Minutes of the Federal Open Market Committee
September 20-21, 2016
In conjunction with the Federal Open Market Committee (FOMC) meeting held on September 20-21, 2016, meeting participants submitted their projections of the most likely outcomes for real output growth, the unemployment rate, inflation, and the federal funds rate for each year from 2016 to 2019 and over the longer run.1 Each participant's projection was based on information available at the time of the meeting, together with his or her assessment of appropriate monetary policy and assumptions about the factors likely to affect economic outcomes. The longer-run projections represent each participant's assessment of the value to which each variable would be expected to converge, over time, under appropriate monetary policy and in the absence of further shocks to the economy. "Appropriate monetary policy" is defined as the future path of policy that each participant deems most likely to foster outcomes for economic activity and inflation that best satisfy his or her individual interpretation of the Federal Reserve's objectives of maximum employment and stable prices.
Most FOMC participants expected that, under appropriate monetary policy, growth in real gross domestic product (GDP) would pick up a bit next year and run at or a little above their individual estimates of its longer-run rate in 2017 and 2018, and a majority of participants expected real GDP growth to be at its longer-run trend rate in 2019. A large majority of participants projected that the unemployment rate will fall to or modestly below their estimates of its longer-run normal level over the next two years. Many participants expected the unemployment rate to edge up to or toward their individual estimates of its longer-run level in 2019. All participants projected that inflation, as measured by the four-quarter percentage change in the price index for personal consumption expenditures (PCE), would increase over the next two years, and all but one expected inflation to be within 0.1 percentage point of the Committee's objective in 2019. Table 1 and figure 1 provide summary statistics for the projections.
Table 1. Economic projections of Federal Reserve Board members and Federal Reserve Bank presidents, under their individual assessments of projected appropriate monetary policy, September 2016
Percent
| Variable | Median1 | Central tendency2 | Range3 | ||||||||||||
|---|---|---|---|---|---|---|---|---|---|---|---|---|---|---|---|
| 2016 | 2017 | 2018 | 2019 | Longer run | 2016 | 2017 | 2018 | 2019 | Longer run | 2016 | 2017 | 2018 | 2019 | Longer run | |
| Change in real GDP | 1.8 | 2.0 | 2.0 | 1.8 | 1.8 | 1.7 - 1.9 | 1.9 - 2.2 | 1.8 - 2.1 | 1.7 - 2.0 | 1.7 - 2.0 | 1.7 - 2.0 | 1.6 - 2.5 | 1.5 - 2.3 | 1.6 - 2.2 | 1.6 - 2.2 |
| June projection | 2.0 | 2.0 | 2.0 | n.a. | 2.0 | 1.9 - 2.0 | 1.9 - 2.2 | 1.8 - 2.1 | n.a. | 1.8 - 2.0 | 1.8 - 2.2 | 1.6 - 2.4 | 1.5 - 2.2 | n.a. | 1.6 - 2.4 |
| Unemployment rate | 4.8 | 4.6 | 4.5 | 4.6 | 4.8 | 4.7 - 4.9 | 4.5 - 4.7 | 4.4 - 4.7 | 4.4 - 4.8 | 4.7 - 5.0 | 4.7 - 4.9 | 4.4 - 4.8 | 4.3 - 4.9 | 4.2 - 5.0 | 4.5 - 5.0 |
| June projection | 4.7 | 4.6 | 4.6 | n.a. | 4.8 | 4.6 - 4.8 | 4.5 - 4.7 | 4.4 - 4.8 | n.a. | 4.7 - 5.0 | 4.5 - 4.9 | 4.3 - 4.8 | 4.3 - 5.0 | n.a. | 4.6 - 5.0 |
| PCE inflation | 1.3 | 1.9 | 2.0 | 2.0 | 2.0 | 1.2 - 1.4 | 1.7 - 1.9 | 1.8 - 2.0 | 1.9 - 2.0 | 2.0 | 1.1 - 1.7 | 1.5 - 2.0 | 1.8 - 2.0 | 1.8 - 2.1 | 2.0 |
| June projection | 1.4 | 1.9 | 2.0 | n.a. | 2.0 | 1.3 - 1.7 | 1.7 - 2.0 | 1.9 - 2.0 | n.a. | 2.0 | 1.3 - 2.0 | 1.6 - 2.0 | 1.8 - 2.1 | n.a. | 2.0 |
| Core PCE inflation4 | 1.7 | 1.8 | 2.0 | 2.0 | 1.6 - 1.8 | 1.7 - 1.9 | 1.9 - 2.0 | 2.0 | 1.5 - 2.0 | 1.6 - 2.0 | 1.8 - 2.0 | 1.8 - 2.1 | |||
| June projection | 1.7 | 1.9 | 2.0 | n.a. | 1.6 - 1.8 | 1.7 - 2.0 | 1.9 - 2.0 | n.a. | 1.3 - 2.0 | 1.6 - 2.0 | 1.8 - 2.1 | n.a. | |||
| Memo: Projected appropriate policy path | |||||||||||||||
| Federal funds rate | 0.6 | 1.1 | 1.9 | 2.6 | 2.9 | 0.6 - 0.9 | 1.1 - 1.8 | 1.9 - 2.8 | 2.4 - 3.0 | 2.8 - 3.0 | 0.4 - 1.1 | 0.6 - 2.1 | 0.6 - 3.1 | 0.6 - 3.8 | 2.5 - 3.8 |
| June projection | 0.9 | 1.6 | 2.4 | n.a. | 3.0 | 0.6 - 0.9 | 1.4 - 1.9 | 2.1 - 2.9 | n.a. | 3.0 - 3.3 | 0.6 - 1.4 | 0.6 - 2.4 | 0.6 - 3.4 | n.a. | 2.8 - 3.8 |
Note: Projections of change in real gross domestic product (GDP) and projections for both measures of inflation are percent changes from the fourth quarter of the previous year to the fourth quarter of the year indicated. PCE inflation and core PCE inflation are the percentage rates of change in, respectively, the price index for personal consumption expenditures (PCE) and the price index for PCE excluding food and energy. Projections for the unemployment rate are for the average civilian unemployment rate in the fourth quarter of the year indicated. Each participant's projections are based on his or her assessment of appropriate monetary policy. Longer-run projections represent each participant's assessment of the rate to which each variable would be expected to converge under appropriate monetary policy and in the absence of further shocks to the economy. The projections for the federal funds rate are the value of the midpoint of the projected appropriate target range for the federal funds rate or the projected appropriate target level for the federal funds rate at the end of the specified calendar year or over the longer run. The June projections were made in conjunction with the meeting of the Federal Open Market Committee on June 14-15, 2016. One participant did not submit longer-run projections in conjunction with the June 14-15, 2016, meeting. For the September 20-21, 2016, meeting, one participant did not submit longer-run projections for the change in real GDP, the unemployment rate, or the federal funds rate.
1. For each period, the median is the middle projection when the projections are arranged from lowest to highest. When the number of projections is even, the median is the average of the two middle projections. Return to table
2. The central tendency excludes the three highest and three lowest projections for each variable in each year. Return to table
3. The range for a variable in a given year includes all participants' projections, from lowest to highest, for that variable in that year. Return to table
4. Longer-run projections for core PCE inflation are not collected. Return to table
Figure 1. Medians, central tendencies, and ranges of economic projections, 2016-19 and over the longer run*

Accessible version of figure 1 | Return to figure 1
As shown in figure 2, almost all participants expected that the evolution of the economy would warrant only gradual increases in the federal funds rate to achieve and maintain the Committee's objectives over time. Participants generally judged that the appropriate level of the federal funds rate in 2019 would still be at or below their estimates of its longer-run rate. However, because the economic outlook is inherently uncertain, participants' assessments of appropriate policy are subject to change in response to revisions to their economic outlooks and associated risks.
Participants generally viewed the level of uncertainty associated with their individual forecasts for economic growth, unemployment, and inflation as broadly similar to the norms of the previous 20 years. Most participants also judged the risks around their projections for economic activity and for the unemployment rate as broadly balanced, while several participants saw the risks to their GDP growth forecasts as weighted to the downside. In addition, most participants saw the risks to their forecasts for inflation as broadly balanced, although some viewed the risks to their inflation forecasts as tilted to the downside.
Figure 2. FOMC participants' assessments of appropriate monetary policy: Midpoint of target range or target level for the federal funds rate*

Accessible version of figure 2 | Return to figure 2
The Outlook for Economic Activity
The median of participants' projections for the growth rate of real GDP, conditional on their individual assumptions about appropriate monetary policy, was 1.8 percent in 2016, 2 percent in 2017 and 2018, and 1.8 percent in 2019; the median of projections for the longer-run normal GDP growth rate was 1.8 percent. Most participants projected that economic growth will pick up a bit next year and run at or slightly above their individual estimates of its longer-run rate in 2017 and 2018, and a majority of participants expected real GDP growth to be at its longer-run trend rate in 2019. Participants pointed to a number of factors that they expected would contribute to above-trend output growth over the next few years, including some firming in business investment, diminution of the drag on net exports from a strong dollar, continued improvements in household and business balance sheets, and accommodative financial conditions.
The median of participants' projections for real GDP growth in 2016 was lower than the median shown in the June 2016 Summary of Economic Projections (SEP). Many participants who lowered their projections for GDP growth this year attributed their revisions to weaker-than-expected GDP growth in the first half of the year. The medians of participants' projections for real GDP growth in 2017 and 2018 were unchanged from June at 2 percent. This pace was slightly above the median projection of the longer-run growth rate of GDP, which was revised down to 1.8 percent.
The median of projections for the unemployment rate at the end of 2016 was 4.8 percent, slightly higher than in June. Based on the median projections, the unemployment rate was anticipated to decline to 4.6 percent in 2017 and to 4.5 percent in 2018 before moving up slightly to 4.6 percent in 2019. The median for 2019 remained below the 4.8 percent median assessment of the longer-run normal unemployment rate, with a majority of participants projecting the unemployment rate in 2019 to be 0.2 percentage point or more below their individual estimates of the longer-run normal rate.
Figures 3.A and 3.B show the distributions of participants' projections for real GDP growth and the unemployment rate from 2016 to 2019 and in the longer run. The distribution of individual projections of GDP growth for 2016 shifted lower relative to the distribution of the June projections, while the distributions for 2017 and 2018 were little changed. The distribution of projections for GDP growth in the longer run shifted down slightly. The distributions of projections for the unemployment rate were little changed except for a shift upward for 2016.
Figure 3.A. Distribution of participants’ projections for the change in real GDP, 2016-19 and over the longer run*

Accessible version of figure 3.A | Return to figure 3.A
Figure 3.B. Distribution of participants' projections for the unemployment rate, 2016-19 and over the longer run*

Accessible version of figure 3.B | Return to figure 3.B
The Outlook for Inflation
In the September SEP, the median of projections for headline PCE price inflation in 2016 was 1.3 percent, a bit lower than in June. The projections for headline PCE price inflation over the next two years and in the longer run were little changed since June, with the median inflation projection still rising to 1.9 percent in 2017 and to the Committee's objective of 2 percent in 2018, then remaining there in 2019. All participants but one projected that inflation will be within 0.1 percentage point of the Committee's objective in 2019. The median of individual projections for core PCE price inflation increases gradually over the next two years.
Figures 3.C and 3.D provide information on the distribution of participants' views about the outlook for inflation. The distribution of projections for headline PCE price inflation for this year shifted down relative to projections for the June meeting, with some participants attributing their forecast revisions to weaker-than-expected incoming data, while the distribution of projections for core PCE price inflation this year narrowed. For 2017 and 2018, the distributions of projections for both total and core PCE price inflation shifted down slightly.
Figure 3.C. Distribution of participants' projections for PCE inflation, 2016-19 and over the longer run*

Accessible version of figure 3.C | Return to figure 3.C
Figure 3.D. Distribution of participants' projections for core PCE inflation, 2016-19*

Accessible version of figure 3.D | Return to figure 3.D
Appropriate monetary policy
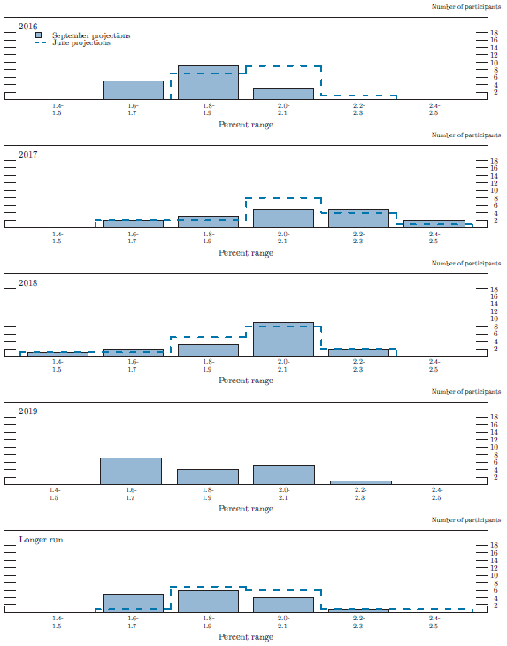
Figure 3.E provides the distribution of participants' judgments regarding the appropriate level of the target federal funds rate at the end of each year from 2016 to 2019 and over the longer run.2 The distributions for 2016 to 2018 shifted down. The median projections of the federal funds rate continued to show gradual increases, from 0.63 percent at the end of 2016 to 1.13 percent at the end of 2017, 1.88 percent at the end of 2018, and 2.63 percent at the end of 2019; the median of the longer-run projections of the federal funds rate was 2.88 percent. Relative to the June projections, the median of the projections for the federal funds rate at the end of 2016 was 0.25 percentage point lower, and for 2017 and 2018, the median projections were each 0.50 percentage point lower. Compared with the June SEP, most participants reduced their projection for the federal funds rate in the longer run; the median moved down 0.13 percentage point, to 2.88 percent.
Figure 3.E. Distribution of participants' judgments of the midpoint of the appropriate target range for the federal funds rate or the appropriate target level for the federal funds rate, 2016-19 and over the longer run*

Accessible version of figure 3.E | Return to figure 3.E
In discussing their September forecasts, many participants expressed a view that increases in the federal funds rate over the next several years would need to be gradual in light of a short-term neutral interest rate that was currently low and likely to rise only slowly. A number of participants attributed the low level of the short-term neutral rate to the persistence of low productivity growth, continued strength of the dollar, a weak outlook for economic growth abroad, demand for safe longer-term assets, and other factors, and they anticipated that the effects of these factors would fade gradually over time. Some participants noted the proximity of short-term nominal interest rates to the effective lower bound as limiting the Committee's ability to increase monetary accommodation to counter adverse shocks to the economy. These participants judged that, as a result, the Committee should take a cautious approach to removing policy accommodation. Participants cited a number of factors that pushed down their projections of the longer-run federal funds rate, including domestic and global demographic trends and weak productivity growth, which together imply a slower pace of trend output growth.
Uncertainty and risks
The left-hand column of figure 4 shows that, for each variable, all but a few participants judged the levels of uncertainty associated with their September projections for real GDP growth, the unemployment rate, and headline inflation to be broadly similar to the average of the past 20 years, and all but one participant viewed uncertainty around core inflation to be broadly similar to its average historical level.3 One participant saw uncertainty surrounding real GDP growth as higher than average, down from three participants in June. Participants noted that continued uncertainty about the rate of productivity growth and concerns about international developments were sources of uncertainty attending their forecasts of real GDP growth. Most participants' assessments of the level of uncertainty surrounding their economic projections did not change materially since June.
Figure 4. Uncertainty and risks in economic projections*

Accessible version of figure 4 | Return to figure 4
For each variable, the number of participants viewing the risks as balanced increased since June, and fewer participants assessed the risks to economic growth as weighted to the downside or viewed the risks to unemployment as weighted to the upside (figure 4, top two panels in the right-hand column). Participants who revised their view from an assessment that the risks to GDP growth were to the downside to a view that the risks were broadly balanced cited reasons such as an easing of concerns regarding the potential for global economic and financial conditions to deteriorate. Participants who saw the risks to GDP growth as tilted to the downside attributed this assessment to some signs that the momentum of growth in domestic demand may be slowing, businesses' caution regarding investment and hiring decisions, the risk of adverse shocks to U.S. economic activity from developments abroad, or potential limits to the ability of monetary policy to respond to adverse shocks near the effective lower bound on short-term interest rates. As indicated in the two bottom-right figures, the number of participants who saw the risks to their inflation projections as broadly balanced increased; those who revised their view from an assessment that the risks to inflation were tilted downward pointed to an easing of concerns about global financial developments or accumulating evidence that inflation expectations were remaining anchored at policy-consistent levels. Those who continued to judge that the risks to inflation were weighted to the downside cited the risks associated with encountering negative economic shocks when the policy rate is close to the effective lower bound or with continued low readings on survey-based measures of inflation expectations and financial-market measures of inflation compensation.
Table 2. Average historical projection error ranges
Percentage points
| Variable | 2016 | 2017 | 2018 | 2019 |
|---|---|---|---|---|
| Change in real GDP1 | ±1.3 | ±1.9 | ±2.1 | ±2.2 |
| Unemployment rate1 | ±0.3 | ±1.0 | ±1.7 | ±2.0 |
| Total consumer prices2 | ±0.8 | ±1.1 | ±1.1 | ±1.1 |
Note: Error ranges shown are measured as plus or minus the root mean squared error of projections for 1996 through 2015 that were released in the summer by various private and government forecasters. As described in the box "Forecast Uncertainty," under certain assumptions, there is about a 70 percent probability that actual outcomes for real GDP, unemployment, and consumer prices will be in ranges implied by the average size of projection errors made in the past. For more information, see David Reifschneider and Peter Tulip (2007), "Gauging the Uncertainty of the Economic Outlook from Historical Forecasting Errors," Finance and Economics Discussion Series 2007-60 (Washington: Board of Governors of the Federal Reserve System, November); and Board of Governors of the Federal Reserve System, Division of Research and Statistics (2014), "Updated Historical Forecast Errors (PDF)," memorandum, April 9.
1. Definitions of variables are in the general note to table 1. Return to table
2. Measure is the overall consumer price index, the price measure that has been most widely used in government and private economic forecasts. Projection is percent change, fourth quarter of the previous year to the fourth quarter of the year indicated. Return to table
Forecast Uncertainty
The economic projections provided by the members of the Board of Governors and the presidents of the Federal Reserve Banks inform discussions of monetary policy among policymakers and can aid public understanding of the basis for policy actions. Considerable uncertainty attends these projections, however. The economic and statistical models and relationships used to help produce economic forecasts are necessarily imperfect descriptions of the real world, and the future path of the economy can be affected by myriad unforeseen developments and events. Thus, in setting the stance of monetary policy, participants consider not only what appears to be the most likely economic outcome as embodied in their projections, but also the range of alternative possibilities, the likelihood of their occurring, and the potential costs to the economy should they occur.
Table 2 summarizes the average historical accuracy of a range of forecasts, including those reported in past Monetary Policy Reports and those prepared by the Federal Reserve Board’s staff in advance of meetings of the Federal Open Market Committee. The projection error ranges shown in the table illustrate the considerable uncertainty associated with economic forecasts. For example, suppose a participant projects that real gross domestic product (GDP) and total consumer prices will rise steadily at annual rates of, respectively, 3 percent and 2 percent. If the uncertainty attending those projections is similar to that experienced in the past and the risks around the projections are broadly balanced, the numbers reported in table 2 would imply a probability of about 70 percent that actual GDP would expand within a range of 1.7 to 4.3 percent in the current year, 1.1 to 4.9 percent in the second year, 0.9 to 5.1 percent in the third year, and 0.8 to 5.2 percent in the fourth year. The corresponding 70 percent confidence intervals for overall inflation would be 1.2 to 2.8 percent in the current year and 0.9 to 3.1 percent in the second, third, and fourth years.
Because current conditions may differ from those that prevailed, on average, over history, participants provide judgments as to whether the uncertainty attached to their projections of each variable is greater than, smaller than, or broadly similar to typical levels of forecast uncertainty in the past, as shown in table 2. Participants also provide judgments as to whether the risks to their projections are weighted to the upside, are weighted to the downside, or are broadly balanced. That is, participants judge whether each variable is more likely to be above or below their projections of the most likely outcome. These judgments about the uncertainty and the risks attending each participant’s projections are distinct from the diversity of participants’ views about the most likely outcomes. Forecast uncertainty is concerned with the risks associated with a particular projection rather than with divergences across a number of different projections.
As with real activity and inflation, the outlook for the future path of the federal funds rate is subject to considerable uncertainty. This uncertainty arises primarily because each participant’s assessment of the appropriate stance of monetary policy depends importantly on the evolution of real activity and inflation over time. If economic conditions evolve in an unexpected manner, then assessments of the appropriate setting of the federal funds rate would change from that point forward.
1. One participant did not submit longer-run projections for the change in real GDP, the unemployment rate, or the federal funds rate. Return to text
2. One participant's projections for the federal funds rate, GDP growth, the unemployment rate, and inflation were informed by the view that there are multiple possible medium-term regimes for the U.S. economy, that these regimes are persistent, and that the economy shifts between regimes in a way that cannot be forecast. Under this view, the economy currently is in a regime characterized by expansion of economic activity with low productivity growth and a low short-term real interest rate, but longer-term outcomes for variables other than inflation cannot be usefully projected. Return to text
3. Table 2 provides estimates of the forecast uncertainty for the change in real GDP, the unemployment rate, and total consumer price inflation over the period from 1996 through 2015. At the end of this summary, the box "Forecast Uncertainty" discusses the sources and interpretation of uncertainty in the economic forecasts and explains the approach used to assess the uncertainty and risks attending the participants' projections. Return to text