Senior Credit Officer Opinion Survey on Dealer Financing Terms
December 2012
Summary
In this Section:
The December Senior Credit Officer Opinion Survey on Dealer Financing Terms collected qualitative information on changes over the previous three months in credit terms and conditions in securities financing and over-the-counter (OTC) derivatives markets. In addition to the core set of questions, this survey included two sets of special questions. The first one asked about transaction volumes and interest in collateral transformation trades, which entail the lending of securities collateralized with other securities. The second concerned prospects for changes in cash management strategies upon the expiration at the end of this year of the provision in the Dodd-Frank Wall Street Reform and Consumer Protection Act that extended unlimited deposit insurance on noninterest-bearing transaction accounts. The 22 institutions participating in the survey account for almost all of the dealer financing of dollar-denominated securities to nondealers and are the most active intermediaries in OTC derivatives markets. The survey was conducted during the period from November 13, 2012, to November 26, 2012. The core questions ask about changes between September 2012 and November 2012.1
Responses to the December survey generally suggested little change in the credit terms applicable to important classes of counterparties covered by the survey over the past three months. The use of financial leverage by important classes of counterparties was reported to have remained basically unchanged as well. As in previous surveys, respondents indicated that most nonprice terms incorporated in new or renegotiated OTC derivatives master agreements were broadly unchanged, on balance, during the past three months. Dealers also reported that initial margin requirements, which fall outside the scope of the master agreements, were generally little changed. However, the results of the survey offered several insights regarding recent developments and current areas of focus in dealer-intermediated markets:
- Continuing a trend observed in previous surveys, a large net fraction of respondents reported an increase in the amount of resources and attention devoted to management of concentrated exposures to central counterparties and other financial market utilities; a smaller net share pointed to an increase in the amount of resources and attention devoted to management of exposures to dealers and other financial intermediaries.
- While the terms applicable to the funding of the various types of securities covered in the survey were reported to have generally changed little over the past three months, an uptick in demand for financing was evident. Almost one-third of dealers reported increased demand for funding of agency residential mortgage-backed securities (RMBS). In addition, modest net fractions of respondents indicated increased demand for term funding (that is, funding with a maturity of 30days or more) of agency and non-agency RMBS, commercial mortgage-backed securities (CMBS), and consumer asset-backed securities (ABS).
- Nearly one-third of respondents noted that the liquidity and functioning of the underlying markets for non-agency RMBS and CMBS had improved somewhat during the previous three months.
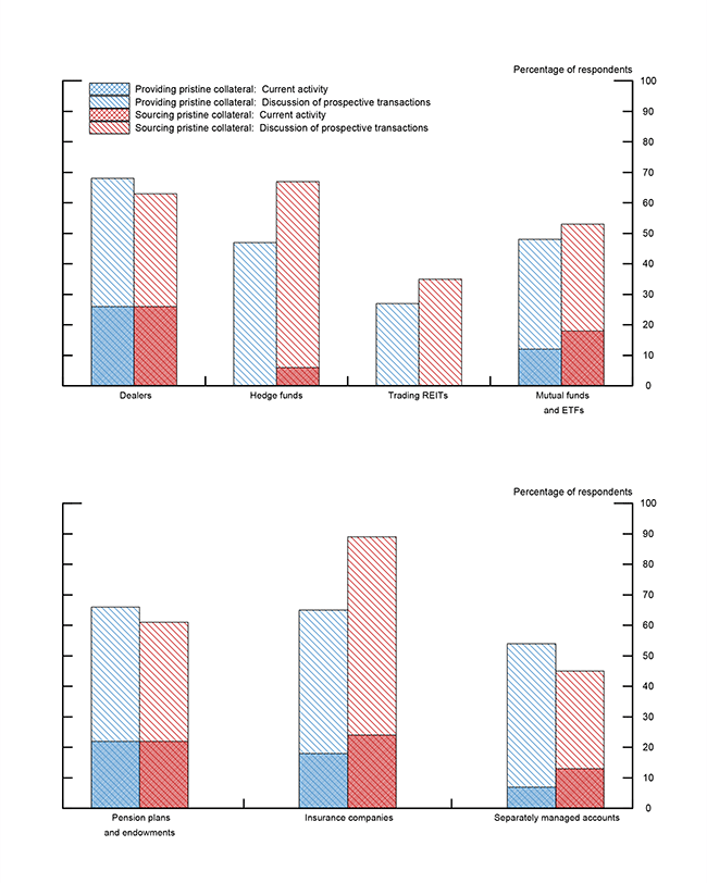
- In response to a set of special questions on collateral transformation trades, small to moderate fractions of dealers reported some current activity with most of the client types covered in the survey. However, for all client types, a greater share of dealers indicated having frequent or at least some discussion with clients regarding prospective transactions involving collateral transformation. Respondents reported that the volume of collateral transformation trades had remained basically unchanged since the start of the year.
- In response to the second set of special questions on potential changes in cash management strategies upon the expiration at the end of 2012 of the Federal Deposit Insurance Corporation's (FDIC) unlimited guarantee on noninterest-bearing transaction accounts, four-fifths of respondents indicated that their own institutions are unlikely to reduce the volume of deposits held at commercial banks. However, dealers expected their clients to be more responsive to the expiration of the unlimited guarantee. Large fractions of dealers noted that they expected moderate or limited reduction in their clients' holdings of commercial bank deposits, while a few dealers expected a reallocation of balances across banking institutions. The clients who respondents anticipated would reduce deposits held at commercial banks were expected to increase their use of repurchase agreements, money market funds, and Treasury bills and other government securities.
Counterparty Types
(Questions 1-40)
Dealers and other financial intermediaries. In the December survey, about one-fourth of respondents indicated that they had increased the amount of resources and attention devoted to management of concentrated exposures to dealers and other financial intermediaries over the past three months. (See the exhibit "Management of Concentrated Credit Exposures and Indicators of Supply of Credit.") The fraction of dealers reporting an increase in the amount of resources and attention devoted to management of concentrated exposures to dealers and other financial intermediaries has declined gradually since the June survey.
Central counterparties and other financial utilities. About two-thirds of dealers indicated that they had increased the amount of resources and attention devoted to management of concentrated credit exposure to central counterparties and other financial utilities over the past three months, roughly the same share as in previous surveys. About one-fourth of all of the respondents indicated that changes in the practices of central counterparties, including changes in margin requirements and haircuts, had influenced to some extent the credit terms the dealer applied to clients on bilateral transactions that are not cleared.
Hedge funds. As in the September survey, respondents to the December survey indicated that both price terms (such as financing rates) and nonprice terms (including haircuts, maximum maturity, covenants, cure periods, cross-default provisions, or other documentation features) offered to hedge funds for securities financing and OTC derivatives transactions had remained basically unchanged over the past three months. Almost one-fifth of dealers noted that there had been an increase in the intensity of efforts by hedge funds to negotiate more-favorable price and nonprice terms over the same period, a slight decline relative to previous surveys. Respondents indicated that the current use of leverage had changed little, on net, over the past three months. (See the exhibit "Use of Financial Leverage.") Respondents also indicated that the availability of additional leverage under agreements currently in place had remained basically unchanged, although a few dealers pointed to an increase.
Trading real estate investment trusts. Most respondents to the December survey reported that price and nonprice terms offered to trading real estate investment trusts (REITs) had remained broadly unchanged over the past three months.2 A few dealers indicated that price terms had tightened somewhat, for which diminished availability of dealer balance sheet or capital was the most cited reason. More than four fifths of respondents reported that the use of financial leverage by trading REITs had remained broadly unchanged, while the remainder reported that the use of leverage had increased somewhat. Respondents indicated that both the intensity of efforts by trading REITs to negotiate more-favorable price and nonprice terms and the provision of differential terms to most-favored clients were broadly unchanged.
Mutual funds, exchange-traded funds, pension plans, and endowments. Respondents to the December survey indicated that both price and nonprice terms offered to mutual funds, exchange-traded funds (ETFs), pension plans, and endowments had remained essentially unchanged over the past three months. Provision of differential terms to most-favored clients and the intensity of effort by clients to negotiate more-favorable terms were also reported to be little changed, as was the use of financial leverage.
Insurance companies. As in the previous survey, respondents to the December survey indicated that both price and nonprice terms offered to insurance companies had changed little over the past three months, as had the provision of differential terms to most-favored clients. The use of financial leverage by insurance companies also remained unchanged. A few respondents reported an increase in the intensity of efforts by insurance companies to negotiate more-favorable price and nonprice terms.
Separately managed accounts established with investment advisers. As in the previous survey, nearly all of the dealers reported in the December survey that price and nonprice terms negotiated by investment advisers on behalf of separately managed accounts were basically unchanged over the past three months. Provision of differential terms to most-favored clients and the intensity of effort by clients to negotiate more-favorable terms were also reported to be little changed. Finally, the use of financial leverage by investment advisers remained basically unchanged.
Nonfinancial corporations. Respondents to the December survey indicated that both price and nonprice terms offered to nonfinancial corporations had remained essentially unchanged over the past three months. A few respondents reported an increase in the intensity of efforts by nonfinancial corporations to negotiate more-favorable price and nonprice terms.
Mark and collateral disputes. As in previous surveys, a large majority of respondents in December indicated that the volume, persistence, and duration of mark and collateral disputes with each counterparty type included in the survey were little changed over the past three months. A few respondents reported that the volume of disputes with dealers and other financial intermediaries had decreased somewhat over the same period.
Over-the-Counter Derivatives
(Questions 41-51)
As in previous surveys, nonprice terms incorporated in new or renegotiated OTC derivatives master agreements were reported to be broadly unchanged, on net, over the past three months.3 A few dealers indicated that requirements, timelines, and thresholds for posting additional margin had tightened somewhat. For all of the contract types included in the survey, nearly all of the dealers indicated that initial margins (which fall outside the scope of master agreements) were little changed over the past three months. Posting of nonstandard collateral (that is, collateral other than cash and U.S. Treasury securities) also remained basically unchanged on balance. For most contract types included in the survey, respondents indicated that the volume, duration, and persistence of mark and collateral disputes remained basically unchanged, on net, over the past three months. However, one-fifth of respondents reported that the volume of mark and collateral disputes had decreased for contracts referencing interest rates.
Securities Financing
(Questions 52-79)4
As in previous surveys, dealers reported that the credit terms under which most types of securities included in the survey are financed were little changed, on balance, over the past three months. The only exception was equities, for which a few survey respondents indicated that they had increased the maximum amount of funding for their clients.
For all securities types, the majority of dealers reported that demand for funding was broadly unchanged over the past three months. (See the exhibit "Measures of Demand for Funding and Market Functioning.") However, moderate net fractions of respondents noted an increase in demand for funding of securitized products. In particular, almost one-third of dealers reported increased demand for funding of agency RMBS. In addition, fractions of respondents ranging between one-fifth and one-fourth pointed to increased demand for term funding (not shown separately)--that is, funding with a maturity of 30 days or more--for agency RMBS, non agency RMBS, CMBS, and consumer ABS.
Nearly one-third of respondents indicated that the liquidity and functioning of the underlying markets for non-agency RMBS and CMBS had improved somewhat during the previous three months.5 For other collateral types covered in the survey, liquidity and functioning of the underlying markets were generally characterized as little changed on net. All of the respondents indicated that the volume, duration, and persistence of market and collateral disputes were basically unchanged for all of the collateral types. These results are similar to those in the September survey.
Special Questions on the Types of Assets Posted as Collateral against Over-the-Counter Derivatives Transactions
(Questions 81-84)
Market commentary suggests that investors are increasingly interested in collateral transformation trades, which entail the lending of securities collateralized with other securities. Such transactions may be used by certain market participants to obtain higher-quality collateral--for example, to post pursuant to OTC derivatives transactions with dealers and central counterparties. For their part, lenders of the high-quality collateral may seek returns associated with effectively providing financing for higher-risk securities. A set of special questions queried dealers about the change in the volume of such transactions relative to the beginning of 2012 as well as the current level of interest in collateral transformation across various client types.
Relative to the beginning of 2012, dealers indicated that the volume of collateral transformation transactions through which clients source and provide pristine collateral had remained basically unchanged on net.
With regard to the level of interest in trades that allow clients to source pristine collateral, roughly one-fourth of survey respondents reported some current activity on the part of dealers and other financial intermediaries, mutual funds and ETFs, pension plans and endowments, and insurance companies. (See the exhibit "Collateral Transformation Transactions.") Despite the lack of significant current activity, between about one-third and two-thirds of respondents reported frequent or at least some discussion of prospective transactions with all client types covered in the survey.
With regard to the level of interest in collateral transformation transactions that allow clients to provide pristine collateral, roughly one-fifth of survey respondents reported some current activity on the part of dealers and other financial intermediaries, pension plans and endowments, and insurance companies. Between about one-fourth and one-half of respondents pointed to frequent or at least some discussion of prospective transactions with all client types covered in the survey.
Overall, the clients reported to be most likely to be either currently active in collateral transformation transactions or engaged in discussions on prospective transactions are dealers and other financial intermediaries, hedge funds, insurance companies, and pension funds and endowments. Of note, hedge funds and insurance companies are seen as more likely to be engaged in discussions about sourcing pristine collateral. For other client types, reported levels of interest appear more balanced between sourcing and providing pristine collateral.
Special Question on Expiration of the Federal Deposit Insurance Corporation's Unlimited Guarantee on Transaction Accounts
(Questions 85-88)
The FDIC's unlimited guarantee on noninterest-bearing transaction accounts is scheduled to expire at the end of 2012.6 Its expiration raises the prospect that some market participants will adjust their cash management strategies. A second set of special questions asked about the likely changes in strategies by the respondent's institution as well as the likely response of the respondent's clients. In particular, respondents were queried about the likelihood of reductions in the amount of deposits held at commercial banking institutions and, conditional on such reductions, about the likelihood of increased use of alternative cash management strategies.
Four-fifths of respondents indicated that their own institutions are unlikely to reduce the amount of deposits held at commercial banks. The remainder reported that only moderate or limited reductions, or targeted reductions at specific institutions, are likely. Among the institutions foreseeing reductions, the alternative cash management strategies cited the most were reallocation of deposits to different commercial banks and repurchase agreements.
By contrast, dealers expected many of their clients to respond at least somewhat to the expiration of the unlimited guarantee. About three-fourths of dealers anticipated reductions in deposits held at commercial banks by traditionally unlevered investors, such as insurance companies; mutual funds, ETFs, pension plans and endowments; and asset managers. The remainder of respondents anticipated no reductions or targeted reductions at some specific institutions. Nearly two-thirds of respondents anticipated reductions of deposits held at commercial banks by nonfinancial corporations, with a couple of dealers suggesting significant reductions were likely. With regard to levered investors, nearly one-half of dealers indicated that they anticipated moderate or limited reductions of deposits held at commercial banks on the part of hedge funds, and more than two-thirds of respondents expected similar reductions by trading REITs. The remainder of respondents expected no response on the part of these clients. With regard to the alternative cash management strategies listed in the survey, the clients expected to reduce deposits held at commercial banks were seen as responding by reallocating deposits to other commercial banks or by increasing their use of repurchase agreements, money market funds, Treasury bills, and longer-dated Treasury securities or agency securities. Among the alternatives listed in the survey question, only direct investment in commercial paper was expected to garner little interest.
This document was prepared by Michael Gordy, Division of Research and Statistics, Board of Governors of the Federal Reserve System. Assistance in developing and administering the survey was provided by staff members in the Statistics Function and the Markets Group at the Federal Reserve Bank of New York.
Exhibit 1: Management of Concentrated Credit Exposures and Indicators of Supply of Credit
Exhibit 2: Use of Financial Leverage
Exhibit 3: Measures of Demand of Funding and Market Functioning
Exhibit 4: Collateral Transformation Transactions
Results of the December 2012 Senior Credit Officer Opinion Survey on Dealer Financing Terms
The following results include the original instructions provided to the survey respondents. Please note that percentages are based on the number of financial institutions that gave responses other than "Not applicable." Components may not add to totals due to rounding.
Counterparty Types
In this Section:
- Dealers and Other Financial Intermediaries
- Central Counterparties and Other Financial Utilities
- Hedge Funds
- Trading Real Estate Investment Trusts
- Mutual Funds, Exchange-Traded Funds, Pension Plans, and Endowments
- Insurance Companies
- Separately Managed Accounts Established with Investment Advisers
- Nonfinancial Corporations
- Mark and Collateral Disputes
Questions 1 through 40 ask about credit terms applicable to, and mark and collateral disputes with, different counterparty types, considering the entire range of securities financing and over-the-counter (OTC) derivatives transactions. Question 1 focuses on dealers and other financial intermediaries as counterparties; questions 2 and 3 on central counterparties and other financial utilities; questions 4 through 10 focus on hedge funds; questions 11 through 16 on trading real estate investment trusts (REITs); questions 17 through 22 on mutual funds, exchange-traded funds (ETFs), pension plans, and endowments; questions 23 through 28 on insurance companies; questions 29 through 34 on separately managed accounts established with investment advisers; and questions 35 through 38 on nonfinancial corporations. Questions 39 and 40 ask about mark and collateral disputes for each of the aforementioned counterparty types.
In some questions, the survey differentiates between the compensation demanded for bearing credit risk (price terms) and the contractual provisions used to mitigate exposures (nonprice terms). If your institution's terms have tightened or eased over the past three months, please so report them regardless of how they stand relative to longer‑term norms. Please focus your response on dollar-denominated instruments; if material differences exist with respect to instruments denominated in other currencies, please explain in the appropriate comment space. Where material differences exist across different business areas--for example, between traditional prime brokerage and OTC derivatives--please answer with regard to the business area generating the most exposure and explain in the appropriate comment space.- Over the past three months, how has the amount of resources and attention your firm devotes to management of concentrated credit exposure to dealers and other financial intermediaries (such as large banking institutions) changed?
Number of Respondents Percent Increased considerably 0 0.0 Increased somewhat 5 22.7 Remained basically unchanged 17 77.3 Decreased somewhat 0 0.0 Decreased considerably 0 0.0 Total 22 100.0 - Over the past three months, how has the amount of resources and attention your firm devotes to management of concentrated credit exposure to central counterparties and other financial utilities changed?
Number of Respondents Percent Increased considerably 3 13.6 Increased somewhat 11 50.0 Remained basically unchanged 8 36.4 Decreased somewhat 0 0.0 Decreased considerably 0 0.0 Total 22 100.0
- To what extent have changes in the practices of central counterparties, including margin requirements and haircuts, influenced the credit terms your institution applies to clients on bilateral transactions which are not cleared?
Number of Respondents Percent To a considerable extent 0 0.0 To some extent 5 22.7 To a minimal extent 8 36.4 Not at all 9 40.9 Total 22 100.0 - Over the past three months, how have the price terms (for example, financing rates) offered to hedge funds as reflected across the entire spectrum of securities financing and OTC derivatives transaction types changed, regardless of nonprice terms? (Please indicate tightening if terms have become more stringent--for example, if financing rates have risen.)
Number of Respondents Percent Tightened considerably 0 0.0 Tightened somewhat 1 4.5 Remained basically unchanged 21 95.5 Eased somewhat 0 0.0 Eased considerably 0 0.0 Total 22 100.0
- Over the past three months, how has your use of nonprice terms (for example, haircuts, maximum maturity, covenants, cure periods, cross-default provisions, or other documentation features) with respect to hedge funds across the entire spectrum of securities financing and OTC derivatives transaction types changed, regardless of price terms? (Please indicate tightening if terms have become more stringent--for example, if haircuts have been increased.)
Number of Respondents Percent Tightened considerably 0 0.0 Tightened somewhat 0 0.0 Remained basically unchanged 22 100.0 Eased somewhat 0 0.0 Eased considerably 0 0.0 Total 22 100.0
- To the extent that the price or nonprice terms applied to hedge funds have tightened or eased over the past three months (as reflected in your responses to questions 4 and 5), what are the most important reasons for the change?
- Possible reasons for tightening
- Deterioration in current or expected financial strength of counterparties
Number of Respondents Percent First in importance 0 0.0 Second in importance 0 0.0 Third in importance 1 100.0 Total 1 100.0
- Reduced willingness of your institution to take on risk
Number of Respondents Percent First in importance 1 100.0 Second in importance 0 0.0 Third in importance 0 0.0 Total 1 100.0
- Adoption of more-stringent market conventions (that is, collateral terms and agreements, ISDA protocols)
- Higher internal treasury charges for funding
Number of Respondents Percent First in importance 0 0.0 Second in importance 0 0.0 Third in importance 0 0.0 Total 0 0.0
- Diminished availability of balance sheet or capital at your institution
Number of Respondents Percent First in importance 0 0.0 Second in importance 0 0.0 Third in importance 0 0.0 Total 0 0.0 - Worsening in general market liquidity and functioning
Number of Respondents Percent First in importance 0 0.0 Second in importance 0 0.0 Third in importance 0 0.0 Total 0 0.0
- Less-aggressive competition from other institutions
Number of Respondents Percent First in importance 0 0.0 Second in importance 0 0.0 Third in importance 0 0.0 Total 0 0.0
Number of Respondents Percent First in importance 0 0.0 Second in importance 1 100.0 Third in importance 0 0.0 Total 1 100.0
- Deterioration in current or expected financial strength of counterparties
- Possible reasons for easing
- Improvement in current or expected financial strength of counterparties
Number of Respondents Percent First in importance 0 0.0 Second in importance 0 0.0 Third in importance 0 0.0 Total 0 0.0
- Increased willingness of your institution to take on risk
Number of Respondents Percent First in importance 0 0.0 Second in importance 0 0.0 Third in importance 0 0.0 Total 0 0.0
- Adoption of less-stringent market conventions (that is, collateral terms and agreements, ISDA protocols)
Number of Respondents Percent First in importance 0 0.0 Second in importance 0 0.0 Third in importance 0 0.0 Total 0 0.0
- Lower internal treasury charges for funding
Number of Respondents Percent First in importance 0 0.0 Second in importance 0 0.0 Third in importance 0 0.0 Total 0 0.0
- Increased availability of balance sheet or capital at your institution
Number of Respondents Percent First in importance 0 0.0 Second in importance 0 0.0 Third in importance 0 0.0 Total 0 0.0
- Improvement in general market liquidity and functioning
Number of Respondents Percent First in importance 0 0.0 Second in importance 0 0.0 Third in importance 0 0.0 Total 0 0.0
- More-aggressive competition from other institutions
Number of Respondents Percent First in importance 0 0.0 Second in importance 0 0.0 Third in importance 0 0.0 Total 0 0.0
- Improvement in current or expected financial strength of counterparties
- Possible reasons for tightening
- How has the intensity of efforts by hedge funds to negotiate more-favorable price and nonprice terms changed over the past three months?
Number of Respondents Percent Increased considerably 0 0.0 Increased somewhat 4 18.2 Remained basically unchanged 18 81.8 Decreased somewhat 0 0.0 Decreased considerably 0 0.0 Total 22 100.0
- Considering the entire range of transactions facilitated by your institution for such clients, how has the use of financial leverage by hedge funds changed over the past three months?
Number of Respondents Percent Increased considerably 0 0.0 Increased somewhat 3 13.6 Remained basically unchanged 18 81.8 Decreased somewhat 1 4.5 Decreased considerably 0 0.0 Total 22 100.0
- Considering the entire range of transactions facilitated by your institution for such clients, how has the availability of additional (and currently unutilized) financial leverage under agreements currently in place with hedge funds (for example, under prime broker, warehouse agreements, and other committed but undrawn or partly drawn facilities) changed over the past three months?
Number of Respondents Percent Increased considerably 0 0.0 Increased somewhat 3 13.6 Remained basically unchanged 19 86.4 Decreased somewhat 0 0.0 Decreased considerably 0 0.0 Total 22 100.0 - How has the provision of differential terms by your institution to most-favored (as a function of breadth, duration, and extent of relationship) hedge funds changed over the past three months?
Number of Respondents Percent Increased considerably 0 0.0 Increased somewhat 2 9.1 Remained basically unchanged 20 90.9 Decreased somewhat 0 0.0 Decreased considerably 0 0.0 Total 22 100.0
- Over the past three months, how have the price terms (for example, financing rates) offered to trading REITs as reflected across the entire spectrum of securities financing and OTC derivatives transaction types changed, regardless of nonprice terms? (Please indicate tightening if terms have become more stringent--for example, if financing rates have risen.)
Number of Respondents Percent Tightened considerably 0 0.0 Tightened somewhat 3 17.6 Remained basically unchanged 14 82.4 Eased somewhat 0 0.0 Eased considerably 0 0.0 Total 17 100.0
- Over the past three months, how has your use of nonprice terms (for example, haircuts, maximum maturity, covenants, cure periods, cross-default provisions or other documentation features) with respect to trading REITs across the entire spectrum of securities financing and OTC derivatives transaction types changed, regardless of price terms? (Please indicate tightening if terms have become more stringent--for example, if haircuts have been increased.)
Number of Respondents Percent Tightened considerably 0 0.0 Tightened somewhat 1 5.6 Remained basically unchanged 15 83.3 Eased somewhat 2 11.1 Eased considerably 0 0.0 Total 18 100.0
- To the extent that the price or nonprice terms applied to trading REITs have tightened or eased over the past three months (as reflected in your responses to questions 11 and 12), what are the most important reasons for the change?
- Possible reasons for tightening
- Deterioration in current or expected financial strength of counterparties
Number of Respondents Percent First in importance 0 0.0 Second in importance 0 0.0 Third in importance 0 0.0 Total 0 0.0
- Reduced willingness of your institution to take on risk
Number of Respondents Percent First in importance 0 0.0 Second in importance 0 0.0 Third in importance 1 100.0 Total 1 100.0
- Adoption of more-stringent market conventions (that is, collateral terms and agreements, ISDA protocols)
Number of Respondents Percent First in importance 0 0.0 Second in importance 0 0.0 Third in importance 0 0.0 Total 0 0.0
- Higher internal treasury charges for funding
Number of Respondents Percent First in importance 1 100.0 Second in importance 0 0.0 Third in importance 0 0.0 Total 1 100.0
- Diminished availability of balance sheet or capital at your institution
Number of Respondents Percent First in importance 2 50.0 Second in importance 2 50.0 Third in importance 0 0.0 Total 4 100.0
- Worsening in general market liquidity and functioning
Number of Respondents Percent First in importance 0 0.0 Second in importance 0 0.0 Third in importance 0 0.0 Total 0 0.0 - Less-aggressive competition from other institutions
Number of Respondents Percent First in importance 1 100.0 Second in importance 0 0.0 Third in importance 0 0.0 Total 1 100.0
- Deterioration in current or expected financial strength of counterparties
- Possible reasons for easing
- Improvement in current or expected financial strength of counterparties
Number of Respondents Percent First in importance 0 0.0 Second in importance 1 100.0 Third in importance 0 0.0 Total 1 100.0
- Increased willingness of your institution to take on risk
Number of Respondents Percent First in importance 0 0.0 Second in importance 0 0.0 Third in importance 0 0.0 Total 0 0.0
- Adoption of less-stringent market conventions (that is, collateral terms and agreements, ISDA protocols)
Number of Respondents Percent First in importance 0 0.0 Second in importance 0 0.0 Third in importance 1 100.0 Total 1 100.0
- Lower internal treasury charges for funding
Number of Respondents Percent First in importance 0 0.0 Second in importance 0 0.0 Third in importance 0 0.0 Total 0 0.0
- Increased availability of balance sheet or capital at your institution
Number of Respondents Percent First in importance 0 0.0 Second in importance 0 0.0 Third in importance 0 0.0 Total 0 0.0
- Improvement in general market liquidity and functioning
Number of Respondents Percent First in importance 0 0.0 Second in importance 0 0.0 Third in importance 0 0.0 Total 0 0.0
- More-aggressive competition from other institutions
Number of Respondents Percent First in importance 1 100.0 Second in importance 0 0.0 Third in importance 0 0.0 Total 1 100.0
- Improvement in current or expected financial strength of counterparties
- Possible reasons for tightening
- How has the intensity of efforts by trading REITs to negotiate more-favorable price and nonprice terms changed over the past three months?
Number of Respondents Percent Increased considerably 0 0.0 Increased somewhat 2 11.1 Remained basically unchanged 16 88.9 Decreased somewhat 0 0.0 Decreased considerably 0 0.0 Total 18 100.0
- Considering the entire range of transactions facilitated by your institution for such clients, how has the use of financial leverage by trading REITs changed over the past three months?
Number of Respondents Percent Increased considerably 0 0.0 Increased somewhat 3 16.7 Remained basically unchanged 15 83.3 Decreased somewhat 0 0.0 Decreased considerably 0 0.0 Total 18 100.0
- How has the provision of differential terms by your institution to most-favored (as a function of breadth, duration, and extent of relationship) trading REITs changed over the past three months?
Number of Respondents Percent Increased considerably 0 0.0 Increased somewhat 2 11.1 Remained basically unchanged 16 88.9 Decreased somewhat 0 0.0 Decreased considerably 0 0.0 Total 18 100.0 - Over the past three months, how have the price terms (for example, financing rates) offered to mutual funds, ETFs, pension plans, and endowments as reflected across the entire spectrum of securities financing and OTC derivatives transaction types changed, regardless of nonprice terms? (Please indicate tightening if terms have become more stringent--for example, if financing rates have risen.)
Number of Respondents Percent Tightened considerably 0 0.0 Tightened somewhat 2 9.1 Remained basically unchanged 19 86.4 Eased somewhat 1 4.5 Eased considerably 0 0.0 Total 22 100.0
- Over the past three months, how has your use of nonprice terms (for example, haircuts, maximum maturity, covenants, cure periods, cross-default provisions or other documentation features) with respect to mutual funds, ETFs, pension plans, and endowments across the entire spectrum of securities financing and OTC derivatives transaction types changed, regardless of price terms? (Please indicate tightening if terms have become more stringent--for example, if haircuts have been increased.)
Number of Respondents Percent Tightened considerably 0 0.0 Tightened somewhat 1 4.5 Remained basically unchanged 21 95.5 Eased somewhat 0 0 Eased considerably 0 0.0 Total 22 100.0
- To the extent that the price or nonprice terms applied to mutual funds, ETFs, pension plans, and endowments have tightened or eased over the past three months (as reflected in your responses to questions 16 and 17), what are the most important reasons for the change?
- Possible reasons for tightening
- Deterioration in current or expected financial strength of counterparties
Number of Respondents Percent First in importance 0 0.0 Second in importance 0 0.0 Third in importance 1 100.0 Total 1 100.0
- Reduced willingness of your institution to take on risk
Number of Respondents Percent First in importance 1 100.0 Second in importance 0 0.0 Third in importance 0 0.0 Total 1 100.0
- Adoption of more-stringent market conventions (that is, collateral terms and agreements, ISDA protocols)
Number of Respondents Percent First in importance 0 0.0 Second in importance 0 0.0 Third in importance 0 0.0 Total 0 0.0
- Higher internal treasury charges for funding
Number of Respondents Percent First in importance 1 50.0 Second in importance 1 50.0 Third in importance 0 0.0 Total 2 100.0
- Diminished availability of balance sheet or capital at your institution
Number of Respondents Percent First in importance 0 0.0 Second in importance 0 0.0 Third in importance 0 0.0 Total 0 0.0
- Worsening in general market liquidity and functioning
Number of Respondents Percent First in importance 0 0.0 Second in importance 0 0.0 Third in importance 0 0.0 Total 0 0.0
- Less-aggressive competition from other institutions
Number of Respondents Percent First in importance 0 0.0 Second in importance 1 50.0 Third in importance 1 50.0 Total 2 100.0
- Deterioration in current or expected financial strength of counterparties
- Possible reasons for easing
- Improvement in current or expected financial strength of counterparties
Number of Respondents Percent First in importance 0 0.0 Second in importance 0 0.0 Third in importance 0 0.0 Total 0 0.0
- Increased willingness of your institution to take on risk
Number of Respondents Percent First in importance 0 0.0 Second in importance 0 0.0 Third in importance 0 0.0 Total 0 0.0
- Adoption of less-stringent market conventions (that is, collateral terms and agreements, ISDA protocols)
Number of Respondents Percent First in importance 0 0.0 Second in importance 0 0.0 Third in importance 0 0.0 Total 0 0.0
- Lower internal treasury charges for funding
Number of Respondents Percent First in importance 0 0.0 Second in importance 0 0.0 Third in importance 0 0.0 Total 0 0.0
- Increased availability of balance sheet or capital at your institution
Number of Respondents Percent First in importance 0 0.0 Second in importance 0 0.0 Third in importance 0 0.0 Total 0 0.0
- Improvement in general market liquidity and functioning
Number of Respondents Percent First in importance 1 100.0 Second in importance 0 0.0 Third in importance 0 0.0 Total 1 100.0
- More-aggressive competition from other institutions
Number of Respondents Percent First in importance 0 0.0 Second in importance 0 0.0 Third in importance 0 0.0 Total 0 0.0
- Improvement in current or expected financial strength of counterparties
- Possible reasons for tightening
- How has the intensity of efforts by mutual funds, ETFs, pension plans, and endowments to negotiate more-favorable price and nonprice terms changed over the past three months?
Number of Respondents Percent Increased considerably 0 0.0 Increased somewhat 2 9.1 Remained basically unchanged 20 90.9 Decreased somewhat 0 0.0 Decreased considerably 0 0.0 Total 22 100.0
- Considering the entire range of transactions facilitated by your institution, how has the use of financial leverage by each of the following types of clients changed over the past three months?
- Mutual funds
Number of Respondents Percent Increased considerably 0 0.0 Increased somewhat 1 4.8 Remained basically unchanged 20 95.2 Decreased somewhat 0 0.0 Decreased considerably 0 0.0 Total 21 100.0
- ETFs
Number of Respondents Percent Increased considerably 0 0.0 Increased somewhat 0 0.0 Remained basically unchanged 21 100.0 Decreased somewhat 0 0.0 Decreased considerably 0 0.0 Total 21 100.0
- Pension plans
Number of Respondents Percent Increased considerably 0 0.0 Increased somewhat 1 4.8 Remained basically unchanged 20 95.2 Decreased somewhat 0 0.0 Decreased considerably 0 0.0 Total 21 100.0
- Endowments
Number of Respondents Percent Increased considerably 0 0.0 Increased somewhat 0 0.0 Remained basically unchanged 21 100.0 Decreased somewhat 0 0.0 Decreased considerably 0 0.0 Total 21 100.0
- Mutual funds
- How has the provision of differential terms by your institution to most-favored (as a function of breadth, duration, and extent of relationship) mutual funds, ETFs, pension plans, and endowments changed over the past three months?
Number of Respondents Percent Increased considerably 0 0.0 Increased somewhat 2 9.5 Remained basically unchanged 19 90.5 Decreased somewhat 0 0.0 Decreased considerably 0 0.0 Total 21 100.0 - Over the past three months, how have the price terms (for example, financing rates) offered to insurance companies as reflected across the entire spectrum of securities financing and OTC derivatives transaction types changed, regardless of nonprice terms? (Please indicate tightening if terms have become more stringent--for example, if financing rates have risen.)
Number of Respondents Percent Tightened considerably 0 0.0 Tightened somewhat 1 4.8 Remained basically unchanged 20 95.2 Eased somewhat 0 0.0 Eased considerably 0 0.0 Total 21 100.0
- Over the past three months, how has your use of nonprice terms (for example, haircuts, maximum maturity, covenants, cure periods, cross-default provisions or other documentation features) with respect to insurance companies across the entire spectrum of securities financing and OTC derivatives transaction types changed, regardless of price terms? (Please indicate tightening if terms have become more stringent--for example, if haircuts have been increased.)
Number of Respondents Percent Tightened considerably 0 0.0 Tightened somewhat 0 0.0 Remained basically unchanged 19 90.5 Eased somewhat 2 9.5 Eased considerably 0 0.0 Total 21 100.0 - To the extent that the price or nonprice terms applied to insurance companies have tightened or eased over the past three months (as reflected in your responses to questions 22 and 23), what are the most important reasons for the change?
- Possible reasons for tightening
- Deterioration in current or expected financial strength of counterparties
Number of Respondents Percent First in importance 0 0.0 Second in importance 0 0.0 Third in importance 0 0.0 Total 0 0.0
- Reduced willingness of your institution to take on risk
Number of Respondents Percent First in importance 0 0.0 Second in importance 0 0.0 Third in importance 0 0.0 Total 0 0.0
- Adoption of more-stringent market conventions (that is, collateral terms and agreements, ISDA protocols)
Number of Respondents Percent First in importance 1 100.0 Second in importance 0 0.0 Third in importance 0 0.0 Total 1 100.0
- Higher internal treasury charges for funding
Number of Respondents Percent First in importance 0 0.0 Second in importance 1 100.0 Third in importance 0 0.0 Total 1 100.0
- Diminished availability of balance sheet or capital at your institution
Number of Respondents Percent First in importance 0 0.0 Second in importance 0 0.0 Third in importance 0 0.0 Total 0 0.0
- Worsening in general market liquidity and functioning
Number of Respondents Percent First in importance 0 0.0 Second in importance 0 0.0 Third in importance 0 0.0 Total 0 0.0
- Less-aggressive competition from other institutions
Number of Respondents Percent First in importance 0 0.0 Second in importance 0 0.0 Third in importance 1 100.0 Total 1 100.0
- Deterioration in current or expected financial strength of counterparties
- Possible reasons for easing
- Improvement in current or expected financial strength of counterparties
Number of Respondents Percent First in importance 0 0.0 Second in importance 0 0.0 Third in importance 0 0.0 Total 0 0.0
- Increased willingness of your institution to take on risk
Number of Respondents Percent First in importance 0 0.0 Second in importance 0 0.0 Third in importance 0 0.0 Total 0 0.0
- Adoption of less-stringent market conventions (that is, collateral terms and agreements, ISDA protocols)
Number of Respondents Percent First in importance 1 100.0 Second in importance 0 0.0 Third in importance 0 0.0 Total 1 100.0
- Lower internal treasury charges for funding
Number of Respondents Percent First in importance 0 0.0 Second in importance 0 0.0 Third in importance 0 0.0 Total 0 0.0
- Increased availability of balance sheet or capital at your institution
Number of Respondents Percent First in importance 0 0.0 Second in importance 0 0.0 Third in importance 0 0.0 Total 0 0.0
- Improvement in general market liquidity and functioning
Number of Respondents Percent First in importance 0 0.0 Second in importance 0 0.0 Third in importance 0 0.0 Total 0 0.0
- More-aggressive competition from other institutions
Number of Respondents Percent First in importance 1 100.0 Second in importance 0 0.0 Third in importance 0 0.0 Total 1 100.0
- Improvement in current or expected financial strength of counterparties
- Possible reasons for tightening
- How has the intensity of efforts by insurance companies to negotiate more-favorable price and nonprice terms changed over the past three months?
Number of Respondents Percent Increased considerably 0 0.0 Increased somewhat 3 14.3 Remained basically unchanged 18 85.7 Decreased somewhat 0 0.0 Decreased considerably 0 0.0 Total 21 100.0
- Considering the entire range of transactions facilitated by your institution for such clients, how has the use of financial leverage by insurance companies changed over the past three months?
Number of Respondents Percent Increased considerably 0 0.0 Increased somewhat 0 0.0 Remained basically unchanged 21 100.0 Decreased somewhat 0 0.0 Decreased considerably 0 0.0 Total 21 100.0 - How has the provision of differential terms by your institution to most-favored (as a function of breadth, duration, and extent of relationship) insurance companies changed over the past three months?
Number of Respondents Percent Increased considerably 1 5.0 Increased somewhat 0 0.0 Remained basically unchanged 19 95.5 Decreased somewhat 0 0.0 Decreased considerably 0 0.0 Total 20 100.0 - Over the past three months, how have the price terms (for example, financing rates) offered to separately managed accounts established with investment advisers as reflected across the entire spectrum of securities financing and OTC derivatives transaction types changed, regardless of nonprice terms? (Please indicate tightening if terms have become more stringent--for example, if financing rates have risen.)
Number of Respondents Percent Tightened considerably 0 0.0 Tightened somewhat 0 0.0 Remained basically unchanged 20 95.2 Eased somewhat 1 4.8 Eased considerably 0 0.0 Total 21 100.0
- Over the past three months, how has your use of nonprice terms (for example, haircuts, maximum maturity, covenants, cure periods, cross-default provisions or other documentation features) with respect to separately managed accounts established with investment advisers across the entire spectrum of securities financing and OTC derivatives transaction types changed, regardless of price terms? (Please indicate tightening if terms have become more stringent--for example, if haircuts have been increased.)
Number of Respondents Percent Tightened considerably 0 0.0 Tightened somewhat 0 0.0 Remained basically unchanged 20 95.2 Eased somewhat 1 4.8 Eased considerably 0 0.0 Total 21 100.0
- To the extent that the price or nonprice terms applied to separately managed accounts established with investment advisers have tightened or eased over the past three months (as reflected in your responses to questions 28 and 29), what are the most important reasons for the change?
- Possible reasons for tightening
- Deterioration in current or expected financial strength of counterparties
Number of Respondents Percent First in importance 0 0.0 Second in importance 0 0.0 Third in importance 0 0.0 Total 0 0.0
- Reduced willingness of your institution to take on risk
Number of Respondents Percent First in importance 0 0.0 Second in importance 0 0.0 Third in importance 0 0.0 Total 0 0.0
- Adoption of more-stringent market conventions (that is, collateral terms and agreements, ISDA protocols)
Number of Respondents Percent First in importance 0 0.0 Second in importance 0 0.0 Third in importance 0 0.0 Total 0 0.0
- Higher internal treasury charges for funding
Number of Respondents Percent First in importance 0 0.0 Second in importance 0 0.0 Third in importance 0 0.0 Total 0 0.0
- Diminished availability of balance sheet or capital at your institution
Number of Respondents Percent First in importance 0 0.0 Second in importance 0 0.0 Third in importance 0 0.0 Total 0 0.0
- Worsening in general market liquidity and functioning
Number of Respondents Percent First in importance 0 0.0 Second in importance 0 0.0 Third in importance 0 0.0 Total 0 0.0
- Less-aggressive competition from other institutions
Number of Respondents Percent First in importance 0 0.0 Second in importance 0 0.0 Third in importance 0 0.0 Total 0 0.0
- Deterioration in current or expected financial strength of counterparties
- Possible reasons for easing
- Improvement in current or expected financial strength of counterparties
Number of Respondents Percent First in importance 0 0.0 Second in importance 0 0.0 Third in importance 0 0.0 Total 0 0.0
- Increased willingness of your institution to take on risk
Number of Respondents Percent First in importance 0 0.0 Second in importance 0 0.0 Third in importance 0 0.0 Total 0 0.0
- Adoption of less-stringent market conventions (that is, collateral terms and agreements, ISDA protocols)
Number of Respondents Percent First in importance 0 0.0 Second in importance 0 0.0 Third in importance 0 0.0 Total 0 0.0
- Lower internal treasury charges for funding
Number of Respondents Percent First in importance 0 0.0 Second in importance 0 0.0 Third in importance 0 0.0 Total 0 0.0
- Increased availability of balance sheet or capital at your institution
Number of Respondents Percent First in importance 0 0.0 Second in importance 0 0.0 Third in importance 0 0.0 Total 0 0.0
- Improvement in general market liquidity and functioning
Number of Respondents Percent First in importance 0 0.0 Second in importance 0 0.0 Third in importance 0 0.0 Total 0 0.0
- More-aggressive competition from other institutions
Number of Respondents Percent First in importance 1 100.0 Second in importance 0 0.0 Third in importance 0 0.0 Total 1 100.0
- Improvement in current or expected financial strength of counterparties
- Possible reasons for tightening
- How has the intensity of efforts by investment advisers to negotiate more-favorable price and nonprice terms on behalf of separately managed accounts changed over the past three months?
Number of Respondents Percent Increased considerably 0 0.0 Increased somewhat 0 0.0 Remained basically unchanged 20 100.0 Decreased somewhat 0 0.0 Decreased considerably 0 0.0 Total 20 100.0
- Considering the entire range of transactions facilitated by your institution for such clients, how has the use of financial leverage by separately managed accounts established with investment advisers changed over the past three months?
Number of Respondents Percent Increased considerably 0 0.0 Increased somewhat 0 0.0 Remained basically unchanged 20 100.0 Decreased somewhat 0 0.0 Decreased considerably 0 0.0 Total 20 100.0
- How has the provision of differential terms by your institution to separately managed accounts established with most-favored (as a function of breadth, duration, and extent of relationship) investment advisers changed over the past three months?
Number of Respondents Percent Increased considerably 0 0.0 Increased somewhat 1 5.0 Remained basically unchanged 19 95.0 Decreased somewhat 0 0.0 Decreased considerably 0 0.0 Total 20 100.0 - Over the past three months, how have the price terms (for example, financing rates) offered to nonfinancial corporations as reflected across the entire spectrum of securities financing and OTC derivatives transaction types changed, regardless of nonprice terms? (Please indicate tightening if terms have become more stringent--for example, if financing rates have risen.)
Number of Respondents Percent Tightened considerably 0 0.0 Tightened somewhat 2 9.1 Remained basically unchanged 18 81.8 Eased somewhat 2 9.1 Eased considerably 0 0.0 Total 22 100.0
- Over the past three months, how has your use of nonprice terms (for example, haircuts, maximum maturity, covenants, cure periods, cross-default provisions or other documentation features) with respect to nonfinancial corporations across the entire spectrum of securities financing and OTC derivatives transaction types changed, regardless of price terms? (Please indicate tightening if terms have become more stringent--for example, if haircuts have been increased.)
Number of Respondents Percent Tightened considerably 0 0.0 Tightened somewhat 0 0.0 Remained basically unchanged 20 90.9 Eased somewhat 2 9.1 Eased considerably 0 0.0 Total 22 100.0 - To the extent that the price or nonprice terms applied to nonfinancial corporations have tightened or eased over the past three months (as reflected in your responses to questions 34 and 35), what are the most important reasons for the change?
- Possible reasons for tightening
- Deterioration in current or expected financial strength of counterparties
Number of Respondents Percent First in importance 0 0.0 Second in importance 0 0.0 Third in importance 0 0.0 Total 0 0.0
- Reduced willingness of your institution to take on risk
Number of Respondents Percent First in importance 0 0.0 Second in importance 1 100.0 Third in importance 0 0.0 Total 1 100.0
- Adoption of more-stringent market conventions (that is, collateral terms and agreements, ISDA protocols)
Number of Respondents Percent First in importance 0 0.0 Second in importance 0 0.0 Third in importance 1 100.0 Total 1 100.0
- Higher internal treasury charges for funding
Number of Respondents Percent First in importance 1 100.0 Second in importance 0 0.0 Third in importance 0 0.0 Total 1 100.0 - Diminished availability of balance sheet or capital at your institution
Number of Respondents Percent First in importance 1 100.0 Second in importance 0 0.0 Third in importance 0 0.0 Total 1 100.0
- Worsening in general market liquidity and functioning
Number of Respondents Percent First in importance 0 0.0 Second in importance 0 0.0 Third in importance 0 0.0 Total 0 0.0
- Less-aggressive competition from other institutions
Number of Respondents Percent First in importance 0 0.0 Second in importance 0 0.0 Third in importance 0 0.0 Total 0 0.0
- Deterioration in current or expected financial strength of counterparties
- Possible reasons for easing
- Improvement in current or expected financial strength of counterparties
Number of Respondents Percent First in importance 1 50.0 Second in importance 1 50.0 Third in importance 0 0.0 Total 2 100.0
- Increased willingness of your institution to take on risk
Number of Respondents Percent First in importance 1 100.0 Second in importance 0 0.0 Third in importance 0 0.0 Total 1 100.0
- Adoption of less-stringent market conventions (that is, collateral terms and agreements, ISDA protocols)
Number of Respondents Percent First in importance 0 0.0 Second in importance 0 0.0 Third in importance 0 0.0 Total 0 0.0
- Lower internal treasury charges for funding
Number of Respondents Percent First in importance 0 0.0 Second in importance 0 0.0 Third in importance 0 0.0 Total 0 0.0
- Increased availability of balance sheet or capital at your institution
Number of Respondents Percent First in importance 0 0.0 Second in importance 0 0.0 Third in importance 0 0.0 Total 0 0.0
- Improvement in general market liquidity and functioning
Number of Respondents Percent First in importance 0 0.0 Second in importance 0 0.0 Third in importance 0 0.0 Total 0 0.0
- More-aggressive competition from other institutions
Number of Respondents Percent First in importance 1 50.0 Second in importance 1 50.0 Third in importance 0 0.0 Total 2 100.0
- Improvement in current or expected financial strength of counterparties
- Possible reasons for tightening
- How has the intensity of efforts by nonfinancial corporations to negotiate more-favorable price and nonprice terms changed over the past three months?
Number of Respondents Percent Increased considerably 0 0.0 Increased somewhat 3 13.6 Remained basically unchanged 19 86.4 Decreased somewhat 0 0.0 Decreased considerably 0 0.0 Total 22 100.0 - Over the past three months, how has the volume of mark and collateral disputes with clients of each of the following types changed?
- Dealers and other financial intermediaries
Number of Respondents Percent Increased considerably 0 0.0 Increased somewhat 0 0.0 Remained basically unchanged 19 86.4 Decreased somewhat 3 13.6 Decreased considerably 0 0.0 Total 22 100.0
- Hedge funds
Number of Respondents Percent Increased considerably 0 0.0 Increased somewhat 2 9.1 Remained basically unchanged 19 86.4 Decreased somewhat 1 4.5 Decreased considerably 0 0.0 Total 22 100.0
- Trading REITs
Number of Respondents Percent Increased considerably 0 0.0 Increased somewhat 1 5.9 Remained basically unchanged 16 94.1 Decreased somewhat 0 0.0 Decreased considerably 0 0.0 Total 17 100.0
- Mutual funds, ETFs, pension plans, and endowments
Number of Respondents Percent Increased considerably 0 0.0 Increased somewhat 0 0.0 Remained basically unchanged 20 100.0 Decreased somewhat 0 0.0 Decreased considerably 0 0.0 Total 20 100.0
- Insurance companies
Number of Respondents Percent Increased considerably 0 0.0 Increased somewhat 2 10.0 Remained basically unchanged 17 85.0 Decreased somewhat 0 0.0 Decreased considerably 1 5.0 Total 20 100.0
- Separately managed accounts established with investment advisers
Number of Respondents Percent Increased considerably 0 0.0 Increased somewhat 0 0.0 Remained basically unchanged 19 100.0 Decreased somewhat 0 0.0 Decreased considerably 0 0.0 Total 19 100.0
- Nonfinancial corporations
Number of Respondents Percent Increased considerably 0 0.0 Increased somewhat 0 0.0 Remained basically unchanged 20 95.2 Decreased somewhat 0 0.0 Decreased considerably 1 4.8 Total 21 100.0
- Dealers and other financial intermediaries
- Over the past three months, how has the duration and persistence of mark and collateral disputes with clients of each of the following types changed?
- Dealers and other financial intermediaries
Number of Respondents Percent Increased considerably 0 0.0 Increased somewhat 1 4.5 Remained basically unchanged 18 81.8 Decreased somewhat 3 13.6 Decreased considerably 0 0.0 Total 22 100.0
- Hedge funds
Number of Respondents Percent Increased considerably 0 0.0 Increased somewhat 2 9.1 Remained basically unchanged 19 86.4 Decreased somewhat 1 4.5 Decreased considerably 0 0.0 Total 22 100.0
- Trading REITs
Number of Respondents Percent Increased considerably 0 0.0 Increased somewhat 0 0.0 Remained basically unchanged 18 100.0 Decreased somewhat 0 0.0 Decreased considerably 0 0.0 Total 18 100.0
- Mutual funds, ETFs, pension plans, and endowments
Number of Respondents Percent Increased considerably 0 0.0 Increased somewhat 0 0.0 Remained basically unchanged 20 100.0 Decreased somewhat 0 0.0 Decreased considerably 0 0.0 Total 20 100.0
- Insurance companies
Number of Respondents Percent Increased considerably 0 0.0 Increased somewhat 0 0.0 Remained basically unchanged 19 95.0 Decreased somewhat 0 0.0 Decreased considerably 1 5.0 Total 20 100.0
- Separately managed accounts established with investment advisers
Number of Respondents Percent Increased considerably 0 0.0 Increased somewhat 0 0.0 Remained basically unchanged 18 94.7 Decreased somewhat 0 0.0 Decreased considerably 1 5.3 Total 19 100.0
- Nonfinancial corporations
Number of Respondents Percent Increased considerably 0 0.0 Increased somewhat 0 0.0 Remained basically unchanged 19 95.0 Decreased somewhat 0 0.0 Decreased considerably 1 5.0 Total 20 100.0
- Dealers and other financial intermediaries
- Over the past three months, how have nonprice terms incorporated in new or renegotiated OTC derivatives master agreements put in place with your institution's client changed?
- Requirements, timelines, and thresholds for posting additional margin
Number of Respondents Percent Tightened considerably 0 0.0 Tightened somewhat 3 14.3 Remained basically unchanged 18 85.7 Eased somewhat 0 0.0 Eased considerably 0 0.0 Total 21 100.0
- Acceptable collateral
Number of Respondents Percent Tightened considerably 0 0.0 Tightened somewhat 2 9.5 Remained basically unchanged 18 85.7 Eased somewhat 1 4.8 Eased considerably 0 0.0 Total 21 100.0
- Recognition of portfolio or diversification benefits (including from securities financing trades where appropriate agreements are in place)
Number of Respondents Percent Tightened considerably 0 0.0 Tightened somewhat 0 0.0 Remained basically unchanged 19 100.0 Eased somewhat 0 0.0 Eased considerably 0 0.0 Total 19 100.0
- Triggers and covenants
Number of Respondents Percent Tightened considerably 0 0.0 Tightened somewhat 2 9.5 Remained basically unchanged 19 90.5 Eased somewhat 0 0.0 Eased considerably 0 0.0 Total 21 100.0
- Other documentation features (including cure periods and cross-default provisions)
Number of Respondents Percent Tightened considerably 0 0.0 Tightened somewhat 2 9.5 Remained basically unchanged 19 90.5 Eased somewhat 0 0.0 Eased considerably 0 0.0 Total 21 100.0
- Requirements, timelines, and thresholds for posting additional margin
- Over the past three months, how have initial margin requirements set by your institution with respect to OTC FX derivatives changed?
- Initial margin requirements for average clients
Number of Respondents Percent Increased considerably 0 0.0 Increased somewhat 1 4.8 Remained basically unchanged 20 95.2 Decreased somewhat 0 0.0 Decreased considerably 0 0.0 Total 21 100.0
- Initial margin requirements for most-favored clients, as a consequence of breadth, duration, and/or extent of relationship
Number of Respondents Percent Increased considerably 0 0.0 Increased somewhat 0 0.0 Remained basically unchanged 20 100.0 Decreased somewhat 0 0.0 Decreased considerably 0 0.0 Total 20 100.0
- Initial margin requirements for average clients
- Over the past three months, how have initial margin requirements set by your institution with respect to OTC interest rate derivatives changed?
- Initial margin requirements for average clients
Number of Respondents Percent Increased considerably 0 0.0 Increased somewhat 1 4.8 Remained basically unchanged 19 90.5 Decreased somewhat 1 4.8 Decreased considerably 0 0.0 Total 21 100.0
- Initial margin requirements for most-favored clients, as a consequence of breadth, duration, and/or extent of relationship
Number of Respondents Percent Increased considerably 0 0.0 Increased somewhat 0 0.0 Remained basically unchanged 19 90.5 Decreased somewhat 2 9.5 Decreased considerably 0 0.0 Total 21 100.0
- Initial margin requirements for average clients
- Over the past three months, how have initial margin requirements set by your institution with respect to OTC equity derivatives changed?
- Initial margin requirements for average clients
Number of Respondents Percent Increased considerably 0 0.0 Increased somewhat 1 5.0 Remained basically unchanged 19 95.0 Decreased somewhat 0 0.0 Decreased considerably 0 0.0 Total 20 100.0 - Initial margin requirements for most-favored clients, as a consequence of breadth, duration, and/or extent of relationship
Number of Respondents Percent Increased considerably 0 0.0 Increased somewhat 0 0.0 Remained basically unchanged 20 100.0 Decreased somewhat 0 0.0 Decreased considerably 0 0.0 Total 20 100.0
- Initial margin requirements for average clients
- Over the past three months, how have initial margin requirements set by your institution with respect to OTC credit derivatives referencing corporates (single-name corporates or corporate indexes) changed?
- Initial margin requirements for average clients
Number of Respondents Percent Increased considerably 0 0.0 Increased somewhat 0 0.0 Remained basically unchanged 18 100.0 Decreased somewhat 0 0.0 Decreased considerably 0 0.0 Total 18 100.0
- Initial margin requirements for most-favored clients, as a consequence of breadth, duration, and/or extent of relationship
Number of Respondents Percent Increased considerably 0 0.0 Increased somewhat 0 0.0 Remained basically unchanged 18 100.0 Decreased somewhat 0 0.0 Decreased considerably 0 0.0 Total 18 100.0
- Initial margin requirements for average clients
- Over the past three months, how have initial margin requirements set by your institution with respect to OTC credit derivatives referencing securitized products (such as specific ABS or MBS tranches and associated indexes) changed?
- Initial margin requirements for average clients
Number of Respondents Percent Increased considerably 0 0.0 Increased somewhat 1 7.7 Remained basically unchanged 12 92.3 Decreased somewhat 0 0.0 Decreased considerably 0 0.0 Total 13 100.0
- Initial margin requirements for most-favored clients, as a consequence of breadth, duration, and/or extent of relationship
Number of Respondents Percent Increased considerably 0 0.0 Increased somewhat 0 0.0 Remained basically unchanged 14 100.0 Decreased somewhat 0 0.0 Decreased considerably 0 0.0 Total 14 100.0
- Initial margin requirements for average clients
- Over the past three months, how have initial margin requirements set by your institution with respect to OTC commodity derivatives changed?
- Initial margin requirements for average clients
Number of Respondents Percent Increased considerably 0 0.0 Increased somewhat 0 0.0 Remained basically unchanged 17 100.0 Decreased somewhat 0 0.0 Decreased considerably 0 0.0 Total 17 100.0
- Initial margin requirements for most-favored clients, as a consequence of breadth, duration, and/or extent of relationship
Number of Respondents Percent Increased considerably 0 0.0 Increased somewhat 0 0.0 Remained basically unchanged 16 94.1 Decreased somewhat 1 5.9 Decreased considerably 0 0.0 Total 17 100.0
- Initial margin requirements for average clients
- Over the past three months, how have initial margin requirements set by your institution with respect to TRS referencing nonsecurities (such as bank loans, including, for example, commercial and industrial loans and mortgage whole loans) changed?
- Initial margin requirements for average clients
Number of Respondents Percent Increased considerably 0 0.0 Increased somewhat 0 0.0 Remained basically unchanged 11 100.0 Decreased somewhat 0 0.0 Decreased considerably 0 0.0 Total 11 100.0
- Initial margin requirements for most-favored clients, as a consequence of breadth, duration, and/or extent of relationship
Number of Respondents Percent Increased considerably 0 0.0 Increased somewhat 0 0.0 Remained basically unchanged 12 100.0 Decreased somewhat 0 0.0 Decreased considerably 0 0.0 Total 12 100.0
Nonstandard Collateral
- Initial margin requirements for average clients
- Over the past three months, how has the posting of nonstandard collateral (that is, other than cash and U.S. Treasury securities) as permitted under relevant agreements changed?
Number of Respondents Percent Increased considerably 0 0.0 Increased somewhat 3 13.6 Remained basically unchanged 18 81.8 Decreased somewhat 1 4.5 Decreased considerably 0 0.0 Total 22 100.0 - Over the past three months, how has the volume of mark and collateral disputes relating to contracts of each of the following types changed?
- FX
Number of Respondents Percent Increased considerably 0 0.0 Increased somewhat 2 10.5 Remained basically unchanged 15 78.9 Decreased somewhat 1 5.3 Decreased considerably 1 5.3 Total 19 100.0
- Interest rate
Number of Respondents Percent Increased considerably 0 0.0 Increased somewhat 0 0.0 Remained basically unchanged 16 80.0 Decreased somewhat 3 15.0 Decreased considerably 1 5.0 Total 20 100.0
- Equity
Number of Respondents Percent Increased considerably 1 5.3 Increased somewhat 1 5.3 Remained basically unchanged 16 84.2 Decreased somewhat 0 0.0 Decreased considerably 1 5.3 Total 19 100.0
- Credit referencing corporates
Number of Respondents Percent Increased considerably 0 0.0 Increased somewhat 1 5.6 Remained basically unchanged 14 77.8 Decreased somewhat 3 16.7 Decreased considerably 0 0.0 Total 18 100.0
- Credit referencing securitized products including MBS and ABS
Number of Respondents Percent Increased considerably 0 0.0 Increased somewhat 1 7.1 Remained basically unchanged 12 85.7 Decreased somewhat 1 7.1 Decreased considerably 0 0.0 Total 14 100.0
- Commodity
Number of Respondents Percent Increased considerably 0 0.0 Increased somewhat 0 0.0 Remained basically unchanged 18 100.0 Decreased somewhat 0 0.0 Decreased considerably 0 0.0 Total 18 100.0
- TRS referencing nonsecurities (such as bank loans, including, for example, commercial and industrial loans and mortgage whole loans)
Number of Respondents Percent Increased considerably 0 0.0 Increased somewhat 0 0.0 Remained basically unchanged 9 100.0 Decreased somewhat 0 0.0 Decreased considerably 0 0.0 Total 9 100.0
- FX
- Over the past three months, how has the duration and persistence of mark and collateral disputes relating to contracts of each of the following types changed?
- FX
Number of Respondents Percent Increased considerably 0 0.0 Increased somewhat 0 0.0 Remained basically unchanged 16 88.9 Decreased somewhat 2 11.1 Decreased considerably 0 0.0 Total 18 100.0
- Interest rate
Number of Respondents Percent Increased considerably 1 5.3 Increased somewhat 0 0.0 Remained basically unchanged 17 89.5 Decreased somewhat 1 5.3 Decreased considerably 0 0.0 Total 19 100.0
- Equity
Number of Respondents Percent Increased considerably 0 0.0 Increased somewhat 1 5.6 Remained basically unchanged 17 94.4 Decreased somewhat 0 0.0 Decreased considerably 0 0.0 Total 18 100.0
- Credit referencing corporates
Number of Respondents Percent Increased considerably 0 0.0 Increased somewhat 0 0.0 Remained basically unchanged 15 88.2 Decreased somewhat 2 11.8 Decreased considerably 0 0.0 Total 17 100.0
- Credit referencing securitized products including MBS and ABS
Number of Respondents Percent Increased considerably 0 0.0 Increased somewhat 0 0.0 Remained basically unchanged 13 92.9 Decreased somewhat 1 7.1 Decreased considerably 0 0.0 Total 14 100.0
- Commodity
Number of Respondents Percent Increased considerably 0 0.0 Increased somewhat 0 0.0 Remained basically unchanged 17 100.0 Decreased somewhat 0 0.0 Decreased considerably 0 0.0 Total 17 100.0
- TRS referencing nonsecurities (such as bank loans, including, for example, commercial and industrial loans and mortgage whole loans)
Number of Respondents Percent Increased considerably 0 0.0 Increased somewhat 0 0.0 Remained basically unchanged 10 100.0 Decreased somewhat 0 0.0 Decreased considerably 0 0.0 Total 10 100.0
- FX
- Over the past three months, how have the terms under which high-grade corporate bonds are funded changed?
- Terms for average clients
- Maximum amount of funding
Number of Respondents Percent Tightened considerably 0 0.0 Tightened somewhat 0 0.0 Remained basically unchanged 18 100.0 Eased somewhat 0 0.0 Eased considerably 0 0.0 Total 18 100.0
- Maximum maturity
Number of Respondents Percent Tightened considerably 0 0.0 Tightened somewhat 0 0.0 Remained basically unchanged 18 100.0 Eased somewhat 0 0.0 Eased considerably 0 0.0 Total 18 100.0
- Haircuts
Number of Respondents Percent Tightened considerably 0 0.0 Tightened somewhat 0 0.0 Remained basically unchanged 18 100.0 Eased somewhat 0 0.0 Eased considerably 0 0.0 Total 18 100.0
- Collateral spreads over relevant benchmark (effective financing rates)
Number of Respondents Percent Tightened considerably 0 0.0 Tightened somewhat 1 5.9 Remained basically unchanged 16 94.1 Eased somewhat 0 0.0 Eased considerably 0 0.0 Total 17 100.0
- Maximum amount of funding
- Terms for most-favored clients, as a consequence of breadth, duration, and/or extent of relationship
- Maximum amount of funding
Number of Respondents Percent Tightened considerably 1 5.6 Tightened somewhat 0 0.0 Remained basically unchanged 17 94.4 Eased somewhat 0 0.0 Eased considerably 0 0.0 Total 18 100.0
- Maximum maturity
Number of Respondents Percent Tightened considerably 1 5.6 Tightened somewhat 0 0.0 Remained basically unchanged 17 94.4 Eased somewhat 0 0.0 Eased considerably 0 0.0 Total 18 100.0
- Haircuts
Number of Respondents Percent Tightened considerably 0 0.0 Tightened somewhat 0 0.0 Remained basically unchanged 18 100.0 Eased somewhat 0 0.0 Eased considerably 0 0.0 Total 18 100.0
- Collateral spreads over relevant benchmark (effective financing rates)
Number of Respondents Percent Tightened considerably 0 0.0 Tightened somewhat 0 0.0 Remained basically unchanged 17 100.0 Eased somewhat 0 0.0 Eased considerably 0 0.0 Total 17 100.0
- Maximum amount of funding
- Terms for average clients
- Over the past three months, how has demand for funding of high-grade corporate bonds by your institution's clients changed?
Number of Respondents Percent Increased considerably 0 0.0 Increased somewhat 2 11.1 Remained basically unchanged 16 88.9 Decreased somewhat 0 0.0 Decreased considerably 0 0.0 Total 18 100.0
- Over the past three months, how has demand for term funding with a maturity greater than 30 days of high-grade corporate bonds by your institution's clients changed?
Number of Respondents Percent Increased considerably 0 0.0 Increased somewhat 2 11.8 Remained basically unchanged 14 82.4 Decreased somewhat 1 5.9 Decreased considerably 0 0.0 Total 17 100.0
- Over the past three months, how have liquidity and functioning in the high-grade corporate bond market changed?
Number of Respondents Percent Improved considerably 0 0.0 Improved somewhat 2 11.1 Remained basically unchanged 16 88.9 Deteriorated somewhat 0 0.0 Deteriorated considerably 0 0.0 Total 18 100.0 - Over the past three months, how have the terms under which high-yield corporate bonds are funded changed?
- Terms for average clients
- Maximum amount of funding
Number of Respondents Percent Tightened considerably 1 5.9 Tightened somewhat 0 0.0 Remained basically unchanged 16 94.1 Eased somewhat 0 0.0 Eased considerably 0 0.0 Total 17 100.0
- Maximum maturity
Number of Respondents Percent Tightened considerably 1 5.9 Tightened somewhat 0 0.0 Remained basically unchanged 16 94.1 Eased somewhat 0 0.0 Eased considerably 0 0.0 Total 17 100.0
- Haircuts
Number of Respondents Percent Tightened considerably 0 0.0 Tightened somewhat 1 5.9 Remained basically unchanged 16 94.1 Eased somewhat 0 0.0 Eased considerably 0 0.0 Total 17 100.0
- Collateral spreads over relevant benchmark (effective financing rates)
Number of Respondents Percent Tightened considerably 0 0.0 Tightened somewhat 0 0.0
Remained basically unchanged 16 100.0 Eased somewhat 0 0.0 Eased considerably 0 0.0 Total 16 100.0
- Maximum amount of funding
- Terms for most-favored clients, as a consequence of breadth, duration, and/or extent of relationship
- Maximum amount of funding
Number of Respondents Percent Tightened considerably 1 5.9 Tightened somewhat 0 0.0 Remained basically unchanged 16 94.1 Eased somewhat 0 0.0 Eased considerably 0 0.0 Total 17 100.0
- Maximum maturity
Number of Respondents Percent Tightened considerably 1 5.9 Tightened somewhat 0 0.0 Remained basically unchanged 16 94.1 Eased somewhat 0 0.0 Eased considerably 0 0.0 Total 17 100.0
- Haircuts
Number of Respondents Percent Tightened considerably 0 0.0 Tightened somewhat 1 5.9 Remained basically unchanged 16 94.1 Eased somewhat 0 0.0 Eased considerably 0 0.0 Total 17 100.0
- Collateral spreads over relevant benchmark (effective financing rates)
Number of Respondents Percent Tightened considerably 0 0.0 Tightened somewhat 0 0.0 Remained basically unchanged 16 100.0 Eased somewhat 0 0.0 Eased considerably 0 0.0 Total 16 100.0
- Maximum amount of funding
- Terms for average clients
- Over the past three months, how has demand for funding of high-yield corporate bonds by your institution's clients changed?
Number of Respondents Percent Increased considerably 0 0.0 Increased somewhat 0 0.0 Remained basically unchanged 17 100.0 Decreased somewhat 0 0.0 Decreased considerably 0 0.0 Total 17 100.0
- Over the past three months, how has demand for term funding with a maturity greater than 30 days of high-yield corporate bonds by your institution's clients changed?
Number of Respondents Percent Increased considerably 0 0.0 Increased somewhat 2 12.5 Remained basically unchanged 14 87.5 Decreased somewhat 0 0.0 Decreased considerably 0 0.0 Total 16 100.0
- Over the past three months, how have liquidity and functioning in the high-yield corporate bond market changed?
Number of Respondents Percent Improved considerably 0 0.0 Improved somewhat 2 11.1 Remained basically unchanged 15 83.3 Deteriorated somewhat 1 5.6 Deteriorated considerably 0 0.0 Total 18 100.0 - Over the past three months, how have the terms under which equities are funded (including through stock loan) changed?
- Terms for average clients
- Maximum amount of funding
Number of Respondents Percent Tightened considerably 0 0.0 Tightened somewhat 0 0.0 Remained basically unchanged 20 90.9 Eased somewhat 2 9.1 Eased considerably 0 0.0 Total 22 100.0
- Maximum maturity
Number of Respondents Percent Tightened considerably 0 0.0 Tightened somewhat 0 0.0 Remained basically unchanged 21 95.5 Eased somewhat 1 4.5 Eased considerably 0 0.0 Total 22 100.0
- Haircuts
Number of Respondents Percent Tightened considerably 0 0.0 Tightened somewhat 0 0.0 Remained basically unchanged 22 100.0 Eased somewhat 0 0.0 Eased considerably 0 0.0 Total 22 100.0
- Collateral spreads over relevant benchmark (effective financing rates)
Number of Respondents Percent Tightened considerably 0 0.0 Tightened somewhat 0 0.0 Remained basically unchanged 20 95.2 Eased somewhat 1 4.8 Eased considerably 0 0.0 Total 21 100.0
- Maximum amount of funding
- Terms for most-favored clients, as a consequence of breadth, duration, and/or extent of relationship
- Maximum amount of funding
Number of Respondents Percent Tightened considerably 0 0.0 Tightened somewhat 0 0.0 Remained basically unchanged 19 86.4 Eased somewhat 3 13.6 Eased considerably 0 0.0 Total 22 100.0
- Maximum maturity
Number of Respondents Percent Tightened considerably 0 0.0 Tightened somewhat 0 0.0 Remained basically unchanged 21 95.5 Eased somewhat 1 4.5 Eased considerably 0 0.0 Total 22 100.0
- Haircuts
Number of Respondents Percent Tightened considerably 0 0.0 Tightened somewhat 0 0.0 Remained basically unchanged 22 100.0 Eased somewhat 0 0.0 Eased considerably 0 0.0 Total 22 100.0
- Collateral spreads over relevant benchmark (effective financing rates)
Number of Respondents Percent Tightened considerably 0 0.0 Tightened somewhat 0 0.0 Remained basically unchanged 20 95.2 Eased somewhat 1 4.8 Eased considerably 0 0.0 Total 21 100.0
- Maximum amount of funding
- Terms for average clients
- Over the past three months, how has demand for funding of equities (including through stock loan) by your institution's clients changed?
Number of Respondents Percent Increased considerably 0 0.0 Increased somewhat 3 13.6 Remained basically unchanged 17 77.3 Decreased somewhat 2 9.1 Decreased considerably 0 0.0 Total 22 100.0 - Over the past three months, how have the terms under which agency RMBS are funded changed?
- Terms for average clients
- Maximum amount of funding
Number of Respondents Percent Tightened considerably 0 0.0 Tightened somewhat 0 0.0 Remained basically unchanged 20 95.2 Eased somewhat 1 4.8 Eased considerably 0 0.0 Total 21 100.0
- Maximum maturity
Number of Respondents Percent Tightened considerably 0 0.0 Tightened somewhat 0 0.0 Remained basically unchanged 21 100.0 Eased somewhat 0 0.0 Eased considerably 0 0.0 Total 21 100.0
- Haircuts
Number of Respondents Percent Tightened considerably 0 0.0 Tightened somewhat 0 0.0 Remained basically unchanged 21 100.0 Eased somewhat 0 0.0 Eased considerably 0 0.0 Total 21 100.0
- Collateral spreads over relevant benchmark (effective financing rates)
Number of Respondents Percent Tightened considerably 0 0.0 Tightened somewhat 0 0.0 Remained basically unchanged 19 95.0 Eased somewhat 1 5.0 Eased considerably 0 0.0 Total 20 100.0
- Maximum amount of funding
- Terms for most-favored clients, as a consequence of breadth, duration, and/or extent of relationship
- Maximum amount of funding
Number of Respondents Percent Tightened considerably 0 0.0 Tightened somewhat 0 0.0 Remained basically unchanged 20 95.2 Eased somewhat 1 4.8 Eased considerably 0 0.0 Total 21 100.0
- Maximum maturity
Number of Respondents Percent Tightened considerably 0 0.0 Tightened somewhat 0 0.0 Remained basically unchanged 19 90.5 Eased somewhat 2 9.5 Eased considerably 0 0.0 Total 21 100.0
- Haircuts
Number of Respondents Percent Tightened considerably 0 0.0 Tightened somewhat 0 0.0 Remained basically unchanged 21 100.0 Eased somewhat 0 0.0 Eased considerably 0 0.0 Total 21 100.0
- Collateral spreads over relevant benchmark (effective financing rates)
Number of Respondents Percent Tightened considerably 0 0.0 Tightened somewhat 0 0.0 Remained basically unchanged 19 95.0 Eased somewhat 1 5.0 Eased considerably 0 0.0 Total 20 100.0
- Maximum amount of funding
- Terms for average clients
- Over the past three months, how has demand for funding of agency RMBS by your institution's clients changed?
Number of Respondents Percent Increased considerably 0 0.0 Increased somewhat 6 28.6 Remained basically unchanged 15 71.4 Decreased somewhat 0 0.0 Decreased considerably 0 0.0 Total 21 100.0
- Over the past three months, how has demand for term funding with a maturity greater than 30 days of agency RMBS by your institution's clients changed?
Number of Respondents Percent Increased considerably 0 0.0 Increased somewhat 4 19.0 Remained basically unchanged 17 81.0 Decreased somewhat 0 0.0 Decreased considerably 0 0.0 Total 21 100.0
- Over the past three months, how have liquidity and functioning in the agency RMBS market changed?
Number of Respondents Percent Improved considerably 0 0.0 Improved somewhat 0 0.0 Remained basically unchanged 19 90.5 Deteriorated somewhat 2 9.5 Deteriorated considerably 0 0.0 Total 21 100.0 - Over the past three months, how have the terms under which non-agency RMBS are funded changed?
- Terms for average clients
- Maximum amount of funding
Number of Respondents Percent Tightened considerably 0 0.0 Tightened somewhat 0 0.0 Remained basically unchanged 14 93.3 Eased somewhat 1 6.7 Eased considerably 0 0.0 Total 15 100.0
- Maximum maturity
Number of Respondents Percent Tightened considerably 0 0.0 Tightened somewhat 0 0.0 Remained basically unchanged 15 100.0 Eased somewhat 0 0.0 Eased considerably 0 0.0 Total 15 100.0
- Haircuts
Number of Respondents Percent Tightened considerably 0 0.0 Tightened somewhat 0 0.0 Remained basically unchanged 15 100.0 Eased somewhat 0 0.0 Eased considerably 0 0.0 Total 15 100.0
- Collateral spreads over relevant benchmark (effective financing rates)
Number of Respondents Percent Tightened considerably 0 0.0 Tightened somewhat 0 0.0 Remained basically unchanged 14 93.3 Eased somewhat 1 6.7 Eased considerably 0 0.0 Total 15 100.0
- Maximum amount of funding
- Terms for most-favored clients, as a consequence of breadth, duration, and/or extent of relationship
- Maximum amount of funding
Number of Respondents Percent Tightened considerably 0 0.0 Tightened somewhat 0 0.0 Remained basically unchanged 14 93.3 Eased somewhat 1 6.7 Eased considerably 0 0.0 Total 15 100.0
- Maximum maturity
Number of Respondents Percent Tightened considerably 0 0.0 Tightened somewhat 0 0.0 Remained basically unchanged 15 100.0 Eased somewhat 0 0.0 Eased considerably 0 0.0 Total 15 100.0
- Haircuts
Number of Respondents Percent Tightened considerably 0 0.0 Tightened somewhat 0 0.0 Remained basically unchanged 15 100.0 Eased somewhat 0 0.0 Eased considerably 0 0.0 Total 15 100.0
- Collateral spreads over relevant benchmark (effective financing rates)
Number of Respondents Percent Tightened considerably 0 0.0 Tightened somewhat 0 0.0 Remained basically unchanged 14 93.3 Eased somewhat 1 6.7 Eased considerably 0 0.0 Total 15 100.0
- Maximum amount of funding
- Terms for average clients
- Over the past three months, how has demand for funding of non-agency RMBS by your institution's clients changed?
Number of Respondents Percent Increased considerably 0 0.0 Increased somewhat 3 20.0 Remained basically unchanged 11 73.3 Decreased somewhat 1 6.7 Decreased considerably 0 0.0 Total 15 100.0
- Over the past three months, how has demand for term funding with a maturity greater than 30 days of non-agency RMBS by your institution's clients changed?
Number of Respondents Percent Increased considerably 0 0.0 Increased somewhat 3 20.0 Remained basically unchanged 12 80.0 Decreased somewhat 0 0.0 Decreased considerably 0 0.0 Total 15 100.0
- Over the past three months, how have liquidity and functioning in the non-agency RMBS market changed?
Number of Respondents Percent Improved considerably 0 0.0 Improved somewhat 4 26.7 Remained basically unchanged 11 73.3 Deteriorated somewhat 0 0.0 Deteriorated considerably 0 0.0 Total 15 100.0 - Over the past three months, how have the terms under which CMBS are funded changed?
- Terms for average clients
- Maximum amount of funding
Number of Respondents Percent Tightened considerably 0 0.0 Tightened somewhat 0 0.0 Remained basically unchanged 13 100.0 Eased somewhat 0 0.0 Eased considerably 0 0.0 Total 13 100.0
- Maximum maturity
Number of Respondents Percent Tightened considerably 0 0.0 Tightened somewhat 0 0.0 Remained basically unchanged 13 100.0 Eased somewhat 0 0.0 Eased considerably 0 0.0 Total 13 100.0
- Haircuts
Number of Respondents Percent Tightened considerably 0 0.0 Tightened somewhat 0 0.0 Remained basically unchanged 13 100.0 Eased somewhat 0 0.0 Eased considerably 0 0.0 Total 13 100.0
- Collateral spreads over relevant benchmark (effective financing rates)
Number of Respondents Percent Tightened considerably 0 0.0 Tightened somewhat 0 0.0 Remained basically unchanged 12 92.3 Eased somewhat 1 7.7 Eased considerably 0 0.0 Total 13 100.0
- Maximum amount of funding
- Terms for most-favored clients, as a consequence of breadth, duration, and/or extent of relationship
- Maximum amount of funding
Number of Respondents Percent Tightened considerably 0 0.0 Tightened somewhat 0 0.0 Remained basically unchanged 13 100.0 Eased somewhat 0 0.0 Eased considerably 0 0.0 Total 13 100.0
- Maximum maturity
Number of Respondents Percent Tightened considerably 0 0.0 Tightened somewhat 0 0.0 Remained basically unchanged 13 100.0 Eased somewhat 0 0.0 Eased considerably 0 0.0 Total 13 100.0
- Haircuts
- Collateral spreads over relevant benchmark (effective financing rates)
Number of Respondents Percent Tightened considerably 0 0.0 Tightened somewhat 0 0.0 Remained basically unchanged 12 92.3 Eased somewhat 1 7.7 Eased considerably 0 0.0 Total 13 100.0
Number of Respondents Percent Tightened considerably 0 0.0 Tightened somewhat 0 0.0 Remained basically unchanged 13 100.0 Eased somewhat 0 0.0 Eased considerably 0 0.0 Total 13 100.0
- Maximum amount of funding
- Terms for average clients
- Over the past three months, how has demand for funding of CMBS by your institution's clients changed?
Number of Respondents Percent Increased considerably 0 0.0 Increased somewhat 2 15.4 Remained basically unchanged 11 84.6 Decreased somewhat 0 0.0 Decreased considerably 0 0.0 Total 13 100.0
- Over the past three months, how has demand for term funding with a maturity greater than 30 days of CMBS by your institution's clients changed?
Number of Respondents Percent Increased considerably 0 0.0 Increased somewhat 3 23.1 Remained basically unchanged 10 76.9 Decreased somewhat 0 0.0 Decreased considerably 0 0.0 Total 13 100.0
- Over the past three months, how have liquidity and functioning in the CMBS market changed?
Number of Respondents Percent Improved considerably 0 0.0 Improved somewhat 4 30.8 Remained basically unchanged 9 69.2 Deteriorated somewhat 0 0.0 Deteriorated considerably 0 0.0 Total 13 100.0 - Over the past three months, how have the terms under which consumer ABS (for example, backed by credit card receivables or auto loans) are funded changed?
- Terms for average clients
- Maximum amount of funding
Number of Respondents Percent Tightened considerably 0 0.0 Tightened somewhat 0 0.0 Remained basically unchanged 13 100.0 Eased somewhat 0 0.0 Eased considerably 0 0.0 Total 13 100.0
- Maximum maturity
Number of Respondents Percent Tightened considerably 0 0.0 Tightened somewhat 0 0.0 Remained basically unchanged 13 100.00 Eased somewhat 0 0.0 Eased considerably 0 0.0 Total 13 100.0
- Haircuts
Number of Respondents Percent Tightened considerably 0 0.0 Tightened somewhat 0 0.0 Remained basically unchanged 13 100.0 Eased somewhat 0 0.0 Eased considerably 0 0.0 Total 13 100.0
- Collateral spreads over relevant benchmark (effective financing rates)
Number of Respondents Percent Tightened considerably 0 0.0 Tightened somewhat 0 0.0 Remained basically unchanged 13 100.0 Eased somewhat 0 0.0 Eased considerably 0 0.0 Total 13 100.0
- Maximum amount of funding
- Terms for most-favored clients, as a consequence of breadth, duration, and/or extent of relationship
- Maximum amount of funding
Number of Respondents Percent Tightened considerably 0 0.0 Tightened somewhat 0 0.0 Remained basically unchanged 13 100.0 Eased somewhat 0 0.0 Eased considerably 0 0.0 Total 13 100.0
- Maximum maturity
Number of Respondents Percent Tightened considerably 0 0.0 Tightened somewhat 0 0.0 Remained basically unchanged 12 92.3 Eased somewhat 1 7.7 Eased considerably 0 0.0 Total 13 100.0
- Haircuts
Number of Respondents Percent Tightened considerably 0 0.0 Tightened somewhat 0 0.0 Remained basically unchanged 13 100.0 Eased somewhat 0 0.0 Eased considerably 0 0.0 Total 13 100.0
- Collateral spreads over relevant benchmark (effective financing rates)
Number of Respondents Percent Tightened considerably 0 0.0 Tightened somewhat 0 0.0 Remained basically unchanged 13 100.0 Eased somewhat 0 0.0 Eased considerably 0 0.0 Total 13 100.0
- Maximum amount of funding
- Terms for average clients
- Over the past three months, how has demand for funding of consumer ABS by your institution's clients changed?
Number of Respondents Percent Increased considerably 0 0.0 Increased somewhat 0 0.0 Remained basically unchanged 13 100.0 Decreased somewhat 0 0.0 Decreased considerably 0 0.0 Total 13 100.0
- Over the past three months, how has demand for term funding with a maturity greater than 30 days of consumer ABS by your institution's clients changed?
Number of Respondents Percent Increased considerably 0 0.0 Increased somewhat 3 23.1 Remained basically unchanged 10 76.9 Decreased somewhat 0 0.0 Decreased considerably 0 0.0 Total 13 100.0
- Over the past three months, how have liquidity and functioning in the consumer ABS market changed?
Number of Respondents Percent Improved considerably 0 0.0 Improved somewhat 0 0.0 Remained basically unchanged 13 100.0 Deteriorated somewhat 0 0.0 Deteriorated considerably 0 0.0 Total 13 100.0 - Over the past three months, how has the volume of mark and collateral disputes relating to lending against each of the following collateral types changed?
- High-grade corporate bonds
Number of Respondents Percent Increased considerably 0 0.0 Increased somewhat 0 0.0 Remained basically unchanged 18 100.0 Decreased somewhat 0 0.0 Decreased considerably 0 0.0 Total 18 100.0
- High-yield corporate bonds
Number of Respondents Percent Increased considerably 0 0.0 Increased somewhat 0 0.0 Remained basically unchanged 17 100.0 Decreased somewhat 0 0.0 Decreased considerably 0 0.0 Total 17 100.0
- Equities
Number of Respondents Percent Increased considerably 0 0.0 Increased somewhat 0 0.0 Remained basically unchanged 21 100.0 Decreased somewhat 0 0.0 Decreased considerably 0 0.0 Total 21 100.0
- Agency RMBS
Number of Respondents Percent Increased considerably 0 0.0 Increased somewhat 0 0.0 Remained basically unchanged 21 100.0 Decreased somewhat 0 0.0 Decreased considerably 0 0.0 Total 21 100.0
- Non-agency RMBS
Number of Respondents Percent Increased considerably 0 0.0 Increased somewhat 0 0.0 Remained basically unchanged 16 100.0 Decreased somewhat 0 0.0 Decreased considerably 0 0.0 Total 16 100.0
- CMBS
Number of Respondents Percent Increased considerably 0 0.0 Increased somewhat 0 0.0 Remained basically unchanged 14 100.0 Decreased somewhat 0 0.0 Decreased considerably 0 0.0 Total 14 100.0
- Consumer ABS
Number of Respondents Percent Increased considerably 0 0.0 Increased somewhat 0 0.0 Remained basically unchanged 15 100.0 Decreased somewhat 0 0.0 Decreased considerably 0 0.0 Total 15 100.0
- High-grade corporate bonds
- Over the past three months, how has the duration and persistence of mark and collateral disputes relating to lending against each of the following collateral types changed?
- High-grade corporate bonds
Number of Respondents Percent Increased considerably 0 0.0 Increased somewhat 0 0.0 Remained basically unchanged 18 100.0 Decreased somewhat 0 0.0 Decreased considerably 0 0.0 Total 18 100.0
- High-yield corporate bonds
Number of Respondents Percent Increased considerably 0 0.0 Increased somewhat 0 0.0 Remained basically unchanged 18 100.0 Decreased somewhat 0 0.0 Decreased considerably 0 0.0 Total 18 100.0
- Equities
Number of Respondents Percent Increased considerably 0 0.0 Increased somewhat 0 0.0 Remained basically unchanged 21 100.0 Decreased somewhat 0 0.0 Decreased considerably 0 0.0 Total 21 100.0
- Agency RMBS
Number of Respondents Percent Increased considerably 0 0.0 Increased somewhat 0 0.0 Remained basically unchanged 21 100.0 Decreased somewhat 0 0.0 Decreased considerably 0 0.0 Total 21 100.0
- Non-agency RMBS
Number of Respondents Percent Increased considerably 0 0.0 Increased somewhat 0 0.0 Remained basically unchanged 16 100.0 Decreased somewhat 0 0.0 Decreased considerably 0 0.0 Total 16 100.0
- CMBS
Number of Respondents Percent Increased considerably 0 0.0 Increased somewhat 0 0.0 Remained basically unchanged 14 100.0 Decreased somewhat 0 0.0 Decreased considerably 0 0.0 Total 14 100.0
- Consumer ABS
Number of Respondents Percent Increased considerably 0 0.0 Increased somewhat 0 0.0 Remained basically unchanged 15 100.0 Decreased somewhat 0 0.0 Decreased considerably 0 0.0 Total 15 100.0
- High-grade corporate bonds
- Question 80 requests feedback on any other issues you judge to be important relating to credit terms applicable to securities financing transactions and OTC derivatives contracts.7
- Relative to the beginning of 2012, how has the volume of collateral transformation transactions intermediated by your institution through which clients source pristine collateral changed?
- Relative to the beginning of 2012, how has the volume of collateral transformation transactions intermediated by your institution through which clients provide pristine collateral changed?
- For institutions of each of the following types, what is the level of interest in collateral transformation transactions that allow clients to source pristine collateral?
- Dealers and other financial intermediaries
Number of Respondents Percent Significant current activity 0 0.0 Some current activity 5 26.3 No current activity but frequent discussion of prospective transactions 4 21.1 No current activity but some discussion of prospective transactions 3 15.8 No current activity or discussion of prospective transactions 7 36.8 Total 19 100.0
- Hedge funds
Number of Respondents Percent Significant current activity 0 0.0 Some current activity 1 5.6 No current activity but frequent discussion of prospective transactions 4 22.2 No current activity but some discussion of prospective transactions 7 38.9 No current activity or discussion of prospective transactions 6 33.3 Total 18 100.0
- Trading REITs
Number of Respondents Percent Significant current activity 0 0.0 Some current activity 0 0.0 No current activity but frequent discussion of prospective transactions 2 14.3 No current activity but some discussion of prospective transactions 3 21.4 No current activity or discussion of prospective transactions 9 64.3 Total 14 100.0
- Mutual funds and ETFs
Number of Respondents Percent Significant current activity 0 0.0 Some current activity 3 17.6 No current activity but frequent discussion of prospective transactions 1 5.9 No current activity but some discussion of prospective transactions 5 29.4 No current activity or discussion of prospective transactions 8 47.1 Total 17 100.0
- Pension plans and endowments
Number of Respondents Percent Significant current activity 0 0.0 Some current activity 4 22.2 No current activity but frequent discussion of prospective transactions 2 11.1 No current activity but some discussion of prospective transactions 5 27.8 No current activity or discussion of prospective transactions 7 38.9 Total 18 100.0
- Insurance companies
Number of Respondents Percent Significant current activity 0 0.0 Some current activity 4 23.5 No current activity but frequent discussion of prospective transactions 4 23.5 No current activity but some discussion of prospective transactions 7 41.2 No current activity or discussion of prospective transactions 2 11.8 Total 17 100.0
- Separately managed accounts established with investment advisers
Number of Respondents Percent Significant current activity 0 0.0 Some current activity 2 12.5 No current activity but frequent discussion of prospective transactions 3 18.8 No current activity but some discussion of prospective transactions 2 12.5 No current activity or discussion of prospective transactions 9 56.3 Total 16 100.0
- Dealers and other financial intermediaries
- For institutions of each of the following types, what is the level of interest in collateral transformation transactions that entail such clients providing pristine collateral?
- Dealers and other financial intermediaries
Number of Respondents Percent Significant current activity 1 5.3 Some current activity 4 21.1 No current activity but frequent discussion of prospective transactions
unchanged5 26.3 No current activity but some discussion of prospective transactions 3 15.8 No current activity or discussion of prospective transactions 6 31.6 Total 19 100.0
- Hedge funds
Number of Respondents Percent Significant current activity 0 0.0 Some current activity 0 0.0 No current activity but frequent discussion of prospective transactions 3 17.6 No current activity but some discussion of prospective transactions 5 29.4 No current activity or discussion of prospective transactions 9 52.9 Total 17 100.0
- Trading REITs
Number of Respondents Percent Significant current activity 0 0.0 Some current activity 0 0.0 No current activity but frequent discussion of prospective transactions 3 20.0 No current activity but some discussion of prospective transactions 1 6.7 No current activity or discussion of prospective transactions 11 73.3 Total 15 100.0
- Mutual funds and ETFs
Number of Respondents Percent Significant current activity 0 0.0 Some current activity 2 11.8 No current activity but frequent discussion of prospective transactions 3 17.6 No current activity but some discussion of prospective transactions 3 17.6 No current activity or discussion of prospective transactions 9 52.9 Total 17 100.0
- Pension plans and endowments
Number of Respondents Percent Significant current activity 0 0.0 Some current activity 4 22.2 No current activity but frequent discussion of prospective transactions 6 33.3 No current activity but some discussion of prospective transactions 2 11.1 No current activity or discussion of prospective transactions 6 33.3 Total 18 100.0
- Insurance companies
Number of Respondents Percent Significant current activity 0 0.0 Some current activity 3 17.6 No current activity but frequent discussion of prospective transactions 3 17.6 No current activity but some discussion of prospective transactions 5 29.4 No current activity or discussion of prospective transactions 6 35.3 Total 17 100.0
- Separately managed accounts established with investment advisers
Number of Respondents Percent Significant current activity 0 0.0 Some current activity 1 6.7 No current activity but frequent discussion of prospective transactions 4 26.7 No current activity but some discussion of prospective transactions 3 20.0 No current activity or discussion of prospective transactions 7 46.7 Total 15 100.0
- Dealers and other financial intermediaries
- How likely is your institution to adjust its cash management strategies on credit risk management grounds due to the expiration of the Transaction Account Guarantee (TAG) program?
Number of Respondents Percent Significant reductions in the volume of deposits held at commercial banking institutions in general are likely. 0 0.0 Moderate reductions in the volume of deposits held at commercial banking institutions in general are likely. 1 4.8 Limited reductions in the volume of deposits held at commercial banking institutions in general are likely. 2 9.5 Reductions in the volume of deposits held at some specific institutions are likely. 1 4.8 No reductions in the volume of deposits held at commercial banking institutions are likely. 17 81.0 Total 21 100.0
- To the extent that your institution will adjust its cash management strategies on credit risk management grounds due to the expiration of the TAG program by reducing the volume of deposits held at commercial banking institutions, which of the following alternatives are likely to be used to a greater extent in managing cash?
- Direct investment in Treasury bills
Number of Respondents Percent Very likely 0 0.0 Somewhat likely 1 25.0 Not likely 3 75.0 Total 4 100.0
- Direct investment in other government securities (such as longer-dated Treasury securities or agency securities)
Number of Respondents Percent Very likely 0 0.0 Somewhat likely 0 0.0 Not likely 4 100.0 Total 4 100.0
- Direct investment in commercial paper
Number of Respondents Percent Very likely 0 0.0 Somewhat likely 0 0.0 Not likely 4 100.0 Total 14 100.0
- Investment in money market fund shares
Number of Respondents Percent Very likely 0 0.0 Somewhat likely 1 25.0 Not likely 3 75.0 Total 4 100.0
- Lending backed by securities (repurchase agreements)
Number of Respondents Percent Very likely 1 25.0 Somewhat likely 2 50.0 Not likely 1 25.0 Total 4 100.0
- Deposits at different commercial banking institutions (that is, reallocation to different banks)
Number of Respondents Percent Very likely 2 50.0 Somewhat likely 1 25.0 Not likely 1 25.0 Total 4 100.0
- How likely are your institution's clients of various types to adjust their cash management strategies on credit risk management grounds due to the expiration of the TAG program by reducing the amount of deposits held at commercial banking institutions?
- Hedge funds
Number of Respondents Percent Significant reductions in the volume of deposits held at commercial banking institutions in general are likely. 0 0.0 Moderate reductions in the volume of deposits held at commercial banking institutions in general are likely. 1 9.1 Limited reductions in the volume of deposits held at commercial banking institutions in general are likely. 4 36.4 Reductions in the volume of deposits held at some specific commercial banking institutions are likely. 3 27.3 No reductions in the volume of deposits held at commercial banking institutions are likely. 3 27.3 Total 11 100.0
- Trading REITs
Number of Respondents Percent Significant reductions in the volume of deposits held at commercial banking institutions in general are likely. 0 0.0 Moderate reductions in the volume of deposits held at commercial banking institutions in general are likely. 2 20.0 Limited reductions in the volume of deposits held at commercial banking institutions in general are likely. 5 50.0 Reductions in the volume of deposits held at some specific commercial banking institutions are likely 1 10.0 No reductions in the volume of deposits held at commercial banking institutions are likely. 2 20.0 Total 10 100.0
- Mutual funds, ETFs, pension plans, and endowments
Number of Respondents Percent Significant reductions in the volume of deposits held at commercial banking institutions in general are likely. 1 9.1 Moderate reductions in the volume of deposits held at commercial banking institutions in general are likely. 2 18.2 Limited reductions in the volume of deposits held at commercial banking institutions in general are likely. 5 45.5 Reductions in the volume of deposits held at some specific commercial banking institutions are likely. 1 9.1 No reductions in the volume of deposits held at commercial banking institutions are likely. 2 18.2 Total 11 100.0
- Insurance companies
Number of Respondents Percent Significant reductions in the volume of deposits held at commercial banking institutions in general are likely. 1 9.1 Moderate reductions in the volume of deposits held at commercial banking institutions in general are likely. 3 27.3 Limited reductions in the volume of deposits held at commercial banking institutions in general are likely. 5 45.5 Reductions in the volume of deposits held at some specific commercial banking institutions are likely. 0 0.0 No reductions in the volume of deposits held at commercial banking institutions are likely. 2 18.2 Total 11 100.0
- Separately managed accounts established with investment advisers
Number of Respondents Percent Significant reductions in the volume of deposits held at commercial banking institutions in general are likely. 0 0.0 Moderate reductions in the volume of deposits held at commercial banking institutions in general are likely. 3 27.3 Limited reductions in the volume of deposits held at commercial banking institutions in general are likely. 5 45.5 Reductions in the volume of deposits held at some specific commercial banking institutions are likely. 0 0.0 No reductions in the volume of deposits held at commercial banking institutions are likely. 3 27.3 Total 11 100.0
- Nonfinancial corporations
Number of Respondents Percent Significant reductions in the volume of deposits held at commercial banking institutions in general are likely. 2 18.2 Moderate reductions in the volume of deposits held at commercial banking institutions in general are likely. 1 9.1 Limited reductions in the volume of deposits held at commercial banking institutions in general are likely. 4 36.4 Reductions in the volume of deposits held at some specific commercial banking institutions are likely. 3 27.3 No reductions in the volume of deposits held at commercial banking institutions are likely. 1 9.1 Total 11 100.0
- To the extent that your institution expects clients to adjust their cash management strategies on credit risk management grounds due to the expiration of the TAG program, which alternatives are likely to be used in managing cash to a greater extent?
- Direct investment in Treasury bills
Number of Respondents Percent Very likely 2 22.2 Somewhat likely 6 66.7 Not likely 1 11.1 Total 9 100.0
- Direct investment in other government securities (such as longer-dated Treasury securities or agency securities)
Number of Respondents Percent Very likely 1 11.1 Somewhat likely 6 66.7 Not likely 2 22.2 Total 9 100.0
- Direct investment in commercial paper
Number of Respondents Percent Very likely 0 0.0 Somewhat likely 3 33.3 Not likely 6 66.7 Total 9 100.0
- Investment in money market fund shares
Number of Respondents Percent Very likely 2 22.2 Somewhat likely 7 77.8 Not likely 0 0.0 Total 9 100.0
- Lending backed by securities (repurchase agreements)
Number of Respondents Percent Very likely 2 22.2 Somewhat likely 7 77.8 Not likely 0 0.0 Total 9 100.0
- Deposits at different commercial banking institutions (that is, reallocation to different banks)
Number of Respondents Percent Very likely 4 44.4 Somewhat likely 3 33.3 Not likely 2 22.2 Total 9 100.0
Dealers and Other Financial Intermediaries
Central Counterparties and Other Financial Utilities
Hedge Funds
Trading Real Estate Investment Trusts
Mutual Funds, Exchange-Traded Funds, Pension Plans, and Endowments
Insurance Companies
Separately Managed Accounts Established with Investment Advisers
Nonfinancial Corporations
Mark and Collateral Disputes
Over-the-Counter Derivatives
In this Section:
Questions 41 through 51 ask about OTC derivatives trades. Question 41 focuses on nonprice terms applicable to new and renegotiated master agreements. Questions 42 through 48 ask about the initial margin requirements for most-favored and average clients applicable to different types of contracts: Question 42 focuses on foreign exchange (FX); question 43 on interest rates; question 44 on equity; question 45 on contracts referencing corporate credits (single-name and indexes); question 46 on credit derivatives referencing structured products such as mortgage-backed securities (MBS) and asset-backed securities (ABS) (specific tranches and indexes); question 47 on commodities; and question 48 on total return swaps (TRS) referencing nonsecurities (such as bank loans, including, for example, commercial and industrial loans and mortgage whole loans). Question 49 asks about posting of nonstandard collateral pursuant to OTC derivative contracts. Questions 50 and 51 focus on mark and collateral disputes involving contracts of each of the aforementioned types.
If your institution's terms have tightened or eased over the past three months, please so report them regardless of how they stand relative to longer-term norms. Please focus your response on dollar-denominated instruments; if material differences exist with respect to instruments denominated in other currencies, please explain in the appropriate comment space.
New and Renegotiated Master Agreements
Initial Margin
Mark and Collateral Disputes
Securities Financing
In this Section:
Questions 52 through 79 ask about securities funding at your institution--that is, lending to clients collateralized by securities. Such activities may be conducted on a "repo" desk, on a trading desk engaged in facilitation for institutional clients and/or proprietary transactions, on a funding desk, or on a prime brokerage platform. Questions 52 through 55 focus on lending against high-grade corporate bonds; questions 56 through 59 on lending against high-yield corporate bonds; questions 60 and 61 on lending against equities (including through stock loan); questions 62 through 65 on lending against agency residential mortgage-backed securities (agency RMBS); questions 66 through 69 on lending against non-agency residential mortgage-backed securities (non-agency RMBS); questions 70 through 73 on lending against commercial mortgage-backed securities (CMBS); and questions 74 through 77 on consumer ABS (for example, backed by credit card receivables or auto loans). Questions 78 and 79 ask about mark and collateral disputes for lending backed by each of the aforementioned contract types.
If your institution's terms have tightened or eased over the past three months, please so report them regardless of how they stand relative to longer-term norms. Please focus your response on dollar-denominated instruments; if material differences exist with respect to instruments denominated in other currencies, please explain in the appropriate comment space.
High-Grade Corporate Bonds
High-Yield Corporate Bonds
Equities (Including through Stock Loan)
Agency Residential Mortgage-Backed Securities
Non-agency Residential Mortgage-Backed Securities
Commercial Mortgage-Backed Securities
Consumer Asset-Backed Securities
Mark and Collateral Disputes
Optional Question
Special Questions
In this Section:
The following special questions are intended to provide better context for interpreting the core set of questions appearing above, which focus on changes in credit terms over the preceding three months. Unlike the core questions, these special questions will not be included in the survey on an ongoing basis.
.
Collateral Transformation Trades
| Number of Respondents | Percent | |
|---|---|---|
| Increased considerably | 0 | 0.0 |
| Increased somewhat | 2 | 14.3 |
| Remained basically unchanged | 11 | 78.6 |
| Decreased somewhat | 0 | 0.0 |
| Decreased considerably | 1 | 7.1 |
| Total | 14 | 100.0 |
| Number of Respondents | Percent | |
|---|---|---|
| Increased considerably | 0 | 0.0 |
| Increased somewhat | 2 | 12.5 |
| Remained basically unchanged | 13 | 81.3 |
| Decreased somewhat | 0 | 0.0 |
Decreased considerably |
1 | 6.3 |
| Total | 16 | 100.0 |
Expiration of the Federal Deposit Insurance Corporation's Transaction Account Guarantee Program
Footnotes
1. For questions that ask about credit terms, reported net percentages equal the percentage of institutions that reported tightening terms ("tightened considerably" or "tightened somewhat") minus the percentage of institutions that reported easing terms ("eased considerably" or "eased somewhat"). For questions that ask about demand, reported net fractions equal the percentage of institutions that reported increased demand ("increased considerably" or "increased somewhat") minus the percentage of institutions that reported decreased demand ("decreased considerably" or "decreased somewhat"). Return to text
2. Trading REITs invest in assets backed by real estate rather than directly in real estate. Return to text
3. The survey asks specifically about requirements for posting additional margin, acceptable collateral, recognition of portfolio or diversification benefits, triggers and covenants, and other documentation features, including cure periods and cross-default provisions. Return to text
4. Question 80, not discussed here, was optional and allowed respondents to provide additional comments. Return to text
5. Note that survey respondents are instructed to report changes in liquidity and functioning in the market for the underlying collateral to be funded through repurchase agreements and similar secured financing transactions, not changes in the funding market itself. This question is not asked with respect to equity markets in the core questions. Return to text
6. On January 1, 2013, the insurance limit on noninterest-bearing transaction accounts is scheduled to revert to $250,000. In market commentary, the unlimited guarantee is often referred to as the Transaction Account Guarantee (TAG) program, and the wording of the special questions in this survey followed that convention. However, the TAG program properly refers to an earlier FDIC program that expired at the end of 2010. Return to text
7. See note 4 in the Summary. Return to text
