Minutes of the Federal Open Market Committee
January 27-28, 2009
| FOMC Minutes | Summary of Economic Projections |
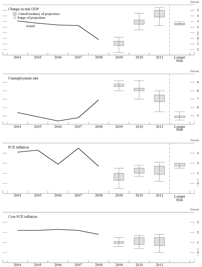
FOMC participants viewed the outlook for economic activity and inflation as having weakened significantly since last October, when their last projections were made. As indicated in Table 1 and depicted in Figure 1, participants projected that real GDP would contract this year, that the unemployment rate would increase substantially, and that consumer price inflation would be significantly lower than in recent years. Given the strength of the forces currently weighing on the economy, participants generally expected that the recovery would be unusually gradual and prolonged: All participants anticipated that unemployment would remain substantially above its longer-run sustainable rate at the end of 2011, even absent further economic shocks; a few indicated that more than five to six years would be needed for the economy to converge to a longer-run path characterized by sustainable rates of output growth and unemployment and by an appropriate rate of inflation. Participants generally judged that their projections for both economic activity and inflation were subject to a degree of uncertainty exceeding historical norms. Nearly all participants viewed the risks to the growth outlook as skewed to the downside, and all participants saw the risks to the inflation outlook as either balanced or tilted to the downside.
| Variable | Central tendency1 | Range2 | ||||||
|---|---|---|---|---|---|---|---|---|
| 2009 | 2010 | 2011 | Longer Run | 2009 | 2010 | 2011 | Longer Run | |
| Change in real GDP | -1.3 to -0.5 | 2.5 to 3.3 | 3.8 to 5.0 | 2.5 to 2.7 | -2.5 to 0.2 | 1.5 to 4.5 | 2.3 to 5.5 | 2.4 to 3.0 |
| October projection | -0.2 to 1.1 | 2.3 to 3.2 | 2.8 to 3.6 | n.a. | -1.0 to 1.8 | 1.5 to 4.5 | 2.0 to 5.0 | n.a. |
| Unemployment rate | 8.5 to 8.8 | 8.0 to 8.3 | 6.7 to 7.5 | 4.8 to 5.0 | 8.0 to 9.2 | 7.0 to 9.2 | 5.5 to 8.0 | 4.5 to 5.5 |
| October projection | 7.1 to 7.6 | 6.5 to 7.3 | 5.5 to 6.6 | n.a. | 6.6 to 8.0 | 5.5 to 8.0 | 4.9 to 7.3 | n.a. |
| PCE inflation | 0.3 to 1.0 | 1.0 to 1.5 | 0.9 to 1.7 | 1.7 to 2.0 | -0.5 to 1.5 | 0.7 to 1.8 | 0.2 to 2.1 | 1.5 to 2.0 |
| October projection | 1.3 to 2.0 | 1.4 to 1.8 | 1.4 to 1.7 | n.a. | 1.0 to 2.2 | 1.1 to 1.9 | 0.8 to 1.8 | n.a. |
| Core PCE inflation3 | 0.9 to 1.1 | 0.8 to 1.5 | 0.7 to 1.5 | 0.6 to 1.5 | 0.4 to 1.7 | 0.0 to 1.8 | ||
| October projection | 1.5 to 2.0 | 1.3 to 1.8 | 1.3 to 1.7 | 1.3 to 2.1 | 1.1 to 1.9 | 0.8 to 1.8 | ||
Note: Projections of change in real gross domestic product (GDP) and of inflation are from the fourth quarter of the previous year to the fourth quarter of the year indicated. PCE inflation and core PCE inflation are the percentage rates of change in, respectively, the price index for personal consumption expenditures (PCE) and the price index for PCE excluding food and energy. Projections for the unemployment rate are for the average civilian unemployment rate in the fourth quarter of the year indicated. Each participant's projections are based on his or her assessment of appropriate monetary policy. Longer-run projections represent each participant's assessment of the rate to which each variable would be expected to converge under appropriate monetary policy and in the absence of further shocks to the economy. The October projections were made in conjunction with the FOMC meeting on October 28-29, 2008.
1. The central tendency excludes the three highest and three lowest projections for each variable in each year. Return to table
2. The range for a variable in a given year includes all participants' projections, from lowest to highest, for that variable in that year. Return to table
3. Longer-run projections for core PCE inflation are not collected. Return to table
Figure 1. Central tendencies and ranges of economic projections, 2009–11 and over the longer run*

*Accessible version of figure 1 | Return to figure 1
The Outlook
Participants' projections for the change in real GDP in 2009 had a central tendency of -1.3 to -0.5 percent, compared with the central tendency of -0.2 to 1.1 percent for their projections last October. In explaining these downward revisions, participants referred to the further intensification of the financial crisis and its effect on credit and wealth, the waning of consumer and business confidence, the marked deceleration in global economic activity, and the weakness of incoming data on spending and employment. Participants anticipated a broad-based decline in aggregate output during the first half of this year; they noted that consumer spending would likely be damped by the deterioration in labor markets, the tightness of credit conditions, the continuing decline in house prices, and the recent sharp reduction in stock market wealth, and they saw reductions in consumer demand contributing to further weakness in business investment. However, participants expected that the economy would begin to recover--albeit gradually--during the second half of the year, mainly reflecting the effects of fiscal stimulus and of Federal Reserve measures providing support to credit markets.Looking further ahead, participants' growth projections had a central tendency of 2.5 to 3.3 percent for 2010 and 3.8 to 5.0 percent for 2011. Participants generally expected that strains in financial markets would ebb only slowly and hence that the pace of recovery in 2010 would be damped. Nonetheless, participants generally anticipated that real GDP growth would gain further momentum in 2011, reaching a pace that would temporarily exceed their estimates of the longer-run sustainable rate of economic growth and would thereby help reduce the slack in resource utilization. Most participants expected that, absent further shocks, economic growth would eventually converge to a rate of 2.5 to 2.7 percent, reflecting longer-term trends in the growth of productivity and the labor force.
Participants anticipated that labor market conditions would deteriorate substantially further over the course of this year, and nearly all expected that unemployment would still be well above its longer-run sustainable rate at the end of 2011. Participants' projections for the average unemployment rate during the fourth quarter of 2009 had a central tendency of 8.5 to 8.8 percent, markedly higher than last December's actual unemployment rate of 7.2 percent the latest available figure at the time of the January FOMC meeting. Nearly all participants' projections were more than a percentage point higher than their previous forecasts made last October, reflecting the sharp rise in actual unemployment that occurred during the final months of 2008 as well as participants' weaker outlook for economic activity this year. Most participants anticipated that output growth in 2010 would not be substantially above its longer-run trend rate and hence that unemployment would decline only modestly next year. With economic activity and job creation generally projected to accelerate in 2011, participants anticipated that joblessness would decline more appreciably that year, as is evident from the central tendency of 6.7 to 7.5 percent for their unemployment rate projections. Participants expected that the unemployment rate would decline further after 2011, and most saw it settling in at a rate of 4.8 to 5.0 percent over time.
The central tendency of participants' projections for total PCE inflation this year was 0.3 to 1.0 percent, about a percentage point lower than the central tendency of their projections last October. Many participants noted that recent readings on inflation had been surprisingly low, and some anticipated that the unexpected declines in the prices of energy and other commodities that had occurred in the latter part of 2008 would continue to hold down inflation at the consumer level in 2009. Participants also marked down their projections for core PCE inflation this year in light of their views about the indirect effects of lower energy prices and the influence of increased resource slack.
Looking beyond this year, participants' projections for total PCE inflation had a central tendency of 1.0 to 1.5 percent for 2010, 0.9 to 1.7 percent for 2011, and 1.7 to 2.0 percent over the longer run. Participants' longer-run projections for total PCE inflation reflected their individual assessments of the measured rates of inflation consistent with the Federal Reserve's dual mandate for promoting price stability and maximum employment. Most participants judged that a longer-run PCE inflation rate of 2 percent would be consistent with the dual mandate; others indicated that 1-1/2 or 1-3/4 percent inflation would be appropriate. Modestly positive longer-run inflation would allow the Committee to stimulate economic activity and support employment by setting the federal funds rate temporarily below the inflation rate when the economy is buffeted by a large negative shock to demands for goods and services. Participants generally expected that core and overall inflation would converge over time, and that persistent economic slack would continue to weigh on inflation outcomes for the next few years and hence that total PCE inflation in 2011 would still be below their assessments of the appropriate inflation rate for the longer run.
Risks to the Outlook
Participants continued to view uncertainty about the outlook for economic activity as higher than normal.1 The risks to their projections for real GDP growth were judged as being skewed to the downside and the associated risks to their projections for the unemployment rate were tilted to the upside. Participants highlighted the considerable degree of uncertainty about the future course of the financial crisis and its impact on the real economy; for example, rising unemployment and weaker growth could exacerbate delinquencies on household and business loans, leading to higher losses for financial firms and so to a further tightening of credit conditions that would in turn put further downward pressure on spending to a greater degree than currently foreseen. In addition, some participants noted that a substantial degree of uncertainty was associated with gauging the stimulative effects of nontraditional monetary policy tools that are now being employed given that conventional policy easing was limited by the zero lower bound on nominal interest rates. Others referred to uncertainties regarding the size, composition, and effectiveness of the fiscal stimulus package--which was still under consideration at the time of the FOMC meeting--and of further measures to stabilize the banking system.
| Variable | 2009 | 2010 | 2011 |
|---|---|---|---|
| Change in real GDP1 | ±1.2 | ±1.4 | ±1.4 |
| Unemployment rate1 | ±0.5 | ±0.8 | ±1.0 |
| Total consumer prices2 | ±0.9 | ±1.0 | ±0.9 |
Note: Error ranges shown are measured as plus or minus the root mean squared error of projections that were released in the winter from 1987 through 2007 for the current and following two years by various private and government forecasters. As described in the box "Forecast Uncertainty," under certain assumptions, there is about a 70 percent probability that actual outcomes for real GDP, unemployment, and consumer prices will be in ranges implied by the average size of projection errors made in the past. Further information is in David Reifschneider and Peter Tulip (2007), "Gauging the Uncertainty of the Economic Outlook from Historical Forecasting Errors," Finance and Economics Discussion Series 2007-60 (Board of Governors of the Federal Reserve System, November).
1. For definitions, refer to general note in table 1. Return to table
2. Measure is the overall consumer price index, the price measure that has been most widely used in government and private economic forecasts. Projection is percent change, fourth quarter of the previous year to the fourth quarter of the year indicated. The slightly narrower estimated width of the confidence interval for inflation in the third year compared with that for the second year is likely the result of using a limited sample period for computing these statistics. Return to table
As in October, most participants continued to view the uncertainty surrounding their inflation projections as higher than historical norms. A slight majority of participants judged the risks to the inflation outlook as roughly balanced, while the rest viewed these risks as skewed to the downside. Participants indicated that elevated uncertainty about global growth was clouding the outlook for prices of energy and other commodities and hence contributing to greater uncertainty in their inflation projections. Many participants stated that their assessments regarding the level of uncertainty and balance of risks to the inflation outlook were closely linked to their judgments about the uncertainty and risks to the outlook for economic activity. Some participants noted the risk that inflation expectations might become unanchored and drift downward in response to persistently low inflation outcomes, while others pointed to the possibility of an upward shift if investors became concerned that stimulative policy measures might not be unwound in a timely fashion once the economy begins to recover.
Diversity of Views
Figures 2.A and 2.B provide further details on the diversity of participants' views regarding likely outcomes for real GDP growth and the unemployment rate, respectively. For 2009 to 2011, the dispersion in participants' projections for each variable was roughly the same as for their projections last October. This dispersion mainly indicated the diversity of participants' assessments regarding the stimulative effects of fiscal policy, the pace of recovery in financial markets, and the evolution of households' desired saving rates. The dispersion in participants' longer-run projections reflected differences in their estimates regarding the sustainable rates of output growth and unemployment to which the economy would converge under appropriate policy and in the absence of any further shocks.Figures 2.C and 2.D provide corresponding information regarding the diversity of participants' views regarding the inflation outlook. The dispersion in participants' projections for total PCE inflation in 2009 was substantially greater than for their projections made last October, due to increased diversity of participants' views regarding the near-term evolution of prices of energy and raw materials and the extent to which changes in those prices would be likely to pass through into overall inflation. The dispersion in participants' projections for core PCE inflation in 2009 was noticeably lower than last October, but the dispersion in their projections for core inflation in 2010 and 2011 was markedly wider, reflecting varying assessments about the timing and pace of economic recovery, the sensitivity of inflation to slack in resource utilization, the prevalence of downward nominal wage rigidity, and the likelihood that inflation expectations will remain firmly anchored. A few participants anticipated that inflation in 2011 would be close to their longer-run projections. However, most participants' projections for total PCE inflation in 2011 were below their longer-run projections, primarily reflecting the anticipated effects of substantial slack over the next three years; this inflation gap was about 1/4 to 1/2 percentage point for some participants but exceeded a full percentage point for others.
Figure 2.A. Distribution of participants’ projections for the change in real GDP, 2009–11 and over the longer run*
* Accessible version of figure 2(a) | Return to figure 2(a)
Figure 2.B. Distribution of participants’ projections for the unemployment rate, 2009–11 and over the longer run*
* Accessible version of figure 2(b) | Return to figure 2(b)
Figure 2.C. Distribution of participants’ projections for PCE inflation, 2009–11 and over the longer run*
* Accessible version of figure 2(c) | Return to figure 2(c)
Figure 2.D. Distribution of participants’ projections for core PCE inflation, 2009–11*
* Accessible version of figure 2(d) | Return to figure 2(d)
Forecast Uncertainty
The economic projections provided by the members of the Board of Governors and the presidents of the Federal Reserve Banks inform discussions of monetary policy among policymakers and can aid public understanding of the basis for policy actions. Considerable uncertainty attends these projections, however. The economic and statistical models and relationships used to help produce economic forecasts are necessarily imperfect descriptions of the real world. And the future path of the economy can be affected by myriad unforeseen developments and events. Thus, in setting the stance of monetary policy, participants consider not only what appears to be the most likely economic outcome as embodied in their projections, but also the range of alternative possibilities, the likelihood of their occurring, and the potential costs to the economy should they occur.
Table 2 summarizes the average historical accuracy of a range of forecasts, including those reported in past Monetary Policy Reports and those prepared by Federal Reserve Board staff in advance of meetings of the Federal Open Market Committee. The projection error ranges shown in the table illustrate the considerable uncertainty associated with economic forecasts. For example, suppose a participant projects that real GDP and total consumer prices will rise steadily at annual rates of, respectively, 3 percent and 2 percent. If the uncertainty attending those projections is similar to that experienced in the past and the risks around the projections are broadly balanced, the numbers reported in table 2 would imply a probability of about 70 percent that actual GDP would expand between 1.8 percent to 4.2 percent in the current year and 1.6 percent to 4.4 percent in the second and third years. The corresponding 70 percent confidence intervals for overall inflation would be 1.1 percent to 2.9 percent in the current year, 1.0 percent to 3.0 percent in the second year, and 1.1 percent to 2.9 percent in the third year.
Because current conditions may differ from those that prevailed on average over history, participants provide judgments as to whether the uncertainty attached to their projections of each variable is greater than, smaller than, or broadly similar to typical levels of forecast uncertainty in the past as shown in table 2. Participants also provide judgments as to whether the risks to their projections are weighted to the upside, downside, or are broadly balanced. That is, participants judge whether each variable is more likely to be above or below their projections of the most likely outcome. These judgments about the uncertainty and the risks attending each participant's projections are distinct from the diversity of participants' views about the most likely outcomes. Forecast uncertainty is concerned with the risks associated with a particular projection, rather than with divergences across a number of different projections.
Footnotes
1. Table 2 provides estimates of forecast uncertainty for the change in real GDP, the unemployment rate, and total consumer price inflation over the period from 1987 to 2007. At the end of this summary, the box "Forecast Uncertainty" discusses the sources and interpretation of uncertainty in economic forecasts and explains the approach used to assess the uncertainty and risks attending participants’ projections. Return to text
