Minutes of the Federal Open Market Committee
June 24-25, 2008
| FOMC Minutes | Summary of Economic Projections |
FOMC participants generally expected that, over the remainder of this year, output would expand at a pace appreciably below its trend rate, owing primarily to continued weakness in housing markets, the substantial rise in energy prices in recent months, and the reduction in the availability of household and business credit resulting from continued strains in financial markets. As indicated in table 1 and figure 1, output growth further ahead was projected to pick up sufficiently to begin to reverse some of the increase in the unemployment rate by 2010. In light of the recent surge in the prices of oil and agricultural commodities, total inflation was expected to rise further in coming months and to be elevated for 2008 as a whole. However, many participants expected that persistent economic slack and a flattening out of energy and other commodity prices in line with futures market prices would cause overall inflation to decline noticeably in 2009 and 2010. Most participants judged that greater-than-normal uncertainty surrounded their projections for both output growth and inflation. A significant majority of participants viewed the risks to their forecasts for output growth as weighted to the downside, and a similar number saw the risks to the inflation outlook as skewed to the upside.
| Variable | 2008 | 2009 | 2010 |
|---|---|---|---|
| Central tendency1 | |||
| Change in real GDP | 1.0 to 1.6 | 2.0 to 2.8 | 2.5 to 3.0 |
| April projection | 0.3 to 1.2 | 2.0 to 2.8 | 2.6 to 3.1 |
| Unemployment rate | 5.5 to 5.7 | 5.3 to 5.8 | 5.0 to 5.6 |
| April projection | 5.5 to 5.7 | 5.2 to 5.7 | 4.9 to 5.5 |
| PCE inflation | 3.8 to 4.2 | 2.0 to 2.3 | 1.8 to 2.0 |
| April projection | 3.1 to 3.4 | 1.9 to 2.3 | 1.8 to 2.0 |
| Core PCE inflation | 2.2 to 2.4 | 2.0 to 2.2 | 1.8 to 2.0 |
| April projection | 2.2 to 2.4 | 1.9 to 2.1 | 1.7 to 1.9 |
|
Range2 | |||
| Change in real GDP | 0.9 to 1.8 | 1.9 to 3.0 | 2.0 to 3.5 |
| April projection | 0.0 to 1.5 | 1.8 to 3.0 | 2.0 to 3.4 |
| Unemployment rate | 5.5 to 5.8 | 5.2 to 6.1 | 5.0 to 5.8 |
| April projection | 5.3 to 6.0 | 5.2 to 6.3 | 4.8 to 5.9 |
| PCE inflation | 3.4 to 4.6 | 1.7 to 3.0 | 1.6 to 2.1 |
| April projection | 2.8 to 3.8 | 1.7 to 3.0 | 1.5 to 2.0 |
| Core PCE inflation | 2.0 to 2.5 | 1.8 to 2.3 | 1.5 to 2.0 |
| April projection | 1.9 to 2.5 | 1.7 to 2.2 | 1.3 to 2.0 |
Note: Projections of change in real gross domestic product (GDP) and of inflation are from the fourth quarter of the previous year to the fourth quarter of the year indicated. PCE inflation and core PCE inflation are the percentage rates of change in, respectively, the price index for personal consumption expenditures (PCE) and the price index for PCE excluding food and energy. Projections for the unemployment rate are for the average civilian unemployment rate in the fourth quarter of the year indicated. Each participant's projections are based on his or her assessment of appropriate monetary policy.
1. The central tendency excludes the three highest and three lowest projections for each variable in each year. Return to table
2. The range for a variable in a given year includes all participants' projections, from lowest to highest, for that variable in that year. Return to table
Chart 1: Central Tendencies and ranges of economic projections, 2008-10*

The Outlook
The central tendency of participants' projections for real GDP growth in 2008, at 1.0 percent to 1.6 percent, was noticeably higher than the central tendency of the projections provided in conjunction with the April FOMC meeting, which was 0.3 percent to 1.2 percent. The upward revision to the 2008 outlook stemmed primarily from better-than-expected data on consumer and business spending received between the April and June FOMC meetings. Nonetheless, several participants noted that the recent firmness in consumer spending could well prove transitory and that the ongoing housing market correction, tight credit conditions, and elevated energy prices would damp domestic demand in the second half of this year. Still, the substantial easing of monetary policy since last year and the continued strength in exports should help to support economic growth; in addition, strains had eased somewhat in some financial markets since April. Real GDP growth was expected to increase in 2009 as the adjustment in the housing sector ran its course, financial markets gradually resumed more-normal functioning, and the downward pressure on real incomes stemming from increases in energy and food prices in the first half of 2008 began to fade. In 2010, economic activity was projected to expand at or a little above participants' estimates of the rate of trend growth.With output growth continuing to run below trend in the second half of 2008, most participants expected that the unemployment rate would move up somewhat over the remainder of this year. The central tendency of participants' projections for the average rate of unemployment in the fourth quarter of 2008 was 5.5 percent to 5.7 percent, unchanged from the central tendency of projections that were provided in conjunction with the April FOMC meeting and consistent with some slack in resource utilization. The central tendency of participants' projections was for the unemployment rate to stabilize in 2009 and to edge down in 2010 as output and employment growth pick up.
The surge in the prices of oil and agricultural commodities since April led participants to revise up noticeably their projections for total inflation in the near term. However, the central tendency of participants' projections for core PCE inflation in 2008 was 2.2 percent to 2.4 percent, unchanged from the central tendency in April, as lower-than-expected rates of core inflation over recent months offset the expectations of some pass-through of the recent surge in energy prices into core inflation over the next few months. Rates of both overall and core inflation were expected to decline over the next two years, reflecting a flattening out of the prices of oil and other commodities consistent with futures market prices, slack in resource utilization, and longer-term inflation expectations that were expected to remain generally well anchored.
The contour of participants' projections for output growth, unemployment, and inflation was importantly shaped by their judgments about the measured rates of inflation consistent with the Federal Reserve's dual mandate to promote maximum employment and price stability and about the time horizon over which policy should aim to attain those rates given current economic conditions. Most participants judged that it might take a substantial period of time for output and inflation to recover from the recent shocks, which had elevated inflation and damped economic activity. A number of participants projected that the rate of unemployment might remain slightly above its longer-run sustainable level even in 2010; total inflation in 2010 was also judged likely to continue to run a bit above levels that most participants saw as consistent with the price stability objective of the Federal Reserve's dual mandate. Most participants saw further declines in both unemployment and inflation as likely in the period beyond the forecast horizon.
Risks to the Outlook
Most participants viewed the risks to their projections for GDP growth as weighted to the downside and the associated risks to their projections for the unemployment rate as tilted to the upside. The possibility that house prices could decline more steeply than anticipated, further reducing households' wealth, restricting their access to credit, and eroding the capital of lending institutions, continued to be perceived as a significant downside risk to the outlook for economic growth. Although financial markets had shown some further improvement since April, conditions in those markets remained strained; a number of participants also pointed to the risk that further improvement could be quite slow and subject to relapse. The potential for current tight credit conditions to exert an unexpectedly large restraint on household and business spending was also viewed as a significant downside risk to economic activity. An adverse feedback loop, in which weaker economic activity led to a further worsening of financial conditions, which in turn could damp economic growth even further, continued to be viewed as a worrisome possibility, though less so than in April. Indeed, some participants pointed to the apparent resilience of the U.S. economy in the face of recent financial distress and suggested that the adverse effects of financial developments on economic activity outside of the housing sector could prove to be more modest than anticipated.Most participants viewed the risks to their inflation projections as weighted to the upside. Recent sharp increases in energy and food prices and the pass-through of dollar depreciation into import prices could boost inflation in the near term by more than currently anticipated. Although participants generally assumed that commodity prices will flatten out, roughly in line with the trajectory implied by futures prices, the fact that futures markets had persistently underpredicted commodity prices in recent experience was viewed as an upside risk to the outlook for inflation. Participants also saw a risk that inflation expectations could become less firmly anchored, particularly if the current elevated rates of headline inflation did not moderate as quickly as they expected.
Participants continued to view uncertainty about the outlook for economic activity as higher than normal, with a number pointing to uncertainty about the duration and effects of the ongoing financial strains on real activity. In addition, participants expressed noticeably more uncertainty about their inflation projections than they had in January and April, a shift in perception that they attributed importantly to increased uncertainty about the future course of energy and food prices and to greater uncertainty about the extent of pass-through of changes in those prices into core inflation. (Table 2 provides estimates of forecast uncertainty for real GDP growth, unemployment, and inflation since 19871.)
| Variable | 2008 | 2009 | 2010 |
|---|---|---|---|
| Change in real GDP1 | ±0.9 | ±1.3 | ±1.4 |
| Unemployment rate1 | ±0.3 | ±0.7 | ±1.0 |
| Total consumer prices2 | ±0.6 | ±1.0 | ±1.0 |
Note: Error ranges shown are measured as plus or minus the root mean squared error of projections that were released in the summer from 1987 through 2007 for the current and following two years by various private and government forecasters. As described in the box "Forecast Uncertainty," under certain assumptions, there is about a 70 percent probability that actual outcomes for real GDP, unemployment, and consumer prices will be in ranges implied by the average size of projection errors made in the past. Further information is in David Reifschneider and Peter Tulip (2007), "Gauging the Uncertainty of the Economic Outlook from Historical Forecasting Errors," Finance and Economics Discussion Series 2007-60 (Board of Governors of the Federal Reserve System, November).
1. For definitions, refer to general note in table 1. Return to table
2. Measure is the overall consumer price index, the price measure that has been most widely used in government and private economic forecasts. Projection is percent change, fourth quarter of the previous year to the fourth quarter of the year indicated. Return to table
Diversity of Participants' Views
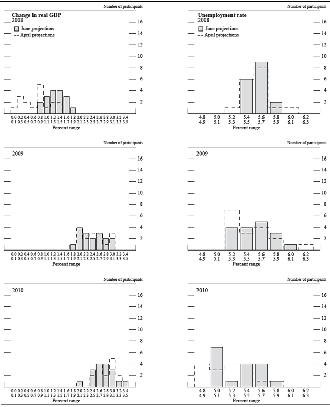
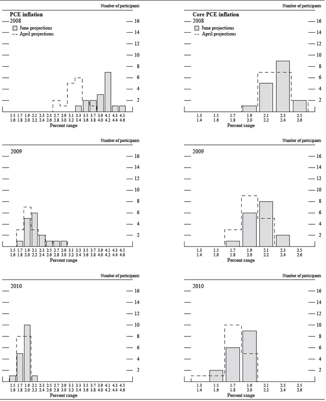
Figures 2.A and 2.B provide more detail on the diversity of participants' views regarding likely economic outcomes over the projection period. The dispersion of participants' projections for real GDP growth in 2008 was noticeably narrower than in the forecasts provided in April, reflecting primarily the accumulation of data about the actual performance of the economy in the first half of the year; their views about output growth in coming quarters and in 2009 continued to exhibit appreciable dispersion. The dispersion of participants' projections for real activity next year seemed largely to reflect differing assessments of the effects of adverse financial market conditions on economic growth, the speed with which credit conditions might improve, and the depth and duration of the correction in the housing market. Indeed, views differed notably on the pace at which output and employment would recover in 2009, with some participants expressing a concern that growth might be constrained by the persistence of financial strains over a considerable period. The dispersion of participants' longer-term projections was also affected to some degree by differences in their judgments about the economy's trend growth rate and the unemployment rate that would be consistent over time with maximum employment. The dispersion of the projections for PCE inflation in the near term reflected in large part differing views on the extent to which recent increases in energy and food prices would pass through into higher consumer prices. In addition, participants held differing views on the degree to which inflation expectations were anchored and the role that expectations might play in the inflation process over the short and medium term. Participants' inflation projections further ahead were shaped by the views of the rate of inflation consistent with the Federal Reserve's dual objectives and the time it would take to achieve these goals given current economic conditions and appropriate policy.
Chart 2(a): Distribution of participants' projections for the change in real GDP and for the unemployment rate, 2008-10*

Chart 2(b): Distribution of participants' projections for PCE inflation and for core PCE inflation, 2008-10*

Forecast Uncertainty
The economic projections provided by the members of the Board of Governors and the presidents of the Federal Reserve Banks inform discussions of monetary policy among policymakers and can aid public understanding of the basis for policy actions. Considerable uncertainty attends these projections, however. The economic and statistical models and relationships used to help produce economic forecasts are necessarily imperfect descriptions of the real world. And the future path of the economy can be affected by myriad unforeseen developments and events. Thus, in setting the stance of monetary policy, participants consider not only what appears to be the most likely economic outcome as embodied in their projections, but also the range of alternative possibilities, the likelihood of their occurring, and the potential costs to the economy should they occur.Table 2 summarizes the average historical accuracy of a range of forecasts, including those reported in past Monetary Policy Reports and those prepared by Federal Reserve Board staff in advance of meetings of the Federal Open Market Committee. The projection error ranges shown in the table illustrate the considerable uncertainty associated with economic forecasts. For example, suppose a participant projects that real gross domestic product (GDP) and total consumer prices will rise steadily at annual rates of, respectively, 3 percent and 2 percent. If the uncertainty attending those projections is similar to that experienced in the past and the risks around the projections are broadly balanced, the numbers reported in table 2 would imply a probability of about 70 percent that actual GDP would expand 2.1 percent to 3.9 percent in the current year, 1.7 percent to 4.3 percent in the second year, and 1.6 percent to 4.4 percent in the third year. The corresponding 70 percent confidence intervals for overall inflation would be 1.4 percent to 2.6 percent in the current year and 1.0 percent to 3.0 percent in the second and third years.
Because current conditions may differ from those that prevailed on average over history, participants provide judgments as to whether the uncertainty attached to their projections of each variable is greater than, smaller than, or broadly similar to typical levels of forecast uncertainty in the past as shown in table 2. Participants also provide judgments as to whether the risks to their projections are weighted to the upside, downside, or are broadly balanced. That is, participants judge whether each variable is more likely to be above or below their projections of the most likely outcome. These judgments about the uncertainty and the risks attending each participant's projections are distinct from the diversity of participants' views about the most likely outcomes. Forecast uncertainty is concerned with the risks associated with a particular projection, rather than with divergences across a number of different projections.
Footnotes
1. The box "Forecast Uncertainty" at the end of this summary discusses the sources and interpretation of uncertainty in economic forecasts and explains the approach used to assess the uncertainty and risks attending participants' projections. Return to text