skip to main navigation skip to secondary navigation skip to content
Board of Governors of the Federal Reserve System
skip to content
Board of Governors of the Federal Reserve System

Minutes of the Federal Open Market Committee

November 2-3, 2010

In conjunction with the November 2-3, 2010, FOMC meeting, the members of the Board of Governors and the presidents of the Federal Reserve Banks, all of whom participate in the deliberations of the FOMC, submitted projections for output growth, unemployment, and inflation for the years 2010 to 2013 and over the longer run. The projections were based on information available through the end of the meeting and on each participant's assumptions about factors likely to affect economic outcomes, including his or her assessment of appropriate monetary policy. "Appropriate monetary policy" is defined as the future path of policy that each participant deems most likely to foster outcomes for economic activity and inflation that best satisfy his or her interpretation of the Federal Reserve's dual objectives of maximum employment and stable prices. Longer-run projections represent each participant's assessment of the rate to which each variable would be expected to converge over time under appropriate monetary policy and in the absence of further shocks.

 

Table 1. Economic projections of Federal Reserve Governors and Reserve Bank presidents, November 2010
Percent
Variable Central tendency1 Range2
2010 2011 2012 2013 Longer run 2010 2011 2012 2013 Longer run
Change in real GDP 2.4 to 2.5 3.0 to 3.6 3.6 to 4.5 3.5 to 4.6 2.5 to 2.8 2.3 to 2.5 2.5 to 4.0 2.6 to 4.7 3.0 to 5.0 2.4 to 3.0
     June projection 3.0 to 3.5 3.5 to 4.2 3.5 to 4.5 n.a. 2.5 to 2.8 2.9 to 3.8 2.9 to 4.5 2.8 to 5.0 n.a. 2.4 to 3.0
Unemployment rate 9.5 to 9.7 8.9 to 9.1 7.7 to 8.2 6.9 to 7.4 5.0 to 6.0 9.4 to 9.8 8.2 to 9.3 7.0 to 8.7 5.9 to 7.9 5.0 to 6.3
     June projection 9.2 to 9.5 8.3 to 8.7 7.1 to 7.5 n.a. 5.0 to 5.3 9.0 to 9.9 7.6 to 8.9 6.8 to 7.9 n.a. 5.0 to 6.3
PCE inflation 1.2 to 1.4 1.1 to 1.7 1.1 to 1.8 1.2 to 2.0 1.6 to 2.0 1.1 to 1.5 0.9 to 2.2 0.6 to 2.2 0.4 to 2.0 1.5 to 2.0
     June projection 1.0 to 1.1 1.1 to 1.6 1.0 to 1.7 n.a. 1.7 to 2.0 0.9 to 1.8 0.8 to 2.4 0.5 to 2.2 n.a. 1.5 to 2.0
Core PCE inflation3 1.0 to 1.1 0.9 to 1.6 1.0 to 1.6 1.1 to 2.0   0.9 to 1.4 0.7 to 2.0 0.6 to 2.0 0.5 to 2.0  
     June projection 0.8 to 1.0 0.9 to 1.3 1.0 to 1.5 n.a.   0.7 to 1.5 0.6 to 2.4 0.4 to 2.2 n.a.  

Note: Projections of change in real gross domestic product (GDP) and in inflation are from the fourth quarter of the previous year to the fourth quarter of the year indicated. PCE inflation and core PCE inflation are the percentage rates of change in, respectively, the price index for personal consumption expenditures (PCE) and the price index for PCE excluding food and energy. Projections for the unemployment rate are for the average civilian unemployment rate in the fourth quarter of the year indicated. Each participant's projections are based on his or her assessment of appropriate monetary policy. Longer-run projections represent each participant's assessment of the rate to which each variable would be expected to converge under appropriate monetary policy and in the absence of further shocks to the economy. The June projections were made in conjunction with the meeting of the Federal Open Market Committee on June 22-23, 2010.

1. The central tendency excludes the three highest and three lowest projections for each variable in each year. Return to table

2. The range for a variable in a given year consists of all participants' projections, from lowest to highest, for that variable in that year. Return to table

3. Longer-run projections for core PCE inflation are not collected. Return to table

As depicted in figure 1, FOMC participants' projections of economic activity over the next several years indicated that they expected the economic recovery to continue, with unemployment declining slowly and inflation remaining subdued. As indicated in table 1, relative to their previous projections in June, participants saw weaker real activity this year and expected a somewhat more gradual economic recovery over the next several years. Most participants expected the unemployment rate would slowly decline over the forecast horizon, while the rate of inflation would edge up but stay subdued. Participants generally indicated that the pace of expansion in real gross domestic product (GDP) would rise over the projection period to one that was somewhat above their assessment of the economy's longer-run rate of growth. They judged that the pickup in economic activity would be spurred in part by accommodative monetary policy and a gradual easing in credit conditions that would help buoy spending by consumers and businesses. Stronger spending, in turn, would lead to improved confidence in the economy, a pickup in hiring, and a further improvement in credit conditions--forces that would continue to support spending. But participants thought that several factors would likely continue to restrain economic growth for a while, including a high degree of caution exhibited by consumers and businesses, persistent weakness in the residential and commercial real estate sectors of the economy, and still-tight credit conditions. Somewhat more than half of the participants judged that, in the absence of any additional shocks to the economy, the economy would converge fully to its longer-run rates of output growth, unemployment, and inflation within about five or six years; the rest indicated that it could take longer for unemployment to fall back to its longer-run rate or for inflation to rise back to the level they deemed desirable in the longer run. Participants continued to attach an unusually high degree of uncertainty to their projections relative to longer-run norms. While many participants judged the risks surrounding their projections of each variable to be broadly balanced, a similar number indicated that the combination of downside risks to growth and upside risks to unemployment predominated.

Figure 1. Central tendencies and ranges of economic projections, 2010-13 and over the longer run*

Figure 1. Central tendencies and ranges of economic projections, 2010-13 and over the longer run

NOTE: Definitions of variables are in the notes to table 1. The data for the actual values of the variables are annual.

*Accessible version of figure 1 | Return to figure 1

The Outlook
The central tendency of participants' projections of real GDP growth in 2010 was a narrow band from 2.4 to 2.5 percent, down from 3.0 to 3.5 percent in June. Participants stated that incoming economic data had weighed heavily on their forecasts for growth this year. The Bureau of Economic Analysis published its comprehensive annual revisions and advance estimate of second-quarter GDP after participants submitted their June projections, and these data showed that the expansion in real GDP in the first half of the year had been slower than the participants had expected. The most recent data on output growth in the third quarter indicated that the economy had continued to expand modestly. Participants noted that consumer spending appeared restrained by lower household wealth, relatively tight credit conditions in some markets, and households' ongoing desire to repair their balance sheets. In addition, participants generally viewed the incoming data on housing, manufacturing, trade, and labor market activity as weaker than they had expected at the time of the June meeting. Participants also noted that the support to growth from earlier fiscal stimulus and inventory investment had waned.

Participants continued to expect a modest pickup in the pace of the recovery over the next couple of years. The central tendency of their projections for output growth in 2011 was 3.0 to 3.6 percent, followed by central tendencies of 3.6 to 4.5 percent in 2012 and 3.5 to 4.6 percent in 2013. Participants noted that factors such as previously deferred spending on consumer durables and business equipment and software, stabilization in residential investment, accommodative conditions in financial markets, and some easing in credit conditions would likely provide impetus to economic growth going forward. However, participants cited several forces that were likely to weigh on the pace of the economic expansion over the next few years, including the ongoing poor performance of the commercial real estate sector, the uneven pace of the recovery in housing markets, the potential effects of the home mortgage documentation problems that had recently surfaced, the restraint in government spending resulting from the strained fiscal conditions of many states and municipalities, and credit conditions at banks that were likely to ease fairly slowly. Participants anticipated that, in the absence of further shocks, the economy would converge over time to a longer-run rate of real GDP growth of 2.5 to 2.8 percent, unchanged from June.

Participants expected that conditions in labor markets would improve gradually beginning next year. The central tendency of their projections of the average unemployment rate in the fourth quarter of this year was 9.5 to 9.7 percent. Uncertainty on the part of employers about the sustainability of the recovery was generally anticipated to ebb over the forecast period, and participants expected that hiring would gradually pick up and unemployment would decline slowly. The central tendency of their unemployment rate projections for the end of the forecast period in 2013 was 6.9 to 7.4 percent. On the whole, the projections suggest a more gradual decline in unemployment over the next few years than had been expected in June, consistent with the participants' assessments of somewhat weaker growth prospects. Participants noted that the more gradual recovery was reflected in improvements in the labor market to date that had been slower to materialize than previously anticipated. Some participants attributed a portion of the upward revision in their projections of unemployment over the next two years to longer-lived structural adjustments in labor markets, and they raised their estimates of the unemployment rate that would prevail in the longer run accordingly. As a result, participants' longer-run projections of unemployment exhibited a central tendency of 5.0 to 6.0 percent, substantially wider than the central tendency of 5.0 to 5.3 percent reported in June.

Participants' inflation projections edged up since June but continued to indicate that inflation was expected to remain subdued over the next several years. Participants noted that the high degree of slack in resource markets would help keep inflation relatively low over the forecast horizon. At the same time, appropriate monetary policy, combined with well-anchored inflation expectations, was seen as likely to result in a modest level of inflation, avoiding either an undesirable increase or a further decrease in inflation. The central tendency of participants' projections for personal consumption expenditures (PCE) inflation was 1.2 to 1.4 percent in 2010, 1.1 to 1.7 percent in 2011, 1.1 to 1.8 percent in 2012, and 1.2 to 2.0 percent in 2013. Increases in energy and other commodity prices were expected to boost headline PCE inflation over the forecast period, with core inflation likely to run at a somewhat lower pace. Most participants' projections of inflation over the next several years did not exceed the rate of longer-run inflation that they individually considered most consistent with the Federal Reserve's dual mandate for maximum employment and stable prices. Participants' projections of this mandate-consistent rate of inflation exhibited a central tendency of 1.6 to 2.0 percent, little changed from June.

Table 2. Average historical projection error ranges
Percentage points
Variable 2010 2011 2012 2013
Change in real GDP1 ±0.6 ±1.4 ±1.8 ±1.8
Unemployment rate1 ±0.2 ±0.9 ±1.4 ±1.5
Total consumer prices2 ±0.5 ±1.0 ±1.1 ±1.1

Note: Error ranges shown are measured as plus or minus the root mean squared error of projections for 1990 through 2009 that were released in the spring by various private and government forecasters. As described in the box "Forecast Uncertainty," under certain assumptions, there is about a 70 percent probability that actual outcomes for real GDP, unemployment, and consumer prices will be in ranges implied by the average size of projection errors made in the past. Further information is in David Reifschneider and Peter Tulip (2007), "Gauging the Uncertainty of the Economic Outlook from Historical Forecasting Errors," Finance and Economics Discussion Series 2007-60 (Washington: Board of Governors of the Federal Reserve System, November).

1. For definitions, refer to general note in table 1. Return to table

2. Measure is the overall consumer price index, the price measure that has been most widely used in government and private economic forecasts. Projection is percent change, fourth quarter of the previous year to the fourth quarter of the year indicated. Return to table

Uncertainty and Risks
As they did in June, most participants attached a higher degree of uncertainty to their projections of output growth and unemployment over the forecast horizon than is historically typical.1 While a majority of participants judged the risks to output growth as broadly balanced, many participants viewed the risks to their forecast of output growth as weighted to the downside, the risks to their forecast of unemployment as tilted to the upside, or both. Some of these participants noted that it would be more difficult than usual to address future negative shocks to the real economy, should they materialize, because the Federal Reserve had already moved nominal short-term interest rates close to zero, and because they saw the likelihood of further fiscal stimulus as being quite limited. In addition, some of these participants noted that the anticipated recovery of the housing market might take longer than expected.

Regarding inflation, a few participants judged that the uncertainty surrounding their projections was broadly similar to historical norms, but most continued to attach an unusually high degree of uncertainty to these projections. Most participants continued to assess the risks to their inflation forecasts as broadly balanced, although some judged that downside risks predominated and a couple judged that upside risks predominated. Participants citing downside risks noted concerns about the degree to which lingering resource slack in the economy was putting downward pressure on inflation, or about the possible effects that an extended period of low readings on actual inflation might have in reducing inflation expectations. Those who indicated upside risks to inflation generally pointed to concerns relating to the unusual size of the Federal Reserve's balance sheet, which, if left in place for too long, might eventually begin to erode the stability of longer-term inflation expectations.

Diversity of Views
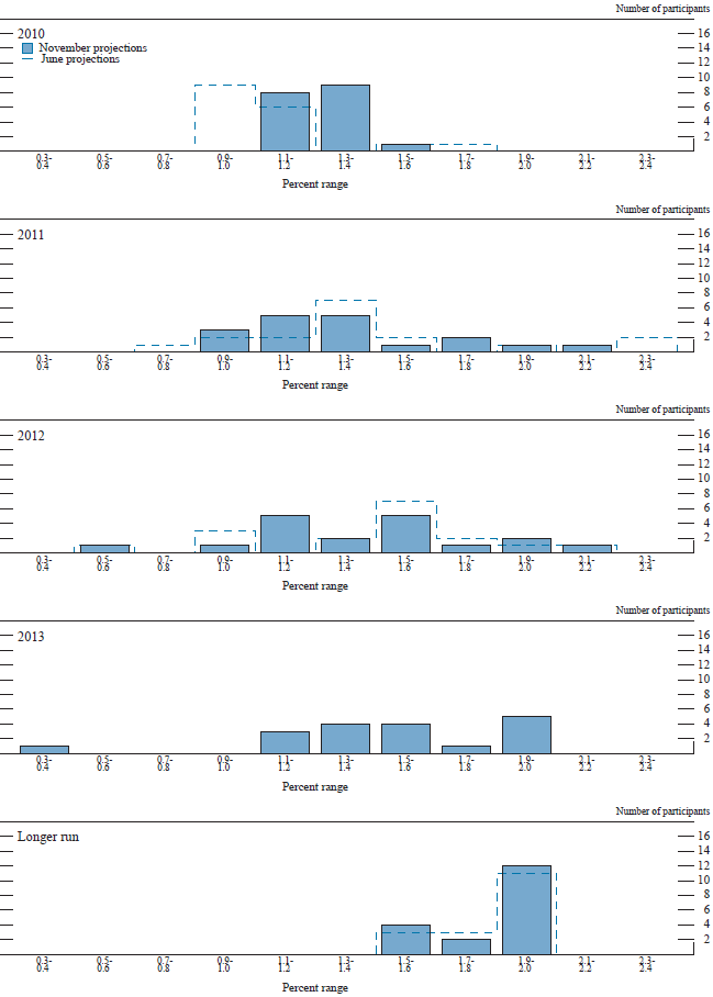
Information about the diversity of participants' views regarding the likely outcomes for real GDP growth and the unemployment rate over the next few years is provided in figures 2.A and 2.B, respectively. The dispersion in these projections reflects differences in participants' assessments of many factors, including the current degree of underlying momentum in economic activity, the amount of restraint on economic activity likely to result from low readings on consumer and business sentiment and relatively tight credit conditions, how quickly and to what degree particularly hard-hit sectors of the economy will recover, the degree of support for economic activity from conditions in financial markets, and the form and degree of appropriate future monetary policy and its effects on economic activity. With much of the data for 2010 now in hand, the dispersion of participants' projections of output growth this year narrowed quite a bit relative to June. While the distributions of participants' projections of real GDP growth in 2011 and 2012 shifted lower since June, the degree of dispersion displayed in these projections was little changed. The dispersion associated with participants' longer-run projections of output growth also changed little from June. Regarding unemployment, the distributions of participants' projections of this variable for 2010 through 2012 generally shifted up somewhat, and the distribution of their forecasts for 2012 widened noticeably, relative to June. The distribution of their estimates of the longer-run rate of unemployment showed modest changes since June, and, as noted previously, the central tendency of these projections widened.

Figures 2.C and 2.D provide corresponding information about the diversity of participants' outlooks for inflation. The distributions of participants' projections for overall and core PCE inflation in 2010 narrowed somewhat and moved a bit higher compared with the patterns these projections displayed in June. Most of the distributions of the participants' inflation projections for 2011 and 2012 also became somewhat more concentrated relative to June. Participants' forecasts of overall inflation over the longer run remained in a relatively narrow band. In general, participants' projections of inflation over the next few years exhibit dispersion because of differences in their judgments regarding the determinants of inflation, including their estimates of the degree of resource slack and their assessments of the extent to which such slack influences inflation outcomes and expectations. By contrast, the relatively concentrated distribution of participants' longer-run inflation projections shows the substantial similarity in the participants' assessments of the approximate level of inflation that is most consistent with the Federal Reserve's dual objectives of maximum employment and stable prices.

Figure 2.A. Distribution of participants' projections for the change in real GDP, 2010-13 and over the longer run*

Figure 2.A. Distribution of participants' projections for the change in real GDP, 2010-13 and over the longer run

NOTE: Definitions of variables are in the general note to table 1.

*Accessible version of figure 2.A. | Return to figure 2.A.

Figure 2.B. Distribution of participants' projections for the unemployment rate, 2010-13 and over the longer run*

Figure 2.B. Distribution of participants' projections for the unemployment rate, 2010-13 and over the longer run

NOTE: Definitions of variables are in the general note to table 1.

*Accessible version of figure 2.B. | Return to figure 2.B.

Figure 2.C. Distribution of participants' projections for PCE inflation, 2010-13 and over the longer run*

Figure 2.C. Distribution of participants' projections for the unemployment rate, 2010-13 and over the longer run

NOTE: Definitions of variables are in the general note to table 1.

*Accessible version of figure 2.C. | Return to figure 2.C.

Figure 2.D. Distribution of participants' projections for core PCE inflation, 2010-13*

Figure 2.D. Distribution of participants' projections for core PCE inflation, 2010-13

NOTE: Definitions of variables are in the general note to table 1.

*Accessible version of figure 2.D. | Return to figure 2.D.

Forecast Uncertainty

The economic projections provided by the members of the Board of Governors and the presidents of the Federal Reserve Banks inform discussions of monetary policy among policymakers and can aid public understanding of the basis for policy actions. Considerable uncertainty attends these projections, however. The economic and statistical models and relationships used to help produce economic forecasts are necessarily imperfect descriptions of the real world. And the future path of the economy can be affected by myriad unforeseen developments and events. Thus, in setting the stance of monetary policy, participants consider not only what appears to be the most likely economic outcome as embodied in their projections, but also the range of alternative possibilities, the likelihood of their occurring, and the potential costs to the economy should they occur.

Table 2 summarizes the average historical accuracy of a range of forecasts, including those reported in past Monetary Policy Reports and those prepared by Federal Reserve Board staff in advance of meetings of the Federal Open Market Committee. The projection error ranges shown in the table illustrate the considerable uncertainty associated with economic forecasts. For example, suppose a participant projects that real gross domestic product (GDP) and total consumer prices will rise steadily at annual rates of, respectively, 3 percent and 2 percent. If the uncertainty attending those projections is similar to that experienced in the past and the risks around the projections are broadly balanced, the numbers reported in table 2 would imply a probability of about 70 percent that actual GDP would expand within a range of 2.4 to 3.6 percent in the current year, 1.6 to 4.4 percent in the second year, and 1.2 to 4.8 percent in the third and fourth years. The corresponding 70 percent confidence intervals for overall inflation would be 1.5 to 2.5 percent in the current year, 1.0 to 3.0 percent in the second year, and 0.9 to 3.1 percent in the third and fourth years.

Because current conditions may differ from those that prevailed, on average, over history, participants provide judgments as to whether the uncertainty attached to their projections of each variable is greater than, smaller than, or broadly similar to typical levels of forecast uncertainty in the past as shown in table 2. Participants also provide judgments as to whether the risks to their projections are weighted to the upside, are weighted to the downside, or are broadly balanced. That is, participants judge whether each variable is more likely to be above or below their projections of the most likely outcome. These judgments about the uncertainty and the risks attending each participant’s projections are distinct from the diversity of participants’ views about the most likely outcomes. Forecast uncertainty is concerned with the risks associated with a particular projection rather than with divergences across a number of different projections.

1.Table 2 provides estimates of forecast uncertainty for the change in real GDP, the unemployment rate, and total consumer price inflation over the period from 1989 to 2009. At the end of this summary, the box "Forecast Uncertainty" discusses the sources and interpretation of uncertainty in economic forecasts and explains the approach used to assess the uncertainty and risks attending participants' projections. Return to text

Return to topReturn to top

Last update: November 23, 2010