japan, the European Central Bank (ECB), and the Swiss National Bank. In addition, the proposal included the establishment, as a contingency measure, of swap arrangements that would allow the Federal Reserve to provide liquidity to U.S. institutions in foreign currencies should the need arise. The proposal was aimed at helping to ease strains in financial markets and thereby to mitigate the effects of such strains on the supply of credit to U.S. households and businesses, thus supporting the economic recovery. Most participants agreed that the proposed changes to the swap arrangements would represent an important demonstration of the commitment of the Federal Reserve and the other central banks to work together to support the global financial system. At the conclusion of the discussion, almost all members agreed to support the changes to the existing swap line arrangements and the establishment of the new foreign currency swap agreements.
As of the December 13 FOMC meeting, the data indicated that U.S. economic activity had expanded moderately despite some apparent slowing in the growth of foreign economies and strains in global financial markets. Conditions in the labor market seemed to have improved somewhat, as the unemployment rate dropped in November and private nonfarm employment continued to increase moderately. In October, industrial production rose, and overall real PCE grew modestly following significant gains in the previous month. However, revised estimates indicated that households' real disposable income declined in the second and third quarters, the net wealth of households decreased, and consumer sentiment was still at a subdued level in early December. Activity in the housing market remained depressed by the substantial inventory of foreclosed and distressed properties and by weak demand that reflected tight credit conditions for mortgage loans and uncertainty about future home prices. Overall consumer price inflation continued to be more modest than earlier in the year, and measures of long-run inflation expectations had been stable. The risks associated with the fiscal and financial difficulties in Europe remained the focus of attention in financial markets over the intermeeting period and contributed to heightened volatility in a wide range of asset markets. However, stock prices and longer-term interest rates had changed little, on balance, since the November meeting.
Members viewed the information on U.S. economic activity received over the intermeeting period as suggesting that the economy would continue to expand moderately. Strains in global financial markets continued to pose significant downside risks to economic activity. Members also anticipated that inflation would settle, over coming quarters, at levels at or below those consistent with the Committee's dual mandate. In the discussion of monetary policy for the period immediately ahead, Committee members generally agreed that their overall assessments of the economic outlook had not changed greatly since their previous meeting. As a result, the Committee decided to continue the program of extending the average maturity of the Federal Reserve's holdings of securities as announced in September, to retain the existing policies regarding the reinvestment of principal payments from Federal Reserve holdings of securities, and to keep the target range for the federal funds rate at 0 to 1/4 percent. While several members noted that the reference to mid-2013 in the forward rate guidance might need to be adjusted before long, and a number of them looked forward to considering possible enhancements to the Committee's communications, the Committee agreed to reiterate its anticipation that economic conditions were likely to warrant exceptionally low levels for the federal funds rate at least through mid-2013.
The information reviewed at the January 24-25 meeting indicated that U.S. economic activity continued to expand moderately, while global growth appeared to be slowing. Labor market indicators pointed to some further improvement in labor market conditions, but progress was gradual and the unemployment rate remained elevated. Household spending had continued to advance at a moderate pace despite diminished growth in real disposable income, but growth in business fixed investment had slowed. The housing sector remained depressed. Inflation had been subdued in recent months, there was little evidence of wage or cost pressures, and longer-term inflation expectations had remained stable. Meeting participants observed that financial conditions had improved and financial market stresses had eased somewhat during the intermeeting period: Equity prices were higher, volatility had declined, and bank lending conditions appeared to be improving. Participants noted that the ECB's three-year refinancing operation had apparently resulted in improved conditions in European sovereign debt markets. Nonetheless, participants expected that global financial markets would remain focused on the evolving situation in Europe and they anticipated that further policy efforts would be required to fully address the fiscal and financial problems there.
With the economy facing continuing headwinds and growth slowing in a number of U.S. export markets, members generally expected a modest pace of economic growth over coming quarters, with the unemployment rate declining only gradually. At the same time, members thought that inflation would run at levels at or below those consistent with the Committee's dual mandate. Against this backdrop, members agreed that it would be appropriate to maintain the existing highly accommodative stance of monetary policy. They agreed to keep the target range for the federal funds rate at 0 to 1/4 percent, to continue the program of extending the average maturity of the Federal Reserve's holdings of securities as announced in September, and to retain the existing policies regarding the reinvestment of principal payments from Federal Reserve holdings of securities. In light of the economic outlook, most members also agreed to indicate that the Committee expects to maintain a highly accommodative stance for monetary policy and anticipates that economic conditions are likely to warrant exceptionally low levels for the federal funds rate at least through late 2014, longer than had been indicated in recent FOMC statements. The Committee also stated that it is prepared to adjust the size and composition of its securities holdings as appropriate to promote a stronger economic recovery in a context of price stability.
FOMC Communications
Transparency is an essential principle of modern central banking because it appropriately contributes to the accountability of central banks to the government and to the public and because it can enhance the effectiveness of central banks in achieving their macroeconomic objectives. To this end, the Federal Reserve provides to the public a considerable amount of information concerning the conduct of monetary policy. Immediately following each meeting of the FOMC, the Committee releases a statement that lays out the rationale for its policy decision, and detailed minutes of each FOMC meeting are made public three weeks following the meeting. Lightly edited transcripts of FOMC meetings are released to the public with a five-year lag.21 Moreover, since last April, the Chairman has held press conferences after regularly scheduled two-day FOMC meetings. At the press conferences, the Chairman presents the current economic projections of FOMC participants and provides additional context for its policy decisions.
The Committee continued to consider additional improvements in its communications approach in the second half of 2011 and the first part of 2012. In a discussion on external communications at the September 20-21 FOMC meeting, most participants indicated that they favored taking steps to increase further the transparency of monetary policy, including providing more information about the Committee's longer-run policy objectives and the factors that influence the Committee's policy decisions. Participants generally agreed that a clear statement of the Committee's longer-run policy objectives could be helpful; some noted that it would also be useful to clarify the linkage between these longer-run objectives and the Committee's approach to setting the stance of monetary policy in the short and medium runs. Participants generally saw the Committee's postmeeting statements as not well suited to communicate fully the Committee's thinking about its objectives and its policy framework, and they agreed that the Committee would need to use other means to communicate that information or to supplement information in the statement. A number of participants suggested that the Committee's periodic Summary of Economic Projections (SEP) could be used to provide more information about their views on the longer-run objectives and the likely evolution of monetary policy.
At the November 1-2 FOMC meeting, participants discussed alternative monetary policy strategies and potential approaches for enhancing the clarity of their public communications, though no decision was made at that meeting to change the Committee's policy strategy or communications. It was noted that many central banks around the world pursue an explicit inflation objective, maintain the flexibility to stabilize economic activity, and seek to communicate their forecasts and policy plans as clearly as possible. Many participants pointed to the merits of specifying an explicit longer-run inflation goal, but it was noted that such a step could be misperceived as placing greater weight on price stability than on maximum employment; consequently, some suggested that a numerical inflation goal would need to be set forth within a context that clearly underscored the Committee's commitment to fostering both parts of its dual mandate. Most of participants agreed that it could be beneficial to formulate and publish a statement that would elucidate the Committee's policy approach, and participants generally expressed interest in providing additional information to the public about the likely future path of the target federal funds rate. The Chairman asked the subcommittee on communications, headed by Governor Yellen, to give consideration to a possible statement of the Committee's longer-run goals and policy strategy, and he also encouraged the subcommittee to explore potential approaches for incorporating information about participants' assessments of appropriate monetary policy into the SEP.22
At the December 13 FOMC meeting, participants further considered ways in which the Committee might enhance the clarity and transparency of its public communications. The subcommittee on communications recommended an approach for incorporating information about participants' projections of appropriate future monetary policy into the SEP, which the FOMC releases four times each year. In the SEP, participants' projections for economic growth, unemployment, and inflation are conditioned on their individual assessments of the path of monetary policy that is most likely to be consistent with the Federal Reserve's statutory mandate to promote maximum employment and price stability, but information about those assessments has not been included in the SEP. Most participants agreed that adding their projections of the target federal funds rate to the economic projections already provided in the SEP would help the public better understand the Committee's monetary policy decisions and the ways in which those decisions depend on members' assessments of economic and financial conditions. At the conclusion of the discussion, participants decided to incorporate information about their projections of appropriate monetary policy into the SEP beginning in January.
Following up on the Committee's discussion of policy frameworks at its November meeting, the subcommittee on communications presented a draft statement of the Committee's longer-run goals and policy strategy. Participants generally agreed that issuing such a statement could be helpful in enhancing the transparency and accountability of monetary policy and in facilitating well-informed decisionmaking by households and businesses, and thus in enhancing the Committee's ability to promote the goals specified in its statutory mandate in the face of significant economic disturbances. However, a couple of participants expressed the concern that a statement that was sufficiently nuanced to capture the diversity of views on the Committee might not, in fact, enhance public understanding of the Committee's actions and intentions. Participants commented on the draft statement, and the Chairman encouraged the subcommittee to make adjustments to the draft and to present a revised version for the Committee's further consideration in January.
At the January 24-25 meeting, the subcommittee on communications presented a revised draft of a statement of principles regarding the FOMC's longer-run goals and monetary policy strategy. Almost all participants supported adopting and releasing the revised statement (see box 4). It was noted that the proposed statement did not represent a change in the Committee's policy approach. Instead, the statement was intended to help enhance the transparency, accountability, and effectiveness of monetary policy.
In addition, in light of the decision made at the December meeting, the Committee provided in the January SEP information about each participant's assessments of appropriate monetary policy. Specifically, the SEP included information about participants' estimates of the appropriate level of the target federal funds rate in the fourth quarter of the current year and the next few calendar years, and over the longer run; the SEP also reported participants' current projections of the likely timing of the appropriate first increase in the target rate given their projections of future economic conditions. The accompanying narrative described the key factors underlying those assessments and provided some qualitative information regarding participants' expectations for the Federal Reserve's balance sheet. A number of participants suggested further possible enhancements to the SEP; the Chairman asked the subcommittee to explore such enhancements over coming months.
Box 4. FOMC Statement Regarding Longer-Run Goals and Monetary Policy Strategy
Following careful deliberations at its recent meetings, the Federal Open Market Committee (FOMC) has reached broad agreement on the following principles regarding its longer-run goals and monetary policy strategy. The Committee intends to reaffirm these principles and to make adjustments as appropriate at its annual organizational meeting each January.
The FOMC is firmly committed to fulfilling its statutory mandate from the Congress of promoting maximum employment, stable prices, and moderate long-term interest rates. The Committee seeks to explain its monetary policy decisions to the public as clearly as possible. Such clarity facilitates well-informed decisionmaking by households and businesses, reduces economic and financial uncertainty, increases the effectiveness of monetary policy, and enhances transparency and accountability, which are essential in a democratic society.
Inflation, employment, and long-term interest rates fluctuate over time in response to economic and financial disturbances. Moreover, monetary policy actions tend to influence economic activity and prices with a lag. Therefore, the Committee's policy decisions reflect its longer-run goals, its medium-term outlook, and its assessments of the balance of risks, including risks to the financial system that could impede the attainment of the Committee's goals.
The inflation rate over the longer run is primarily determined by monetary policy, and hence the Committee has the ability to specify a longer-run goal for inflation. The Committee judges that inflation at the rate of 2 percent, as measured by the annual change in the price index for personal consumption expenditures, is most consistent over the longer run with the Federal Reserve's statutory mandate. Communicating this inflation goal clearly to the public helps keep longer-term inflation expectations firmly anchored, thereby fostering price stability and moderate long-term interest rates and enhancing the Committee's ability to promote maximum employment in the face of significant economic disturbances.
The maximum level of employment is largely determined by nonmonetary factors that affect the structure and dynamics of the labor market. These factors may change over time and may not be directly measurable. Consequently, it would not be appropriate to specify a fixed goal for employment; rather, the Committee's policy decisions must be informed by assessments of the maximum level of employment, recognizing that such assessments are necessarily uncertain and subject to revision. The Committee considers a wide range of indicators in making these assessments. Information about Committee participants' estimates of the longer-run normal rates of output growth and unemployment is published four times per year in the FOMC's Summary of Economic Projections. For example, in the most recent projections, FOMC participants' estimates of the longer-run normal rate of unemployment had a central tendency of 5.2 percent to 6.0 percent, roughly unchanged from last January but substantially higher than the corresponding interval several years earlier.
In setting monetary policy, the Committee seeks to mitigate deviations of inflation from its longer-run goal and deviations of employment from the Committee's assessments of its maximum level. These objectives are generally complementary. However, under circumstances in which the Committee judges that the objectives are not complementary, it follows a balanced approach in promoting them, taking into account the magnitude of the deviations and the potentially different time horizons over which employment and inflation are projected to return to levels judged consistent with its mandate.
Return to textPart 4 Summary of Economic Projections
In this Section:
The following material appeared as an addendum to the minutes of the January 24-25, 2012, meeting of the Federal Open Market Committee.
In conjunction with the January 24-25, 2012, Federal Open Market Committee (FOMC) meeting, the members of the Board of Governors and the presidents of the Federal Reserve Banks, all of whom participate in the deliberations of the FOMC, submitted projections for growth of real output, the unemployment rate, and inflation for the years 2012 to 2014 and over the longer run. The economic projections were based on information available at the time of the meeting and participants' individual assumptions about factors likely to affect economic outcomes, including their assessments of appropriate monetary policy. Starting with the January meeting, participants also submitted their assessments of the path for the target federal funds rate that they viewed as appropriate and compatible with their individual economic projections. Longer-run projections represent each participant's assessment of the rate to which each variable would be expected to converge over time under appropriate monetary policy and in the absence of further shocks. "Appropriate monetary policy" is defined as the future path of policy that participants deem most likely to foster outcomes for economic activity and inflation that best satisfy their individual interpretation of the Federal Reserve's objectives of maximum employment and stable prices.
As depicted in figure 1, FOMC participants projected continued economic expansion over the 2012-14 period, with real gross domestic product (GDP) rising at a modest rate this year and then strengthening further through 2014. Participants generally anticipated only a small decline in the unemployment rate this year. In 2013 and 2014, the pace of the expansion was projected to exceed participants' estimates of the longer-run sustainable rate of increase in real GDP by enough to result in a gradual further decline in the unemployment rate. However, at the end of 2014, participants generally expected that the unemployment rate would still be well above their estimates of the longer-run normal unemployment rate that they currently view as consistent with the FOMC's statutory mandate for promoting maximum employment and price stability. Participants viewed the upward pressures on inflation in 2011 from factors such as supply chain disruptions and rising commodity prices as having waned, and they anticipated that inflation would fall back in 2012. Over the projection period, most participants expected inflation, as measured by the annual change in the price index for personal consumption expenditures (PCE), to be at or below the FOMC's objective of 2 percent that was expressed in the Committee's statement of longer-run goals and policy strategy. Core inflation was projected to run at about the same rate as overall inflation.
Note: Definitions of variables are in the notes to table 1. The data for the actual values of the variables are annual. The data for the change in real GDP, PCE inflation, and core PCE inflation shown for 2011 incorporate the advance estimate of GDP for the fourth quarter of 2011, which the Bureau of Economic Analysis released on January 27, 2012. This information was not available to FOMC meeting participants at the time of their meeting.
As indicated in table 1, relative to their previous projections in November 2011, participants made small downward revisions to their expectations for the rate of increase in real GDP in 2012 and 2013, but they did not materially alter their projections for a noticeably stronger pace of expansion by 2014. With the unemployment rate having declined in recent months by more than participants had anticipated in the previous Summary of Economic Projections (SEP), they generally lowered their forecasts for the level of the unemployment rate over the next two years. Participants' expectations for both the longer-run rate of increase in real GDP and the longer-run unemployment rate were little changed from November. They did not significantly alter their forecasts for the rate of inflation over the next three years. However, in light of the 2 percent inflation that is the objective included in the statement of longer-run goals and policy strategy adopted at the January meeting, the range and central tendency of their projections of longer-run inflation were all equal to 2 percent.
| Variable | Central tendency 1 | Range 2 | ||||||
|---|---|---|---|---|---|---|---|---|
| 2012 | 2013 | 2014 | Longer run | 2012 | 2013 | 2014 | Longer run | |
| Change in real GDP | 2.2 to 2.7 | 2.8 to 3.2 | 3.3 to 4.0 | 2.3 to 2.6 | 2.1 to 3.0 | 2.4 to 3.8 | 2.8 to 4.3 | 2.2 to 3.0 |
| November projection | 2.5 to 2.9 | 3.0 to 3.5 | 3.0 to 3.9 | 2.4 to 2.7 | 2.3 to 3.5 | 2.7 to 4.0 | 2.7 to 4.5 | 2.2 to 3.0 |
| Unemployment rate | 8.2 to 8.5 | 7.4 to 8.1 | 6.7 to 7.6 | 5.2 to 6.0 | 7.8 to 8.6 | 7.0 to 8.2 | 6.3 to 7.7 | 5.0 to 6.0 |
| November projection | 8.5 to 8.7 | 7.8 to 8.2 | 6.8 to 7.7 | 5.2 to 6.0 | 8.1 to 8.9 | 7.5 to 8.4 | 6.5 to 8.0 | 5.0 to 6.0 |
| PCE inflation | 1.4 to 1.8 | 1.4 to 2.0 | 1.6 to 2.0 | 2.0 | 1.3 to 2.5 | 1.4 to 2.3 | 1.5 to 2.1 | 2.0 |
| November projection | 1.4 to 2.0 | 1.5 to 2.0 | 1.5 to 2.0 | 1.7 to 2.0 | 1.4 to 2.8 | 1.4 to 2.5 | 1.5 to 2.4 | 1.5 to 2.0 |
| Core PCE inflation 3 | 1.5 to 1.8 | 1.5 to 2.0 | 1.6 to 2.0 | 1.3 to 2.0 | 1.4 to 2.0 | 1.4 to 2.0 | ||
| November projection | 1.5 to 2.0 | 1.4 to 1.9 | 1.5 to 2.0 | 1.3 to 2.1 | 1.4 to 2.1 | 1.4 to 2.2 | ||
Note: Projections of change in real gross domestic product (GDP) and projections for both measures of inflation are from the fourth quarter of the previous year to the fourth quarter of the year indicated. PCE inflation and core PCE inflation are the percentage rates of change in, respectively, the price index for personal consumption expenditures (PCE) and the price index for PCE excluding food and energy. Projections for the unemployment rate are for the average civilian unemployment rate in the fourth quarter of the year indicated. Each participant's projections are based on his or her assessment of appropriate monetary policy. Longer-run projections represent each participant's assessment of the rate to which each variable would be expected to converge under appropriate monetary policy and in the absence of further shocks to the economy. The November projections were made in conjunction with the meeting of the Federal Open Market Committee on November 1-2, 2011.
1. The central tendency excludes the three highest and three lowest projections for each variable in each year.Return to table
2. The range for a variable in a given year includes all participants' projections, from lowest to highest, for that variable in that year.Return to table
3. Longer-run projections for core PCE inflation are not collected.Return to table
As shown in figure 2, most participants judged that highly accommodative monetary policy was likely to be warranted over coming years to promote a stronger economic expansion in the context of price stability. In particular, with the unemployment rate projected to remain elevated over the projection period and inflation expected to be subdued, six participants anticipated that, under appropriate monetary policy, the first increase in the target federal funds rate would occur after 2014, and five expected policy firming to commence during 2014 (the upper panel). The remaining six participants judged that raising the federal funds rate sooner would be required to forestall inflationary pressures or avoid distortions in the financial system. As indicated in the lower panel, all of the individual assessments of the appropriate target federal funds rate over the next several years were below the longer-run level of the federal funds rate, and 11 participants placed the target federal funds rate at 1 percent or lower at the end of 2014. Most participants indicated that they expected that the normalization of the Federal Reserve's balance sheet should occur in a way consistent with the principles agreed on at the June 2011 meeting of the FOMC, with the timing of adjustments dependent on the expected date of the first policy tightening. A few participants judged that, given their current assessments of the economic outlook, appropriate policy would include additional asset purchases in 2012, and one assumed an early ending of the maturity extension program.
Note: In the upper panel, the height of each bar denotes the number of FOMC participants who judge that, under appropriate monetary policy and in the absence of further shocks to the economy, the first increase in the target federal funds rate from its current range of 0 to 1/4 percent will occur in the specified calendar year. In the lower panel, each shaded circle indicates the value (rounded to the nearest 1/4 percent) of an individual participant's judgment of the appropriate level of the target federal funds rate at the end of the specified calendar year or over the longer run.
A sizable majority of participants continued to judge the level of uncertainty associated with their projections for real activity and the unemployment rate as unusually high relative to historical norms. Many also attached a greater-than-normal level of uncertainty to their forecasts for inflation, but, compared with the November SEP, two additional participants viewed uncertainty as broadly similar to longer-run norms. As in November, many participants saw downside risks attending their forecasts of real GDP growth and upside risks to their forecasts of the unemployment rate; most participants viewed the risks to their inflation projections as broadly balanced.
The Outlook for Economic Activity
The central tendency of participants' forecasts for the change in real GDP in 2012 was 2.2 to 2.7 percent. This forecast for 2012, while slightly lower than the projection prepared in November, would represent a pickup in output growth from 2011 to a rate close to its longer-run trend. Participants stated that the economic information received since November showed continued gradual improvement in the pace of economic activity during the second half of 2011, as the influence of the temporary factors that damped activity in the first half of the year subsided. Consumer spending increased at a moderate rate, exports expanded solidly, and business investment rose further. Recently, consumers and businesses appeared to become somewhat more optimistic about the outlook. Financial conditions for domestic nonfinancial businesses were generally favorable, and conditions in consumer credit markets showed signs of improvement.
However, a number of factors suggested that the pace of the expansion would continue to be restrained. Although some indicators of activity in the housing sector improved slightly at the end of 2011, new homebuilding and sales remained at depressed levels, house prices were still falling, and mortgage credit remained tight. Households' real disposable income rose only modestly through late 2011. In addition, federal spending contracted toward year-end, and the restraining effects of fiscal consolidation appeared likely to be greater this year than anticipated at the time of the November projections. Participants also read the information on economic activity abroad, particularly in Europe, as pointing to weaker demand for U.S. exports in coming quarters than had seemed likely when they prepared their forecasts in November.
Participants anticipated that the pace of the economic expansion would strengthen over the 2013-14 period, reaching rates of increase in real GDP above their estimates of the longer-run rates of output growth. The central tendencies of participants' forecasts for the change in real GDP were 2.8 to 3.2 percent in 2013 and 3.3 to 4.0 percent in 2014. Among the considerations supporting their forecasts, participants cited their expectation that the expansion would be supported by monetary policy accommodation, ongoing improvements in credit conditions, rising household and business confidence, and strengthening household balance sheets. Many participants judged that U.S. fiscal policy would still be a drag on economic activity in 2013, but many anticipated that progress would be made in resolving the fiscal situation in Europe and that the foreign economic outlook would be more positive. Over time and in the absence of shocks, participants expected that the rate of increase of real GDP would converge to their estimates of its longer-run rate, with a central tendency of 2.3 to 2.6 percent, little changed from their estimates in November.
The unemployment rate improved more in late 2011 than most participants had anticipated when they prepared their November projections, falling from 9.1 to 8.7 percent between the third and fourth quarters. As a result, most participants adjusted down their projections for the unemployment rate this year. Nonetheless, with real GDP expected to increase at a modest rate in 2012, the unemployment rate was projected to decline only a little this year, with the central tendency of participants' forecasts at 8.2 to 8.5 percent at year-end. Thereafter, participants expected that the pickup in the pace of the expansion in 2013 and 2014 would be accompanied by a further gradual improvement in labor market conditions. The central tendency of participants' forecasts for the unemployment rate at the end of 2013 was 7.4 to 8.1 percent, and it was 6.7 to 7.6 percent at the end of 2014. The central tendency of participants' estimates of the longer-run normal rate of unemployment that would prevail in the absence of further shocks was 5.2 to 6.0 percent. Most participants indicated that they anticipated that five or six years would be required to close the gap between the current unemployment rate and their estimates of the longer-run rate, although some noted that more time would likely be needed.
Figures 3.A and 3.B provide details on the diversity of participants' views regarding the likely outcomes for real GDP growth and the unemployment rate over the next three years and over the longer run. The dispersion in these projections reflected differences in participants' assessments of many factors, including appropriate monetary policy and its effects on economic activity, the underlying momentum in economic activity, the effects of the European situation, the prospective path for U.S. fiscal policy, the likely evolution of credit and financial market conditions, and the extent of structural dislocations in the labor market. Compared with their November projections, the range of participants' forecasts for the change in real GDP in 2012 narrowed somewhat and shifted slightly lower, as some participants reassessed the outlook for global economic growth and for U.S. fiscal policy. Many, however, made no material change to their forecasts for growth of real GDP this year. The dispersion of participants' forecasts for output growth in 2013 and 2014 remained relatively wide. Having incorporated the data showing a lower rate of unemployment at the end of 2011 than previously expected, the distribution of participants' projections for the end of 2012 shifted noticeably down relative to the November forecasts. The ranges for the unemployment rate in 2013 and 2014 showed less pronounced shifts toward lower rates and, as was the case with the ranges for output growth, remained wide. Participants made only modest adjustments to their projections of the rates of output growth and unemployment over the longer run, and, on net, the dispersions of their projections for both were little changed from those reported in November. The dispersion of estimates for the longer-run rate of output growth is narrow, with only one participant's estimate outside of a range of 2.2 to 2.7 percent. By comparison, participants' views about the level to which the unemployment rate would converge in the long run are more diverse, reflecting, among other things, different views on the outlook for labor supply and on the extent of structural impediments in the labor market.
Note: Definitions of variables are in the general note to table 1.
Note: Definitions of variables are in the general note to table 1.
The Outlook for Inflation
Participants generally viewed the outlook for inflation as very similar to that in November. Most indicated that, as they expected, the effects of the run-up in prices of energy and other commodities and the supply disruptions that occurred in the first half of 2011 had largely waned, and that inflation had been subdued in recent months. Participants also noted that inflation expectations had remained stable over the past year despite the fluctuations in headline inflation. Assuming no further supply shocks, most participants anticipated that both headline and core inflation would remain subdued over the 2012-14 period at rates at or below the FOMC's longer-run objective of 2 percent. Specifically, the central tendency of participants' projections for the increase in inflation, as measured by the PCE price index, in 2012 was 1.4 to 1.8 percent, and it edged up to a central tendency of 1.6 to 2.0 percent in 2014; the central tendencies of the forecasts for core PCE inflation were largely the same as those for the total measure.
Figures 3.C and 3.D provide information about the diversity of participants' views about the outlook for inflation. Compared with their November projections, expectations for inflation in 2012 shifted down a bit, with some participants noting that the slowing in inflation at the end of 2011 had been greater than they anticipated. Nonetheless, the range of participants' forecasts for inflation in 2012 remained wide, and the dispersion was only slightly narrower in 2013. By 2014, the range of inflation forecasts narrowed more noticeably, as participants expected that, under appropriate monetary policy, inflation would begin to converge to the Committee's longer-run objective. In general, the dispersion of views on the outlook for inflation over the projection period represented differences in judgments regarding the degree of slack in resource utilization and the extent to which slack influences inflation and inflation expectations. In addition, participants differed in their estimates of how the stance of monetary policy would influence inflation expectations.
Note: Definitions of variables are in the general note to table 1.
Note: Definitions of variables are in the general note to table 1.
Appropriate Monetary Policy
Most participants judged that the current outlook--for a moderate pace of economic recovery with the unemployment rate declining only gradually and inflation subdued--warranted exceptionally low levels of the federal funds rate at least until late 2014. In particular, five participants viewed appropriate policy firming as commencing during 2014, while six others judged that the first increase in the federal funds rate would not be warranted until 2015 or 2016. As a result, those 11 participants anticipated that the appropriate federal funds rate at the end of 2014 would be 1 percent or lower. Those who saw the first increase occurring in 2015 reported that they anticipated that the federal funds rate would be 1/2 percent at the end of that year. For the two participants who put the first increase in 2016, the appropriate target federal funds rate at the end of that year was 1-1/2 and 1-3/4 percent. In contrast, six participants expected that an increase in the target federal funds rate would be appropriate within the next two years, and those participants anticipated that the target rate would need to be increased to around 1-1/2 to 2-3/4 percent at the end of 2014.
Participants' assessments of the appropriate path for the federal funds rate reflected their judgments of the policy that would best support progress in achieving the Federal Reserve's mandate for promoting maximum employment and stable prices. Among the key factors informing participants' expectations about the appropriate setting for monetary policy were their assessments of the maximum level of employment, the Committee's longer-run inflation goal, the extent to which current conditions deviate from these mandate-consistent levels, and their projections of the likely time horizons required to return employment and inflation to such levels. Several participants commented that their assessments took into account the risks to the outlook for economic activity and inflation, and a few pointed specifically to the relevance of financial stability in their policy judgments. Participants also noted that because the appropriate stance of monetary policy depends importantly on the evolution of real activity and inflation over time, their assessments of the appropriate future path of the federal funds rate could change if economic conditions were to evolve in an unexpected manner.
All participants reported levels for the appropriate target federal funds rate at the end of 2014 that were well below their estimates of the level expected to prevail in the longer run. The longer-run nominal levels were in a range from 3-3/4 to 4-1/2 percent, reflecting participants' judgments about the longer-run equilibrium level of the real federal funds rate and the Committee's inflation objective of 2 percent.
Participants also provided qualitative information on their views regarding the appropriate path of the Federal Reserve's balance sheet. A few participants' assessments of appropriate monetary policy incorporated additional purchases of securities in 2012, and a number of participants indicated that they remained open to a consideration of additional asset purchases if the economic outlook deteriorated. All but one of the participants continued to expect that the Committee would carry out the normalization of the balance sheet according to the principles approved at the June 2011 FOMC meeting. That is, prior to the first increase in the federal funds rate, the Committee would likely cease reinvesting some or all payments on the securities holdings in the System Open Market Account (SOMA), and it would likely begin sales of agency securities from the SOMA sometime after the first rate increase, aiming to eliminate the SOMA's holdings of agency securities over a period of three to five years. Indeed, most participants saw sales of agency securities starting no earlier than 2015. However, those participants anticipating an earlier increase in the federal funds rate also called for earlier adjustments to the balance sheet, and one participant assumed an early end of the maturity extension program.
Figure 3.E details the distribution of participants' judgments regarding the appropriate level of the target federal funds rate at the end of each calendar year from 2012 to 2014 and over the longer run. Most participants anticipated that economic conditions would warrant maintaining the current low level of the federal funds rate over the next two years. However, views on the appropriate level of the federal funds rate at the end of 2014 were more widely dispersed, with two-thirds of participants seeing the appropriate level of the federal funds rate as 1 percent or below and five seeing the appropriate rate as 2 percent or higher. Those participants who judged that a longer period of exceptionally low levels of the federal funds rate would be appropriate generally also anticipated that the pace of the economic expansion would be moderate and that the unemployment rate would decline only gradually, remaining well above its longer-run rate at the end of 2014. Almost all of these participants expected that inflation would be relatively stable at or below the FOMC's longer-run objective of 2 percent until the time of the first increase in the federal funds rate. A number of them also mentioned their assessment that a longer period of low federal funds rates is appropriate when the federal funds rate is constrained by its effective lower bound. In contrast, the six participants who judged that policy firming should begin in 2012 or 2013 indicated that the Committee would need to act decisively to keep inflation at mandate-consistent levels and to limit the risk of undermining Federal Reserve credibility and causing a rise in inflation expectations. Several were projecting a faster pickup in economic activity, and a few stressed the risk of distortions in the financial system from an extended period of exceptionally low interest rates.
Note: The target funds rate is measured as the level of the target rate at the end of the calendar year or in the longer run.
Uncertainty and Risks
Figure 4 shows that most participants continued to share the view that their projections for real GDP growth and the unemployment rate were subject to a higher level of uncertainty than was the norm during the previous 20 years.23 Many also judged the level of uncertainty associated with their inflation forecasts to be higher than the longer-run norm, but that assessment was somewhat less prevalent among participants than was the case for uncertainty about real activity. Participants identified a number of factors that contributed to the elevated level of uncertainty about the outlook. In particular, many participants continued to cite risks related to ongoing developments in Europe. More broadly, they again noted difficulties in forecasting the path of economic recovery from a deep recession that was the result of a severe financial crisis and thus differed importantly from the experience with recoveries over the past 60 years. In that regard, participants continued to be uncertain about the pace at which credit conditions would ease and about prospects for a recovery in the housing sector. In addition, participants generally saw the outlook for fiscal and regulatory policies as still highly uncertain. Regarding the unemployment rate, several expressed uncertainty about how labor demand and supply would evolve over the forecast period. Among the sources of uncertainty about the outlook for inflation were the difficulties in assessing the current and prospective margins of slack in resource markets and the effect of such slack on prices.
| Variable | 2012 | 2013 | 2014 |
|---|---|---|---|
| Change in real GDP 1 | ±1.3 | ±1.7 | ±1.8 |
| Unemployment rate1 | ±0.7 | ±1.4 | ±1.8 |
| Total consumer prices 2 | ±0.9 | ±1.0 | ±1.0 |
Note: Error ranges shown are measured as plus or minus the root mean squared error of projections for 1991 through 2010 that were released in the winter by various private and government forecasters. As described in box 5, under certain assumptions, there is about a 70 percent probability that actual outcomes for real GDP, unemployment, and consumer prices will be in ranges implied by the average size of projection errors made in the past. Further information is in David Reifschneider and Peter Tulip (2007), "Gauging the Uncertainty of the Economic Outlook from Historical Forecasting Errors," Finance and Economics Discussion Series 2007-60 (Washington: Board of Governors of the Federal Reserve System, November).
1. For definitions, refer to general note in table 1.Return to table
2. Measure is the overall consumer price index, the price measure that has been most widely used in government and private economic forecasts. Projection is percent change, fourth quarter of the previous year to the fourth quarter of the year indicated.Return to table
Note: For definitions of uncertainty and risks in economic projections, see box 5. Definitions of variables are in the general note to table 1.
A majority of participants continued to report that they saw the risks to their forecasts of real GDP growth as weighted to the downside and, accordingly, the risks to their projections for the unemployment rate as skewed to the upside. All but one of the remaining participants viewed the risks to both projections as broadly balanced, while one noted a risk that the unemployment rate might continue to decline more rapidly than expected. The most frequently cited downside risks to the projected pace of the economic expansion were the possibility of financial market and economic spillovers from the fiscal and financial issues in the euro area and the chance that some of the factors that have restrained the recovery in recent years could persist and weigh on economic activity to a greater extent than assumed in participants' baseline forecasts. In particular, some participants mentioned the downside risks to consumer spending from still-weak household balance sheets and only modest gains in real income, along with the possible effects of still-high levels of uncertainty regarding fiscal and regulatory policies that might damp businesses' willingness to invest and hire. A number of participants noted the risk of another disruption in global oil markets that could not only boost inflation but also reduce real income and spending. The participants who judged the risks to be broadly balanced also recognized a number of these downside risks to the outlook but saw them as counterbalanced by the possibility that the resilience of economic activity in late 2011 and the recent drop in the unemployment rate might signal greater underlying momentum in economic activity.
In contrast to their outlook for economic activity, most participants judged the risks to their projections of inflation as broadly balanced. Participants generally viewed the recent decline in inflation as having been in line with their earlier forecasts, and they noted that inflation expectations remain stable. While many of these participants saw the persistence of substantial slack in resource utilization as likely to keep inflation subdued over the projection period, a few others noted the risk that elevated resource slack might put more downward pressure on inflation than expected. In contrast, some participants noted the upside risks to inflation from developments in global oil and commodity markets, and several indicated that the current highly accommodative stance of monetary policy and the substantial liquidity currently in the financial system risked a pickup in inflation to a level above the Committee's objective. A few also pointed to the risk that uncertainty about the Committee's ability to effectively remove policy accommodation when appropriate could lead to a rise in inflation expectations.
Box 5. Forecast Uncertainty
The economic projections provided by the members of the Board of Governors and the presidents of the Federal Reserve Banks inform discussions of monetary policy among policymakers and can aid public understanding of the basis for policy actions. Considerable uncertainty attends these projections, however. The economic and statistical models and relationships used to help produce economic forecasts are necessarily imperfect descriptions of the real world, and the future path of the economy can be affected by myriad unforeseen developments and events. Thus, in setting the stance of monetary policy, participants consider not only what appears to be the most likely economic outcome as embodied in their projections, but also the range of alternative possibilities, the likelihood of their occurring, and the potential costs to the economy should they occur.
Table 2 summarizes the average historical accuracy of a range of forecasts, including those reported in past Monetary Policy Reports and those prepared by the Federal Reserve Board's staff in advance of meetings of the Federal Open Market Committee. The projection error ranges shown in the table illustrate the considerable uncertainty associated with economic forecasts. For example, suppose a participant projects that real gross domestic product (GDP) and total consumer prices will rise steadily at annual rates of, respectively, 3 percent and 2 percent. If the uncertainty attending those projections is similar to that experienced in the past and the risks around the projections are broadly balanced, the numbers reported in table 2 would imply a probability of about 70 percent that actual GDP would expand within a range of 1.7 to 4.3 percent in the current year, 1.3 to 4.7 percent in the second year, and 1.2 to 4.8 in the third year. The corresponding 70 percent confidence intervals for overall inflation would be 1.1 to 2.9 percent in the current year and 1.0 to 3.0 percent in the second and third years.
Because current conditions may differ from those that prevailed, on average, over history, participants provide judgments as to whether the uncertainty attached to their projections of each variable is greater than, smaller than, or broadly similar to typical levels of forecast uncertainty in the past, as shown in table 2. Participants also provide judgments as to whether the risks to their projections are weighted to the upside, are weighted to the downside, or are broadly balanced. That is, participants judge whether each variable is more likely to be above or below their projections of the most likely outcome. These judgments about the uncertainty and the risks attending each participant's projections are distinct from the diversity of participants' views about the most likely outcomes. Forecast uncertainty is concerned with the risks associated with a particular projection rather than with divergences across a number of different projections.
As with real activity and inflation, the outlook for the future path of the federal funds rate is subject to considerable uncertainty. This uncertainty arises primarily because each participant's assessment of the appropriate stance of monetary policy depends importantly on the evolution of real activity and inflation over time. If economic conditions evolve in an unexpected manner, then assessments of the appropriate setting of the federal funds rate would change from that point forward.
Return to textAbbreviations
- ABS
- asset-backed securities
- AFE
- advanced foreign economy
- AIG
- American International Group, Inc.
- ARRA
- American Recovery and Reinvestment Act
- CDS
- credit default swap
- C&I
- commercial and industrial
- CMBS
- commercial mortgage-backed securities
- CP
- commercial paper
- CRE
- commercial real estate
- DPI
- disposable personal income
- EBA
- European Banking Authority
- ECB
- European Central Bank
- EME
- emerging market economy
- E&S
- equipment and software
- FDIC
- Federal Deposit Insurance Corporation
- FOMC
- Federal Open Market Committee; also, the Committee
- FRBNY
- Federal Reserve Bank of New York
- GDP
- gross domestic product
- GSE
- government-sponsored enterprise
- LIBOR
- London interbank offered rate
- MEP
- maturity extension program
- MBS
- mortgage-backed securities
- NIPA
- national income and product accounts
- OIS
- overnight index swap
- PCE
- personal consumption expenditures
- repo
- repurchase agreement
- SCOOS
- Senior Credit Officer Opinion Survey on Dealer Financing Terms
- SEP
- Summary of Economic Projections
- SLOOS
- Senior Loan Officer Opinion Survey on Bank Lending Practices
- S&P
- Standard and Poor's
- SOMA
- System Open Market Account
- WTI
- West Texas Intermediate
References
1. The numbers in this report are based on the Bureau of Economic Analysis's (BEA) advance estimate of fourth-quarter GDP, which was released on January 27, 2012. The BEA will release a revised estimate on February 29, 2012. Return to text
2. The SLOOS is available on the Federal Reserve Board's website at www.federalreserve.gov/boarddocs/SnLoanSurvey. Return to text
3. The SCOOS is available on the Federal Reserve Board's website at www.federalreserve.gov/econresdata/releases/scoos.htm. Return to text
4. Between the August 2010 and September 2011 FOMC meetings, principal payments from securities held on the Federal Reserve balance sheet had been reinvested in longer-term Treasury securities. Return to text
5. A mortgage is defined as seriously delinquent if the borrower is 90 days or more behind in payments or the property is in foreclosure. Return to text
6. For example, only about half of lenders reported to LoanSifter data services that they would offer a conventional fully documented mortgage with a 90 percent loan-to-value ratio for borrowers with FICO scores of 620. Return to text
7. On May 16, the federal debt reached the $14.294 trillion limit, and the Secretary of the Treasury declared a "debt issuance suspension period" for the Civil Service Retirement and Disability Fund, permitting the Treasury to redeem a portion of existing Treasury securities held by that fund as investments and to suspend issuance of new Treasury securities to that fund as investments. The Treasury also began suspending some of its daily reinvestment of Treasury securities held as investments by the Government Securities Investment Fund of the Federal Employees' Retirement System Thrift Savings Plan. Return to text
8. Downgrades to bond guarantors can affect the ratings of all municipal securities guaranteed by those firms, as the rating of a security is the higher of either the published underlying security rating or the rating of the entity providing the guarantee. Return to text
9. The more rapid rise of WTI than other grades of crude oil at the end of 2011 reflects the narrowing of a discount that had opened up between WTI and other grades earlier in the year. Throughout most of 2011, continued increases in the supply of oil, primarily from Canada and North Dakota, available to flow into Cushing, Oklahoma (the delivery point for the WTI crude oil), and the lack of transportation infrastructure to pass the supplies on to global markets, depressed the price of WTI relative to other grades of crude oil. In mid-November, however, plans were announced to reverse the flow of a key pipeline that currently transports crude oil from the Gulf Coast into Cushing. By raising the possibility of alleviating the supply glut of crude oil in the Midwest, the announcement of this flow reversal has led spot WTI prices to rise to a level that is more in line with the price of other grades of crude oil. Return to text
10. When interest rates are close to zero, determining the point at which financial market quotes indicate that the federal funds rate will move above its current range can be complicated. The path described in the text is the mean of a distribution calculated from OIS rates. Alternatively, one can use similar derivatives to calculate the most likely, or "modal," path of the federal funds rate, a measure that tends to be more stable. This alternative measure has also moved down, on net, since the middle of 2011, but it suggests a flatter overall trajectory for the target federal funds rate, according to which the effective rate does not rise above its current target range through the end of 2015. Return to text
11. As of February 24, the Open Market Desk had sold $223 billion in shorter-term Treasury securities and purchased $211 billion in longer-term Treasury securities. Return to text
12. On February 9, it was announced that the federal government and 49 state attorneys general had reached a $25 billion agreement with the nation's five largest mortgage servicers to address mortgage loan servicing and foreclosure abuses. The agreement does not prevent state and federal authorities from pursuing criminal enforcement actions related to this or other conduct by the servicers or from punishing wrongful securitization conduct; it also does not prevent any action by individual borrowers who wish to bring their own lawsuits. Return to text
13. Following the failure of a primary dealer, the Federal Reserve Bank of New York implemented a risk-management program that required primary dealers to post margin on forward-settling agency MBS transactions. Return to text
14. Trading real estate investment trusts invest in assets backed by real estate rather than directly in real estate. Return to text
15. M2 consists of (1) currency outside the U.S. Treasury, Federal Reserve Banks, and the vaults of depository institutions; (2) traveler's checks of nonbank issuers; (3) demand deposits at commercial banks (excluding those amounts held by depository institutions, the U.S. government, and foreign banks and official institutions) less cash items in the process of collection and Federal Reserve float; (4) other checkable deposits (negotiable order of withdrawal, or NOW, accounts and automatic transfer service accounts at depository institutions; credit union share draft accounts; and demand deposits at thrift institutions); (5) savings deposits (including money market deposit accounts); (6) small-denomination time deposits (time deposits issued in amounts of less than $100,000) less individual retirement account (IRA) and Keogh balances at depository institutions; and (7) balances in retail money market funds less IRA and Keogh balances at money market funds. Return to text
16. Regulation Q, which had prohibited the payment of interest on demand deposits, was repealed by the Board on July 14. This repeal may have also contributed, in a small way, to the growth in M2. Return to text
17. The MEP that was announced at the September FOMC meeting was designed to increase the average maturity of the Federal Reserve's securities holdings while leaving the quantity of reserve balances roughly unchanged. Return to text
18. On January 19, 2012, the FRBNY announced the sale of assets with a face amount of $7.0 billion from the Maiden Lane II LLC portfolio through a competitive process. On February 8, 2012, the FRBNY announced the sale of additional assets with a face amount of $6.2 billion from the Maiden Lane II LLC portfolio, also through a competitive process. Proceeds from these two transactions will enable the repayment of the entire remaining outstanding balance of the senior loan from the FRBNY to Maiden Lane II LLC. Return to text
19. The Bank of Canada, the Bank of England, the Bank of Japan, the European Central Bank, the Federal Reserve, and the Swiss National Bank coordinated this action. In addition, as a contingency measure, the FOMC agreed to establish similar temporary swap arrangements with these five central banks to provide liquidity in any of their currencies if necessary. Return to text
20. Members of the FOMC consist of the members of the Board of Governors of the Federal Reserve System plus the president of the Federal Reserve Bank of New York and 4 of the remaining 11 Reserve Bank presidents, who serve one-year terms on a rotating basis. Participants at FOMC meetings consist of the members of the Board of Governors of the Federal Reserve System and all 12 Reserve Bank presidents. Return to text
21. FOMC statements, minutes, and transcripts, as well as other related information, are available on the Federal Reserve Board's website at www.federalreserve.gov/monetarypolicy/fomc.htm. Return to text
22. The subcommittee on communications is chaired by Governor Yellen and includes Governor Raskin and Presidents Evans and Plosser. Return to text
23. Table 2 provides estimates of the forecast uncertainty for the change in real GDP, the unemployment rate, and total consumer price inflation over the period from 1991 to 2010. At the end of this summary, box 5 discusses the sources and interpretation of uncertainty in the economic forecasts and explains the approach used to assess the uncertainty and risks attending the participants' projections. Return to text
